International Journal of Electrical and Computer Engineering (IJECE) Vol. 7, No. 5 October 2017, pp. 2574~2580 ISSN: 2088-8708, DOI: 10.11591/ijece.v7i1.pp2574-2580  2574 Journal homepage: http://iaescore.com/journals/index.php/IJECE Comparative Analysis of Common Edge Detection Algorithms using Pre-processing Technique R.Vijaya Kumar Reddy1 , K. Prudvi Raju2 , M. Jogendra Kumar3 , L. Ravi Kumar4 , P Ravi Prakash5 , S. Sai Kumar6 Department of Information Technology, PVPSIT, Kanuru, India Article Info ABSTRACT Article history: Received Dec 21, 2016 Revised Apr 21, 2017 Accepted Jun 25, 2017 Edge detection is the process of segmenting an image by detecting discontinuities in brightness. Several standard segmentation methods have been widely used for edge detection. However, due to inherent quality of images, these methods prove ineffective if they are applied without any pre- processing. In this paper, an image pre-processing approach has been adopted in order to get certain parameters that are useful to perform better edge detection with the standard edge detection methods. The proposed pre- processing approach involves median filtering to reduce the noise in image and then edge detection technique is carried out. Finally, Standard edge detection methods can be applied to the resultant pre-processing image and its Simulation results are show that our pre-processed approach when used with a standard edge detection method enhances its performance. Keyword: Canny technique Digital image processing Filtering Image edge detection Pre-processing Copyright © 2017 Institute of Advanced Engineering and Science. All rights reserved. Corresponding Author: R. Vijaya Kumar Reddy Department of Information Technology, PVPSIT, Kanuru, AP, India vijay2.sri@gmail.com 1. INTRODUCTION Edge detection is basically an image segmentation technique that divides spatial domain, on which the image is defined into meaningful parts or regions [1]. The discontinuities are abrupt changes in pixel intensity and the edges that characterize boundaries of objects in an image and object recognition. This is the fundamental importance of segmentation of image in processing an image. Edges typically occur on the boundary between two different regions in an image, where there is a more or less abrupt change in pixel greylevel or texture indicating the end of one region and the begining of another region. Edge detection allows user to observe those boundaries. Edge detection therefore finds practical applications in medical imaging, computer-guided surgery, satellite images, face recognition, and finger print recognition, automatic traffic controlling systems and a study of an atomical structure etc. Several edge detection techniques have been developed such as Robert, Prewitt, Sobel and Canny. However, this edge detection does not given sharp edges and which have been highly sensitive and provided poor performance in noisy images [1]. Main aim of performing segmentation on a given image is to extract maximum information from image. To remove noise from image some filters are used like Gaussian filter, median filter, etc [2]. The edge detection is also useful for detecting valuable or important changes in the value of the intensity, and can be explored to hide image distortions introduced in the channel. This kind of detection is mostly achieved using first order or second order derivative of intensity values. Moreover, one of the reasons that could make this variation high is the existence of high frequency (noise) at that area. Once data is received at the receiver, errors are detected and if possible, they are also corrected [3]. An edge detection filter can also be used to improve the appearance of blurred or anti-aliased image streams [4]. Edges can be detected using various edge detectors. This considered as the ideal edge detection algorithm for images that are corrupted with different types of noises [5]. An edge is typically extracted by computing the derivative of the image
IJECE ISSN: 2088-8708  Comparative Analysis of Common Edge Detection Algorithms using Pre-processing Technique (R.Vijaya Kumar Reddy) 2575 function. Some of the edges that normally encountered in image processing are step edge, ramp edge, spike edge, roof edge. Step edge is an abrupt intensity change. Ramp edge represents a gradual change in intensity. Spike edge represents a quick change and immediately returns to original intensity level. Roof edge is not instantaneous over a short distance [6]. Canny’s aim is to identify optimal edge detection algorithm which reduces the probability of detecting false edges, and gives sharp edges. Finally, in this method the image is processed and the resulting one is applied to standard edge detection method for to enhance the final edge detection method performance. The main aim of an edge detection method is to investigation edges of an image for detection and localization [7]. In our work, we presents a pre-processing approach is used to enhance the performance of standard edge detection methods. In our approach the image is pre-processed with median filtering and then, a standard edge detection method is applied to the resultant segmented image. The proposed pre-processing involves computation of median filtering of image and then image segmentation is carried out. The rest of the paper is organized as follows: In Section 2, a review of edge detection methods is described; advantage and disadvantage of these methods are summarized. In Section 3. the Problem Formukation for edge detection is introduced. Section 4, presents experiment results and shows a quantitative comparison between pre-processed and standard methods with and without the pre-processing. We draw the conclusion in Section 5. 2. A REVIEW ON EDGE DETECTION METHODS Edge detection is the process of determining where edges of objects fall within an image. Figure 1 shows schematic diagram for the standard edge detection method. To indentify and detect abrupt change at edges, several operators have been constructed based on different ideas. In the following section, a brief review on Edge dectection methods. Figure 1. Standard edge detector. Explaining research chronological, including research design, research procedure (in the form of algorithms, Pseudocode or other), how to test and data acquisition [1-3]. The description of the course of research should be supported references, so the explanation can be accepted scientifically [2], [4]. 2.1. First Order Edge Detector The gradient method is used to detect the edges by looking for the maximum and minimum in the first derivative of the image. Thus, consider the two dimensional function f (x, y) to represent the input image then image gradient is given by the following Equation 1. The magnitude of the gradient computed by Equation 2 gives edge strength. The gradient direction is always perpendicular to the direction of the edge. Robert, Sobel, and Prewitt operators are classified as standard first order derivative operators which are easy to operate but highly sensitive to noise [1]. 𝛻𝑓 = 𝐺[𝑓(𝑥, 𝑦)] = [ fx fy ] = [ 𝜕𝑓(𝑥,𝑦) 𝜕𝑥 𝜕𝑓(𝑥,𝑦) 𝜕𝑦 ] (1) The gradient magnitude can be computed by the Equation 2: |∇f| = √fx2 + 𝑓𝑦2 = √( 𝜕𝑓 𝜕𝑥 ) 2 + ( 𝜕𝑓 𝜕𝑦 ) 2 ≃ |𝑓𝑥| + |𝑓𝑦| (2) The gradient direction can be computed by the Equation 3: θ = tan−1 ( fy fx ) (3) Edge detection methodInput image Output image
 ISSN: 2088-8708 IJECE Vol. 7, No. 5, October 2017 : 2574 – 2580 2576 2.1.1. Robert edge detector The Roberts operator performs a simple, quick to compute, Two-Dimension spatial gradient measurement on an image. It thus highlights regions of high spatial gradient which often correspond to edges. In its most common usage, the input to the operator is a grayscale image, as is the output. Pixel values at each point in the output represent the estimated absolute magnitude of the spatial gradient of the input image at that point. It uses the following 2 × 2 two kernels [8]: Gx = [ +1 0 0 −1 ] 𝑎𝑛𝑑 Gy = [ 0 +1 −1 0 ] (4) The plus factor of this operator is its simplicity but having small kernel it is highly sensitive to noise and not compatible with today’s technology [8]. 2.1.2. Sobel Edge Detector The Sobel operator performs a two-dimension spatial gradient measurement on an image and so emphasizes regions of high spatial gradient that correspond to edges. Hence, it is used to find the approximate absolute gradient magnitude at each point in an input grayscale image. It uses the following 3 × 3 two kernels: Gx = [ −1 0 +1 −1 0 +1 −1 0 +1 ] and Gy = [ +1 +1 +1 0 0 0 −1 −1 −1 ] (5) As compared to Robert operator, Sobel operator has slow computation. When compared to Robert operator it is less sensitive to noise. 2.1.3. Prewitt Edge Detector Prewitt edge operator gives better performance than that of Sobel operator. The function of Prewitt edge detector is almost the same as Sobel detector but have different kernels: Gx = [ −1 0 +1 −1 0 +1 −1 0 +1 ] and Gy = [ +1 +1 +1 0 0 0 −1 −1 −1 ] (6) 2.2. Second Order Edge Detector Let f(x, y) be a continuous two-dimensional scalar field with (x, y) being a point in the image. To determine the derivatives an operator is applied to the intensity function f(x, y). Any definition of a second order derivate must be zero in flat areas and must be nonzero at the onset and end of a gray level step and ramp; and must be zero along ramps of constant slope [9]. The Laplacian operator ∇2 for a 2D image f(x, y) is defined by the following Equation 7 [8]: 𝛻2 𝑓(𝑥, 𝑦) = 𝜕2 𝜕𝑥2 𝑓(𝑥, 𝑦) + 𝜕2 𝜕𝑦2 𝑓(𝑥, 𝑦) (7) There are several ways to define digital Laplacian using neighborhoods. In Any definition, it has to satisfy the properties of a second derivate stated in Equation (11). The following notation is used for second order derivative in the x and y directions [9]. 𝜕2 𝑓 𝜕2 𝑥2 = 𝑓(𝑥 + 1, 𝑦) + 𝑓(𝑥 − 1, 𝑦) − 2𝑓(𝑥, 𝑦) (8) 𝜕2 𝑓 𝜕2 𝑦2 = 𝑓(𝑥, 𝑦 + 1) + 𝑓(𝑥, 𝑦 − 1) − 2𝑓(𝑥, 𝑦) (9) 𝛻2 𝑓 = [𝑓(𝑥 + 1, 𝑦) + 𝑓(𝑥 − 1, 𝑦) + 𝑓(𝑥, 𝑦 + 1) + 𝑓(𝑥, 𝑦 − 1) − 4𝑓(𝑥, 𝑦) (10) Furthermore, when the first derivative is at a maximum, the second derivative is zero [8].
IJECE ISSN: 2088-8708  Comparative Analysis of Common Edge Detection Algorithms using Pre-processing Technique (R.Vijaya Kumar Reddy) 2577 2.2.1. Laplacian Laplacian of an image f (x, y) is defined by: 𝐿[𝑓(𝑥, 𝑦)] = 𝛻2 𝑓 = [𝑓(𝑥 + 1, 𝑦) + 𝑓(𝑥 − 1, 𝑦) + 𝑓(𝑥, 𝑦 + 1) + 𝑓(𝑥, 𝑦 − 1) − 4𝑓(𝑥, 𝑦) (11) In this case, Laplacian kernel given by the following equation is adopted. 𝐺𝑥𝑦 = [ 0 1 0 1 −4 1 0 1 0 ] (12) 2.2.2 Laplacian of gaussian (Marr-Hildreth Edge Detector) It follows the following four steps [11]: 1) Smoothing the image using Gaussian filter. Gaussian smoothing helps eliminate noise. The larger the sigma, the greater the smoothing. 𝐺(𝑥, 𝑦) = 1 √2𝜋𝜎2 𝑒 −( 𝑥2+𝑦2 2𝜎2 ) (13) 2) Enhancing the edges using Laplacian operator. 𝐿𝑜𝐺(𝑥, 𝑦) = − 1 𝜋𝜎4 [1 − 𝑥2+𝑦2 2𝜎2 ] 𝑒 −( 𝑥2+𝑦2 2𝜎2 ) (14) 3) Estimate the zero crossings denote the edge location. 4) Sub-pixel location of the edge is determined by using linear interpolation. Too much smoothing may make the detection of edges difficult to indentify. 2.2.3. Difference of Gaussian To reduce the computational requirements, the Laplacian of Gaussian (LoG) is be similar to the The difference of Gaussian (DoG). The width of the edge can be changed by adjusted σ1 and σ2 values. DoG operator of an image f (x, y) is defined by: 𝐷𝑜𝐺(𝑥, 𝑦) = 𝑒 −( 𝑥2+𝑦2 2𝜋𝜎1 2) 2𝜋𝜎1 2 − 𝑒 −( 𝑥2+𝑦2 2𝜋𝜎2 2) 2𝜋𝜎2 2 (15) LoG requires large computation time for a large edge detector mask. Second Order Derivative Methods Properties. The following are the most important properties to consider when using the second order derivate: 1) Laplacian is very sensitive to noise 2) False and missing edges remains 3) Localization is better than gradient operators 2.3. Canny edge detector The Canny edge detection algorithm is known to be the optimal edge detector algorthim for detection of edge in segmentation of a image. In this paper, we followed a list of criteria to improve current methods of edge detection. The first and most obvious is low error rate. The frist criterion, it is important that edges occurring in an image should not be missed. The second criterion is that the edge points be well localized. In other words, the distance between the edge pixels as found by the detector and the actual edge is to be at a minimum [12]. A third criterion is to have single edge to only one response of a edge. This was implemented because the first two criteriors were not substantial enough to completely eliminating the possibility of multiple responses to edges. The algorithm then tracks along the top of these ridges and sets to zero all pixels that are not actually on the ridge top so as to give a thin line in the output, a process known as nonmaximal suppression. The tracking process exhibits hysteresis controlled by two thresholds values: T1 and T2 with T1 > T2. Tracking can only begin at a point on a ridge higher than T1 threshold. Tracking then continues in both directions out from that point until the height of the ridge falls below T2 thershold. This hysteresis helps to ensure that noisy edges are not broken up into multiple edges. In order to implement the canny edge detector algorithm the steps must be followed [10].
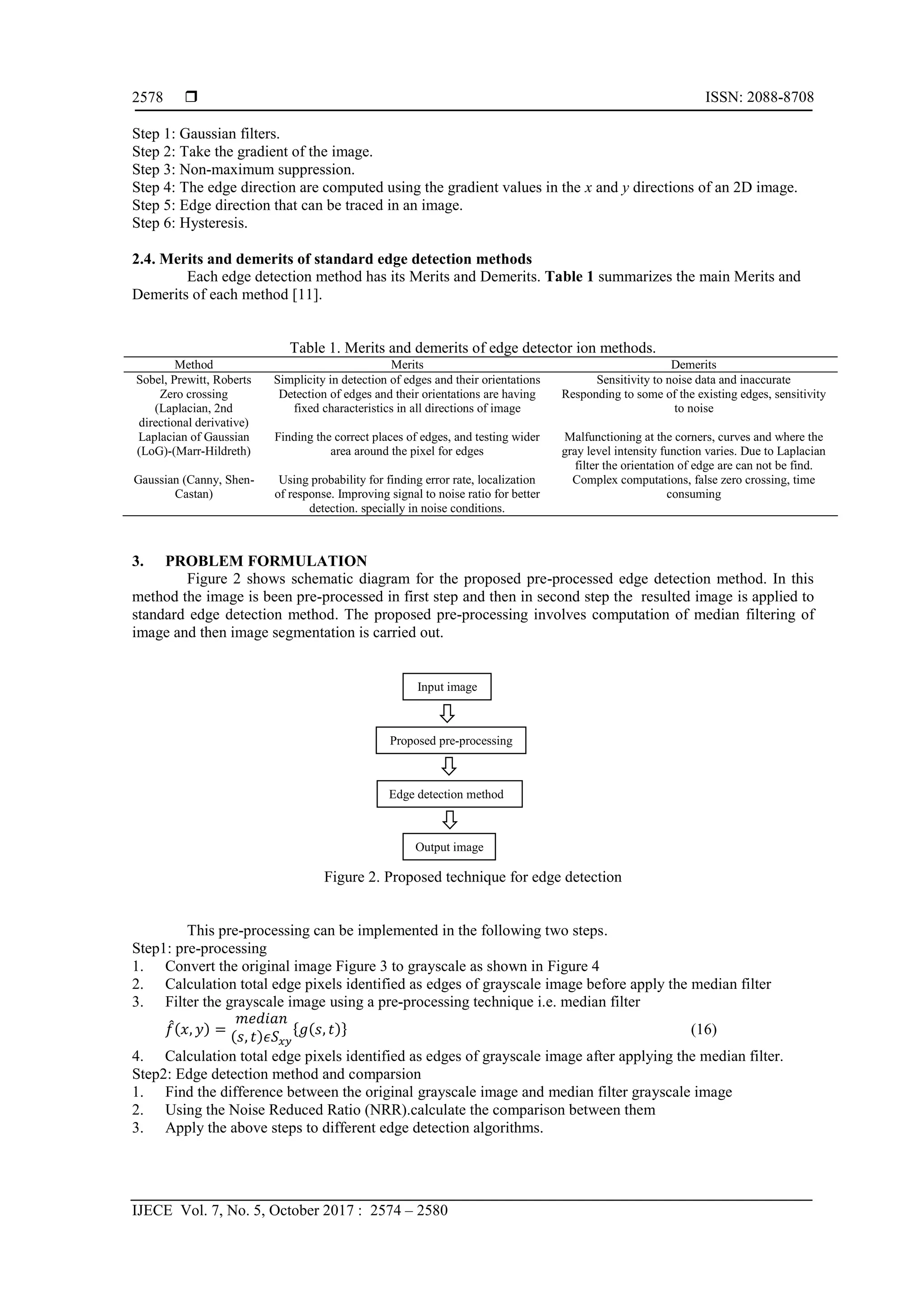
 ISSN: 2088-8708 IJECE Vol. 7, No. 5, October 2017 : 2574 – 2580 2578 Step 1: Gaussian filters. Step 2: Take the gradient of the image. Step 3: Non-maximum suppression. Step 4: The edge direction are computed using the gradient values in the x and y directions of an 2D image. Step 5: Edge direction that can be traced in an image. Step 6: Hysteresis. 2.4. Merits and demerits of standard edge detection methods Each edge detection method has its Merits and Demerits. Table 1 summarizes the main Merits and Demerits of each method [11]. Table 1. Merits and demerits of edge detector ion methods. Method Merits Demerits Sobel, Prewitt, Roberts Simplicity in detection of edges and their orientations Sensitivity to noise data and inaccurate Zero crossing (Laplacian, 2nd directional derivative) Detection of edges and their orientations are having fixed characteristics in all directions of image Responding to some of the existing edges, sensitivity to noise Laplacian of Gaussian (LoG)-(Marr-Hildreth) Finding the correct places of edges, and testing wider area around the pixel for edges Malfunctioning at the corners, curves and where the gray level intensity function varies. Due to Laplacian filter the orientation of edge are can not be find. Gaussian (Canny, Shen- Castan) Using probability for finding error rate, localization of response. Improving signal to noise ratio for better detection. specially in noise conditions. Complex computations, false zero crossing, time consuming 3. PROBLEM FORMULATION Figure 2 shows schematic diagram for the proposed pre-processed edge detection method. In this method the image is been pre-processed in first step and then in second step the resulted image is applied to standard edge detection method. The proposed pre-processing involves computation of median filtering of image and then image segmentation is carried out. Figure 2. Proposed technique for edge detection This pre-processing can be implemented in the following two steps. Step1: pre-processing 1. Convert the original image Figure 3 to grayscale as shown in Figure 4 2. Calculation total edge pixels identified as edges of grayscale image before apply the median filter 3. Filter the grayscale image using a pre-processing technique i.e. median filter 𝑓̂(𝑥, 𝑦) = 𝑚𝑒𝑑𝑖𝑎𝑛 (𝑠, 𝑡)𝜖𝑆 𝑥𝑦 {𝑔(𝑠, 𝑡)} (16) 4. Calculation total edge pixels identified as edges of grayscale image after applying the median filter. Step2: Edge detection method and comparsion 1. Find the difference between the original grayscale image and median filter grayscale image 2. Using the Noise Reduced Ratio (NRR).calculate the comparison between them 3. Apply the above steps to different edge detection algorithms. Proposed pre-processing Edge detection method Input image Output image
IJECE ISSN: 2088-8708  Comparative Analysis of Common Edge Detection Algorithms using Pre-processing Technique (R.Vijaya Kumar Reddy) 2579 Figure 3. Original images Figure 4. Gray images 4. RESULTS This section presents a comparison between different edge detection models. For this purpose MATLAB 8.1 (R2013a) program has been adopted to investigate the difference between edge detection models. This comparison between Roberts, Prewitt, sobel, log and Canny edge detection methods is done using ground truth of images. The performance parameters used are Edge Pixels Before Pre-processing (EPB), Edge Pixels After Pre-processing (EPA) and Noise Reduced Ratio (NRR). The original images are used in simulation and its ground truth and the output of standard and pre-processed methods mentioned in Table 2. EPB = ( 1 𝑁𝑀 ∑ ∑ Bij M j=1 N i=1 ) ∗ 100 (17) EPA = ( 1 𝑁𝑀 ∑ ∑ Aij M j=1 N i=1 ) ∗ 100 (18) Here Bij and Aij is Edge pixel identified before and After pre-processing, N and M are row and cloumn size. Noise Reduced Ratio (NRR) = EPA-EPB. (19) Table 2. Comparison between the proposed pre-processed and standard edge detection methods Edge detection method Standard Pre-processed Noise reduced ratio (NRR). Robert Sample image 98.8998 98.9926 0.0928 Lena 96.6518 96.7584 0.1066 Mandrill 97.8850 97.4209 0.4640 Prewitt Sample image 98.6603 98.8237 0.1634 Lena 96.4480 97.1218 0.6738 Mandrill 95.8822 96.8462 0.9639 Sobel Sample image 98.6338 98.7979 0.1640 Lena 96.4231 97.1101 0.6870 Mandrill 95.7845 96.7401 0.9555 Laplacian of gaussian (LoG) Sample image 96.8322 97.0711 0.2389 Lena 94.1728 94.5448 0.3719 Mandrill 88.7237 90.2029 1.4791 Canny Sample image 95.2561 95.5833 0.3271 Lena 91.9763 93.1979 1.2216 Mandrill 84.4618 86.9576 2.4958
 ISSN: 2088-8708 IJECE Vol. 7, No. 5, October 2017 : 2574 – 2580 2580 5. CONCLUSION In this paper, we have presented a pre-processing approach in order to enhance the performance of commonly used edge detection methods. The pre-processing approach consists of computation of the median filtering to reduce the noise in image and then image segmentation is carried out. Finally, a standard edge detection method can be applied to the resultant segmented images. The pre-processing approach has been summarized in steps and demonstrated by an image example. Experimental results have shown that the pre- processing approach is used with standard edge detection methods to enhance their performance. Results also shown that edge detection with the pre-processing approach provides the better performance among other standard methods. The accuracy is increase when we are working with images having more regional difference in the grey level. 6. ACKNOWLEDGEMENT Author is thankful to all Assitant Professor, Departmentt. of IT, for giving continues support and encouragement to carry out this work. Authors are also thankful to the reviewer for critically going through the manuscript and giving valuable suggestions for the improvement of manuscript. REFERENCES [1] Mukesh, K. and Rohini, S. Algorithm and Technique on Various Edge Detection: A Survey. International Journal (SIPIJ), 4, 65-75, 2013. [2] W. X. Kang, Q. Q. Yang, R. R. Liang, “The Comparative Research on Image Segmentation Algorithms”, IEEE Conference on ETCS, pp. 703-707, 2009. [3] Qurban A Memon ,“Embedding Authentication and Distortion Concealment in Images-A Noisy Channel Perspective” International Conference on Electrical Engineering,Computer Science and Informatics (EECSI 2014), Yogyakarta, Indonesia, 20-21 August 2014. [4] Rafael C. Gonzalez, Richard E. Woods, Steven L. Eddins, “Digital Image Processing Using MATLAB,” Second Edition, Gatesmark Publishing, 2009. [5] Canny, J. A Computational Approach to Edge Detection. Transactions on Pattern Analysis and Machine Intellgence, 3, 679-697, 1986. [6] M. Jogendra Kumar , GVS Raj Kumar , R. Vijay Kumar Reddy “Review On Image Segmentation Techniques”, International Journal of Scientific Research Engineering & Technology (IJSRET),3 , pp. 992-997, 2014. [7] Muammer Catak. A Nonlinear Directional Derivative Scheme for Edge Detection. International Journal of Electrical and Computer Engineering (IJECE), vol. 2, no. 4, pp. 563-570, 2012. [8] Rani, V. and Sharma, D. A Study of Edge-Detection Methods. International Journal of Science, Engineering and Technology Research (IJSETR), 1, 62-65, 2012. [9] Gonzalez, R.C. and Woods, R.E. Digital Image Processing. 2nd Edition, Prentice Hall, Upper Saddle River, 2002. [10] IKGD Putra, E Erdiawan, "High performance palmprint identification system based on two dimensional gabor,” TELKOMNIKA Telecommunication Computing Electronics and Control., vol. 8, no. 3, pp. 309-318, 2010. [11] Saluja, S., Singh, A.K. and Agrawal, S. A Study of Edge-Detection Methods. International Journal of Advanced Research in Computer and Communication Engineering (IJARCCE), 2, 994-999, 2013. [12] Gonzalez & Woods, Digital Image Processing, 3rd edition, Prentice Hall India, 2008.

Comparative Analysis of Common Edge Detection Algorithms using Pre-processing Technique

  • 1.
    International Journal ofElectrical and Computer Engineering (IJECE) Vol. 7, No. 5 October 2017, pp. 2574~2580 ISSN: 2088-8708, DOI: 10.11591/ijece.v7i1.pp2574-2580  2574 Journal homepage: http://iaescore.com/journals/index.php/IJECE Comparative Analysis of Common Edge Detection Algorithms using Pre-processing Technique R.Vijaya Kumar Reddy1 , K. Prudvi Raju2 , M. Jogendra Kumar3 , L. Ravi Kumar4 , P Ravi Prakash5 , S. Sai Kumar6 Department of Information Technology, PVPSIT, Kanuru, India Article Info ABSTRACT Article history: Received Dec 21, 2016 Revised Apr 21, 2017 Accepted Jun 25, 2017 Edge detection is the process of segmenting an image by detecting discontinuities in brightness. Several standard segmentation methods have been widely used for edge detection. However, due to inherent quality of images, these methods prove ineffective if they are applied without any pre- processing. In this paper, an image pre-processing approach has been adopted in order to get certain parameters that are useful to perform better edge detection with the standard edge detection methods. The proposed pre- processing approach involves median filtering to reduce the noise in image and then edge detection technique is carried out. Finally, Standard edge detection methods can be applied to the resultant pre-processing image and its Simulation results are show that our pre-processed approach when used with a standard edge detection method enhances its performance. Keyword: Canny technique Digital image processing Filtering Image edge detection Pre-processing Copyright © 2017 Institute of Advanced Engineering and Science. All rights reserved. Corresponding Author: R. Vijaya Kumar Reddy Department of Information Technology, PVPSIT, Kanuru, AP, India vijay2.sri@gmail.com 1. INTRODUCTION Edge detection is basically an image segmentation technique that divides spatial domain, on which the image is defined into meaningful parts or regions [1]. The discontinuities are abrupt changes in pixel intensity and the edges that characterize boundaries of objects in an image and object recognition. This is the fundamental importance of segmentation of image in processing an image. Edges typically occur on the boundary between two different regions in an image, where there is a more or less abrupt change in pixel greylevel or texture indicating the end of one region and the begining of another region. Edge detection allows user to observe those boundaries. Edge detection therefore finds practical applications in medical imaging, computer-guided surgery, satellite images, face recognition, and finger print recognition, automatic traffic controlling systems and a study of an atomical structure etc. Several edge detection techniques have been developed such as Robert, Prewitt, Sobel and Canny. However, this edge detection does not given sharp edges and which have been highly sensitive and provided poor performance in noisy images [1]. Main aim of performing segmentation on a given image is to extract maximum information from image. To remove noise from image some filters are used like Gaussian filter, median filter, etc [2]. The edge detection is also useful for detecting valuable or important changes in the value of the intensity, and can be explored to hide image distortions introduced in the channel. This kind of detection is mostly achieved using first order or second order derivative of intensity values. Moreover, one of the reasons that could make this variation high is the existence of high frequency (noise) at that area. Once data is received at the receiver, errors are detected and if possible, they are also corrected [3]. An edge detection filter can also be used to improve the appearance of blurred or anti-aliased image streams [4]. Edges can be detected using various edge detectors. This considered as the ideal edge detection algorithm for images that are corrupted with different types of noises [5]. An edge is typically extracted by computing the derivative of the image
  • 2.
    IJECE ISSN: 2088-8708 Comparative Analysis of Common Edge Detection Algorithms using Pre-processing Technique (R.Vijaya Kumar Reddy) 2575 function. Some of the edges that normally encountered in image processing are step edge, ramp edge, spike edge, roof edge. Step edge is an abrupt intensity change. Ramp edge represents a gradual change in intensity. Spike edge represents a quick change and immediately returns to original intensity level. Roof edge is not instantaneous over a short distance [6]. Canny’s aim is to identify optimal edge detection algorithm which reduces the probability of detecting false edges, and gives sharp edges. Finally, in this method the image is processed and the resulting one is applied to standard edge detection method for to enhance the final edge detection method performance. The main aim of an edge detection method is to investigation edges of an image for detection and localization [7]. In our work, we presents a pre-processing approach is used to enhance the performance of standard edge detection methods. In our approach the image is pre-processed with median filtering and then, a standard edge detection method is applied to the resultant segmented image. The proposed pre-processing involves computation of median filtering of image and then image segmentation is carried out. The rest of the paper is organized as follows: In Section 2, a review of edge detection methods is described; advantage and disadvantage of these methods are summarized. In Section 3. the Problem Formukation for edge detection is introduced. Section 4, presents experiment results and shows a quantitative comparison between pre-processed and standard methods with and without the pre-processing. We draw the conclusion in Section 5. 2. A REVIEW ON EDGE DETECTION METHODS Edge detection is the process of determining where edges of objects fall within an image. Figure 1 shows schematic diagram for the standard edge detection method. To indentify and detect abrupt change at edges, several operators have been constructed based on different ideas. In the following section, a brief review on Edge dectection methods. Figure 1. Standard edge detector. Explaining research chronological, including research design, research procedure (in the form of algorithms, Pseudocode or other), how to test and data acquisition [1-3]. The description of the course of research should be supported references, so the explanation can be accepted scientifically [2], [4]. 2.1. First Order Edge Detector The gradient method is used to detect the edges by looking for the maximum and minimum in the first derivative of the image. Thus, consider the two dimensional function f (x, y) to represent the input image then image gradient is given by the following Equation 1. The magnitude of the gradient computed by Equation 2 gives edge strength. The gradient direction is always perpendicular to the direction of the edge. Robert, Sobel, and Prewitt operators are classified as standard first order derivative operators which are easy to operate but highly sensitive to noise [1]. 𝛻𝑓 = 𝐺[𝑓(𝑥, 𝑦)] = [ fx fy ] = [ 𝜕𝑓(𝑥,𝑦) 𝜕𝑥 𝜕𝑓(𝑥,𝑦) 𝜕𝑦 ] (1) The gradient magnitude can be computed by the Equation 2: |∇f| = √fx2 + 𝑓𝑦2 = √( 𝜕𝑓 𝜕𝑥 ) 2 + ( 𝜕𝑓 𝜕𝑦 ) 2 ≃ |𝑓𝑥| + |𝑓𝑦| (2) The gradient direction can be computed by the Equation 3: θ = tan−1 ( fy fx ) (3) Edge detection methodInput image Output image
  • 3.
     ISSN: 2088-8708 IJECEVol. 7, No. 5, October 2017 : 2574 – 2580 2576 2.1.1. Robert edge detector The Roberts operator performs a simple, quick to compute, Two-Dimension spatial gradient measurement on an image. It thus highlights regions of high spatial gradient which often correspond to edges. In its most common usage, the input to the operator is a grayscale image, as is the output. Pixel values at each point in the output represent the estimated absolute magnitude of the spatial gradient of the input image at that point. It uses the following 2 × 2 two kernels [8]: Gx = [ +1 0 0 −1 ] 𝑎𝑛𝑑 Gy = [ 0 +1 −1 0 ] (4) The plus factor of this operator is its simplicity but having small kernel it is highly sensitive to noise and not compatible with today’s technology [8]. 2.1.2. Sobel Edge Detector The Sobel operator performs a two-dimension spatial gradient measurement on an image and so emphasizes regions of high spatial gradient that correspond to edges. Hence, it is used to find the approximate absolute gradient magnitude at each point in an input grayscale image. It uses the following 3 × 3 two kernels: Gx = [ −1 0 +1 −1 0 +1 −1 0 +1 ] and Gy = [ +1 +1 +1 0 0 0 −1 −1 −1 ] (5) As compared to Robert operator, Sobel operator has slow computation. When compared to Robert operator it is less sensitive to noise. 2.1.3. Prewitt Edge Detector Prewitt edge operator gives better performance than that of Sobel operator. The function of Prewitt edge detector is almost the same as Sobel detector but have different kernels: Gx = [ −1 0 +1 −1 0 +1 −1 0 +1 ] and Gy = [ +1 +1 +1 0 0 0 −1 −1 −1 ] (6) 2.2. Second Order Edge Detector Let f(x, y) be a continuous two-dimensional scalar field with (x, y) being a point in the image. To determine the derivatives an operator is applied to the intensity function f(x, y). Any definition of a second order derivate must be zero in flat areas and must be nonzero at the onset and end of a gray level step and ramp; and must be zero along ramps of constant slope [9]. The Laplacian operator ∇2 for a 2D image f(x, y) is defined by the following Equation 7 [8]: 𝛻2 𝑓(𝑥, 𝑦) = 𝜕2 𝜕𝑥2 𝑓(𝑥, 𝑦) + 𝜕2 𝜕𝑦2 𝑓(𝑥, 𝑦) (7) There are several ways to define digital Laplacian using neighborhoods. In Any definition, it has to satisfy the properties of a second derivate stated in Equation (11). The following notation is used for second order derivative in the x and y directions [9]. 𝜕2 𝑓 𝜕2 𝑥2 = 𝑓(𝑥 + 1, 𝑦) + 𝑓(𝑥 − 1, 𝑦) − 2𝑓(𝑥, 𝑦) (8) 𝜕2 𝑓 𝜕2 𝑦2 = 𝑓(𝑥, 𝑦 + 1) + 𝑓(𝑥, 𝑦 − 1) − 2𝑓(𝑥, 𝑦) (9) 𝛻2 𝑓 = [𝑓(𝑥 + 1, 𝑦) + 𝑓(𝑥 − 1, 𝑦) + 𝑓(𝑥, 𝑦 + 1) + 𝑓(𝑥, 𝑦 − 1) − 4𝑓(𝑥, 𝑦) (10) Furthermore, when the first derivative is at a maximum, the second derivative is zero [8].
  • 4.
    IJECE ISSN: 2088-8708 Comparative Analysis of Common Edge Detection Algorithms using Pre-processing Technique (R.Vijaya Kumar Reddy) 2577 2.2.1. Laplacian Laplacian of an image f (x, y) is defined by: 𝐿[𝑓(𝑥, 𝑦)] = 𝛻2 𝑓 = [𝑓(𝑥 + 1, 𝑦) + 𝑓(𝑥 − 1, 𝑦) + 𝑓(𝑥, 𝑦 + 1) + 𝑓(𝑥, 𝑦 − 1) − 4𝑓(𝑥, 𝑦) (11) In this case, Laplacian kernel given by the following equation is adopted. 𝐺𝑥𝑦 = [ 0 1 0 1 −4 1 0 1 0 ] (12) 2.2.2 Laplacian of gaussian (Marr-Hildreth Edge Detector) It follows the following four steps [11]: 1) Smoothing the image using Gaussian filter. Gaussian smoothing helps eliminate noise. The larger the sigma, the greater the smoothing. 𝐺(𝑥, 𝑦) = 1 √2𝜋𝜎2 𝑒 −( 𝑥2+𝑦2 2𝜎2 ) (13) 2) Enhancing the edges using Laplacian operator. 𝐿𝑜𝐺(𝑥, 𝑦) = − 1 𝜋𝜎4 [1 − 𝑥2+𝑦2 2𝜎2 ] 𝑒 −( 𝑥2+𝑦2 2𝜎2 ) (14) 3) Estimate the zero crossings denote the edge location. 4) Sub-pixel location of the edge is determined by using linear interpolation. Too much smoothing may make the detection of edges difficult to indentify. 2.2.3. Difference of Gaussian To reduce the computational requirements, the Laplacian of Gaussian (LoG) is be similar to the The difference of Gaussian (DoG). The width of the edge can be changed by adjusted σ1 and σ2 values. DoG operator of an image f (x, y) is defined by: 𝐷𝑜𝐺(𝑥, 𝑦) = 𝑒 −( 𝑥2+𝑦2 2𝜋𝜎1 2) 2𝜋𝜎1 2 − 𝑒 −( 𝑥2+𝑦2 2𝜋𝜎2 2) 2𝜋𝜎2 2 (15) LoG requires large computation time for a large edge detector mask. Second Order Derivative Methods Properties. The following are the most important properties to consider when using the second order derivate: 1) Laplacian is very sensitive to noise 2) False and missing edges remains 3) Localization is better than gradient operators 2.3. Canny edge detector The Canny edge detection algorithm is known to be the optimal edge detector algorthim for detection of edge in segmentation of a image. In this paper, we followed a list of criteria to improve current methods of edge detection. The first and most obvious is low error rate. The frist criterion, it is important that edges occurring in an image should not be missed. The second criterion is that the edge points be well localized. In other words, the distance between the edge pixels as found by the detector and the actual edge is to be at a minimum [12]. A third criterion is to have single edge to only one response of a edge. This was implemented because the first two criteriors were not substantial enough to completely eliminating the possibility of multiple responses to edges. The algorithm then tracks along the top of these ridges and sets to zero all pixels that are not actually on the ridge top so as to give a thin line in the output, a process known as nonmaximal suppression. The tracking process exhibits hysteresis controlled by two thresholds values: T1 and T2 with T1 > T2. Tracking can only begin at a point on a ridge higher than T1 threshold. Tracking then continues in both directions out from that point until the height of the ridge falls below T2 thershold. This hysteresis helps to ensure that noisy edges are not broken up into multiple edges. In order to implement the canny edge detector algorithm the steps must be followed [10].
  • 5.
     ISSN: 2088-8708 IJECEVol. 7, No. 5, October 2017 : 2574 – 2580 2578 Step 1: Gaussian filters. Step 2: Take the gradient of the image. Step 3: Non-maximum suppression. Step 4: The edge direction are computed using the gradient values in the x and y directions of an 2D image. Step 5: Edge direction that can be traced in an image. Step 6: Hysteresis. 2.4. Merits and demerits of standard edge detection methods Each edge detection method has its Merits and Demerits. Table 1 summarizes the main Merits and Demerits of each method [11]. Table 1. Merits and demerits of edge detector ion methods. Method Merits Demerits Sobel, Prewitt, Roberts Simplicity in detection of edges and their orientations Sensitivity to noise data and inaccurate Zero crossing (Laplacian, 2nd directional derivative) Detection of edges and their orientations are having fixed characteristics in all directions of image Responding to some of the existing edges, sensitivity to noise Laplacian of Gaussian (LoG)-(Marr-Hildreth) Finding the correct places of edges, and testing wider area around the pixel for edges Malfunctioning at the corners, curves and where the gray level intensity function varies. Due to Laplacian filter the orientation of edge are can not be find. Gaussian (Canny, Shen- Castan) Using probability for finding error rate, localization of response. Improving signal to noise ratio for better detection. specially in noise conditions. Complex computations, false zero crossing, time consuming 3. PROBLEM FORMULATION Figure 2 shows schematic diagram for the proposed pre-processed edge detection method. In this method the image is been pre-processed in first step and then in second step the resulted image is applied to standard edge detection method. The proposed pre-processing involves computation of median filtering of image and then image segmentation is carried out. Figure 2. Proposed technique for edge detection This pre-processing can be implemented in the following two steps. Step1: pre-processing 1. Convert the original image Figure 3 to grayscale as shown in Figure 4 2. Calculation total edge pixels identified as edges of grayscale image before apply the median filter 3. Filter the grayscale image using a pre-processing technique i.e. median filter 𝑓̂(𝑥, 𝑦) = 𝑚𝑒𝑑𝑖𝑎𝑛 (𝑠, 𝑡)𝜖𝑆 𝑥𝑦 {𝑔(𝑠, 𝑡)} (16) 4. Calculation total edge pixels identified as edges of grayscale image after applying the median filter. Step2: Edge detection method and comparsion 1. Find the difference between the original grayscale image and median filter grayscale image 2. Using the Noise Reduced Ratio (NRR).calculate the comparison between them 3. Apply the above steps to different edge detection algorithms. Proposed pre-processing Edge detection method Input image Output image
  • 6.
    IJECE ISSN: 2088-8708 Comparative Analysis of Common Edge Detection Algorithms using Pre-processing Technique (R.Vijaya Kumar Reddy) 2579 Figure 3. Original images Figure 4. Gray images 4. RESULTS This section presents a comparison between different edge detection models. For this purpose MATLAB 8.1 (R2013a) program has been adopted to investigate the difference between edge detection models. This comparison between Roberts, Prewitt, sobel, log and Canny edge detection methods is done using ground truth of images. The performance parameters used are Edge Pixels Before Pre-processing (EPB), Edge Pixels After Pre-processing (EPA) and Noise Reduced Ratio (NRR). The original images are used in simulation and its ground truth and the output of standard and pre-processed methods mentioned in Table 2. EPB = ( 1 𝑁𝑀 ∑ ∑ Bij M j=1 N i=1 ) ∗ 100 (17) EPA = ( 1 𝑁𝑀 ∑ ∑ Aij M j=1 N i=1 ) ∗ 100 (18) Here Bij and Aij is Edge pixel identified before and After pre-processing, N and M are row and cloumn size. Noise Reduced Ratio (NRR) = EPA-EPB. (19) Table 2. Comparison between the proposed pre-processed and standard edge detection methods Edge detection method Standard Pre-processed Noise reduced ratio (NRR). Robert Sample image 98.8998 98.9926 0.0928 Lena 96.6518 96.7584 0.1066 Mandrill 97.8850 97.4209 0.4640 Prewitt Sample image 98.6603 98.8237 0.1634 Lena 96.4480 97.1218 0.6738 Mandrill 95.8822 96.8462 0.9639 Sobel Sample image 98.6338 98.7979 0.1640 Lena 96.4231 97.1101 0.6870 Mandrill 95.7845 96.7401 0.9555 Laplacian of gaussian (LoG) Sample image 96.8322 97.0711 0.2389 Lena 94.1728 94.5448 0.3719 Mandrill 88.7237 90.2029 1.4791 Canny Sample image 95.2561 95.5833 0.3271 Lena 91.9763 93.1979 1.2216 Mandrill 84.4618 86.9576 2.4958
  • 7.
     ISSN: 2088-8708 IJECEVol. 7, No. 5, October 2017 : 2574 – 2580 2580 5. CONCLUSION In this paper, we have presented a pre-processing approach in order to enhance the performance of commonly used edge detection methods. The pre-processing approach consists of computation of the median filtering to reduce the noise in image and then image segmentation is carried out. Finally, a standard edge detection method can be applied to the resultant segmented images. The pre-processing approach has been summarized in steps and demonstrated by an image example. Experimental results have shown that the pre- processing approach is used with standard edge detection methods to enhance their performance. Results also shown that edge detection with the pre-processing approach provides the better performance among other standard methods. The accuracy is increase when we are working with images having more regional difference in the grey level. 6. ACKNOWLEDGEMENT Author is thankful to all Assitant Professor, Departmentt. of IT, for giving continues support and encouragement to carry out this work. Authors are also thankful to the reviewer for critically going through the manuscript and giving valuable suggestions for the improvement of manuscript. REFERENCES [1] Mukesh, K. and Rohini, S. Algorithm and Technique on Various Edge Detection: A Survey. International Journal (SIPIJ), 4, 65-75, 2013. [2] W. X. Kang, Q. Q. Yang, R. R. Liang, “The Comparative Research on Image Segmentation Algorithms”, IEEE Conference on ETCS, pp. 703-707, 2009. [3] Qurban A Memon ,“Embedding Authentication and Distortion Concealment in Images-A Noisy Channel Perspective” International Conference on Electrical Engineering,Computer Science and Informatics (EECSI 2014), Yogyakarta, Indonesia, 20-21 August 2014. [4] Rafael C. Gonzalez, Richard E. Woods, Steven L. Eddins, “Digital Image Processing Using MATLAB,” Second Edition, Gatesmark Publishing, 2009. [5] Canny, J. A Computational Approach to Edge Detection. Transactions on Pattern Analysis and Machine Intellgence, 3, 679-697, 1986. [6] M. Jogendra Kumar , GVS Raj Kumar , R. Vijay Kumar Reddy “Review On Image Segmentation Techniques”, International Journal of Scientific Research Engineering & Technology (IJSRET),3 , pp. 992-997, 2014. [7] Muammer Catak. A Nonlinear Directional Derivative Scheme for Edge Detection. International Journal of Electrical and Computer Engineering (IJECE), vol. 2, no. 4, pp. 563-570, 2012. [8] Rani, V. and Sharma, D. A Study of Edge-Detection Methods. International Journal of Science, Engineering and Technology Research (IJSETR), 1, 62-65, 2012. [9] Gonzalez, R.C. and Woods, R.E. Digital Image Processing. 2nd Edition, Prentice Hall, Upper Saddle River, 2002. [10] IKGD Putra, E Erdiawan, "High performance palmprint identification system based on two dimensional gabor,” TELKOMNIKA Telecommunication Computing Electronics and Control., vol. 8, no. 3, pp. 309-318, 2010. [11] Saluja, S., Singh, A.K. and Agrawal, S. A Study of Edge-Detection Methods. International Journal of Advanced Research in Computer and Communication Engineering (IJARCCE), 2, 994-999, 2013. [12] Gonzalez & Woods, Digital Image Processing, 3rd edition, Prentice Hall India, 2008.