Lecture 9: Linear Sorting Steven Skiena Department of Computer Science State University of New York Stony Brook, NY 11794–4400 http://www.cs.sunysb.edu/∼skiena
Problem of the Day The nuts and bolts problem is defined as follows. You are given a collection of n bolts of different widths, and n corresponding nuts. You can test whether a given nut and bolt together, from which you learn whether the nut is too large, too small, or an exact match for the bolt. The differences in size between pairs of nuts or bolts can be too small to see by eye, so you cannot rely on comparing the sizes of two nuts or two bolts directly. You are to match each bolt to each nut.
1. Give an O(n2 ) algorithm to solve the nuts and bolts problem. 2. Suppose that instead of matching all of the nuts and bolts, you wish to find the smallest bolt and its corresponding nut. Show that this can be done in only 2n − 2 comparisons. 3. Match the nuts and bolts in expected O(n log n) time.
Solution
Quicksort Pseudocode Sort(A) Quicksort(A,1,n) Quicksort(A, low, high) if (low < high) pivot-location = Partition(A,low,high) Quicksort(A,low, pivot-location - 1) Quicksort(A, pivot-location+1, high)
Partition Implementation Partition(A,low,high) pivot = A[low] leftwall = low for i = low+1 to high if (A[i] < pivot) then leftwall = leftwall+1 swap(A[i],A[leftwall]) swap(A[low],A[leftwall])
Quicksort Animation Q U I C K S O R T Q I C K S O R T U Q I C K O R S T U I C K O Q R S T U I C K O Q R S T U I C K O Q R S T U
Best Case for Quicksort Since each element ultimately ends up in the correct position, the algorithm correctly sorts. But how long does it take? The best case for divide-and-conquer algorithms comes when we split the input as evenly as possible. Thus in the best case, each subproblem is of size n/2. The partition step on each subproblem is linear in its size. Thus the total effort in partitioning the 2k problems of size n/2k is O(n).
Best Case Recursion Tree The total partitioning on each level is O(n), and it take lg n levels of perfect partitions to get to single element subproblems. When we are down to single elements, the problems are sorted. Thus the total time in the best case is O(n lg n).
Worst Case for Quicksort Suppose instead our pivot element splits the array as unequally as possible. Thus instead of n/2 elements in the smaller half, we get zero, meaning that the pivot element is the biggest or smallest element in the array.
Now we have n−1 levels, instead of lg n, for a worst case time of Θ(n2 ), since the first n/2 levels each have ≥ n/2 elements to partition. To justify its name, Quicksort had better be good in the average case. Showing this requires some intricate analysis. The divide and conquer principle applies to real life. If you break a job into pieces, make the pieces of equal size!
Intuition: The Average Case for Quicksort Suppose we pick the pivot element at random in an array of n keys. 1 n/4 n/2 3n/4 n Half the time, the pivot element will be from the center half of the sorted array. Whenever the pivot element is from positions n/4 to 3n/4, the larger remaining subarray contains at most 3n/4 elements.
How Many Good Partitions If we assume that the pivot element is always in this range, what is the maximum number of partitions we need to get from n elements down to 1 element? (3/4)l · n = 1 −→ n = (4/3)l lg n = l · lg(4/3) Therefore l = lg(4/3) · lg(n) < 2 lg n good partitions suffice.
How Many Bad Partitions? How often when we pick an arbitrary element as pivot will it generate a decent partition? Since any number ranked between n/4 and 3n/4 would make a decent pivot, we get one half the time on average. If we need 2 lg n levels of decent partitions to finish the job, and half of random partitions are decent, then on average the recursion tree to quicksort the array has ≈ 4 lg n levels.
Since O(n) work is done partitioning on each level, the average time is O(n lg n).
Average-Case Analysis of Quicksort (*) To do a precise average-case analysis of quicksort, we formulate a recurrence given the exact expected time T (n): n 1 T (n) = (T (p − 1) + T (n − p)) + n − 1 p=1 n Each possible pivot p is selected with equal probability. The number of comparisons needed to do the partition is n − 1. We will need one useful fact about the Harmonic numbers Hn, namely n Hn = 1/i ≈ ln n i=1 It is important to understand (1) where the recurrence relation
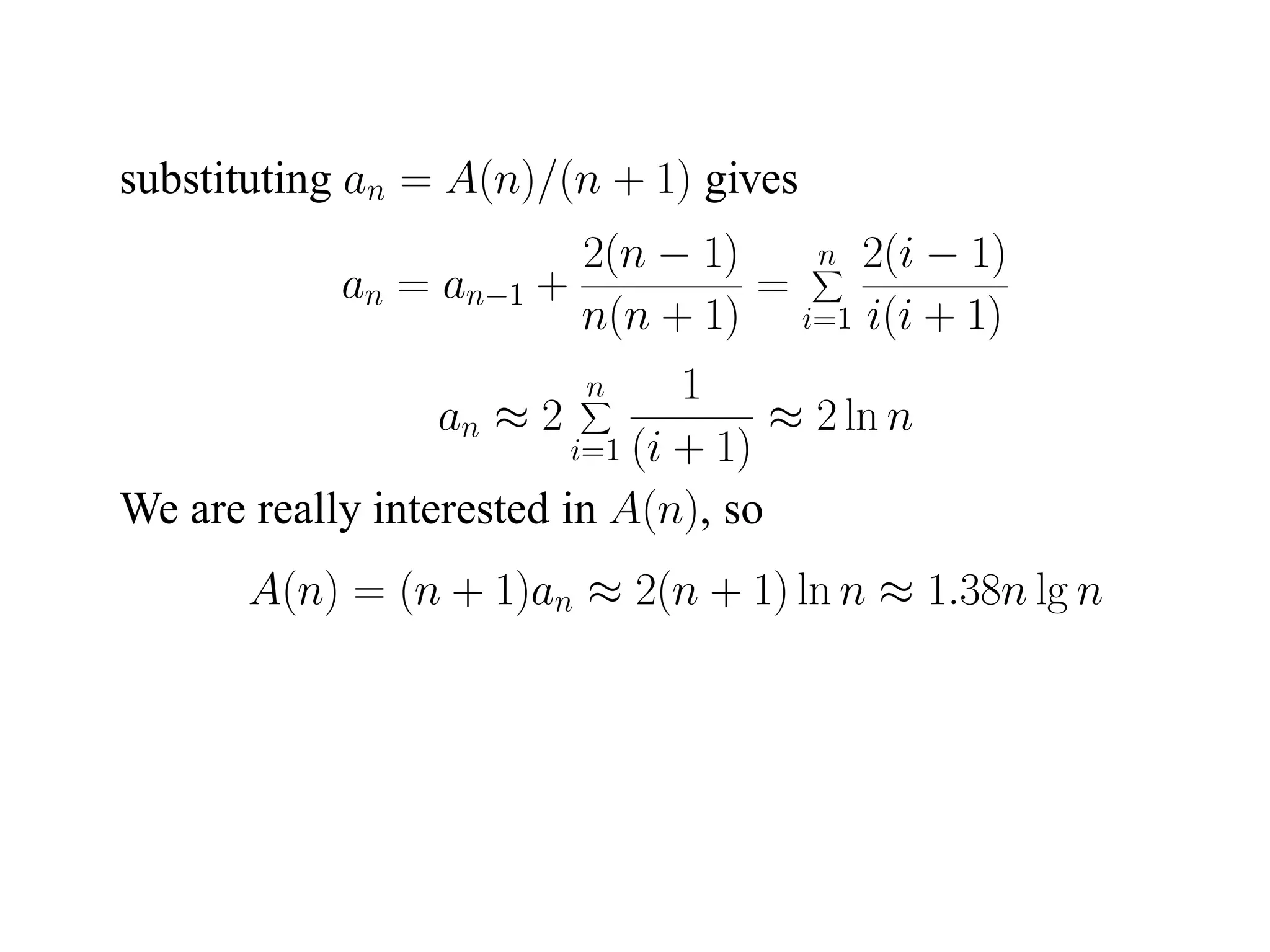
comes from and (2) how the log comes out from the summation. The rest is just messy algebra. n 1 T (n) = (T (p − 1) + T (n − p)) + n − 1 p=1 n 2 n T (n) = T (p − 1) + n − 1 n p=1 n nT (n) = 2 T (p − 1) + n(n − 1) multiply by n p=1 n−1 (n−1)T (n−1) = 2 T (p−1)+(n−1)(n−2) apply to n-1 p=1 nT (n) − (n − 1)T (n − 1) = 2T (n − 1) + 2(n − 1) rearranging the terms give us: T (n) T (n − 1) 2(n − 1) = + n+1 n n(n + 1)
substituting an = A(n)/(n + 1) gives 2(n − 1) n 2(i − 1) an = an−1 + = n(n + 1) i=1 i(i + 1) n 1 an ≈ 2 ≈ 2 ln n i=1 (i + 1) We are really interested in A(n), so A(n) = (n + 1)an ≈ 2(n + 1) ln n ≈ 1.38n lg n
Pick a Better Pivot Having the worst case occur when they are sorted or almost sorted is very bad, since that is likely to be the case in certain applications. To eliminate this problem, pick a better pivot: 1. Use the middle element of the subarray as pivot. 2. Use a random element of the array as the pivot. 3. Perhaps best of all, take the median of three elements (first, last, middle) as the pivot. Why should we use median instead of the mean? Whichever of these three rules we use, the worst case remains O(n2 ).
Is Quicksort really faster than Heapsort? Since Heapsort is Θ(n lg n) and selection sort is Θ(n2 ), there is no debate about which will be better for decent-sized files. When Quicksort is implemented well, it is typically 2-3 times faster than mergesort or heapsort. The primary reason is that the operations in the innermost loop are simpler. Since the difference between the two programs will be limited to a multiplicative constant factor, the details of how you program each algorithm will make a big difference.
Randomized Quicksort Suppose you are writing a sorting program, to run on data given to you by your worst enemy. Quicksort is good on average, but bad on certain worst-case instances. If you used Quicksort, what kind of data would your enemy give you to run it on? Exactly the worst-case instance, to make you look bad. But instead of picking the median of three or the first element as pivot, suppose you picked the pivot element at random. Now your enemy cannot design a worst-case instance to give to you, because no matter which data they give you, you would have the same probability of picking a good pivot!
Randomized Guarantees Randomization is a very important and useful idea. By either picking a random pivot or scrambling the permutation before sorting it, we can say: “With high probability, randomized quicksort runs in Θ(n lg n) time.” Where before, all we could say is: “If you give me random input data, quicksort runs in expected Θ(n lg n) time.”
Importance of Randomization Since the time bound how does not depend upon your input distribution, this means that unless we are extremely unlucky (as opposed to ill prepared or unpopular) we will certainly get good performance. Randomization is a general tool to improve algorithms with bad worst-case but good average-case complexity. The worst-case is still there, but we almost certainly won’t see it.
Can we sort o(n lg n)? Any comparison-based sorting program can be thought of as defining a decision tree of possible executions. Running the same program twice on the same permutation causes it to do exactly the same thing, but running it on different permutations of the same data causes a different sequence of comparisons to be made on each.
a1 < a2 ? T F a2 < a3 ? a1 < a3 ? T F T F (1,2,3) a1 < a3 ? (2,1,3) a2 < a3 ? T F T F (1,3,2) (3,1,2) (2,3,1) (3,2,1) Claim: the height of this decision tree is the worst-case complexity of sorting.
Lower Bound Analysis Since any two different permutations of n elements requires a different sequence of steps to sort, there must be at least n! different paths from the root to leaves in the decision tree. Thus there must be at least n! different leaves in this binary tree. Since a binary tree of height h has at most 2h leaves, we know n! ≤ 2h, or h ≥ lg(n!). By inspection n! > (n/2)n/2 , since the last n/2 terms of the product are each greater than n/2. Thus log(n!) > log((n/2)n/2 ) = n/2 log(n/2) → Θ(n log n)
Stirling’s Approximation By Stirling’s approximation, a better bound is n! > (n/e)n where e = 2.718. h ≥ lg(n/e)n = n lg n − n lg e = Ω(n lg n)
Non-Comparison-Based Sorting All the sorting algorithms we have seen assume binary comparisons as the basic primative, questions of the form “is x before y?”. But how would you sort a deck of playing cards? Most likely you would set up 13 piles and put all cards with the same number in one pile. With only a constant number of cards left in each pile, you can use insertion sort to order by suite and concatenate everything together. If we could find the correct pile for each card in constant time, and each pile gets O(1) cards, this algorithm takes O(n) time.
Bucketsort Suppose we are sorting n numbers from 1 to m, where we know the numbers are approximately uniformly distributed. We can set up n buckets, each responsible for an interval of m/n numbers from 1 to m x x x x x x x x 1 m/n m/n+1 2m/n 2m/n+1 3m/n ... ... m Given an input number x, it belongs in bucket number xn/m . If we use an array of buckets, each item gets mapped to the right bucket in O(1) time.
Bucketsort Analysis With uniformly distributed keys, the expected number of items per bucket is 1. Thus sorting each bucket takes O(1) time! The total effort of bucketing, sorting buckets, and concatenat- ing the sorted buckets together is O(n). What happened to our Ω(n lg n) lower bound!
Worst-Case vs. Assumed-Case Bad things happen to bucketsort when we assume the wrong distribution. xx xxx x x xx x x x x x x xx x 1 m/n m/n+1 2m/n 2m/n+1 3m/n ... ... m We might spend linear time distributing our items into buckets and learn nothing. Problems like this are why we worry about the worst-case performance of algorithms!
Real World Distributions The worst case “shouldn’t” happen if we understand the distribution of our data. Consider the distribution of names in a telephone book. • Will there be a lot of Skiena’s? • Will there be a lot of Smith’s? • Will there be a lot of Shifflett’s? Either make sure you understand your data, or use a good worst-case or randomized algorithm!
The Shifflett’s of Charlottesville For comparison, note that there are seven Shifflett’s (of various spellings) in the 1000 page Manhattan telephone directory.

Skiena algorithm 2007 lecture09 linear sorting

  • 1.
    Lecture 9: Linear Sorting Steven Skiena Department of Computer Science State University of New York Stony Brook, NY 11794–4400 http://www.cs.sunysb.edu/∼skiena
  • 2.
    Problem of theDay The nuts and bolts problem is defined as follows. You are given a collection of n bolts of different widths, and n corresponding nuts. You can test whether a given nut and bolt together, from which you learn whether the nut is too large, too small, or an exact match for the bolt. The differences in size between pairs of nuts or bolts can be too small to see by eye, so you cannot rely on comparing the sizes of two nuts or two bolts directly. You are to match each bolt to each nut.
  • 3.
    1. Give anO(n2 ) algorithm to solve the nuts and bolts problem. 2. Suppose that instead of matching all of the nuts and bolts, you wish to find the smallest bolt and its corresponding nut. Show that this can be done in only 2n − 2 comparisons. 3. Match the nuts and bolts in expected O(n log n) time.
  • 4.
  • 5.
    Quicksort Pseudocode Sort(A) Quicksort(A,1,n) Quicksort(A, low, high) if (low < high) pivot-location = Partition(A,low,high) Quicksort(A,low, pivot-location - 1) Quicksort(A, pivot-location+1, high)
  • 6.
    Partition Implementation Partition(A,low,high) pivot = A[low] leftwall = low for i = low+1 to high if (A[i] < pivot) then leftwall = leftwall+1 swap(A[i],A[leftwall]) swap(A[low],A[leftwall])
  • 7.
    Quicksort Animation Q U I C K S O R T Q I C K S O R T U Q I C K O R S T U I C K O Q R S T U I C K O Q R S T U I C K O Q R S T U
  • 8.
    Best Case forQuicksort Since each element ultimately ends up in the correct position, the algorithm correctly sorts. But how long does it take? The best case for divide-and-conquer algorithms comes when we split the input as evenly as possible. Thus in the best case, each subproblem is of size n/2. The partition step on each subproblem is linear in its size. Thus the total effort in partitioning the 2k problems of size n/2k is O(n).
  • 9.
    Best Case RecursionTree The total partitioning on each level is O(n), and it take lg n levels of perfect partitions to get to single element subproblems. When we are down to single elements, the problems are sorted. Thus the total time in the best case is O(n lg n).
  • 10.
    Worst Case forQuicksort Suppose instead our pivot element splits the array as unequally as possible. Thus instead of n/2 elements in the smaller half, we get zero, meaning that the pivot element is the biggest or smallest element in the array.
  • 11.
    Now we haven−1 levels, instead of lg n, for a worst case time of Θ(n2 ), since the first n/2 levels each have ≥ n/2 elements to partition. To justify its name, Quicksort had better be good in the average case. Showing this requires some intricate analysis. The divide and conquer principle applies to real life. If you break a job into pieces, make the pieces of equal size!
  • 12.
    Intuition: The AverageCase for Quicksort Suppose we pick the pivot element at random in an array of n keys. 1 n/4 n/2 3n/4 n Half the time, the pivot element will be from the center half of the sorted array. Whenever the pivot element is from positions n/4 to 3n/4, the larger remaining subarray contains at most 3n/4 elements.
  • 13.
    How Many GoodPartitions If we assume that the pivot element is always in this range, what is the maximum number of partitions we need to get from n elements down to 1 element? (3/4)l · n = 1 −→ n = (4/3)l lg n = l · lg(4/3) Therefore l = lg(4/3) · lg(n) < 2 lg n good partitions suffice.
  • 14.
    How Many BadPartitions? How often when we pick an arbitrary element as pivot will it generate a decent partition? Since any number ranked between n/4 and 3n/4 would make a decent pivot, we get one half the time on average. If we need 2 lg n levels of decent partitions to finish the job, and half of random partitions are decent, then on average the recursion tree to quicksort the array has ≈ 4 lg n levels.
  • 15.
    Since O(n) workis done partitioning on each level, the average time is O(n lg n).
  • 16.
    Average-Case Analysis ofQuicksort (*) To do a precise average-case analysis of quicksort, we formulate a recurrence given the exact expected time T (n): n 1 T (n) = (T (p − 1) + T (n − p)) + n − 1 p=1 n Each possible pivot p is selected with equal probability. The number of comparisons needed to do the partition is n − 1. We will need one useful fact about the Harmonic numbers Hn, namely n Hn = 1/i ≈ ln n i=1 It is important to understand (1) where the recurrence relation
  • 17.
    comes from and(2) how the log comes out from the summation. The rest is just messy algebra. n 1 T (n) = (T (p − 1) + T (n − p)) + n − 1 p=1 n 2 n T (n) = T (p − 1) + n − 1 n p=1 n nT (n) = 2 T (p − 1) + n(n − 1) multiply by n p=1 n−1 (n−1)T (n−1) = 2 T (p−1)+(n−1)(n−2) apply to n-1 p=1 nT (n) − (n − 1)T (n − 1) = 2T (n − 1) + 2(n − 1) rearranging the terms give us: T (n) T (n − 1) 2(n − 1) = + n+1 n n(n + 1)
  • 18.
    substituting an =A(n)/(n + 1) gives 2(n − 1) n 2(i − 1) an = an−1 + = n(n + 1) i=1 i(i + 1) n 1 an ≈ 2 ≈ 2 ln n i=1 (i + 1) We are really interested in A(n), so A(n) = (n + 1)an ≈ 2(n + 1) ln n ≈ 1.38n lg n
  • 19.
    Pick a BetterPivot Having the worst case occur when they are sorted or almost sorted is very bad, since that is likely to be the case in certain applications. To eliminate this problem, pick a better pivot: 1. Use the middle element of the subarray as pivot. 2. Use a random element of the array as the pivot. 3. Perhaps best of all, take the median of three elements (first, last, middle) as the pivot. Why should we use median instead of the mean? Whichever of these three rules we use, the worst case remains O(n2 ).
  • 20.
    Is Quicksort reallyfaster than Heapsort? Since Heapsort is Θ(n lg n) and selection sort is Θ(n2 ), there is no debate about which will be better for decent-sized files. When Quicksort is implemented well, it is typically 2-3 times faster than mergesort or heapsort. The primary reason is that the operations in the innermost loop are simpler. Since the difference between the two programs will be limited to a multiplicative constant factor, the details of how you program each algorithm will make a big difference.
  • 21.
    Randomized Quicksort Suppose youare writing a sorting program, to run on data given to you by your worst enemy. Quicksort is good on average, but bad on certain worst-case instances. If you used Quicksort, what kind of data would your enemy give you to run it on? Exactly the worst-case instance, to make you look bad. But instead of picking the median of three or the first element as pivot, suppose you picked the pivot element at random. Now your enemy cannot design a worst-case instance to give to you, because no matter which data they give you, you would have the same probability of picking a good pivot!
  • 22.
    Randomized Guarantees Randomization isa very important and useful idea. By either picking a random pivot or scrambling the permutation before sorting it, we can say: “With high probability, randomized quicksort runs in Θ(n lg n) time.” Where before, all we could say is: “If you give me random input data, quicksort runs in expected Θ(n lg n) time.”
  • 23.
    Importance of Randomization Sincethe time bound how does not depend upon your input distribution, this means that unless we are extremely unlucky (as opposed to ill prepared or unpopular) we will certainly get good performance. Randomization is a general tool to improve algorithms with bad worst-case but good average-case complexity. The worst-case is still there, but we almost certainly won’t see it.
  • 24.
    Can we sorto(n lg n)? Any comparison-based sorting program can be thought of as defining a decision tree of possible executions. Running the same program twice on the same permutation causes it to do exactly the same thing, but running it on different permutations of the same data causes a different sequence of comparisons to be made on each.
  • 25.
    a1 < a2? T F a2 < a3 ? a1 < a3 ? T F T F (1,2,3) a1 < a3 ? (2,1,3) a2 < a3 ? T F T F (1,3,2) (3,1,2) (2,3,1) (3,2,1) Claim: the height of this decision tree is the worst-case complexity of sorting.
  • 26.
    Lower Bound Analysis Sinceany two different permutations of n elements requires a different sequence of steps to sort, there must be at least n! different paths from the root to leaves in the decision tree. Thus there must be at least n! different leaves in this binary tree. Since a binary tree of height h has at most 2h leaves, we know n! ≤ 2h, or h ≥ lg(n!). By inspection n! > (n/2)n/2 , since the last n/2 terms of the product are each greater than n/2. Thus log(n!) > log((n/2)n/2 ) = n/2 log(n/2) → Θ(n log n)
  • 27.
    Stirling’s Approximation By Stirling’sapproximation, a better bound is n! > (n/e)n where e = 2.718. h ≥ lg(n/e)n = n lg n − n lg e = Ω(n lg n)
  • 28.
    Non-Comparison-Based Sorting All thesorting algorithms we have seen assume binary comparisons as the basic primative, questions of the form “is x before y?”. But how would you sort a deck of playing cards? Most likely you would set up 13 piles and put all cards with the same number in one pile. With only a constant number of cards left in each pile, you can use insertion sort to order by suite and concatenate everything together. If we could find the correct pile for each card in constant time, and each pile gets O(1) cards, this algorithm takes O(n) time.
  • 29.
    Bucketsort Suppose we aresorting n numbers from 1 to m, where we know the numbers are approximately uniformly distributed. We can set up n buckets, each responsible for an interval of m/n numbers from 1 to m x x x x x x x x 1 m/n m/n+1 2m/n 2m/n+1 3m/n ... ... m Given an input number x, it belongs in bucket number xn/m . If we use an array of buckets, each item gets mapped to the right bucket in O(1) time.
  • 30.
    Bucketsort Analysis With uniformlydistributed keys, the expected number of items per bucket is 1. Thus sorting each bucket takes O(1) time! The total effort of bucketing, sorting buckets, and concatenat- ing the sorted buckets together is O(n). What happened to our Ω(n lg n) lower bound!
  • 31.
    Worst-Case vs. Assumed-Case Badthings happen to bucketsort when we assume the wrong distribution. xx xxx x x xx x x x x x x xx x 1 m/n m/n+1 2m/n 2m/n+1 3m/n ... ... m We might spend linear time distributing our items into buckets and learn nothing. Problems like this are why we worry about the worst-case performance of algorithms!
  • 32.
    Real World Distributions Theworst case “shouldn’t” happen if we understand the distribution of our data. Consider the distribution of names in a telephone book. • Will there be a lot of Skiena’s? • Will there be a lot of Smith’s? • Will there be a lot of Shifflett’s? Either make sure you understand your data, or use a good worst-case or randomized algorithm!
  • 33.
    The Shifflett’s ofCharlottesville For comparison, note that there are seven Shifflett’s (of various spellings) in the 1000 page Manhattan telephone directory.