How to Apply HOG Feature Extraction in Python

Learn how to use scikit-image library to extract Histogram of Oriented Gradient (HOG) features from images in Python.
  · 7 min read · Updated may 2024 · Computer Vision

Kickstart your coding journey with our Python Code Assistant. An AI-powered assistant that's always ready to help. Don't miss out!

The Histogram of Oriented Gradients (HOG) is a feature descriptor used in computer vision and image processing applications for the purpose of object detection. It is a technique that counts events of gradient orientation in a specific portion of an image or region of interest.

In 2005, Dalal and Triggs published a research paper named Histograms of Oriented Gradients for Human Detection. After the release of this paper, HOG is used in many object detection applications.

Here are the most important aspects of HOG:

  • HOG focuses on the structure of the object. It extracts information about the edge's magnitude as well as the orientation of the edges.
  • It uses a detection window of 64x128 pixels, so the image is first converted into (64, 128) shape.
  • The image is then further divided into small parts, and then the gradient and orientation of each part are calculated. It is divided into 8x16 cells into blocks with 50% overlap, so there are going to be 7x15 = 105 blocks in total, and each block consists of 2x2 cells with 8x8 pixels.
  • We take the 64 gradient vectors of each block (8x8 pixel cell) and put them into a 9-bin histogram.

Blocks & Cells in HOGBelow are the essential steps we take on HOG feature extraction:

Resizing the Image

As mentioned previously, if you have a wide image, then crop the image to the specific part in which you want to apply HOG feature extraction, and then resize it to the appropriate shape.

Calculating Gradients

Now, after resizing, we need to calculate the gradient in the x and y directions. The gradient simply involves small changes in the x and y directions; we must convolve two simple filters on the image.

The filter for calculating the gradient in the x-direction is:

x filter for calculating gradientThe following is when we apply this filter to an image:

Applied Gradient in X filterThe filter for calculating the gradient in the y-direction is:

Y filterThe following is when we apply this filter to an image:

Applied Gradient in Y

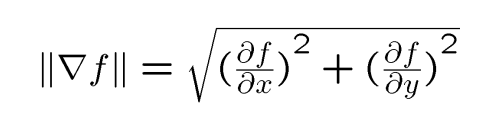
Calculating the Magnitude

To calculate the magnitude of the gradient, the following formula is used:

Magnitude FormulaMagnitude Formula

Calculating the Orientation

The gradient direction is given by:

Orientation formulaLet's take an example, say we have the matrix below:

Example MatrixThe gradient in the x-axis will simply be 94-56 = 38, and 93-55 = 38 in the y-axis.

The magnitude will be:

Magnitude ExampleThe gradient direction will be:

Gradient direction

RelatedMastering YOLO: Build an Automatic Number Plate Recognition System with OpenCV in Python.

Python Code

Now that we understand the theory, let's look at how we can use scikit-image library to extract HOG features from images.

First, let's install the necessary libraries for this tutorial:

pip3 install scikit-image matplotlib

I will perform HOG on a cute cat image, get it here, and put it in the current working directory (you can use any image you want, of course). Let's load the image and show it:

#importing required libraries from skimage.io import imread from skimage.transform import resize from skimage.feature import hog from skimage import exposure import matplotlib.pyplot as plt # reading the image img = imread('cat.jpg') plt.axis("off") plt.imshow(img) print(img.shape)

Output:

(1349, 1012, 3)

Demo cat imageResizing the image:

# resizing image resized_img = resize(img, (128*4, 64*4)) plt.axis("off") plt.imshow(resized_img) print(resized_img.shape)

Output:

(128, 64, 3)

Resized Cat ImageNow, we simply use hog() function from scikit-image library:

#creating hog features fd, hog_image = hog(resized_img, orientations=9, pixels_per_cell=(8, 8),	cells_per_block=(2, 2), visualize=True, multichannel=True) plt.axis("off") plt.imshow(hog_image, cmap="gray")

Output:

HOG Image

The hog() function takes 6 parameters as input:

  • image: The target image for which you want to apply HOG feature extraction.
  • orientations: Number of bins in the histogram we want to create, the original research paper used 9 bins so we will pass 9 as orientations.
  • pixels_per_cell: Determines the size of the cell; as we mentioned earlier, it is 8x8.
  • cells_per_block: Number of cells per block will be 2x2 as mentioned previously.
  • visualize: A boolean is used to decide whether to return the image of the HOG. We set it  True so we can show the image.
  • multichannel: We set it to True to tell the function that the last dimension is considered as a color channel instead of spatial.

Finally, if you want to save the images:

# save the images plt.imsave("resized_img.jpg", resized_img) plt.imsave("hog_image.jpg", hog_image, cmap="gray")

Conclusion

Alright, now you know how to perform HOG feature extraction in Python with the help of scikit-image library.

Check the full code here.

Related tutorials:

Happy Learning ♥

Take the stress out of learning Python. Meet our Python Code Assistant – your new coding buddy. Give it a whirl!

View Full Code Explain The Code for Me
Sharing is caring!



Read Also



Comment panel

    Got a coding query or need some guidance before you comment? Check out this Python Code Assistant for expert advice and handy tips. It's like having a coding tutor right in your fingertips!