World Academy of Science, Engineering and Technology International Journal of Electrical, Electronic Science and Engineering Vol:4 No:3, 2010 UPFC Supplementary Controller Design Using Real-Coded Genetic Algorithm for Damping Low Frequency Oscillations in Power Systems A.K. Baliarsingh, S. Panda, A.K. Mohanty, C. Ardil International Science Index 39, 2010 waset.org/publications/11352 Abstract—This paper presents a systematic approach for designing Unified Power Flow Controller (UPFC) based supplementary damping controllers for damping low frequency oscillations in a single-machine infinite-bus power system. Detailed investigations have been carried out considering the four alternatives UPFC based damping controller namely modulating index of series inverter (mB), modulating index of shunt inverter (mE), phase angle of series inverter (δB ) and phase angle of the shunt inverter (δE ). The design problem of the proposed controllers is formulated as an optimization problem and Real- Coded Genetic Algorithm (RCGA) is employed to optimize damping controller parameters. Simulation results are presented and compared with a conventional method of tuning the damping controller parameters to show the effectiveness and robustness of the proposed design approach. Keywords—Power System Oscillations, Real-Coded Genetic Algorithm (RCGA), Flexible AC Transmission Systems (FACTS), Unified Power Flow Controller (UPFC), Damping Controller. I. INTRODUCTION T HE main causes of the power systems to be operated near their stability limits is due to the fact that power systems are today much more loaded than before as power demand grows rapidly and expansion in transmission and generation is restricted with the limited availability of resources and the strict environmental constraints. In few occasions interconnection between remotely located power systems gives rise to low frequency oscillations in the range of 0.2-3.0 Hz. These low frequency oscillations are also observed when large power systems are interconnected by relatively weak tie lines. If the system is not well damped, these oscillations may keep increasing in magnitude until loss of synchronism results [1]. The installation of Power System Stabilizer (PSS) is both economical and effective; in order to damp these power system oscillations and increase system oscillations stability. _____________________________________________ A.K. Baliarsingh is Research Scholar in the Electrical Engineering Department, School of Technology, KIIT University, Bhubaneswar, Orissa, India (e-mail: asinibaliarsingh@yahoo.co.in). S. Panda is working as Professor in the Department of Electrical and Electronics Engineering, NIST, Berhampur, Orissa, India, Pin: 761008. (e-mail: panda_sidhartha@rediffmail.com ). A.K. Mohanty is working as Professor Emeritus in the Electrical Engineering Department, School of Technology, KIIT University, Bhubaneswar, Orissa, India, (e-mail: dhisi1@rediffmail.com). C. Ardil is with National Academy of Aviation, AZ1045, Baku, Azerbaijan, Bina, 25th km, NAA (e-mail: cemalardil@gmail.com). During the last decade, continuous and fast improvement of power electronics technology has made Flexible AC Transmission Systems (FACTS) a promising concept for power system applications [2-4]. With the application of FACTS technology, power flow along transmission lines can be more flexibly controlled. Due to the fact of the extremely fast control action is associated with FACTS-device operations, they have been very promising candidates for utilization in power system damping enhancement. The Unified Power Flow Controller (UPFC) is regarded as one of the most versatile devices in the FACTS device family [5-6] which has the capability to control of the power flow in the transmission line, improve the transient stability, alleviate system oscillation and offer voltage support. UPFC can provide simultaneous and independent control of important power system parameters: line active power flow, line reactive power flow, impedance; and voltage. In that way, it offers the essential functional flexibility for the collective application of phase angle control with controlled series and shunt compensation [2]. A conventional lead-lag controller structure is preferred by the power system utilities because of the ease of on-line tuning and also lack of assurance of the stability by some adaptive or variable structure techniques [7-10]. Traditionally, for the small signal stability studies of a power system, the linear model of Phillips-Heffron has been used for years, providing reliable results [1]. Although the model is a linear model, it is quite accurate for studying low frequency oscillations and stability of power systems [11-12]. The problem of UPFC damping controller parameter tuning is a complex exercise. A number of conventional techniques have been reported in the literature pertaining to design problems of conventional power system stabilizers namely the pole placement technique [13], phase compensation/root locus technique [14-15], residue compensation [16], and also the modern control theory. Unfortunately, the conventional techniques are time consuming as they are iterative and require heavy computation burden and slow convergence. In addition, the search process is susceptible to be trapped in local minima and the solution obtained may not be optimal. Also, the designed controller should provide some degree of robustness to the variations loading conditions, and configurations as the machine parameters change with operating conditions. A set of controller parameters which stabilise the system under a certain operating condition may no longer yield satisfactory results when there is a drastic change in power system 16
International Science Index 39, 2010 waset.org/publications/11352 World Academy of Science, Engineering and Technology International Journal of Electrical, Electronic Science and Engineering Vol:4 No:3, 2010 connected power system with different disturbances with parameter variations. Simulation results are presented and compared with a conventional tuning technique to show the effectiveness and robustness of the proposed approach. The reminder of the paper is organized in five major sections. Power system modeling with the proposed UPFCbased supplementary damping controller is presented in Section II. The design problem and the objective function are presented in section III. In Section IV, an overview of RCGA is presented. The results are presented and discussed in Section V. Finally, in Section VI conclusions are given. operating conditions and configurations [12]. In recent years, one of the most promising research fields has been “Evolutionary Techniques”, an area utilizing analogies with nature or social systems. These techniques constitute an approach to search for the optimum solutions via some form of directed random search process. Evolutionary techniques are finding popularity within research community as design tools and problem solvers because of their versatility and ability to optimize in complex multimodal search spaces applied to non-differentiable objective functions. Recently, Genetic Algorithm (GA) appeared as a promising evolutionary technique for handling the optimization problems [17]. GA has been popular in academia and the industry mainly because of its intuitiveness, ease of implementation, and the ability to effectively solve highly nonlinear, mixed integer optimisation problems that are typical of complex engineering systems. It has been reported in the literature that Real-Coded Genetic Algorithm (RCGA) is more efficient in terms of CPU time and offers higher precision with more consistent results [8, 18-21]. In view of the above, this paper proposes to use RCGA optimization technique for the damping controller design. For the proposed controller design, a time-domain based employing integral of time multiplied by speed deviation error has been employed. The optimal UPFC controller parameters are obtained employing RCGA. The proposed damping controllers are tested on a weakly Vt It Vo II. MODELING THE POWER SYSTEM WITH UPFC DAMPING CONTROLLER The single-machine infinite-bus (SMIB) power system installed with a UPFC as shown in Fig. 1 is considered in this study. The UPFC is installed in one of the two parallel transmission lines. This arrangement, comprising two parallel transmission lines, permits the control of real and reactive power flow through a line. The static excitation system, model type IEEE-STIA, has been considered. The UPFC is assumed to be based, on pulse width modulation (PWM) converters. The nominal loading condition and system parameters are even in Appendix 1. xT itl Vb iB x tE VB Generator xB iE x BV Infinite − bus VDC UPFC xE VSC − E VSC − B mE δ E mB δ B Fig. 1. Single-machine infinite-bus power system with UPFC A. Non-Linear Equations The non-linear differential equations of the SMIB system with UPFC is obtained by neglecting the resistances of the components of the system (i.e. generator, transformer, transmission lines, and shunt and series converter transformers) and the transient associated with the stator of the synchronous generator, transmission lines and transformers of the UPFC. The nonlinear dynamic model of the system with UPFC is given below [22-23]: • (1) δ = ωo (ω − 1) 17
World Academy of Science, Engineering and Technology International Journal of Electrical, Electronic Science and Engineering Vol:4 No:3, 2010 • ( − − DΔ ω ) ω = Pm Pe (2) M • E 'q = E' 1 T ' do I Eq = [− E q + E fd ] = fd ( ) ( 3m B I Bd Sinδ B + I Bq Cosδ B 4Cdc + ) X qT m BVdc Sinδ B X qE 2 ) ( (7) Vt = Vtd + jVtq (8) Vt = X q I tq (9) Vtq = E q ′ − X d ′ I td (11) XE 1 m E Vdc I Ed + Cosδ E XT XT 2 1 Vb Cosδ − XT XE 1 m E Vdc I Eq − Sinδ E XT XT 2 + I Ed = 1 Vb Sinδ XT ( X dT − + (12) X a1 = (X X a3 = − qs X qT (13) ) (17) XT ; X b1 = ; X a2 = 1 + ( X ds X T X qT XT ; + X dT X E ) ; XT X dT X dT ; X b3 = XT XT The equation for the real power balance between the series and shunt converters is (14) X m V X BB E q ′ − dT B dc Cosδ B 2 X dE X dE Re V B I B ∗ + V E I E ∗ = 0 X T + X qT X E ) XT X b2 = 1 + + X BB X b 2 ) m E Vdc Cosδ E 2 X dE ) E q ′ + ( X b1 − X E X b 2 ) X qs = X q + X tE + X E ; + X BB X b3 ) Vb Cosδ X dE ( X dT E X qT = X q + X tE ; X ds = X tE + X d ′ + X E ; I tld = I tlq = X dE (X The variables used in the above equations are defined as: (10) I td = I tld + I Ed + I Bd 1 ⎛ ⎞ ⎜ ( X a1 − X E X a 2 ) m E Vdc Sinδ E ⎟ ⎜ ⎟ 2 ⎜ (X X − X ) ⎟ 1 a1 ⎜ + a3 E ⎟ I Bq = Vb Sinδ X qE ⎜ X qE ⎟ ⎜ ⎟ ⎜ + X m BVdc Sinδ ⎟ ⎜ ⎟ a1 B 2 ⎝ ⎠ (6) E q = E q ′ + X d − X d ′ I td (15) Sinδ E ( X X − X b1 ) m E Vdc Cosδ E + b3 E Vb Cosδ (16) X qE 2 m V + X b1 B dc Cosδ B 2 (5) where, Pe = Vtd I td + Vtq I tq 2 X qE (4) I Bd = Vb Sinδ (X qT + X BB X a2 ) m EVdc − (3) KA [Vref − Vt ] 1 + sT A 3mE Vdc = I Ed Sinδ E + I Eq Cosδ E 4Cdc International Science Index 39, 2010 waset.org/publications/11352 X qE − • ( (X qT + X BB X a3 ) (18) 18
World Academy of Science, Engineering and Technology International Journal of Electrical, Electronic Science and Engineering Vol:4 No:3, 2010 B. Linearized Equations In the design of electromechanical mode damping stabilizer, a linearized incremental model around an operating point is usually employed. The Phillips-Heffron model of the power system with FACTS devices is obtained by linearizing the set of equations (1) around an operating condition of the power system. The linearized expressions are as follows [22-23]: • (19) Δδ = ω 0 Δω Δω • = • International Science Index 39, 2010 waset.org/publications/11352 Δ E fd = ) ( − ΔE fd + K A ΔVref − ΔVt TA [ K pu ] = [ K pc ) K pb K pδb ] K qδe K qb K qδb ] K vδe K vb K vδb ] (26) [ K cu ] = [ K ce (21) K pδe [ K qu ] = [ K qe (20) M ( [ K cu ] are defined as: [ K vu ] = [ K ve (ΔPm − ΔP e − DΔω ) • − ΔE q + ΔE fd Δ E' = Tdo ' controlled in a coordinated manner to ensure real power output of the shunt converter is equal to the real power input to the series converter. The constancy of the DC voltage ensures that this equality is maintained. In Fig 2, the row vectors [ K pu ] , [ K qu ] , [ K vu ] and K cδe K cb K cδb ] (27) The control vector follows: [Δu ] = [Δm E (22) (24) (25) [Δu ] is the column vector defined as Δδ E Δm B Δδ B ]T where, • ' ΔVdc = K 7 Δδ + K 8 ΔE q − K 9 ΔVdc Δm B - Deviation in modulation index m B of series converter. + K ce Δm E + K cδe Δδ E + K cb Δm B + K cδb Δδ B Δδ B - Deviation in phase angle of the injected voltage. (23) where, Δm E - Deviation in modulation index m E of shunt converter. ' + K 2 ΔE q + K pe Δm E ΔPe = K1Δδ + K pδe Δδ E + K pb Δm B + K pδb Δδ B + K pd ΔVdc Δδ E - Deviation in phase angle of the shunt converter voltage. ' ΔEq = K 4 Δδ + K 3ΔEq + K qe ΔmE + K qδe Δδ E + K qb ΔmB + K qδb Δδ B + K qd ΔVdc ' ΔVt = K 5Δδ + K 6 ΔEq + K ve ΔmE + K vδe Δδ E + K vb ΔmB + K vδb Δδ B + K vd ΔVdc The modified Phillips-Heffron model of the single-machine infinite-bus (SMIB) power system with UPFC-based damping controller is obtained using linearized equation set (2). The corresponding block diagram model is shown in Fig. 2. The modified Heffron-Phillips model has 28constants as compared to 6 constants in the original Heffron-Phillips model of the SMIB system. These constants are functions of the system parameters and initial operating condition. By controlling mB , the magnitude of series injected voltage can be controlled, by controlling δ B , the phase angle of series III. THE PROPOSED APPROACH A. Structure of UPFC-based Damping Controller The commonly used lead–lag structure is chosen in this study as UPFC-based supplementary damping controller as shown in Fig. 3. The structure consists of a gain block; a signal washout block and two-stage phase compensation block. The phase compensation block provides the appropriate phase-lead characteristics to compensate for the phase lag between input and the output signals. The signal washout block serves as a high-pass filter which allows signals associated with oscillations in input signal to pass unchanged. Without it steady changes in input would modify the output. The input signal of the proposed UPFC-based controller is the speed deviation Δω and the output is the change in control vector [ Δu ] . From the viewpoint of the washout function the value of washout time constant is not critical in lead-lag structured controllers and may be in the range 1 to 20 seconds [1]. injected voltage can be controlled, by controlling m E , the output voltage of the shunt converter can be controlled and by controlling δ E , the phase angle of output voltage of the shunt converter can be controlled. The series and shunt converter are 19
World Academy of Science, Engineering and Technology International Journal of Electrical, Electronic Science and Engineering Vol:4 No:3, 2010 + + ∑ + ΔPe _ K1 ΔPm + Δω ω 1 0 Ms + D s ∑ + [ K pu ] K6 K2 K4 _ 1 ΔE 'q K3 + sT 'do International Science Index 39, 2010 waset.org/publications/11352 [Δu ] [ K cu ] + ∑ _ + _ [ K qu ] K8 + 1 s + K9 ∑ + Δδ K qd KA 1 + sTA K5 _ _ _ [ K vu ] K pd ΔVref ∑ + _ K vd ΔVDC K7 Fig. 2 Modified Heffron-Phillips model of SMIB system with UPFC Δω Input KT Gain Block sT WT 1+ sT WT Washout Block 1 + sT1 1 + sT2 1 + sT3 1 + sT4 [Δu] Output Two stage lead-lag Block Fig. 3. Structure of the UPFC-based damping controller From the viewpoint of the washout function the value of washout time constant is not critical in lead-lag structured controllers and may be in the range 1 to 20 seconds [1]. In the present study, a washout time constant of KWT = 10 s is used. The controller gains K T ; and the time constants T1 , T2 , T3 and T4 are to be determined. (minimize/maximize) an objective function or fitness function satisfying the constraints of either state or control variable or both depending upon the requirement. It is worth mentioning that the UPFC-based controllers are designed to minimize the power system oscillations after a disturbance so as to improve the stability. These oscillations are reflected in the deviation in the generator rotor speed ( Δω ). In the present study, an integral time absolute error of the speed deviations is taken as the objective function J, expressed as: t1 (28) J = ∫ t | e (t )| dt 0 Where, ‘e’ is the error signal ( Δω ) and t1 is the time range of simulation. The parameters of the damping controller are obtained using RCGA. A brief overview of RCGA is presented in the next section. IV. OVERVIEW OF REAL-CODED GENETIC ALGORITHM B. Objective Function Tuning a controller parameter can be viewed as an optimization problem in multi-modal space as many settings of the controller could be yielding good performance. Traditional method of tuning doesn’t guarantee optimal parameters and in most cases the tuned parameters need improvement through trial and error. The aim of any evolutionary optimization technique is basically to optimize Genetic Algorithm (GA) can be viewed as a generalpurpose search method, an optimization method, or a learning mechanism, based loosely on Darwinian principles of biological evolution, reproduction and “the survival of the fittest.” GA maintains a set of candidate solutions called population and repeatedly modifies them. At each step, the GA selects individuals at random from the current population 20
International Science Index 39, 2010 waset.org/publications/11352 World Academy of Science, Engineering and Technology International Journal of Electrical, Electronic Science and Engineering Vol:4 No:3, 2010 to be parents and uses them to produce the children for the next generation. Candidate solutions are usually represented as strings of fixed length, called chromosomes. Given a random initial population GA operates in cycles called generations, as follows [13]: • Each member of the population is evaluated using an objective function or fitness function. • The population undergoes reproduction in a number of iterations. One or more parents are chosen stochastically, but strings with higher fitness values have higher probability of contributing an offspring. • Genetic operators, such as crossover and mutation, are applied to parents to produce offspring. • The offspring are inserted into the population and the process is repeated. Over successive generations, the population “evolves” toward an optimal solution. GA can be applied to solve a variety of optimization problems that are not well suited for standard optimization algorithms, including problems in which the objective function is discontinuous, nondifferentiable, stochastic, or highly nonlinear. GA has been used to solve difficult engineering problems that are complex and difficult to solve by conventional optimization methods. Implementation of GA requires the determination of six fundamental issues: chromosome representation, selection function, the genetic operators, initialization, termination and evaluation function. Brief descriptions about these issues are provided in the following sections [8, 18-21]. Pi = q ' (1 − q )r −1 q q' = 1 − (1 − q ) P r = rank of the individual (with best equals 1) P = population size C. Genetic operators The basic search mechanism of the GA is provided by the genetic operators. There are two basic types of operators: crossover and mutation. These operators are used to produce new solutions based on existing solutions in the population. Crossover takes two individuals to be parents and produces two new individuals while mutation alters one individual to produce a single new solution. The following genetic operators are usually employed: simple crossover, arithmetic crossover and heuristic crossover as crossover operator and uniform mutation, non-uniform mutation, multi-non-uniform mutation, boundary mutation as mutation operator. Arithmetic crossover and non-uniform mutation are employed in the present study as genetic operators. Crossover generates a random number r from a uniform distribution from 1 to m and creates two new individuals by using equations: ⎧ x i , if i < r ⎫ x i' = ⎨ ⎬ ⎩ y i otherwise⎭ ⎧ y i , if i < r ⎫ y i' = ⎨ ⎬ ⎩ x i otherwise ⎭ (31) (32) Arithmetic crossover produces two complimentary linear combinations of the parents, where r = U (0, 1): − − − X ' = r X + (1 − r ) Y − B. Selection function To produce successive generations, selection of individuals plays a very significant role in a genetic algorithm. The selection function determines which of the individuals will survive and move on to the next generation. A probabilistic selection is performed based upon the individual’s fitness such that the superior individuals have more chance of being selected. There are several schemes for the selection process: roulette wheel selection and its extensions, scaling techniques, tournament, normal geometric, elitist models and ranking methods. The selection approach assigns a probability of selection Pj to each individuals based on its fitness value. In the present study, normalized geometric selection function has been used. In normalized geometric ranking, the probability of selecting an individual Pi is defined as: (30) where, q = probability of selecting the best individual A. Chromosome representation Chromosome representation scheme determines how the problem is structured in the GA and also determines the genetic operators that are used. Each individual or chromosome is made up of a sequence of genes. Various types of representations of an individual or chromosome are: binary digits, floating point numbers, integers, real values, matrices, etc. Generally natural representations are more efficient and produce better solutions. Real-coded representation is more efficient in terms of CPU time and offers higher precision with more consistent results. (29) − (33) − Y ' = r Y + (1 − r ) X (34) Non-uniform mutation randomly selects one variable j and sets it equal to a non-uniform random number. ⎧ x i + (bi − x i ) f (G ) if r1 < 0.5, ⎫ ⎪ ⎪ x i ' = ⎨ x i + ( x i + a i ) f (G ) if r1 ≥ 0.5,⎬ ⎪ x, ⎪ otherwise i ⎩ ⎭ (35) where, f (G ) = (r2 (1 − G )) b G max r1, r2 = uniform random nos. between 0 to 1. 21 (36)
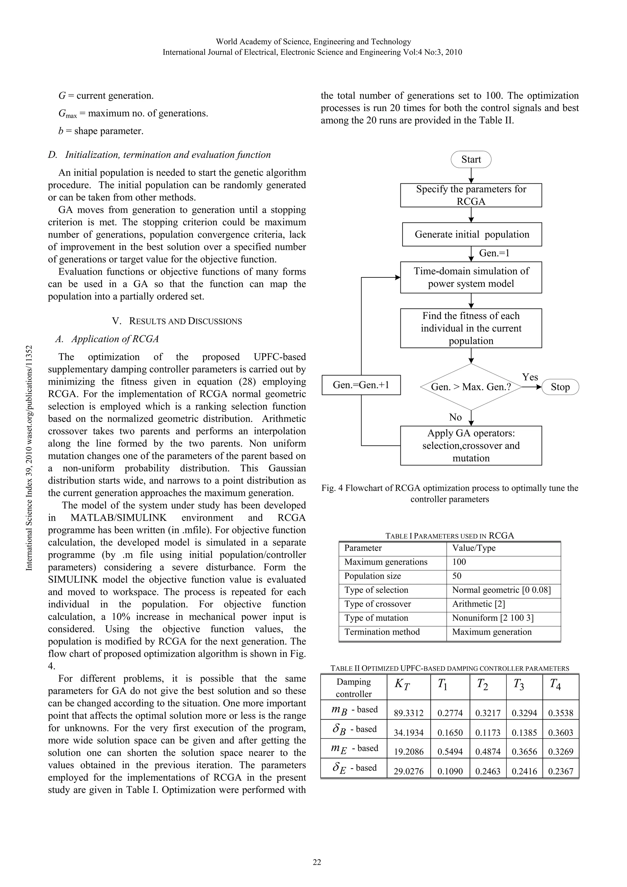
World Academy of Science, Engineering and Technology International Journal of Electrical, Electronic Science and Engineering Vol:4 No:3, 2010 G = current generation. Gmax = maximum no. of generations. b = shape parameter. the total number of generations set to 100. The optimization processes is run 20 times for both the control signals and best among the 20 runs are provided in the Table II. D. Initialization, termination and evaluation function Start An initial population is needed to start the genetic algorithm procedure. The initial population can be randomly generated or can be taken from other methods. GA moves from generation to generation until a stopping criterion is met. The stopping criterion could be maximum number of generations, population convergence criteria, lack of improvement in the best solution over a specified number of generations or target value for the objective function. Evaluation functions or objective functions of many forms can be used in a GA so that the function can map the population into a partially ordered set. Specify the parameters for RCGA Generate initial population Gen.=1 Time-domain simulation of power system model Find the fitness of each individual in the current population V. RESULTS AND DISCUSSIONS International Science Index 39, 2010 waset.org/publications/11352 A. Application of RCGA The optimization of the proposed UPFC-based supplementary damping controller parameters is carried out by minimizing the fitness given in equation (28) employing RCGA. For the implementation of RCGA normal geometric selection is employed which is a ranking selection function based on the normalized geometric distribution. Arithmetic crossover takes two parents and performs an interpolation along the line formed by the two parents. Non uniform mutation changes one of the parameters of the parent based on a non-uniform probability distribution. This Gaussian distribution starts wide, and narrows to a point distribution as the current generation approaches the maximum generation. The model of the system under study has been developed in MATLAB/SIMULINK environment and RCGA programme has been written (in .mfile). For objective function calculation, the developed model is simulated in a separate programme (by .m file using initial population/controller parameters) considering a severe disturbance. Form the SIMULINK model the objective function value is evaluated and moved to workspace. The process is repeated for each individual in the population. For objective function calculation, a 10% increase in mechanical power input is considered. Using the objective function values, the population is modified by RCGA for the next generation. The flow chart of proposed optimization algorithm is shown in Fig. 4. For different problems, it is possible that the same parameters for GA do not give the best solution and so these can be changed according to the situation. One more important point that affects the optimal solution more or less is the range for unknowns. For the very first execution of the program, more wide solution space can be given and after getting the solution one can shorten the solution space nearer to the values obtained in the previous iteration. The parameters employed for the implementations of RCGA in the present study are given in Table I. Optimization were performed with Gen.=Gen.+1 Yes Gen. > Max. Gen.? Stop No Apply GA operators: selection,crossover and mutation Fig. 4 Flowchart of RCGA optimization process to optimally tune the controller parameters TABLE I PARAMETERS USED IN RCGA Parameter Value/Type Maximum generations 100 Population size 50 Type of selection Normal geometric [0 0.08] Type of crossover Arithmetic [2] Type of mutation Nonuniform [2 100 3] Termination method Maximum generation TABLE II OPTIMIZED UPFC-BASED DAMPING CONTROLLER PARAMETERS Damping controller KT T1 T2 T3 T4 mB 89.3312 0.2774 0.3217 0.3294 0.3538 δB - based 34.1934 0.1650 0.1173 0.1385 0.3603 mE - based 19.2086 0.5494 0.4874 0.3656 0.3269 δE 22 - based - based 29.0276 0.1090 0.2463 0.2416 0.2367
World Academy of Science, Engineering and Technology International Journal of Electrical, Electronic Science and Engineering Vol:4 No:3, 2010 B. Simulation Results Case II: To assess the effectiveness and robustness of the proposed damping controllers various disturbances and parameter variations are considered. The performance of the proposed controllers is compared with a published [15] conventional design technique (phase compensation technique). The response with out controller is shown in dashed lines (with legend “WC”) and the response with conventional phase compensation technique tuned UPFC-based damping controller is shown dotted lines (with legend “PCT”). The responses with proposed RCGA optimized UPFC-based damping controller are shown in solid lines (with legend ‘RCGA’). δB - based UPFC damping controller The performance of the system for the under same contingency (10% step increase in mechanical power input at t = 1.0 s) is verified with δ B - based UPFC damping controller and the system response is shown in Figs. 7-8. It can be observed from Figs. that the performance of the system is better with the proposed RCGA optimized damping controller compared to the conventionally designed controller. -3 x 10 3 2 Δ ω (pu) 1 A 10% step increase in mechanical power input at t = 1.0 s is assumed. The system speed and electrical power deviation response for the above contingency are shown in Figs. 5-6. It is clear from Figs. that without control the system is oscillatory and becomes unstable. Stability of the system is maintained and power system oscillations are effectively damped out with m B - based UPFC damping controller. It can also be seen from Figs. that the performance of the system is better with the proposed RCGA optimized damping controller compared to the conventionally designed controller. 0 -1 -2 WC -3 PCT RCGA 0 1 2 3 4 5 6 Time (sec) Fig. 7. Speed deviation response for Case-II -3 x 10 0.2 3 2 Δ Pe (pu) Δ ω (pu) WC PCT RCGA 0.15 1 0 -1 0.1 0.05 -2 WC -3 PCT RCGA 0 1 0 2 3 4 5 0 6 Time (sec) 0.2 1 2 3 4 5 6 Time (sec) Fig. 5. Speed deviation response for Case-I Fig. 8. Electrical power deviation response for Case-II WC PCT Case III: m E - based UPFC damping controller RCGA 0.15 Δ Pe (pu) International Science Index 39, 2010 waset.org/publications/11352 Case I: m B - based UPFC damping controller The performance of the system for the under same contingency (10% step increase in mechanical power input at t = 1.0 s) is demonstrated with m E - based UPFC damping controller. It can be observed from the system response shown in Figs. 9-10 that the performance of the system is slightly better with the proposed RCGA optimized m E based UPFC damping controller compared to the conventional phase compensation technique based designed of m E - based UPFC damping controller. 0.1 0.05 0 0 1 2 3 4 5 Time (sec) 6 Fig. 6. Electrical power deviation response for Case-I 23
World Academy of Science, Engineering and Technology International Journal of Electrical, Electronic Science and Engineering Vol:4 No:3, 2010 -3 x 10 0.2 WC PCT 3 Δ Pe (pu) 1 Δ ω (pu) RCGA 0.15 2 0 -1 0.1 0.05 WC -2 PCT -3 0 RCGA 0 1 2 3 4 5 0 6 1 2 3 4 5 6 Time (sec) Time (sec) Fig. 12. Electrical power deviation response for Case-IV Fig. 9. Speed deviation response for Case-III 0.2 Δ Pe (pu) Figs. 13-14 shows the system dynamic response considering a step load increase of 10 % and step load decrease of 5% respectively. It can be concluded from the Figs. that all four alternative damping controllers provide satisfactory damping performance for both increase and decrease in mechanical power input. However, the performance of m B - based UPFC damping controller seems to be slightly better among the four alternatives. RCGA 0.15 0.1 0.05 -4 0 20 0 1 2 3 4 5 x 10 6 mB Time (sec) 15 δB Case IV: δE Δ ω (pu) Fig. 10. Electrical power deviation response for Case-III - based UPFC damping controller Figs. 11-12 show the system response for the same contingency with δ E - based UPFC damping controller from which it can be seen that the proposed RCGA optimized δ E based UPFC damping controller performs better than the phase compensation technique tuned δ E - based UPFC damping controller. mE 10 δE 5 0 -5 0 1 2 3 4 5 Time (sec) Fig. 13. Speed deviation response for Case-V (step increase in Pm) -4 -3 x 10 1 3 x 10 0 -1 2 -2 Δ ω (pu) 1 Δ ω (pu) International Science Index 39, 2010 waset.org/publications/11352 Case V: Comparison four alternative UPFC-based damping controllers WC PCT -3 -1 -4 mB -5 0 δB -2 WC -6 mE -3 PCT RCGA -7 δE 0 1 2 3 4 5 -8 6 0 Time (sec) Fig. 11. Speed deviation response for Case-IV 1 2 3 4 Time (sec) Fig. 14. Speed deviation response for Case-V (step decrease in Pm) 24 5
World Academy of Science, Engineering and Technology International Journal of Electrical, Electronic Science and Engineering Vol:4 No:3, 2010 -4 Case VI: Comparison four alternative UPFC-based damping controllers for step change in reference voltage x 10 8 To test the robustness of the proposed approach, another disturbance is considered. The reference voltage is increased by 5 % at t=1.0 and the system dynamic response with all four alternative damping controllers is shown in Fig. 15. It can be concluded from Fig. 15 that though all four alternative damping controllers provide satisfactory damping performance for the above contingency, the performance of m B - based UPFC damping controller is slightly better among the four alternatives. mB δB Δ ω (pu) 6 mE 4 δE 2 0 -4 x 10 0 2 3 4 5 6 Fig. 17.Speed deviation response for Case-VII (30% decrease in T’do) δB It can be concluded from these Figs. that all four alternative damping controllers provide satisfactory damping performance with parameter variation. However, the performance of m B - based UPFC damping controller seems to be slightly better among the four alternatives. mE VI. CONCLUSION δE In this study, a real-coded genetic algorithm optimization technique is employed for the design of UPFC-based damping controllers. The design problem is transferred into an optimization problem and RCGA is employed to search for the optimal UPFC-based controller parameters. The performance of the four alternatives UPFC based damping controller namely modulating index of series inverter (mB), modulating index of shunt inverter (mE), phase angle of series inverter (δB) and phase angle of the shunt inverter (δE ) have been investigated under various disturbances and parameter variations. Simulation results are presented and compared with a conventional phase compensation technique for tuning the damping controller parameters to show the superiority of the proposed design approach. Investigations show that the damping control by changing the modulating index of series inverter (mB), provide slightly better performance among the four alternatives. Δ ω (pu) -5 mB -10 -15 -20 0 1 2 3 4 5 6 7 8 Time (sec) Fig. 15. Speed deviation response for Case-VI (step increase in Vref) Case VII: Effect of parameter variation on the performance of UPFC-based damping controllers In the design of damping controllers for any power system, it is extremely important to investigate the effect of variation of system parameters on the dynamic performance of the system. In order to examine the robustness of the damping controllers to variation in system parameters, a 25% decrease in machine inertia constant and 30% decrease of open circuit direct axis transient time constant is considered. The system response with the above parameter variations for a step increase in mechanical power is shown in Figs. 16-17 with all four alternative UPFC-based damping controllers. APPENDIX -4 x 10 Static System data: All data are in pu unless specified otherwise. Generator: M = 8.0 s., D = 0, X d = 1.0 , X q = 0.6 , mB 8 δB 6 Δ ω (pu) International Science Index 39, 2010 waset.org/publications/11352 1 Time (sec) 0 mE X ' d = 0.3 , T ' do = 5.044 , Pe = 0.8 , Vt = Vb = 1.0 Excitor: K A = 100 , T A = 0.01 s Transformer: X tE = 0.1 , X E = X B = 0.1 Transmission line: X Bv = 0.3 , X e = 0.5 UPFC parameters: m E = 0.4013 , m B = 0.0789 , δE 4 2 0 0 1 2 3 4 5 δ E = −85.3478 0 , δ B = −78.2174 0 , VDC=2.0, CDC=1.0 6 Time (sec) Fig. 16. Speed deviation response for Case-VII (25% decrease in M) 25
World Academy of Science, Engineering and Technology International Journal of Electrical, Electronic Science and Engineering Vol:4 No:3, 2010 REFERENCES [1] [2] [3] [4] [5] [6] [7] [8] International Science Index 39, 2010 waset.org/publications/11352 [9] [10] [11] [12] [13] [14] [15] [16] [17] [18] [19] [20] [21] [22] [23] P. Kundur, Power System Stability and Control. New York: McGrawHill, 1994. N. G. Hingorani, L. Gyugyi, Understanding FACTS: Concepts and Technology of Flexible AC Transmission Systems, IEEE Press, New York, 2000. Y. H Song, T. A. Johns, Flexible AC Transmission Systems (FACTS), IEE, London, 2000. R. M Mathur, R. K. Verma, Thyristor-based FACTS Controllers for Electrical Transmission Systems, IEEE Press, Piscataway, 2002. L Gyugyi. ‘Unified Power Flow Control Concept for Flexible ac Transmission Systems.’ IEE Proceedings-C, Vol. 139, No 4, pp. 323331, 1992. L. Gyugyi et. al., “The Unified Power Flow Controller: A New Approach to Power Transmission Control”, IEEE Trans. Power Delv. Vol. 10, No. 2, pp. 1085-1093, 1995. Sidhartha Panda, “Application of non-dominated sorting genetic algorithm-II technique for optimal FACTS-based controller design”, Journal of the Franklin Institute, doi:10.1016/j.jfranklin.2010.03.013. Sidhartha Panda, S.C. Swain, P.K. Rautray, R. Mallik, G. Panda, “Design and analysis of SSSC-based supplementary damping controller”, Simulation Modelling Practice and Theory, doi: 10.1016/j.simpat.2010.04.007. Sidhartha Panda, “Multi-Objective Evolutionary Algorithm for SSSCBased Controller Design”, Electric Power System Research, Vol. 79, Issue 6, pp. 937-944, 2009. Sidhartha Panda, “Differential Evolutionary Algorithm for TCSC-Based Controller Design”, Simulation Modelling Practice and Theory, Vol. 17, pp. 1618-1634, 2009. Sidhartha Panda, “Multi-objective Non-Dominated Shorting Genetic Algorithm-II for Excitation and TCSC-Based Controller Design”, Journal of Electrical Engineering, Vol. 60, No. 2, pp. 87-94, 2009. Sidhartha Panda, N.P. Padhy, “Comparison of Particle Swarm Optimization And Genetic Algorithm for FACTS-Based Controller Design”, Applied Soft Computing, Vol. 8, Issue 4, pp. 1418-1427, 2008. M. Nambu and Y. Ohsawa, “Development of an advanced power system stabilizer using a strict linearization approach”, IEEE Transactions on Power Systems, Vol. 11, pp. 813-818, 1996. E. V. Larsen and D. A. Swann “Applying Power System Stabilizers Part II: Performance Objectives and Tuning Concepts’, IEEE Transactions on Power Apparatus and Systems, Vol. 100, pp. 3025-3033, 1981. N. Tambey, M.L Kothari, “Unified Power Flow Controller (UPFC) Based Damping Controllers for Damping Low Frequency Oscillations in a Power System”, IE(I) Journal-EL, Vol. 84, pp. 35-41, 2003. M. E. About-Ela, A. A. Sallam, J. D. McCalley and A. A. Fouad, “Damping controller design for power system oscillations using global signals’, IEEE Transactions on Power Systems, Vol. 11, pp. 767-773, 1996. D. E. Goldberg, Genetic Algorithms in Search, Optimization and Machine Learning. Addison-Wesley, 1989. Sidhartha Panda, A.K. Baliarsingh, R.K. Sahu, “Multi-objective Optimization Technique for TCSC-Based Supplementary Damping Controller Design”, Proceedings World Congress on Nature & Biologically Inspired Computing (NaBIC 2009), 21st -23rd Dec., 2009 Bhubaneswar, India., pp. 1065-1070, 2009. Sidhartha Panda, C. Ardil, “Real-Coded Genetic Algorithm for Robust Power System Stabilizer Design”, International Journal of Electrical, Computers and System Engineering, Vol. 2, No. 1, pp. 6-14, 2008. Sidhartha Panda, S.C. Swain, A.K. Baliarsingh, “Real-Coded Genetic Algorithm for Robust Coordinated Design Of Excitation And SSSCBased Controller”, Journal of Electrical Engineering, Vol. 8, Issue 4, pp. 31-38, 2008. S. Panda, S.C. Swain, A.K. Baliarsingh, C. Ardil, “Optimal Supplementary Damping Controller Design For TCSC Employing RCGA”, International Journal of Computational Intelligence, Vol. 5, No. 1, pp. 36-45, 2009. H F Wang. ‘A Unified Model for the Analysis of FACTS Devices in Damping Power System Oscillations — Part III : Unified Power Flow Controller.’ IEEETransactions on Power Delivery, Vol. 15, no 3, July 2000, p 978. N. Tambey, M.L Kothari, “Damping of Power System Oscillations with Unified Power Flow Controller (UPFC)”, IEE Proc. Gener. Trans. Distrib., Vol. 150, No. 2, pp. 129-140, 2003. Asini Kumar Baliarsingh is working as an Assistant Professor in the Department of Electrical Engineering, Orissa Engineering College, Bhubaneswar, Orissa, India. He is working towards his PhD in KIIT University in the area of Application of Computational Intelligent Techniques to Power System Stability Problems and Flexible AC Transmission Systems controller design. Dr. Sidhartha Panda received Ph.D. degree from Indian Institute of Technology (IIT), Roorkee, India in 2008, M.E. degree from VSS University of Technology, (erstwhile UCE, Burla) in 2001 and. B.E. degree from Bangalore University in 1991 all in Electrical Engineering. Presently he is working as a Professor in the EEE department at National Institute of Science and Technology (NIST), Berhampur, Orissa. Earlier he worked as an Associate Professor in KIIT Deemed University and also in various other engineering colleges for about 15 years. He has published about 60 papers in various International Journals. Presently, he is acting as a reviewer of some International Journals namely; IEEE Transactions on Industrial Electronics, Applied Soft Computing (Elsevier), International Journal Electric Power and Energy Systems (Elsevier), International Journal Simulation Modelling Practice and Theory (Elsevier), International Journal of Control and Intelligent Systems (ACTA Press). The biography of Dr Panda has been included “Who's Who in the World”: 2010 edition, and “Who's Who in Science and Engineering”: 20112012, by in Marquis', USA, “2000 Outstanding Intellectuals of The 21st Century”, and “2000 Outstanding Scientists: 2010”, and nominated for “Top 100 Engineers: 2010”, by International Biographical Centre, Cambridge, England.. His areas of research include MATLAB/SIMULINK, Flexible AC Transmission Systems (FACTS), Modeling of Machines, Power Systems and FACTS, Controller Design, Power System Stability, Genetic Algorithm, Particle Swarm Optimization, Differential Evolution, Multi-objective Optimization, Economic Operation of Power System, Fuzzy Logic, Model Order Reduction, Distributed Generation and Wind Energy. Dr. A. K. Mohanty is an Ex-Professor in N.I.T.Rourkela.Now he is working as a Professor Emeritus in Electrical Engg. Deptt. at KIIT UNIVERSITY Bhubaneswar. Cemal Ardil is with National Academy of Aviation, AZ1045, Baku, Azerbaijan, Bina, 25th km, NAA 26

Upfc supplementary-controller-design-using-real-coded-genetic-algorithm-for-damping-low-frequency-oscillations-in-power-systems

  • 1.
    World Academy ofScience, Engineering and Technology International Journal of Electrical, Electronic Science and Engineering Vol:4 No:3, 2010 UPFC Supplementary Controller Design Using Real-Coded Genetic Algorithm for Damping Low Frequency Oscillations in Power Systems A.K. Baliarsingh, S. Panda, A.K. Mohanty, C. Ardil International Science Index 39, 2010 waset.org/publications/11352 Abstract—This paper presents a systematic approach for designing Unified Power Flow Controller (UPFC) based supplementary damping controllers for damping low frequency oscillations in a single-machine infinite-bus power system. Detailed investigations have been carried out considering the four alternatives UPFC based damping controller namely modulating index of series inverter (mB), modulating index of shunt inverter (mE), phase angle of series inverter (δB ) and phase angle of the shunt inverter (δE ). The design problem of the proposed controllers is formulated as an optimization problem and Real- Coded Genetic Algorithm (RCGA) is employed to optimize damping controller parameters. Simulation results are presented and compared with a conventional method of tuning the damping controller parameters to show the effectiveness and robustness of the proposed design approach. Keywords—Power System Oscillations, Real-Coded Genetic Algorithm (RCGA), Flexible AC Transmission Systems (FACTS), Unified Power Flow Controller (UPFC), Damping Controller. I. INTRODUCTION T HE main causes of the power systems to be operated near their stability limits is due to the fact that power systems are today much more loaded than before as power demand grows rapidly and expansion in transmission and generation is restricted with the limited availability of resources and the strict environmental constraints. In few occasions interconnection between remotely located power systems gives rise to low frequency oscillations in the range of 0.2-3.0 Hz. These low frequency oscillations are also observed when large power systems are interconnected by relatively weak tie lines. If the system is not well damped, these oscillations may keep increasing in magnitude until loss of synchronism results [1]. The installation of Power System Stabilizer (PSS) is both economical and effective; in order to damp these power system oscillations and increase system oscillations stability. _____________________________________________ A.K. Baliarsingh is Research Scholar in the Electrical Engineering Department, School of Technology, KIIT University, Bhubaneswar, Orissa, India (e-mail: asinibaliarsingh@yahoo.co.in). S. Panda is working as Professor in the Department of Electrical and Electronics Engineering, NIST, Berhampur, Orissa, India, Pin: 761008. (e-mail: panda_sidhartha@rediffmail.com ). A.K. Mohanty is working as Professor Emeritus in the Electrical Engineering Department, School of Technology, KIIT University, Bhubaneswar, Orissa, India, (e-mail: dhisi1@rediffmail.com). C. Ardil is with National Academy of Aviation, AZ1045, Baku, Azerbaijan, Bina, 25th km, NAA (e-mail: cemalardil@gmail.com). During the last decade, continuous and fast improvement of power electronics technology has made Flexible AC Transmission Systems (FACTS) a promising concept for power system applications [2-4]. With the application of FACTS technology, power flow along transmission lines can be more flexibly controlled. Due to the fact of the extremely fast control action is associated with FACTS-device operations, they have been very promising candidates for utilization in power system damping enhancement. The Unified Power Flow Controller (UPFC) is regarded as one of the most versatile devices in the FACTS device family [5-6] which has the capability to control of the power flow in the transmission line, improve the transient stability, alleviate system oscillation and offer voltage support. UPFC can provide simultaneous and independent control of important power system parameters: line active power flow, line reactive power flow, impedance; and voltage. In that way, it offers the essential functional flexibility for the collective application of phase angle control with controlled series and shunt compensation [2]. A conventional lead-lag controller structure is preferred by the power system utilities because of the ease of on-line tuning and also lack of assurance of the stability by some adaptive or variable structure techniques [7-10]. Traditionally, for the small signal stability studies of a power system, the linear model of Phillips-Heffron has been used for years, providing reliable results [1]. Although the model is a linear model, it is quite accurate for studying low frequency oscillations and stability of power systems [11-12]. The problem of UPFC damping controller parameter tuning is a complex exercise. A number of conventional techniques have been reported in the literature pertaining to design problems of conventional power system stabilizers namely the pole placement technique [13], phase compensation/root locus technique [14-15], residue compensation [16], and also the modern control theory. Unfortunately, the conventional techniques are time consuming as they are iterative and require heavy computation burden and slow convergence. In addition, the search process is susceptible to be trapped in local minima and the solution obtained may not be optimal. Also, the designed controller should provide some degree of robustness to the variations loading conditions, and configurations as the machine parameters change with operating conditions. A set of controller parameters which stabilise the system under a certain operating condition may no longer yield satisfactory results when there is a drastic change in power system 16
  • 2.
    International Science Index39, 2010 waset.org/publications/11352 World Academy of Science, Engineering and Technology International Journal of Electrical, Electronic Science and Engineering Vol:4 No:3, 2010 connected power system with different disturbances with parameter variations. Simulation results are presented and compared with a conventional tuning technique to show the effectiveness and robustness of the proposed approach. The reminder of the paper is organized in five major sections. Power system modeling with the proposed UPFCbased supplementary damping controller is presented in Section II. The design problem and the objective function are presented in section III. In Section IV, an overview of RCGA is presented. The results are presented and discussed in Section V. Finally, in Section VI conclusions are given. operating conditions and configurations [12]. In recent years, one of the most promising research fields has been “Evolutionary Techniques”, an area utilizing analogies with nature or social systems. These techniques constitute an approach to search for the optimum solutions via some form of directed random search process. Evolutionary techniques are finding popularity within research community as design tools and problem solvers because of their versatility and ability to optimize in complex multimodal search spaces applied to non-differentiable objective functions. Recently, Genetic Algorithm (GA) appeared as a promising evolutionary technique for handling the optimization problems [17]. GA has been popular in academia and the industry mainly because of its intuitiveness, ease of implementation, and the ability to effectively solve highly nonlinear, mixed integer optimisation problems that are typical of complex engineering systems. It has been reported in the literature that Real-Coded Genetic Algorithm (RCGA) is more efficient in terms of CPU time and offers higher precision with more consistent results [8, 18-21]. In view of the above, this paper proposes to use RCGA optimization technique for the damping controller design. For the proposed controller design, a time-domain based employing integral of time multiplied by speed deviation error has been employed. The optimal UPFC controller parameters are obtained employing RCGA. The proposed damping controllers are tested on a weakly Vt It Vo II. MODELING THE POWER SYSTEM WITH UPFC DAMPING CONTROLLER The single-machine infinite-bus (SMIB) power system installed with a UPFC as shown in Fig. 1 is considered in this study. The UPFC is installed in one of the two parallel transmission lines. This arrangement, comprising two parallel transmission lines, permits the control of real and reactive power flow through a line. The static excitation system, model type IEEE-STIA, has been considered. The UPFC is assumed to be based, on pulse width modulation (PWM) converters. The nominal loading condition and system parameters are even in Appendix 1. xT itl Vb iB x tE VB Generator xB iE x BV Infinite − bus VDC UPFC xE VSC − E VSC − B mE δ E mB δ B Fig. 1. Single-machine infinite-bus power system with UPFC A. Non-Linear Equations The non-linear differential equations of the SMIB system with UPFC is obtained by neglecting the resistances of the components of the system (i.e. generator, transformer, transmission lines, and shunt and series converter transformers) and the transient associated with the stator of the synchronous generator, transmission lines and transformers of the UPFC. The nonlinear dynamic model of the system with UPFC is given below [22-23]: • (1) δ = ωo (ω − 1) 17
  • 3.
    World Academy ofScience, Engineering and Technology International Journal of Electrical, Electronic Science and Engineering Vol:4 No:3, 2010 • ( − − DΔ ω ) ω = Pm Pe (2) M • E 'q = E' 1 T ' do I Eq = [− E q + E fd ] = fd ( ) ( 3m B I Bd Sinδ B + I Bq Cosδ B 4Cdc + ) X qT m BVdc Sinδ B X qE 2 ) ( (7) Vt = Vtd + jVtq (8) Vt = X q I tq (9) Vtq = E q ′ − X d ′ I td (11) XE 1 m E Vdc I Ed + Cosδ E XT XT 2 1 Vb Cosδ − XT XE 1 m E Vdc I Eq − Sinδ E XT XT 2 + I Ed = 1 Vb Sinδ XT ( X dT − + (12) X a1 = (X X a3 = − qs X qT (13) ) (17) XT ; X b1 = ; X a2 = 1 + ( X ds X T X qT XT ; + X dT X E ) ; XT X dT X dT ; X b3 = XT XT The equation for the real power balance between the series and shunt converters is (14) X m V X BB E q ′ − dT B dc Cosδ B 2 X dE X dE Re V B I B ∗ + V E I E ∗ = 0 X T + X qT X E ) XT X b2 = 1 + + X BB X b 2 ) m E Vdc Cosδ E 2 X dE ) E q ′ + ( X b1 − X E X b 2 ) X qs = X q + X tE + X E ; + X BB X b3 ) Vb Cosδ X dE ( X dT E X qT = X q + X tE ; X ds = X tE + X d ′ + X E ; I tld = I tlq = X dE (X The variables used in the above equations are defined as: (10) I td = I tld + I Ed + I Bd 1 ⎛ ⎞ ⎜ ( X a1 − X E X a 2 ) m E Vdc Sinδ E ⎟ ⎜ ⎟ 2 ⎜ (X X − X ) ⎟ 1 a1 ⎜ + a3 E ⎟ I Bq = Vb Sinδ X qE ⎜ X qE ⎟ ⎜ ⎟ ⎜ + X m BVdc Sinδ ⎟ ⎜ ⎟ a1 B 2 ⎝ ⎠ (6) E q = E q ′ + X d − X d ′ I td (15) Sinδ E ( X X − X b1 ) m E Vdc Cosδ E + b3 E Vb Cosδ (16) X qE 2 m V + X b1 B dc Cosδ B 2 (5) where, Pe = Vtd I td + Vtq I tq 2 X qE (4) I Bd = Vb Sinδ (X qT + X BB X a2 ) m EVdc − (3) KA [Vref − Vt ] 1 + sT A 3mE Vdc = I Ed Sinδ E + I Eq Cosδ E 4Cdc International Science Index 39, 2010 waset.org/publications/11352 X qE − • ( (X qT + X BB X a3 ) (18) 18
  • 4.
    World Academy ofScience, Engineering and Technology International Journal of Electrical, Electronic Science and Engineering Vol:4 No:3, 2010 B. Linearized Equations In the design of electromechanical mode damping stabilizer, a linearized incremental model around an operating point is usually employed. The Phillips-Heffron model of the power system with FACTS devices is obtained by linearizing the set of equations (1) around an operating condition of the power system. The linearized expressions are as follows [22-23]: • (19) Δδ = ω 0 Δω Δω • = • International Science Index 39, 2010 waset.org/publications/11352 Δ E fd = ) ( − ΔE fd + K A ΔVref − ΔVt TA [ K pu ] = [ K pc ) K pb K pδb ] K qδe K qb K qδb ] K vδe K vb K vδb ] (26) [ K cu ] = [ K ce (21) K pδe [ K qu ] = [ K qe (20) M ( [ K cu ] are defined as: [ K vu ] = [ K ve (ΔPm − ΔP e − DΔω ) • − ΔE q + ΔE fd Δ E' = Tdo ' controlled in a coordinated manner to ensure real power output of the shunt converter is equal to the real power input to the series converter. The constancy of the DC voltage ensures that this equality is maintained. In Fig 2, the row vectors [ K pu ] , [ K qu ] , [ K vu ] and K cδe K cb K cδb ] (27) The control vector follows: [Δu ] = [Δm E (22) (24) (25) [Δu ] is the column vector defined as Δδ E Δm B Δδ B ]T where, • ' ΔVdc = K 7 Δδ + K 8 ΔE q − K 9 ΔVdc Δm B - Deviation in modulation index m B of series converter. + K ce Δm E + K cδe Δδ E + K cb Δm B + K cδb Δδ B Δδ B - Deviation in phase angle of the injected voltage. (23) where, Δm E - Deviation in modulation index m E of shunt converter. ' + K 2 ΔE q + K pe Δm E ΔPe = K1Δδ + K pδe Δδ E + K pb Δm B + K pδb Δδ B + K pd ΔVdc Δδ E - Deviation in phase angle of the shunt converter voltage. ' ΔEq = K 4 Δδ + K 3ΔEq + K qe ΔmE + K qδe Δδ E + K qb ΔmB + K qδb Δδ B + K qd ΔVdc ' ΔVt = K 5Δδ + K 6 ΔEq + K ve ΔmE + K vδe Δδ E + K vb ΔmB + K vδb Δδ B + K vd ΔVdc The modified Phillips-Heffron model of the single-machine infinite-bus (SMIB) power system with UPFC-based damping controller is obtained using linearized equation set (2). The corresponding block diagram model is shown in Fig. 2. The modified Heffron-Phillips model has 28constants as compared to 6 constants in the original Heffron-Phillips model of the SMIB system. These constants are functions of the system parameters and initial operating condition. By controlling mB , the magnitude of series injected voltage can be controlled, by controlling δ B , the phase angle of series III. THE PROPOSED APPROACH A. Structure of UPFC-based Damping Controller The commonly used lead–lag structure is chosen in this study as UPFC-based supplementary damping controller as shown in Fig. 3. The structure consists of a gain block; a signal washout block and two-stage phase compensation block. The phase compensation block provides the appropriate phase-lead characteristics to compensate for the phase lag between input and the output signals. The signal washout block serves as a high-pass filter which allows signals associated with oscillations in input signal to pass unchanged. Without it steady changes in input would modify the output. The input signal of the proposed UPFC-based controller is the speed deviation Δω and the output is the change in control vector [ Δu ] . From the viewpoint of the washout function the value of washout time constant is not critical in lead-lag structured controllers and may be in the range 1 to 20 seconds [1]. injected voltage can be controlled, by controlling m E , the output voltage of the shunt converter can be controlled and by controlling δ E , the phase angle of output voltage of the shunt converter can be controlled. The series and shunt converter are 19
  • 5.
    World Academy ofScience, Engineering and Technology International Journal of Electrical, Electronic Science and Engineering Vol:4 No:3, 2010 + + ∑ + ΔPe _ K1 ΔPm + Δω ω 1 0 Ms + D s ∑ + [ K pu ] K6 K2 K4 _ 1 ΔE 'q K3 + sT 'do International Science Index 39, 2010 waset.org/publications/11352 [Δu ] [ K cu ] + ∑ _ + _ [ K qu ] K8 + 1 s + K9 ∑ + Δδ K qd KA 1 + sTA K5 _ _ _ [ K vu ] K pd ΔVref ∑ + _ K vd ΔVDC K7 Fig. 2 Modified Heffron-Phillips model of SMIB system with UPFC Δω Input KT Gain Block sT WT 1+ sT WT Washout Block 1 + sT1 1 + sT2 1 + sT3 1 + sT4 [Δu] Output Two stage lead-lag Block Fig. 3. Structure of the UPFC-based damping controller From the viewpoint of the washout function the value of washout time constant is not critical in lead-lag structured controllers and may be in the range 1 to 20 seconds [1]. In the present study, a washout time constant of KWT = 10 s is used. The controller gains K T ; and the time constants T1 , T2 , T3 and T4 are to be determined. (minimize/maximize) an objective function or fitness function satisfying the constraints of either state or control variable or both depending upon the requirement. It is worth mentioning that the UPFC-based controllers are designed to minimize the power system oscillations after a disturbance so as to improve the stability. These oscillations are reflected in the deviation in the generator rotor speed ( Δω ). In the present study, an integral time absolute error of the speed deviations is taken as the objective function J, expressed as: t1 (28) J = ∫ t | e (t )| dt 0 Where, ‘e’ is the error signal ( Δω ) and t1 is the time range of simulation. The parameters of the damping controller are obtained using RCGA. A brief overview of RCGA is presented in the next section. IV. OVERVIEW OF REAL-CODED GENETIC ALGORITHM B. Objective Function Tuning a controller parameter can be viewed as an optimization problem in multi-modal space as many settings of the controller could be yielding good performance. Traditional method of tuning doesn’t guarantee optimal parameters and in most cases the tuned parameters need improvement through trial and error. The aim of any evolutionary optimization technique is basically to optimize Genetic Algorithm (GA) can be viewed as a generalpurpose search method, an optimization method, or a learning mechanism, based loosely on Darwinian principles of biological evolution, reproduction and “the survival of the fittest.” GA maintains a set of candidate solutions called population and repeatedly modifies them. At each step, the GA selects individuals at random from the current population 20
  • 6.
    International Science Index39, 2010 waset.org/publications/11352 World Academy of Science, Engineering and Technology International Journal of Electrical, Electronic Science and Engineering Vol:4 No:3, 2010 to be parents and uses them to produce the children for the next generation. Candidate solutions are usually represented as strings of fixed length, called chromosomes. Given a random initial population GA operates in cycles called generations, as follows [13]: • Each member of the population is evaluated using an objective function or fitness function. • The population undergoes reproduction in a number of iterations. One or more parents are chosen stochastically, but strings with higher fitness values have higher probability of contributing an offspring. • Genetic operators, such as crossover and mutation, are applied to parents to produce offspring. • The offspring are inserted into the population and the process is repeated. Over successive generations, the population “evolves” toward an optimal solution. GA can be applied to solve a variety of optimization problems that are not well suited for standard optimization algorithms, including problems in which the objective function is discontinuous, nondifferentiable, stochastic, or highly nonlinear. GA has been used to solve difficult engineering problems that are complex and difficult to solve by conventional optimization methods. Implementation of GA requires the determination of six fundamental issues: chromosome representation, selection function, the genetic operators, initialization, termination and evaluation function. Brief descriptions about these issues are provided in the following sections [8, 18-21]. Pi = q ' (1 − q )r −1 q q' = 1 − (1 − q ) P r = rank of the individual (with best equals 1) P = population size C. Genetic operators The basic search mechanism of the GA is provided by the genetic operators. There are two basic types of operators: crossover and mutation. These operators are used to produce new solutions based on existing solutions in the population. Crossover takes two individuals to be parents and produces two new individuals while mutation alters one individual to produce a single new solution. The following genetic operators are usually employed: simple crossover, arithmetic crossover and heuristic crossover as crossover operator and uniform mutation, non-uniform mutation, multi-non-uniform mutation, boundary mutation as mutation operator. Arithmetic crossover and non-uniform mutation are employed in the present study as genetic operators. Crossover generates a random number r from a uniform distribution from 1 to m and creates two new individuals by using equations: ⎧ x i , if i < r ⎫ x i' = ⎨ ⎬ ⎩ y i otherwise⎭ ⎧ y i , if i < r ⎫ y i' = ⎨ ⎬ ⎩ x i otherwise ⎭ (31) (32) Arithmetic crossover produces two complimentary linear combinations of the parents, where r = U (0, 1): − − − X ' = r X + (1 − r ) Y − B. Selection function To produce successive generations, selection of individuals plays a very significant role in a genetic algorithm. The selection function determines which of the individuals will survive and move on to the next generation. A probabilistic selection is performed based upon the individual’s fitness such that the superior individuals have more chance of being selected. There are several schemes for the selection process: roulette wheel selection and its extensions, scaling techniques, tournament, normal geometric, elitist models and ranking methods. The selection approach assigns a probability of selection Pj to each individuals based on its fitness value. In the present study, normalized geometric selection function has been used. In normalized geometric ranking, the probability of selecting an individual Pi is defined as: (30) where, q = probability of selecting the best individual A. Chromosome representation Chromosome representation scheme determines how the problem is structured in the GA and also determines the genetic operators that are used. Each individual or chromosome is made up of a sequence of genes. Various types of representations of an individual or chromosome are: binary digits, floating point numbers, integers, real values, matrices, etc. Generally natural representations are more efficient and produce better solutions. Real-coded representation is more efficient in terms of CPU time and offers higher precision with more consistent results. (29) − (33) − Y ' = r Y + (1 − r ) X (34) Non-uniform mutation randomly selects one variable j and sets it equal to a non-uniform random number. ⎧ x i + (bi − x i ) f (G ) if r1 < 0.5, ⎫ ⎪ ⎪ x i ' = ⎨ x i + ( x i + a i ) f (G ) if r1 ≥ 0.5,⎬ ⎪ x, ⎪ otherwise i ⎩ ⎭ (35) where, f (G ) = (r2 (1 − G )) b G max r1, r2 = uniform random nos. between 0 to 1. 21 (36)
  • 7.
    World Academy ofScience, Engineering and Technology International Journal of Electrical, Electronic Science and Engineering Vol:4 No:3, 2010 G = current generation. Gmax = maximum no. of generations. b = shape parameter. the total number of generations set to 100. The optimization processes is run 20 times for both the control signals and best among the 20 runs are provided in the Table II. D. Initialization, termination and evaluation function Start An initial population is needed to start the genetic algorithm procedure. The initial population can be randomly generated or can be taken from other methods. GA moves from generation to generation until a stopping criterion is met. The stopping criterion could be maximum number of generations, population convergence criteria, lack of improvement in the best solution over a specified number of generations or target value for the objective function. Evaluation functions or objective functions of many forms can be used in a GA so that the function can map the population into a partially ordered set. Specify the parameters for RCGA Generate initial population Gen.=1 Time-domain simulation of power system model Find the fitness of each individual in the current population V. RESULTS AND DISCUSSIONS International Science Index 39, 2010 waset.org/publications/11352 A. Application of RCGA The optimization of the proposed UPFC-based supplementary damping controller parameters is carried out by minimizing the fitness given in equation (28) employing RCGA. For the implementation of RCGA normal geometric selection is employed which is a ranking selection function based on the normalized geometric distribution. Arithmetic crossover takes two parents and performs an interpolation along the line formed by the two parents. Non uniform mutation changes one of the parameters of the parent based on a non-uniform probability distribution. This Gaussian distribution starts wide, and narrows to a point distribution as the current generation approaches the maximum generation. The model of the system under study has been developed in MATLAB/SIMULINK environment and RCGA programme has been written (in .mfile). For objective function calculation, the developed model is simulated in a separate programme (by .m file using initial population/controller parameters) considering a severe disturbance. Form the SIMULINK model the objective function value is evaluated and moved to workspace. The process is repeated for each individual in the population. For objective function calculation, a 10% increase in mechanical power input is considered. Using the objective function values, the population is modified by RCGA for the next generation. The flow chart of proposed optimization algorithm is shown in Fig. 4. For different problems, it is possible that the same parameters for GA do not give the best solution and so these can be changed according to the situation. One more important point that affects the optimal solution more or less is the range for unknowns. For the very first execution of the program, more wide solution space can be given and after getting the solution one can shorten the solution space nearer to the values obtained in the previous iteration. The parameters employed for the implementations of RCGA in the present study are given in Table I. Optimization were performed with Gen.=Gen.+1 Yes Gen. > Max. Gen.? Stop No Apply GA operators: selection,crossover and mutation Fig. 4 Flowchart of RCGA optimization process to optimally tune the controller parameters TABLE I PARAMETERS USED IN RCGA Parameter Value/Type Maximum generations 100 Population size 50 Type of selection Normal geometric [0 0.08] Type of crossover Arithmetic [2] Type of mutation Nonuniform [2 100 3] Termination method Maximum generation TABLE II OPTIMIZED UPFC-BASED DAMPING CONTROLLER PARAMETERS Damping controller KT T1 T2 T3 T4 mB 89.3312 0.2774 0.3217 0.3294 0.3538 δB - based 34.1934 0.1650 0.1173 0.1385 0.3603 mE - based 19.2086 0.5494 0.4874 0.3656 0.3269 δE 22 - based - based 29.0276 0.1090 0.2463 0.2416 0.2367
  • 8.
    World Academy ofScience, Engineering and Technology International Journal of Electrical, Electronic Science and Engineering Vol:4 No:3, 2010 B. Simulation Results Case II: To assess the effectiveness and robustness of the proposed damping controllers various disturbances and parameter variations are considered. The performance of the proposed controllers is compared with a published [15] conventional design technique (phase compensation technique). The response with out controller is shown in dashed lines (with legend “WC”) and the response with conventional phase compensation technique tuned UPFC-based damping controller is shown dotted lines (with legend “PCT”). The responses with proposed RCGA optimized UPFC-based damping controller are shown in solid lines (with legend ‘RCGA’). δB - based UPFC damping controller The performance of the system for the under same contingency (10% step increase in mechanical power input at t = 1.0 s) is verified with δ B - based UPFC damping controller and the system response is shown in Figs. 7-8. It can be observed from Figs. that the performance of the system is better with the proposed RCGA optimized damping controller compared to the conventionally designed controller. -3 x 10 3 2 Δ ω (pu) 1 A 10% step increase in mechanical power input at t = 1.0 s is assumed. The system speed and electrical power deviation response for the above contingency are shown in Figs. 5-6. It is clear from Figs. that without control the system is oscillatory and becomes unstable. Stability of the system is maintained and power system oscillations are effectively damped out with m B - based UPFC damping controller. It can also be seen from Figs. that the performance of the system is better with the proposed RCGA optimized damping controller compared to the conventionally designed controller. 0 -1 -2 WC -3 PCT RCGA 0 1 2 3 4 5 6 Time (sec) Fig. 7. Speed deviation response for Case-II -3 x 10 0.2 3 2 Δ Pe (pu) Δ ω (pu) WC PCT RCGA 0.15 1 0 -1 0.1 0.05 -2 WC -3 PCT RCGA 0 1 0 2 3 4 5 0 6 Time (sec) 0.2 1 2 3 4 5 6 Time (sec) Fig. 5. Speed deviation response for Case-I Fig. 8. Electrical power deviation response for Case-II WC PCT Case III: m E - based UPFC damping controller RCGA 0.15 Δ Pe (pu) International Science Index 39, 2010 waset.org/publications/11352 Case I: m B - based UPFC damping controller The performance of the system for the under same contingency (10% step increase in mechanical power input at t = 1.0 s) is demonstrated with m E - based UPFC damping controller. It can be observed from the system response shown in Figs. 9-10 that the performance of the system is slightly better with the proposed RCGA optimized m E based UPFC damping controller compared to the conventional phase compensation technique based designed of m E - based UPFC damping controller. 0.1 0.05 0 0 1 2 3 4 5 Time (sec) 6 Fig. 6. Electrical power deviation response for Case-I 23
  • 9.
    World Academy ofScience, Engineering and Technology International Journal of Electrical, Electronic Science and Engineering Vol:4 No:3, 2010 -3 x 10 0.2 WC PCT 3 Δ Pe (pu) 1 Δ ω (pu) RCGA 0.15 2 0 -1 0.1 0.05 WC -2 PCT -3 0 RCGA 0 1 2 3 4 5 0 6 1 2 3 4 5 6 Time (sec) Time (sec) Fig. 12. Electrical power deviation response for Case-IV Fig. 9. Speed deviation response for Case-III 0.2 Δ Pe (pu) Figs. 13-14 shows the system dynamic response considering a step load increase of 10 % and step load decrease of 5% respectively. It can be concluded from the Figs. that all four alternative damping controllers provide satisfactory damping performance for both increase and decrease in mechanical power input. However, the performance of m B - based UPFC damping controller seems to be slightly better among the four alternatives. RCGA 0.15 0.1 0.05 -4 0 20 0 1 2 3 4 5 x 10 6 mB Time (sec) 15 δB Case IV: δE Δ ω (pu) Fig. 10. Electrical power deviation response for Case-III - based UPFC damping controller Figs. 11-12 show the system response for the same contingency with δ E - based UPFC damping controller from which it can be seen that the proposed RCGA optimized δ E based UPFC damping controller performs better than the phase compensation technique tuned δ E - based UPFC damping controller. mE 10 δE 5 0 -5 0 1 2 3 4 5 Time (sec) Fig. 13. Speed deviation response for Case-V (step increase in Pm) -4 -3 x 10 1 3 x 10 0 -1 2 -2 Δ ω (pu) 1 Δ ω (pu) International Science Index 39, 2010 waset.org/publications/11352 Case V: Comparison four alternative UPFC-based damping controllers WC PCT -3 -1 -4 mB -5 0 δB -2 WC -6 mE -3 PCT RCGA -7 δE 0 1 2 3 4 5 -8 6 0 Time (sec) Fig. 11. Speed deviation response for Case-IV 1 2 3 4 Time (sec) Fig. 14. Speed deviation response for Case-V (step decrease in Pm) 24 5
  • 10.
    World Academy ofScience, Engineering and Technology International Journal of Electrical, Electronic Science and Engineering Vol:4 No:3, 2010 -4 Case VI: Comparison four alternative UPFC-based damping controllers for step change in reference voltage x 10 8 To test the robustness of the proposed approach, another disturbance is considered. The reference voltage is increased by 5 % at t=1.0 and the system dynamic response with all four alternative damping controllers is shown in Fig. 15. It can be concluded from Fig. 15 that though all four alternative damping controllers provide satisfactory damping performance for the above contingency, the performance of m B - based UPFC damping controller is slightly better among the four alternatives. mB δB Δ ω (pu) 6 mE 4 δE 2 0 -4 x 10 0 2 3 4 5 6 Fig. 17.Speed deviation response for Case-VII (30% decrease in T’do) δB It can be concluded from these Figs. that all four alternative damping controllers provide satisfactory damping performance with parameter variation. However, the performance of m B - based UPFC damping controller seems to be slightly better among the four alternatives. mE VI. CONCLUSION δE In this study, a real-coded genetic algorithm optimization technique is employed for the design of UPFC-based damping controllers. The design problem is transferred into an optimization problem and RCGA is employed to search for the optimal UPFC-based controller parameters. The performance of the four alternatives UPFC based damping controller namely modulating index of series inverter (mB), modulating index of shunt inverter (mE), phase angle of series inverter (δB) and phase angle of the shunt inverter (δE ) have been investigated under various disturbances and parameter variations. Simulation results are presented and compared with a conventional phase compensation technique for tuning the damping controller parameters to show the superiority of the proposed design approach. Investigations show that the damping control by changing the modulating index of series inverter (mB), provide slightly better performance among the four alternatives. Δ ω (pu) -5 mB -10 -15 -20 0 1 2 3 4 5 6 7 8 Time (sec) Fig. 15. Speed deviation response for Case-VI (step increase in Vref) Case VII: Effect of parameter variation on the performance of UPFC-based damping controllers In the design of damping controllers for any power system, it is extremely important to investigate the effect of variation of system parameters on the dynamic performance of the system. In order to examine the robustness of the damping controllers to variation in system parameters, a 25% decrease in machine inertia constant and 30% decrease of open circuit direct axis transient time constant is considered. The system response with the above parameter variations for a step increase in mechanical power is shown in Figs. 16-17 with all four alternative UPFC-based damping controllers. APPENDIX -4 x 10 Static System data: All data are in pu unless specified otherwise. Generator: M = 8.0 s., D = 0, X d = 1.0 , X q = 0.6 , mB 8 δB 6 Δ ω (pu) International Science Index 39, 2010 waset.org/publications/11352 1 Time (sec) 0 mE X ' d = 0.3 , T ' do = 5.044 , Pe = 0.8 , Vt = Vb = 1.0 Excitor: K A = 100 , T A = 0.01 s Transformer: X tE = 0.1 , X E = X B = 0.1 Transmission line: X Bv = 0.3 , X e = 0.5 UPFC parameters: m E = 0.4013 , m B = 0.0789 , δE 4 2 0 0 1 2 3 4 5 δ E = −85.3478 0 , δ B = −78.2174 0 , VDC=2.0, CDC=1.0 6 Time (sec) Fig. 16. Speed deviation response for Case-VII (25% decrease in M) 25
  • 11.
    World Academy ofScience, Engineering and Technology International Journal of Electrical, Electronic Science and Engineering Vol:4 No:3, 2010 REFERENCES [1] [2] [3] [4] [5] [6] [7] [8] International Science Index 39, 2010 waset.org/publications/11352 [9] [10] [11] [12] [13] [14] [15] [16] [17] [18] [19] [20] [21] [22] [23] P. Kundur, Power System Stability and Control. New York: McGrawHill, 1994. N. G. Hingorani, L. Gyugyi, Understanding FACTS: Concepts and Technology of Flexible AC Transmission Systems, IEEE Press, New York, 2000. Y. H Song, T. A. Johns, Flexible AC Transmission Systems (FACTS), IEE, London, 2000. R. M Mathur, R. K. Verma, Thyristor-based FACTS Controllers for Electrical Transmission Systems, IEEE Press, Piscataway, 2002. L Gyugyi. ‘Unified Power Flow Control Concept for Flexible ac Transmission Systems.’ IEE Proceedings-C, Vol. 139, No 4, pp. 323331, 1992. L. Gyugyi et. al., “The Unified Power Flow Controller: A New Approach to Power Transmission Control”, IEEE Trans. Power Delv. Vol. 10, No. 2, pp. 1085-1093, 1995. Sidhartha Panda, “Application of non-dominated sorting genetic algorithm-II technique for optimal FACTS-based controller design”, Journal of the Franklin Institute, doi:10.1016/j.jfranklin.2010.03.013. Sidhartha Panda, S.C. Swain, P.K. Rautray, R. Mallik, G. Panda, “Design and analysis of SSSC-based supplementary damping controller”, Simulation Modelling Practice and Theory, doi: 10.1016/j.simpat.2010.04.007. Sidhartha Panda, “Multi-Objective Evolutionary Algorithm for SSSCBased Controller Design”, Electric Power System Research, Vol. 79, Issue 6, pp. 937-944, 2009. Sidhartha Panda, “Differential Evolutionary Algorithm for TCSC-Based Controller Design”, Simulation Modelling Practice and Theory, Vol. 17, pp. 1618-1634, 2009. Sidhartha Panda, “Multi-objective Non-Dominated Shorting Genetic Algorithm-II for Excitation and TCSC-Based Controller Design”, Journal of Electrical Engineering, Vol. 60, No. 2, pp. 87-94, 2009. Sidhartha Panda, N.P. Padhy, “Comparison of Particle Swarm Optimization And Genetic Algorithm for FACTS-Based Controller Design”, Applied Soft Computing, Vol. 8, Issue 4, pp. 1418-1427, 2008. M. Nambu and Y. Ohsawa, “Development of an advanced power system stabilizer using a strict linearization approach”, IEEE Transactions on Power Systems, Vol. 11, pp. 813-818, 1996. E. V. Larsen and D. A. Swann “Applying Power System Stabilizers Part II: Performance Objectives and Tuning Concepts’, IEEE Transactions on Power Apparatus and Systems, Vol. 100, pp. 3025-3033, 1981. N. Tambey, M.L Kothari, “Unified Power Flow Controller (UPFC) Based Damping Controllers for Damping Low Frequency Oscillations in a Power System”, IE(I) Journal-EL, Vol. 84, pp. 35-41, 2003. M. E. About-Ela, A. A. Sallam, J. D. McCalley and A. A. Fouad, “Damping controller design for power system oscillations using global signals’, IEEE Transactions on Power Systems, Vol. 11, pp. 767-773, 1996. D. E. Goldberg, Genetic Algorithms in Search, Optimization and Machine Learning. Addison-Wesley, 1989. Sidhartha Panda, A.K. Baliarsingh, R.K. Sahu, “Multi-objective Optimization Technique for TCSC-Based Supplementary Damping Controller Design”, Proceedings World Congress on Nature & Biologically Inspired Computing (NaBIC 2009), 21st -23rd Dec., 2009 Bhubaneswar, India., pp. 1065-1070, 2009. Sidhartha Panda, C. Ardil, “Real-Coded Genetic Algorithm for Robust Power System Stabilizer Design”, International Journal of Electrical, Computers and System Engineering, Vol. 2, No. 1, pp. 6-14, 2008. Sidhartha Panda, S.C. Swain, A.K. Baliarsingh, “Real-Coded Genetic Algorithm for Robust Coordinated Design Of Excitation And SSSCBased Controller”, Journal of Electrical Engineering, Vol. 8, Issue 4, pp. 31-38, 2008. S. Panda, S.C. Swain, A.K. Baliarsingh, C. Ardil, “Optimal Supplementary Damping Controller Design For TCSC Employing RCGA”, International Journal of Computational Intelligence, Vol. 5, No. 1, pp. 36-45, 2009. H F Wang. ‘A Unified Model for the Analysis of FACTS Devices in Damping Power System Oscillations — Part III : Unified Power Flow Controller.’ IEEETransactions on Power Delivery, Vol. 15, no 3, July 2000, p 978. N. Tambey, M.L Kothari, “Damping of Power System Oscillations with Unified Power Flow Controller (UPFC)”, IEE Proc. Gener. Trans. Distrib., Vol. 150, No. 2, pp. 129-140, 2003. Asini Kumar Baliarsingh is working as an Assistant Professor in the Department of Electrical Engineering, Orissa Engineering College, Bhubaneswar, Orissa, India. He is working towards his PhD in KIIT University in the area of Application of Computational Intelligent Techniques to Power System Stability Problems and Flexible AC Transmission Systems controller design. Dr. Sidhartha Panda received Ph.D. degree from Indian Institute of Technology (IIT), Roorkee, India in 2008, M.E. degree from VSS University of Technology, (erstwhile UCE, Burla) in 2001 and. B.E. degree from Bangalore University in 1991 all in Electrical Engineering. Presently he is working as a Professor in the EEE department at National Institute of Science and Technology (NIST), Berhampur, Orissa. Earlier he worked as an Associate Professor in KIIT Deemed University and also in various other engineering colleges for about 15 years. He has published about 60 papers in various International Journals. Presently, he is acting as a reviewer of some International Journals namely; IEEE Transactions on Industrial Electronics, Applied Soft Computing (Elsevier), International Journal Electric Power and Energy Systems (Elsevier), International Journal Simulation Modelling Practice and Theory (Elsevier), International Journal of Control and Intelligent Systems (ACTA Press). The biography of Dr Panda has been included “Who's Who in the World”: 2010 edition, and “Who's Who in Science and Engineering”: 20112012, by in Marquis', USA, “2000 Outstanding Intellectuals of The 21st Century”, and “2000 Outstanding Scientists: 2010”, and nominated for “Top 100 Engineers: 2010”, by International Biographical Centre, Cambridge, England.. His areas of research include MATLAB/SIMULINK, Flexible AC Transmission Systems (FACTS), Modeling of Machines, Power Systems and FACTS, Controller Design, Power System Stability, Genetic Algorithm, Particle Swarm Optimization, Differential Evolution, Multi-objective Optimization, Economic Operation of Power System, Fuzzy Logic, Model Order Reduction, Distributed Generation and Wind Energy. Dr. A. K. Mohanty is an Ex-Professor in N.I.T.Rourkela.Now he is working as a Professor Emeritus in Electrical Engg. Deptt. at KIIT UNIVERSITY Bhubaneswar. Cemal Ardil is with National Academy of Aviation, AZ1045, Baku, Azerbaijan, Bina, 25th km, NAA 26