Delivered by Ingenta to: ? IP: 103.37.201.41 On: Mon, 25 Dec 2017 13:58:14 Copyright: American Scientific Publishers RESEARCHARTICLE Copyright © 2017 American Scientific Publishers All rights reserved Printed in the United States of America Journal of Computational and Theoretical Nanoscience Vol. 14, 2515–2527, 2017 Novel Tree Structure Based Conservative Reversible Binary Coded Decimal Adder and Sequential Circuit with Added High Testability Neeraj Kumar Misra1 ∗ , Bibhash Sen2 , and Subodh Wairya1 1 Department of Electronics Engineering, Institute of Engineering and Technology, Lucknow 226021, India 2 Department of Computer Science and Engineering, National Institute of Technology, Durgapur 713209, India Reversible logic has been recognized as one of the most promising technique for the realization of the quantum circuit. In this paper, a cost effective conservative, reversible binary coded deci- mal (BCD) adder is proposed for the quantum logic circuit. Towards the realization of BCD adder, few novel gates, such as Half-Adder/Subtraction (HAS-PP), Full-Adder/Subtraction (FAS-PP) and Overflow-detection (OD-PP) based on parity preserving logic are synthesized which incurs 7, 10 and 13 quantum cost respectively. Coupling these gates a novel tree-based methodology is proposed to implement the required BCD Adder. Also, the BCD adder design has been optimized to achieve the optimum value of quantum cost. In addition, the proposed BCD circuit is extended to n-bit adder using replica based techniques. Experimental result establishes the novelty of the proposed logic, which outperforms the conventional circuits in terms of logic synthesis and testability. The limitation of detecting the missing gate and missing control point of the quantum circuit of overflow detection is finally tackled this work by the proposed OD-PP with the application of the minimum test vector. In addition, reversible circuits of control inputs based testable master-slave D-FF is intended. The noted work on the testable sequential circuit presented here is to develop circuit using minimum test vectors and can find diverse application in the testing paradigm. Keywords: Conservative Logic, Fault Coverage, Reversible Logic, Master-Slave D Flip-Flop, Quantum Computing, BCD Adder, Testability. 1. INTRODUCTION Reversible logic has the promising feature of controllable operations. A controllable operation has utilized the bijec- tive property which is used for easy testing. The testing cost is increased accordingly, which increase the size, and delay of the system. Landauer’s theory shows that a logic computation that is irreversible i.e., information loss will dissipate a certain amount of energy (i.e., KTln2) for every logic bit of information loss.1 Reversible logic computa- tion has no loss of information that possible by reversible logic gates.2 Further, it has very small energy dissipation if a circuit includes of reversible gates. Reversible logic has applications in the quantum logic circuit, which is reversible by nature. The integration of reversible circuits and quantum circuits has provides a strong motivation to choose reversible logic for digital logic circuit synthesis.3 Logic synthesis of the reversible circuit is currently a pop- ular area of research. ∗ Author to whom correspondence should be addressed. In this paper, we construct conservative, reversible BCD adder an algorithm and quantum circuit testing for over- flow detection that uses the control gate and control point missing fault. The BCD adder design is achieved by a syn- thesis of three modules such as ripple carry adder, overflow detection, and overflow correction to generate the correct BCD result. An efficient algorithm for BCD adder design has shown to share the functionality of logic synthesis. The main achievement of the algorithm is to minimize the reversible metrics (i.e., gate count, garbage output, ancilla input, and quantum cost). The optimal metrics have been achieved by proposing three new conservative, reversible gates. Further, we have presented a synthesis flows for overflow detection and overflow correction in the reversible logic circuit based on Toffoli gates. The synthesis flow investigates two modes i.e., no correction and correction solutions. The use of decimal number after 9 leads to correction modes in overflow detection. In addi- tion, conservative, reversible master-slave D-FF is intro- duced. Further, the circuit of control inputs based testable J. Comput. Theor. Nanosci. 2017, Vol. 14, No. 5 1546-1955/2017/14/2515/013 doi:10.1166/jctn.2017.6772 2515
Delivered by Ingenta to: ? IP: 103.37.201.41 On: Mon, 25 Dec 2017 13:58:14 Copyright: American Scientific Publishers RESEARCHARTICLE Novel Tree Structure Based Conservative Reversible BCD Adder and Sequential Circuit with Added High Testability Misra et al. master-slave D-FF is designed. This work new sequential master-slave D-FF is introduced that include the quantum equivalent realization for the first time. The major achievements of this work are given as follows: • We propose a BCD adder and master-slave D-FF cir- cuits based on conservative, reversible gates. The synthesis circuits currently target the reversible circuit based on the Toffoli gate library. • We present a synthesis flow of overflow detection and overflow correction logic circuits based on the reversible circuit. • A new model of testable sequential master-slave D-FF is introduced, which employed control input test vectors to test a circuit accurately. Control output signals ensure the testability of this circuit. This testing approach is incorpo- rated with simple and efficient in the digital circuit testable world. • The proposed BCD adder and master-slave D-FF was very efficient regarding the reported cost metrics such as GC, CI, GO and QC. The remainder of the paper is organized as fol- lows: Section 2, discussed the basic terminologies. In Sections 3–7, previous work, quantum circuit, the build- ing block of BCD adder, the design of BCD adder, the design of master-slave D-FF. Section 8 discussed the com- parison results. Final Section 9 concludes the work. 2. BASIC TERMINOLOGIES This section presents an introduction of some of the basic details (what is reversible logic and need of it, the conser- vative logic need of it, and some existing reversible gates) for the understanding of work easily. Definition 2.1. Reversible logic has dissimilar with conventional circuits, which have a special bijective map- ping between the inputs and outputs. Figure 1(a) shows the reversible gate which have the same number of inputs and outputs.4 Definition 2.2. In conservative, reversible gate the hamming weight of input and output is equal, i.e., Ex-OR of all inputs equals Ex-OR of all outputs.4 The integra- tion of reversible logic and conservative logic is equal to conservative reversible logic as shown in Figure 1(b). Reversible Gate Bijective-mapping Reversible Logic Conservative Logic Conservative Reversible Logic (a) (b) Fig. 1. An n ×n architecture of: (a) Reversible gate; (b) Conservative reversible logic. 1 2 21 (a) (b) 43 5 1 2 3 4 5 6 (c) Fig. 2. Existing conservative reversible gate: (a) F2G; (b) FRG; (c) R-CQCA. A reversible logic circuit which is employing quantum gates in many logics bits are un-utilized. Therefore the garbage bits in the circuit should be optimal. For design- ing efficient reversible circuits, it is needed to minimize garbage bits to an efficient design. In reversible logic cir- cuits some constraints are highlighted below: (1) In the reversible system model, both in no feedback paths to ensure acyclic and fan-out free in case of cascade gates. (2) Reversible circuits have an equal count of inputs and outputs. 2.1. Existing Conservative, Reversible Logic Gates The existing conservative, reversible gates such as F2G, FRG, and R-CQCA have attracted the researcher’s atten- tion during the last decades for the synthesis and optimiza- tion for various kinds of circuits.5 6 Figures 2(a)–(c) shows the reversible circuit of F2G, FRG, and R-CQCA gates respectively. After introducing reversible logic, conservative logic, and existing conservative, reversible gate are described in this section. The organization of this paper is also described in this section. 3. STUDY OF PREVIOUS WORK A lot of research work on reversible computation has been carried out in the area of logic synthesis, and optimization. An extensive state-of-art-work of reversible BCD adder and sequential circuits have already done.7–23 However, there is not much work in testability of reversible BCD adder circuit and sequential circuit. The scope of reversible BCD adder and testable sequential circuit in the quantum computing paradigm are finally tackled in this work. In Valinataj et al.7 proposed a fault-tolerant BCD adder using the LCG gate for optimizing the reversible metrics. These designs are suffering more gate count. A fault-tolerant BCD adder is implemented by ZPLG, ZC, and ZQCG gates in RI-GUI Zhou et al.8 but suffered from the quantum circuit of BCD adder. Ashish kumer 2516 J. Comput. Theor. Nanosci. 14, 2515–2527, 2017
Delivered by Ingenta to: ? IP: 103.37.201.41 On: Mon, 25 Dec 2017 13:58:14 Copyright: American Scientific Publishers RESEARCHARTICLE Misra et al. Novel Tree Structure Based Conservative Reversible BCD Adder and Sequential Circuit with Added High Testability Biswas et al.9 presented reversible BCD adder using pro- posed MTSG, FRG, TG, FG, PG gates. These designs are not conservative approach but reversible and suffer more quantum cost and garbage outputs. Singh et al.,22 Hari et al.,23 presented the reversible implementation of sequential logic circuits. They also measure the sequential circuit parameters such as gate count, garbage outputs, ancilla inputs, and quantum cost. The conservative reversible sequential circuits along with testability approach have been performed as reported by Thapliyal et al.21 In this circuit construction framing, FRG gate is utilized. Therefore, after the careful reviewing the state-of-the-art works on these reversible circuit synthesis of BCD adder and testable sequential circuits. The limitations of most of these works targeted the reversible gate based circuit syn- thesis and optimizing reversible parameters, while lacking work on quantum logic circuit construction, and testability. The limitation of these works has finally tackled this work. 4. QUANTUM CIRCUIT Quantum computing model is adopted for circuit construc- tion such as the qubit transmission use of quantum wire and quantum gates for qubit processing. Elemental quan- tum gates (CNOT, NOT, C-V, and C-V+ ) is used for QC calculation.24 5. BUILDING BLOCKS FOR CONSERVATIVE, REVERSIBLE BCD ADDER This section introduces an optimal circuit of BCD adder. To synthesize the optimal BCD adder three new conservative reversible gates, namely HAS-PP (Half adder subtraction parity preserving), FAS-PP (Full adder sub- traction parity preserving), and OD-PP (Overflow detec- tion parity preserving) are introduced. Sections 5.1–5.3 presents the design of HAS-PP, FAS-PP, and OD-PP gates respectively. Section 6 presents the synthesis technique for constructing BCD adder with lesser cost metrics compared with previous works in the literature. The fault coverage of the overflow detection gate is shown in Section 6.8. 5.1. Proposed HAS-PP Gates Figure 3(a) shows the proposed HAS-PP gate; it maps inputs (A B C D) to output A AC ⊕B A⊕C A ¯C ⊕D). The bijective mapping is presented in Figure 3(b). In Figure 3(c) shows that: By setting the second and fourth input to ‘0’, the fan-out of circuit of A is realized in first output. At the same time A·C , A⊕C , and A· ¯C are realized in second, third, and fourth output, respectively. The major advantage of these outputs is the realization of the half-adder and half-subtraction circuit as shown in Figure 3(c). It is interesting to realize the reversible and quantum circuit for HAS-PP gate shown in Figure 3(d). 5.2. Proposed FAS-PP Gate This section presented a conservative, reversible FAS-PP gate as shown in Figure 4(a). The mapping is shown in Figure 4(b). It is interesting to realize the full adder and full subtraction. Figure 4(c) shows the procedure to use FAS-PP for achieving the full adder and full subtraction. Figure 4(c) indicates that: fourth and fifth input to ‘0’ the full adder function at the second and fourth output, whereas full subtraction at the second and third output. The reversible and quantum circuit of FAS-PP gate is pre- sented in Figure 4(d). HAS-PP HAS-PP HAS-PP PG 1 2 3 4 5 0 6 7 (a) (b) (c) (d) Fig. 3. Novel HAS-PP: (a) Functional schematic; (b) Truth table; (c) Implementation of Half addersubtraction; (d) QE. J. Comput. Theor. Nanosci. 14, 2515–2527, 2017 2517
Delivered by Ingenta to: ? IP: 103.37.201.41 On: Mon, 25 Dec 2017 13:58:14 Copyright: American Scientific Publishers RESEARCHARTICLE Novel Tree Structure Based Conservative Reversible BCD Adder and Sequential Circuit with Added High Testability Misra et al. FAS-PP PG 1 2 3 4 5 6 7 8 9 10 (a) (b) (c) (d) FAS-PP FAS-PP FAS-PP Fig. 4. Novel FAS-PP: (a) Function schematic; (b) Truth table; (c) Implementation of Full addersubtraction; (d) QE. 5.3. Proposed OD-PP Gate Figure 5(a) presents a functional schematic of OD-PP gate. It is a 5 × 5 conservative reversible gate which maps input vector A B C D E to output vector P = B +C D ⊕AD ⊕DE ⊕A Q = B R = C S = D T = B + C ⊕ E ⊕ AD ⊕ DE . The utility of OD-PP as an overflow detection in the design of BCD adder. Figure 5(b) shows that by setting E = 0, the fan-out of OD-PP OD-PP OD-PP OD-PP 1 2 3 4 5 6 7 8 9 10 11 12 13 (a) (d) (b) (c) Fig. 5. Novel OD-PP: (a) Function schematic; (b) Implementation of OD; (c) QE, (d) Truth table. 2518 J. Comput. Theor. Nanosci. 14, 2515–2527, 2017
Delivered by Ingenta to: ? IP: 103.37.201.41 On: Mon, 25 Dec 2017 13:58:14 Copyright: American Scientific Publishers RESEARCHARTICLE Misra et al. Novel Tree Structure Based Conservative Reversible BCD Adder and Sequential Circuit with Added High Testability circuit of B C D are realized in second, third, and fourth output respectively. At the same time B + C D ⊕ A is realized in first output. The major advantage of these outputs is the realization of BCD adder construction (In Section 6.5). The bijective mapping as well as con- servative property is shown in Figure 5(c). The reversible and quantum circuit is presented in Figure 5(d). 6. THE PROPOSED CIRCUIT MODEL OF BCD ADDER In this section, we construct a BCD adder. The proposed BCD adder based on three modules such as ripple carry adder (module-1), overflow detection (module-2) and over- flow correction (module-3) are constructed. These modules are constructed using new gates. These new gates have reduced the steps of logical computations required in mod- ules construction. 6.1. Module-1 Design Four FAS-PP gate designs the module-1. The QC of a module-1 is 40. The working principles of the module-1 have utilized the 4-bit binary data, which comprises 12 garbage outputs as depicted in Figure 6. The one FAS- PP can be setting the fourth and fifth inputs to be low. The sum and carry are obtained at the second and fourth output respectively. Figure 6 shows the reversible circuit of module-1. 6.2. Module-2 Design OD-PP gate designs the block of module-2 is shown in Figure 7. The optimized QC of module-2 is 13. The OD-PP gate is named as module-2. The module-2 has 5 inputs and 5 outputs which contain 1 garbage outputs g1. The working on the module-2 is to utilize Cout logic bit. The Cout logic bit specifies the overflow detection occur or not. Module-2 synthesis the Cout logic bit was con- structed from Figure 7, when setting the fourth input of the module-2 to low the fan-out logic bits are generated at second, third, and fourth output respectively. If the Cout logic bit is high signifies that overflow correction and pass Cout logic bit to the module-3, otherwise, no correction required and collect the correct BCD sum results. FAS-PP FAS-PP FAS-PP FAS-PP Fig. 6. The proposed QE of a ripple carry adder. Fig. 7. Overflow detection by OD-PP. 6.3. Module-3 Design In Figure 8(b), integrate block OC cell (Overflow correc- tion cell) is constructed by cascading the HAS-PP, FAS- PP, and F2G gates. The OC cell is named as module-3. The module-3 has 9 inputs and 9 outputs, which contain 5 garbage outputs (g1 to g5). Module-3 can be setting appro- priately by ancilla inputs (1s and 0s) on the HAS-PP, FAS- PP, and F2G gates as shown in Figure 8(a). The working of module-3 is utilized outputs Z1, Z2, Z3 and Cout2. The Z2, Z3 represent the final corrected bits, and Z4, will be effective BCD sum results. The reversible circuit is shown in Figure 8(c). 6.4. The Proposed Tree Structure of 4-Bit BCD Adder The computational operation for executing the BCD adder is the correct result within the decimal digit 9. The reversible circuit of 4-bit BCD adder is presented in Figure 9(a). The integrated block of 4-bit BCD adder is constructed by cascading module-1, module-2, and module-3. It can complete the 4-bit BCD adder design. The module-1 contains four FAS-PP. The input includes eight binary data inputs (A1, B1, A2, B2, A3, B3, A4, B4,) including carry input Cin and 14 ancilla inputs as shown in Figure 9(a). The working process is described as: First: the sum is generated from the module-1. Second: module-2 circuit detects the overflow (Sum > 9) condition, then it pass to the module-3. Finally: module-3 correct the logic bits and generate the BCD sum results. 6.5. The Proposed Tree Structure of n-Digit BCD Adder In Figure 9(b), it consists of (n−1)-digit BCD adder, and 1-digit BCD adder. It can complete n-bit BCD adder func- tions independently. The structure consists of an (n − 1)- digit BCD adder with the extended factor of (n − 1 × 9 and 1-digit BCD adder with an extended factor of 8. The extended factor means a number of gates utilized. Here n-digit BCD adder design utilizes total extended factor of n − 1 × 9 + 8 = 9n − 1 . The reversible metrics of n- bit BCD adder is shown in Table I. The n-bit BCD adder herein was constructed using the Algorithm 1. J. Comput. Theor. Nanosci. 14, 2515–2527, 2017 2519
Delivered by Ingenta to: ? IP: 103.37.201.41 On: Mon, 25 Dec 2017 13:58:14 Copyright: American Scientific Publishers RESEARCHARTICLE Novel Tree Structure Based Conservative Reversible BCD Adder and Sequential Circuit with Added High Testability Misra et al. HAS-PP FAS-PP F2G OC Cell (a) (b) (c) Fig. 8. The proposed architecture of overflow correction: (a) Functional schematic; (b) OC cell; (c) QE. 6.6. Established Synthesis of Overflow Detection by OD-PP Gate OD-PP gate designs the block of overflow detection is depicted in Figure 10. The working of the overflow detec- tion is to utilize four outputs (C3, S2, S3, S4). The OD-PP circuit generates the correct outputs in binary coded dec- imal input range from 0 to 9. The correction is required after decimal digit input of 9. The Cout logic bit is ‘0’ in the case of decimal input less than 9. In the case, when decimal digit greater than 9, three stages of overflow detec- tion as Firstly: the S4 = S2 = 1 in the case of a decimal digit in between 10 and 11. Secondly: S4 = S3 = 1 in the case of the decimal digit in between 12 to 15. Thirdly: the C3 = 1, for a decimal digit in between 16 to 19, as shown in Figure 10. 6.7. Established Synthesis of Overflow Correction by OC-PP Cell The overflow correction is synthesized by 3 gates (1 × FAS-PP, 11 × HAS-PP, 11 × F2G), it requires 4 inputs (Cout, S2, S3, S4) and 5 ancilla inputs. The circuit pro- duces 4 outputs (Z1, Z2, Z3, Z4) as shown in Figure 11(a). In order to established synthesis of overflow correction by OD-PP cell the Cout logic bit is high value. The intermedi- ate outputs are Cout1, and Cout2, it has the operation tables is presented in Figures 11(b), (c). The computations of Cout, S2, S3, and S4 generate the outputs such as Z2, Z3, and Z4. The inputs of OC-PP cell and outputs are presented in Figures 11(d), (e). The result of Z1, Z2, Z3, and Z4 are the correct BCD sum. The complete structure of work done around BCD adder is presented in Figure 12. Algorithm 1 (BCD Adder Design (4-bit)). Input, output: Binary input (A1, A2 An) and output (Z1 Z2 Zn) for BCD operation Begin Stage-1: Require 4 unit of FAS-PP Begin procedure 1: For i = 4 to 1 2: If i = 4 then Si = Ai ⊕Bi ⊕Ci; Ci = Ai ⊕Bi Ci ⊕AiBi End if End if Stage-2: Require 1 unit of OD-PP Take Si, and Ci logic bits from previous result outputs and generate four outputs like Cout, S2, S3, and S4 for overflow detection stage. Being procedure 3: For i = 3 to 0 If i = 3 then O1 = Cout, O2 = S2, O3 = S3, and O4 = S4, // Using OD-PP cell End if End procedure Stage-3: Overflow detection 4: If i = 2 then If O1 > 9 then Pass the Cout, to Stage-4 // Correction required Else Store the O2, O3, O4, and S1 // Final BCD outputs 2520 J. Comput. Theor. Nanosci. 14, 2515–2527, 2017
Delivered by Ingenta to: ? IP: 103.37.201.41 On: Mon, 25 Dec 2017 13:58:14 Copyright: American Scientific Publishers RESEARCHARTICLE Misra et al. Novel Tree Structure Based Conservative Reversible BCD Adder and Sequential Circuit with Added High Testability Ripple carry full adder BCD overflow detection BCD overflow correction (a) (b) i=4 to 1 i=4 to 1 Signal duplication m=3 to 1 n=3 to 1 j=4 to 3 j=4 to 3 Fig. 9. The proposed BCD adder: (a) 4-digit; (b) n-digit. Table I. Reversible metric of proposed n-bit BCD. Metrics Explanation Value GC n−1 ×EFdesign +8 = n−1 × 5 EF design–FAS–PP +1 EF design–OD–PP n−1 ×9+8 = 9n−1 +2 EF design–F2G +1 EF design–HAS–PP +8 QC n−1 ×QCdesign +1×QCdesign n−1 × 5×10+13+2×2+7 + 5×10+13+7+2 = n−1 × 5× QCdesign–FAS–PP +1(QCdesign–OD–PP +2(QCdesign–F2G = n−1 ×74+72 = 74n−2 +1(QCdesign–HAS–PP + 5× QCdesign–FAS–PP +1 (QCdesign–OD–PP +1(QCdesign–HAS–PP +1 (QCdesign–F2G GO n−1 ×GOdesign +1×GOdesign n−1 × 5×3+1×1+2×1+1 + 5×3+1+1+1 = n−1 × 5× GOdesign–FAS–PP +1(GOdesign–OD–PP +2(GOdesign–F2G = n−1 ×19+18 = 19n−1 +1(GOdesign–HAS–PP + 5× GOdesign–FAS–PP +1(GOdesign–OD–PP +1(GOdesign–HAS–PP +1(GOdesign–F2G Notes: EF: Extended factor; GC: Gate count; QC: Quantum cost; GO: Garbage output. J. Comput. Theor. Nanosci. 14, 2515–2527, 2017 2521
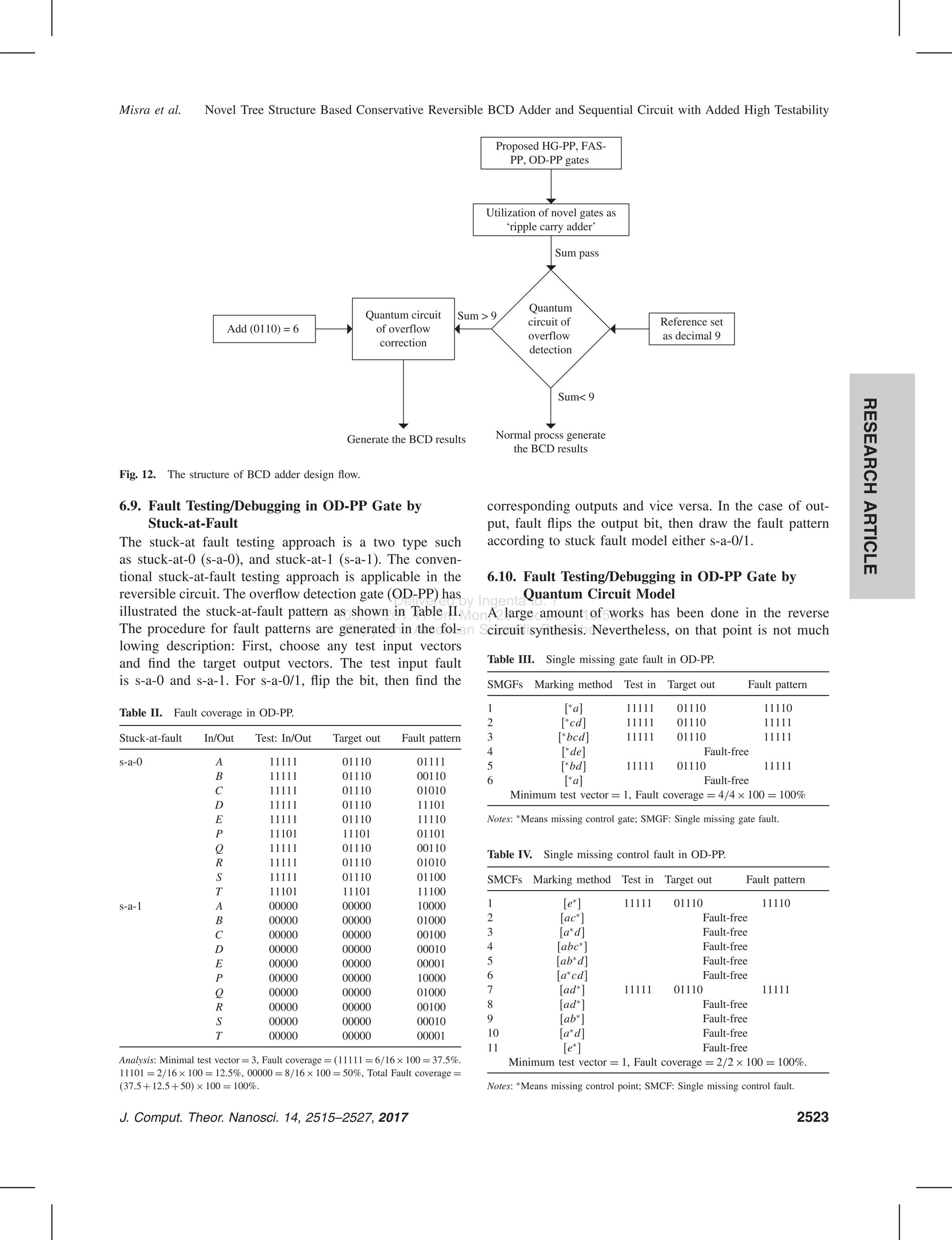
Delivered by Ingenta to: ? IP: 103.37.201.41 On: Mon, 25 Dec 2017 13:58:14 Copyright: American Scientific Publishers RESEARCHARTICLE Novel Tree Structure Based Conservative Reversible BCD Adder and Sequential Circuit with Added High Testability Misra et al. No correction required Correction required OD-PP circuit Fig. 10. Synthesis flows circuit for overflow detection by using OD-PP circuit. End if End if Stage-4: Require 1 unit of OC-PP cell Take O1, O2, O3, and O4 logic bits from previous result outputs and generate four BCD outputs. Begin procedure 5: If i = 1 then Z1 = S1, Z2 = Cout ⊕S1, Z3 = S2 ⊕Cout1 ⊕Cout, Z3 = Cout2 ⊕S3 //Using OC-PP cell End if End procedure End for End; 6.8. Fault Testing and Coverage Fault-testing refers to the process of observing fault. The aim of testing is to compute the output logic bit in the circuit being developed. Testing in the reversible circuit is a complicated process, and its various evolutions are under research.24 The testing of reversible circuits is a complex process that influences by ensuring the correct functioning of the system design.24 In this work off-line and on-line testing, the methodol- ogy has been adopted to cover the fault under different test vectors. The fault-testing methodology such as online and offline are described below: On-Line Testing: In this method, fault detection is com- putationally efficient and easy on applied test vectors and also characterized by the system itself find fault quickly follow the abrupt transition of bits. The online testing fault detection base of the conservative logic has been utilized for their parity bits conserved. Also, the reversible circuits of control input based testable are also include in this fault- testing methodology. Off-Line Testing: The fault estimation is given by the applied test vectors after looking at the output and then match the known outputs. This testing is categorized as stuck-at-fault and missing gate and missing control fault. These faults are commonly used for efficient testing of circuits. Add (0110) = 6, Using OC-PP circuit OC-PP circuit BCD Sum (a) (b) (d) (e) (c) Fig. 11. Synthesize flow circuit for overflow correction by OC-PP circuit; (a) Quantum circuit; (b) Input Cout1; (c) Input Cout2; (d) Circuit inputs; (e) BCD outputs. 2522 J. Comput. Theor. Nanosci. 14, 2515–2527, 2017
Delivered by Ingenta to: ? IP: 103.37.201.41 On: Mon, 25 Dec 2017 13:58:14 Copyright: American Scientific Publishers RESEARCHARTICLE Misra et al. Novel Tree Structure Based Conservative Reversible BCD Adder and Sequential Circuit with Added High Testability Proposed HG-PP, FAS- PP, OD-PP gates Utilization of novel gates as ‘ripple carry adder’ Quantum circuit of overflow detection Reference set as decimal 9 Sum pass Normal procss generate the BCD results Sum< 9 Quantum circuit of overflow correction Sum > 9 Add (0110) = 6 Generate the BCD results Fig. 12. The structure of BCD adder design flow. 6.9. Fault Testing/Debugging in OD-PP Gate by Stuck-at-Fault The stuck-at fault testing approach is a two type such as stuck-at-0 (s-a-0), and stuck-at-1 (s-a-1). The conven- tional stuck-at-fault testing approach is applicable in the reversible circuit. The overflow detection gate (OD-PP) has illustrated the stuck-at-fault pattern as shown in Table II. The procedure for fault patterns are generated in the fol- lowing description: First, choose any test input vectors and find the target output vectors. The test input fault is s-a-0 and s-a-1. For s-a-0/1, flip the bit, then find the Table II. Fault coverage in OD-PP. Stuck-at-fault In/Out Test: In/Out Target out Fault pattern s-a-0 A 11111 01110 01111 B 11111 01110 00110 C 11111 01110 01010 D 11111 01110 11101 E 11111 01110 11110 P 11101 11101 01101 Q 11111 01110 00110 R 11111 01110 01010 S 11111 01110 01100 T 11101 11101 11100 s-a-1 A 00000 00000 10000 B 00000 00000 01000 C 00000 00000 00100 D 00000 00000 00010 E 00000 00000 00001 P 00000 00000 10000 Q 00000 00000 01000 R 00000 00000 00100 S 00000 00000 00010 T 00000 00000 00001 Analysis: Minimal test vector = 3, Fault coverage = 11111 = 6/16×100 = 37 5%. 11101 = 2/16×100 = 12 5%, 00000 = 8/16×100 = 50%, Total Fault coverage = 37 5+12 5+50 ×100 = 100% corresponding outputs and vice versa. In the case of out- put, fault flips the output bit, then draw the fault pattern according to stuck fault model either s-a-0/1. 6.10. Fault Testing/Debugging in OD-PP Gate by Quantum Circuit Model A large amount of works has been done in the reverse circuit synthesis. Nevertheless, on that point is not much Table III. Single missing gate fault in OD-PP. SMGFs Marking method Test in Target out Fault pattern 1 [∗ a] 11111 01110 11110 2 [∗ cd] 11111 01110 11111 3 [∗ bcd] 11111 01110 11111 4 [∗ de] Fault-free 5 [∗ bd] 11111 01110 11111 6 [∗ a] Fault-free Minimum test vector = 1, Fault coverage = 4/4×100 = 100% Notes: ∗ Means missing control gate; SMGF: Single missing gate fault. Table IV. Single missing control fault in OD-PP. SMCFs Marking method Test in Target out Fault pattern 1 [e∗ ] 11111 01110 11110 2 [ac∗ ] Fault-free 3 [a∗ d] Fault-free 4 [abc∗ ] Fault-free 5 [ab∗ d] Fault-free 6 [a∗ cd] Fault-free 7 [ad∗ ] 11111 01110 11111 8 [ad∗ ] Fault-free 9 [ab∗ ] Fault-free 10 [a∗ d] Fault-free 11 [e∗ ] Fault-free Minimum test vector = 1, Fault coverage = 2/2×100 = 100% Notes: ∗ Means missing control point; SMCF: Single missing control fault. J. Comput. Theor. Nanosci. 14, 2515–2527, 2017 2523
Delivered by Ingenta to: ? IP: 103.37.201.41 On: Mon, 25 Dec 2017 13:58:14 Copyright: American Scientific Publishers RESEARCHARTICLE Novel Tree Structure Based Conservative Reversible BCD Adder and Sequential Circuit with Added High Testability Misra et al. [e a] [acd] [abcd] [ade] [abd] [e a] Single missing gate fault 1 2 3 4 5 6 Single missing control fault (a) (b) Fig. 13. Fault coverage in OD-PP: (a) SMGF; (b) SMCF. research work in the field of BCD adder such as testing quantum circuit. Most of the work in the area of reversible BCD adder constructed the circuit.7–9 20 These works open a door to go through the BCD adder and testing quantum circuit. More recent work reported the parity preserving circuits does not ensure the fault tolerant.25 These work open a door to the essential the quantum circuit testing in high testability area. In this work both control point and control gate are tested independently and then integrated for fault coverage. In addition, we target the maximum fault coverage with minimum test vectors. The analysis of overflow detection with OD-PP gate based on the single missing gate and a single control point which covers the 100% with only two test. It is analyzed that according to Tables III, IV that maximum 2 test vectors include the complete testing. The testing, design stages that are being presented in Figures 13(a), (b). 7. THE PROPOSED MASTER SLAVE D FLIP-FLOP A master-slave D Flip-flop consists of two units of R-CQCA gate. The circuit construction is depicted in Figure 14(a). Master-slave solves the difficulty of the race around condition. In the Figure 14(a) master unit operates with positive triggered and slave operate with negative trig- ger. The quantum equivalent synthesizes the schematic dia- gram in Figure 14(b). The third output of first R-CQCA is X = Qt ¯Clk +Clk D . This third output of first R-CQCA gate is associated as input to the first input of second R-CQCA gate. When Clk = 1, the output X = D means the master has passed the input, but slave output (Qt+1) is the previous state. The master circuit work and slave hold the previous state. Another case Clk = 0, the X becomes a storage (Hold the previous state), whereas Qt+1 becomes X means pass the output of the master. Where X is the third output of first R-CQCA gate. 7.1. Testable Master-Slave D Flip-Flop The testable master-slave D-FF contains 4 gates (2 × R- CQCA, and 2 × FRG) it needs 8 inputs and 8 outputs as shown in Figure 15(b). The inputs include Clock (Clk) and Data (D), 2 constant inputs and 4 test vectors (I1, I2, I3, and I4). The two test vectors (I1, I2) are employed for the testable circuit of master, and other two test vectors (I3 I4) are used for the testable circuit of a slave. The test vectors are the notation of control inputs. This design has the option to set a control input, which is compared with three testing modes (normal, s-a-0, and s-a-1). If test- ing vectors match any three modes, the design ensures the testable feature and safely run the logic computation. Testable modes are presented in Figure 15(b). The con- struction of testable D flip-flop are utilized reversible met- rics GC of 4, GO of 5, and QC of 22. 7.2. Behavioral Description of Testable Master-Slave D Flip-Flop The testable master-slave D-FF consists of two levels, namely, the testable circuit of master and testable circuit of the slave as shown in Figure 15(a). These level are then extensively used to synthesize the testable circuit of master-slave D-FF. These level are described below: First level: In the first level is used of 1×R-CQCA, and 1 ×FRG to generate the O1, and O2 of the testable signal for the master block. The first R-CQCA is generated the two outputs as Q = Clk, and R = Qt ¯Clk +Clk D . The R output of first R-CQCA is applied as input to the first FRG gate. The second output of the FRG is feedback to input of first R-CQCA. Second level: In the second level is used of 1 × R- CQCA, and 1 × FRG to generate the O3, and O4 of the testable signal for the slave block. The output of first FRG are O1 = I1 ¯R +R I2 , and O2 = R I1 + ¯R I2 . Whereas the output of second FRG are O3, and O4. The notation I1, I2, I3, and I4 are the test vectors. The behavioral descrip- tion for the testable master-slave D-FF is divided into three steps are described below: (a) If input control signal set as (I1, I2 = 0 1 the output signal becomes O1 = ¯QtI1 ⊕ QtI2 = Qt. It means circuit work in normal mode. (b) If input control signals are applied to the individual level as master block of (I1, I2 = 0 0 and slave block of (I3, I4 = 0 0 the output signal becomes O1 = O2 = 0, and O3 = O4 = 0 the circuit will scan all the 0’s logic input signals. It means the circuit work in s-a-1 fault mode. (c) If input control signals are applied to the individual level as, master block of (I1, I2 = 1 1 and slave block of (I3, I4 = 1 1 the output signal becomes O1 = O2 = 1, 2524 J. Comput. Theor. Nanosci. 14, 2515–2527, 2017
Delivered by Ingenta to: ? IP: 103.37.201.41 On: Mon, 25 Dec 2017 13:58:14 Copyright: American Scientific Publishers RESEARCHARTICLE Misra et al. Novel Tree Structure Based Conservative Reversible BCD Adder and Sequential Circuit with Added High Testability Fig. 14. The proposed master-slave D-FF, its QC is 8, (a) schematic diagram, (b) QE realization. R-CQCA R-CQCAFRG FRG Testable circuit of Master Testable circuit of Slave Normal mode Stuck-at-1 fault Stuck-at-0 fault (a) (b) Fig. 15. Testable logic circuit: (a) Master-slave D Flip-flop; (b) testable modes. and O3 = O4 = 1 the circuit will scan all the 1’s logic input signals. It means the circuit work in s-a-1 fault mode. 8. REVERSIBLE COMPUTING PERFORMANCE METRICS EXTRACTION OF BCD ADDER CIRCUITS Reversible metrics extraction is an essential of the reversible circuit synthesize for the performance point.27 28 The reversible metrics provide several aspects i.e., GC, QC, and GO. The reversible circuit synthesize depends on the metrics that affect the circuit performance cost. The proposed circuit is compact and less GC, as well as QC as compared to other circuit designs. This work BCD adder construction approach is introduced that include quantum circuit realization for the first time. Table V illustrated the performance metrics of Full adderSubtraction with existing circuits which shows the lower metrics with coun- terpart circuit. Table VI shows the performance metrics used in BCD adder as per existing circuit. The smaller Table V. Comparison cost of reversible full adder/subtraction. FA/FA on Gate same Circuit type GC CI GO QC QE RC FA/FS architecture [7] LCG 1 2 3 10 Y Y/Y Y/N N [8] ZPLG 1 2 3 8 Y Y/Y Y/N N [9] MTSG 1 1 2 6 Y Y/N Y/N N [10] FAST 1 2 2 10 Y Y/Y Y/Y Y [11] PPFA/S 2 2 2 8 Y Y/Y Y/Y Y [12] ZRQG 1 1 2 8 Y Y/N Y/Y N [13] TSG 1 1 2 12 Y Y/N Y/N N [14] PPRG 3 1 5 21 N Y/Y Y/N N [15] PPR 1 2 3 9 Y Y/Y Y/N N [16] F2G, NPPG, 3 2 3 10 Y Y/Y Y/N N FRG [17] HNG 1 1 2 6 Y Y/N Y/N N [18] ZS2 1 2 2 – N Y/N Y/N N [19] NFTFAG 1 2 3 9 Y Y/Y Y/N N [20] BHPF, BHPS 2 2 2 8 Y Y/Y Y/Y Y Novel FAS-PP 1 2 2 10 Y Y/Y Y/Y Y J. Comput. Theor. Nanosci. 14, 2515–2527, 2017 2525
Delivered by Ingenta to: ? IP: 103.37.201.41 On: Mon, 25 Dec 2017 13:58:14 Copyright: American Scientific Publishers RESEARCHARTICLE Novel Tree Structure Based Conservative Reversible BCD Adder and Sequential Circuit with Added High Testability Misra et al. Table VI. Comparison cost of the reversible BCD adder. Circuit Gate type GC CI GO QC QE RC [7] circuit#1 LCG, FRG, 11 12 18 67 N YY F2G, MIG [7] circuit#2 ZPLG, FRG, 11 15 20 59 N YY F2G, ZCG [8] ZPLG, ZQCG, 8 14 18 61 N YY ZCG, F2G [9] MTSG, FRG, TG, 10 7 10 55 N YN FG, PG [20] BHPC, BHPB, BHPA, 11 10 14 54 N YY BHPF, BHPS Novel FAS-PP, HAS-PP, 8 14 18 72 Y YY OD-PP, F2G Table VII. Comparison cost of the reversible master-slave D-FF. Design Gate type GC CI GO QC QER R/C [21] FRG, FG 4 2 3 12 N Y/N [22] MF, FG, NOT 5 2 3 11 N Y/N [23] FRG, FG 4 2 3 12 N Y/N [26] Pareek 2 2 3 14 N Y/Y Novel R-CQCA 2 2 3 12 Y Y/Y reversible metrics can be accepted in the reversible circuit than in other competitive larger metrics reversible circuit with same operations. The existing master-slave D-FF utilizes the reversible gates which result in more gate count, garbage output, and quantum cost. It can be observed that present master- slave D-FF based on conservative, reversible gates requires 50% less gate count than,21 60% less gate count than,22 50% less gate count than,23 and 14.28% less quantum cost than.26 The proposed circuits have surpassed the existing circuits and are optimized regarding reversible metrics. Table VII shows the comparison cost result of the proposed master-slave D-FF. 9. CONCLUSION In this work, it is shown that conservative, reversible logic is effective for ensuring the robustness of circuit in the application of observation and controllable operation. Pre- dominately, this work targets circuit of BCD adder and master-slave D-FF using conservative, reversible gates. The reduction in reversible metrics using the R-CQCA for master-slave D-FF to meet the requirement of quantum computing paradigm. Further, the testable master-salve D- FF presented here is to develop circuits using minimum test vectors and can find diverse applications in the test- ing paradigm. In addition, low-cost conservative, reversible BCD adder is established. It can find diverse applica- tion in the reduction of quantum realization and quantum cost optimization. Testing overhead is also mitigated by means of effective stuck-at-fault coverage and quantum circuit’s missing gate fault and missing control fault cov- erage. Also, fault testing/debugging in a quantum circuit related to adder has not been applied so far for the reliabil- ity of the circuit is reported here with. The design capabil- ity of the proposed BCD adder for complex logic circuits such as an arithmetic logic unit which is also explored here. References 1. R. Landauer, IBM Journal of Research and Development 3, 183 (1961). 2. C. H. Bennett, IBM Journal of Research and Development 32, 16 (1988). 3. Neeraj Kumar Misra, Bibhash Sen, and Subodh Wairya, Journal of Computational Electronics 16, 1 (2017). 4. Neeraj Kumar Misra, Bibhash Sen, and Subodh Wairya, Journal of Nanoengineering and Nanomanufacturing 6, 201 (2016). 5. E. Fredkin and T. Toffoli, International Journal of Theoretical Physics 21, 219 (1982). 6. Neeraj Kumar Misra, Subodh Wairya, and Bibhash Sen, Ain Shams Engineering Journal Elsevier (2017), DOI: doi.org/10.1016/j.asej. 2017.02.005, In Press. 7. Mojtaba Valinataj, Mahboobeh Mirshekar, and Hamid Jazayeri, Computers and Electrical Engineering 53, 56 (2016). 8. R.-G. Zhou, Y.-C. Li, and M.-Q. Zhang, International Journal of Electronics 101, 1336 (2014). 9. Ashis Kumer Biswas, Md Mahmudul Hasan, Ahsan Raja Chowdhury, and Hafiz Md Hasan Babu, Microelectronics Journal 39, 1693 (2008). 10. Ankur Sarker, Avishek Bose, and Shalini Gupta, Design of a com- pact fault tolerant adder/subtractor circuits using parity preserving reversible gates, IEEE 17th International Conference on Computer and Information Technology (ICCIT) (2014), pp. 1–7. 11. Majid Haghparast and Ali Bolhassani, International Journal of The- oretical Physics 55, 1423 (2016). 12. R. Zhou, M. Zhang, Q. Wu, and Y. Shi, International Journal of Electronics 99, 1395 (2012). 13. Himanshu Thapliyal and M. B. Srinivas, A novel reversible TSG gate and its application for designing reversible carry look-ahead and other adder architectures, In Asia-Pacific Conference on Advances in Computer Systems Architecture, Springer, Berlin, Heidelberg (2005), pp. 805–817. 14. Arman Roohi, Ramtin Zand, Shaahin Angizi, and Ronald F. Demara, IEEE Transactions on Emerging Topics in Computing (2016), DOI: 10.1109/TETC.2016.2593634, In Press. 15. Majid Haghparast and Soghra Shoaei, Journal of Circuits, Systems and Computers 24, 1550006 (2015). 16. Soghra Shoaei and Majid Haghparast, Quantum Information Pro- cessing 13, 1701 (2014). 17. Majid Haghparast, Majid Mohammadi, Keivan Navi, and Moham- mad Eshghi, Journal of Circuits, Systems, and Computers 18, 311 (2009). 18. R. Zhou, Y. Shi, and J. Cao, Microelectronics Journal 42, 305 (2011). 19. Hafiz Md Hasan Babu and Md Solaiman Mia, Microelectronics Jour- nal 51, 15 (2016). 20. Majid Haghparast and Ali Bolhassani, International Journal of The- oretical Physics 55, 5118 (2016). 21. Himanshu Thapliyal and Nagarajan Ranganathan, ACM Journal on Emerging Technologies in Computing Systems (JETC) 6, 14 (2010). 22. P. L Singh, A. Majumder, B. Chowdhury, A. J. Mondal, and T. S. Shekhawat, Procedia Computer Science 57, 189 (2015). 23. Siva Kumar Sastry Hari, Shyam Shroff, S. K. Noor Mahammad, and V. Kamakoti, Efficient building blocks for reversible sequential cir- cuit design, 49th IEEE International Midwest Symposium on Circuits and Systems 1, 437 (2006). 2526 J. Comput. Theor. Nanosci. 14, 2515–2527, 2017
Delivered by Ingenta to: ? IP: 103.37.201.41 On: Mon, 25 Dec 2017 13:58:14 Copyright: American Scientific Publishers RESEARCHARTICLE Misra et al. Novel Tree Structure Based Conservative Reversible BCD Adder and Sequential Circuit with Added High Testability 24. Hari Mohan Gaur, Ashutosh Kumar Singh, and Umesh Ghanekar, Procedia Computer Science 70, 384 (2015). 25. Nils Przigoda, Gerhard Dueck, Robert Wille, and Rolf Drechsler, Fault detection in parity preserving reversible circuits, IEEE 46th International Symposium on Multiple-Valued Logic (ISMVL) (2016), pp. 44–49. 26. Vishal Pareek, Shubham Gupta, Sushil Chandra Jain, and Divya Jain, Fault tolerant and testable designs of reversible sequential building blocks, IEEE International Conference on Computer Science and Engineering Conference (ICSEC) (2014), pp. 452–457. 27. Bibhash Sen, Manojit Dutta, Samik Some, and Biplab K. Sikdar, ACM Journal on Emerging Technologies in Computing Systems (JETC) 11, 30 (2014). 28. R. Zhou, Y. Shi, M. Zhang, and H. Wang, Journal of Circuits, Sys- tems, and Computers 20, 1107 (2011). Received: 12 November 2016. Accepted: 15 December 2016. J. Comput. Theor. Nanosci. 14, 2515–2527, 2017 2527

Novel Tree Structure Based Conservative Reversible Binary Coded Decimal Adder and Sequential Circuit with Added High Testability

  • 1.
    Delivered by Ingentato: ? IP: 103.37.201.41 On: Mon, 25 Dec 2017 13:58:14 Copyright: American Scientific Publishers RESEARCHARTICLE Copyright © 2017 American Scientific Publishers All rights reserved Printed in the United States of America Journal of Computational and Theoretical Nanoscience Vol. 14, 2515–2527, 2017 Novel Tree Structure Based Conservative Reversible Binary Coded Decimal Adder and Sequential Circuit with Added High Testability Neeraj Kumar Misra1 ∗ , Bibhash Sen2 , and Subodh Wairya1 1 Department of Electronics Engineering, Institute of Engineering and Technology, Lucknow 226021, India 2 Department of Computer Science and Engineering, National Institute of Technology, Durgapur 713209, India Reversible logic has been recognized as one of the most promising technique for the realization of the quantum circuit. In this paper, a cost effective conservative, reversible binary coded deci- mal (BCD) adder is proposed for the quantum logic circuit. Towards the realization of BCD adder, few novel gates, such as Half-Adder/Subtraction (HAS-PP), Full-Adder/Subtraction (FAS-PP) and Overflow-detection (OD-PP) based on parity preserving logic are synthesized which incurs 7, 10 and 13 quantum cost respectively. Coupling these gates a novel tree-based methodology is proposed to implement the required BCD Adder. Also, the BCD adder design has been optimized to achieve the optimum value of quantum cost. In addition, the proposed BCD circuit is extended to n-bit adder using replica based techniques. Experimental result establishes the novelty of the proposed logic, which outperforms the conventional circuits in terms of logic synthesis and testability. The limitation of detecting the missing gate and missing control point of the quantum circuit of overflow detection is finally tackled this work by the proposed OD-PP with the application of the minimum test vector. In addition, reversible circuits of control inputs based testable master-slave D-FF is intended. The noted work on the testable sequential circuit presented here is to develop circuit using minimum test vectors and can find diverse application in the testing paradigm. Keywords: Conservative Logic, Fault Coverage, Reversible Logic, Master-Slave D Flip-Flop, Quantum Computing, BCD Adder, Testability. 1. INTRODUCTION Reversible logic has the promising feature of controllable operations. A controllable operation has utilized the bijec- tive property which is used for easy testing. The testing cost is increased accordingly, which increase the size, and delay of the system. Landauer’s theory shows that a logic computation that is irreversible i.e., information loss will dissipate a certain amount of energy (i.e., KTln2) for every logic bit of information loss.1 Reversible logic computa- tion has no loss of information that possible by reversible logic gates.2 Further, it has very small energy dissipation if a circuit includes of reversible gates. Reversible logic has applications in the quantum logic circuit, which is reversible by nature. The integration of reversible circuits and quantum circuits has provides a strong motivation to choose reversible logic for digital logic circuit synthesis.3 Logic synthesis of the reversible circuit is currently a pop- ular area of research. ∗ Author to whom correspondence should be addressed. In this paper, we construct conservative, reversible BCD adder an algorithm and quantum circuit testing for over- flow detection that uses the control gate and control point missing fault. The BCD adder design is achieved by a syn- thesis of three modules such as ripple carry adder, overflow detection, and overflow correction to generate the correct BCD result. An efficient algorithm for BCD adder design has shown to share the functionality of logic synthesis. The main achievement of the algorithm is to minimize the reversible metrics (i.e., gate count, garbage output, ancilla input, and quantum cost). The optimal metrics have been achieved by proposing three new conservative, reversible gates. Further, we have presented a synthesis flows for overflow detection and overflow correction in the reversible logic circuit based on Toffoli gates. The synthesis flow investigates two modes i.e., no correction and correction solutions. The use of decimal number after 9 leads to correction modes in overflow detection. In addi- tion, conservative, reversible master-slave D-FF is intro- duced. Further, the circuit of control inputs based testable J. Comput. Theor. Nanosci. 2017, Vol. 14, No. 5 1546-1955/2017/14/2515/013 doi:10.1166/jctn.2017.6772 2515
  • 2.
    Delivered by Ingentato: ? IP: 103.37.201.41 On: Mon, 25 Dec 2017 13:58:14 Copyright: American Scientific Publishers RESEARCHARTICLE Novel Tree Structure Based Conservative Reversible BCD Adder and Sequential Circuit with Added High Testability Misra et al. master-slave D-FF is designed. This work new sequential master-slave D-FF is introduced that include the quantum equivalent realization for the first time. The major achievements of this work are given as follows: • We propose a BCD adder and master-slave D-FF cir- cuits based on conservative, reversible gates. The synthesis circuits currently target the reversible circuit based on the Toffoli gate library. • We present a synthesis flow of overflow detection and overflow correction logic circuits based on the reversible circuit. • A new model of testable sequential master-slave D-FF is introduced, which employed control input test vectors to test a circuit accurately. Control output signals ensure the testability of this circuit. This testing approach is incorpo- rated with simple and efficient in the digital circuit testable world. • The proposed BCD adder and master-slave D-FF was very efficient regarding the reported cost metrics such as GC, CI, GO and QC. The remainder of the paper is organized as fol- lows: Section 2, discussed the basic terminologies. In Sections 3–7, previous work, quantum circuit, the build- ing block of BCD adder, the design of BCD adder, the design of master-slave D-FF. Section 8 discussed the com- parison results. Final Section 9 concludes the work. 2. BASIC TERMINOLOGIES This section presents an introduction of some of the basic details (what is reversible logic and need of it, the conser- vative logic need of it, and some existing reversible gates) for the understanding of work easily. Definition 2.1. Reversible logic has dissimilar with conventional circuits, which have a special bijective map- ping between the inputs and outputs. Figure 1(a) shows the reversible gate which have the same number of inputs and outputs.4 Definition 2.2. In conservative, reversible gate the hamming weight of input and output is equal, i.e., Ex-OR of all inputs equals Ex-OR of all outputs.4 The integra- tion of reversible logic and conservative logic is equal to conservative reversible logic as shown in Figure 1(b). Reversible Gate Bijective-mapping Reversible Logic Conservative Logic Conservative Reversible Logic (a) (b) Fig. 1. An n ×n architecture of: (a) Reversible gate; (b) Conservative reversible logic. 1 2 21 (a) (b) 43 5 1 2 3 4 5 6 (c) Fig. 2. Existing conservative reversible gate: (a) F2G; (b) FRG; (c) R-CQCA. A reversible logic circuit which is employing quantum gates in many logics bits are un-utilized. Therefore the garbage bits in the circuit should be optimal. For design- ing efficient reversible circuits, it is needed to minimize garbage bits to an efficient design. In reversible logic cir- cuits some constraints are highlighted below: (1) In the reversible system model, both in no feedback paths to ensure acyclic and fan-out free in case of cascade gates. (2) Reversible circuits have an equal count of inputs and outputs. 2.1. Existing Conservative, Reversible Logic Gates The existing conservative, reversible gates such as F2G, FRG, and R-CQCA have attracted the researcher’s atten- tion during the last decades for the synthesis and optimiza- tion for various kinds of circuits.5 6 Figures 2(a)–(c) shows the reversible circuit of F2G, FRG, and R-CQCA gates respectively. After introducing reversible logic, conservative logic, and existing conservative, reversible gate are described in this section. The organization of this paper is also described in this section. 3. STUDY OF PREVIOUS WORK A lot of research work on reversible computation has been carried out in the area of logic synthesis, and optimization. An extensive state-of-art-work of reversible BCD adder and sequential circuits have already done.7–23 However, there is not much work in testability of reversible BCD adder circuit and sequential circuit. The scope of reversible BCD adder and testable sequential circuit in the quantum computing paradigm are finally tackled in this work. In Valinataj et al.7 proposed a fault-tolerant BCD adder using the LCG gate for optimizing the reversible metrics. These designs are suffering more gate count. A fault-tolerant BCD adder is implemented by ZPLG, ZC, and ZQCG gates in RI-GUI Zhou et al.8 but suffered from the quantum circuit of BCD adder. Ashish kumer 2516 J. Comput. Theor. Nanosci. 14, 2515–2527, 2017
  • 3.
    Delivered by Ingentato: ? IP: 103.37.201.41 On: Mon, 25 Dec 2017 13:58:14 Copyright: American Scientific Publishers RESEARCHARTICLE Misra et al. Novel Tree Structure Based Conservative Reversible BCD Adder and Sequential Circuit with Added High Testability Biswas et al.9 presented reversible BCD adder using pro- posed MTSG, FRG, TG, FG, PG gates. These designs are not conservative approach but reversible and suffer more quantum cost and garbage outputs. Singh et al.,22 Hari et al.,23 presented the reversible implementation of sequential logic circuits. They also measure the sequential circuit parameters such as gate count, garbage outputs, ancilla inputs, and quantum cost. The conservative reversible sequential circuits along with testability approach have been performed as reported by Thapliyal et al.21 In this circuit construction framing, FRG gate is utilized. Therefore, after the careful reviewing the state-of-the-art works on these reversible circuit synthesis of BCD adder and testable sequential circuits. The limitations of most of these works targeted the reversible gate based circuit syn- thesis and optimizing reversible parameters, while lacking work on quantum logic circuit construction, and testability. The limitation of these works has finally tackled this work. 4. QUANTUM CIRCUIT Quantum computing model is adopted for circuit construc- tion such as the qubit transmission use of quantum wire and quantum gates for qubit processing. Elemental quan- tum gates (CNOT, NOT, C-V, and C-V+ ) is used for QC calculation.24 5. BUILDING BLOCKS FOR CONSERVATIVE, REVERSIBLE BCD ADDER This section introduces an optimal circuit of BCD adder. To synthesize the optimal BCD adder three new conservative reversible gates, namely HAS-PP (Half adder subtraction parity preserving), FAS-PP (Full adder sub- traction parity preserving), and OD-PP (Overflow detec- tion parity preserving) are introduced. Sections 5.1–5.3 presents the design of HAS-PP, FAS-PP, and OD-PP gates respectively. Section 6 presents the synthesis technique for constructing BCD adder with lesser cost metrics compared with previous works in the literature. The fault coverage of the overflow detection gate is shown in Section 6.8. 5.1. Proposed HAS-PP Gates Figure 3(a) shows the proposed HAS-PP gate; it maps inputs (A B C D) to output A AC ⊕B A⊕C A ¯C ⊕D). The bijective mapping is presented in Figure 3(b). In Figure 3(c) shows that: By setting the second and fourth input to ‘0’, the fan-out of circuit of A is realized in first output. At the same time A·C , A⊕C , and A· ¯C are realized in second, third, and fourth output, respectively. The major advantage of these outputs is the realization of the half-adder and half-subtraction circuit as shown in Figure 3(c). It is interesting to realize the reversible and quantum circuit for HAS-PP gate shown in Figure 3(d). 5.2. Proposed FAS-PP Gate This section presented a conservative, reversible FAS-PP gate as shown in Figure 4(a). The mapping is shown in Figure 4(b). It is interesting to realize the full adder and full subtraction. Figure 4(c) shows the procedure to use FAS-PP for achieving the full adder and full subtraction. Figure 4(c) indicates that: fourth and fifth input to ‘0’ the full adder function at the second and fourth output, whereas full subtraction at the second and third output. The reversible and quantum circuit of FAS-PP gate is pre- sented in Figure 4(d). HAS-PP HAS-PP HAS-PP PG 1 2 3 4 5 0 6 7 (a) (b) (c) (d) Fig. 3. Novel HAS-PP: (a) Functional schematic; (b) Truth table; (c) Implementation of Half addersubtraction; (d) QE. J. Comput. Theor. Nanosci. 14, 2515–2527, 2017 2517
  • 4.
    Delivered by Ingentato: ? IP: 103.37.201.41 On: Mon, 25 Dec 2017 13:58:14 Copyright: American Scientific Publishers RESEARCHARTICLE Novel Tree Structure Based Conservative Reversible BCD Adder and Sequential Circuit with Added High Testability Misra et al. FAS-PP PG 1 2 3 4 5 6 7 8 9 10 (a) (b) (c) (d) FAS-PP FAS-PP FAS-PP Fig. 4. Novel FAS-PP: (a) Function schematic; (b) Truth table; (c) Implementation of Full addersubtraction; (d) QE. 5.3. Proposed OD-PP Gate Figure 5(a) presents a functional schematic of OD-PP gate. It is a 5 × 5 conservative reversible gate which maps input vector A B C D E to output vector P = B +C D ⊕AD ⊕DE ⊕A Q = B R = C S = D T = B + C ⊕ E ⊕ AD ⊕ DE . The utility of OD-PP as an overflow detection in the design of BCD adder. Figure 5(b) shows that by setting E = 0, the fan-out of OD-PP OD-PP OD-PP OD-PP 1 2 3 4 5 6 7 8 9 10 11 12 13 (a) (d) (b) (c) Fig. 5. Novel OD-PP: (a) Function schematic; (b) Implementation of OD; (c) QE, (d) Truth table. 2518 J. Comput. Theor. Nanosci. 14, 2515–2527, 2017
  • 5.
    Delivered by Ingentato: ? IP: 103.37.201.41 On: Mon, 25 Dec 2017 13:58:14 Copyright: American Scientific Publishers RESEARCHARTICLE Misra et al. Novel Tree Structure Based Conservative Reversible BCD Adder and Sequential Circuit with Added High Testability circuit of B C D are realized in second, third, and fourth output respectively. At the same time B + C D ⊕ A is realized in first output. The major advantage of these outputs is the realization of BCD adder construction (In Section 6.5). The bijective mapping as well as con- servative property is shown in Figure 5(c). The reversible and quantum circuit is presented in Figure 5(d). 6. THE PROPOSED CIRCUIT MODEL OF BCD ADDER In this section, we construct a BCD adder. The proposed BCD adder based on three modules such as ripple carry adder (module-1), overflow detection (module-2) and over- flow correction (module-3) are constructed. These modules are constructed using new gates. These new gates have reduced the steps of logical computations required in mod- ules construction. 6.1. Module-1 Design Four FAS-PP gate designs the module-1. The QC of a module-1 is 40. The working principles of the module-1 have utilized the 4-bit binary data, which comprises 12 garbage outputs as depicted in Figure 6. The one FAS- PP can be setting the fourth and fifth inputs to be low. The sum and carry are obtained at the second and fourth output respectively. Figure 6 shows the reversible circuit of module-1. 6.2. Module-2 Design OD-PP gate designs the block of module-2 is shown in Figure 7. The optimized QC of module-2 is 13. The OD-PP gate is named as module-2. The module-2 has 5 inputs and 5 outputs which contain 1 garbage outputs g1. The working on the module-2 is to utilize Cout logic bit. The Cout logic bit specifies the overflow detection occur or not. Module-2 synthesis the Cout logic bit was con- structed from Figure 7, when setting the fourth input of the module-2 to low the fan-out logic bits are generated at second, third, and fourth output respectively. If the Cout logic bit is high signifies that overflow correction and pass Cout logic bit to the module-3, otherwise, no correction required and collect the correct BCD sum results. FAS-PP FAS-PP FAS-PP FAS-PP Fig. 6. The proposed QE of a ripple carry adder. Fig. 7. Overflow detection by OD-PP. 6.3. Module-3 Design In Figure 8(b), integrate block OC cell (Overflow correc- tion cell) is constructed by cascading the HAS-PP, FAS- PP, and F2G gates. The OC cell is named as module-3. The module-3 has 9 inputs and 9 outputs, which contain 5 garbage outputs (g1 to g5). Module-3 can be setting appro- priately by ancilla inputs (1s and 0s) on the HAS-PP, FAS- PP, and F2G gates as shown in Figure 8(a). The working of module-3 is utilized outputs Z1, Z2, Z3 and Cout2. The Z2, Z3 represent the final corrected bits, and Z4, will be effective BCD sum results. The reversible circuit is shown in Figure 8(c). 6.4. The Proposed Tree Structure of 4-Bit BCD Adder The computational operation for executing the BCD adder is the correct result within the decimal digit 9. The reversible circuit of 4-bit BCD adder is presented in Figure 9(a). The integrated block of 4-bit BCD adder is constructed by cascading module-1, module-2, and module-3. It can complete the 4-bit BCD adder design. The module-1 contains four FAS-PP. The input includes eight binary data inputs (A1, B1, A2, B2, A3, B3, A4, B4,) including carry input Cin and 14 ancilla inputs as shown in Figure 9(a). The working process is described as: First: the sum is generated from the module-1. Second: module-2 circuit detects the overflow (Sum > 9) condition, then it pass to the module-3. Finally: module-3 correct the logic bits and generate the BCD sum results. 6.5. The Proposed Tree Structure of n-Digit BCD Adder In Figure 9(b), it consists of (n−1)-digit BCD adder, and 1-digit BCD adder. It can complete n-bit BCD adder func- tions independently. The structure consists of an (n − 1)- digit BCD adder with the extended factor of (n − 1 × 9 and 1-digit BCD adder with an extended factor of 8. The extended factor means a number of gates utilized. Here n-digit BCD adder design utilizes total extended factor of n − 1 × 9 + 8 = 9n − 1 . The reversible metrics of n- bit BCD adder is shown in Table I. The n-bit BCD adder herein was constructed using the Algorithm 1. J. Comput. Theor. Nanosci. 14, 2515–2527, 2017 2519
  • 6.
    Delivered by Ingentato: ? IP: 103.37.201.41 On: Mon, 25 Dec 2017 13:58:14 Copyright: American Scientific Publishers RESEARCHARTICLE Novel Tree Structure Based Conservative Reversible BCD Adder and Sequential Circuit with Added High Testability Misra et al. HAS-PP FAS-PP F2G OC Cell (a) (b) (c) Fig. 8. The proposed architecture of overflow correction: (a) Functional schematic; (b) OC cell; (c) QE. 6.6. Established Synthesis of Overflow Detection by OD-PP Gate OD-PP gate designs the block of overflow detection is depicted in Figure 10. The working of the overflow detec- tion is to utilize four outputs (C3, S2, S3, S4). The OD-PP circuit generates the correct outputs in binary coded dec- imal input range from 0 to 9. The correction is required after decimal digit input of 9. The Cout logic bit is ‘0’ in the case of decimal input less than 9. In the case, when decimal digit greater than 9, three stages of overflow detec- tion as Firstly: the S4 = S2 = 1 in the case of a decimal digit in between 10 and 11. Secondly: S4 = S3 = 1 in the case of the decimal digit in between 12 to 15. Thirdly: the C3 = 1, for a decimal digit in between 16 to 19, as shown in Figure 10. 6.7. Established Synthesis of Overflow Correction by OC-PP Cell The overflow correction is synthesized by 3 gates (1 × FAS-PP, 11 × HAS-PP, 11 × F2G), it requires 4 inputs (Cout, S2, S3, S4) and 5 ancilla inputs. The circuit pro- duces 4 outputs (Z1, Z2, Z3, Z4) as shown in Figure 11(a). In order to established synthesis of overflow correction by OD-PP cell the Cout logic bit is high value. The intermedi- ate outputs are Cout1, and Cout2, it has the operation tables is presented in Figures 11(b), (c). The computations of Cout, S2, S3, and S4 generate the outputs such as Z2, Z3, and Z4. The inputs of OC-PP cell and outputs are presented in Figures 11(d), (e). The result of Z1, Z2, Z3, and Z4 are the correct BCD sum. The complete structure of work done around BCD adder is presented in Figure 12. Algorithm 1 (BCD Adder Design (4-bit)). Input, output: Binary input (A1, A2 An) and output (Z1 Z2 Zn) for BCD operation Begin Stage-1: Require 4 unit of FAS-PP Begin procedure 1: For i = 4 to 1 2: If i = 4 then Si = Ai ⊕Bi ⊕Ci; Ci = Ai ⊕Bi Ci ⊕AiBi End if End if Stage-2: Require 1 unit of OD-PP Take Si, and Ci logic bits from previous result outputs and generate four outputs like Cout, S2, S3, and S4 for overflow detection stage. Being procedure 3: For i = 3 to 0 If i = 3 then O1 = Cout, O2 = S2, O3 = S3, and O4 = S4, // Using OD-PP cell End if End procedure Stage-3: Overflow detection 4: If i = 2 then If O1 > 9 then Pass the Cout, to Stage-4 // Correction required Else Store the O2, O3, O4, and S1 // Final BCD outputs 2520 J. Comput. Theor. Nanosci. 14, 2515–2527, 2017
  • 7.
    Delivered by Ingentato: ? IP: 103.37.201.41 On: Mon, 25 Dec 2017 13:58:14 Copyright: American Scientific Publishers RESEARCHARTICLE Misra et al. Novel Tree Structure Based Conservative Reversible BCD Adder and Sequential Circuit with Added High Testability Ripple carry full adder BCD overflow detection BCD overflow correction (a) (b) i=4 to 1 i=4 to 1 Signal duplication m=3 to 1 n=3 to 1 j=4 to 3 j=4 to 3 Fig. 9. The proposed BCD adder: (a) 4-digit; (b) n-digit. Table I. Reversible metric of proposed n-bit BCD. Metrics Explanation Value GC n−1 ×EFdesign +8 = n−1 × 5 EF design–FAS–PP +1 EF design–OD–PP n−1 ×9+8 = 9n−1 +2 EF design–F2G +1 EF design–HAS–PP +8 QC n−1 ×QCdesign +1×QCdesign n−1 × 5×10+13+2×2+7 + 5×10+13+7+2 = n−1 × 5× QCdesign–FAS–PP +1(QCdesign–OD–PP +2(QCdesign–F2G = n−1 ×74+72 = 74n−2 +1(QCdesign–HAS–PP + 5× QCdesign–FAS–PP +1 (QCdesign–OD–PP +1(QCdesign–HAS–PP +1 (QCdesign–F2G GO n−1 ×GOdesign +1×GOdesign n−1 × 5×3+1×1+2×1+1 + 5×3+1+1+1 = n−1 × 5× GOdesign–FAS–PP +1(GOdesign–OD–PP +2(GOdesign–F2G = n−1 ×19+18 = 19n−1 +1(GOdesign–HAS–PP + 5× GOdesign–FAS–PP +1(GOdesign–OD–PP +1(GOdesign–HAS–PP +1(GOdesign–F2G Notes: EF: Extended factor; GC: Gate count; QC: Quantum cost; GO: Garbage output. J. Comput. Theor. Nanosci. 14, 2515–2527, 2017 2521
  • 8.
    Delivered by Ingentato: ? IP: 103.37.201.41 On: Mon, 25 Dec 2017 13:58:14 Copyright: American Scientific Publishers RESEARCHARTICLE Novel Tree Structure Based Conservative Reversible BCD Adder and Sequential Circuit with Added High Testability Misra et al. No correction required Correction required OD-PP circuit Fig. 10. Synthesis flows circuit for overflow detection by using OD-PP circuit. End if End if Stage-4: Require 1 unit of OC-PP cell Take O1, O2, O3, and O4 logic bits from previous result outputs and generate four BCD outputs. Begin procedure 5: If i = 1 then Z1 = S1, Z2 = Cout ⊕S1, Z3 = S2 ⊕Cout1 ⊕Cout, Z3 = Cout2 ⊕S3 //Using OC-PP cell End if End procedure End for End; 6.8. Fault Testing and Coverage Fault-testing refers to the process of observing fault. The aim of testing is to compute the output logic bit in the circuit being developed. Testing in the reversible circuit is a complicated process, and its various evolutions are under research.24 The testing of reversible circuits is a complex process that influences by ensuring the correct functioning of the system design.24 In this work off-line and on-line testing, the methodol- ogy has been adopted to cover the fault under different test vectors. The fault-testing methodology such as online and offline are described below: On-Line Testing: In this method, fault detection is com- putationally efficient and easy on applied test vectors and also characterized by the system itself find fault quickly follow the abrupt transition of bits. The online testing fault detection base of the conservative logic has been utilized for their parity bits conserved. Also, the reversible circuits of control input based testable are also include in this fault- testing methodology. Off-Line Testing: The fault estimation is given by the applied test vectors after looking at the output and then match the known outputs. This testing is categorized as stuck-at-fault and missing gate and missing control fault. These faults are commonly used for efficient testing of circuits. Add (0110) = 6, Using OC-PP circuit OC-PP circuit BCD Sum (a) (b) (d) (e) (c) Fig. 11. Synthesize flow circuit for overflow correction by OC-PP circuit; (a) Quantum circuit; (b) Input Cout1; (c) Input Cout2; (d) Circuit inputs; (e) BCD outputs. 2522 J. Comput. Theor. Nanosci. 14, 2515–2527, 2017
  • 9.
    Delivered by Ingentato: ? IP: 103.37.201.41 On: Mon, 25 Dec 2017 13:58:14 Copyright: American Scientific Publishers RESEARCHARTICLE Misra et al. Novel Tree Structure Based Conservative Reversible BCD Adder and Sequential Circuit with Added High Testability Proposed HG-PP, FAS- PP, OD-PP gates Utilization of novel gates as ‘ripple carry adder’ Quantum circuit of overflow detection Reference set as decimal 9 Sum pass Normal procss generate the BCD results Sum< 9 Quantum circuit of overflow correction Sum > 9 Add (0110) = 6 Generate the BCD results Fig. 12. The structure of BCD adder design flow. 6.9. Fault Testing/Debugging in OD-PP Gate by Stuck-at-Fault The stuck-at fault testing approach is a two type such as stuck-at-0 (s-a-0), and stuck-at-1 (s-a-1). The conven- tional stuck-at-fault testing approach is applicable in the reversible circuit. The overflow detection gate (OD-PP) has illustrated the stuck-at-fault pattern as shown in Table II. The procedure for fault patterns are generated in the fol- lowing description: First, choose any test input vectors and find the target output vectors. The test input fault is s-a-0 and s-a-1. For s-a-0/1, flip the bit, then find the Table II. Fault coverage in OD-PP. Stuck-at-fault In/Out Test: In/Out Target out Fault pattern s-a-0 A 11111 01110 01111 B 11111 01110 00110 C 11111 01110 01010 D 11111 01110 11101 E 11111 01110 11110 P 11101 11101 01101 Q 11111 01110 00110 R 11111 01110 01010 S 11111 01110 01100 T 11101 11101 11100 s-a-1 A 00000 00000 10000 B 00000 00000 01000 C 00000 00000 00100 D 00000 00000 00010 E 00000 00000 00001 P 00000 00000 10000 Q 00000 00000 01000 R 00000 00000 00100 S 00000 00000 00010 T 00000 00000 00001 Analysis: Minimal test vector = 3, Fault coverage = 11111 = 6/16×100 = 37 5%. 11101 = 2/16×100 = 12 5%, 00000 = 8/16×100 = 50%, Total Fault coverage = 37 5+12 5+50 ×100 = 100% corresponding outputs and vice versa. In the case of out- put, fault flips the output bit, then draw the fault pattern according to stuck fault model either s-a-0/1. 6.10. Fault Testing/Debugging in OD-PP Gate by Quantum Circuit Model A large amount of works has been done in the reverse circuit synthesis. Nevertheless, on that point is not much Table III. Single missing gate fault in OD-PP. SMGFs Marking method Test in Target out Fault pattern 1 [∗ a] 11111 01110 11110 2 [∗ cd] 11111 01110 11111 3 [∗ bcd] 11111 01110 11111 4 [∗ de] Fault-free 5 [∗ bd] 11111 01110 11111 6 [∗ a] Fault-free Minimum test vector = 1, Fault coverage = 4/4×100 = 100% Notes: ∗ Means missing control gate; SMGF: Single missing gate fault. Table IV. Single missing control fault in OD-PP. SMCFs Marking method Test in Target out Fault pattern 1 [e∗ ] 11111 01110 11110 2 [ac∗ ] Fault-free 3 [a∗ d] Fault-free 4 [abc∗ ] Fault-free 5 [ab∗ d] Fault-free 6 [a∗ cd] Fault-free 7 [ad∗ ] 11111 01110 11111 8 [ad∗ ] Fault-free 9 [ab∗ ] Fault-free 10 [a∗ d] Fault-free 11 [e∗ ] Fault-free Minimum test vector = 1, Fault coverage = 2/2×100 = 100% Notes: ∗ Means missing control point; SMCF: Single missing control fault. J. Comput. Theor. Nanosci. 14, 2515–2527, 2017 2523
  • 10.
    Delivered by Ingentato: ? IP: 103.37.201.41 On: Mon, 25 Dec 2017 13:58:14 Copyright: American Scientific Publishers RESEARCHARTICLE Novel Tree Structure Based Conservative Reversible BCD Adder and Sequential Circuit with Added High Testability Misra et al. [e a] [acd] [abcd] [ade] [abd] [e a] Single missing gate fault 1 2 3 4 5 6 Single missing control fault (a) (b) Fig. 13. Fault coverage in OD-PP: (a) SMGF; (b) SMCF. research work in the field of BCD adder such as testing quantum circuit. Most of the work in the area of reversible BCD adder constructed the circuit.7–9 20 These works open a door to go through the BCD adder and testing quantum circuit. More recent work reported the parity preserving circuits does not ensure the fault tolerant.25 These work open a door to the essential the quantum circuit testing in high testability area. In this work both control point and control gate are tested independently and then integrated for fault coverage. In addition, we target the maximum fault coverage with minimum test vectors. The analysis of overflow detection with OD-PP gate based on the single missing gate and a single control point which covers the 100% with only two test. It is analyzed that according to Tables III, IV that maximum 2 test vectors include the complete testing. The testing, design stages that are being presented in Figures 13(a), (b). 7. THE PROPOSED MASTER SLAVE D FLIP-FLOP A master-slave D Flip-flop consists of two units of R-CQCA gate. The circuit construction is depicted in Figure 14(a). Master-slave solves the difficulty of the race around condition. In the Figure 14(a) master unit operates with positive triggered and slave operate with negative trig- ger. The quantum equivalent synthesizes the schematic dia- gram in Figure 14(b). The third output of first R-CQCA is X = Qt ¯Clk +Clk D . This third output of first R-CQCA gate is associated as input to the first input of second R-CQCA gate. When Clk = 1, the output X = D means the master has passed the input, but slave output (Qt+1) is the previous state. The master circuit work and slave hold the previous state. Another case Clk = 0, the X becomes a storage (Hold the previous state), whereas Qt+1 becomes X means pass the output of the master. Where X is the third output of first R-CQCA gate. 7.1. Testable Master-Slave D Flip-Flop The testable master-slave D-FF contains 4 gates (2 × R- CQCA, and 2 × FRG) it needs 8 inputs and 8 outputs as shown in Figure 15(b). The inputs include Clock (Clk) and Data (D), 2 constant inputs and 4 test vectors (I1, I2, I3, and I4). The two test vectors (I1, I2) are employed for the testable circuit of master, and other two test vectors (I3 I4) are used for the testable circuit of a slave. The test vectors are the notation of control inputs. This design has the option to set a control input, which is compared with three testing modes (normal, s-a-0, and s-a-1). If test- ing vectors match any three modes, the design ensures the testable feature and safely run the logic computation. Testable modes are presented in Figure 15(b). The con- struction of testable D flip-flop are utilized reversible met- rics GC of 4, GO of 5, and QC of 22. 7.2. Behavioral Description of Testable Master-Slave D Flip-Flop The testable master-slave D-FF consists of two levels, namely, the testable circuit of master and testable circuit of the slave as shown in Figure 15(a). These level are then extensively used to synthesize the testable circuit of master-slave D-FF. These level are described below: First level: In the first level is used of 1×R-CQCA, and 1 ×FRG to generate the O1, and O2 of the testable signal for the master block. The first R-CQCA is generated the two outputs as Q = Clk, and R = Qt ¯Clk +Clk D . The R output of first R-CQCA is applied as input to the first FRG gate. The second output of the FRG is feedback to input of first R-CQCA. Second level: In the second level is used of 1 × R- CQCA, and 1 × FRG to generate the O3, and O4 of the testable signal for the slave block. The output of first FRG are O1 = I1 ¯R +R I2 , and O2 = R I1 + ¯R I2 . Whereas the output of second FRG are O3, and O4. The notation I1, I2, I3, and I4 are the test vectors. The behavioral descrip- tion for the testable master-slave D-FF is divided into three steps are described below: (a) If input control signal set as (I1, I2 = 0 1 the output signal becomes O1 = ¯QtI1 ⊕ QtI2 = Qt. It means circuit work in normal mode. (b) If input control signals are applied to the individual level as master block of (I1, I2 = 0 0 and slave block of (I3, I4 = 0 0 the output signal becomes O1 = O2 = 0, and O3 = O4 = 0 the circuit will scan all the 0’s logic input signals. It means the circuit work in s-a-1 fault mode. (c) If input control signals are applied to the individual level as, master block of (I1, I2 = 1 1 and slave block of (I3, I4 = 1 1 the output signal becomes O1 = O2 = 1, 2524 J. Comput. Theor. Nanosci. 14, 2515–2527, 2017
  • 11.
    Delivered by Ingentato: ? IP: 103.37.201.41 On: Mon, 25 Dec 2017 13:58:14 Copyright: American Scientific Publishers RESEARCHARTICLE Misra et al. Novel Tree Structure Based Conservative Reversible BCD Adder and Sequential Circuit with Added High Testability Fig. 14. The proposed master-slave D-FF, its QC is 8, (a) schematic diagram, (b) QE realization. R-CQCA R-CQCAFRG FRG Testable circuit of Master Testable circuit of Slave Normal mode Stuck-at-1 fault Stuck-at-0 fault (a) (b) Fig. 15. Testable logic circuit: (a) Master-slave D Flip-flop; (b) testable modes. and O3 = O4 = 1 the circuit will scan all the 1’s logic input signals. It means the circuit work in s-a-1 fault mode. 8. REVERSIBLE COMPUTING PERFORMANCE METRICS EXTRACTION OF BCD ADDER CIRCUITS Reversible metrics extraction is an essential of the reversible circuit synthesize for the performance point.27 28 The reversible metrics provide several aspects i.e., GC, QC, and GO. The reversible circuit synthesize depends on the metrics that affect the circuit performance cost. The proposed circuit is compact and less GC, as well as QC as compared to other circuit designs. This work BCD adder construction approach is introduced that include quantum circuit realization for the first time. Table V illustrated the performance metrics of Full adderSubtraction with existing circuits which shows the lower metrics with coun- terpart circuit. Table VI shows the performance metrics used in BCD adder as per existing circuit. The smaller Table V. Comparison cost of reversible full adder/subtraction. FA/FA on Gate same Circuit type GC CI GO QC QE RC FA/FS architecture [7] LCG 1 2 3 10 Y Y/Y Y/N N [8] ZPLG 1 2 3 8 Y Y/Y Y/N N [9] MTSG 1 1 2 6 Y Y/N Y/N N [10] FAST 1 2 2 10 Y Y/Y Y/Y Y [11] PPFA/S 2 2 2 8 Y Y/Y Y/Y Y [12] ZRQG 1 1 2 8 Y Y/N Y/Y N [13] TSG 1 1 2 12 Y Y/N Y/N N [14] PPRG 3 1 5 21 N Y/Y Y/N N [15] PPR 1 2 3 9 Y Y/Y Y/N N [16] F2G, NPPG, 3 2 3 10 Y Y/Y Y/N N FRG [17] HNG 1 1 2 6 Y Y/N Y/N N [18] ZS2 1 2 2 – N Y/N Y/N N [19] NFTFAG 1 2 3 9 Y Y/Y Y/N N [20] BHPF, BHPS 2 2 2 8 Y Y/Y Y/Y Y Novel FAS-PP 1 2 2 10 Y Y/Y Y/Y Y J. Comput. Theor. Nanosci. 14, 2515–2527, 2017 2525
  • 12.
    Delivered by Ingentato: ? IP: 103.37.201.41 On: Mon, 25 Dec 2017 13:58:14 Copyright: American Scientific Publishers RESEARCHARTICLE Novel Tree Structure Based Conservative Reversible BCD Adder and Sequential Circuit with Added High Testability Misra et al. Table VI. Comparison cost of the reversible BCD adder. Circuit Gate type GC CI GO QC QE RC [7] circuit#1 LCG, FRG, 11 12 18 67 N YY F2G, MIG [7] circuit#2 ZPLG, FRG, 11 15 20 59 N YY F2G, ZCG [8] ZPLG, ZQCG, 8 14 18 61 N YY ZCG, F2G [9] MTSG, FRG, TG, 10 7 10 55 N YN FG, PG [20] BHPC, BHPB, BHPA, 11 10 14 54 N YY BHPF, BHPS Novel FAS-PP, HAS-PP, 8 14 18 72 Y YY OD-PP, F2G Table VII. Comparison cost of the reversible master-slave D-FF. Design Gate type GC CI GO QC QER R/C [21] FRG, FG 4 2 3 12 N Y/N [22] MF, FG, NOT 5 2 3 11 N Y/N [23] FRG, FG 4 2 3 12 N Y/N [26] Pareek 2 2 3 14 N Y/Y Novel R-CQCA 2 2 3 12 Y Y/Y reversible metrics can be accepted in the reversible circuit than in other competitive larger metrics reversible circuit with same operations. The existing master-slave D-FF utilizes the reversible gates which result in more gate count, garbage output, and quantum cost. It can be observed that present master- slave D-FF based on conservative, reversible gates requires 50% less gate count than,21 60% less gate count than,22 50% less gate count than,23 and 14.28% less quantum cost than.26 The proposed circuits have surpassed the existing circuits and are optimized regarding reversible metrics. Table VII shows the comparison cost result of the proposed master-slave D-FF. 9. CONCLUSION In this work, it is shown that conservative, reversible logic is effective for ensuring the robustness of circuit in the application of observation and controllable operation. Pre- dominately, this work targets circuit of BCD adder and master-slave D-FF using conservative, reversible gates. The reduction in reversible metrics using the R-CQCA for master-slave D-FF to meet the requirement of quantum computing paradigm. Further, the testable master-salve D- FF presented here is to develop circuits using minimum test vectors and can find diverse applications in the test- ing paradigm. In addition, low-cost conservative, reversible BCD adder is established. It can find diverse applica- tion in the reduction of quantum realization and quantum cost optimization. Testing overhead is also mitigated by means of effective stuck-at-fault coverage and quantum circuit’s missing gate fault and missing control fault cov- erage. Also, fault testing/debugging in a quantum circuit related to adder has not been applied so far for the reliabil- ity of the circuit is reported here with. The design capabil- ity of the proposed BCD adder for complex logic circuits such as an arithmetic logic unit which is also explored here. References 1. R. Landauer, IBM Journal of Research and Development 3, 183 (1961). 2. C. H. Bennett, IBM Journal of Research and Development 32, 16 (1988). 3. Neeraj Kumar Misra, Bibhash Sen, and Subodh Wairya, Journal of Computational Electronics 16, 1 (2017). 4. Neeraj Kumar Misra, Bibhash Sen, and Subodh Wairya, Journal of Nanoengineering and Nanomanufacturing 6, 201 (2016). 5. E. Fredkin and T. Toffoli, International Journal of Theoretical Physics 21, 219 (1982). 6. Neeraj Kumar Misra, Subodh Wairya, and Bibhash Sen, Ain Shams Engineering Journal Elsevier (2017), DOI: doi.org/10.1016/j.asej. 2017.02.005, In Press. 7. Mojtaba Valinataj, Mahboobeh Mirshekar, and Hamid Jazayeri, Computers and Electrical Engineering 53, 56 (2016). 8. R.-G. Zhou, Y.-C. Li, and M.-Q. Zhang, International Journal of Electronics 101, 1336 (2014). 9. Ashis Kumer Biswas, Md Mahmudul Hasan, Ahsan Raja Chowdhury, and Hafiz Md Hasan Babu, Microelectronics Journal 39, 1693 (2008). 10. Ankur Sarker, Avishek Bose, and Shalini Gupta, Design of a com- pact fault tolerant adder/subtractor circuits using parity preserving reversible gates, IEEE 17th International Conference on Computer and Information Technology (ICCIT) (2014), pp. 1–7. 11. Majid Haghparast and Ali Bolhassani, International Journal of The- oretical Physics 55, 1423 (2016). 12. R. Zhou, M. Zhang, Q. Wu, and Y. Shi, International Journal of Electronics 99, 1395 (2012). 13. Himanshu Thapliyal and M. B. Srinivas, A novel reversible TSG gate and its application for designing reversible carry look-ahead and other adder architectures, In Asia-Pacific Conference on Advances in Computer Systems Architecture, Springer, Berlin, Heidelberg (2005), pp. 805–817. 14. Arman Roohi, Ramtin Zand, Shaahin Angizi, and Ronald F. Demara, IEEE Transactions on Emerging Topics in Computing (2016), DOI: 10.1109/TETC.2016.2593634, In Press. 15. Majid Haghparast and Soghra Shoaei, Journal of Circuits, Systems and Computers 24, 1550006 (2015). 16. Soghra Shoaei and Majid Haghparast, Quantum Information Pro- cessing 13, 1701 (2014). 17. Majid Haghparast, Majid Mohammadi, Keivan Navi, and Moham- mad Eshghi, Journal of Circuits, Systems, and Computers 18, 311 (2009). 18. R. Zhou, Y. Shi, and J. Cao, Microelectronics Journal 42, 305 (2011). 19. Hafiz Md Hasan Babu and Md Solaiman Mia, Microelectronics Jour- nal 51, 15 (2016). 20. Majid Haghparast and Ali Bolhassani, International Journal of The- oretical Physics 55, 5118 (2016). 21. Himanshu Thapliyal and Nagarajan Ranganathan, ACM Journal on Emerging Technologies in Computing Systems (JETC) 6, 14 (2010). 22. P. L Singh, A. Majumder, B. Chowdhury, A. J. Mondal, and T. S. Shekhawat, Procedia Computer Science 57, 189 (2015). 23. Siva Kumar Sastry Hari, Shyam Shroff, S. K. Noor Mahammad, and V. Kamakoti, Efficient building blocks for reversible sequential cir- cuit design, 49th IEEE International Midwest Symposium on Circuits and Systems 1, 437 (2006). 2526 J. Comput. Theor. Nanosci. 14, 2515–2527, 2017
  • 13.
    Delivered by Ingentato: ? IP: 103.37.201.41 On: Mon, 25 Dec 2017 13:58:14 Copyright: American Scientific Publishers RESEARCHARTICLE Misra et al. Novel Tree Structure Based Conservative Reversible BCD Adder and Sequential Circuit with Added High Testability 24. Hari Mohan Gaur, Ashutosh Kumar Singh, and Umesh Ghanekar, Procedia Computer Science 70, 384 (2015). 25. Nils Przigoda, Gerhard Dueck, Robert Wille, and Rolf Drechsler, Fault detection in parity preserving reversible circuits, IEEE 46th International Symposium on Multiple-Valued Logic (ISMVL) (2016), pp. 44–49. 26. Vishal Pareek, Shubham Gupta, Sushil Chandra Jain, and Divya Jain, Fault tolerant and testable designs of reversible sequential building blocks, IEEE International Conference on Computer Science and Engineering Conference (ICSEC) (2014), pp. 452–457. 27. Bibhash Sen, Manojit Dutta, Samik Some, and Biplab K. Sikdar, ACM Journal on Emerging Technologies in Computing Systems (JETC) 11, 30 (2014). 28. R. Zhou, Y. Shi, M. Zhang, and H. Wang, Journal of Circuits, Sys- tems, and Computers 20, 1107 (2011). Received: 12 November 2016. Accepted: 15 December 2016. J. Comput. Theor. Nanosci. 14, 2515–2527, 2017 2527