International Journal of Electrical and Computer Engineering (IJECE) Vol. 14, No. 3, June 2024, pp. 2533~2540 ISSN: 2088-8708, DOI: 10.11591/ijece.v14i3.pp2533-2540  2533 Journal homepage: http://ijece.iaescore.com Neural network optimizer of proportional-integral-differential controller parameters Isamiddin Siddikov, Gulruxsor Nashvandova, Gulchekhra Alimova Department of Information Processing and Management System, Faculty of Electronics and Automation, Tashkent State Technical University named after Islam Karimov, Tashkent, Uzbekistan Article Info ABSTRACT Article history: Received Dec 6, 2023 Revised Jan 23, 2024 Accepted Jan 25, 2024 Wide application of proportional-integral-differential (PID)-regulator in industry requires constant improvement of methods of its parameters adjustment. The paper deals with the issues of optimization of PID-regulator parameters with the use of neural network technology methods. A methodology for choosing the architecture (structure) of neural network optimizer is proposed, which consists in determining the number of layers, the number of neurons in each layer, as well as the form and type of activation function. Algorithms of neural network training based on the application of the method of minimizing the mismatch between the regulated value and the target value are developed. The method of back propagation of gradients is proposed to select the optimal training rate of neurons of the neural network. The neural network optimizer, which is a superstructure of the linear PID controller, allows increasing the regulation accuracy from 0.23 to 0.09, thus reducing the power consumption from 65% to 53%. The results of the conducted experiments allow us to conclude that the created neural superstructure may well become a prototype of an automatic voltage regulator (AVR)-type industrial controller for tuning the parameters of the PID controller. Keywords: Activation function Control system Learning Neural network Optimization Regulator This is an open access article under the CC BY-SA license. Corresponding Author: Gulruxsor Nashvandova Department of Information Processing and Management System, Faculty of Electronics and Automation, Tashkent State Technical University named after Islam Karimov Tashkent, Uzbekistan Email: gnashvandova@gmail.com 1. INTRODUCTION Most of the real operating control objects are considered in the works [1]–[3], and possess the properties of nonlinearity, the parameters of which dynamically change in the process of functioning of the object. Widely used linear proportional integral differential (PID) controllers [4], [5], in practice, do not allow to provide the desired behavior of the system when changing the operating mode of the object, as well as in the presence of a priori and current parametric uncertainties of information about the process [6]–[8]. This is because the optimal coefficients of linear regulators are determined only for a particular object state. However, when the state of the object changes, there is a need to reconfigure the parameters of linear regulators, which leads to a decrease in the quality of control and an increase in energy costs. This is especially characteristic of objects with high energy intensity. At present, such scientists as Siddikov et al. [9]–[12], actively research to improve control systems of technological processes based on energy-saving technologies with the use of modern control methods. One of the ways to solve this problem is the creation of adaptive-intelligent control systems of technological processes that have the properties of automation of determining the optimal tuning parameters of the PID controller, both in the design process and in operation.
 ISSN: 2088-8708 Int J Elec & Comp Eng, Vol. 14, No. 3, June 2024: 2533-2540 2534 Currently, there are a large number of methods for determining the optimal tuning parameters of process control system regulators are proposed. These methods include the Ziegler-Nichols method [13], frequency method [14], and SIEMENS adaptive PID controller [15], based on identification approaches and methods of intelligent technologies [16], [17]. Application of these methods, for operative determination of regulators' tuning parameters at the change of operating modes of the control object (CO), causes some difficulties and faces certain difficulties in identification of the control object with inertial properties [18], [19]. Methods for solving optimization problems based on evolutionary algorithms such as genetic algorithms [20], and particle swarm [21]–[23] are iterative, requiring an accurate model of the control object, which is a difficult problem. One of the ways to solve these problems is to use neural network methodology, since these methods have the properties of adaptation and learning ability to give the desired behavior to control systems, due to the possibility of using nonlinear control laws, as well as the property of adaptation to neural network control systems [24], [25]. The main advantage of neural network (NN) is the possibility of operative retraining depending on production situations. This article developed a methodology for correction of coefficients of the adaptive PID controller using a neural network optimizer. In addition, the authors of the article propose the formation of a database of situation rules designed to reconfigure the parameters of the regulator depending on the situation. The following is the order of presentation: section 2 explains the method of solving the problem and reveals the essence of the neural network optimizer of PID controller parameters. Section 3 contains the results of the analysis of the proposed method of synthesis of the neural network optimizer. Section 4 concludes with a conclusion and recommendations for further use and development of the proposed approach. 2. METHOD An important step in using a neural network to control dynamic objects is the choice of its structure. Provided that the inner layer uses a nonlinear activation function of the sigmoidal function type [26], it is sufficient to take a two-layer neural network (one inner input layer and an output layer) in the architecture, allowing for high accuracy of approximation of any function for many variables. The functional diagram of the proposed neural network optimizer having a superstructural linear PID controller [27], which is a superstructure of the controller and designed to calculate its parameters, is shown in Figure 1. Figure 1. Control scheme with neural network optimizer of regulator parameters Here, the determination of optimal tuning parameters of the PID controller 𝐾𝑃, 𝐾𝐼 and 𝐾𝐷 is carried out using neural networks. The task of the control system is to monitor the operating mode in order, on the one hand, to ensure the minimum transient process and, on the other hand, to reduce the losses of consumed energy. At the same time, the control system should provide the required quality of transients in terms of accuracy, overshoot, and number of oscillations, taking into account the nonlinear properties of the control object, without making significant changes in the structure of the control system. The number of adjustable parameters of the PID controller will be equal to 3. When using the neural network optimizer, the neural network structure is initially formed, the input parameters of which are the control task - 𝑟(𝑡), the mismatch signal - 𝑒(𝑡), the output of the linear regulator - 𝑢(𝑡) and the control object - 𝑦(𝑡), and the tuning parameter of the regulator is taken as the output variables. Then, the neural network optimizer is represented as a function of several variables characterizing the relationship between the regulator tuning parameters 𝐾𝑃, 𝐾𝐼 and 𝐾𝐷 with the input parameters of the
Int J Elec & Comp Eng ISSN: 2088-8708  Neural network optimizer of proportional-integral-differential controller parameters (Isamiddin Siddikov) 2535 optimizer. At the same time, the neural network optimizer approximates these dependencies to determine the tuning parameters of the PID controller. When using a neural network to describe the control process, an important task is to determine the number of layers of the neural network, as well as the number of neurons in the input and output layers of the network, taking into account the principle of operation of the control law used [28]. When using PID control law in control problems, the dependence of the regulator output signal on the input signals is described in the form: 𝑈(𝑠) = (𝐾𝑃 + 𝐾1 𝑆 + 𝐾𝐷𝑆) 𝑌(𝑠) (1) In this case, the transfer function of the linear regulator has the form: 𝑊 𝑐(𝑠) = 𝑈(𝑠) 𝑌(𝑠) = 𝐾𝑃 + 𝐾1 𝑆 + 𝐾𝐷𝑆 (2) Since the performance of the PID controller is estimated by the neural network discretely, with a step ∆𝑡, therefore, to determine the number of neurons of the input layer of the PID control law, it is represented in discrete form using the ratio 𝑠 = ( 𝑧−1 𝑧 )/ ∆𝑡. Then, the transfer function of the PID controller is represented in the form: 𝑊 𝑐(𝑧) = 𝐾𝑃 + 𝐾𝐼∆𝑡𝑧 𝑧−1 + 𝐾𝐷 𝑧−1 ∆𝑡𝑧 = 𝑧 𝑧−1 (𝐾𝑃 ( 𝑧−1 𝑧 ) + 𝐾𝐼∆𝑡 + 𝐾𝐷 ∆𝑡 ( 𝑧−1 𝑧 ) 2 ) = 𝑧 𝑧−1 (𝐾𝐷/∆𝑡𝑧2 − (2𝐾𝐷/∆𝑡 + 𝐾𝑃)1/𝑧 + (𝐾𝑃 + 𝐾𝐼∆𝑡 + 𝐾𝐷/∆𝑡)) (3) Introducing the notations 𝑎1 = (𝐾𝑃 + 𝐾𝐼∆𝑡 + 𝐾𝐷/∆𝑡), 𝑎2 = −(2𝐾𝐷/∆𝑡 + 𝐾𝑃), 𝑎3 = 𝐾𝐷/∆𝑡, we obtain the difference equation for the kth control step: 𝑢(𝑡𝑘) = 𝑎1𝑒(𝑡𝑘) + 𝑎2𝑒(𝑡𝑘 − ∆𝑡) + 𝑎3𝑒(𝑡𝑘 − 2∆𝑡) + 𝑢(𝑡𝑘 − ∆𝑡) (4) From this, we can see that when forming the control signal, the PID controller has information about the error signal at the current moment (clock back, two clock cycles back) and about the control signal (clock back). In our case, the number of NN inputs will be equal to 4. Here there is another important point that must be taken into account for tuning the parameters of the controller, it is related to the need to know not only about the error signal at the current moment but also about the current value of the task. In the case when at different values of the set point and the same error signals, the controller parameters have different values, then for a particular type of transient process - the set point should be considered unchanged at the considered moment. Taking this into account, (4) will take the form: 𝑢(𝑡𝑘) = (𝑎1+𝑎2+𝑎3)𝑟 − 𝑎1𝑦(𝑡𝑘) − 𝑎2𝑦(𝑡𝑘 − ∆𝑡) − 𝑎3𝑦(𝑡𝑘 − ∆𝑡) + 𝑢(𝑡𝑘 − ∆𝑡). (5) Hence, we can see that the number of inputs of the neural network is 5: the task, the output of the co at the current moment, a clock back, two clock back, and the value of the control action at the previous moment. The number of neurons in the output layer will be equal to 3, each of which corresponds to the adjustable parameters of the PID controller 𝐾𝑃, 𝐾𝐼 and 𝐾𝐷. In the output layer we use the activation function with a sigmoidal form: 𝑓(𝑠) = 1 (1+𝑒−𝑎𝑠) , 𝛼 = 𝑐𝑜𝑛𝑠𝑡 (6) To determine the number of neurons in the hidden layer of the neural network, the training sample size is taken into account. To solve this problem, we can use the formulas proposed by Ziegler-Nichols [29]: 𝑁ℎ𝑖𝑑 ≥ 2𝑁 + 1 (7) where 𝑁 is the number of inputs of the neural network. On the other hand, it is necessary to take into account the fact that the measured quantities are subject to interference. Therefore, the object characteristic is averaged over at least three points. Hence, we can conclude that when averaging the signal over three points, 15 measurements are required. In general, for a neural network optimizer, the number of neurons in the inner layer can be determined by (8):
 ISSN: 2088-8708 Int J Elec & Comp Eng, Vol. 14, No. 3, June 2024: 2533-2540 2536 𝑁ℎ𝑖𝑑 = (2𝑁 + 1) + 𝑁𝑎𝑣 + 𝑁𝑑𝑒𝑙𝑎𝑦 − 1, (8) where 𝑁 is the number of inputs of the neural network; 𝑁𝑎𝑣 is the number of averaged output data from the object; 𝑁𝑑𝑒𝑙𝑎𝑦 is the number of delayed signals from the output of the object, which are the input of the neural network. Based on this, the structure of neural network optimizer for PID controller is proposed in Figure 2. The following notations are given in the structure: 𝑥1 is task; 𝑥2 is signal from the object output delayed by one clock cycle; 𝑥3 is output signal from the control object delayed by ∆𝑡, 𝑥4 is output signal from the object delayed by 2∆𝑡; 𝑥5 is signal from the regulator output. These signals are normalized in the interval [0;1]. The values of the inner layer neurons and the output of the neural network optimizer are determined as: 𝑆𝑗 (1) = ∑ 𝜔𝑗𝑖 (1) 5 𝑗=1 ∙ 𝑥𝑖 + 𝑏𝑗 (1) , 𝑂𝑗 (1) = 𝑓(1) (𝑆𝑗 (1) ) (𝑗 = 1,15 ̅̅̅̅̅̅), 𝑆𝑘 (2) = ∑ 𝜔𝑘𝑗 (2) 15 𝑗=5 ∙ 𝑂𝑗 (1) + 𝑏𝑘 (2) , 𝑂𝑘 (2) = 𝑓(2) (𝑆𝑘 (2) ) (𝑘 = 1,3 ̅̅̅̅), where 𝜔𝑗𝑖 (1) is the weight coefficient of the connections between the neuron of the inner and input layer; 𝜔𝑗𝑖 (2) is the weight coefficient of the connections between the neuron of the output and inner layer; 𝑥𝑖 are the input signals of the neural network; 𝑏𝑗 (1) , 𝑏𝑘 (2) are the linear displacement of the neuron of the inner and output layer, respectively; 𝑂𝑗 (1) , 𝑂𝑘 (2) are output signals of neurons of the inner and output layer; 𝑆𝑗 (1) , 𝑆𝑘 (2) are total neuron values for the inner and output layer; 𝑓(1) is hyperbolic activation function; 𝑓(2) is linear activation function. Figure 2. Structure of neural network of PID controller neural network optimizer The next stage is the training of the neural network. To solve the problem of training a neural network optimizer, the paper proposes a backpropagation gradient algorithm [30], which allows for minimizing the target function of the training process. The mathematical model of training, for the proposed neural network, consists of the following procedures: 𝐸(𝑡) = 1 2 (𝑟(𝑡) − 𝑦(𝑡))2 → 𝑚𝑖𝑛,
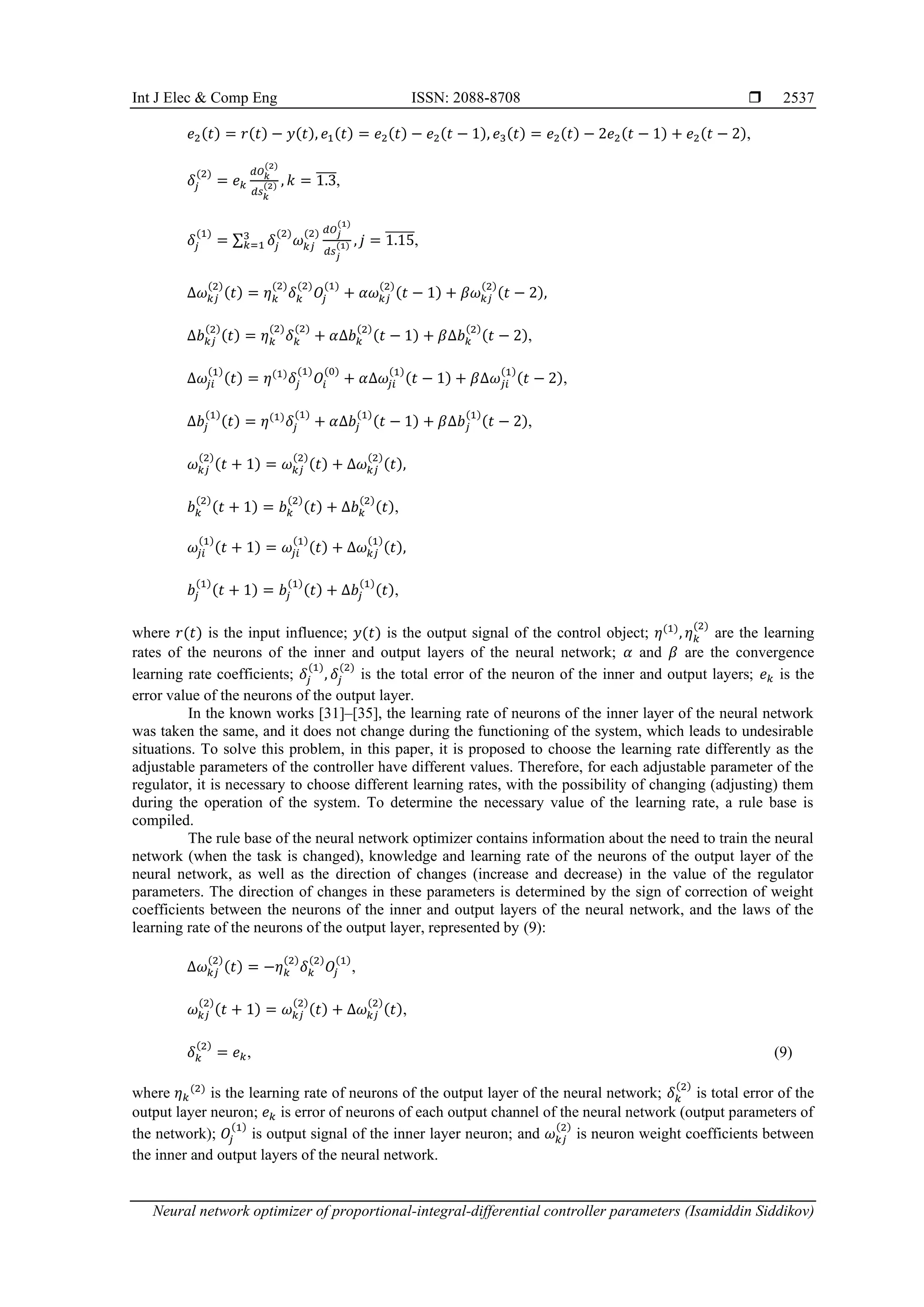
Int J Elec & Comp Eng ISSN: 2088-8708  Neural network optimizer of proportional-integral-differential controller parameters (Isamiddin Siddikov) 2537 𝑒2(𝑡) = 𝑟(𝑡) − 𝑦(𝑡), 𝑒1(𝑡) = 𝑒2(𝑡) − 𝑒2(𝑡 − 1), 𝑒3(𝑡) = 𝑒2(𝑡) − 2𝑒2(𝑡 − 1) + 𝑒2(𝑡 − 2), 𝛿𝑗 (2) = 𝑒𝑘 𝑑𝑂𝑘 (2) 𝑑𝑠𝑘 (2) , 𝑘 = 1.3 ̅̅̅̅, 𝛿𝑗 (1) = ∑ 𝛿𝑗 (2) 𝜔𝑘𝑗 (2) 𝑑𝑂𝑗 (1) 𝑑𝑠𝑗 (1) 3 𝑘=1 , 𝑗 = 1.15 ̅̅̅̅̅̅, ∆𝜔𝑘𝑗 (2) (𝑡) = 𝜂𝑘 (2) 𝛿𝑘 (2) 𝑂𝑗 (1) + 𝛼𝜔𝑘𝑗 (2) (𝑡 − 1) + 𝛽𝜔𝑘𝑗 (2) (𝑡 − 2), ∆𝑏𝑘𝑗 (2) (𝑡) = 𝜂𝑘 (2) 𝛿𝑘 (2) + 𝛼∆𝑏𝑘 (2) (𝑡 − 1) + 𝛽∆𝑏𝑘 (2) (𝑡 − 2), ∆𝜔𝑗𝑖 (1) (𝑡) = 𝜂(1) 𝛿𝑗 (1) 𝑂𝑖 (0) + 𝛼∆𝜔𝑗𝑖 (1) (𝑡 − 1) + 𝛽∆𝜔𝑗𝑖 (1) (𝑡 − 2), ∆𝑏𝑗 (1) (𝑡) = 𝜂(1) 𝛿𝑗 (1) + 𝛼∆𝑏𝑗 (1) (𝑡 − 1) + 𝛽∆𝑏𝑗 (1) (𝑡 − 2), 𝜔𝑘𝑗 (2) (𝑡 + 1) = 𝜔𝑘𝑗 (2) (𝑡) + ∆𝜔𝑘𝑗 (2) (𝑡), 𝑏𝑘 (2) (𝑡 + 1) = 𝑏𝑘 (2) (𝑡) + ∆𝑏𝑘 (2) (𝑡), 𝜔𝑗𝑖 (1) (𝑡 + 1) = 𝜔𝑗𝑖 (1) (𝑡) + ∆𝜔𝑘𝑗 (1) (𝑡), 𝑏𝑗 (1) (𝑡 + 1) = 𝑏𝑗 (1) (𝑡) + ∆𝑏𝑗 (1) (𝑡), where 𝑟(𝑡) is the input influence; 𝑦(𝑡) is the output signal of the control object; 𝜂(1) , 𝜂𝑘 (2) are the learning rates of the neurons of the inner and output layers of the neural network; 𝛼 and 𝛽 are the convergence learning rate coefficients; 𝛿𝑗 (1) , 𝛿𝑗 (2) is the total error of the neuron of the inner and output layers; 𝑒𝑘 is the error value of the neurons of the output layer. In the known works [31]–[35], the learning rate of neurons of the inner layer of the neural network was taken the same, and it does not change during the functioning of the system, which leads to undesirable situations. To solve this problem, in this paper, it is proposed to choose the learning rate differently as the adjustable parameters of the controller have different values. Therefore, for each adjustable parameter of the regulator, it is necessary to choose different learning rates, with the possibility of changing (adjusting) them during the operation of the system. To determine the necessary value of the learning rate, a rule base is compiled. The rule base of the neural network optimizer contains information about the need to train the neural network (when the task is changed), knowledge and learning rate of the neurons of the output layer of the neural network, as well as the direction of changes (increase and decrease) in the value of the regulator parameters. The direction of changes in these parameters is determined by the sign of correction of weight coefficients between the neurons of the inner and output layers of the neural network, and the laws of the learning rate of the neurons of the output layer, represented by (9): ∆𝜔𝑘𝑗 (2) (𝑡) = −𝜂𝑘 (2) 𝛿𝑘 (2) 𝑂𝑗 (1) , 𝜔𝑘𝑗 (2) (𝑡 + 1) = 𝜔𝑘𝑗 (2) (𝑡) + ∆𝜔𝑘𝑗 (2) (𝑡), 𝛿𝑘 (2) = 𝑒𝑘, (9) where 𝜂𝑘 (2) is the learning rate of neurons of the output layer of the neural network; 𝛿𝑘 (2) is total error of the output layer neuron; 𝑒𝑘 is error of neurons of each output channel of the neural network (output parameters of the network); 𝑂𝑗 (1) is output signal of the inner layer neuron; and 𝜔𝑘𝑗 (2) is neuron weight coefficients between the inner and output layers of the neural network.
 ISSN: 2088-8708 Int J Elec & Comp Eng, Vol. 14, No. 3, June 2024: 2533-2540 2538 The rule for changing the neuron learning rate is usually embedded in the neural network rule base. The choice of the discretization step (∆𝑡) is made for each specific object, taking into account its dynamic properties. Since the accuracy of neural network operation depends on the value of ∆𝑡, in general case ∆𝑡 is chosen based on the time of transient process regulation: ∆𝑡 = 𝑡𝑃/𝑁, where 𝑁 is the number of neurons of the inner layer of the neural network, 𝑡𝑃 is the regulation time. It should be noted that the proposed control system with a neural network optimizer also allows us to promptly respond to the drift of the object characteristics when changing the task and modes of its operation. 3. RESULTS AND DISCUSSION A neural network optimizer, built as a superstructure of the PID regulator, was used to control the technological parameters of the natural gas drying process. The research was carried out under the same conditions as the experiment. Natural gas with a temperature of 25 ºС and pressure of 1,894 kPa was supplied to the dryer. The process was considered complete if the transient process was established in the vicinity of 5% relative to the set one. The experimental results showed that the application of a neural network optimizer in controlling the drying process allowed to increase the completeness, which led to a decrease in zeolite consumption from 95% to 62%, by increasing the accuracy of control from 0.23 to 0.09 as shown in Table 1. As a result of the conducted experiments, it can be concluded that the created neural network optimizer can become a prototype of an industrial PID controller when tuning its parameters. Table 1. The results of the experiment showed Quality assessment Classic PID controller PID controller with neural network optimizer Control accuracy 0.23% 0.09% Zeolite consumption 95% 62% Power consumption 65% 53% A simulation experiment was conducted to test the effectiveness of the proposed approach to synthesizing a control system with a neural network optimizer. To do this, a jump signal proportional to the value of the controlled parameter of the object was supplied to the input. The experiment results showed that the synthesized control system with a neural network optimizer made it possible to achieve a 4% overshoot and reduce the duration of the transient process by 23% relative to a conventional PID controller. At that time, the classic PID controller gives a 12% overshoot. The found optimal values of the tuning parameters of the PID controller with a neural network optimizer, for the case under consideration, are equal to 𝐾𝑃 = 2.5, 𝐾𝐼 = 1.6 ∙ 10−2 . At the same time, the optimal parameters of the classic PID controller have the following values: 𝐾𝑃 = 0.9, 𝐾𝐼 = 6.976 ∙ 10−4 . 4. CONCLUSION Based on the obtained results, we can draw the following conclusions about the architecture of the neural network, for linear regulators, it is enough to have three layers, and the number of neurons in the input layer of the neural network is determined by analyzing the dynamics of the linear regulator, and the number of output neurons depends on the number of adjustable parameters of the regulator. In this case, to choose the number of neurons in the inner layer of the neural network, it is necessary to take into account the number of input neurons and the number of averaged points of the controlled parameters of the object. For neural network training the method of backpropagation of gradient is proposed, which is characterized by high convergence and accuracy. The obtained results allow us to conclude that the use of a neural network optimizer of parameters of linear regulators taking into account nonlinear properties of EI allowed to increase in the accuracy of regulation from 0.23 to 0.09, which allowed to reduce zeolite costs from 65% to 53% and reduce power losses by 12%. The proposed improvements made in the scheme of realization of the PID- neuro regulator allowed to provision of stable operation of the NS and its trainability in the control loop in real-time. In addition, when changing the parameters of the object, such a trained (and constantly operationally updated) NS can reconfigure the parameters of the PID-neuro-regulator during the transient process and provide the required quality of the transient process. The main changes of the proposed approach for neural network control of a dynamic object are to develop a methodology for changing the speed and direction of training of the neural network, as well as the rules of training the output neurons of the neural network, which are the parameters of the PID-regulator.
Int J Elec & Comp Eng ISSN: 2088-8708  Neural network optimizer of proportional-integral-differential controller parameters (Isamiddin Siddikov) 2539 REFERENCES [1] M. W. Hasan and N. H. Abbas, “Disturbance rejection for underwater robotic vehicle based on adaptive fuzzy with nonlinear PID controller,” ISA Transactions, vol. 130, pp. 360–376, Nov. 2022, doi: 10.1016/j.isatra.2022.03.020. [2] M. H. Suid and M. A. Ahmad, “Optimal tuning of sigmoid PID controller using nonlinear sine cosine algorithm for the automatic voltage regulator system,” ISA Transactions, vol. 128, pp. 265–286, Sep. 2022, doi: 10.1016/j.isatra.2021.11.037. [3] S. Malarvili and S. Mageshwari, “Nonlinear PID (N-PID) controller for SSSP grid connected inverter control of photovoltaic systems,” Electric Power Systems Research, vol. 211, Oct. 2022, doi: 10.1016/j.epsr.2022.108175. [4] Y. I. Eremenko, D. A. Poleshchenko, A. I. Glushchenko, A. M. Litvinenko, A. A. Ryndin, and E. S. Podval’Nyi, “On estimating the efficiency of a neural optimizer for the parameters of a PID controller for heating objects control,” Automation and Remote Control, vol. 75, no. 6, pp. 1137–1144, Jun. 2014, doi: 10.1134/S0005117914060137. [5] V. Y. Rotach, V. F. Kuzishchin, and S. V. Petrov, “Tuning of industrial controllers from the transient responses of control systems without approximating them by analytical expressions,” Thermal Engineering, vol. 57, no. 10, pp. 872–879, Oct. 2010, doi: 10.1134/S0040601510100083. [6] M. R. bin Ghazali, M. A. bin Ahmad, and R. M. T. bin Raja Ismail, “Adaptive safe experimentation dynamics for data-driven neuroendocrine-PID control of MIMO systems,” IETE Journal of Research, vol. 68, no. 3, pp. 1611–1624, Sep. 2022, doi: 10.1080/03772063.2019.1656556. [7] P. Huang, J. Wu, C. Y. Su, and Y. Wang, “Tracking control of soft dielectric elastomer actuator based on nonlinear PID controller,” International Journal of Control, vol. 97, no. 1, pp. 130–140, Aug. 2022, doi: 10.1080/00207179.2022.2112088. [8] Y. I. Kudinov, V. A. Kolesnikov, F. F. Pashchenko, A. F. Pashchenko, and L. Papic, “Optimization of fuzzy PID controller’s parameters,” Procedia Computer Science, vol. 103, pp. 618–622, 2017, doi: 10.1016/j.procs.2017.01.086. [9] I. Siddikov, O. Porubay, and T. Rakhimov, “Synthesis of the neuro-fuzzy regulator with genetic algorithm,” International Journal of Electrical and Computer Engineering (IJECE), vol. 14, no. 1, pp. 184–191, Feb. 2024, doi: 10.11591/ijece.v14i1.pp184-191. [10] I. K. Siddikov and O. V. Porubay, “Neuro-fuzzy system for regulating the processes of power flows in electric power facilities,” in AIP Conference Proceedings, 2022, vol. 2432, doi: 10.1063/5.0089473. [11] I. Siddikov, O. Porubay, and O. Mirjalilov, “An algorithm for optimizing short-term modes of electric power systems, taking into account the conditions of the nature of the probability of the information flow of data,” Journal of Physics: Conference Series, vol. 2373, no. 8, Dec. 2022, doi: 10.1088/1742-6596/2373/8/082014. [12] O. Porubay, I. Siddikov, and K. Madina, “Algorithm for optimizing the mode of electric power systems by active power,” in 2022 International Conference on Information Science and Communications Technologies (ICISCT), Sep. 2022, pp. 1–4, doi: 10.1109/ICISCT55600.2022.10146996. [13] B. K. O. C. Alwawi and A. F. Y. Althabhawee, “Towards more accurate and efficient human iris recognition model using deep learning technology,” TELKOMNIKA (Telecommunication Computing Electronics and Control), vol. 20, no. 4, pp. 817–824, Aug. 2022, doi: 10.12928/telkomnika.v20i4.23759. [14] K. Khunratchasana and T. Treenuntharath, “Thai digit handwriting image classification with convolution neuron networks,” Indonesian Journal of Electrical Engineering and Computer Science (IJEECS), vol. 27, no. 1, pp. 110–117, Jul. 2022, doi: 10.11591/ijeecs.v27.i1.pp110-117. [15] K. Sudarsan and G. Sreenivasan, “PV solar farm as static synchronous compensator for power compensation in hybrid system using Harris Hawks optimizer technique,” International Journal of Power Electronics and Drive Systems (IJPEDS), vol. 13, no. 1, pp. 554–560, Mar. 2022, doi: 10.11591/ijpeds.v13.i1.pp554-560. [16] K. A. Lipi, S. F. K. Adrita, Z. F. Tunny, A. H. Munna, and A. Kabir, “Static-gesture word recognition in Bangla sign language using convolutional neural network,” TELKOMNIKA (Telecommunication Computing Electronics and Control), vol. 20, no. 5, pp. 1109–1116, Oct. 2022, doi: 10.12928/telkomnika.v20i5.24096. [17] P. Vishesh, R. S, S. Jankatti, and R. V, “Eye blink detection using CNN to detect drowsiness level in drivers for road safety,” Indonesian Journal of Electrical Engineering and Computer Science (IJEECS), vol. 22, no. 1, pp. 222–231, Apr. 2021, doi: 10.11591/ijeecs.v22.i1.pp222-231. [18] Y. Hendrawan, R. Damayanti, D. F. Al Riza, and M. B. Hermanto, “Classification of water stress in cultured Sunagoke moss using deep learning,” TELKOMNIKA (Telecommunication Computing Electronics and Control), vol. 19, no. 5, pp. 1594–1604, Sep. 2021, doi: 10.12928/telkomnika.v19i5.20063. [19] S. Sarvari, N. F. M. Sani, Z. M. Hanapi, and M. T. Abdullah, “An efficient quantum multiverse optimization algorithm for solving optimization problems,” International Journal of Advances in Applied Sciences, vol. 9, no. 1, pp. 27–33, Mar. 2020, doi: 10.11591/ijaas.v9.i1.pp27-33. [20] A. MG, “Enhanced neuro-fuzzy system based on genetic algorithm for medical diagnosis,” Journal of Medical Diagnostic Methods, vol. 5, no. 1, 2016, doi: 10.4172/2168-9784.1000205. [21] X. Sun, N. Liu, R. Shen, K. Wang, Z. Zhao, and X. Sheng, “Nonlinear PID controller parameters optimization using improved particle swarm optimization algorithm for the CNC system,” Applied Sciences, vol. 12, no. 20, Oct. 2022, doi: 10.3390/app122010269. [22] B. Allaoua, B. Gasbaoui, and B. Mebarki, “Setting Up PID DC motor speed control alteration parameters using particle swarm optimization strategy,” Leonardo Electronic Journal of Practices and Technologies, no. 14, pp. 19–32, 2009. [23] D. A. Fattah, A. A. Naim, A. S. Desuky, and M. S. Zaki, “AutoKeras and particle swarm optimization to predict the price trend of stock exchange,” Bulletin of Electrical Engineering and Informatics (BEEI), vol. 11, no. 2, pp. 1100–1109, Apr. 2022, doi: 10.11591/eei.v11i2.3373. [24] X. Shi, H. Zhao, and Z. Fan, “Parameter optimization of nonlinear PID controller using RBF neural network for continuous stirred tank reactor,” Measurement and Control, vol. 56, no. 9–10, pp. 1835–1843, Nov. 2023, doi: 10.1177/00202940231189307. [25] R. H. Mok and M. A. Ahmad, “Fast and optimal tuning of fractional order PID controller for AVR system based on memorizable- smoothed functional algorithm,” Engineering Science and Technology, an International Journal, vol. 35, Nov. 2022, doi: 10.1016/j.jestch.2022.101264. [26] V. R. Segovia, T. Hagglund, and K. J. Astrom, “Noise filtering in PI and PID Control,” in Proceedings of the American Control Conference, Jun. 2013, pp. 1763–1770, doi: 10.1109/acc.2013.6580091. [27] C. M. Khidirova, S. S. Sadikova, G. M. Nashvandova, and S. E. Mirzaeva, “Neuro-fuzzy algorithm for clustering multidimensional objects in conditions of incomplete data,” Journal of Physics: Conference Series, vol. 1901, no. 1, May 2021, doi: 10.1088/1742-6596/1901/1/012036. [28] A. Alexandrov and M. Palenov, “Self-tuning PID-I controller,” IFAC Proceedings Volumes, vol. 44, no. 1, pp. 3635–3640, Jan. 2011, doi: 10.3182/20110828-6-IT-1002.00439.
 ISSN: 2088-8708 Int J Elec & Comp Eng, Vol. 14, No. 3, June 2024: 2533-2540 2540 [29] C. Khidirova, S. Sadikova, S. Mukhsinov, G. Nashvandova, and S. Mirzaeva, “Machine learning methods as a tool for diagnostic and prognostic research in cardiovascular disease,” Nov. 2021, doi: 10.1109/ICISCT52966.2021.9670168. [30] Q. Song, H. Ge, J. Caverlee, and X. Hu, “Tensor completion algorithms in big data analytics,” ACM Transactions on Knowledge Discovery from Data, vol. 13, no. 1, pp. 1–48, Jan. 2019, doi: 10.1145/3278607. [31] D. Purnamasari, K. Bachrudin, D. H. Suryana, and Robert, “Classification of meat using the convolutional neural network,” IAES International Journal of Artificial Intelligence (IJ-AI), vol. 12, no. 4, pp. 1845–1853, Dec. 2023, doi: 10.11591/ijai.v12.i4.pp1845-1853. [32] A. Mansouri, A. El Magri, I. El Myasse, R. Lajouad, and N. Elaadouli, “Backstepping nonlinear control of a five-phase PMSG aerogenerator linked to a Vienna rectifier,” Indonesian Journal of Electrical Engineering and Computer Science (IJEECS), vol. 32, no. 2, pp. 734–741, Nov. 2023, doi: 10.11591/ijeecs.v32.i2.pp734-741. [33] A. S. Kamaruddin, M. F. Hadrawi, Y. B. Wah, and S. Aliman, “An evaluation of nature-inspired optimization algorithms and machine learning classifiers for electricity fraud prediction,” Indonesian Journal of Electrical Engineering and Computer Science (IJEECS), vol. 32, no. 1, pp. 468–477, Oct. 2023, doi: 10.11591/ijeecs.v32.i1.pp468-477. [34] I. A. Dewi and M. A. N. E. Salawangi, “High performance of optimizers in deep learning for cloth patterns detection,” IAES International Journal of Artificial Intelligence (IJ-AI), vol. 12, no. 3, pp. 1407–1418, Sep. 2023, doi: 10.11591/ijai.v12.i3.pp1407- 1418. [35] R. Mothkur and V. B. Nagendrappa, “An optimal model for classification of lung cancer using grey wolf optimizer and deep hybrid learning,” Indonesian Journal of Electrical Engineering and Computer Science (IJEECS), vol. 30, no. 1, pp. 406–413, Apr. 2023, doi: 10.11591/ijeecs.v30.i1.pp406-413. BIOGRAPHIES OF AUTHORS Isamiddin Siddikov received his degree in electrical engineering with a degree in automation and telemechanic in 1976 from the Tashkent Polytechnic Institute, Tashkent, Uzbekistan. In 1989 he defended his Ph.D. thesis in the specialty of control in technical systems. In 2016 he defended his doctoral thesis in the specialty “Intellectualization of control processes for dynamic objects and technological processes.” He is currently a professor at the Tashkent State Technical University named after Islam Karimov. Under his leadership, 17 PhDs were trained. His research interests include the intellectualization of control processes for non-linear continuous-discrete dynamic objects, and the developed methods, and models used in the field of automation of electric power facilities, oil and gas, chemical-technological industries, and the light industry. In addition, he is a reviewer of leading scientific journals such as Vestnik TSTU, and Chemical Technology. Control and management”, “Technical science and innovation”. He is the author or co-author of more than 150 refereed journals and conference articles, 7 monographs and 4 textbooks, 28 scientific articles indexed in the Scopus database (Elsevier). He can be contacted at email: isamiddin54@gmail.com. Gulruxsor Nashvandova received a bachelor’s degree in vocational education (radio electronic devices and systems) from Tashkent State Technical University in 2015, and a master's degree in radio technical devices and communications in 2017. Currently, she is a doctoral student at the Department of Information Processing and Management Systems, Faculty of Electronics and Automation, Tashkent State Technical University. The main goal of his research activities is based on logical control of technological parameters of the natural gas treatment process. In this direction, she has written and published many scientific articles in domestic and foreign scientific journals, including journals indexed in Scopus and Web of Science scientific databases. She can be contacted at email: gnashvandova@gmail.com. Gulchekhra Alimova in 2000, she received a bachelor's degree from the Tashkent Institute of Textiles and Light Industry in the field of Textile Products Technology, in 2009 he received a master's degree in the specialization of technological processes and production automation and control, and in 2022, 05.01.08 - a Ph.D. in the specialization of technological processes and production automation and control degree. Currently, he is working as a Ph.D. senior lecturer at the Department of Information Processing and Control Systems, Faculty of Electronics and Automation, Tolshkent State Technical University. Her scientific interests are based on the main goal of his scientific activity: the adaptive-neural control system of cotton fiber spinning. In this direction, he has written and published many scientific articles in domestic and foreign scientific journals, including journals indexed in Scopus and Web of Science scientific databases. She can be contacted at email: alimova250979@mail.ru.

Neural network optimizer of proportional-integral-differential controller parameters

  • 1.
    International Journal ofElectrical and Computer Engineering (IJECE) Vol. 14, No. 3, June 2024, pp. 2533~2540 ISSN: 2088-8708, DOI: 10.11591/ijece.v14i3.pp2533-2540  2533 Journal homepage: http://ijece.iaescore.com Neural network optimizer of proportional-integral-differential controller parameters Isamiddin Siddikov, Gulruxsor Nashvandova, Gulchekhra Alimova Department of Information Processing and Management System, Faculty of Electronics and Automation, Tashkent State Technical University named after Islam Karimov, Tashkent, Uzbekistan Article Info ABSTRACT Article history: Received Dec 6, 2023 Revised Jan 23, 2024 Accepted Jan 25, 2024 Wide application of proportional-integral-differential (PID)-regulator in industry requires constant improvement of methods of its parameters adjustment. The paper deals with the issues of optimization of PID-regulator parameters with the use of neural network technology methods. A methodology for choosing the architecture (structure) of neural network optimizer is proposed, which consists in determining the number of layers, the number of neurons in each layer, as well as the form and type of activation function. Algorithms of neural network training based on the application of the method of minimizing the mismatch between the regulated value and the target value are developed. The method of back propagation of gradients is proposed to select the optimal training rate of neurons of the neural network. The neural network optimizer, which is a superstructure of the linear PID controller, allows increasing the regulation accuracy from 0.23 to 0.09, thus reducing the power consumption from 65% to 53%. The results of the conducted experiments allow us to conclude that the created neural superstructure may well become a prototype of an automatic voltage regulator (AVR)-type industrial controller for tuning the parameters of the PID controller. Keywords: Activation function Control system Learning Neural network Optimization Regulator This is an open access article under the CC BY-SA license. Corresponding Author: Gulruxsor Nashvandova Department of Information Processing and Management System, Faculty of Electronics and Automation, Tashkent State Technical University named after Islam Karimov Tashkent, Uzbekistan Email: gnashvandova@gmail.com 1. INTRODUCTION Most of the real operating control objects are considered in the works [1]–[3], and possess the properties of nonlinearity, the parameters of which dynamically change in the process of functioning of the object. Widely used linear proportional integral differential (PID) controllers [4], [5], in practice, do not allow to provide the desired behavior of the system when changing the operating mode of the object, as well as in the presence of a priori and current parametric uncertainties of information about the process [6]–[8]. This is because the optimal coefficients of linear regulators are determined only for a particular object state. However, when the state of the object changes, there is a need to reconfigure the parameters of linear regulators, which leads to a decrease in the quality of control and an increase in energy costs. This is especially characteristic of objects with high energy intensity. At present, such scientists as Siddikov et al. [9]–[12], actively research to improve control systems of technological processes based on energy-saving technologies with the use of modern control methods. One of the ways to solve this problem is the creation of adaptive-intelligent control systems of technological processes that have the properties of automation of determining the optimal tuning parameters of the PID controller, both in the design process and in operation.
  • 2.
     ISSN: 2088-8708 IntJ Elec & Comp Eng, Vol. 14, No. 3, June 2024: 2533-2540 2534 Currently, there are a large number of methods for determining the optimal tuning parameters of process control system regulators are proposed. These methods include the Ziegler-Nichols method [13], frequency method [14], and SIEMENS adaptive PID controller [15], based on identification approaches and methods of intelligent technologies [16], [17]. Application of these methods, for operative determination of regulators' tuning parameters at the change of operating modes of the control object (CO), causes some difficulties and faces certain difficulties in identification of the control object with inertial properties [18], [19]. Methods for solving optimization problems based on evolutionary algorithms such as genetic algorithms [20], and particle swarm [21]–[23] are iterative, requiring an accurate model of the control object, which is a difficult problem. One of the ways to solve these problems is to use neural network methodology, since these methods have the properties of adaptation and learning ability to give the desired behavior to control systems, due to the possibility of using nonlinear control laws, as well as the property of adaptation to neural network control systems [24], [25]. The main advantage of neural network (NN) is the possibility of operative retraining depending on production situations. This article developed a methodology for correction of coefficients of the adaptive PID controller using a neural network optimizer. In addition, the authors of the article propose the formation of a database of situation rules designed to reconfigure the parameters of the regulator depending on the situation. The following is the order of presentation: section 2 explains the method of solving the problem and reveals the essence of the neural network optimizer of PID controller parameters. Section 3 contains the results of the analysis of the proposed method of synthesis of the neural network optimizer. Section 4 concludes with a conclusion and recommendations for further use and development of the proposed approach. 2. METHOD An important step in using a neural network to control dynamic objects is the choice of its structure. Provided that the inner layer uses a nonlinear activation function of the sigmoidal function type [26], it is sufficient to take a two-layer neural network (one inner input layer and an output layer) in the architecture, allowing for high accuracy of approximation of any function for many variables. The functional diagram of the proposed neural network optimizer having a superstructural linear PID controller [27], which is a superstructure of the controller and designed to calculate its parameters, is shown in Figure 1. Figure 1. Control scheme with neural network optimizer of regulator parameters Here, the determination of optimal tuning parameters of the PID controller 𝐾𝑃, 𝐾𝐼 and 𝐾𝐷 is carried out using neural networks. The task of the control system is to monitor the operating mode in order, on the one hand, to ensure the minimum transient process and, on the other hand, to reduce the losses of consumed energy. At the same time, the control system should provide the required quality of transients in terms of accuracy, overshoot, and number of oscillations, taking into account the nonlinear properties of the control object, without making significant changes in the structure of the control system. The number of adjustable parameters of the PID controller will be equal to 3. When using the neural network optimizer, the neural network structure is initially formed, the input parameters of which are the control task - 𝑟(𝑡), the mismatch signal - 𝑒(𝑡), the output of the linear regulator - 𝑢(𝑡) and the control object - 𝑦(𝑡), and the tuning parameter of the regulator is taken as the output variables. Then, the neural network optimizer is represented as a function of several variables characterizing the relationship between the regulator tuning parameters 𝐾𝑃, 𝐾𝐼 and 𝐾𝐷 with the input parameters of the
  • 3.
    Int J Elec& Comp Eng ISSN: 2088-8708  Neural network optimizer of proportional-integral-differential controller parameters (Isamiddin Siddikov) 2535 optimizer. At the same time, the neural network optimizer approximates these dependencies to determine the tuning parameters of the PID controller. When using a neural network to describe the control process, an important task is to determine the number of layers of the neural network, as well as the number of neurons in the input and output layers of the network, taking into account the principle of operation of the control law used [28]. When using PID control law in control problems, the dependence of the regulator output signal on the input signals is described in the form: 𝑈(𝑠) = (𝐾𝑃 + 𝐾1 𝑆 + 𝐾𝐷𝑆) 𝑌(𝑠) (1) In this case, the transfer function of the linear regulator has the form: 𝑊 𝑐(𝑠) = 𝑈(𝑠) 𝑌(𝑠) = 𝐾𝑃 + 𝐾1 𝑆 + 𝐾𝐷𝑆 (2) Since the performance of the PID controller is estimated by the neural network discretely, with a step ∆𝑡, therefore, to determine the number of neurons of the input layer of the PID control law, it is represented in discrete form using the ratio 𝑠 = ( 𝑧−1 𝑧 )/ ∆𝑡. Then, the transfer function of the PID controller is represented in the form: 𝑊 𝑐(𝑧) = 𝐾𝑃 + 𝐾𝐼∆𝑡𝑧 𝑧−1 + 𝐾𝐷 𝑧−1 ∆𝑡𝑧 = 𝑧 𝑧−1 (𝐾𝑃 ( 𝑧−1 𝑧 ) + 𝐾𝐼∆𝑡 + 𝐾𝐷 ∆𝑡 ( 𝑧−1 𝑧 ) 2 ) = 𝑧 𝑧−1 (𝐾𝐷/∆𝑡𝑧2 − (2𝐾𝐷/∆𝑡 + 𝐾𝑃)1/𝑧 + (𝐾𝑃 + 𝐾𝐼∆𝑡 + 𝐾𝐷/∆𝑡)) (3) Introducing the notations 𝑎1 = (𝐾𝑃 + 𝐾𝐼∆𝑡 + 𝐾𝐷/∆𝑡), 𝑎2 = −(2𝐾𝐷/∆𝑡 + 𝐾𝑃), 𝑎3 = 𝐾𝐷/∆𝑡, we obtain the difference equation for the kth control step: 𝑢(𝑡𝑘) = 𝑎1𝑒(𝑡𝑘) + 𝑎2𝑒(𝑡𝑘 − ∆𝑡) + 𝑎3𝑒(𝑡𝑘 − 2∆𝑡) + 𝑢(𝑡𝑘 − ∆𝑡) (4) From this, we can see that when forming the control signal, the PID controller has information about the error signal at the current moment (clock back, two clock cycles back) and about the control signal (clock back). In our case, the number of NN inputs will be equal to 4. Here there is another important point that must be taken into account for tuning the parameters of the controller, it is related to the need to know not only about the error signal at the current moment but also about the current value of the task. In the case when at different values of the set point and the same error signals, the controller parameters have different values, then for a particular type of transient process - the set point should be considered unchanged at the considered moment. Taking this into account, (4) will take the form: 𝑢(𝑡𝑘) = (𝑎1+𝑎2+𝑎3)𝑟 − 𝑎1𝑦(𝑡𝑘) − 𝑎2𝑦(𝑡𝑘 − ∆𝑡) − 𝑎3𝑦(𝑡𝑘 − ∆𝑡) + 𝑢(𝑡𝑘 − ∆𝑡). (5) Hence, we can see that the number of inputs of the neural network is 5: the task, the output of the co at the current moment, a clock back, two clock back, and the value of the control action at the previous moment. The number of neurons in the output layer will be equal to 3, each of which corresponds to the adjustable parameters of the PID controller 𝐾𝑃, 𝐾𝐼 and 𝐾𝐷. In the output layer we use the activation function with a sigmoidal form: 𝑓(𝑠) = 1 (1+𝑒−𝑎𝑠) , 𝛼 = 𝑐𝑜𝑛𝑠𝑡 (6) To determine the number of neurons in the hidden layer of the neural network, the training sample size is taken into account. To solve this problem, we can use the formulas proposed by Ziegler-Nichols [29]: 𝑁ℎ𝑖𝑑 ≥ 2𝑁 + 1 (7) where 𝑁 is the number of inputs of the neural network. On the other hand, it is necessary to take into account the fact that the measured quantities are subject to interference. Therefore, the object characteristic is averaged over at least three points. Hence, we can conclude that when averaging the signal over three points, 15 measurements are required. In general, for a neural network optimizer, the number of neurons in the inner layer can be determined by (8):
  • 4.
     ISSN: 2088-8708 IntJ Elec & Comp Eng, Vol. 14, No. 3, June 2024: 2533-2540 2536 𝑁ℎ𝑖𝑑 = (2𝑁 + 1) + 𝑁𝑎𝑣 + 𝑁𝑑𝑒𝑙𝑎𝑦 − 1, (8) where 𝑁 is the number of inputs of the neural network; 𝑁𝑎𝑣 is the number of averaged output data from the object; 𝑁𝑑𝑒𝑙𝑎𝑦 is the number of delayed signals from the output of the object, which are the input of the neural network. Based on this, the structure of neural network optimizer for PID controller is proposed in Figure 2. The following notations are given in the structure: 𝑥1 is task; 𝑥2 is signal from the object output delayed by one clock cycle; 𝑥3 is output signal from the control object delayed by ∆𝑡, 𝑥4 is output signal from the object delayed by 2∆𝑡; 𝑥5 is signal from the regulator output. These signals are normalized in the interval [0;1]. The values of the inner layer neurons and the output of the neural network optimizer are determined as: 𝑆𝑗 (1) = ∑ 𝜔𝑗𝑖 (1) 5 𝑗=1 ∙ 𝑥𝑖 + 𝑏𝑗 (1) , 𝑂𝑗 (1) = 𝑓(1) (𝑆𝑗 (1) ) (𝑗 = 1,15 ̅̅̅̅̅̅), 𝑆𝑘 (2) = ∑ 𝜔𝑘𝑗 (2) 15 𝑗=5 ∙ 𝑂𝑗 (1) + 𝑏𝑘 (2) , 𝑂𝑘 (2) = 𝑓(2) (𝑆𝑘 (2) ) (𝑘 = 1,3 ̅̅̅̅), where 𝜔𝑗𝑖 (1) is the weight coefficient of the connections between the neuron of the inner and input layer; 𝜔𝑗𝑖 (2) is the weight coefficient of the connections between the neuron of the output and inner layer; 𝑥𝑖 are the input signals of the neural network; 𝑏𝑗 (1) , 𝑏𝑘 (2) are the linear displacement of the neuron of the inner and output layer, respectively; 𝑂𝑗 (1) , 𝑂𝑘 (2) are output signals of neurons of the inner and output layer; 𝑆𝑗 (1) , 𝑆𝑘 (2) are total neuron values for the inner and output layer; 𝑓(1) is hyperbolic activation function; 𝑓(2) is linear activation function. Figure 2. Structure of neural network of PID controller neural network optimizer The next stage is the training of the neural network. To solve the problem of training a neural network optimizer, the paper proposes a backpropagation gradient algorithm [30], which allows for minimizing the target function of the training process. The mathematical model of training, for the proposed neural network, consists of the following procedures: 𝐸(𝑡) = 1 2 (𝑟(𝑡) − 𝑦(𝑡))2 → 𝑚𝑖𝑛,
  • 5.
    Int J Elec& Comp Eng ISSN: 2088-8708  Neural network optimizer of proportional-integral-differential controller parameters (Isamiddin Siddikov) 2537 𝑒2(𝑡) = 𝑟(𝑡) − 𝑦(𝑡), 𝑒1(𝑡) = 𝑒2(𝑡) − 𝑒2(𝑡 − 1), 𝑒3(𝑡) = 𝑒2(𝑡) − 2𝑒2(𝑡 − 1) + 𝑒2(𝑡 − 2), 𝛿𝑗 (2) = 𝑒𝑘 𝑑𝑂𝑘 (2) 𝑑𝑠𝑘 (2) , 𝑘 = 1.3 ̅̅̅̅, 𝛿𝑗 (1) = ∑ 𝛿𝑗 (2) 𝜔𝑘𝑗 (2) 𝑑𝑂𝑗 (1) 𝑑𝑠𝑗 (1) 3 𝑘=1 , 𝑗 = 1.15 ̅̅̅̅̅̅, ∆𝜔𝑘𝑗 (2) (𝑡) = 𝜂𝑘 (2) 𝛿𝑘 (2) 𝑂𝑗 (1) + 𝛼𝜔𝑘𝑗 (2) (𝑡 − 1) + 𝛽𝜔𝑘𝑗 (2) (𝑡 − 2), ∆𝑏𝑘𝑗 (2) (𝑡) = 𝜂𝑘 (2) 𝛿𝑘 (2) + 𝛼∆𝑏𝑘 (2) (𝑡 − 1) + 𝛽∆𝑏𝑘 (2) (𝑡 − 2), ∆𝜔𝑗𝑖 (1) (𝑡) = 𝜂(1) 𝛿𝑗 (1) 𝑂𝑖 (0) + 𝛼∆𝜔𝑗𝑖 (1) (𝑡 − 1) + 𝛽∆𝜔𝑗𝑖 (1) (𝑡 − 2), ∆𝑏𝑗 (1) (𝑡) = 𝜂(1) 𝛿𝑗 (1) + 𝛼∆𝑏𝑗 (1) (𝑡 − 1) + 𝛽∆𝑏𝑗 (1) (𝑡 − 2), 𝜔𝑘𝑗 (2) (𝑡 + 1) = 𝜔𝑘𝑗 (2) (𝑡) + ∆𝜔𝑘𝑗 (2) (𝑡), 𝑏𝑘 (2) (𝑡 + 1) = 𝑏𝑘 (2) (𝑡) + ∆𝑏𝑘 (2) (𝑡), 𝜔𝑗𝑖 (1) (𝑡 + 1) = 𝜔𝑗𝑖 (1) (𝑡) + ∆𝜔𝑘𝑗 (1) (𝑡), 𝑏𝑗 (1) (𝑡 + 1) = 𝑏𝑗 (1) (𝑡) + ∆𝑏𝑗 (1) (𝑡), where 𝑟(𝑡) is the input influence; 𝑦(𝑡) is the output signal of the control object; 𝜂(1) , 𝜂𝑘 (2) are the learning rates of the neurons of the inner and output layers of the neural network; 𝛼 and 𝛽 are the convergence learning rate coefficients; 𝛿𝑗 (1) , 𝛿𝑗 (2) is the total error of the neuron of the inner and output layers; 𝑒𝑘 is the error value of the neurons of the output layer. In the known works [31]–[35], the learning rate of neurons of the inner layer of the neural network was taken the same, and it does not change during the functioning of the system, which leads to undesirable situations. To solve this problem, in this paper, it is proposed to choose the learning rate differently as the adjustable parameters of the controller have different values. Therefore, for each adjustable parameter of the regulator, it is necessary to choose different learning rates, with the possibility of changing (adjusting) them during the operation of the system. To determine the necessary value of the learning rate, a rule base is compiled. The rule base of the neural network optimizer contains information about the need to train the neural network (when the task is changed), knowledge and learning rate of the neurons of the output layer of the neural network, as well as the direction of changes (increase and decrease) in the value of the regulator parameters. The direction of changes in these parameters is determined by the sign of correction of weight coefficients between the neurons of the inner and output layers of the neural network, and the laws of the learning rate of the neurons of the output layer, represented by (9): ∆𝜔𝑘𝑗 (2) (𝑡) = −𝜂𝑘 (2) 𝛿𝑘 (2) 𝑂𝑗 (1) , 𝜔𝑘𝑗 (2) (𝑡 + 1) = 𝜔𝑘𝑗 (2) (𝑡) + ∆𝜔𝑘𝑗 (2) (𝑡), 𝛿𝑘 (2) = 𝑒𝑘, (9) where 𝜂𝑘 (2) is the learning rate of neurons of the output layer of the neural network; 𝛿𝑘 (2) is total error of the output layer neuron; 𝑒𝑘 is error of neurons of each output channel of the neural network (output parameters of the network); 𝑂𝑗 (1) is output signal of the inner layer neuron; and 𝜔𝑘𝑗 (2) is neuron weight coefficients between the inner and output layers of the neural network.
  • 6.
     ISSN: 2088-8708 IntJ Elec & Comp Eng, Vol. 14, No. 3, June 2024: 2533-2540 2538 The rule for changing the neuron learning rate is usually embedded in the neural network rule base. The choice of the discretization step (∆𝑡) is made for each specific object, taking into account its dynamic properties. Since the accuracy of neural network operation depends on the value of ∆𝑡, in general case ∆𝑡 is chosen based on the time of transient process regulation: ∆𝑡 = 𝑡𝑃/𝑁, where 𝑁 is the number of neurons of the inner layer of the neural network, 𝑡𝑃 is the regulation time. It should be noted that the proposed control system with a neural network optimizer also allows us to promptly respond to the drift of the object characteristics when changing the task and modes of its operation. 3. RESULTS AND DISCUSSION A neural network optimizer, built as a superstructure of the PID regulator, was used to control the technological parameters of the natural gas drying process. The research was carried out under the same conditions as the experiment. Natural gas with a temperature of 25 ºС and pressure of 1,894 kPa was supplied to the dryer. The process was considered complete if the transient process was established in the vicinity of 5% relative to the set one. The experimental results showed that the application of a neural network optimizer in controlling the drying process allowed to increase the completeness, which led to a decrease in zeolite consumption from 95% to 62%, by increasing the accuracy of control from 0.23 to 0.09 as shown in Table 1. As a result of the conducted experiments, it can be concluded that the created neural network optimizer can become a prototype of an industrial PID controller when tuning its parameters. Table 1. The results of the experiment showed Quality assessment Classic PID controller PID controller with neural network optimizer Control accuracy 0.23% 0.09% Zeolite consumption 95% 62% Power consumption 65% 53% A simulation experiment was conducted to test the effectiveness of the proposed approach to synthesizing a control system with a neural network optimizer. To do this, a jump signal proportional to the value of the controlled parameter of the object was supplied to the input. The experiment results showed that the synthesized control system with a neural network optimizer made it possible to achieve a 4% overshoot and reduce the duration of the transient process by 23% relative to a conventional PID controller. At that time, the classic PID controller gives a 12% overshoot. The found optimal values of the tuning parameters of the PID controller with a neural network optimizer, for the case under consideration, are equal to 𝐾𝑃 = 2.5, 𝐾𝐼 = 1.6 ∙ 10−2 . At the same time, the optimal parameters of the classic PID controller have the following values: 𝐾𝑃 = 0.9, 𝐾𝐼 = 6.976 ∙ 10−4 . 4. CONCLUSION Based on the obtained results, we can draw the following conclusions about the architecture of the neural network, for linear regulators, it is enough to have three layers, and the number of neurons in the input layer of the neural network is determined by analyzing the dynamics of the linear regulator, and the number of output neurons depends on the number of adjustable parameters of the regulator. In this case, to choose the number of neurons in the inner layer of the neural network, it is necessary to take into account the number of input neurons and the number of averaged points of the controlled parameters of the object. For neural network training the method of backpropagation of gradient is proposed, which is characterized by high convergence and accuracy. The obtained results allow us to conclude that the use of a neural network optimizer of parameters of linear regulators taking into account nonlinear properties of EI allowed to increase in the accuracy of regulation from 0.23 to 0.09, which allowed to reduce zeolite costs from 65% to 53% and reduce power losses by 12%. The proposed improvements made in the scheme of realization of the PID- neuro regulator allowed to provision of stable operation of the NS and its trainability in the control loop in real-time. In addition, when changing the parameters of the object, such a trained (and constantly operationally updated) NS can reconfigure the parameters of the PID-neuro-regulator during the transient process and provide the required quality of the transient process. The main changes of the proposed approach for neural network control of a dynamic object are to develop a methodology for changing the speed and direction of training of the neural network, as well as the rules of training the output neurons of the neural network, which are the parameters of the PID-regulator.
  • 7.
    Int J Elec& Comp Eng ISSN: 2088-8708  Neural network optimizer of proportional-integral-differential controller parameters (Isamiddin Siddikov) 2539 REFERENCES [1] M. W. Hasan and N. H. Abbas, “Disturbance rejection for underwater robotic vehicle based on adaptive fuzzy with nonlinear PID controller,” ISA Transactions, vol. 130, pp. 360–376, Nov. 2022, doi: 10.1016/j.isatra.2022.03.020. [2] M. H. Suid and M. A. Ahmad, “Optimal tuning of sigmoid PID controller using nonlinear sine cosine algorithm for the automatic voltage regulator system,” ISA Transactions, vol. 128, pp. 265–286, Sep. 2022, doi: 10.1016/j.isatra.2021.11.037. [3] S. Malarvili and S. Mageshwari, “Nonlinear PID (N-PID) controller for SSSP grid connected inverter control of photovoltaic systems,” Electric Power Systems Research, vol. 211, Oct. 2022, doi: 10.1016/j.epsr.2022.108175. [4] Y. I. Eremenko, D. A. Poleshchenko, A. I. Glushchenko, A. M. Litvinenko, A. A. Ryndin, and E. S. Podval’Nyi, “On estimating the efficiency of a neural optimizer for the parameters of a PID controller for heating objects control,” Automation and Remote Control, vol. 75, no. 6, pp. 1137–1144, Jun. 2014, doi: 10.1134/S0005117914060137. [5] V. Y. Rotach, V. F. Kuzishchin, and S. V. Petrov, “Tuning of industrial controllers from the transient responses of control systems without approximating them by analytical expressions,” Thermal Engineering, vol. 57, no. 10, pp. 872–879, Oct. 2010, doi: 10.1134/S0040601510100083. [6] M. R. bin Ghazali, M. A. bin Ahmad, and R. M. T. bin Raja Ismail, “Adaptive safe experimentation dynamics for data-driven neuroendocrine-PID control of MIMO systems,” IETE Journal of Research, vol. 68, no. 3, pp. 1611–1624, Sep. 2022, doi: 10.1080/03772063.2019.1656556. [7] P. Huang, J. Wu, C. Y. Su, and Y. Wang, “Tracking control of soft dielectric elastomer actuator based on nonlinear PID controller,” International Journal of Control, vol. 97, no. 1, pp. 130–140, Aug. 2022, doi: 10.1080/00207179.2022.2112088. [8] Y. I. Kudinov, V. A. Kolesnikov, F. F. Pashchenko, A. F. Pashchenko, and L. Papic, “Optimization of fuzzy PID controller’s parameters,” Procedia Computer Science, vol. 103, pp. 618–622, 2017, doi: 10.1016/j.procs.2017.01.086. [9] I. Siddikov, O. Porubay, and T. Rakhimov, “Synthesis of the neuro-fuzzy regulator with genetic algorithm,” International Journal of Electrical and Computer Engineering (IJECE), vol. 14, no. 1, pp. 184–191, Feb. 2024, doi: 10.11591/ijece.v14i1.pp184-191. [10] I. K. Siddikov and O. V. Porubay, “Neuro-fuzzy system for regulating the processes of power flows in electric power facilities,” in AIP Conference Proceedings, 2022, vol. 2432, doi: 10.1063/5.0089473. [11] I. Siddikov, O. Porubay, and O. Mirjalilov, “An algorithm for optimizing short-term modes of electric power systems, taking into account the conditions of the nature of the probability of the information flow of data,” Journal of Physics: Conference Series, vol. 2373, no. 8, Dec. 2022, doi: 10.1088/1742-6596/2373/8/082014. [12] O. Porubay, I. Siddikov, and K. Madina, “Algorithm for optimizing the mode of electric power systems by active power,” in 2022 International Conference on Information Science and Communications Technologies (ICISCT), Sep. 2022, pp. 1–4, doi: 10.1109/ICISCT55600.2022.10146996. [13] B. K. O. C. Alwawi and A. F. Y. Althabhawee, “Towards more accurate and efficient human iris recognition model using deep learning technology,” TELKOMNIKA (Telecommunication Computing Electronics and Control), vol. 20, no. 4, pp. 817–824, Aug. 2022, doi: 10.12928/telkomnika.v20i4.23759. [14] K. Khunratchasana and T. Treenuntharath, “Thai digit handwriting image classification with convolution neuron networks,” Indonesian Journal of Electrical Engineering and Computer Science (IJEECS), vol. 27, no. 1, pp. 110–117, Jul. 2022, doi: 10.11591/ijeecs.v27.i1.pp110-117. [15] K. Sudarsan and G. Sreenivasan, “PV solar farm as static synchronous compensator for power compensation in hybrid system using Harris Hawks optimizer technique,” International Journal of Power Electronics and Drive Systems (IJPEDS), vol. 13, no. 1, pp. 554–560, Mar. 2022, doi: 10.11591/ijpeds.v13.i1.pp554-560. [16] K. A. Lipi, S. F. K. Adrita, Z. F. Tunny, A. H. Munna, and A. Kabir, “Static-gesture word recognition in Bangla sign language using convolutional neural network,” TELKOMNIKA (Telecommunication Computing Electronics and Control), vol. 20, no. 5, pp. 1109–1116, Oct. 2022, doi: 10.12928/telkomnika.v20i5.24096. [17] P. Vishesh, R. S, S. Jankatti, and R. V, “Eye blink detection using CNN to detect drowsiness level in drivers for road safety,” Indonesian Journal of Electrical Engineering and Computer Science (IJEECS), vol. 22, no. 1, pp. 222–231, Apr. 2021, doi: 10.11591/ijeecs.v22.i1.pp222-231. [18] Y. Hendrawan, R. Damayanti, D. F. Al Riza, and M. B. Hermanto, “Classification of water stress in cultured Sunagoke moss using deep learning,” TELKOMNIKA (Telecommunication Computing Electronics and Control), vol. 19, no. 5, pp. 1594–1604, Sep. 2021, doi: 10.12928/telkomnika.v19i5.20063. [19] S. Sarvari, N. F. M. Sani, Z. M. Hanapi, and M. T. Abdullah, “An efficient quantum multiverse optimization algorithm for solving optimization problems,” International Journal of Advances in Applied Sciences, vol. 9, no. 1, pp. 27–33, Mar. 2020, doi: 10.11591/ijaas.v9.i1.pp27-33. [20] A. MG, “Enhanced neuro-fuzzy system based on genetic algorithm for medical diagnosis,” Journal of Medical Diagnostic Methods, vol. 5, no. 1, 2016, doi: 10.4172/2168-9784.1000205. [21] X. Sun, N. Liu, R. Shen, K. Wang, Z. Zhao, and X. Sheng, “Nonlinear PID controller parameters optimization using improved particle swarm optimization algorithm for the CNC system,” Applied Sciences, vol. 12, no. 20, Oct. 2022, doi: 10.3390/app122010269. [22] B. Allaoua, B. Gasbaoui, and B. Mebarki, “Setting Up PID DC motor speed control alteration parameters using particle swarm optimization strategy,” Leonardo Electronic Journal of Practices and Technologies, no. 14, pp. 19–32, 2009. [23] D. A. Fattah, A. A. Naim, A. S. Desuky, and M. S. Zaki, “AutoKeras and particle swarm optimization to predict the price trend of stock exchange,” Bulletin of Electrical Engineering and Informatics (BEEI), vol. 11, no. 2, pp. 1100–1109, Apr. 2022, doi: 10.11591/eei.v11i2.3373. [24] X. Shi, H. Zhao, and Z. Fan, “Parameter optimization of nonlinear PID controller using RBF neural network for continuous stirred tank reactor,” Measurement and Control, vol. 56, no. 9–10, pp. 1835–1843, Nov. 2023, doi: 10.1177/00202940231189307. [25] R. H. Mok and M. A. Ahmad, “Fast and optimal tuning of fractional order PID controller for AVR system based on memorizable- smoothed functional algorithm,” Engineering Science and Technology, an International Journal, vol. 35, Nov. 2022, doi: 10.1016/j.jestch.2022.101264. [26] V. R. Segovia, T. Hagglund, and K. J. Astrom, “Noise filtering in PI and PID Control,” in Proceedings of the American Control Conference, Jun. 2013, pp. 1763–1770, doi: 10.1109/acc.2013.6580091. [27] C. M. Khidirova, S. S. Sadikova, G. M. Nashvandova, and S. E. Mirzaeva, “Neuro-fuzzy algorithm for clustering multidimensional objects in conditions of incomplete data,” Journal of Physics: Conference Series, vol. 1901, no. 1, May 2021, doi: 10.1088/1742-6596/1901/1/012036. [28] A. Alexandrov and M. Palenov, “Self-tuning PID-I controller,” IFAC Proceedings Volumes, vol. 44, no. 1, pp. 3635–3640, Jan. 2011, doi: 10.3182/20110828-6-IT-1002.00439.
  • 8.
     ISSN: 2088-8708 IntJ Elec & Comp Eng, Vol. 14, No. 3, June 2024: 2533-2540 2540 [29] C. Khidirova, S. Sadikova, S. Mukhsinov, G. Nashvandova, and S. Mirzaeva, “Machine learning methods as a tool for diagnostic and prognostic research in cardiovascular disease,” Nov. 2021, doi: 10.1109/ICISCT52966.2021.9670168. [30] Q. Song, H. Ge, J. Caverlee, and X. Hu, “Tensor completion algorithms in big data analytics,” ACM Transactions on Knowledge Discovery from Data, vol. 13, no. 1, pp. 1–48, Jan. 2019, doi: 10.1145/3278607. [31] D. Purnamasari, K. Bachrudin, D. H. Suryana, and Robert, “Classification of meat using the convolutional neural network,” IAES International Journal of Artificial Intelligence (IJ-AI), vol. 12, no. 4, pp. 1845–1853, Dec. 2023, doi: 10.11591/ijai.v12.i4.pp1845-1853. [32] A. Mansouri, A. El Magri, I. El Myasse, R. Lajouad, and N. Elaadouli, “Backstepping nonlinear control of a five-phase PMSG aerogenerator linked to a Vienna rectifier,” Indonesian Journal of Electrical Engineering and Computer Science (IJEECS), vol. 32, no. 2, pp. 734–741, Nov. 2023, doi: 10.11591/ijeecs.v32.i2.pp734-741. [33] A. S. Kamaruddin, M. F. Hadrawi, Y. B. Wah, and S. Aliman, “An evaluation of nature-inspired optimization algorithms and machine learning classifiers for electricity fraud prediction,” Indonesian Journal of Electrical Engineering and Computer Science (IJEECS), vol. 32, no. 1, pp. 468–477, Oct. 2023, doi: 10.11591/ijeecs.v32.i1.pp468-477. [34] I. A. Dewi and M. A. N. E. Salawangi, “High performance of optimizers in deep learning for cloth patterns detection,” IAES International Journal of Artificial Intelligence (IJ-AI), vol. 12, no. 3, pp. 1407–1418, Sep. 2023, doi: 10.11591/ijai.v12.i3.pp1407- 1418. [35] R. Mothkur and V. B. Nagendrappa, “An optimal model for classification of lung cancer using grey wolf optimizer and deep hybrid learning,” Indonesian Journal of Electrical Engineering and Computer Science (IJEECS), vol. 30, no. 1, pp. 406–413, Apr. 2023, doi: 10.11591/ijeecs.v30.i1.pp406-413. BIOGRAPHIES OF AUTHORS Isamiddin Siddikov received his degree in electrical engineering with a degree in automation and telemechanic in 1976 from the Tashkent Polytechnic Institute, Tashkent, Uzbekistan. In 1989 he defended his Ph.D. thesis in the specialty of control in technical systems. In 2016 he defended his doctoral thesis in the specialty “Intellectualization of control processes for dynamic objects and technological processes.” He is currently a professor at the Tashkent State Technical University named after Islam Karimov. Under his leadership, 17 PhDs were trained. His research interests include the intellectualization of control processes for non-linear continuous-discrete dynamic objects, and the developed methods, and models used in the field of automation of electric power facilities, oil and gas, chemical-technological industries, and the light industry. In addition, he is a reviewer of leading scientific journals such as Vestnik TSTU, and Chemical Technology. Control and management”, “Technical science and innovation”. He is the author or co-author of more than 150 refereed journals and conference articles, 7 monographs and 4 textbooks, 28 scientific articles indexed in the Scopus database (Elsevier). He can be contacted at email: isamiddin54@gmail.com. Gulruxsor Nashvandova received a bachelor’s degree in vocational education (radio electronic devices and systems) from Tashkent State Technical University in 2015, and a master's degree in radio technical devices and communications in 2017. Currently, she is a doctoral student at the Department of Information Processing and Management Systems, Faculty of Electronics and Automation, Tashkent State Technical University. The main goal of his research activities is based on logical control of technological parameters of the natural gas treatment process. In this direction, she has written and published many scientific articles in domestic and foreign scientific journals, including journals indexed in Scopus and Web of Science scientific databases. She can be contacted at email: gnashvandova@gmail.com. Gulchekhra Alimova in 2000, she received a bachelor's degree from the Tashkent Institute of Textiles and Light Industry in the field of Textile Products Technology, in 2009 he received a master's degree in the specialization of technological processes and production automation and control, and in 2022, 05.01.08 - a Ph.D. in the specialization of technological processes and production automation and control degree. Currently, he is working as a Ph.D. senior lecturer at the Department of Information Processing and Control Systems, Faculty of Electronics and Automation, Tolshkent State Technical University. Her scientific interests are based on the main goal of his scientific activity: the adaptive-neural control system of cotton fiber spinning. In this direction, he has written and published many scientific articles in domestic and foreign scientific journals, including journals indexed in Scopus and Web of Science scientific databases. She can be contacted at email: alimova250979@mail.ru.