Object-oriented Programming in C# for C and Java programmers February 2010 Kurt Nørmark © Department of Computer Science, Aalborg University, Denmark. WEB version: http://www.cs.aau.dk/~normark/oop-csharp/html/notes/theme-index.html
ii
iii Abstract This is a teaching material about object-oriented programming, illustrated with use of the programming language C#. The initial version was written i 2006. It is assumed, as a prerequisite, that the readers have some knowledge about imperative programming, preferably knowledge about C. I believe that it is best to learn object-oriented programming after having learned and worked with imperative programming. Thus, we adhere to an "object later approach". The starting point of of this teaching material is a number of slides. The slides are annotated with explanations and additional resources. The most comprehensive version of the material has the form of a traditional textbook. You can think of the textbook as grown on top of the slide material. Almost all programs in this material have been developed together with the material. However, a few programs come from other sources. If the programs are not original, the source programmers are mentioned and acknowledged in an initial comment line of the program. The current version of the material is complete up to (and including) the last chapter in lecture about Contracts (chapter 53). The final chapters - corresponding to the lectures about test and documentation - only contain slide material. The teaching material is an online material represented in HTML. A PDF version of the textbook is also available. In order to limit the size of the PDF files some less important programs have been left out from the PDF edition. In the web edition (in HTML files) the full content is available. We have used colors to emphasize aspects of the source programs in this material. It is therefore recommeded that you read the material from a color medium. We would like to point out a couple of qualities of the web edition of the material. First, we have provided for extensive cross linking of the material. Whenever relevant, we have provided links from one part of the material to another. We have also provided a comprehensive subject index. Finally, there are separate indexes of source programs and exercises. The source program index provides links to complete, textual versions of the C# programs of the material, ready for you to compile and use. In the spring of 2008 the material has been used in a course where the students have a background in imperative Visual Basic programming. We have therefore added a chapter that compares the fundamental (non-objected) parts of Visual Basic with the similar parts of C#. The chapter about Visual Basic is only available in the web-version. Prior to the fall semester of 2008, selected aspects of C# 3.0 have been included in the material. This includes automatic properties, object initializers, extension methods, and lambda expressions.
iv The January 2009 edition includes a number of bug-fixes (as collected during the fall of 2008) and some new exercises targeted at the Aalborg University OOPA spring course 2009 at the BAIT education. The February 2010 edition is a minor revision compared with the August 2009 edition. The February 2010 edition is the last, and final, version of the teaching material. Kurt Nørmark normark@cs.aau.dk Department of Computer Science Alborg University Denmark February 5, 2010 Colophon: This material has been made with the LENO system. LENO is an XML language which is defined by an XML DTD. LENO is used together with LAML. LAML is a software package that makes XML available in the Scheme programming language. For this version of the material, LAML version 35.0 (development version) has been used. This setup allows us to write LENO material in the programming language Scheme. Thus, the source of this material has been written in Scheme with use of the mirror functions of LENO XML language. Most illustrations have been written in an extension of SVG which allows for high-level representations of graphs. Batik 1.6 has been used to rasterize the SVG images in some versions of the material. The primary target format of the teaching material is HTML. LENO can be used to produce different views of the material. In the concrete material we make use of the slide view and the thematic view (the text book view). The aggregated slide view is also available. The PDF version of the thematic view (the text book view) has been made by PDF Creator (version 0.9.5 ). Text breaking and page enumeration has been made in Microsoft Word 2003 via 'Edit with Microsoft Word' in Internet Explorer version 7.0.
v Contents 1. From structured programming to object-oriented programming 1 2. Towards Object-oriented Programming 7 3. Phenomena and Concepts 13 4. Towards Object-oriented Programs 19 5. The C# Language and System 23 6. C# in relation to C 25 7. C# in relation to Java 53 8. C# in relation to Visual Basic 57 9. C# Tools and IDEs 59 10. Classes: An Initial Example 61 11. Classes 67 12. Creating and Deleting Objects 89 13. Reference Types 97 14. Value Types 103 15. Organization of C# Programs 117 16. Patterns and Techniques 123 17. Accessing Data in Objects 133 18. Properties 135 19. Indexers 147 20. Methods 151 21. Overloaded Operators 165 22. Delegates 173 23. Events 183 24. Patterns and Techniques 189 25. Specialization of Classes 195 26. Extension of Classes 203 27. Inheritance in General 209 28. Inheritance in C# 215
vi 29. Method Combination 241 30. Abstract Classes - Sealed Classes 245 31. Interfaces 253 32. Patterns and Techniques 271 33. Fundamental Questions about Exception Handling 301 34. Conventional Exception Handling 307 35. Object-oriented Exception Handling 311 36. Exceptions and Exception Handling in C# 313 37. Streams 333 38. Directories and Files 355 39. Serialization 359 40. Patterns and Techniques 369 41. Motivation for Generic Types 373 42. Generic Types 381 43. Generic Methods 401 44. Collections - History and Overview 407 45. Generic Collections in C# 409 46. Generic Dictionaries in C# 437 47. Non-generic Collections in C# 445 48. Patterns and Techniques 447 49. Correctness 453 50. Specification with preconditions and postconditions 457 51. Responsibilities and Contracts 463 52. Class Invariants 471
1 1. From structured programming to object-oriented programming We will assume that the reader of this material has some knowledge of imperative programming, and that the reader already has been exposed to the ideas of structured programming. More specifically, we will assume that the reader has some background in C programming. In Chapter 6 (corresponding to the second lecture of the course) we summarize the relationships between C and C#. 1.1. Structured Programming Lecture 1 - slide 2 We approach object-oriented programming by reviewing the dominating programming approach prior to object-oriented programming. It is called structured programming. A brief background on structured programming, imperative programming, and - more generally - different schools of programming is provided in Focus box 1.1. I will recommend that you read the Wikipedia article about structured programming [wiki- str-pro]. It captures, very nicely, the essence of the ideas. Structured programming relies on use of high-level control structures instead of low-level jumping Structured programming is also loosely coupled with top-down programming and program development by stepwise refinement Structured programming covers several, loosely coupled ideas. As summarized above, one of these is the use of control structures (such as if, switch/case, while and for) instead of gotos. Use of relatively small procedures is another idea. A well-structured program should devote a single procedure to the solution of a single problem. The splitting of problems in subproblems should be reflected by breaking down a single procedure into a number of procedures. The idea of program development by stepwise refinement [Wirth71] advocates that this is done in a top-down fashion. The items below summarize the way it is done. • Start by writing the main program • Use selective and iterative control structures • Postulate and call procedures P1, ...,Pn • Implement P1, ... Pn, and in turn the procedures they make use of • Eventually, the procedures become so simple that they can be implemented without introducing additional procedures Only few programmers are radical with respect to top-down structured programming. In the practical world it is probably much more typical to start somewhere in the middle, and then both work towards the top and towards the bottom.
2 Imperative programming, Structured programming, and Programming paradigms. FOCUS BOXFOCUS BOXFOCUS BOXFOCUS BOX 1.11.11.11.1 Imperative programming is one of the four main programming paradigms. The others are functional programming, object-oriented programming, and logic programming. Imperative programming is closely related to the way low-level machine languages work: Commands are used to change the values of locations in the memory of the computer. In high-level languages, this is achieved by use of assignment statements, which is used to change the values of variables. The assignment statement is therefore the archetypical command in imperative programming. Control structures (sequence, selection, and iteration) come on top of that together with procedural abstractions. Programming done in the early years of the computing era (before the introduction of Algol) is often thought of as "unstructured programming". Unstructured programming is largely characterized by use of "jumping around" by means of goto commands. The introduction of if and while control structures together with procedures eliminated the need for gotos. This can be shown theoretically, but - more important - it also holds true in the practical world of imperative programming. Armed with the common control structures (if and while, for instance) and procedural abstraction, very few programmers are tempted to use a goto statement in the programs they write. Such programming, without use of goto statements, is often called structured programming. 1.2. A structured program: Hangman Lecture 1 - slide 3 In order to be concrete we will look at parts of a C program. The program implements a simple and rudimentary version of the well-known Hangman game. We will pretend that the program has been developed according to the structured programming ideas described in Section 1.1. The main Hangman program, main, is shown in Program 1.1. The fragments shown in purple are postulated (in the sense discussed in Section 1.1). I.e., they are called, but not yet defined at the calling time. The postulated procedures are meant to be defined later in the program development process. Some of them are shown below. 1 2 3 4 5 6 7 8 9 10 11 int main(void){ char *playerName; answer again; playerName = getPlayerName(); initHangman(); do{ playHangman(playerName); again = askUser("Do you want to play again"); } while (again == yes); } Program 1.1 The main function of the Hangman program. The function getPlayerName is intended to prompt the Hangman player for his or her name. As it appears in Program 1.2 this function only uses functions from the C standard library. Therefore there are no emphasized parts in getPlayerName.
3 1 2 3 4 5 6 7 8 char *getPlayerName(){ char *playerName = (char*)malloc(NAME_MAX); printf("What is your name? "); fgets(playerName, NAME_MAX, stdin); playerName[strlen(playerName)-1] = '0'; return playerName; } Program 1.2 The function getPlayerName of main. The function initHangman calls an additional initialization function called initPuzzles, which reads a puzzle from a text file. We will here assume that this function does not give rise to additional refinement. We do not show the implementation of initPuzzles. 1 2 3 4 void initHangman (void){ srand(time(NULL)); initPuzzles("puzzles.txt"); } Program 1.3 The function initHangman of main. askUser is a general purpose function, which was called in main in Program 1.1. We show it in Program 1.4 (only on web) and we see that it does not rely on additional functions. The function playHangman, seen in Program 1.5, is called by main in the outer loop in Program 1.1. playHangman contains an inner loop which is related to a single round of playing. As it appears from Program 1.5 playHangman calls a lot of additional functions (all emphasized, but not all of them included here). 1 2 3 4 5 6 7 8 9 10 11 12 13 14 15 16 17 18 19 20 21 22 23 24 25 void playHangman (char playerName[]){ int aPuzzleNumber, wonGame; puzzle secretPuzzle; hangmanGameState gameState; char playersGuess; initGame(playerName, &gameState); aPuzzleNumber = rand() % numberOfPuzzles(); secretPuzzle = getPuzzle(aPuzzleNumber); while ((gameState.numberOfWrongGuesses < N) && (gameState.numberOfCorrectGuesses < secretPuzzle.numberOfCharsToGuess)){ gameStatistics(gameState, secretPuzzle); presentPuzzleOutline(secretPuzzle,gameState); printf("n"); presentRemainingAlphabet(gameState); printf("n"); if (CHEATING) presentSecretPuzzle(secretPuzzle); printf("n"); playersGuess = getUsersGuess(); clrconsole(); updateGameState(&gameState, secretPuzzle, playersGuess); } gameStatistics(gameState, secretPuzzle); wonGame = wonOrLost(gameState,secretPuzzle); handleHighscore(gameState, secretPuzzle, wonGame); } Program 1.5 The function playHangman of main.
4 In Program 1.6 (only on web) and Program 1.7 (only on web), we show two additional functions, initGame and getPuzzle, both of which are called in playHangman in Program 1.5. As already brought up in Section 1.1 many programmers do not strictly adhere to structured programming and top-down refinement when coding the hangman program. If you have programmed Hangman, or a similar game, it is an interesting exercise to reflect a little on the actual approach that was taken during your own development. In Section 4.1 we return to the Hangman example, restructured as an object-oriented program. Exercise 1.1. How did you program the Hangman game? This is an exercise for students who have a practical experience with the development of the Hangman program, or a similar game. Recall how you carried out the development of the program. To which degree did you adhere to top-down development by stepwise refinement? If you did not use this development approach, then please try to characterize how you actually did it. 1.3. Observations about Structured Programming Lecture 1 - slide 4 We will now attempt to summarize some of the weaknesses of structured programming. This will lead us towards object-oriented programming. Structured programming is not the wrong way to write programs. Similarly, object-oriented programming is not necessarily the right way. Object-oriented programming (OOP) is an alternative program development technique that often tends to be better if we deal with large programs and if we care about program reusability. We make the following observations about structured programming: • Structured programming is narrowly oriented towards solving one particular problem • It would be nice if our programming efforts could be oriented more broadly • Structured programming is carried out by gradual decomposition of the functionality • The structures formed by functionality/actions/control are not the most stable parts of a program • Focusing on data structures instead of control structure is an alternative approach • Real systems have no single top - Real systems may have multiple tops [Bertrand Meyer] • It may therefore be natural to consider alternatives to the top-down approach Let us briefly comment on each of the observations.
5 When we write a 'traditional' structured program it is most often the case that we have a single application in mind. This may also be the case when we write an object-oriented program. But with object-oriented programming it is more common - side by side with the development of the application - also to focus on development of program pieces that can be used and reused in different contexts. The next observation deals with 'stable structures'. What is most stable: the overall control structure of the program, or the overall data structure of the program? The former relates to use of various control structures and to the flow procedure calls. The latter relates to data types and classes (in the sense to be discussed in Chapter 11). It is often argued that the overall program data structure changes less frequently than the overall program control structure. Therefore, it is probably better to base the program structure on decomposition of data types than on procedural decomposition. The last observation is due to Bertrand Meyer [Meyer88]. He claims that "Real systems have no top". Let us take the Hangman program as an example. Even if it is likely that we can identify a single top of most hangman programs (in our program, main of Program 1.1) the major parts of the program should be able to survive in similar games, for instance in "Wheel of Fortune". In addition, a high score facility of Hangman should be applicable in a broad range of games. The high score part of the Hangman program may easily account for half of the total number of source lines in Hangman, and therefore it is attractive to reuse it in other similar games. The simple textual, line-oriented user interface could be replaceable by a more flexible user graphical user interface. In that way, even the simple Hangman program can easily be seen as a program with no top, or a program with multiple tops. Readers interested in a good and extended discussion of 'the road to object-orientation' should read selected parts of Bertrand Meyers book 'Object-oriented Software Construction' [Meyer88]. The book illustrates object-oriented programming using the programming language Eiffel, and as such it is not directly applicable to the project of this course. The book is available in two versions. Either of them can be used. In my opinion 'Object-oriented Software Construction' is one of the best books about object-oriented programming. 1.4. Towards Object-oriented Programming Lecture 1 - slide 5 We are now turning our interests towards 'the object-oriented way'. Below we list some of the most important ideas that we must care about when we make the transition from structured programming to object-oriented programming. This discussion is, in several ways, continued in Chapter 2. • The gap between the problem and the level of the machine: • Fill the gap bottom up • Use the data as the basic building blocks • Data, and relations between data, are more stable than the actions on data • Bundle data with their natural operations • Build on the ideas of abstract datatypes • Consolidate the programming constructs that encapsulate data (structs/records) • Concentrate on the concepts and phenomena which should be handled by the program • Make use of existing theories of phenomena and concepts • Form new concepts from existing concepts • Make use of a programming style that allows us to collapse the programming of objects
6 Our approach to object-oriented programming is continued in Chapter 2. Before that, we will clarify the concept of abstract data types. 1.5. Abstract Datatypes Lecture 1 - slide 10 A data type (or, for short, a type) is a set of values. All the values in a type share a number of properties. An abstract data type is a data type where we focus on the possible operations on the values in the type, in contrast to the representation of these values. This leads to the following definitions. A datatype is a set of values with common properties. A datatype is a classification of data that reflects the intended use of the data in a program. An abstract datatype is a data type together with a set of operations on the values of the type. The operations hide and protect the actual representation of the data. In this material, boxes on a dark blue background with white letters are intended to give precise definitions of concepts. To strengthen our understanding of abstract data types (ADTs) we will show a few specifications of well- known data types: Stacks, natural numbers, and booleans. A specification answers "what questions", not "how questions". The details are only shown in the web version of the material. 1.6. References [Meyer88] Bertrand Meyer, Object-oriented software construction. Prentice Hall, 1988. [Wirth71] Niklaus Wirth, "Program Development by Stepwise Refinement", Communications of the ACM, Vol. 14, No. 4, April 1971, pp. 221-227. [Wiki-str-pro] Wikipedia: Structured_programming http://en.wikipedia.org/wiki/Structured_programming
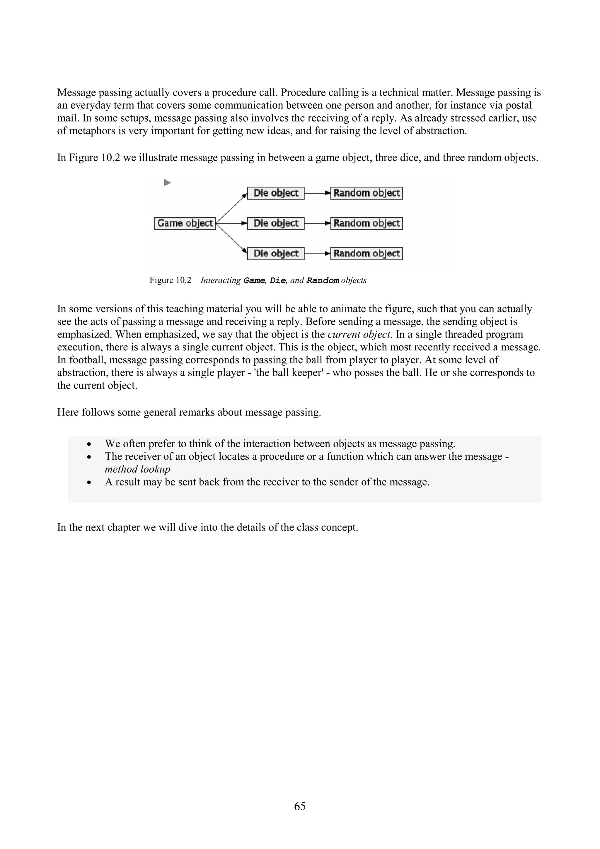
7 2. Towards Object-oriented Programming In this and the following chapter we will gradually unveil important theoretical and conceptual aspects of object-oriented programming. After this, in Chapter 4 we will be more concrete and practical, again in terms of the Hangman example. In this chapter we will deal with a number of different aspects that lead in the direction of object-oriented programming. We do not attempt to relate these aspects to each other. Thus, in this chapter you will encounter a number of fragmented observations that - both individually and together - bring us towards object-oriented programming. 2.1. Client, Servers, and Messages Lecture 1 - slide 7 We will start with message passing in between objects. One object (often called the client) sends a message to another object (often called the server). The client asks for a service. The server will do the job, and eventually return an answer to the client. "Client" and "server" are general role names of objects. When the server receives a message, it may decide to forward the message to some subserver (because it cannot handle the request - solve the problem - itself). In this way, the server becomes a client of another server. We will primarily be concerned with message passing where the client waits for an answer from the server. Thus, nothing happens in the client before the server has completed its work. This is referred to as synchronous message passing. Asynchronous message passing is also possible. This involves parallel activities. This is a slightly more advanced topic. Peter orders a Pizza at AAU Pizza by email. Via interaction between a number of service providers, a pizza is delivered to Peters group room Below we study an everyday example of message passing between an object (person) who orders a pizza, and a "Pizza server". The Pizza server relies on other subservers (subcontractors), in our example the butcher, the greengrocer, and a transport service. Thus, the Pizza crew are customers in other shops, and they make use of other services. Notice that Peter - the hungry guy - is not aware of the subcontractors. Peter only cares about the interface of the Pizza server. In some versions of this material you may interactively play the Pizza scenario in order to find out how the objects cooperate when Peter orders a Pizza. The scenario emphasizes that there is always a single current object (at least as long as we deal with synchronous message passing).
8 Figure 2.1 The scenario of pizza ordering. The scenario focuses on a number of objects (persons) who communicate by message passing. Is it reasonable that Peter is idle in the period of time in between pizza ordering and pizza delivery? It depends on the circumstances. If you wait in the restaurant you may actually be left with feeling of 'just waiting'. If Peter orders the Pizza from his group room, Peter probably prefers to send an asynchronous message. In that way he can do some work before the pizza arrives. In this mode, we should, however, be able to handle the interrupt in terms of the actual pizza delivery. Again, this is a more advanced topic. A client asks for a service at some given service provider (server ). This may lead the service provider (which now plays a client role) to ask for subservices Clients and servers communicate by passing messages that return results Try the accompanying SVG animation In our model of message passing, it is inherent that messages return a result. Alternatively, we could use a model in which the 'the message result' is handled by a message in the other direction. We have chosen a model, which can be used directly in mainstream object-oriented programming languages (such as C#). We will come back to clients and servers in the context of the lecture about classes, see Section 10.2. Message passing is taken up in that lecture, see Section 10.3. 2.2. Responsibilities Lecture 1 - slide 8 Responsibility - and distribution of responsibility - is important in a network of cooperating objects. In Section 2.1 we studied a network of people and pizza makers. The Pizza maker has certain assumptions about orders from customers. We cannot expect the pizza maker to respond to an order where the customers want to buy a car, or a pet. On the other hand, the customer will be unhappy if he or she receives spaghetti (or a chocolate bar) after having ordered a pizza calzone. Objects that act as servers manage a certain amount of responsibility We will talk about the responsibility of an object as such. The object is responsible to keep the data, which it encapsulates, in good shape. It should not be possible to bring the object in an inconsistent state.
9 The responsibility of an operation of a class/object does also make good sense. If the sender of the message, which activates an operation fulfills certain (pre)conditions, it is the obligation of the operation to deliver a result which comply with a certain (post)condition. The responsibilities of an object, together with the responsibilities of the operations of the object, sharpen the profile of the object, and they provide for a higher degree of cohesion of the object. • Responsibility • Of an object, as reflected by the interface it provides to other objects • Of an operation • Precondition for activation - proposition about prerequisites for calling • Postcondition - proposition about result or effects • Well-defined responsibilities provide for coherent objects In Chapter 49 through Chapter 53 we will devote an entire lecture to discussion of responsibilities, and how to specify the distribution of responsibilities among objects. This will involve contracts, which (again) is a real-world concept - a metaphor - from which can we can gain useful inspiration when we develop software. You should care about the responsibilities of both objects and operations The distribution of responsibilities will become a major theme later in the course 2.3. Data-centered modularity Lecture 1 - slide 9 Message passing is mainly a dynamic (run-time) aspect of object-oriented programs. Let us now focus on a static aspect: modularity. Modularity is the property of a computer program that measures the extent to which it has been composed out of separate parts called modules [Wikipedia] Non-modular programs (programs written without decomposition) are unwieldy. The question we care about here is the kind of modularity to use together with abstract data types. We will identify the following kinds of modularity: • Procedural modularity • Made up of individual procedures or functions • Relatively fine grained • Not sufficient for programming in the large • Boxing modularity • A wall around arbitrary definitions • As coarse grained as needed • Visibility may be controlled - import and export • Data-centered modularity • A module built around data that represents a single concept
10 • High degree of cohesion • Visibility may be controlled • The module may act as a datatype Procedural modularity is used in structured programming, e.g. in C programs. It covers both functions and procedures. Procedural modularity remains to be very important, independent of programming paradigm! Boxing modularity (our name of the concept) captures the module concept known from, e.g. Ada [Ada80] and Modula-2 [Wirth83]. In C, there are only few means to deal with boxing modularity. Most C programmers use the source files for boxing. Boxing modularity allows us to box a data type and the operations that belong to the type in a module. When using data centered modularity the module becomes a type itself. This is an important observation. Object- oriented programming is based on data centered modularity. Object-oriented programming is based on data-centered modularity 2.4. Reusability Lecture 1 - slide 11 Let us now, for a moment, discuss reusability. The idea is that we wish to promote a programming style that allows us to use pieces of programs that we, or others, have already written, tested, and documented. Procedure libraries are well-known. Object-oriented programming brings us one step further, in the direction of class libraries. Class libraries can - to some degree - be thought of as reusable abstract data types. More reuse - Less software to manage We identity the following reusability challenges: • Find • Where is the component, and how do I get it? • Understand • What does the component offer, and how does it fit with my own program? • Modify • Do I need to adapt the component in order to (re)use it? • Integrate • How do I actually organize and use the component together with the existing components? Finding has been eased a lot the last decade, due to the emergence of powerful search machines (servers!). Understanding is still a solid challenge. Documentation of reusable parts is important. Tools like JavaDoc (developed as on-line resources by Sun as part of the Java effort) are crucial. We will study interface documentation of class libraries later in this material. Modification should be used with great care. It is not a good idea to find a procedure or a class on the Internet, and rewrite it to fit your own needs. When the next
11 version of the program is released you will be in great trouble. A modular modification approach, which separates your contributions from the original contributions, is needed. In object-oriented programming, inheritance alleviates this problem. The actual integration is relatively well-supported in modern object- oriented programming languages, because in these languages we have powerful means to deal with conflicts (such as name clashes) in between reused components and our own parts of the program. 2.5. Action on objects Lecture 1 - slide 12 The final aspect that we want to bring up in our road towards object-oriented programming is the idea of action on objects. Actions should always be targeted at some object. Actions should not appear 'just up in the air'. Bertrand Meyer [Meyer88] has most likely been inspired by a famous John F. Kennedy quote when he formulated the idea in the following way: Ask not what the system does: Ask what it does it to! [Bertrand Meyer] • Actions in general • Implemented by procedure calls • Often, but not always, with parameters • Actions on objects • Activated via messages • A message always has a receiving object • A message is similar to a procedure calls with at least one actual parameter • A message activates an operation (a method) • The receiving object locates the best suited operation as responder (method lookup) The activation of a concrete procedure or function is typically more complex than in ordinary imperative programming. The message is sent to an object. The reception of the message may cause the object to search for the best suited operation (method) to handle the request by the message. This process is sometimes called method lookup. In some object-oriented language the method lookup process is rather complicated. In the next section we continue our road towards object-oriented programming, by discussing concepts and phenomena. 2.6. References [Meyer88] Bertrand Meyer, Object-oriented software construction. Prentice Hall, 1988. [Wirth83] Wirth, N., Programming in Modula-2, third. Springer-Verlag, 1985. [Ada80] Ada Reference Manual. United States Department of Defence, July 1980.
12
13 3. Phenomena and Concepts Metaphors from the real life are important inspiration when we program the computer. It is limiting - and in fact counterproductive - to focus only on the technical computer concepts (bits, bytes, CPUs, memory words, USB ports, etc). According to my favorite dictionary (the American Heritage Dictionary of the English Language) a metaphor is "a figure of speech in which a word or phrase that ordinarily designates one thing is used to designate another, thus making an implicit comparison." Many familiar programming concepts are not from the technical world of computers. Quite a few, such as int, float, and double come directly from mathematical counterparts. Messages and message passing, which we discussed in Section 2.1, are widely known from our everyday life. Even before email was invented, people communicated by means of messages (Morse codes, telegrams, postal mail letters). It turns out that the ideas of classes and objects are - in part - inspired from the theory of concept and phenomena. We will unveil this in the following sections. Be warned that our coverage is brief and dense. It may very well be the case that it takes time for you to digest some of the ideas and concept that we are going to present. 3.1. Phenomena and Concepts Lecture 1 - slide 14 A phenomenon is a thing that has definite, individual existence in reality or in the mind. Anything real in itself. A concept is a generalized idea of a collection of phenomena, based on knowledge of common properties of instances in the collection The definitions of phenomenon and concept are taken from the PhD thesis of Jørgen Lindskov Knudsen and Kristine Stougaard Thomsen, Aarhus University [jlk-kst]. This thesis is also the source behind Section 3.2 - Section 3.4. The characteristic aspects of a concept are the following: • The concept name • The intension: The collection of properties that characterize the phenomena in the extension of the concept • The extension: The collection of phenomena that is covered by the concept The name of the concept is also called the designation. The designation may cover a number of different names, under which the concept is known. The word intension is used in the less well-known meaning (from logic) "the sum of the attributes contained in a term" (see for instance the American Heritage Dictionary of the English Language).
14 The word extension is used in the meaning (again from logic): "The class of objects designated by a specific term or concept" (according the same dictionary). Be careful not to confuse this meaning of extension with the more common meaning of the word, used for instance in Chapter 26 for extension of classes. Concepts can be viewed in two different ways: The Aristotelian and the fuzzy way. Using the Aristotelian view, the properties in the intension are divided into defining properties and characteristic properties. Each phenomenon of a concept must possess the defining properties. It is assumed that it is objectively determinable if a given phenomenon belongs to an Aristotelian concept. Using the fuzzy view, the properties in the intension are only examples of possible properties. In addition to the example properties, the intension is also characterized by a set of prototypical phenomena. It is not objectively determinable if a given phenomenon belongs to a fuzzy concept. We will primarily make use of the Aristotelian view on concepts. The relative sharp borderline between different concepts is attractive when we use concepts as the basis for the classes that we program in an object-oriented programming language. Many such classes represent real-life concepts, simply because many of our programs administrate things from the real world. It is, however, also common to make use of imaginary concepts, which have no real-life counterparts (such, as for instance, a hashtable). 3.2. Classification and exemplification Lecture 1 - slide 15 To classify is to form a concept that covers a collection of similar phenomena. To exemplify is to focus on a phenomenon in the extension of the concept Classification and exemplification describe a relation between concepts and phenomena. Classification forms a concept from a set of phenomena. The intension of the concept is the (defining) properties that are shared by the set of phenomena (according to the Aristotelian view). Exemplification is the inverse of classification. Thus, the exemplification of a concept is a subset of the extension of the concept. Figure 3.1 The relationships between concepts and phenomena. Given a concept we can identify the examples of phenomena in the extension of the concept. Given such an example, we can (the other way around) find the concept that classifies the sample phenomenon.
15 3.3. Aggregation and Decomposition Lecture 1 - slide 16 In this and the following section we will see ways to form new concepts from existing concepts. First, we look at concepts related to 'parts' and 'wholes'. To aggregate is to form a concept that covers a number of parts To decompose is to split a concept into a number of parts The concept of a house is an aggregation of (for instance) of the concepts wall, window, door, and roof. The latter are the decomposition of the house concept. The intension of the aggregated concept corresponds to the intensions of the part concepts. But, in some cases, the whole is more than the sum of its parts. Thus, the aggregated concept may have additional properties as well. Figure 3.2 An illustration of aggregation and decomposition. Notice that the relations between wholes and parts are in between concepts. Thus, aggregation and decomposition show how to form new concepts from existing concepts. In Figure 3.3 we show an example, namely the aggregation of a bike. Notice that we do not address the number of parts of the aggregated concept (no cardinalities). Following the tradition of UML notation, we use a diamond shape next to the aggregated concept. Notice, however, that it is not our intention to use exact UML notation in this material. We will primarily be concerned with programming notation, as defined (precisely) by a programming language. Figure 3.3 An aggregation of a Bike in terms of Frame, Wheel, Brake, etc. This illustration does not capture the number of involved parts. Thus, the diagram does not capture the number of spokes per wheel, and the number of wheels per bike. The diamond shape is UML notation for aggregation.
16 Exercise 1.2. Aggregated Concepts Take a look at the concepts which are represented by the phenomena in the room where you are located. Identify at least four aggregated concepts. Enumerate the concepts of the decomposition. 3.4. Generalization and Specialization Lecture 1 - slide 18 Generalization forms a broader concept from a narrow concept Specialization forms a narrow concept from a broader concept Generalization and specialization are seen as ways to form a new concept from an existing concept. The extension of a specialization S is a subset of the extension of the generalization G. It is more difficult to capture specialization and generalization in terms of the intensions. The concepts of Encyclopedia, Bible, and Dictionary are all specializations of the Book concept. Encyclopedia, Bibles and Dictionaries are all subsets of Books. It may be the case that the set of encyclopedia and the set of dictionaries are overlapping. Figure 3.4 An illustration of generalization and specialization. Below, in Figure 3.5 we show a generalization/specialization hierarchy of transportation concepts. Each parent in the tree is a generalization of its sons. Figure 3.5 A generalization/specialization hierarchy of 'Means of Transport'. All the concepts in this diagram are specialized means of transport. Notice that all the nodes in the specialization trees are concepts - not individual phenomena.
17 The ideas of generalization and specialization among concepts are directly reflected in generalization and specialization among classes (see Chapter 25) as supported by inheritance in object-oriented programming languages. Exercise 1.3. Concepts and Phenomena The purpose of this exercise is to train your abilities to distinguish between concepts and phenomena. Decide in each of the following cases if the mentioned item is a concept or a phenomena: 1. The door used to enter this room. 2. Todays issue of your favorite newspaper. 3. Your copy of today's issue of your favorite newspaper. 4. The collection of all copies of today's newpapers 5. Denmark. 6. European country. 7. The integer 7. 8. The set of integers between 1 and 10. 9. The set of all students who attend this course. 10. The oldest student who attend this course. For an item considered as a phenomenon, identify the underlying concept. Exercise 1.4. University Concepts In a university study, the study activities are usually structured in a number of semesters. There are two kinds of study activitities: projects and courses. At Aalborg University, there are currently two kinds of courses: Study courses (dk: studieenhedskurser) and project courses (dk: projektenhedskurser). Characterize the concepts of university study, study activity, semester, project, course, study course, and project course relative to Aggregation/Decomposition and Generalization/Specialization. 3.5. References [Jlk-kst] A Conceptual Framework for Programming Languages: Jørgen Lindskov Knudsen and Kristine Stougaard Thomsen, Department of Computer Science, Aarhus Universitet, PB-192, April 1985.
18
19 4. Towards Object-oriented Programs Below we will return to the example of the Hangman game, which we studied as a structured program in Section 1.2. 4.1. An object-oriented program: Hangman Lecture 1 - slide 21 In Figure 4.1 we show a class diagram of our object-oriented version of the Hangman game. The class Puzzle encapsulates the data of a single puzzle (the category and the word phrase). The class also offers an interface through which these informations can be accessed. The class PuzzleCollection represents a number of puzzles. It is connected to the file system (or a database) where we keep the collection of puzzles while not playing a game. How this 'persistency' is actually handled is ignored for now. Similar observations can be done for HighscoreEntry and HighscoreList. The class HangmanGame encapsulates the state of a single (round of the) hangman game. It has associations to a player and a secret puzzle, and to the collections of puzzles and highscore entries. We do not in HangmanGame want to commit ourselves to any particular user interface. Thus, the actual user interface of the game is not part of the HangmanGame class. Figure 4.1 The classes of a Hangman program. At the left hand side we see that PuzzleCollection is formed by Puzzle parts. Similarly, the HighscoreList is formed by HighScoreEntry parts. The HangManGame class if formed by three parts: PuzzleCollection, HighScoreList, and Player. Both file system and user interface aspects are "cloudy" in this diagram. Below we show sketches of the individual classes in the game. The classes and all the operations are marked as abstract, because the operations of the classes are not implemented, and because the current OOP version of the Hangman game is written at a very high level of abstraction. The concatenation of all classes in Program 4.1 - Program 4.5 can actually be compiled with a C# compiler. Abstract classes are discussed in Chapter 30. The operation interfaces of the classes are most probably not yet complete, but they are complete enough to let you have an impression of the object-oriented programming approach. 1 2 abstract class Puzzle {
20 3 4 5 6 7 8 9 10 11 12 public abstract string Category{ get; } public abstract string PuzzlePhrase{ get; } public abstract int NumberOfCharsToGuess(); } Program 4.1 The class Puzzle. Given that Program 4.1 - Program 4.6 contain so many abstract operations we will touch a little bit on what this means. It is not intended that you should learn the details of abstract classes here, however. This is the topic of Section 30.1. As noticed above, the abstract class shown in Program 4.1 can actually be compiled with a C# compiler. But it is clear that the class cannot be instantiated (no objects can be made). It is necessary to create a subclass of Puzzle in which we give the details of the abstract operations (methods and properties). Subclassing and inheritance will be discussed in Chapter 25 and subsequent chapters. In the subclass of Puzzle we need to supply puzzle data representation details. 1 2 3 4 5 6 7 8 9 10 abstract class HighScoreEntry { public abstract Player Player { get; } public abstract int Score{ get; } } Program 4.2 The class HighScoreEntry. Let us make a technical remark related to programming of abstract classes in C#. It is necessary to mark all operations (methods and properties) without bodies as 'abstract'. When a class contains at least one abstract operation, the class itself must also be marked as abstract. It is not sufficient to use the abstract modifier on the class. 1 2 3 4 5 6 7 abstract class Player { public abstract string Name{ get; } } Program 4.3 The class Player. 1 2 3 4 5 6 7 8 9 10 11 12 abstract class PuzzleCollection { public abstract string Count{ get; } public abstract Puzzle this[int i]{ get; } public abstract void Add(Puzzle p);
21 13 } Program 4.4 The class PuzzleCollection. 1 2 3 4 5 6 7 8 9 10 11 12 13 14 15 16 17 18 19 abstract class HighScoreList { /* Invariant: Entries always sorted */ public abstract void Open(string FileName); public abstract string Count{ get; } public abstract HighScoreEntry this[int i]{ get; } public abstract void Add(HighScoreEntry e); public abstract void Close(); } Program 4.5 The class HighScoreList. The class HangmanGame in Program 4.6 (only on web) shows an outline of top-level class, cf. Figure 4.1. The operations in this class are intended to be called directly or indirectly by the Main method (not shown).
22
23 5. The C# Language and System This chapter, together with Chapter 6, Chapter 7, and Chapter 9, is an introduction to the C# language and the C# system. On Windows, the latter is known as .Net. On purpose, we will keep the .Net part of the material very short. Our main interest in this lecture is how to program in C#, and how this is related to programming in other languages such as C, Java, and Visual Basic. 5.1. C# seen in a historic perspective Lecture 2 - slide 2 It is important to realize that C# stands on the shoulders of other similar object-oriented programming languages. Most notably, C# is heavily inspired by Java. Java, in turn, is inspired by C++, which again - on the object-oriented side - can be traced back to Simula (and, of course, to C on the imperative side). Here is an overview of the most important object-oriented programming languages from which C# has been derived: • Simula (1967) • The very first object-oriented programming language • C++ (1983) • The first object-oriented programming language in the C family of languages • Java (1995) • Sun's object-oriented programming language • C# (2001) • Microsoft's object-oriented programming language 5.2. The Common Language Infrastructure Lecture 2 - slide 3 The Common Language Infrastructure (CLI) is a specification that allows several different programming languages to be used together on a given platform. The CLI has a lot of components, typically referred to by three-letter abbreviations (acronyms). Here are the most important parts of the Common Language Infrastructure: • Common Intermediate language (CIL) including a common type system (CTS) • Common Language Specification (CLS) - shared by all languages • Virtual Execution System (VES) • Metadata about types, dependent libraries, attributes, and more The following illustration, taken from Wikipedia, illustrates the CLI and its context.
24 Figure 5.1 Wikipedia's overview diagram of the CLI .Net is one particular implementation of the Common Language Infrastructure, and it is undoubtedly the most complete one. .Net is closely associated with Windows. .Net is, however, not the only implementation of the CLI. Mono is another one, which is intended to work on several platforms. Mono is the primary implementation of the CLI on Linux. Mono is also available on Windows. MONO and .NET are both implementations of the Common Language Infrastructure The C# language and the Common Language Infrastructure are standardized by ECMA and ISO 5.3. C# Compilation and Execution Lecture 2 - slide 5 The Common Language Infrastructure supports a two-step compilation process • Compilation • The C# compiler: Translation of C# source to CIL • Produces .dll and .exe files • Just in time compilation: Translation of CIL to machine code • Execution • With interleaved Just in Time compilation • On Mono: Explicit activation of the interpreter • On Window: Transparent activation of the interpreter .dll and .exe files are - with some limitations - portable in between different platforms
25 6. C# in relation to C As already mentioned in Chapter 1, this material is primarily targeted at people who know the C programming language. With this outset, we do not need to dwell on issues such as elementary types, operators, and control structures. The reason is that C and C# (and Java for that sake) are similar in these respects. In this chapter we will discuss the aspects of C# which have obvious counterparts in C. Hopefully, the chapter will be helpful to C programmers who have an interest in C# programming. In this chapter 'C#' refers to C# version 2.0. When we discuss C we refer to ANSI C ala 1989. 6.1. Simple types Lecture 2 - slide 7 C supports the simple types char, bool, int, float and double. In addition there are a number of variation of some of these. In this context, we will also consider pointers as simple types. The major differences between C# and C with respect to simple types are the following: • All simple C# types have fixed bit sizes • C# has a boolean type called bool • C# chars are 16 bit long • In C# there is a high-precision 128 bit numeric fixed-point type called decimal • Pointers are not supported in the normal parts of a C# program • In the unsafe part C# allows for pointers like in C • All simple types are in reality structs in C#, and therefore they have members In C it is not possible to tell the bit sizes of the simple types. In some C implementations an int, for instance, will made by 4 bytes (32 bits), but in other C implementations an int may be longer or shorter. In C# (as well as in Java) the bit sizes of the simple types are defined and fixed as part of the specification of the language. In C there is no boolean type. Boolean false is represented by zero values (such as integer 0) and boolean true is represented by any other integer value (such as the integer 1). In C# there is a boolean type, named bool, that contain the natural values denoted by true and false. The handling of characters is messy in C. Characters in C are supported by the type named char. The char type is an integer type. There is a great deal of confusion about signed and unsigned characters. Typically, characters are represented by 8 bits in C, allowing for representation of the extended ASCII alphabet. In C# the type char represent 16 bits characters. In many respects, the C# type char corresponds to the Unicode alphabet. However, 16 bits are not sufficient for representation of all characters in the Unicode alphabet. The issue of character representation, for instance in text files, relative to the type char is a complex issue in C#. In this material it will be discussed in the lecture about IO, starting in Chapter 37. More specifically, you should consult Section 37.7.
26 The high-precision, 128 bit type called decimal is new in C#. It is a decimal floating point type (as opposed to float and double which are binary floating point types). Values in type decimal are intended for financial calculations. Internally, a decimal value consists of a sign bit (representing positive or negative), a 96 bit integer (mantissa) and a scaling factor (exponent) implicitly between 100 and 10-28 . The 96 bit integer part allows for representation of (at least) 28 decimal digits. The decimal exponent allows you to set the decimal point anywhere in the 28 decimal number. The decimal type uses 3 * 4 = 12 bytes for the mantissa and 4 bytes for the exponent. (Not all bits in the exponent are used, however). For more information, see [decimal-floating-point]. C pointers are not intended to be used in C#. However, C pointers are actually supported in the part of C# known as the unsafe part of the language. The concept of references is very important in C#. References and pointers are similar, but there are several differences as well. Pointers and references will be contrasted and discussed below, in Section 6.5. All simple types in C# are in reality represented as structs (but not all structs are simple types). As such, this classifies the simple types in C# as value types, as a contrast to reference types. In addition, in C#, this provides for definition of methods of simple types. Structs are discussed in Section 6.6. Below we show concrete C# program fragments which demonstrate some aspects of simple types. 1 2 3 4 5 6 7 8 9 10 11 using System; class BoolDemo{ public static void Main(){ bool b1, b2; b1 = true; b2 = default(bool); Console.WriteLine("The value of b2 is {0}", b2); // False } } Program 6.1 Demonstrations of the simple type bool in C#. In Program 6.1 we have emphasized the parts that relate to the type bool. We declare two boolean variables b1 and b2, and we initialize them in the line below their declarations. Notice the possibility of asking for the default value of type bool. This possibility also applies to other types. The output of Program 6.1 reveals that the default value of type bool is false.
27 1 2 3 4 5 6 7 8 9 10 11 12 13 14 15 16 17 18 19 20 using System; class CharDemo{ public static void Main(){ char ch1 = 'A', ch2 = 'u0041', ch3 = 'u00c6', ch4 = 'u00d8', ch5 = 'u00c5', ch6; Console.WriteLine("ch1 is a letter: {0}", char.IsLetter(ch1)); Console.WriteLine("{0} {1} {2}", ch3, ch4, char.ToLower(ch5)); ch6 = char.Parse("B"); Console.WriteLine("{0} {1}", char.GetNumericValue('3'), char.GetNumericValue('a')); } } Program 6.2 Demonstrations of the simple type char in C#. In Program 6.2 we demonstrate the C# type char. We declare a number of variables, ch1 ... ch6, of type char. ch1 ... ch5 are immediately initialized. Notice the use of single quote character notation, such as 'A'. This is similar to the notation used in C. Also notice the 'u....' escape notation. This is four digit unicode character notation. Each dot in 'u....' must be a hexadecimal digit between 0 and f (15). The unicode notation can be used to denote characters, which are not necessarily available on your keyboard, such as the Danish letters Æ, Ø and Å shown in Program 6.2. Notice also the char operations, such as char.IsLetter, which is applied on ch1 in the program. Technically, IsLetter is a static method in the struct Char (see Section 6.6 and Section 14.3 for an introduction to structs). There are many similar operations that classify characters. These operations correspond to the abstractions (macros) in the C library ctype.h. It is recommended that you - as an exercise - locate IsLetter in the C# library documentation. It is important that you are able to find information about already existing types in the documentation pages. See also Exercise 2.1. Number Systems and Hexadecimal Numbers FOCUS BOX 6.1FOCUS BOX 6.1FOCUS BOX 6.1FOCUS BOX 6.1 In the program that demonstrated the type char we have seen examples of hexadecimal numbers. It is worthwhile to understand why hexadecimal numbers are used for these purposes. This side box is a crash course on number systems and hexadecimal numbers. The normal numbers are decimal, using base 10. The meaning of the number 123 is 1 * 102 + 2 * 101 + 3 * 100 The important observation is that we can use an arbitrary base b, b > 1 as an alternative to 10 for decomposition of a number. Base numbers which are powers of 2 are particularly useful. If we use base 2 we get the binary numbers. Binary numbers correspond directly to the raw digital representation used in computers. The binary notation of 123 is 1111011 because
28 1 * 26 + 1 * 25 + 1 * 24 + 1 * 23 + 0 * 22 + 1 * 21 + 1 * 20 is equal to the decimal number 123. Binary numbers are important when we approach the lower level of a computer, but as can be seen above, binary numbers are unwieldy and not very practical. Hexadecimal numbers are used instead. Hexadecimal numbers use base 16, which is 24 . We need 16 digits for notation of hexadecimal numbers. The first 10 digits are 0 .. 9. In lack of better notation, we use the letters A .. F as the six last digits. A = 10, ..., F = 15. The important observation is that a group of four binary digits (corresponding to four bits) can be translated to a single hexadecimal number. Thus, we can immediately translate the binary number 01111011 to the two hexadecimal digits 7 and 11. These two hexadecimal digits are denoted as 7 and B respectively. With this observation, at single byte of eight bits can written as exactly two hexadecimal digits. Grouping the bits of 1111011 leads to 0111 1011. 0111 is 7. 1011 is 11 which is denoted by the hexadecimal digit B. The hexadecimal number 7B means 7 * 16 1 + 11 * 16 0 which is 123 (in decimal notation). The explantion above is - in a nutshell - the reason why you should care about hexadecimal numbers. In Exercise 2.2 we will write programs that deal with hexadecimal numbers. 1 2 3 4 5 6 7 8 9 10 11 12 13 14 15 16 17 18 19 20 21 22 23 24 25 26 27 28 29 30 31 32 33 34 35 using System; using System.Globalization; class NumberDemo{ public static void Main(){ sbyte sb1 = sbyte.MinValue; // Signed 8 bit integer System.SByte sb2 = System.SByte.MaxValue; Console.WriteLine("sbyte: {0} : {1}", sb1, sb2); byte b1 = byte.MinValue; // Unsigned 8 bit integer System.Byte b2 = System.Byte.MaxValue; Console.WriteLine("byte: {0} : {1}", b1, b2); short s1 = short.MinValue; // Signed 16 bit integer System.Int16 s2 = System.Int16.MaxValue; Console.WriteLine("short: {0} : {1}", s1, s2); ushort us1 = ushort.MinValue; // Unsigned 16 bit integer System.UInt16 us2= System.UInt16.MaxValue; Console.WriteLine("ushort: {0} : {1}", us1, us2); int i1 = int.MinValue; // Signed 32 bit integer System.Int32 i2 = System.Int32.MaxValue; Console.WriteLine("int: {0} : {1}", i1, i2); uint ui1 = uint.MinValue; // Unsigned 32 bit integer System.UInt32 ui2= System.UInt32.MaxValue; Console.WriteLine("uint: {0} : {1}", ui1, ui2); long l1 = long.MinValue; // Signed 64 bit integer System.Int64 l2 = System.Int64.MaxValue; Console.WriteLine("long: {0} : {1}", l1, l2); ulong ul1 = ulong.MinValue; // Unsigned 64 bit integer
29 36 37 38 39 40 41 42 43 44 45 46 47 48 49 50 51 52 53 54 55 56 57 58 System.UInt64 ul2= System.UInt64.MaxValue; Console.WriteLine("ulong: {0} : {1}", ul1, ul2); float f1 = float.MinValue; // 32 bit floating-point System.Single f2= System.Single.MaxValue; Console.WriteLine("float: {0} : {1}", f1, f2); double d1 = double.MinValue; // 64 bit floating-point System.Double d2= System.Double.MaxValue; Console.WriteLine("double: {0} : {1}", d1, d2); decimal dm1 = decimal.MinValue; // 128 bit fixed-point System.Decimal dm2= System.Decimal.MaxValue; Console.WriteLine("decimal: {0} : {1}", dm1, dm2); string s = sb1.ToString(), t = 123.ToString(); } } Program 6.3 Demonstrations of numeric types in C#. In Program 6.3 we show a program that demonstrates all numeric types in C#. For illustrative purposes, we use both the simple type names (such as int, shown in purple) and the underlying struct type names (such as System.Int32 shown in blue). To give you a feeling of the ranges of the types, the program prints the smallest and the largest value for each numeric type. At the bottom of Program 6.3 we show how the operation ToString can be used for conversion from a numeric type to the type string. The output of the numeric demo program is shown in Listing 6.4 (only on web). Hexadecimal Numbers in C# FOCUS BOX 6.2FOCUS BOX 6.2FOCUS BOX 6.2FOCUS BOX 6.2 In Focus box 6.1 we studied hexadecimal numbers. We will now see how to deal with hexadecimal numbers in C#. A number prefixed with 0x is written in hexadecimal notation. Thus, 0x123 is equal to the decimal number 291. In C and Java the prefix 0 is used for octal notation. Thus, in C and Java 0123 is equal to the decimal number 83. This convention is not used in C#. In C#, 0123 is just a decimal number prefixed with a redundant digit 0. While prefixes are used for encoding of number systems, suffixes of number constants are used for encoding of numerical types. As an example, 0X123L denotes a hexadecimal constant of type long (a 64 bit integer). The following suffixes can be used for integer types: U (unsigned), L (long), and UL (unsigned long). The following suffixes can be used for real types: F (float), D (double), and M (decimal). Both lowercase and uppercase suffixes will work. A number can formatted in both decimal and hexadecimal notation. In the context of a Console.WriteLine call, the format specification (or placeholder) {i:X} will write the value of the variable i in hexadecimal
30 notation. This is demonstrated by the following C# program: using System; class NumberDemo{ public static void Main(){ int i = 0123, j = 291; long k = 0X123L; Console.WriteLine("{0:X}", i); // 7B Console.WriteLine("{0:D}", i); // 123 Console.WriteLine("{0:X}", j); // 123 Console.WriteLine("{0:D}", k); // 291 } } In the program shown above, D means decimal and X means hexadecimal. Some additional formattings are also provided for numbers: C (currency notation), E (exponential notation), F (fixed point notation), G (Compact general notation), N (number notation), P (percent notation), R (round trip notation for float and double). You should consult the online documentation for additional explanations. Exercise 2.1. Exploring the type Char The type System.Char (a struct) contains a number of useful methods, and a couple of constants. Locate the type System.Char in your C# documentation and take a look at the methods available on characters. You may ask where you find the C# documentation. There are several possibilities. You can find it at the Microsoft MSDN web site at msdn.microsoft.com. It is also integrated in Visual Studio and - to some degree - in Visual C# express. It comes with the C# SDK, as a separate browser. It is also part of the documentation web pages that comes with Mono. If you are a Windows user I will recommend the Windows SDK Documentation Browser which is bundled with the C# SDK. Along the line of the character demo program above, write a small C# program that uses the char predicates IsDigit, IsPunctuation, and IsSeparator. It may be useful to find the code position - also known as the code point - of a character. As an example, the code position of 'A' is 65. Is there a method in System.Char which gives access to this information? If not, can you find another way to find the code position of a character? Be sure to understand the semantics (meaning) of the method GetNumericValue in type Char. Exercise 2.2. Hexadecimal numbers In this exercise we will write a program that can convert between decimal and hexadecimal notation of numbers. Please consult the focus boxes about hexadecimal numbers in the text book version if you need to. You might expect that this functionality is already present in the C# libraries. And to some degree, it is.
31 The static method ToInt32(string, Int32) in class Convert converts the string representation of a number (the first parameter) to an arbitrary number system (the second parameter). Similar methods exist for other integer types. The method ToString(string) in the struct Int32, can be used for conversion from an integer to a hexadecimal number, represented as a string. The parameter of ToString is a format string. If you pass the string "X" you get a hexadecimal number. The program below shows examples: using System; class NumberDemo{ public static void Main(){ int i = Convert.ToInt32("7B", 16); // hexadecimal 7B (in base 16) -> // decimal 123 Console.WriteLine(i); // 123 Console.WriteLine(123.ToString("X")); // decimal 123 -> hexadecimal 7B } } Now, write a method which converts a list (or array) of digits in base 16 (or more generally, base b, b >= 2) to a decimal number. The other way around, write a method which converts a positive decimal integer to a list (or array) of digits in base 16 (or more generally, base b). Here is an example where the requested methods are used: public static void Main(){ int r = BaseBToDecimal(16, new List{7, 11}); // 7B -> 123 List s = DecimalToBaseB(16, 123); // 123 -> {7, 11} = 7B List t = DecimalToBaseB(2, 123); // 123 -> {1, 1, 1, 1, 0, 1, 1 } = // 1111011 Console.WriteLine(r); foreach (int digit in s) Console.Write("{0} ", digit); Console.WriteLine(); foreach (int digit in t) Console.Write("{0} ", digit); }
32 6.2. Enumerations types Lecture 2 - slide 8 Enumeration types in C# are similar to enumeration types in C, but a number of extensions have been introduced in C#: • Enumeration types of several different underlying types can be defined (not just int) • Enumeration types inherit a number of methods from the type System.Enum • The symbolic enumeration constants can be printed (not just the underlying number) • Values, for which no enumeration constant exist, can be dealt with • Combined enumerations represent a collection of enumerations Below, in Program 6.5 we see that the enumeration type OnOff is based on the type byte. The enumeration type Ranking is - per default - based on int. 1 2 3 4 5 6 7 8 9 10 11 12 13 14 15 16 17 18 19 20 21 22 23 24 25 26 27 28 29 30 31 32 33 using System; class NonSimpleTypeDemo{ public enum Ranking {Bad, OK, Good} public enum OnOff: byte{ On = 1, Off = 0} public static void Main(){ OnOff status = OnOff.On; Console.WriteLine(); Console.WriteLine("Status is {0}", status); Ranking r = Ranking.OK; Console.WriteLine("Ranking is {0}", r ); Console.WriteLine("Ranking is {0}", r+1); Console.WriteLine("Ranking is {0}", r+2); bool res1 = Enum.IsDefined(typeof(Ranking), 3); Console.WriteLine("{0} defined: {1}", 3, res1); bool res2= Enum.IsDefined(typeof(Ranking), Ranking.Good); Console.WriteLine("{0} defined: {1}", Ranking.Good , res2); bool res3= Enum.IsDefined(typeof(Ranking), 2); Console.WriteLine("{0} defined: {1}", 2 , res3); foreach(string s in Enum.GetNames(typeof(Ranking))) Console.WriteLine(s); } } Program 6.5 Demonstration of enumeration types in C#. In the example the methods IsDefined and GetNames are examples of static methods inherited from System.Enum. In line 13 of Program 6.5 On is printed. In a similar C program, the number 1 would be printed.
33 In line 16 OK is printed, and line 17 prints Good. In line 18 the value of r + 2 is 3, which does not correspond to any of the values in type Ranking. Therefore the base value 3 is printed. All the output of Program 6.5 is listed in Listing 6.6. Combined enumeration (sometimes known as flags enumeration) is a slightly more advanced concept. We introduce it in Focus box 6.3. Let us point out some additional interesting details in Program 6.5. There are two enumeration types in the program, namely a type called Ranking and another called OnOff. When we declare variables, the types Ranking and OnOff are used via their names. C programmer will be relieved to find out that it is not necessary (and not possible) to write enum Ranking and enum OnOff. Thus, no C-like typedefs are necessary to introduce simple naming. In order to disambiguate the referencing of constants in an enumeration type, dot notation ala Ranking.OK must always be used. In the same way as in C, the enumeration constants have associated an integer value. The operation IsDefined allows us to check if a given value belongs to an enumeration type. IsDefined is an operation (a method) in a struct called Enum. As a very pleasant surprise for the C programmer, there is access to the names of enumeration constants from the program. We show in the program that the expressions Enum.GetNames(typeof(Ranking)) returns a string array with the elements "Bad", "OK", and "Good". In the same direction - as we have already seen above - it is possible to print the symbolic names of the enumeration constants. This is very useful. In C programs we always need a tedious switch to obtain a similar effect.. Combined Enumerations FOCUS BOX 6.3FOCUS BOX 6.3FOCUS BOX 6.3FOCUS BOX 6.3 Combined enumerations can be used to deal with small sets symbolic constants. Here is an example: [Flags] public enum Direction: byte{ North = 1, East = 2, South = 4, West = 8, } The first thing to notice is the mapping of symbolic constants to powers of two. We can form an expression North | West which is the bitwise combination of the underlying integer values 1 and 8. | is a bitwise or operator, see Table 6.1. At the binary level, 1 | 8 is equivalent to 0001 | 1000 = 1001, which represents the number 9. You should think of 1001 as a bit array where the leftmost bit is the encoding of West and the rightmost bit is the encoding of North. [Flags] is an application of an attribute, see Section 39.6. It instructs the compiler to generate symbolic names of combinations, such as the composite name North, West in the example below. We can program with the enumeration type in the following way: Direction d = Direction.North | Direction.West; Console.WriteLine("Direction {0}", d); // Direction North, West Console.WriteLine("Direction {0}", (int)d); // 9 Console.WriteLine(HasDirection(d, Direction.North)); // True Console.WriteLine(HasDirection(d, Direction.South)); // False
34 The method HasDirection is a method we have programmed in the following way: // Is d in the direction e public static bool HasDirection(Direction d, Direction e){ return (d & e) == e; } It checks if e is contained in d in the a bitwise sense. It is also possible to name some of the combinations explicitly in the enumeration type: [Flags] public enum Direction: byte{ North = 1, East = 2, South = 4, West = 8, NorthWest = North | West, NorthEast = North | East, SouthWest = South | West, SouthEast = South | East } Exercise 2.3. ECTS Grades Define an enumeration type ECTSGrade of the grades A, B, C, D, E, Fx and F and associate the Danish 7- step grades 12, 10, 7, 4, 2, 0, and -3 to the symbolic ECTS grades. What is the most natural underlying type of ECTSGrade? Write a small program which illustrates how to use the new enumeration type. Exercise 2.4. Use of Enumeration types Consult the documentation of type type System.Enum, and get a general overview of the methods in this struct. Be sure that you are able to find the documentation of System.Enum Test drive the example EnumTest, which is part of MicroSoft's documentation. Be sure to understand the program relative to its output. Write your own program with a simple enumeration type. Use the Enum.CompareTo method to compare two of the values of your enumeration type. 6.3. Non-simple types Lecture 2 - slide 9 The most important non-simple types are defined by classes and structs. These types define non-atomic objects/values. Because C# is a very rich language, there are other non-simple types as well, such as interfaces and delegates. We will not discuss these in this chapter, but they will play important roles in later chapters.
35 The most important similarities between C and C# with respect to non-simple types can be summarized in the following way: • Arrays in C#: Indexed from 0. Jagged arrays - arrays of arrays • Strings in C#: Same notation as in C, and similar escape characters • Structs in C#: A value type like in C. The most important differences are: • Arrays: Rectangular arrays in C# • Strings: No 0 termination in C# • Structs: Much expanded in C#. Structs can have methods. A C programmer, who have experience with arrays, strings, and structs from C, will immediately feel comfortable with these types in C#. But such a C programmer will also quickly find out, that there are substantial new possibilities in C# that makes life easier. Arrays and strings will be discussed in Section 6.4. Classes and structs are, basically, what the rest of the book is about. The story about classes starts in Chapter 10. 6.4. Arrays and Strings Lecture 2 - slide 10 Arrays and strings are both non-simple types that are well-known by C programmers. In C# both arrays and strings are defined by classes. As we will see later, this implies that arrays and strings are represented as objects, and they are accessed via references. This stands as a contrast to C# structs, which are values and therefore not accessed via references. The syntax of array declaration and initialization is similar in C and C#. In C, a string is a pointer to a the first character in the string, and it is declared of the type char*. C# supports a type named string. The notation of string constants is also similar in C and C#, although C# offers additional possibilities (the @"..." notation, see below). The following summarizes important differences in between C and C# with respect to arrays and strings: • Arrays in C# can be rectangular or jagged (arrays of arrays) • In C#, an array is not a pointer to the first element • Index out of bound checking is done in C# • Strings are immutable in C#, but not in C • In C# there are two kinds of string literals: "a stringn" and @"a stringn" A multi-dimensional array in C is constructed as an array in which the elements are themselves arrays. Such arrays are known as jagged arrays in C#, because not all constituent arrays need to have the same size. In
36 addition C# supports a new kind of arrays, namely rectangular arrays (of two or more dimensions). Such arrays are similar to arrays in Pascal. C is inherently unsafe, in part because indexes out of bounds are not systematically caught at run-time. C# is safe in this respect. An index out of bound in a running C# program raises an exception, see Chapter 36. C programmers may be puzzled by the fact that strings are immutable in C#. Once a string is constructed, it is not possible to modify the character elements of the string. This is also a characteristic of strings in Java. This makes it possible to share a given string in several contexts. The bookkeeping behind this is called interning. (You can, for instance, read about interning in the documentation of the static method String.Intern). In case mutable strings are necessary, the class System.Text.StringBuilder makes them available. The well-known double quote string notation is used both in C and C#. Escape characters, prefixed with backslashes (such as in "n") are used in C as well and in C#. C# supports an alternative notation, called verbatim string constants, @"..." , in which the only escape notation is "" which stands for the double quote character itself. Inside a verbatim string constant it possible to have newline characters, and all backslashes appear as backslash characters in the string. An example of a verbatim strings will be shown in Program 6.9. Below, in Program 6.7 we will demonstrate a number of aspects of arrays in C#. 1 2 3 4 5 6 7 8 9 10 11 12 13 14 15 16 17 18 19 20 21 22 23 24 25 26 27 28 29 30 using System; class ArrayStringDemo{ public static void Main(){ string[] a1, a2 = {"a", "bb", "ccc"}; a1 = new string[]{"ccc", "bb", "a"}; int[,] b1 = new int[2,4], b2 = {{1,2,3,4}, {5,6,7,8}}; double[][] c1 = { new double[]{1.1, 2.2}, new double[]{3.3, 4.4, 5.5, 6.6} }; Console.WriteLine("Array lengths. a1:{0} b2:{1} c1:{2}", a1.Length, b2.Length, c1.Length); Array.Clear(a2,0,3); Array.Resize<string>(ref a2,10); Console.WriteLine("Lenght of a2: {0}", a2.Length); Console.WriteLine("Sorting a1:"); Array.Sort(a1); foreach(string str in a1) Console.WriteLine(str); } } Program 6.7 Demonstrations of array types in C#. We declare two variables, a1 and a2, of the type string[]. In other words, a1 and a2 are both arrays of strings. a1 is not initialized in its declaration. (Local variables in C# are not initialized to any default value). a2 is initialized by means of an array initializer, namely {"a", "bb", "ccc"}. The length of the array is determined by the number of expressions within the pair of curly braces.
37 The arrays b1 and b2 are both rectangular 2 times 4 arrays. The array c1 is an example of a jagged array. c1[1] is an array of length 2. c1[2] is an array of length 4. Next we try out the Length operation on a1, b2 and c1. The result is a1:3 b2:8 c1:2. Please notice and understand the outcome. Finally we demonstrate a number of additional operations on arrays: Clear, Resize, and Sort. These are all methods in the class System.Array. The output of the array demo program is shown in Listing 6.8 (only on web). Arrays, as discussed above, will be used in many of your future programs. But as an alternative, you should be aware of the collection classes, in particular the type parameterized, "generic" collection classes. These classes will be discussed in Chapter 45. Now we will study a program example that illustrates uses of the type string. 1 2 3 4 5 6 7 8 9 10 11 12 13 14 15 16 17 18 19 20 21 using System; class ArrayStringDemo{ public static void Main(){ string s1 = "OOP"; System.String s2 = "u004fu004fu0050"; // equivalent Console.WriteLine("s1 and s2: {0} {1}", s1, s2); string s3 = @"OOP on the n semester ""Dat1/Inf1/SW3"""; Console.WriteLine("n{0}", s3); string s4 = "OOP on n the n semester "Dat1/Inf1/SW3""; Console.WriteLine("n{0}", s4); string s5 = "OOP E06".Substring(0,3); Console.WriteLine("The substring is: {0}", s5); } } Program 6.9 A demonstration of strings in C#. The strings s1 and s2 in Program 6.9 contain the same three characters, namely 'O', 'O', and 'P'. Similarly, the strings referred by s3 and s4 are equal to each other (in the sense that they contain the same sequences of characters). As already mentioned above, the string constant in line 10-11 is a verbatim string constant, in which an escape sequence like n denotes itself. In verbatim strings, only "" has a special interpretation, namely as a single quoute character. Finally, in Program 6.9, the Substring operation from the class System.String is demonstrated. The output of the string demonstration program in Program 6.9 is shown in Listing 6.10 (only on web).
38 Exercise 2.5. Use of array types Based on the inspiration from the accompanying example, you are in this exercise supposed to experiment with some simple C# arrays. First, consult the documentation of the class System.Array. Please notice the properties and methods that are available on arrays in C#. Declare, initialize, and print an array of names (e.g. array of strings) of all members of your group. Sort the array, and search for a given name using System.Array.BinarySearch method. Reverse the array, and make sure that the reversing works. Exercise 2.6. Use of string types Based on the inspiration from the accompanying example, you are in this exercise supposed to experiment with some simple C# strings. First, consult the documentation of the class System.String - either in your documentation browser or at msdn.microsoft.com. Read the introduction (remarks) to string which contains useful information! There exists a large variety of operations on strings. Please make sure that you are aware of these. Many of them will help you a lot in the future! Make a string of your own first name, written with escaped Unicode characters (like we did for "OOP" in the accompanying example). If necessary, consult the unicode code charts (Basic Latin and Latin-1) to find the appropriate characters. Take a look at the System.String.Insert method. Use this method to insert your last name in the first name string. Make your own observations about Insert relative to the fact that strings in C# are immutable. 6.5. Pointers and references Lecture 2 - slide 11 Pointers are instrumental in almost all real-life C programs, both for handling dynamic memory allocation, and for dealing with arrays. Recall that an array in C is simply a pointer to the first element of the array. References in C# (and Java) can be understood as a restricted form of pointers. C# references are never explicitly dereferenced, references are not coupled to arrays, and references cannot be operated on via the arithmetic C# operators; There are no pointer arithmetic in (the safe part of) C#. As a special notice to C++ programmers: References in C# have nothing to do with references in C++. Here follows an itemized overview of pointers and references.
39 • Pointers • In normal C# programs: Pointers are not used • All the complexity of pointers, pointer arithmetic, dereferencing, and the address operator is not found in normal C# programs • In specially marked unsafe sections: Pointers can be used almost as in C. • Do not use them in your C# programs! • References • Objects (instance of classes) are always accessed via references in C# • References are automatically dereferenced in C# • There are no particular operators in C# that are related to references Program 6.11 shows some basic uses of references in C#. The variables cRef and anotherCRef are declared of type C. C happens to be an almost trivial class that we have defined in line 3-5. Classes are reference types in C (see Chapter 13). cref declared in in line 11 is assigned to null (a reference to nothing) in line 12. Next, in line 15, cref is assigned to a new instance of C. Via the reference in cref we can access the members x and y in the C object, see line 18. We can also pass a reference as a parameter to a function F as in line 19. This does not copy the referenced object when entering F. 1 2 3 4 5 6 7 8 9 10 11 12 13 14 15 16 17 18 19 20 21 22 23 24 25 26 27 using System; public class C { public double x, y; } public class ReferenceDemo { public static void Main(){ C cRef, anotherCRef; cRef = null; Console.WriteLine("Is cRef null: {0}", cRef == null); cRef = new C(); Console.WriteLine("Is cRef null: {0}", cRef == null); Console.WriteLine("x and y are ({0},{1})", cRef.x, cRef.y); anotherCRef = F(cRef); } public static C F(C p){ Console.WriteLine("x and y are ({0},{1})", p.x, p.y); return p; } } Program 6.11 Demonstrations of references in C#. The output of Program 6.11 is shown in Listing 6.12 (only on web). There is no particular complexity in normal C# programs due to use of references
40 6.6. Structs Lecture 2 - slide 12 Structs are well-known by C programmers. It is noteworthy that arrays and structs are handled in very different ways in C. In C, arrays are deeply connected to pointers. Related to the discussion in this material, we will say that pointers are dealt with by reference semantics, see Section 13.1. Structs in C are dealt with by value semantics, see Section 14.1. Structs are copied by assignment, parameter passing, and returns. Arrays are not! Let us now compare structs in C and C#: • Similarities • Structs in C# can be used almost in the same way as structs in C • Structs are value types in both C and C# • Differences • Structs in C# are almost as powerful as classes • Structs in C# can have operations (methods) in the same way as classes • Structs in C# cannot inherit from other structs or classes In Program 6.13 we see a program with a struct called Point. The variable p1 contains a point (3.0, 4.0). Because structs are value types, p1 does not refer to a point. It contains the two coordinates of type double that represents the points. p2 is uninitialized. In line 15, p1 is copied into p2. This is a field-by-field (bit-by- bit) copy operation. No manipulation of references is involved. Finally we show the activation of a method Mirror on p2. Hereby the state of the second point is mutated to (-3,-4). 1 2 3 4 5 6 7 8 9 10 11 12 13 14 15 16 17 18 19 20 using System; public struct Point { public double x, y; public Point(double x, double y){this.x = x; this.y = y;} public void Mirror(){x = -x; y = -y;} } // end Point public class StructDemo{ public static void Main(){ Point p1 = new Point(3.0, 4.0), p2; p2 = p1; p2.Mirror(); Console.WriteLine("Point is: ({0},{1})", p2.x, p2.y); } } Program 6.13 Demonstrations of structs in C#.
41 6.7. Operators Lecture 2 - slide 13 Expressions in C# have much in common with expressions in C. Non-trivial expressions are built with use of operators. We summarize the operators in C# in Table 6.1. As it appears, there is a substantial overlap with the well-known operators i C. Below the table we will comment on the details. Level Category Operators Associativity (binary/tertiary) 14 Primary x.y f(x) a[x] x++ x-- new typeof checked unchecked default delegate left to right 13 Unary + - ! ~ ++x --x (T)x true false sizeof left to right 12 Multiplicative * / % left to right 11 Additive + - left to right 10 Shift << >> left to right 9 Relational and Type testing < <= > >= is as left to right 8 Equality == != left to right 7 Logical/bitwise and & left to right 6 Logical/bitwise xor ^ left to right 5 Logical/bitwise or | left to right 4 Conditional and && left to right 3 Conditional or || left to right 2 Null coalescing ?? left to right 1 Conditional ?: right to left 0 Assignment or Lambda expression = *= /= %= += - = <<= >>= &= ^= |= => right to left Table 6.1 The operator priority table of C#. Operators with high level numbers have high priorities. In a given expression, operators of high priority are evaluated before operators with lower priority. The associativity tells if operators at the same level are evaluated from left to right or from right to left. The operators shown in red are new and specific to C#. The operator new creates an instance (an object) of a class or it initializes a value of struct. We have already encountered new in some of the simple demo programs, for instance Program 6.11 and Program 6.13. See Section 12.2 for details on new. The operators is, as and typeof will not be discussed here. Please refer to Section 28.12 for details on these. The operations checked and uncheked relate to the safe and unsafe part of C# respectively. In this material we only deal with the safe part, and therefore these two C# operators can be disregarded. The default operator gives access to the default value of value types, see Section 12.3. The delegate operator is used for definition of anonymous functions, see Section 22.1. The unary true and false operators tell when a value in a user
42 defined type is regarded as true or false respectively. See Section 21.2 for more details. The expression x ?? y is a convenient shortcut of x != null ? x : y. See Section 14.9 for more details on ??. => is the operator which is used to form lambda expressions in C#3.0, see Section 22.4. A couple of C operators are not part of C#. The address operator & and the dereference operator * are not found in (the safe part of) C# (but they are actually available in the unsafe part of the language). They are both related to pointers, and as discussed in Section 6.5 pointers are not supported in (the safe part of) C#. All the remaining operators should be familiar to the C programmer. The operators listed above have fixed and predefined meanings when used together with primitive types in C#. On top of these it is possible to define new meanings of some of the operators on objects/values of your own types. This is called operator overloading, and it is discussed in more details in Chapter 21. The subset of overloadable operators is highlighted in Table 21.1. 6.8. Commands and Control Structures Lecture 2 - slide 14 Almost all control structures in C can be used the same way in C# Commands (also known as statements) are able to mutate the program state at run-time. As such, the most important command is the assignment. The commands constitute the "imperative heart" of the programming language. The control structures provide means for sequencing the commands. The commands and control structures of C# form - to a large extent - a superset of the commands and control structures of C. Thus, the knowledge of commands and control structures in C can be used directly when learning C#. As usual, we will summarize similarities and differences between C and C#. The similarities are the following: • Expression statements, such as a = a + 5; • Blocks, such as {a = 5; b = a;} • if, if-else, switch, for, while, do-while, return, break, continue, and goto in C# are all similar to C As in C, an expression becomes a command if it is followed by a semicolon. Therefore we have emphasized the semicolon above in the assignment a = a + 5; As it will be clear from Program 6.15 below, the switch control structures in C and C# differ substantially. The main differences between C and C# regarding control structures are the following: • The C# foreach loop provides for easy traversal of all elements in a collection • try-catch-finally and throw in C# are related to exception handling
43 • Some more specialized statements have been added: checked, unchecked, using, lock and yield. The foreach control structures is an easy-to-use version of a for loop, intended for start-to-end traversal of collections. We will not here touch on try-catch-finally and throw. Please refer to our coverage of exception handling in Section 36.2 for a discussion of these. Let us now look at some concrete program examples with control structures. In the examples below, program fragments shown in red color illustrate erroneous aspects. Program fragments shown in green are all right. 1 2 3 4 5 6 7 8 9 10 11 12 13 14 15 16 17 18 19 20 21 22 23 24 25 /* Right, Wrong */ using System; class IfDemo { public static void Main(){ int i = 0; /* if (i){ Console.WriteLine("i is regarded as true"); } else { Console.WriteLine("i is regarded as false"); } */ if (i != 0){ Console.WriteLine("i is not 0"); } else { Console.WriteLine("i is 0"); } } } Program 6.14 Demonstrations of if. The if-else control structure has survived from C. Program 6.14 in reality illustrates a difference between handling of boolean values of C and C#. This has already been treated in Section 6.1. The point is that an expression of non-bool type (such the integer i) cannot be used as the controlling expression of an if-else control structure i C#. Let us now look at a program with switch control structures. As already mentioned earlier there are a number of noteworthy differences between C and C# regarding switch. 1 2 3 4 5 6 7 8 9 10 11 /* Right, Wrong */ using System; class SwitchDemo { public static void Main(){ int j = 1, k = 1; /* switch (j) { case 0: Console.WriteLine("j is 0"); case 1: Console.WriteLine("j is 1");
44 12 13 14 15 16 17 18 19 20 21 22 23 24 25 26 27 28 29 30 31 32 33 34 35 36 37 38 39 case 2: Console.WriteLine("j is 2"); default: Console.WriteLine("j is not 0, 1 or 2"); } */ switch (k) { case 0: Console.WriteLine("m is 0"); break; case 1: Console.WriteLine("m is 1"); break; case 2: Console.WriteLine("m is 2"); break; default: Console.WriteLine("m is not 0, 1 or 2"); break; } switch (k) { case 0: case 1: Console.WriteLine("n is 0 or 1"); break; case 2: case 3: Console.WriteLine("n is 2 or 3"); break; case 4: case 5: Console.WriteLine("n is 4 or 5"); break; default: Console.WriteLine("n is not 1, 2, 3, 4, or 5"); break; } string str = "two"; switch (str) { case "zero": Console.WriteLine("str is 0"); break; case "one": Console.WriteLine("str is 1"); break; case "two": Console.WriteLine("str is 2"); break; default: Console.WriteLine("str is not 0, 1 or 2"); break; } } } Program 6.15 Demonstrations of switch. The first switch in Program 6.15 is legal in C, but it is illegal i C#. It illustrates the fall through problem. If j is 0, case 0, 1, 2, and default are all executed in a C program. Most likely, the programmer intended to write the second switch, starting in line 17, in which each case is broken with use of the break command. In C# the compiler checks that each branch of a switch never encounters the ending of the branch (and, thus, never falls through to the succeeding branch). The third switch in the demo program shows that two or more cases can be programmed together. Thus, like in C, it is legal to fall trough empty cases. The final switch shows that it is possible to switch on strings in C#. This is very convenient in many contexts! In C, the type of the switch expression must be integral (which means an integer, char, or an enumeration type). Let us also mention that C# allows special goto constructs (goto case constant and goto default) inside a switch. With use of these it is possible to jump from one case to another, and it is even possible to program a loop inside a switch (by jumping from one case to an already executed case). It is recommended only to use these specialized goto constructs in exceptional situations, or for programming of particular patterns (in which it is natural to organize a solution around multiple branches that can pass the control to each other). Next we will study a program that illustrates the foreach loop. 1 2 3 4 5 6 /* Right, Wrong */ using System; class ForeachDemo { public static void Main(){
45 7 8 9 10 11 12 13 14 15 int[] ia = {1, 2, 3, 4, 5}; int sum = 0; foreach(int i in ia) sum += i; Console.WriteLine(sum); } } Program 6.16 Demonstrations of foreach. As mentioned above, foreach is a variant of a for loop that traverses all elements of a collection. (See how this is provided for in Section 31.6). In the example of Program 6.16 all elements of the array are traversed. Thus, the loop variable i will be 1, 2, 3, 4 and 5 in succession. Many efforts in C# have been directed towards supporting foreach on the collection types that you program yourself. Also notice that loop control variable, i, is declared inside the foreach construct. This cannot be done in a conventional for loop in C (although it can be done in C99 and in C++). Finally, we will see an example of try-catch. 1 2 3 4 5 6 7 8 9 10 11 12 13 14 15 16 17 18 19 20 /* Right, Wrong */ using System; class TryCatchDemo { public static void Main(){ int i = 5, r = 0, j = 0; /* r = i / 0; Console.WriteLine("r is {0}", r); */ try { r = i / j; Console.WriteLine("r is {0}", r); } catch(DivideByZeroException e){ Console.WriteLine("r could not be computed"); } } } Program 6.17 Demonstrations of try catch. Division by 0 is a well-known cause of a run-time error. Some compilers are, in some situations, even smart enough to identify the error at compile-time. In Program 6.17 the erroneous program fragment never reaches the activation of WriteLine in line 10, because the division by zero halts the program. The expression i / j, where j is 0, is embedded in a try-catch control structure. The division by zero raises an exception in the running program, which may be handled in the catch part. The WriteLine in line 17 is encountered in this part of the example. Thus, the program survives the division by zero. Later in the material, starting in Chapter 33, we discuss - in great details - errors and error handling and the use of try- catch. Before we leave the assignments and control structure we want to mention the definite assignment rule in C#. The rule states that every declared variable must be assigned to a value before the variable is used. The compiler enforces the rule. Take a look at the program below.
46 1 2 3 4 5 6 7 8 9 10 11 12 13 14 15 16 17 18 19 20 21 22 23 24 25 26 27 28 29 30 31 32 using System; class DefiniteAssignmentDemo{ public static void Main(){ int a, b; bool c; if (ReadFromConsole("Some Number") < 10){ a = 1; b = 2; } else { a = 2; } Console.WriteLine(a); Console.WriteLine(b); // Use of unassigned local variable 'b' while (a < b){ c = (a > b); a = Math.Max(a, b); } Console.WriteLine(c); // Use of unassigned local variable 'c' } public static int ReadFromConsole(string prompt){ Console.WriteLine(prompt); return int.Parse(Console.ReadLine()); } } Program 6.18 Demonstrations of definite assignment. The program declares three variables a, b, and c in line 6-7, without initializing them. Variable b is used in line 16, but it cannot be guarantied that the if-else control structure in line 9-13 assigns a value to the variable b. Therefore, using a conservative approach, the compiler complains about line 16. The error message is emphasized in the comment at the end of line 16. Similarly, the variable c declared in line 7 is not necessarily assigned by the while control structure in line 18-21. Recall that if a >= b when we enter the while loop, the line 19 and 20 are never executed. This explains the error message associated to line 24. The definite assignment rule, enforced by the compiler, implies that we never get run-time errors due to uninitialized variables. On the other hand, the rule also prevents some program from executing on selected input. If the number read in line 9 of Program 6.18 is less than 10 both b and c will be assigned when used in the WriteLine calls. 6.9. Functions Lecture 2 - slide 15 Functions are the primary abstractions in C. In C# "function" (or "function member") is the common name of a variety of different kinds of abstractions. The most well-known of these is known as methods. The others are properties, events, indexers, operators, and constructors.
47 Functions in C# belong to types: classes or structs. Thus, functions in C# cannot be freestanding like in C. Functions are always found inside a type. The conceptual similarities between functions in C and methods in C# are many and fundamental. In our context it is, however, most interesting to concentrate on the differences: • Several different parameter passing techniques in C# • Call by value. For input. No modifier. • Call by reference. For input and output or output only • Input and output: Modifier ref • Output: Modifier out • Modifiers used both with formal and actual parameters • Functions with a variable number of input parameters in C# (cleaner than in C) • Overloaded function members in C# • First class functions (delegates) in C# In C all parameters are passed by value. However, passing a pointer by value in C is often proclaimed as call by reference. In C# there are several parameter passing modes: call by value and two variants of call by reference (ref and out parameters). The default parameter passing mode is call by value. Call by reference parameter passing in C (via pointers) is not the same as ref parameters in C#. ref parameters in C# are much more like Pascal var (variable) parameters. In C it is possible, but messy, to deal with functions of a variable (or an arbitrary) number of arguments. In C# this is easier and cleaner. It is supported by the params keyword in a formal parameter list. An example is provided in Program 6.20. A function in C is identified by its name. A method in C# is identified by its name together with the types of the formal parameters (the so-called method signature). This allows several methods with the same names to coexist, provided that their formal parameter types differ. A set of equally named methods (with different formal parameter types) is known as overloaded methods. A function in C# can be handled without naming it at all. Such functions are known as delegates. Delegates come from the functional programming language paradigm, where functions most often are first class objects. Something of first class can be passed as parameters, returned as results from functions, and organized in data structures independent of naming. Delegates seem to be more and more important in the development of C#. In C# 3.0 the nearby concepts of lambda expressions and expression trees have emerged. We have much more to say about delegates later in this material, see Chapter 22. 1 2 3 4 5 6 7 8 9 10 11 12 13 14 15 /* Right, Wrong */ using System; /* public int Increment(int i){ return i + 1; } public void Main (){ int i = 5, j = Increment(i); Console.WriteLine("i and j: {0}, {1}", i, j); } // end Main
48 16 17 18 19 20 21 22 23 24 25 26 27 28 29 30 31 32 33 */ public class FunctionDemo { public static void Main (){ SimpleFunction(); } public static void SimpleFunction(){ int i = 5, j = Increment(i); Console.WriteLine("i and j: {0}, {1}", i, j); } public static int Increment(int i){ return i + 1; } } Program 6.19 Demonstration of simple functions in C#. Program 6.19 shows elementary examples of functions (methods) in a C# program. The program text decorated with red color shows two functions, Main and Increment, outside of any type. This is illegal in C#. Shown in green we again see the function Increment, now located in a legal context, namely inside the type (class) FunctionDemo. The function SimpleFunction calls Increment in a straightforward way. The function Main serves as main program in C#. It is here the program starts. We see that Main calls SimpleFunction. 1 2 3 4 5 6 7 8 9 10 11 12 13 14 15 16 17 18 19 20 21 22 23 24 25 26 27 28 29 30 31 32 33 using System; public class FunctionDemo { public static void Main (){ ParameterPassing(); } public static void ValueFunction(double d){ d++;} public static void RefFunction(ref double d){ d++;} public static void OutFunction(out double d){ d = 8.0;} public static void ParamsFunction(out double res, params double[] input){ res = 0; foreach(double d in input) res += d; } public static void ParameterPassing(){ double myVar1 = 5.0; ValueFunction(myVar1); Console.WriteLine("myVar1: {0:f}", myVar1); // 5.00 double myVar2 = 6.0; RefFunction(ref myVar2); Console.WriteLine("myVar2: {0:f}", myVar2); // 7.00 double myVar3; OutFunction(out myVar3);
49 34 35 36 37 38 39 40 41 Console.WriteLine("myVar3: {0:f}", myVar3); // 8.00 double myVar4; ParamsFunction(out myVar4, 1.1, 2.2, 3.3, 4.4, 5.5); // 16.50 Console.WriteLine("Sum in myVar4: {0:f}", myVar4); } } Program 6.20 Demonstration of parameter passing in C#. The four functions in Program 6.20, ValueFunction, RefFunction, OutFunction, and ParamsFunction demonstrate the different parameter passing techniques of C#. The call-by-value parameter d in ValueFunction has the same status as a local variable in ValueFunction. Therefore, the call of ValueFunction with myVar1 as actual parameter does not affect the value of myVar1. It does, however, affect the value of d in ValueFunction, but this has no lasting effect outside ValueFunction. In a nutshell, this is the idea of call by value parameters. In RefFunction, the formal parameter d, is a ref parameter. The corresponding actual parameter must be a variable. And indeed it is a variable in our sample activation of RefFunction, namely the variable named myVar2. Inside RefFunction, the formal parameter d is an alias of the actual parameter (myVar2). Thus, the incrementing of d actually increments myVar2. Pascal programmers will be familiar with this mechanism (via var parameters) but C programmers have not encountered this before - at least not while programming in C. OutFunction demonstrates the use of an out parameter. out parameters are similar to ref parameters, but only intended for data output from the function. More details of ref and out parameters appears in Section 20.6 and Section 20.7. Notice that in C#, the keywords ref and out must be used both in the formal parameter list and in the actual parameter list. This is nice, because you will hereby spot the parameter passing mode in calls. In most other programming language it is necessary to consult the function definition to find out about the parameter passing modes of the parameters involved. The first parameter of ParamsFunction, res, is an out parameter, intended for passing the sum of the input parameter back to the caller. The formal param parameter, input, must be an array. The similar actual parameters (occurring at the end of the actual parameter list) are inserted as elements into a new array, and bound to the formal parameter input. With this mechanism, an arbitrary number of "rest parameters" (of the same or comparable types) can be handled, and bundled into an array in the C# function, which is being called. Program 6.21 (only on web) shows a class with four methods, all of which are named F. These functions are distinguished by different formal parameters, and by different parameter passing modes. Passing an integer value parameter activates the first F. Passing a double value parameter activates the second F. Passing a double and a bool (both as values) activates the third F. Finally, passing an integer ref parameter activates the fourth F.
50 6.10. Input and output Lecture 2 - slide 16 In C, the functions printf and scanf are important for handling output to the screen, input from the keyboard, and file IO as well. It is therefore interesting for C programmers to find out how the similar facilities work in C#. In C#, the Console class encapsulates the streams known as standard input and standard output, which per default are connected to the keyboard and the screen. The various write functions in the Console class are quite similar to the printf function in C. The Console class' read functions are not as advanced as scanf in C. There is not direct counterpart of the C scanf function in C#. First, in Program 6.22 we will study uses of the Write and WriteLine functions. 1 2 3 4 5 6 7 8 9 10 11 12 13 14 15 16 17 18 19 20 21 22 23 24 25 /* Right, Wrong */ using System; public class OutputDemo { // Placeholder syntax: {<argument#>[,<width>][:<format>[<precision>]]} public static void Main(){ Console.Write( "Argument number only: {0} {1}n", 1, 1.1); // Console.WriteLine("Formatting code d: {0:d},{1:d}", 2, 2.2); Console.WriteLine("Formatting codes d and f: {0:d} {1:f}", 3, 3.3); Console.WriteLine("Field width: {0,10:d} {1,10:f}", 4, 4.4); Console.WriteLine("Left aligned: {0,-10:d} {1,-10:f}", 5, 5.5); Console.WriteLine("Precision: {0,10:d5} {1,10:f5}", 6, 6.6); Console.WriteLine("Exponential: {0,10:e5} {1,10:e5}", 7, 7.7); Console.WriteLine("Currency: {0,10:c2} {1,10:c2}", 8, 8.887); Console.WriteLine("General: {0:g} {1:g}", 9, 9.9); Console.WriteLine("Hexadecimal: {0:x5}", 12); Console.WriteLine("DateTime formatting with F: {0:F}", DateTime.Now); Console.WriteLine("DateTime formatting with G: {0:G}", DateTime.Now); Console.WriteLine("DateTime formatting with T: {0:T}", DateTime.Now); } } Program 6.22 Demonstrations of Console output in C#. Like printf in C, the methods Write and WriteLine accept a control string and a number of additional parameters which are formatted and inserted into the control string. Write and WriteLine actually rely on an underlying Format method in class String. Notice that a there exists many overloaded Write and WriteLine methods in the class Console. Here we concentrate of those that take a string - the control string - as the first parameter. The following call of printf in C printf("x: %d, y: %5.2f, z: %Len", x, y, z); is roughly equivalent to the following call of of WriteLine in C# Console.WriteLine("x: {0:d}, y: {1,5:F2}, z: {2:E}", x, y, z);
51 The equivalence assumes that x is of type int, y is a float, and that z is a long double. The general syntax of a placeholder (the stuff in between pairs of curly braces) in a C# formatting string is {<argument#>[,<width>][:<format>[<precision>]]} where [...] denotes optionality (zero or one occurrence). C programmers do often experience strange and erroneous formatting of output if the conversion characters (such as d, f, and e in the example above) are inconsistent with the actual type of the corresponding variables or expressions (x, y, and z in the example). In C#, such problems are caught by the compiler, and as such they do not lead to wrong results. This is a much needed improvement. Let us briefly explain the examples in line 9-23 of Program 6.22. In line 9 the default formatting is used. This corresponds to the letter code g. In line 10 an error occurs because the code d only accepts integers. The number 2.2 is not an integer. In line 13 we illustrate use of width 10 for an integer and a floating-point number. Line 14 is similar, but it uses left justification (because the width is negative). Line 15 illustrates use of the precision 5 for an integer and a floating-point number. In line 16 we format two numbers in exponential (scientific) notation. In line 17 we illustrate formatting of currencies (kroner or dollars, for instance, dependent on the culture setting). Line 18 corresponds to line 9. Line 19 calls for hexadecimal formatting of a number. One way to learn more about output formatting is to consult the documentation of the static method Format in class System.String. From there, goto Formatting Overview. Later in this material, in Section 31.7, we will see how we can program custom formatting of our own types. The last three example lines in Program 6.22 illustrate formatting of objects of type DateTime in C#. Such objects represent at point in time. In the example, the expression DateTime.Now denotes the current point in time. The output of Program 6.22 is shown in Listing 6.23 (only on web). We now switch from output to input. 1 2 3 4 5 6 7 8 9 10 11 12 13 14 15 16 17 18 19 20 /* Right, Wrong */ using System; public class InputDemo { public static void Main(){ Console.Write("Input a single character: "); char ch = (char)Console.Read(); Console.WriteLine("Character read: {0}", ch); Console.ReadLine(); Console.Write("Input an integer: "); int i = int.Parse(Console.ReadLine()); Console.WriteLine("Integer read: {0}", i); Console.Write("Input a double: "); double d = double.Parse(Console.ReadLine()); Console.WriteLine("Double read: {0:f}", d); } }
52 Program 6.24 Demonstrations of Console input in C#. In Program 6.24 Console.Read() reads a single character. The result returned is a positive integer, or -1 if no character can be read (typically because we are located at the end of an input file). Read blocks until enter is typed. Non-blocking input is also available via the method Console.ReadKey. The expression Console.ReadLine() reads a line of text into a string. The last two, highlighted examples show how to read a text string and, via the Parse method in type int and double, to convert the strings read to values of type int and double respectively. Notice that scanf in C can take hand of such cases. The output of Program 6.24 is shown in Listing 6.25 (only on web). Later in this material we have much more to say about input and output in C#. See Chapter 37 - Chapter 39 . The most important concept, which we will deal with in these chapters, is the various kinds of streams in C#. 6.11. Comments Lecture 2 - slide 17 We finalize our comparison of C and C# with an overview of the different kinds of C# comments. Recall that C only supports delimited comments (although C programmers also often use single-line comments, which actually is used in C++ and in newer versions of C (C99)). C# supports two different kinds of comments and XML variants of these: • Single-line comments like in C++ // This is a single-line comment • Delimited comments like in C /* This is a delimited comment */ • XML single-line comments: /// <summary> This is a single-line XML comment </summary> • XML delimited comments: /** <summary> This is a delimited XML comment </summary> */ XML comments can only be given before declarations, not inside other fragments. XML comments are used for documentation of types. We have much more to say about XML comments in our discussion of documentation of C# programs. Delimited C# comments cannot be nested. 6.12. References [Decimal-floating- point] Decimal Floating Point in .NET http://www.yoda.arachsys.com/csharp/decimal.html
53 7. C# in relation to Java C# is heavily inspired by Java. In this section we will, at an overall level, compare Java and C#. The goal of this relatively short chapter is to inform Java programmers about similarities and differences in relation to C#. It is recommended that you already have familiarized yourself with C# in relation to C, as covered in Chapter 6. In this chapter 'Java' refers to version to 5.0 and 'C#' refers to C# version 2.0. 7.1. Types Lecture 2 - slide 20 In Java, types can be defined by classes and interfaces. This is also possible in C#. In addition, C# makes it possible to define structs and delegates to which there are no counterparts in Java. Java supports sophisticated, class based enumeration types. Enumeration types in C# are simpler, and relative close to enumeration types in C. - This is the short story. After the itemized summary, we will compare the two languages more carefully. The similarities and differences with respect to types can be summarized in this way: • Similarities. • Classes in both C# and Java • Interfaces in both C# and Java • Differences. • Structs in C#, not in Java • Delegates in C#, not in Java • Nullable types in C#, not in Java • Class-like Enumeration types in Java; Simpler approach in C# If you have written a Java program with classes and interfaces, it is in most cases relatively easy to translate the program to C#. In this material we discuss classes in C# in Chapter 11 an interfaces in Chapter 31 There are no structs in Java. Structs in C# are, at the outset, similar to structs in C. (See Section 6.6 for a discussion of C structs versus C# structs). Your knowledge of C structs is a good starting point for working with structs in C#. However, structs in C# are heavily extended compared with C. As an important observation, C# structs have a lot in common with classes. Most important, there are operations (methods) and constructors in both C# classes and C# structs. It is also possible to control the visibility of data and operations in both classes and structs. Structs in C# are value types, in the meaning that instances of structs are contained in variables, and copied by assignments and in parameter passings. In contrast, classes are reference types, in the meaning that instances of classes are accessed by references. Instances of classes are not copied in assignments and in parameter passings. For more details on structs see Chapter 14, in particular Section 14.3. Delegates in C# represents a type of methods. A delegate object can contain a method. More correctly, a delegate can contain a reference to a method. It can actually contain several such references. With use of delegates it becomes possible to treat methods as data, in the same way as instance of classes represent data. We can store a method in a variable of delegate type. We can also pass a method as a parameter to another
54 method. In Java it is not possible pass a method M as a parameter to another method. If we need to pass M, we have to pass an object of class C in which M is a method. Needless to say, this is a complicated and contrived way of using function parameters. - In C#, delegates are the foundation of events (see Chapter 23), which, in turn, are instrumental to programming of graphical user interfaces in C# and certain design patters, not least the Observer (see Section 24.1). For more details on delegate types see Chapter 22. Nullable types relate to value types, such as structs. A variable of a struct type S cannot contain the value null. In contrast, a variable of class type C can contain the value null. The nullable S type, denoted S?, is a variant of S which includes the null value. For more details, see Section 14.9. Enumeration types in both C# and Java allow us to associate symbolic constants to values in an integer type. We demonstrated enumeration types in C# in Section 6.2 of the previous chapter. In Java, an enumeration type is a special form of a class. Each enumerated value is an instance of this special class. Consequently, an enumeration type in Java is a reference type. In C# an enumeration type is a value type. - As a Java-historic remark, enumeration types did not exist in early versions Java. Enumeration types were simulated by a set of final static variables (one final static variable for each value in the enumeration type). The support of enumeration types shifted dramatically in Java 1.5: from almost no support in previous versions to heavy support via special classes. It is remarkable that the Java designers have chosen to use so many efforts on enumeration types! 7.2. Operations Lecture 2 - slide 21 Operations in Java programs are defined by methods that belong to classes. This is our only possibility of defining operations in Java. In C# there exists several additional possibilities. In this material we have devoted an entire lecture 'Data Access and Operations' (from Chapter 17 to Chapter 24) to these issues. The similarities and differences with respect to operations can be summarized in this way: • Similarities: Operations in both Java and C# • Methods • Differences: Operations only in C# • Properties • Indexers • Overloaded operators • Anonymous methods As already mentioned above, C# methods can be defined in both classes and structs. It is not possible to define local methods in methods - neither in C# or Java. The closest possibility in C# is use of anonymous methods, see below. Properties provide for getters and setters of fields (instance variables as well as class variables - static variables) in C#. In Java it is necessary to define methods for getting and setting of instance variables. A single property in C# can either be a getter, a setter, or both. From an application point of view, properties are used as though we access of the variables of a class/object directly (as it would be possible if the variables were public). For more details on properties see Chapter 18.
55 Indexers can be understood as a special kind of properties that define array-like access to objects and values in C#. The notation a[i] and a[i] = x is well-know when the name a denotes an array and if i is an integer. In C# we generalize this notation to arbitrary instances of classes and structs denoted by a. With an indexer we program the meaning of accessing the i'th element of a (a[i]) and the meaning of setting the i'th element of a (a[i] = ...). Indexers are discussed in Chapter 19. In most languages, the operators like +, -, <, and & have fixed meanings, and they only work with the simple types (such as int, bool, char, etc). We reviewed the C# operators in Section 6.7, and as it appears, operators in C, Java, and C# have much in common. In Java, the operators only work for certain predefined types, and you cannot change the meaning of these operators. In C# it is possible to use the existing operator symbols for operations in your own types. (You cannot invent new operator symbols, and you cannot change the precedence nor the associativity of the symbols). We say that the operators in C# can be overloaded. For instance, in C# it would be possible to define the meaning of aBankAccount + aTriangle, where aBankAccout refers to an instance of class BankAccount and aTriangle refers to an instance of class GeometricShape. When the existing operator symbols are natural in relation to our own classes, the idea of overloaded operators is great. In other situations, overloaded operators do not add much value. We are used to a situation where procedures, functions, and methods have names. In both Java and C# we can define named methods in classes. In C#, we can also define named methods in structs. In C# it is possible to define non-named methods as well. As part of arbitrary expressions, we can create a function or method. Such a function or method is called a delegate. As indicated by the name, delegates are closely related to delegate types, as discussed above in Section 7.1. For more details on this topic see Chapter 22 and in particular the program examples of Section 22.1. 7.3. Other substantial differences Lecture 2 - slide 22 In addition to the overall differences in the area of types and operations, as discussed in the two previous sections, there are a number of other substantial differences between Java and C#. The most important of these differences are summarized below. • Program organization • No requirements to source file organization in C# • Exceptions • No catch or specify requirement in C# • Nested and local classes • Classes inside classes are static in C#: No inner classes like in Java • Arrays • Rectangular arrays in C# • Virtual methods • Virtual as well as non-virtual methods in C# In Java there is a close connection between classes and sources files. It is usually recommended that there is only one class per file, but the rule is actually that there can be one public and several non-public classes per Java source file. The proper name of the source file should be identical to the name of the public class. Likewise, there is a close connection between packages and directories. A package consists of the classes whose source files belong to a given directory. - The organization of C# programs is different. In C# there is no connection between the names of classes and the name of a C# source files. A source file can contain
56 several classes. Instead of packages, C# organizes types in namespaces and assemblies. Namespaces are tangible, as they are represented syntactically in the source files. A namespace contains types and/or recursively other (nested) namespaces. Assemblies are produced by the C# compiler. Assemblies represent a 'packaging' mechanism, and assemblies are almost orthogonal to both the file/directory organization and the namespace organization. As it appears, C# uses a much more complex - and presumably more powerful - program organization than Java. We discuss organization of C# programs in Chapter 15 at the end of the lecture about Classes. Java supports both checked exceptions and unchecked exceptions, but it is clearly the ideal of Java to work with checked exceptions. (Unchecked exception is also known as RuntimeExceptions). It is natural to ask about the difference. A checked exception must either be handled in the method M in which is occurs, or the method M must declare that an activation of M can cause an exception (of a given type) which callers of M need to care about. This is sometimes called the catch or specify principle. The most visible consequence of this principle is that Java methods, which do not handle exceptions, must declare that they throws specific types of exceptions. Thus, the signature of Java methods include information about the kind errors they may cause. - C# does not adhere to the catch or specify principle. In C# all exceptions correspond to the so-called RuntimeExceptions in Java. Exceptions in C# are discussed in Chapter 36. Java is stronger than C# with respect to class nesting. Both Java and C# support static nested classes (using Java terminology). In this setup, the innermost class can only refer to static members of the outer class. In contrast to C#, Java also supports inner classes. An instance of an inner class has a reference the instance of the outer class. Inner classes have implications to the object structure. Static nested classes have no such implications. In addition, Java supports local classes that are local to a method, and anonymous classes which are instantiated on the fly. C# does not. In both Java and C# it is possible to work with arrays in which the elements themselves are arrays, and so on recursively. Using C# terminology, this is called jagged arrays, because it facilitates multi-dimensional arrays of irregular shapes. In contrast to Java, C# in addition supports rectangular arrays, in which all rows are of equal lengths. We have already discussed jagged and rectangular arrays in our comparison with C in Section 6.4. Virtual methods relate to redefinition of methods in class hierarchies (inheritance). In Java all methods are virtual. What this means (for C#) is explained in details in Section 28.14. In C# it is possible to have both virtual and non-virtual methods. This complicates the understanding of inheritance quite a bit. There are, however, good reasons to support both. In Section 32.9 we will review a prominent example where the uniform use of virtual methods in Java runs into trouble.
57 8. C# in relation to Visual Basic This chapter is intended for students who have a background in imperative Visual Basic programming. The goal of this chapter is to make the transfer from Visual Basic to C# as easy as possible. We do that by showing and discussing a number of equivalent Visual Basic and C# programs. In this chapter Visual Basic programs are shown on a blue background, and C# programs are shown on a green background. The discussion of equivalent Visual Basic and C# program is textually organized in between the two programs. In this chapter 'Visual Basic' refers to the version of Visual Basic supported by the .Net Framework version 2.0. In this edition the comparison of Visual Basic and C# is only available in the web version of the material.
58
59 9. C# Tools and IDEs Many potential C# programmers will be curious about tools and environments (IDEs) for C# programming. Therefore we will, briefly, enumerate the most obvious possibilities. We will mention possibilities in both Windows and Unix. 9.1. C# Tools on Windows Lecture 2 - slide 41 Windows is the primary platform of C#. This is due to the fact that C# is a Microsoft language. Microsoft supplies several different set of tools that support the C# programmer: • .NET Framework SDK 3.5 • "Software Development Kit" • Command line tools, such as the C# compiler csc • Visual C# Express • IDE - An Integrated Development Environment • A C# specialized, free version of Microsoft Visual Studio 2008 • Visual Studio • IDE - An Integrated Development Environment • The professional, commercial development environment for C# and other programming languages The .Net Standard Development Kit (SDK) supports the raw tools, including a traditional C# compiler. Although many programmers today use contemporary IDEs such as Visual Studio or Eclipse, I find it important that all programmers understand the basic and underlying activation of the compiler. The Visual C# Express edition is a free (gratis) variant of Visual Studio, explicitly targeted at students and other newcomers to C#. There are video resources [cs-video-resources] available for getting started with C# 2008 Express. The experience you get with Visual C# Express can immediately be transferred to Visual studio. The two IDEs are very similar. Visual Studio is the commercial flagship environment of C# programming. You will have to buy Visual Studio if you want to use it. Notice, however, that many universities have an academic alliance with Microsoft that provides access to Visual Studio and other Microsoft software. 9.2. C# Tools on Unix Lecture 2 - slide 42 The MONO project provides tools for C# development on Linux, Solaris, Mac OS X, Unix in general, and interesting enough also on Windows. MONO is the choice if you swear to the Linux platform. Let us summarize the MONO resources, available to the Linux people:
60 • MONO • An open source project (sponsored by Novell) • Corresponds the the Microsoft SDK • Based on ECMA specifications of C# and the Common Language Infrastructure (CLI) Virtual Machine • Command line tools • Compilers: mcs (C# 1.5) and gmcs (C# 2.0) • MONO on cs.aau.dk • Mono is already installed on the application servers at cs.aau.dk • MONO on your own Linux machine • You can install MONO yourself if you wish • MonoDevelop • A GNOME IDE for C# For good reasons, the MONO CLI is not as updated as the .NET solutions. MONO will most probably always be at least one step behind Microsoft. 9.3. References [Cs-video-resources] C# Express Video Lectures http://msdn.microsoft.com/en-us/beginner/bb964631.aspx
61 10. Classes: An Initial Example This is the first chapter about classes. It is also the first chapter in the first lecture about classes. Our basic coverage of classes runs until Chapter 13. 10.1. The Die Class Lecture 3 - slide 2 In this section we encounter a number of important OOP ideas, observations, and principles. We will very briefly preview many of these in a concrete way in the context of a simple initial class. Later we will discuss the ideas in depth. We use the example of a die, which is the singular form of "dice", see Program 10.1. One of the teaching assistants in 2006 argued that the class Die is a sad beginning of the story about classes. Well, it is maybe right. I think, however, that the concept of a die is a good initial example. So we will go for it! On purpose, we are concerned with use of either the singular or the plural forms of class names. The singular form is used when we wish to describe and program a single phenomenon/thing/object. The plural form is most often used for collections, to which we can add or delete (singular) objects. Notice that we can make multiple instances of a class, such as the Die class. In this way we can create a number of dice. The class Die in Program 10.1 is programmed in C#. We program a die such that each given die has a fixed maximum number of eyes, determined by the constant maxNumberOfEyes. The class encapsulates the instance variables: numberOfEyes, randomNumberSupplier, and the constant maxNumberOfEyes. They are shown in line 4-6. The instance variable are intended to describe the state of a Die object, which is an instance of the Die class. The instance variable numberOfEyes is the most important variable. The variable randomNumberSupplier makes it possible for a Die to request a random number from a Random object. After the instance variables comes a constructor. This is line 8-11. The purpose of the constructor is to initialize a newly create Die object. The constructor makes the random number supplier, which is an instance of the System.Random class. The constructor happens to initialize a normal six-eyed die. The expression DateTime.Now.Ticks returns a long integer, which we type cast to an int. The use of an unchecked context implies that we get an int out of the cast, even if the long value does not fit the range of int. (The use of unchecked eliminates overflow checking). The value assigned to numberOfEyes is achieved by tossing the die once via activation of the method NewTossHowManyEyes. The call of NewTossHowManyEyes on line 10 delivers a number between 1 and 6. In this way, the initial state - the number of eyes - of a new die is random. Then follows three operations. In most object-oriented programming languages the operations are called methods. The Toss operation modifies the value of the numberOfEyes variable, hereby simulating the tossing of a die. The Toss operation makes use of a private method called NewTossHowManyEyes, which interacts with the random number supplier. The NumberOfEyes method just accesses the value of the instance variable numberOfEyes. The ToString method delivers a string, which for instance can by used if we decide "to print a Die object". The ToString method in class Die overrides a more general method of the same name. We notice that the instance variables are private and that the constructors and methods are public. Private instance variables cannot be used/seen from other classes. This turns out to be important for us, see Section 11.4.
62 1 2 3 4 5 6 7 8 9 10 11 12 13 14 15 16 17 18 19 20 21 22 23 24 25 26 27 28 using System; public class Die { private int numberOfEyes; private Random randomNumberSupplier; private const int maxNumberOfEyes = 6; public Die(){ randomNumberSupplier = new Random(unchecked((int)DateTime.Now.Ticks)); numberOfEyes = NewTossHowManyEyes(); } public void Toss(){ numberOfEyes = NewTossHowManyEyes(); } private int NewTossHowManyEyes (){ return randomNumberSupplier.Next(1,maxNumberOfEyes + 1); } public int NumberOfEyes() { return numberOfEyes; } public override String ToString(){ return String.Format("[{0}]", numberOfEyes); } } Program 10.1 The class Die. Below, in Program 10.2 we see a client of class Die, which creates and repeatedly tosses three dice. A client of a Die uses a die via a number of Die references. In Program 10.2 d1, d2, and d3 are references to Die objects. Section 10.2 is about clients and servers. When we run the program we get the output shown in Listing 10.3 1 2 3 4 5 6 7 8 9 10 11 12 13 14 15 16 17 18 19 using System; class diceApp { public static void Main(){ Die d1 = new Die(), d2 = new Die(), d3 = new Die(); for(int i = 1; i < 10; i++){ Console.WriteLine("Die 1: {0}", d1); // Implicitly Console.WriteLine("Die 2: {0}", d2); // calls Console.WriteLine("Die 3: {0}", d3); // ToString in Die d1.Toss(); d2.Toss(); d3.Toss(); } } } Program 10.2 A program that tosses three dice. 1 2 3 4 Die 1: [1] Die 2: [1] Die 3: [1] Die 1: [2]
63 5 6 7 8 9 10 11 12 13 14 15 16 17 18 19 20 21 22 23 24 25 26 27 Die 2: [2] Die 3: [2] Die 1: [3] Die 2: [3] Die 3: [3] Die 1: [4] Die 2: [4] Die 3: [4] Die 1: [3] Die 2: [3] Die 3: [3] Die 1: [2] Die 2: [2] Die 3: [2] Die 1: [3] Die 2: [3] Die 3: [3] Die 1: [2] Die 2: [2] Die 3: [2] Die 1: [1] Die 2: [1] Die 3: [1] Listing 10.3 Sample program output. The output shown in Program 10.1 seems suspect. Why? Take a close look. We will come back to this problem in Exercise 3.7, which we encounter in Section 11.10. (At that location in the material we have learned enough to come up with a good solution to the problem). The Die class is a template or blueprint from which we can create an arbitrary number of die objects The term blueprint is often used as a metaphor of a class (seen in relation to objects). The word 'blueprint' is, for instance, used for an architect's drawing of a house. In general, a blueprint refers to a detailed plan for something that, eventually, is going to be constructed. The blueprint can be used as a prescription from which craftsmen can actually built a house. The class Die from Program 10.1 is only useful if we apply it in some context where dice are actually needed. We use dice in various games. In Exercise 3.1 we propose that you make a simple Yahtzee game, with use of five dice (five instances of the Die class). Exercise 3.1. Yahtzee Write a very simple Yahtzee program based on the Die class. Yahtzee is played by use of five dice that are tossed simultaneously. The players are supposed to fill out a table of results. The table should allow registration of ones, ..., sixes, three-of-a-kind, four-of-a-kind, full-house, small-straight, large-straight, yahtzee, and chance. See wikipedia for more details and inspiration. Be sure to use the version of the Die class that shares the Random class with the other dice. This version of the Die class is produced in another exercise in this lecture. This program is for a single player, who tosses the five dice repeatedly. Each time the five dice are tossed a table cell is filled. No re-tossing is done with less than five dice. The first category that fits a given toss is
64 filled. (Try yahtzee first, Chance last). Keep it simple! You may consider to write a YahtzeeTable class which represents the single user table used to register the state of the game. Consider the interface and operations of this class. 10.2. Clients and Servers Lecture 3 - slide 3 The names client and server is often used when we are concerned with computers. A server denominate a computer that provides services to its surrounding. It could be a file server or a web server. In the context of object-oriented programming the words client and server will be used as object roles. In a given situation an object plays a given role. An object x is called a client of y if x makes use of the services (operations) provided by y. An object y is called a server of x if it provides services (operations) to x. In a dice game the objects act, in turn, as client and servers. Figure 10.1 Interacting Game, Die, and Random objects. The Game object is a client of the Die objects, which in turn are clients of the Random objects. Figure 10.1 shows a single game object, three die objects, and three random objects. The client-server roles of these objects can be summarized as follows: • The Game object is a client of a number of Die objects • A given Die object is a client of a Random object • In turn, a Die object act as a server for the Game object, and Random objects act as servers for Die objects In the figure, the arrows are oriented from clients to servers. 10.3. Message Passing Lecture 3 - slide 4 A client interacts with its connected servers via message passing. As a metaphor, we pretend that objects communicate by means of message passing
65 Message passing actually covers a procedure call. Procedure calling is a technical matter. Message passing is an everyday term that covers some communication between one person and another, for instance via postal mail. In some setups, message passing also involves the receiving of a reply. As already stressed earlier, use of metaphors is very important for getting new ideas, and for raising the level of abstraction. In Figure 10.2 we illustrate message passing in between a game object, three dice, and three random objects. Figure 10.2 Interacting Game, Die, and Random objects In some versions of this teaching material you will be able to animate the figure, such that you can actually see the acts of passing a message and receiving a reply. Before sending a message, the sending object is emphasized. When emphasized, we say that the object is the current object. In a single threaded program execution, there is always a single current object. This is the object, which most recently received a message. In football, message passing corresponds to passing the ball from player to player. At some level of abstraction, there is always a single player - 'the ball keeper' - who posses the ball. He or she corresponds to the current object. Here follows some general remarks about message passing. • We often prefer to think of the interaction between objects as message passing. • The receiver of an object locates a procedure or a function which can answer the message - method lookup • A result may be sent back from the receiver to the sender of the message. In the next chapter we will dive into the details of the class concept.
66
67 11. Classes The most important programming concept in object-oriented programming is the class. The programmer writes the classes in his or her source program. At run time, classes are used as blueprints/templates for instantiation of classes (creation of objects). In this chapter we will explore the concept of classes. This will be a relatively long journey through visibility issues, representation independence, instance and class variables, instance and class methods, and the notation of the current object. At the end of the chapter, in Section 11.14 we will discuss the important differences between classes and objects. 11.1. Classes Lecture 3 - slide 6 The single most important aspect of classes is encapsulation. As a matter of fact, I believe that the most important achievement of object-oriented programming is the idea of systematic encapsulation of variables and operations that belong together. A class is a construct that surrounds a number of definitions, which belong together. Some of these definitions can be seen from the outside, whereas others are only relevant seen from the inside. Here follows a short 'definition' of a class: A class encapsulates data and operations that belong together, and it controls the visibility of both data and operations. A class can be used as a type in the programming language The parts of a class which are visible from other classes forms the client interface of the class. In the figure, the interface of a class is drawn on the border of the box that surrounds the variables and operations. Thus, in the figure, only a subset of the operations - Op1, Op2, Op3, and Op4 - form the client interface of the class. All data parts are kept inside the class, and they cannot be directly used from other classes. Figure 11.1 A class and its interface to other classes. The interface is often called the client interface. In this illustration the operations Op1, Op2, Op3, and Op4 form the client interface of the class. The notion of interfaces between program parts - program building blocks - is important in general. In this section we talk about the interfaces between classes. It turns out that a class may have several different interfaces. The interface we care most about right now is called the client interface of a class C. There is another interface between C and classes that extends or specializes C. We have more to say about this interface in Section 27.2.
68 Exercise 3.2. Time Classes This is not a programming exercise, but an exercise which asks you to consider data and operations of classes related to time. Time is very important in our everyday life. Therefore, many of the programs we write somehow deal with time. Design a class PointInTime, which represents a single point in time. How do we represent a point in time? Which variables (data) should be encapsulated in the class? Design the variables in terms of their names and types. Which operations should constitute the client interface of the class? Design the operations in terms of their names, formal parameters (and their types), and the types of their return values. Can you imagine other time-related classes than PointInTime? Avoid looking at the time-related types in the C# library before you solve this exercise. During the course we will come back the time related types in C#. 11.2. Perspectives on classes Lecture 3 - slide 7 In this section we discuss different ways to understand classes relative to already established understandings. You may safely skip this section if such discussion does not appeal to you. Depending on background and preferences, different programmers may have different understandings of classes. Here follows some of these. • Different perspectives on classes: • An abstract datatype • A generalization of a record (struct) • A definition procedure • A module Types and abstract datatypes are topics of general importance in computer science. But it is probably fair to state that the topic of types is of particular importance in the theoretical camp. Abstract datatypes have been studied extensively by mathematically inclined computer scientists, not least from an interest of specification. Boiled down to essence, a type can be seen as a set of values that possess a number of common properties. An abstract datatype is a set of such values and a set of operations on these values. The operations make the values useful. When we talk about abstract data types, the data details of the values in the type are put behind the scene. In most imperative programming language, including Pascal and C, a record (a struct in C) is a data structure that groups data together. We often say that data parts are aggregated in a record. Records are called structs in C. It is a natural and nice idea to organize the operations of the grouped data together with the data
69 themselves; In other words, to 'invite' the operations on records/structs into the record itself. In C#, structs are used as a "value variant" of a class. This is the topic in Section 14.1. Abstractions can be formed on top of expressions. This leads to the functions. In the same way, procedures are abstractions of commands/statements. A call of a function is itself an expression, and a call of a procedure is a command/statement. From a theoretical point of view it is possible to abstract other syntactic categories as well, including a set of definitions. Such abstractions have been called definition procedures [Tennent81]. Classes can therefore be seen as definition procedures. Following the pattern from above, the activation of a definition procedure leads to definitions. It is not obvious, however, if multiple activations of a definition procedure is useful. Finally, a module is an encapsulation, which does not act as a type. A module may, on the other hand, contain a type (typically a struct) that we treat as an abstract datatype. See Section 2.3 for our earlier discussion of modules. 11.3. Visibility - the Iceberg Analogy Lecture 3 - slide 8 As stated in Section 11.1 visibility-control is an important aspect of classes. Inspired by Bertrand Meyers seminal book Object-oriented software construction, [Meyer88], we will compare a class with an iceberg. A class can be seen as an iceberg: Only a minor part of it should be visible from the outside. The majority of the class details should be hidden. Figure 11.2 An Iceberg. Only a minor fraction of the iceberg is visible above water. In the same way, only a small part of the details of a class should be visible from other classes. Clients of a class C cannot directly depend on hidden parts of C. Thus, the invisible parts in C can more easily be changed than the parts which constitute the interface of the class.
70 Visibility-control is important because it protects the invisible parts of a class from being directly accessed from other classes. No other parts of the program can rely directly on details, which they cannot access. If some detail (typically a variable) of a class cannot be seen outside the class, it is much easier to modify this detail (e.g. replace the variable by a set of other variables) at a later point in time. You may ask why we would like to modify details of our class. We can, of course, hope that we do not need to. But if the program is successful, and if it is alive many years ahead, it is most likely that we need to change it eventually. Typically, we will have to extend it somehow. It is also typical that we have to change the representation of some of our data. It is very costly if these changes cause a ripple effect that calls for many modifications throughout the whole program. It is very attractive if we can limit the area of the program that needs attention due to the modification. A programmer who use a programming language that guaranties a given visibility control policy is in a good position to deal with the consequences of the mentioned program modifications. 11.4. Visible and Hidden aspects Lecture 3 - slide 9 Let us now be more concrete about class visibility. In this section we will describe which aspect to keep as class secrets, and which aspect to spread outside the class. • Visible aspects • The name of the class • The signatures of selected operations: The interface of the class • Hidden aspects • The representation of data • The bodies of operations • Operations that solely serve as helpers of other operations The visible aspects should be kept at minimum level. The class name must be visible. The major interface of the class is formed by the signatures of selected operations. A signature of a method is the name of the method together with the types of the method parameters, and the type of the value returned by the method. It is always recommended to keep the representation of data secret. It is almost always wrong to export knowledge about the instance variables of a class. Clients of the class should not care about - and should not know - data details. If we reveal data details it is very hard to change the data presentation at a later point in time. Let us stress again that it is a very typical modification of a program to alter the representation of data. The bodies of the operations (the operation details beyond the operation signature) are hidden because operations are themselves abstractions (of either expressions or command). Finally, some operations serve as helper operations in order to encourage internal reuse within the class, and in order to prevent the operations of the class to become too large. Such helper operations should also be invisible to the clients of the class. In Program 11.1 we show and emphasize the visible parts of the Die class from Program 10.1. We have dimmed the aspects of the Die class which are invisible to client classes (the aspects 'below the surface' relative to Figure 11.2).
71 1 2 3 4 5 6 7 8 9 10 11 12 13 14 15 16 17 18 19 20 21 22 23 24 25 26 27 28 using System; public class Die { private int numberOfEyes; private Random randomNumberSupplier; private const int maxNumberOfEyes = 6; public Die(){ randomNumberSupplier = new Random(unchecked((int)DateTime.Now.Ticks)); numberOfEyes = NewTossHowManyEyes(); } public void Toss(){ numberOfEyes = NewTossHowManyEyes(); } private int NewTossHowManyEyes (){ return randomNumberSupplier.Next(1,maxNumberOfEyes + 1); } public int NumberOfEyes() { return numberOfEyes; } public override String ToString(){ return String.Format("[{0}]", numberOfEyes); } } Program 11.1 The class Die - aspects visible to clients emphasized. Some programming language enforce that all instance variables of a class are hidden. Smalltalk [Goldberg83] is one such language. C# is not in this category, but we will typically strive for such discipline in the way we program in C#. 11.5. Program modification - the Fire Analogy Lecture 3 - slide 10 In continuation of the iceberg analogy, which illustrated visibility issues, we will here illustrate program modification issues by an analogy to the spread of fire. A minor modification of a program may spread as a fire throughout the program. Such a fire may ruin most of the program in the sense that major parts of the program may need to be reprogrammed.
72 Figure 11.3 A house - with firewalls - on fire. The fire is not likely to spread to other apartments because of the solid firewalls. The use of firewalls prevents the spread of a fire. Similarly, encapsulation and visibility control prevent program modifications from having global consequences. In large buildings, firewalls prevent a fire to destroy more than a single part of a building. Similarly, fire roads in forest areas are intended to keep fires to localized regions of the forest. 11.6. Representation Independence Lecture 3 - slide 11 Let us now coin an important OOP programming principle: The principle of representation independence. Representation independence: Clients of the class C should not be affected by changes of C's data representation In essence, this is the idea we have already discussed in Section 11.4 and Section 11.5. Now we have name for it! Below, in Program 11.2 we will show a class that is vulnerable in relation to the principle of representation independence. The class is written in C#. The class Point in Program 11.2 reveals its data representation to clients. This is because x and y are public. In Program 11.2 x and y are parts of the client interface of class Point. 1 2 3 4 5 6 7 8 9 10 11 12 13 14 15 16 17 // A very simple point with public data representation. // NOT RECOMMENDED because of public data representation. using System; public class Point { public double x, y; public Point(double x, double y){ this.x = x; this.y = y; } public void Move(double dx, double dy){ x += dx; y += dy; } public override string ToString(){
73 18 19 20 return "(" + x + "," + y + ")"; } } Program 11.2 A Point class with public instance variables - NOT Recommended . The class shown below in Program 11.3 is a client of Point. It prompts the user for three points that we will assume form the shape of a triangle. In line 24-31 we calculate the circumference of this triangle. In these calculations we use the x and y coordinates of points directly, and quite heavily! 1 2 3 4 5 6 7 8 9 10 11 12 13 14 15 16 17 18 19 20 21 22 23 24 25 26 27 28 29 30 31 32 33 34 35 36 37 38 39 // A client of Point that instantiates three points and calculates // the circumference of the implied triangle. using System; public class Application{ public static Point PromptPoint(string prompt){ double x, y; Console.WriteLine(prompt); x = double.Parse(Console.ReadLine()); y = double.Parse(Console.ReadLine()); return new Point(x,y); } public static void Main(){ Point p1, p2, p3; double p1p2Dist, p2p3Dist, p3p1Dist, circumference; p1 = PromptPoint("Enter first point"); p2 = PromptPoint("Enter second point"); p3 = PromptPoint("Enter third point"); p1p2Dist = Math.Sqrt((p1.x - p2.x) * (p1.x - p2.x) + (p1.y - p2.y) * (p1.y - p2.y)); p2p3Dist = Math.Sqrt((p2.x - p3.x) * (p2.x - p3.x) + (p2.y - p3.y) * (p2.y - p3.y)); p3p1Dist = Math.Sqrt((p3.x - p1.x) * (p3.x - p1.x) + (p3.y - p1.y) * (p3.y - p1.y)); circumference = p1p2Dist + p2p3Dist + p3p1Dist; Console.WriteLine("Circumference: {0} {1} {2}: {3}", p1, p2, p3, circumference); Console.ReadLine(); } } Program 11.3 A Client of Point. Now assume that the programmer of class Point changes his or her mind with respect to the representation of points. Instead of using rectangular x and y coordinates the programmer shifts to polar coordinates. This is a representation of points that uses an angle between 0 and 2 pi, and a radius. The motivation behind the shift of representation may easily be that some other programmers request a rotation operation of the class Point. It is easy to rotate a "polar point". This leads to a new version of class Point, as sketched in Program 11.4. We are, of course, interested in the survival of Program 11.3 and other similar program. Imagine if there exists thousands of similar code lines in other classes!.
74 1 2 3 4 5 6 7 8 9 10 11 12 13 14 15 16 17 18 19 20 21 22 23 24 25 26 27 28 // A very simple class point with public data representation. // An incomplete sketch. // This version uses polar representation. // NOT RECOMMENDED because of public data representation. using System; public class Point { public double radius, angle; public Point(double x, double y){ radius = ... angle = ... } public void Move(double dx, double dy){ radius = ... angle = ... } public void Rotate(double angle){ this.angle += angle; } public override string ToString(){ ... } } Program 11.4 A version of class Point modified to use polar coordinates - NOT Recommended. We will not solve the rest of the problem at this point in time. We leave the solution as challenge to you in Exercise 3.3. In the lecture, which I give based on these notes, I am likely discuss additional elements of a good solution in C#. Encapsulated data should always be hidden and private within the class Exercise 3.3. Public data representation It is recommended that you use the web edition of the material when you solve this exercise. The web edition has direct links to the class source files, which you should use as the starting point. In the accompanying Point and Point client classes the data representation of Point is available to the client class. This may be tempting for the programmer, because we most likely wish to make the x and y coordinates of points available to clients. Why is it a bad solution? It is very important that you can express and explain the problem to fellow programmers. Give it a try! Now assume that we are forced (by the boss) to change the data representation of Point. As a realistic scenario, we may introduce polar coordinates instead of the rectangular x and y coordinates. Recall that polar coordinates consist of a radius and an angle (in radians or degrees). What will happen to client classes, such as this client, when this change is introduced? Is it an easy or a difficult modification to the given client class? Imagine that in a real-life situation we can have thousands
75 of similar lines of code in client programs that refer to x and y coordinates. Rewrite selected parts of class Point such that the client "survives" the change of data representation. In your solution, the instance variables should be private in the Point class. Are you able to make a solution such that the client class should not be changed at all? In the web edition we link to special version of class Point, which contains method for conversions between rectangular and polar coordinates. We anticipate that these methods are useful for you when you solve this exercise. The client class of Point calculates the distances between pairs of points. This is not a good idea because far too many details occur repeatedly in the client. Suggest a reorganization and implement it. 11.7. Classes in C# Lecture 3 - slide 12 In this and the following sections we will study classes in C#, instance variables, instance methods, class variables (static variables), and class methods (static methods). The syntactic composition of classes is as follows. class-modifiers class class-name{ variable-declarations constructor-declarations method-declarations } Syntax 11.1 The syntactic composition of a C# Class. This is not the whole story. There are other members than variables, constructors and methods. Notice also that it is NOT required that variables come before constructors and that constructors come before methods. Notice, however, that the full story is somewhat more complicated. Inheritance is not taken into account, and only a few class members are listed. In addition, the order of the class members is not constrained as suggested by Syntax 11.1. The default visibility of members in a class is private. It means that if you do not provide a visibility modifier of a variable or a method, the variable or method will be private. This is unfortunate, because a missing visibility modifier typically signals that the programmer forgot to decide the visibility of the member. It would have been better design of C# to get a compilation error or - at least - a warning. The following gives an overview of different kinds of members - variables and methods - in a class: • Instance variable • Defines state that is related to each individual object • Class variable • Defines state that is shared between all objects • Instance method • Activated on an object. Can access both instance and class variables • Class method
76 • Accessed via the class. Can only access class variables In the following four sections - from Section 11.8 to Section 11.11 - we will study instance variables, instance methods, class variables, and class methods in additional details. This is long journey! You will be back on track in Section 11.12. 11.8. Instance Variables Lecture 3 - slide 14 All objects of a particular class have the same set of variables. Each object allocates enough memory space to hold its own set of variables. Thus, the values of these variables may vary from one instance (object) to another. Therefore the variables are known as instance variables. An instance variable defines a piece of data in the class. Each object, created as an instance of the class, holds a separate copy of the instance variables. Unfortunately, the terminology varies a lot. Instance variables are officially known as fields in C#. Instance variables are, together with constants, known as data members. The term member is often used for all declarations contained in a class; This covers data members and function members (constructors, methods, properties, indexers, overloaded operators, and others). Some object-oriented programming languages (Eiffel, for instance) talk about attributes instead of instance variables. (In C#, attributes refer to an entirely different concept, see Section 39.6). Below, in Program 11.5, we show an outline of a BankAccount class programmed in C#. The methods are not shown in this version of the class. The class has three instance variables, namely interestRate (of type double), owner (of type string), and balance (of type decimal, a type often used to hold monetary data). In addition the class has three constructors and a number methods, which are not shown here. 1 2 3 4 5 6 7 8 9 10 11 12 13 14 15 16 17 18 19 20 21 22 23 using System; public class BankAccount { private double interestRate; private string owner; private decimal balance; public BankAccount(string owner) { this.interestRate = 0.0; this.owner = owner; this.balance = 0.0M; } public BankAccount(string owner, double interestRate) { this.interestRate = interestRate; this.owner = owner; this.balance = 0.0M; } public BankAccount(string owner, double interestRate, decimal balance) {
77 24 25 26 27 28 29 30 31 this.interestRate = interestRate; this.owner = owner; this.balance = balance; } // Remaining methods are not shown here } Program 11.5 Instance variables in a sketch of the class BankAccount. In the BankAccountClient class in Program 11.6 we create three different BankAccount objects. The variables a1, a2, and a3 hold references to these objects. 1 2 3 4 5 6 7 8 9 10 11 12 13 14 15 16 17 18 19 using System; public class BankAccountClient { public static void Main(){ BankAccount a1 = new BankAccount("Kurt", 0.02), a2 = new BankAccount("Bent", 0.03), a3 = new BankAccount("Thomas", 0.02); a1.Deposit(100.0M); a2.Deposit(1000.0M); a2.AddInterests(); a3.Deposit(3000.0M); a3.AddInterests(); Console.WriteLine(a1); // 100 kr. Console.WriteLine(a2); // 1030 kr. Console.WriteLine(a3); // 3060 kr. } } Program 11.6 Creation of three bank accounts. Following the calls of the Deposit and AddInterests operations the three objects can be depicted as shown in Figure 11.4. Please make sure that understand states of the object (the values of the individual instance variables of each of the objects). The output of the program is shown in Figure 11.4. Listing 11.7 (only on web). Figure 11.4 Three objects of class BankAccount, each holding three instance variables interestRate, owner, and balance. The values of variables are determined by the bank account transactions that we programmed in the class BankAccountClient. The state of the variables is shown relative to the three WriteLine calls. Exercise 3.4. How private are private instance variables? The purpose of this exercise is to find out how private private instance variables are in C#.
78 Given the BankAccount class. Now modify this class such that each bank account has a backup account. For the backup account you will need a new (private) instance variable of type BankAccount. Modify the Withdraw method, such that if there is not enough money available in the current account, then withdraw the money from the backup account. As an experiment, access the balance of the backup account directly, in the following way: backupAccount.balance -= ... Is it possible to modify the private state of one BankAccount from another BankAccount? Discuss and explain your findings. Are you surprised? 11.9. Instance Methods Lecture 3 - slide 15 Instance methods are intended to work on (do computations on) the instance variables of an object in a class. An instance method M must always be activated on an instance (an object) of the class to which M belongs. Activating or calling an instance method is often thought of as message passing (see Section 2.1). The object, on which the method is activated, is called the receiver of the message. The callee (the object from which the message is sent) is - quite naturally - called the sender. An instance method is an operation in a class that can read and/or modify one or more instance variables. • An instance method M in a class C • must be activated on an object which is an instance of C • is activated by object.M(...) from outside C • is activated by this.M(...) or just M(...) inside C • can access all members of C Notice that an instance method can access all instance variables of a class, including the private ones. An instance method can also access class variables (see Section 11.10). The form object.M(...) must be used if a method M is activated on an object different from the current object. The short form M(...) can be used in case M is activated on the current object. It is, however, often more clear to write this.M(...) With this notation we are explicit about the receiver of the message; Also, with the notation this.M(...), we use dot notation consistently whenever we activate an instance method. The choice between M(...) and this.M(...) depends on the chosen coding style. For more details on this see Section 11.15. Conceptually you may imagine that each individual object has its own instance methods, in the same way as we in Section 11.8 argued that each individual object has its own instance variables. In reality, however, all instances of a given class can share the instance methods. Program 11.8 shows a version of the BankAccount class in which the instance methods are highlighted. The method LogTransaction relies on the enumeration type AccountTransaction defined just before the class itself.
79 In the web-version of the material we show a version of class BankAccount with a new instance method LogTransaction. This method is used as the starting point of Exercise 3.5. Exercise 3.5. The method LogTransaction in class BankAccount In the accompanying BankAccount class we have sketched and used a private method named LogTransaction. Implement this private method and test it with the BankAccount client class. Exercise 3.6. Course and Project classes In this exercise you are asked to program three simple classes which keep track of the grading of a sample student. The classes are called BooleanCourse, GradedCourse, and Project. A BooleanCourse encapsulates a course name and a registration of passed/not passed for our sample student. A GradedCourse encapsulates a course name and the grade of the student. For grading we use the Danish 7-step, numerical grades 12, 10, 7, 4, 2, 0 and -3. You are also welcome use the enumeration type ECTSGrade from an earlier exercise. The grade 2 is the lowest passing grade. In both BooleanCourse and GradedCourse you should write a method called Passed. The method is supposed to return whether our sample student passes the course. The class Project aggregates two boolean courses and two graded courses. You can assume that a project is passed if at least three out of the four courses are passed. Write a method Passed in class Project which implements this passing policy. Make a project with four courses, and try out your solution. In this exercise you are supposed to make a simple and rather primitive solution. We will come back to this exercise when we have learned about inheritance and collection classes. 11.10. Class Variables Lecture 3 - slide 16 A class variable in a class C is shared between all instances (objects) of C. In addition, a class can be used even in the case where there does not exist any instance of C at all. Some classes are not intended to be instantiated. Such classes act as modules, cf. our discussion of modules in Section 2.3. A class variable belongs to the class, and it is shared among all instances of the class. • Class variables • are declared by use of the static modifier in C# • may be used as global variables - associated with a given class • do typically hold meta information about the class, such as the number of instances
80 In Program 11.10 we show a new version of the BankAccount class, in which there is a private, static variable nextAccountNumber of type long. When we make a BankAccount object, we give it a unique account number. The output, which is shown in Listing 11.12, is produced by a client similar to Program 11.6. The program output reveals the effect of the static variable nextAccountNumber. 1 2 3 4 5 6 7 8 9 10 11 12 13 14 15 16 17 18 19 20 21 22 23 24 25 26 27 28 29 30 31 32 33 34 using System; public class BankAccount { private double interestRate; private string owner; private decimal balance; private long accountNumber; private static long nextAccountNumber = 0; public BankAccount(string owner) { nextAccountNumber++; this.accountNumber = nextAccountNumber; this.interestRate = 0.0; this.owner = owner; this.balance = 0.0M; } public BankAccount(string owner, double interestRate) { nextAccountNumber++; this.accountNumber = nextAccountNumber; this.interestRate = interestRate; this.owner = owner; this.balance = 0.0M; } // Some methods not shown in this version public override string ToString() { return owner + "'s account, no. " + accountNumber + " holds " + + balance + " kroner"; } } Program 11.10 The sketch of class BankAccount with a class variable. 1 2 3 Kurt's account, no. 1 holds 100 kroner Bent's account, no. 2 holds 1030 kroner Thomas's account, no. 3 holds 3060 kroner Listing 11.12 Output of the BankAccount client program. Exercise 3.7. Sharing the Random Generator In the Die class shown in the start of this lecture, each Die object creates its own Random object. (If you access this exercise from the web edition there are direct links to the relevant versions of class Die and class Random). We observed that tosses of two or more instances of class Die will be identical. Explain the reason of this behavior. Modify the Die class such that all of them share a single Random object. Consider different ways to implement this sharing. Rerun the Die program and find out if "the parallel tossing pattern" observed
81 above has been alleviated. 11.11. Class Methods Lecture 3 - slide 17 Class methods are not connected to any instance of a class. Thus, class methods can be activated without providing any instance of the class. A class method M in a class C is activated by C.M(...). The tree dots stand for possible actual parameters. The static method Main plays a particular role in a C# program, because the program execution starts in Main. (Notice that Main starts with a capital M). It is crucial that Main is static, because there are objects around at the time Main is called. Thus, it is not possible to activate any instance method at that point in time! We have seen Main used many times already. There can be a Main method in more than one class. Main is either parameter less, or it may take an array of strings (of type String[]). A class method is associated with the class itself, as opposed to an object of the class • A class method M in a class C • is declared by use of the static modifier in C# • can only access static members of the class • must be activated on the class as such • is activated as C.M(...) from outside C • can also be activated as M(...) from inside C In order to illustrate the use of static methods in C# we extend Program 11.10 with a couple of static methods, see line 32-41 of Program 11.13. The static method GetAccount is the most interesting one. It searches the static accounts variable (of type ArrayList) for an account with a given number. It returns the located bank account if it is found. If not, it returns null. Notice the way the GetAccount method is used in Program 11.14. 1 2 3 4 5 6 7 8 9 10 11 12 13 14 15 16 17 18 19 20 21 22 using System; using System.Collections; public class BankAccount { private double interestRate; private string owner; private decimal balance; private long accountNumber; private static long nextAccountNumber = 0; private static ArrayList accounts = new ArrayList(); public BankAccount(string owner) { nextAccountNumber++; accounts.Add(this); this.accountNumber = nextAccountNumber; this.interestRate = 0.0; this.owner = owner; this.balance = 0.0M; }
82 23 24 25 26 27 28 29 30 31 32 33 34 35 36 37 38 39 40 41 42 43 44 45 public BankAccount(string owner, double interestRate) { nextAccountNumber++; accounts.Add(this); this.accountNumber = nextAccountNumber; this.interestRate = interestRate; this.owner = owner; this.balance = 0.0M; } public static long NumberOfAccounts (){ return nextAccountNumber; } public static BankAccount GetAccount (long accountNumber){ foreach(BankAccount ba in accounts) if (ba.accountNumber == accountNumber) return ba; return null; } // Some BankAccount methods are not shown in this version } Program 11.13 A sketch of a BankAccount class with static methods. 1 2 3 4 5 6 7 8 9 10 11 12 13 14 15 16 17 18 19 20 21 using System; public class BankAccountClient { public static void Main(){ BankAccount a1 = new BankAccount("Kurt", 0.02), a2 = new BankAccount("Bent", 0.03), a3 = new BankAccount("Thomas", 0.02); a1.Deposit(100.0M); a2.Deposit(1000.0M); a2.AddInterests(); a3.Deposit(3000.0M); a3.AddInterests(); BankAccount a = BankAccount.GetAccount(2); if (a != null) Console.WriteLine(a); else Console.WriteLine("Cannot find account 2"); } } Program 11.14 A client BankAccount. When we run Program 11.14 we get the output shown in Listing 11.15 (only on web). In Program 11.16 we show an example of a typical error. I bet that you will experience this error many times yourself. Can you see the problem? If not, read the text below Program 11.16. 1 2 3 4 5 6 7 8 using System; public class BankAccountClient { BankAccount a1 = new BankAccount("Kurt", 0.02), // Error: a2 = new BankAccount("Bent", 0.03), // An object reference is a3 = new BankAccount("Thomas", 0.02); // required for the
83 9 10 11 12 13 14 15 16 17 18 19 20 21 // nonstatic field public static void Main(){ a1.deposit(100.0); a2.deposit(1000.0); a2.addInterests(); a3.deposit(3000.0); a3.addInterests(); Console.WriteLine(a1); Console.WriteLine(a2); Console.WriteLine(a3); } } Program 11.16 A typical problem: A class method that accesses instance variables. The variables a1, a2, and a3 in Program 11.16 are instance variable of class BankAccountClient. Thus, these variables are used to hold the state of objects of type BankAccountClient. The problem is that there does not exist any object of type BankAccountClient. We only have the class BankAccountClient. Therefore we need to declare a1, a2, and a3 as static. Alternatively, we can rearrange the program such that a1, a2, and a3 become local variables of the Main method. As yet another alternative, we can instantiate the class BankAccountClient, and move the body of Main to an instance method. The latter alternative is illustrated in Program 11.17. 11.12. Static Classes and Partial Classes in C# Lecture 3 - slide 18 A static class C can only have static members A partial class is defined in two or more source files • Static class • Serves as a module rather than a class • Prevents instantiation, subclassing, instance members, and use as a type. • Examples: System.Math, System.IO.File, and System.IO.Directory • Partial class • Usage: To combine manually authored and automatically generated class parts. It is possible to use the modifier 'static' on a class. A class marked as static can only have static members, and it cannot be instantiated. A static class is similar to a sealed class (see Section 30.4) which we do not (or cannot) instantiate. However, a static class is more restrictive, because it also disallows instance members, and it cannot be used as a type in field declarations and in method parameter lists. There are some pre-existing C# classes that exclusively contain static methods. The class System.Math is such a class. It contains mathematical constants such as e and pi. It also contains commonly used mathematical functions such as Abs, Cos, Sin, Log, and Exp. It would be strange (and therefore illegal) to attempt an instantiation of such a class. The static classes File and Directory in the namespace System.IO are discussed in Chapter 38.
84 A partial class, marked with the partial modifier, can be used if it is practical to aggregate a class from more than one source file. This is, in particular, handy when a class is built from automatically generated parts and manually authored parts (such as a GUI class). Use of partial classes may also turn out to be handy when a group of programmers participate in the programming of a single, large class. 11.13. Constant and readonly variables Lecture 3 - slide 19 The variables we have seen until now can be assigned to new values at any time during the program execution. In this section we will study variable with no or limited assignment possibilities. Of obvious reasons, it is confusing to call these "variables". Therefore we use the term "constant" instead. C# supports two different kinds of constants. Some constants, denoted with the const modifier, are bound at compile time. Others, denoted with the readonly modifier, are bound at object creation time. Constants and readonly variables cannot be changed during program execution • Constants declared with use of the const keyword • Computed at compile-time • Must be initialized by an initializer • The initializer is evaluated at compile time • No memory is allocated to constants • Must be of a simple type, a string, or a reference type • Readonly variables declared with use of the readonly modifier • Computed at object-creation time • Must either be initialized by an initializer or in a constructor • Cannot be modified in other parts of the program It can be noticed that compile-time bound constants can only be of simple types, string, or a reference type. In addition, for non-string reference types, the only possible value is null. Program 11.17 demonstrate some legal uses of constant and readonly variables. The elements emphasized with green are all legal and noteworthy. Notice first that we in Main instantiates the ConstDemo class, such that we can work on instance variables, as opposed to (static) class variables. In line 4 we bind the constant ca to 5.0 and the constant cb to 6.0. This is done by the compiler, before the program starts executing. Notice that the compiler can carry out simple computations, as in line 5. In line 7 and 8 we bind the readonly variables roa and rob to 7.0 and to the value of the expression Log(e). It is possible to assign to roa and rob in the constructor, but after the execution of the constructor roa and rob are non-assignable. In line 11 we assign roba to a new BankAccount. Notice that it - in addition - is legal to assign to read-only variables in constructors (line 14 and 15). This is - on the other hand - the last possible, legal assignments to roa and roba. In line 24 we see that we can mutate a bank account despite that the account is referred by a readonly variable. We modify the object, not the variable that references the object. 1 2 3 4 using System; class ConstDemo { const double ca = 5.0,
85 5 6 7 8 9 10 11 12 13 14 15 16 17 18 19 20 21 22 23 24 25 26 cb = ca + 1; private readonly double roa = 7.0, rob = Math.Log(Math.E); private readonly BankAccount roba = new BankAccount("Anders"); public ConstDemo(){ // CONSTRUCTOR roa = 8.0; roba = new BankAccount("Tim"); } public static void Main(){ ConstDemo self = new ConstDemo(); self.Go(); } public void Go(){ roba.Deposit(100.0M); } } Program 11.17 Legal use of constants and readonly variables. Program 11.18 domonstrates a number of illegal uses of constants and readonly variables. The elements emphasized with red are all illegal. The compiler catches all of them. In line 12 and 21 we attempt an assignment to the (compile-time) constant ca. This is illegal - even in a constructor. In line 22 and 23 we see that it is illegal to assign to readonly variables, such as roa and roba, once they have been initialized. 1 2 3 4 5 6 7 8 9 10 11 12 13 14 15 16 17 18 19 20 21 22 23 24 25 using System; class ConstDemo { const double ca = 5.0; private readonly double roa = 7.0; private readonly BankAccount roba = new BankAccount("Anders"); public ConstDemo(){ // CONSTRUCTOR ca = 6.0; } public static void Main(){ ConstDemo self = new ConstDemo(); self.Go(); } public void Go(){ ca = 6.0; roa = 8.0; roba = new BankAccount("Peter"); } } Program 11.18 Illegal use of constant and readonly variables.
86 11.14. Objects and Classes Lecture 3 - slide 20 At an overall level (as for instance in OOA and OOD) objects are often characterized in terms of identity, state, and behavior. Let us briefly address each of these, and relate them to programming concepts. An object has an identity which makes it different and distinct from any other object. Two objects which are created by two activations of the new operator never share identity (they are not identical). In the practical world, the identity of an object is associated to its location in the memory: its address. Two objects are identical if their addresses are the same. But be careful here. The address of an object is not necessarily fixed and constant through the life time of the object. The object may be moved around in the memory of the computer, without losing its identify. The state of the object corresponds to the data, as prescribed by the class to which the object belongs. As such, the state pertains to the instance variables of the class, see Section 11.8. The behavior of the object is prescribed by the operations of the class, to which the object belongs. We have already discussed instance methods in Section 11.9. In Chapter 18 through Chapter 23 we will discuss operations, and hereby object behavior, in great details. We practice object-oriented programming, but we write classes in our programs. This may be a little confusing. Shouldn't we rather talk about class-oriented programming? When we write an object-oriented program, we are able to program all (forthcoming) objects of a given type/class together. This is done by writing the class. Thus, we write the classes in our source programs, but we often imagine a (forthcoming) situation where the class "is an object" which interacts with a number of other objects - of the same type or of different types. At run time, the class that we wrote, prescribes the behavior of all the objects which are instances of the class. In our source program we deal with classes. The classes exist for a long time - typically years. In the running program we have objects. The objects exist while the program is running. A typical program runs a few seconds, minutes, or perhaps hours. Often, we want to preserve our objects in between program executions. This turns out to be a challenge! We discuss how to preserve objects with use of serialization in Section 39.1. All objects cease to exist when the program execution terminates. This is in conflict with the behavior of corresponding real-life phenomena, and it causes a lot of problems and challenges in many programs There are no objects in the source programs! Only classes. You may ask if there are classes in the running program. It makes sense to represent the classes in the running program, such that we can access the classes as data. Most object-oriented systems today represent the classes as particular objects called metaobjects. This is connected to an area in computer science called reflection. Classes are written and described in source programs Objects are created and exist while programs are running
87 11.15. The current object - this Lecture 3 - slide 21 We have earlier discussed the role of the current object, see Section 10.3. The current object in a C# program execution is denoted by the variable this this is used for several different purposes in C#: • Reference to shadowed instance variables • Activation of another constructor • Definition of indexers • In definition of extension methods This use of this for access of shadowed instance variables has been used in many of the classes we have seen until now. For an example see line 10 of Program 11.2. Use of this for activation of another constructor is, for instance, illustrated in line 10 and 14 of Program 12.4. Use of this in relation to definition of indexers is discussed in Section 19.1, illustrated for instance in line 10 of Program 19.1. 11.16. Visibility Issues Lecture 3 - slide 22 In this section we will clarify some issues that are related to visibility. We will, in particular, study a type of error which is difficult to deal with. Let us first summarize some facts about visibility of types and members: • Types in namespaces • Either public or internal • Default visibility: internal • Members in classes • Either private, public, internal, protected or internal protected • Default visibility: private • Visibility inconsistencies • A type T can be less accessible than a method that returns a value of type T Below we will rather carefully explain the mentioned inconsistency problem.
88 In Program 11.19 we have shown an internal class C in a namespace N. As given in Program 11.19 C is only supposed to be used inside the namespace N. In reality we have forgotten to state that C is public in N. I every now and then forget the modifier "public" in front of "class C" (line 3). I guess that you will run into this problem too - sooner og later. Based on the internal class C in the namespace N we will now describe a scenario that leads to an error that can be difficult to understand. The class D is also located in N, and therefore D can use C. Class D is public in N. (If D had been located in another namespace, it would not have access to class C). A method M in class D makes and returns a C-object. We cannot compile the program just described. We get an "inconsistent accessibility error". The compiler tells you that the return type of method M (which is C) is less accessible than the method M itself. In other words, M returns an object of a type, which cannot be accessed. The cure is to make the class C public in its namespace. Thus, just add a public modifier in front of "class C" in line 3 of Program 11.19. 1 2 3 4 5 6 7 8 9 10 11 12 13 14 15 16 17 18 namespace N{ class C { } public class D{ public C M(){ // Compiler-time error message: return new C(); // Inconsistent accessibility: // return type 'N.C' is less // accessible than method 'N.D.M()' } } } Program 11.19 An illustration of the 'Inconsistent Accessibility' problem. Please notice this kind of compiler error, and the way to proceed when you get it. I have witnessed a prospective student programmer who used several days to figure out what the compiler meant with the "inconsistent accessibility error". Now you are warned! 11.17. References [Goldberg83] Adele Goldberg and David Robson, Smalltalk-80 The Language and its Implementation. Addison-Wesley Publishing Company, 1983. [Meyer88] Bertrand Meyer, Object-oriented software construction. Prentice Hall, 1988. [Tennent81] Tennent, R.D., Principles of Programming Languages. Prentice Hall, 1981.
89 12. Creating and Deleting Objects In this chapter we will explore the creation of object from classes, and how to get rid of the objects once they are not longer needed. Creation of objects - instantiation of classes - is tightly connected with initialization of new objects. Object initialization is therefore also an important theme in this chapter. 12.1. Creating and Deleting Objects Lecture 3 - slide 24 Our goal in this section is to obtain an overall understanding of object creation and deletion, in particular in relation to the dimension of explicit/implicit creation and deletion. If you dislike such overall discussion, please proceed to Section 12.2. We identify the following approaches to creation and deletion of objects: • Creating Objects • By instantiating classes • Implicitly: via variable declarations • Explicitly: on demand, by command • By copying existing object - cloning • Deleting Objects • Explicitly: on demand, by command • Implicitly: deleted when not used any longer - via use of garbage collection The most important way to create objects is to instantiate a class. Instantiation takes place when we use the class as a template for creating a new object. We may have an explicit way to express this (such as the operator new), or it may be implicitly done via declaration of a variable of the type of the class. Relative to this understanding, C# uses explicit creation of objects from classes, and implicit creation of objects (values) from structs. Instantiation is the process of allocating memory to a new object of some class Instantiation comes in two flavors: • Static instantiation: • The object is automatically created (and destroyed) when the surrounding object or block is created. • Dynamic instantiation: • The object is created on demand, by calling a particular operator (new). Static instantiation is implicit. The object is automatically created (and destroyed) when the surrounding object or block is created. Dynamic instantiation is explicit. The object is created on demand, by executing a command. In C# and similar language we call the new operator for the purpose of dynamic class instantiation. We should also be aware of the possibility of object copying. If we already have a nice object, say obj, we can create a new object (of the same type as obj) by copying obj. Some object-oriented programming
90 languages (most notably Self) use this as the only way of creating objects. The original objects in Self are called prototypes, and they are created directly by the programmer (instead of classes). Older object-oriented programming languages, such as C++, use explicit deleting of objects. Most newer object-oriented programming languages use implicit object deleting, by means of garbage collection. The use of garbage collection turns out to be a major quality of an object-oriented programming language. C# relies on garbage collection. Modern object-oriented languages support explicit object creation and implicit object deletion (by means of garbage collection) 12.2. Instantiation of classes in C# Lecture 3 - slide 26 We illustrate instantiation of classes in C# using a client of a Point class, such as Program 11.2, or even better a similar class with non-public instance variables. The accompanying slide shows such a class. Classes must be instantiated dynamically with use of the new operator The new operator returns a reference to the new object The class Application in Program 12.1 uses class Point. Recall that class Application is said to be a client of class Point. We have three Point variables p0, p1, and p2. The two latter variables are local variables in Main. p0 is static, because it is used from a static method. We see a single instantiation of class Point at the purple place. p0 is automatically initialized to null and p1 is uninitialized before the assignments p0 = p1 = p2. After the assignments all three variables refer to the same Point object , and therefore you should be able to understand the program output shown in Listing 12.2. Notice the Move message in line 12 and the implementation of Move in line 13-15 of Program 11.2. 1 2 3 4 5 6 7 8 9 10 11 12 13 14 15 16 using System; public class Application{ private static Point p0; // Initialized to null public static void Main(){ Point p1, // NOT initialized p2 = new Point(1.1, 2.2); p0 = p1 = p2; p2.Move(3.3, 0); Console.WriteLine("{0} {1} {2}", p0, p1, p2); } } Program 12.1 Use of the class Point in a client class called Application.
91 Move in line 12 moves the object referred by the three variables p0, p1, and p2. If you have problems with this, you are encouraged to review this example when you have read Section 13.2. 1 Point: (4,4, 2,2). Point: (4,4, 2,2). Point: (4,4, 2,2). Listing 12.2 Output from the Point client program. 12.3. Initialization of objects Lecture 3 - slide 27 Initialization should always follow class instantiation. Initialization is the process of ascribing initial values to the instance variables of an object There are several ways to do initialization. We recommend that you are explicit about initialization in your programs. With use of explicit initialization you signal that you have actually thought about the initialization. If you rely on default values, it may equally well be the case that you have not considered the initialization at all! Initialization of an object of type T can be done • Via use of default values of T • zero for numeric types, false for bool, 'x0000' for char, and null for reference types • Via use of an initializer • Via special methods called constructors In C# you can denote the default value of a type T by use of the expression default(T). For a reference type RT, default(RT) is is null. For a value type VT, default(VT) is the default value of VT. The default value of numeric types is zero, the default value of bool is false, the default char value is the null character, and the default value of reference types is null. The default value of a struct type is aggregated by the default values of the fields of the struct. In Program 12.1 we have seen that local variables are not initialized to the default value of their types. Instance variables (fields) in classes are, however. This is confusing, and it may easily lead to errors if you forget the exact rules of the language. An initializer is, for instance, the expression following '=' in a declaration such as int i = 5 + j; It is not recommended to initialize instance variables via initializers. Initializers are static code, and from static code you cannot refer to the current object, and you cannot refer to other instance variables. You should write one or more constructors of every class, and you should explicitly initialize all instance variables in your constructors. By following this rule you do not have to care about default values.
92 It is very important that a newly born object is initialized to a healthy citizen in the population of objects Explicit initialization is always preferred over implicit initialization Always initialize instance variables in constructors 12.4. Constructors in C# Lecture 3 - slide 28 As recommended in Section 12.3, initialization of instance variables takes place in constructors. A constructor is a special method which is called automatically in order to initialize a new instance of a class • Constructors in C# • Have the same name as the surrounding class • Do not specify any return value type • Are often overloaded - several different constructors can appear in a class • May - in a special way - delegate the initialization job to another constructor • In case no constructors are defined, there is a parameterless default constructor • As its only action, it calls the parameterless constructor in the superclass • In case a constructor is defined there will be no parameterless default constructor There is no 'constructor' keyword in C#. By the way, there is no 'method' keyword either. So how do we recognize constructors? The answer is given in first two bullet points above: A constructor has the same name as the surrounding class, and it specifies no return type. Overloading takes place if we have two constructors (or methods) of the same name. Overloaded constructors are distinguished by different types of parameters. In Program 11.5 there are three overloaded constructors. Overload resolution takes place at compile time. It means that a constructor used in new C(...) is determined and bound at compile time - not at run time. The special delegation mentioned in bullet point four is illustrated by the difference between Program 12.3 and Program 12.4. In the latter, the two first constructors activate the third constructor. The third constructor in Program 12.4 is the most general one, because it can handle the jobs of the two first mentioned constructors as special cases. Notice the this(...) syntax in between the constructor head and body. As already stressed, I recommend that you always supply at least one constructor in the classes you program. In that case, there will be no parameterless default constructor available to you. You can always, however, program a parameterless constructor yourself. The philosophy is that if you have started to program constructors in your class, you should finish the job. It is not sound to mix your own, "custom" constructors (which are based on a deep knowledge about the class) with the system's default initialization (based on very little knowledge of the class). In Program 11.5 we have seen a BankAccount class with three constructors. In Program 12.4 we show another version of the BankAccount class, also with three constructors. In both versions of the class, the three
93 constructors reflect different ways to initialize a new bank account. They provide convenience to clients of the BankAccount class. Program 12.4 is better than Program 11.5 because there is less overlap between the constructors. Thus, Program 12.4 is easier to maintain than Program 11.5. (Just count the lines and compare). Make sure to program your constructors like in Program 12.4. 1 2 3 4 5 6 7 8 9 10 11 12 13 14 15 16 17 18 19 20 21 22 23 24 25 using System; public class BankAccount { private double interestRate; private string owner; private decimal balance; public BankAccount(string owner): this(owner, 0.0, 0.0M) { } public BankAccount(string owner, double interestRate): this(owner, interestRate, 0.0M) { } public BankAccount(string owner, double interestRate, decimal balance) { this.interestRate = interestRate; this.owner = owner; this.balance = balance; } // BankAccount methods here } Program 12.4 Improved constructors in class BankAccount. We also show and emphasize the constructors in the Die class, which we meet in Program 10.1 of Section 10.1. Below, in Program 12.5, the first Die constructor call the second one, hereby making a six eyed die. Notice that the second Die constructor creates a new Random object. It is typical that a constructor in a class instantiates a number of other classes, which again may instantiate other classes, etc. 1 2 3 4 5 6 7 8 9 10 11 12 13 14 15 16 17 18 19 using System; public class Die { private int numberOfEyes; private Random randomNumberSupplier; private readonly int maxNumberOfEyes; public Die (): this(6){} public Die (int maxNumberOfEyes){ randomNumberSupplier = new Random(unchecked((int)DateTime.Now.Ticks)); this.maxNumberOfEyes = maxNumberOfEyes; numberOfEyes = NewTossHowManyEyes(); } // Die methods here } Program 12.5 Constructors in the class Die.
94 12.5. Copy constructors Lecture 3 - slide 29 Copy constructors can be used for making copies of existing objects. A copy constructor can be recognized by the fact that it takes a parameter of the same type as the class to which it belongs. Object copying is an intricate matter, because we will have to decide if the referred object should be copied too (shallow copying, deep copying, or something in between, see more details in Section 13.4 and Section 32.6). It is sometimes useful to have a constructor that creates an identical copy of an existing object In Program 12.6 we show the Die class with an emphasized copy constructor. Notice that the Random object is shared between the original Die and the copy of the Die. This is shallow copying. 1 2 3 4 5 6 7 8 9 10 11 12 13 14 15 16 17 18 19 20 21 22 23 24 using System; public class Die { private int numberOfEyes; private Random randomNumberSupplier; private readonly int maxNumberOfEyes; public Die (Die d){ numberOfEyes = d.numberOfEyes; randomNumberSupplier = d.randomNumberSupplier; maxNumberOfEyes = d.maxNumberOfEyes; } public Die (): this(6){} public Die (int maxNumberOfEyes){ randomNumberSupplier = new Random(unchecked((int)DateTime.Now.Ticks)); this.maxNumberOfEyes = maxNumberOfEyes; numberOfEyes = randomNumberSupplier.Next(1,maxNumberOfEyes + 1); } // Die methods here } Program 12.6 The class Die with a copy constructor. The use of copy constructors is particularly useful when we deal with mutable objects Objects are mutable if their state can be changed after the constructor has been called. It is often necessary to copy a mutable object. Why? Because of aliasing, an object may be referred from several different places. If the object is mutable, all these places will observe a change, and this is not always what we want. Therefore, we can protect against this by copying certain objects. The observation from above is illustrated by means of an example - privacy leak - in Section 16.5.
95 12.6. Initialization of class variables Lecture 3 - slide 30 It is too late - and not natural - to initialize class variables in ordinary constructors Constructors initialize new instances of classes. Class instances are objects. Class variables (static fields) do not belong to any object. They belong to the class as such, but they can be used from instances of the class as well. Class variables can be useful even in the case where no instances of the class will ever be made. Therefore we will need other means than constructors to initialize class variables in C#. Initialization of a class variable of type T takes place at class load time • Via the default value of type T • Via the static field initializers • Via a static constructor Initialization of class variable (static fields) v of type T takes place implicitly. The variable v is, at load time, bound the distinguished default value of type T. A static initializer is the expression at the right-hand side of "=" in a static field declaration. In Program 12.7 we have emphasized four examples of static initializers from line 13 to 16. The static initializers are executed in the order of appearance at class load time. In Program 12.7 we show a simple playing card class called Card in which we organize all spade cards, all heart cards, all club cards, and all diamond cards in static arrays. The arrays are created in static initializers from line 13 to 16. It is convenient to initialize the elements of the arrays in a for loops. The right place of these for loops is in a static constructor. We show a static constructor in line 18-25 of Program 12.7. Notice in line 19 of Program 12.7 how we get access to all enumeration values in a given enumeration type ET by the expression Enum.GetValues(typeof(ET)). 1 2 3 4 5 6 7 8 9 10 11 12 13 14 15 16 17 18 19 20 21 22 using System; public class Card{ public enum CardSuite { Spade, Heart, Club, Diamond}; public enum CardValue { Ace = 1, Two = 2, Three = 3, Four = 4, Five = 5, Six = 6, Seven = 7, Eight = 8, Nine = 9, Ten = 10, Jack = 11, Queen = 12, King = 13, }; private CardSuite suite; private CardValue value; public static Card[] allSpades = new Card[14]; public static Card[] allHearts = new Card[14]; public static Card[] allClubs = new Card[14]; public static Card[] allDiamonds = new Card[14]; static Card(){ foreach(CardValue cv in Enum.GetValues(typeof(CardValue))){ allSpades[(int)cv] = new Card(CardSuite.Spade, cv); allHearts[(int)cv] = new Card(CardSuite.Heart, cv); allClubs[(int)cv] = new Card(CardSuite.Club, cv);
96 23 24 25 26 27 28 29 30 31 32 33 34 35 36 37 38 39 40 41 42 43 allDiamonds[(int)cv] = new Card(CardSuite.Diamond, cv); } } public Card(CardSuite suite, CardValue value){ this.suite = suite; this.value = value; } public CardSuite Suite{ get { return this.suite; } } public CardValue Value{ get { return this.value; } } public override String ToString(){ return String.Format("Suite:{0}, Value:{1}", suite, value); } } Program 12.7 The class PlayingCard with a static constructor. We also show how the static arrays can be used, see Program 12.8 and the output of the program, see Listing 12.9 (only on web). 1 2 3 4 5 6 7 8 9 10 using System; class Client{ public static void Main(){ foreach (Card c in Card.allSpades) Console.WriteLine(c); } } Program 12.8 A client of class PlayingCard. We recommend explicit initialization of all variables in a class, including static variables. It is recommended to initialize all instance variables in (instance) constructors. Most static variables can and should be initialized via use of initializers, directly associated with their declaration. In some special cases it is convenient to do a systematic initialization of class variables, for instance in a for loop. This can be done in a static initializer.
97 13. Reference Types Objects are accessed via references. When we create an object - by class instantiation - we obtain a reference to the new object. If we send a message to the object it is done via the reference. If the object is passed as parameter it is done via the reference. And when the object is returned from a method it is the reference to the object which is returned. We sometimes use the word reference semantics for all of this. Reference semantics should be seen as a contrast to value semantics. Value semantics is discussed in Chapter 14. 13.1. Reference Types Lecture 4 - slide 2 A class is a reference type Objects instantiated from classes are accessed by references The objects are allocated on the heap Instances of classes are dealt with by use of so-called reference semantics Although we state that references (in C# and similar languages) correspond to pointers in C, we should be a little careful to equivalize these. In the ordinary (safe part) of C# there is no such thing as reference arithmetic, along the lines of pointer arithmetic in C. There is no address operator, and there is no dereferencing. (In an unsafe part of C# it is possible to work with pointers like in C, but we will not care about this part of the C#). References are automatically dereferenced, when it is appropriate to do so. If r is a reference, the expression r.p is used to access the property p in the object referenced by r. But the expressions *r and r->p are both illegal. • Reference semantics: • Assignment, parameter passing, and return manipulates references to objects • The heap: • The memory area where instances of classes are allocated • Allocation takes place when a class is instantiated • Deallocation takes place when the object no longer affects the program • In practice, when there are no references left to the object • By a separate thread of control called the garbage collector 13.2. Illustration of variables of reference types Lecture 4 - slide 3 Let us now illustrate how assignments work on references. The situation shown in Figure 13.1 depicts the variables p1 and p2 just before we execute the assignment p1 = p2. The situation in the figure is established by line 1 and 2 of Program 13.1. Notice that the variables each contain a reference to a Point object. The variables do not contain the object themselves, but instead references to the points.
98 Figure 13.1 Variables of reference types. The situation before the assignment p1 = p2. 1 2 3 4 Point p1 = new Point(1.0, 2.0), p2 = new Point(3.0, 4.0); p1 = p2; Program 13.1 The variables p1 and p2 refer to two points. Following the assignment p1 = p2 in line 3 of Program 13.1 both p1 and p2 reference the same Point object. Thus, the situation is as depicted in Figure 13.2. The Point (1.0, 2.0) is now inaccessible (unless referenced from other variables) and the point will disappear automatically upon the next turn of the garbage collector. Figure 13.2 Variables of reference types. The situation after the assignment p1 = p2. With the knowledge from this section you are encouraged to review the discussion of Program 12.1 in Section 12.2. 13.3. Overview of reference types in C# Lecture 4 - slide 4 Classes are reference types in C#, but there are others as well It is reasonable to ask which types in C# act as reference types, and which do not. Below we list the reference types in C#:
99 • Classes • Strings • Arrays • Interfaces • Similar to classes. Contain no data. Have only signatures of methods • Delegates • Delegate objects can contain one or more methods • Used when we deal with methods as data We encounter interfaces in Chapter 31. Interface types contain references, and variables of interface types behave in the same way as in the example shown in Section 13.2. A delegate is a new type, the values of which are accessed as references. We introduce delegates in Chapter 22. Both strings and arrays are well-known, and we are used to accessing these via pointers in C. In C# - as well - arrays and strings are accessed via references. 13.4. Comparing and copying objects via references Lecture 4 - slide 5 There are several questions that can be asked about comparing and copying objects that are accessed by references. We list some below, and we will attempt to answer the questions in the remaining parts of this section. Do we compare references or the referenced objects? Do we copy the reference or the referenced object? How deep do we copy objects that reference other objects? Let us assume, like in Program 13.1, that p1 and p2 are references to Points, where the type Point is defined by a class. Then the expression p1 == p2 returns if p1 and p2 reference the same point. That p1 and p2 reference the same point means that the two involved objects are created by the same activation of new(...). In many context, we say that p1 and p2 are identical. (Identical objects and object identity is discussed in Section 11.14). Relative to Figure 13.1 the value of p1 == p2 is false. Relative to Figure 13.2 the value of p1 == p2 is true. The expression p1 == p2 compares the locations (addresses) to which p1 and p2 refer. The expression does not compare the instance variables of the points referred to by p1 and p2. In the same way, the assignment p1 = p2 manipulates only the references. We have already seen that in Section 13.2. The assignment p1 = p2 does not, in any way, copy the object referenced by p2. Above, we have explained reference comparison and assignment. It makes sense to have shallow and deep variations of these. This can be summarized as follows:
100 • Comparing • Reference comparison • Compares if two references refers to objects created by the same execution of new • Shallow and deep comparison • Pair-wise comparison of fields - at varying levels • Copying: • Reference copying • Shallow or deep copying • Is also known as cloning • Somehow supported by the method MemberwiseClone in System.Object Even in the case where p1 == p2 is false (i.e., p1 and p2 are not identical) it makes sense to claim that p1 and p2 are equal in some sense. It may, for instance, be the case that all instance variables are pair-wise equal. But what does it mean for the instance variables to be pair-wise equal? In case the instance variables are references we are back to the original question, and we can therefore apply recursion in our reasoning about equality. We talk about shallow equality if we apply (fall back to) reference equality at the second level. If we do not apply reference equality at any level we talk about deep equality. If p1 and p2 are deep equal the graph structures they reference are structural identical (isomorphic). If p1 and p2 are reference equal they are also shallow equal. And if p1 and p2 are shallow equal they are also deep equal. The inverse propositions are not necessarily true, of course. If you got the idea of the different kinds of comparison, you can immediately use this insight for copying as well. Let us describe this very briefly. The assignment p1 = p2 just copies one reference. We may ask for a shallow copy of p2 by copying value fields and by assigning corresponding reference fields to each other. And we may ask for a deep copy by not using reference copying at any level. (This is not exactly true if there is more than one reference to a given object - please consider!) In case you need shallow or deep copying you should program such operations yourself. In general, various kinds of copying depend deeply on the type of the object. C# supports a shallow clone operation, but you must explicitly 'enable it'. How this is done is discussed in Section 32.7. An assignment of the form var = obj1 copies a reference A comparison of the form obj1 == obj2 compares references (unless overloaded) 13.5. Equality in C# Lecture 4 - slide 6 In this section we review the different equality operations in C#. All methods mentioned in this section belong the class Object, see Section 28.3. We only care about reference types in this section, because the enclosing chapter is about reference types. Equality among 'objects' that belong to value types is an different story.
101 • o1.Equals(o2) - equality • By default, true if o1 and o2 are created by execution of the same new • Can be redefined in a particular class • Object.ReferenceEquals(o1, o2) - identity • True if both o1 and o2 are null, or if they are created by execution of the same new • Static - cannot be redefined. • Object.Equals(o1, o2) • True if Object.ReferenceEquals(o1, o2), or if o1.Equals(o2) • o1 == o2 • True if both o1 and o2 are null, or if they are created by execution of the same new • An overloadable operator Notice that in case we need a type-dependent comparison we redefine the Equals (in the first item above). Equals is typically redefined if we wish to implement a value-like comparison of two objects, as opposed to the default reference comparison. (In a value-like comparison we compare pairs of fields from the two objects). It is not easy to redefine Equals correctly. We discuss how it should be done in Section 28.16. ReferenceEquals is a static method. It must therefore be activated by the form Object.ReferenceEquals(o1, o2). If you, for some reason, redefine the == operator as well as the Equals instance method - both of which per default are reference equality operations - the static ReferenceEquals comes in handy if you need to compare references to objects. Alternatively, you will have to cast one of operands to type Object before you use ==. The static Equals method is primarily justified because it allows one or both of the parameters o1 or o2 to be null. In the non-static Equals methods, it will cause an exception if o1 is null. Notice that redefinition of the Equals instance method affects the static Equals method. In C# it is allowed to overload the == operator. Typically, == is overloaded to obtain some kind of shallow comparison, see Section 13.4. If the == operator is overloaded you should also redefine the Equals method, such that o1 == o2 and o1.Equals(o2) have the same value (whenever o1 is not null). It is worth pointing out that the meaning of o1 == o2 is resolved staticially, because operator overloading (see Chapter 21) is a static issue in C#. In contrast, o1.Equals(o2) is resolved dynamically, because the instance method Equals is a virtual method (see Section 28.14) in class Object. This affects both flexibility (where Equals is the winner) and efficiency (where == is the winner). Exercise 4.1 is related to theses observations. It is worthwhile and recommended to read about equality in the C# documentation of Equals in the System namespace. Let us also point out that there exists a couple of interfaces that involve equality, most directly IEquality (see Section 42.9 ), but indirectly also Icomparable (see Section 42.8). Redefinition of equality operators and methods: Recommendations. FOCUS BOX 13.1FOCUS BOX 13.1FOCUS BOX 13.1FOCUS BOX 13.1 As above, we assume that we deal with reference types. If you do not redefine the Equals instance method nor the == operator, both of them denote reference equality. If it is natural and important that equality between objects of your class should rely on the data contents
102 (instance variables) of your class, rather than the referenced locations of the involved objects, you should redefine the Equals instance method. Follow the guidelines in Section 28.16. As part of this, remember that equality should be reflexive (x.Equals(x)), symmetric (x.Equals(y) implies that y.Equals(x)), and transitive (x.Equals(y) and y.Equals(z) implies that x.Equals(z)). In general, you are not recommended to overload (redefine) the == operator. Most programmers with a C background will be surprised if x == y (for references or pointers) does not compare the references in x and y. If you overload the Equals instance method, you most likely do not want to touch the == operator. Thus, == will remain as the reference equality operator. If - against these recommendations - you overload the == operator, you should make sure that the meaning (semantics) of == and Equals are the same. This can, for instance, be obtained by implementing Equals by means of ==. It would be tremendously confusing to have two different meanings of == and Equals, both of which differ from the meaning of ReferenceEquals. Exercise 4.1. Equality of value types and reference types Take a close look at the following program which uses the == operator on integers. using System; class WorderingAboutEquality{ public static void Main(){ int i = 5, j = 5; object m = 5, n = 5; Console.WriteLine(i == j); Console.WriteLine(m == n); } } Predict the result of the program. Compile and run the program, and explain the results. Were your predictions correct?
103 14. Value Types Values - in value types - are not accessed via references. In the safe part of C# it is not possible to access such values via references. Variables of value types contain their values (and not references to their values). This implies that values are allocated on the method stack, and the creation and deletion of such values are easier for the programmer to deal with than objects on the heap. The numeric types, char, boolean and enumeration types are value types in C#. In addition, structs are value types in C#. (The numeric types, char, and boolean are - in fact - defined as structs in C#). We will normally use the word "object" with the meaning "instance of a class". With this meaning, objects are accessed by references. But in some sense, values (of value types) are also objects in C#. Both value types and reference types inherit from the class Object. Thus, class Object is the common superclass of both reference types and value types. See Section 28.2 for additional clarification of this issue. In order to avoid unnecessary confusion, we will - unless stated explicitly - devote the word "object" to instances of classes. 14.1. Value types Lecture 4 - slide 8 In this section we introduce the term value semantics. A variable of value type contains its value The values are allocated on the method stack or within objects on the heap Variables of value types are dealt with by use of so-called value semantics Use of value types simplifies the management of short-lived data • Value semantics • Assignment, call-by-value parameter passing, and return copy entire values • The method stack • The memory area where short-lived data is allocated • Parameters and local variables • Allocation takes place when an operation, such as a method, is called • Deallocation takes place when the operation returns Data on the method stack corresponds to variables of storage class auto in C programming. 14.2. Illustration of variables of value types Lecture 4 - slide 9
104 Assume that the type Point is a value type We will now demonstrate how value semantics works in relation to assignments. We will assume that the type Point is a value type. In C# it will be programmed as a struct. We show Point defined as a struct in Section 14.3. In Figure 14.1 we show two variables, p1 and p2, that contain Point values. The situation in Figure 14.1 can, for instance, be established by the initializers associated with the declarations of p1 and p2 in Program 14.1 . The assignment p1 = p2, also shown in Program 14.1, establishes the situation in Figure 14.2. Figure 14.1 Variables of value types. The situation before the assignment p1 = p2. 1 2 3 4 Point p1 = new Point(1.0, 2.0), p2 = new Point(3.0, 4.0); p1 = p2; Program 14.1 The variables p1 and p2 refer to two points. Figure 14.2 Variables of value types. The situation after the assignment p1 = p2. The thing to notice is that the assignment p1 = p2 copies the value contained in p2 into the variable p1. The coping process can be implemented as a bitwise copy, and therefore it is relatively efficient. The equality operator p1 == p2 compares the values in p1 and p2 (bitwise comparison). Let us also observe that p1.Equals(p2) has the same boolean value as p1 == p2 when the type of p1 and p2 is a value type. The observations about assignments from above can also be used directly on call-by-value parameter passing. Call-by-value parameter passing is - in reality - assignment of the actual parameter value to the corresponding formal parameter.
105 As a contrast to the description of value assignment, please see Section 13.2 where we showed what happens if p1 and p2 are declared as classes (of reference types). Notice that p1 = p2, in case p1 and p2 contain references, is likely to be even more efficient than the value assignment discussed above. 14.3. Structs in C# Lecture 4 - slide 10 In this section we will study two C# types, which we program as structs. The two types become value types. The first, Point, is already well-known. See Program 11.2. The other, Card, is also one of our recurring examples. In Program 12.7 we programmed Card as a class. In Program 14.2 we show a simple Point struct. In this version the data representation is private. Notice also the constructor. The constructor is used to initialize a new point. In addition there are three methods GetX, GetY, and Move. When we learn more about C# we will most likely program GetX and GetY as properties, see Section 18.1. We may also chose to program Move in a functional style, such that the struct Point becomes immutable. Immutable types are discussed in Section 14.7. Like in classes, it is always recommended that you program one or more constructors in a struct. It cannot be a parameterless constructor, however. See Section 14.4 for details on structure initialization. The usage of struct Point has already been illustrated above, see Program 14.1 in Section 14.2. 1 2 3 4 5 6 7 8 9 10 11 12 13 14 15 16 17 18 19 20 21 22 23 24 25 using System; public struct Point { private double x, y; public Point(double x, double y){ this.x = x; this.y = y; } public double Getx (){ return x; } public double Gety (){ return y; } public void Move(double dx, double dy){ x += dx; y += dy; } public override string ToString(){ return "Point: " + "(" + x + "," + y + ")" + "."; } } Program 14.2 Struct Point. In Program 14.3 we show the struct Card. Struct Card represents a playing card. It uses enumeration types for card suites and card values. The playing card has private fields in line 11 and 12, as we will expect. The struct is well-equipped with constructors for flexible initialization of new playing cards. The method Color calculates a card color from its suite and value. The method returns a value of the pre-existing type
106 System.Drawing.Color. Interesting enough in this context, System.Drawing.Color is also a struct. We use the fully qualified name of class Color in the namespace System.Drawing in order not to get a conflict with the Color member in struct Card. Finally, the usual ToString (overridden from class Object) allows us to print playing cards. This is, of course, very convenient when we write small programs that uses struct Card. 1 2 3 4 5 6 7 8 9 10 11 12 13 14 15 16 17 18 19 20 21 22 23 24 25 26 27 28 29 30 31 32 33 34 35 36 37 38 39 40 41 42 43 44 45 using System; public enum CardSuite:byte {Spades, Hearts, Clubs, Diamonds }; public enum CardValue: byte {Ace = 1, Two = 2, Three = 3, Four = 4, Five = 5, Six = 6, Seven = 7, Eight = 8, Nine = 9, Ten = 10, Jack = 11, Queen = 12, King = 13}; public struct Card { private CardSuite suite; private CardValue value; public Card(CardSuite suite, CardValue value){ this.suite = suite; this.value = value; } public Card(CardSuite suite, int value){ this.suite = suite; this.value = (CardValue)value; } public CardSuite Suite(){ return this.suite; } public CardValue Value (){ return this.value; } public System.Drawing.Color Color (){ System.Drawing.Color result; if (suite == CardSuite.Spades || suite == CardSuite.Clubs) result = System.Drawing.Color.Black; else result = System.Drawing.Color.Red; return result; } public override String ToString(){ return String.Format("Suite:{0}, Value:{1}, Color:{2}", suite, value, Color().ToString()); } } Program 14.3 Struct Card. A simple client of Card, which declares and constructs three playing cards, is shown in Program 14.4. The card in c1 is copied to c4. Finally, all cards are printed with WriteLine, which internally uses the programmed ToString method in struct Card.
107 1 2 3 4 5 6 7 8 9 10 11 12 13 14 15 16 17 18 19 using System; public class PlayingCardClient{ public static void Main(){ Card c1 = new Card(CardSuite.Spades, CardValue.King), c2 = new Card(CardSuite.Hearts, 1), c3 = new Card(CardSuite.Diamonds, 13), c4; c4 = c1; // Copies c1 into c4 Console.WriteLine(c1); Console.WriteLine(c2); Console.WriteLine(c3); Console.WriteLine(c4); } } Program 14.4 A client of struct Card. Structs are typically used for aggregation and encapsulation of a few values, which we want to treat as a value itself, and for which we wish to apply value semantics In the System namespace, the types DateTime and TimeSpan are programmed as structs Very large structs, which encapsulates many data members, are not often seen. It is most attractive to use structs for small bundles of data, because structs are copied back and forth when we operate on them. It is instructive to study the interfaces of System.DateTime and System.TimeSpan, which both are programmed as structs in the C# standard library. 14.4. Structs and Initialization Lecture 4 - slide 11 There are some peculiar rules about initialization of struct values, at least if compared to initialization of class instances. We will review these peculiarities in this section. Program 14.5 shows that initializers, such as '= 5' and '= 6.6' cannot be used with structs. The designers of C# insist that the default value of a struct is predictable, as formed by the default values of the types of the instance variables a and b. 1 2 3 4 5 6 7 8 9 10 11 12 13 /* Right, Wrong */ using System; // Error: // Cannot have instance field initializers in structs. public struct StructOne{ int a = 5; double b = 6.6; } // OK: // Fields in structs are initialized to default values. public struct StructTwo{
108 14 15 16 int a; double b; } Program 14.5 Fields in structs cannot have initializers. Program 14.6 shows that we cannot program parameterless constructors in a struct. This would overwrite the preexisting default constructor, which initializes all fields to their default values. The designers of C# wish to control the default constructor of structs. The default constructor of a struct therefore always initializes instance variables to their default values. Our own struct constructors should all have at least one parameter. 1 2 3 4 5 6 7 8 9 10 11 12 13 14 15 16 17 18 19 20 21 22 23 24 25 26 27 /* Right, Wrong */ using System; // Error: // Structs cannot contain explicit parameterless constructors. public struct StructThree{ int a; double b; public StructThree(){ a = 1; b = 2.2; } } // OK: // We can program a constructor with parameters. // The implicit parameterless constructor is still available. public struct StructFour{ int a; double b; public StructFour(int a, double b){ this.a = a; this.b = b; } } Program 14.6 An explicit parameterless constructor is not allowed. 14.5. Structs versus classes Lecture 4 - slide 12 In order to summarize structs in relation to classes we provide the following comparison: Classes Structs Reference type Value type Used with dynamic instantiation Used with static instantiation Ancestors of class Object Ancestors of class Object Can be extended by inheritance Cannot be extended by inheritance Can implement one or more interfaces Can implement one or more interfaces Can initialize fields with initializers Cannot initialize fields with initializers Can have a parameterless constructor Cannot have a parameterless constructor
109 14.6. Examples of mutable structs in C# Lecture 4 - slide 13 Structs are often used for immutable objects. (Here we use 'object' in a loose sense, covering both struct values and class instances). An object is immutable if its state cannot be changed once the object has been initialized. Recall that strings in C# are immutable. We start by studying mutable structs, and hereby we seek motivation for dealing with immutable structs. Please take a new look at struct Point in Program 14.2 from Section 14.3. In particular, focus your attention on the Move method. A call such as p.Move(7.0, 8.0) will change the state of point p. We say that the point p has been mutated. In Program 14.7, which is a client of struct Point from Program 14.2, the point p1 is moved twice. The program output in Listing 14.8 (only on web) is as expected. 1 2 3 4 5 6 7 8 9 10 11 12 13 14 using System; public class Application{ public static void Main(){ Point p1 = new Point(1.0, 2.0); p1.Move(3.0, 4.0); // p1 has moved to (4.0, 6.0) p1.Move(5.0, 6.0); // p1 has moved to (9.0, 12.0) Console.WriteLine("{0}", p1); } } Program 14.7 Moving a point by mutation. The struct in Program 14.9 is similar to Program 14.2. The difference is that Move in Program 14.9 returns a point, namely the current point, denoted by this. But - as shown in Program 14.10 this causes troubles in some situations. Following the program we will explain the reason. 1 2 3 4 5 6 7 8 9 10 11 12 13 14 15 16 17 18 19 using System; public struct Point { private double x, y; public Point(double x, double y){ this.x = x; this.y = y; } public double Getx (){ return x; } public double Gety (){ return y; } public Point Move(double dx, double dy){ x += dx; y += dy;
110 20 21 22 23 24 25 26 return this; // returns a copy of the current object } public override string ToString(){ return "Point: " + "(" + x + "," + y + ")" + "."; } } Program 14.9 The struct Point - mutable, where move returns a Point. In Program 14.10 the expression p1.Move(3.0, 4.0).Move(5.0, 6.0) is parsed as (p1.Move(3.0, 4.0)).Move(5.0, 6.0) due the left associativity of the dot operator. So p1 is first moved by 3.0 and 4.0 to (4, 6). Move returns a new copy of the point (4, 6). (This observation is important). This new copy of the point is an anonymous point, because it it is not contained in any variable. The anonymous point is then moved to (9.0, 12.0). In line 9 of Program 14.10 we print p1, which - as argued - is located at (4, 6). The program output shown in Listing 14.11 confirms our observations. 1 2 3 4 5 6 7 8 9 10 11 using System; public class Application{ public static void Main(){ Point p1 = new Point(1.0, 2.0); p1.Move(3.0, 4.0).Move(5.0, 6.0); Console.WriteLine("{0}", p1); // Where is p1 located? } } Program 14.10 Application the struct Point - Cascaded moving. 1 Point: (4,6). Listing 14.11 Output from the application. The state of affairs in Program 14.10 is not satisfactory. We have mixed imperative and functional programming in an unfortunate way. In the following section we will make another version of Move that works as expected when used in the cascading manner, such as in the expression p1.Move(3.0, 4.0).Move(5.0, 6.0). The new version will be programmed in a functional way, and it will illustrate use of immutable structs. 14.7. Examples of immutable structs in C# Lecture 4 - slide 14 As an alternative to Move in Program 14.9 we can program Move in such a way that an expression like p.Move(7.0, 8.0) returns a new point, different from the point in p. The new point is displaced 7.0 in the x direction and 8.0 in the y direction relative to the point in p. The state of p is not changed by Move. We typically want to get hold on the new point in an assignment, such as in q = p.Move(7.0, 8.0);
111 Program 14.12 shows yet another version of struct Point, in which Move constructs and returns a new point. In this version Point is immutable. Once constructed we never change the coordinates of a point. This is signalled by making the instance variables x and y readonly, see line 4. Notice the difference between Move in Program 14.12 and Move in Program 14.9. 1 2 3 4 5 6 7 8 9 10 11 12 13 14 15 16 17 18 19 20 21 22 23 24 25 using System; public struct Point { private readonly double x, y; public Point(double x, double y){ this.x = x; this.y = y; } public double Getx (){ return x; } public double Gety (){ return y; } public Point Move(double dx, double dy){ return new Point(x+dx, y+dy); } public override string ToString(){ return "Point: " + "(" + x + "," + y + ")" + "."; } } Program 14.12 The struct Point - immutable. In Program 14.13 we show the counterpart to Program 14.10 and Program 14.7. The expression p1.Move(3.0, 4.0).Move(5.0, 6.0) now does the following: 1. p1.Move(3.0, 4.0) returns a copy of the point in p1. The copy is located in (4,6). 2. The point in (4,6) is moved to (9,12) by the second call to Move. This creates yet another point. The 'yet another point' is finally copied into the variable p2. 1 2 3 4 5 6 7 8 9 10 11 12 13 using System; public class Application{ public static void Main(){ Point p1 = new Point(1.0, 2.0), p2; p2 = p1.Move(3.0, 4.0).Move(5.0, 6.0); Console.WriteLine("{0} {1}", p1, p2); } } Program 14.13 Application the struct Point - immutable.
112 As shown in Listing 14.14 the original point in p1 is not altered. The point, which finally is copied into p2, is located as expected. 1 Point: (1,2). Point: (9,12). Listing 14.14 Output from the application. There is a misfit between mutable datatypes and use of value semantics It is recommended to use structs in C# together with a functional programming style The deep insight of all this is that we should strive for a functional programming style when we deal with structs. Structs are born to obey value semantics. This does not fit with the 'imperative point mutation' idea, as exemplified in Program 14.9 and Program 14.10. Use the style in Program 14.12 and Program 14.13 instead. In this and the previous section I have benefited from Sestoft's and Hansen's explanations and examples from the book C# Precisely. Exercise 4.2. Are playing cards and dice immutable? Evaluate and discuss the classes Die and Card with respect to mutability. (If you access this exercise from the web edition there are direct links to the relevant versions of class Die and class Card). Make sure that you understand what mutability means relative to the concrete code. Explain it to your fellow programmers! More specific, can you argue for or against the claim that a Die instance/value should be mutable? And similarly, can you argue for or against the claim that a Card instance/value should be mutable? Why is it natural to use structs for immutable objects and classes for mutable objects? Please compare your findings with the remarks in 'the solution' when it is released. 14.8. Boxing and Unboxing Lecture 4 - slide 15 C# has a uniform type system in the sense that both values types and reference types are compatible. Conceptually, the compatibility is ensured by the fact that both value types and reference types are derived from the class Object. See Section 28.2. Operationally, the compatibility is ensured by the boxing of value types. This will be the theme in this section. Boxing involves a wrapping of a value in an object of the class Object Unboxing involves an unwrapping of a value from an object
113 • Boxing • Done as an implicit type conversion • Involves allocation of a new object on the heap and copying of the value into that object • Unboxing • Done explicitly via a type cast • Involves extraction of the value of a box Boxing takes place when a simple value or a struct is bound to a variable or a parameter of reference type. This is, for instance, the case if an integer value is passed to a parameter of type Object in a method. When a value is boxed it is embedded in an object on the heap, together with information about the type of the value. If the boxed value (an object) is unboxed it can therefore be checked if the unboxing makes sense. In Program 14.15 we first illustrate boxing of an integer i and a boolean b in line 8 and 9. The boxing is done implicitly. Next follows unboxing of the already boxed values in line 11 and 12. Unboxing must be done explicitly. Unboxing is accomplished by casts, both in the assignments to j and c, respectively, and in the context of the arithmetic and logical expressions. Line 14 and 15 illustrate attempts to do unboxing without casts. This is illegal, and the compiler finds out. We are able to print both objects and values in the final WriteLine of Program 14.15. This is because the method ToString uses the type information of a boxed value to provide for natural generation of a printable string. 1 2 3 4 5 6 7 8 9 10 11 12 13 14 15 16 17 18 19 20 21 22 23 24 using System; public class BoxingTest{ public static void Main(){ int i = 15, j, k; bool b = false, c, d; Object obj1 = i, // boxing of the value of i obj2 = b; // boxing of the value of b j = (int) obj1; // unboxing obj1 c = (bool) obj2; // unboxing obj2 // k = i + obj1; // Compilation error // d = b && obj2; // Compilation error k = i + (int)obj1; d = b && (bool)obj2; Console.WriteLine("{0}, {1}, {2}, {3}, {4}, {5}, {6}, {7}", i, obj1, b, obj2, j, c, k, d); } } Program 14.15 A program that illustrates boxing and unboxing. The output of the program is shown in Listing 14.16.
114 1 15, 15, False, False, 15, False, 30, False Listing 14.16 Output of the boxing and unboxing program. 14.9. Nullable types Lecture 4 - slide 16 A variable of reference type can be null A variable of value type cannot be null A variable of nullable value type can be null Nullable types provide a solution to the following desire: All values of a value type t (such as int) 'are in use'. In some programs we wish to have a distinguished value in t which stands for 'no value'. When we use reference types we use the distinguished null value for such purposes. However, when we program with value types this is not possible. Therefore the concept of nullable types has been invented. It allows a variable of a value type to have the (distinguished) null value. Before we see how nullable types are expressed in C# we will take a look at a motivating example, programmed without use of nullable types. The full details of the example are available in the web-version of the material. In Program 14.17 (only on web) we program a simple integer sequence class, which represents an ordered sequence of integer values. We provide this type with Min and Max operations. The problem is which value to return from Min and Max in case the sequence is empty. In Program 14.17 we return -1, but this is a bad solution because -1 may very well be the minimum or the maximum number in the sequence. Please make sure that you understand the problem in Program 14.17 before you proceed. In Program 14.18 we show another version of class IntSequence. In this solution, the methods Min and Max return a value of type int?. int? means a nullable integer type. Thus, the value null is a legal value in int?. This is exactly what we need because Min and Max are now able to signal that there is no minimum/maximum value in an empty sequence. 1 2 3 4 5 6 7 8 9 10 11 12 13 14 15 16 public class IntSequence { private int[] sequence; public IntSequence(params int[] elements){ sequence = new int[elements.Length]; for(int i = 0; i < elements.Length; i++){ sequence[i] = elements[i]; } } public int? Min(){ int theMinimum; if (sequence.Length == 0) return null; else {
115 17 18 19 20 21 22 23 24 25 26 27 28 29 30 31 32 33 34 35 36 37 38 39 40 theMinimum = sequence[0]; foreach(int e in sequence) if (e < theMinimum) theMinimum = e; } return theMinimum; } public int? Max(){ int theMaximum; if (sequence.Length == 0) return null; else { theMaximum = sequence[0]; foreach(int e in sequence) if (e > theMaximum) theMaximum = e; } return theMaximum; } // Other useful sequence methods } Program 14.18 An integer sequence with Min and Max operations - with int?. In Program 14.19 we show an application of class IntSequence, where we illustrate both empty and non- empty sequences. Notice the use of the property HasValue in line 14. The property HasValue can be applied on a value of a nullable type. The output of the program is shown in Listing 14.20 (only on web). 1 2 3 4 5 6 7 8 9 10 11 12 13 14 15 16 17 18 19 20 21 using System; class IntSequenceClient{ public static void Main(){ IntSequence is1 = new IntSequence(-5, -1, 7, -8, 13), is2 = new IntSequence(); ReportMinMax(is1); ReportMinMax(is2); } public static void ReportMinMax(IntSequence iseq){ if (iseq.Min().HasValue && iseq.Max().HasValue) Console.WriteLine("Min: {0}. Max: {1}", iseq.Min(), iseq.Max()); else Console.WriteLine("Int sequence is empty"); } } Program 14.19 A client of IntSequence. Let us now summarize the important properties of nullable types in C#:
116 • Many operators are lifted such that they also are applicable on nullable types • An implicit conversion can take place from t to t? • An explicit conversion (a cast) is needed from t? to t The observations about implicit conversion from a non-nullable type t to its nullable type t? is as expected. A value in a narrow type can be converted to a value in a broader type. The other way around requires an explicit cast. Only value types can be nullable. It is therefore possible to have nullable struct types. It is only possible to built a nullable type on a non-nullable type. Therefore, the types t??, t???, etc. are undefined in C#. A nullable type t? is itself a value type. It might be tempting to consider a value v of t? as a boxing of v (see Section 14.8). This is, however, not a correct interpretation. A boxed value belongs to a reference type. A value in t? belongs to a value type. The nullable type t? is syntactic sugar for the type Nullable<t> for some given value type t. Nullable<t> is a generic struct, which we discuss briefly in Section 42.7. The type bool? has three values: true, false, and null. The operators & and | have been lifted to deal with the null value. In addition, conditional and iterative control structures allow control expressions of type bool?. In these control structures null counts as false. The null-coalescing C# operator ?? is convenient when we work with nullable types. The expression x ?? y is a shortcut of x != null ? x : y. The ?? operator can be used to provide default values of variables of nullable types. In the context of int? i = null, j = 7; the expression i ?? 5 returns 5, but j ?? 5 returns 7. The ?? operator can also be used on reference types!
117 15. Organization of C# Programs This chapter is of a different nature than the previous chapters. At this point you are supposed to be able to program simple classes, like the Die class in Program 10.1, the Point class in Program 11.2, and the BankAccount class in Program 11.5. Eventually, it will be necessary to care about how classes are organized in relation to each other. We chose to cover C# program organization now. In case you are not motivated for these issues, you can skip the chapter at this point in time. But you are advised to come back to it before you start writing large C# programs. If you want to read more about the organization of C# programs, you are recommended to study chapter 16 of C# Language Specification [ECMA-334]. We show a lot of examples in this chapter. In the web edition, all examples are present. In the paper edition, only the most fundamental examples appear. Therefore, if you want to understand all the details of this chapter, read the web edition. 15.1. Program Organization Lecture 4 - slide 18 The structure and organization of a C# program is radically different from the structure and organization of both C programs and Java programs. Below we emphasize some important observations about the organization of C# programs. • C# programs are organized in namespaces • Namespace can contain types and - recursively - other namespaces • Namespaces (and classes) in relation to files: • One of more namespaces in a single file • A single namespace in several files • A single class in several files - partial classes • The mutual order of declarations is not significant in C#. • No declaration before use. • When compiled, C# programs are organized in assemblies • .exe and .dll files As noticed above, a single namespace can be spread out on several source files. In Section 11.12 we have also seen that a single class - called a partial class - can be defined in two or more source files.
118 15.2. Examples of Program Organization Lecture 4 - slide 19 In the majority of the small programs, which we present in this material, namespaces do not appear explicitly. Most of the programs we have shown until now in this material follow the pattern of Program 15.1. 1 2 3 4 5 6 7 8 9 10 11 12 13 // The most simple organization // A class located directly in the global namespace // In source file ex.cs using System; public class C { public static void Main(){ Console.WriteLine("The start of the program"); } } Program 15.1 A single class in the anonymous default namespace. In Program 15.1 the class C is a member of the (implicitly stated) global name space. The compilation of the program in Program 15.1 can be done as shown in Listing 15.2 (only on web). Below, in Program 15.3 the namespaces N1 and N2 are members of the global name space. N2 contains a nested namespace called N3. You should use namespaces to group classes that somehow belong together, either conceptually or according the architecture of the software you are creating. Namespaces are also useful if you have identically named types (such as two classes with the same name) that should coexist. In that case, place the conflicting types in different namespaces, and be sure to use the involved namespaces with qualified access - "namespace dotting". Use of several namespaces, such as N1, N2, and N3 in Program 15.3 is, in general, relevant only in large programs with many types. 1 2 3 4 5 6 7 8 9 10 11 12 13 14 15 16 17 18 // Several namespaces, including nested namespaces. // In source file ex.cs namespace N1 { public class C1{}; } namespace N2 { internal class C2{}; public class C3{}; namespace N3 { public class C4{ C2 v; } } } Program 15.3 Two namespaces and a nested namespace with classes.
119 In Program 15.4 we show how to use the classes C1, C2, C3, and C4 from Program 15.3. The using directives import the types of a namespace. Importing a namespace N implies that types T in N can be used without qualification. Thus, we can write T instead of N.T. The three using directives in line 15-17 of Program 15.4 open up the namespaces N1, N2 and N2.N3. If the namespaces in Program 15.3 and the client class shown in Program 15.4 are compiled to two different assemblies (dll files) then C2 cannot be used in the Client class. The reason is that C2 is internal in its assembly. 1 2 3 4 5 6 7 8 9 10 11 12 13 14 15 16 17 18 19 20 21 22 23 24 25 26 // A client program // In source file client.cs /* Namespace N1 public class C1 Namespace N2 internal class C2 public class C3 Namespace N3 public class C4 */ using N1; using N2; using N2.N3; public class Client{ C1 v = new C1(); // The type or namespace name 'C2' could not be found. // C2 w = new C2(); C3 x = new C3(); C4 y = new C4(); } Program 15.4 A client of classes in different namespaces. If you avoid the using directives, you are punished with the need to use a lot of "namespace dotting". If you wish to see the effect of this, please consult Program 15.5 (only on web) The compilation of Program 15.3 together with Program 15.5 and Program 15.4 (only on web) is shown in Listing 15.6 (only on web). Nested namespaces can be given by textual nesting, as shown in Program 15.3 or in Program 15.7 (only on web). Alternatively, it can be given as shown in Program 15.8. In Program 15.8 the namespaces N2 and N3 are both member of the namespace N1. Thus, the situation in Program 15.8 is identical to the situation shown in Program 15.7 (only on web).
120 1 2 3 4 5 6 7 8 9 10 11 12 // Equivalent to the previous program // No physical namespace nesting // In source file ex-equiv.cs namespace N1.N2 { public class C1{}; public class C2{}; } namespace N1.N3 { public class C3{} } Program 15.8 Equivalent program with nested namespaces - no physical nesting. The classes C1, C2, and C3 of either Program 15.8 or Program 15.7 (only on web) can be used in a Client class, as shown in Program 15.9 (only on web). The compilation can be done as shown in Listing 15.10 (only on web). A namespace, such as Intro in Program 15.11 is open ended in the sense that stuff can be added to Intro from another source file. Both Program 15.11 and Program 15.12 contribute to the Intro namespace. Thus, when the two source files are taken together, Intro contains the types A, B, and C. The use of the namespace Intro is shown in Client class in Program 15.13 (only on web). In Listing 15.14 (only on web) we show how to compile the two source files f1.cs and f2.cs behind the namespace Intro together. 1 2 3 4 5 6 7 8 9 10 11 12 13 14 15 16 17 18 19 20 21 22 23 24 // f1.cs: First part of the namespace Intro using System; namespace Intro{ internal class A { public void MethA (){ Console.WriteLine("This is MethA in class Intro.A"); } } public class B { private A var = new A(); public void MethB (){ Console.WriteLine("This is MethB in class Intro.B"); Console.WriteLine("{0}", var); } } } Program 15.11 Part one of namespace Intro with the classes A and B. 1 2 3 4 5 6 // f2.cs: Second part of the namespace Intro using System; namespace Intro{
121 7 8 9 10 11 12 13 14 15 16 17 public class C { private A var1 = new A(); private B var = new B(); public void MethC (){ Console.WriteLine("This is MethC in class Intro.C"); Console.WriteLine("{0}", var); Console.WriteLine("{0}", var1); } } } Program 15.12 Part two of namespace Intro with the class C. The problem reported in line 18 of Program 15.13 relies on the compilation of the program to two different assemblies, as shown in Listing 15.14. If both the Intro namespace and the Client class are compiled to a single assembly there will be no error in line 18. The compilations shown in Listing 15.14 illustrate how to compile the files f1.cs and f2.cs together. In general, it is possible to compile a number of C# source files together as though these source files were contained in a single large source file. This way of compilation is often an easy way to compile a number of C# source files that depend on each other in circular ways. Alternatively, each file must be compiled in isolation and in a particular order, with use of the reference compiler option. Notice also, from Listing 15.14, that you can control the name of the assembly via use of the out compiler option. 15.3. Namespaces and Visibility Lecture 4 - slide 20 In this section we summarize the visibility rules of types and namespaces, both of which can occur in (other) namespaces. • Types declared in a namespace • Can either have public or internal access • The default visibility is internal • Internal visibility is relative to an assembly - not a namespace • Namespaces in namespaces • There is no visibility attached to namespaces • A namespace is implicitly public within its containing namespace You should pay attention to the default visibility of types in namespaces. If you do not give a visibility modifier of a type T (a class, for instance) in a namespace N, T is internal in N. This may lead to surprises if you in reality forgot to state that T should have been public. We have already discussed this in Section 11.16.
122 15.4. Namespaces and Assemblies Lecture 4 - slide 21 • Namespaces • The top-level construct in a compilation unit • May contain types (such as classes) and nested namespaces • Identically named members of different namespaces can co-exist • There is no coupling between classes/namespaces and source files/directories • Assemblies • A packaging construct produced by the compiler • Not a syntactic construct in C# • A collection of compiled types - together with resources on which the types depend • Versioning and security settings apply to assemblies The file/directory organization, the namespace/class organization and the assembly organization are relatively independent of each other 15.5. References [Ecma-334] "The C# Language Specification", June 2005. ECMA-334.
123 16. Patterns and Techniques Throughout this material we there will be chapters titled "Patterns and Techniques". A number of such chapters are oriented towards object-oriented design patterns. In Section 16.1 we therefore introduce the general idea of design patterns, and in Section 16.2 we specialize this to a discussion of object-oriented design patterns. In Section 16.3 we encounter the first object-oriented design pattern, the one called Singleton. In Section 16.5 we discuss how to avoid leaking private information from a class. 16.1. Design Patterns Lecture 4 - slide 23 Design patterns originate from the area of architecture, and they were pioneered by the architect Christopher Alexander. The following is an attempt to give a very dense and concentrated definition of design patterns. A pattern is a named nugget of instructive information that captures the essential structure and insight of a successful family of proven solutions to a recurring problem that arises within a certain context and system of forces [Brad Appleton] Each of the important, underlined words - and a few more - are addressed below: • Named: Eases communication about problems and solutions • Nugget: Emphasizes the value of the pattern • Recurring problem: A pattern is intended to solve a problem that tends to reappear. • Proven solution: The solution must be proven in a number of existing programs • Nontrivial solution: We are not interested in collecting trivial and obvious solutions • Context: The necessary conditions and situation for applying the pattern • Forces: Considerations and circumstances, often in mutual conflict with each other A set of design patterns serve as a catalogue of well-proven solutions to (more or less) frequently occurring problems. A design pattern has a name that eases the communication among programmers. A design pattern typically reflects a solution to a problem, which is non-trivial and distanced from naive and obvious solutions. 16.2. Object-oriented Design Patterns Lecture 4 - slide 24 Object-oriented design patterns were introduced in the book "Design Patterns - Elements of Reusable Object-Oriented Software" by Gamma, Helm, Johnson and Vlissides. Numerous books have been written about design patterns (and other kinds of patterns as well). The book mentioned above, [Gamma96], was the first and original one, and it still has a particular status in the area. It
124 is often referred to as the GOF (Gang of Four) book. The patterns and pattern categories mentioned below stem from the original book. • Twenty three patterns categorized as • Creational Patterns • Abstract factory, Factory method, Singleton, ... • Structural Patterns • Adapter, Composite, Proxy, ... • Behavioral Patterns • Command, Iterator, Observer, ... There are patterns in a variety of different areas, and at various levels of abstractions 16.3. The Singleton pattern Lecture 4 - slide 25 The concrete contribution of this chapter is the Singleton design pattern. As stated below, use of Singleton is intended to ensure that a given class can be instantiated at most once. Problem: For some classes we wish to guarantee that at most one instance of the class can be made. Solution: The singleton design pattern The idea of Singleton is to remove the constructor from the client interface. This is done by making it private. Instead of the constructor the class provides a public static method, called Instance in Program 16.1, which controls the instantiation of the class. Inside the Instance method the private constructor is available, of course. The private, static variable uniqueInstance keeps track of an existing instance (if it exists). If there already exists an instance, the Instance method returns it. If not, Instance creates an instance and assigns it to the variable uniqueInstance for future use. All this appears in Program 16.1. 1 2 3 4 5 6 7 8 9 10 11 12 13 14 15 16 17 18 19 public class Singleton{ // Instance variables private static Singleton uniqueInstance = null; private Singleton(){ // Initialization of instance variables } public static Singleton Instance(){ if (uniqueInstance == null) uniqueInstance = new Singleton(); return uniqueInstance; } // Methods
125 20 } Program 16.1 A template of a singleton class. Let us program a singleton Die class. It is shown below in Program 16.2. We have already seen the Die class in Section 10.1 (Program 10.1) and Section 12.4 (Program 12.5). It should be easy to recognize the pattern from Program 16.1 in Program 16.2. 1 2 3 4 5 6 7 8 9 10 11 12 13 14 15 16 17 18 19 20 21 22 23 24 25 using System; public class Die { private int numberOfEyes; private Random randomNumberSupplier; private int maxNumberOfEyes; private static Die uniqueInstance = null; private Die (){ randomNumberSupplier = new Random(unchecked((int)DateTime.Now.Ticks)); this.maxNumberOfEyes = 6; Toss(); } public static Die Instance(){ if (uniqueInstance == null) uniqueInstance = new Die(); return uniqueInstance; } // Die methods: Toss and others } Program 16.2 A singleton Die class. Let us know bring the singleton Die class into action. It is done in Program 16.3. First notice that we cannot just instantiate the singleton Die class. The compiler will complain. In Program 16.3 we attempt to make two dice with use of the Instance method. In reality, the second call of Instance returns the same die as returned by the first call of Instance. Thus, d2 and d3 refer to the same object. The program first tosses the die referred by d2 four times, and next it tosses the die referred by d3 five times. In reality the same die is tossed nine times. The output of the die tossing program is shown in Listing 16.4 (only on web). Recall our very first class example in Section 10.1. In Program 10.2 the three different Die objects tossed in identical ways. The reason is that they use three separate - but identically seeded - Random objects. The solution is to use a singleton Random class, which ensures that at most a single Random object can exist. The three Die objects will share the Random object. With this organization we solve the "parallel tossing problem". Please consult Exercise 3.7 and its solution. 1 2 3 4 5 6 7 8 using System; class diceApp { public static void Main(){ // Die d1 = new Die(); // Compile-time error: // The type 'Die' has no constructors defined
126 9 10 11 12 13 14 15 16 17 18 19 20 21 22 23 24 25 26 27 28 29 30 Die d2 = Die.Instance(), d3 = Die.Instance(); for(int i = 1; i < 5; i++){ Console.WriteLine(d2); d2.Toss(); } for(int i = 5; i < 10; i++){ Console.WriteLine(d2); d3.Toss(); } // Test for singleton: if (d2 == d3) Console.WriteLine("d2 and d3 refer to same die instance"); else Console.WriteLine("d2 and d3 do NOT refer to same die instance"); } } Program 16.3 Application of the singleton Die class. You may ask if Singleton is important in everyday programming. How often do we have a class that only can give rise to one object? The singleton Die shown above is not a very realistic use of Singleton. Singleton is probably not the most frequently used pattern. But every now and then we encounter classes, which it does not make sense to instantiate multiple times. In these situations is it nice to know how to proceed. Use Singleton instead of a homegrown ad hoc solution! There are additional details which can be brought up in the context of Singleton, see [singleton-msdn]. 16.4. Factory methods Lecture 4 - slide 27 As we have seen in Chapter 12, instantiation of classes by use of programmed constructors is the primary means for creation of new objects. In some situations, however, direct use of constructors is not flexible enough. In this section we will see how we can make good use of static methods as a supplementary means for object creation. Such methods are called factory methods. We have already studied class Point several times, see Section 11.6 and Section 14.6. In the version of class Point shown in Program 16.5 below we need constructors for both polar and rectangular initialization of points. Recall that rectangular represented points have ordinary (x,y) coordinates and that polar represented points have (r,a) - radius and angle - coordinates. If we use two constructors for the initialization, both will take two double parameters. In Program 16.5 we supply an extra enumeration parameter to the last constructor, shown in line 16. This is an ugly solution.
127 1 2 3 4 5 6 7 8 9 10 11 12 13 14 15 16 17 18 19 20 21 22 23 24 25 26 27 28 29 30 31 32 33 34 35 using System; public class Point { public enum PointRepresentation {Polar, Rectangular} private double r, a; // polar data repr: radius, angle // Construct a point with polar coordinates public Point(double r, double a){ this.r = r; this.a = a; } // Construct a point, the representation of which depends // on the third parameter. public Point(double par1, double par2, PointRepresentation pr){ if (pr == PointRepresentation.Polar){ r = par1; a = par2; } else { r = RadiusGivenXy(par1,par2); a = AngleGivenXy(par1,par2); } } private static double RadiusGivenXy(double x, double y){ return Math.Sqrt(x * x + y * y); } private static double AngleGivenXy(double x, double y){ return Math.Atan2(y,x); } // Remaining Point operations not shown } Program 16.5 A clumsy attempt with two overloaded constructors. In Program 16.6 we show another version, in which the constructor is private. From the outside, the two static factory methods MakePolarPoint and MakeRectangularPoint are used for construction of points. Internally, these methods delegate their work to the private constructor. This is a much more symmetric solution than Program 16.5, and it allows us to have good names for the "constructors" - or more correctly, the factory methods. 1 2 3 4 5 6 7 8 9 10 11 12 13 14 15 using System; public class Point { public enum PointRepresentation {Polar, Rectangular} private double r, a; // polar data repr: radius, angle // Construct a point with polar coordinates private Point(double r, double a){ this.r = r; this.a = a; } public static Point MakePolarPoint(double r, double a){
128 16 17 18 19 20 21 22 23 24 25 26 27 28 29 30 31 32 return new Point(r,a); } public static Point MakeRectangularPoint(double x, double y){ return new Point(RadiusGivenXy(x,y),AngleGivenXy(x,y)); } private static double RadiusGivenXy(double x, double y){ return Math.Sqrt(x * x + y * y); } private static double AngleGivenXy(double x, double y){ return Math.Atan2(y,x); } // Remaining Point operations not shown } Program 16.6 A better solution with static factory methods. In the web-edition of this material we present another example of factory methods. This example is given in the context of the Interval struct, which we will encounter in Section 21.3. The constructor problem of this type is that structs do not allow parameterless constructors. It is, however, natural for us to have a parameterless constructor for an empty interval. Program 16.7 (only on web) shows a clumsy solution, and Program 16.8 (only on web) shows a more satisfactory solution that uses a factory method. In Section 32.10 we come back to factory methods, and in particular to an object-oriented design pattern called Factory Method, which relies on inheritance. Chose a coding style in which factory methods are consistently named: Make...(...)
129 16.5. Privacy Leaks Lecture 4 - slide 29 The discussion in this section is inspired by the book Absolute Java by Walter Savitch. Privacy leaks is normally not thought of as a design pattern. Problem: A method can return part of its private state, which can be mutated outside the object To be concrete, let us look at the problem in context of Program 16.9 and Program 16.10. We use properties in this example. Properties will be introduced in Chapter 18. On the slide belonging to this example we show a version with methods instead. The class Person represents the birth date as a Date object. In order to make our points clear we provide a simple implementation of the Date class in Program 16.9. In real-life programming we would, of course, use C#'s existing DateTime struct. You should notice that the property DateOfBirth in line 17-19 of Program 16.10 returns a reference to a private Date object, which represents the person's birthday. The client of class Person, shown in Program 16.11 mutates the Date object referred by d. The mutation of the Date objects takes place in line 10. This object came from the birthday of person p. Is this at all reasonable to do so, you may ask. I would answer "yes". If you have access to a mutable Date object chances are that you will forget were it came from, and eventually you may be tempted to modify (mutate) it. As shown in the output of the client program, in Listing 16.12, Hanne is now 180 years old. We have managed to modify her age despite the fact the birthday is private in class Person. As of now we leave it as an exercise to find good solutions to this problem, see Exercise 4.3. 1 2 3 4 5 6 7 8 9 10 11 12 13 14 15 16 17 18 19 20 21 22 23 24 25 26 27 public class Date{ private ushort year; private byte month, day; public Date(ushort year, byte month, byte day){ this.year = year; this.month = month; this.day = day; } public ushort Year{ get{return year;} set{year = value;} } public byte Month{ get{return month;} set{month = value;} } public byte Day{ get{return day;} set{day = value;} } public override string ToString(){ return string.Format("{0}.{1}.{2}",day, month, year); } } Program 16.9 A Mutable Date class.
130 1 2 3 4 5 6 7 8 9 10 11 12 13 14 15 16 17 18 19 20 21 22 23 24 25 26 27 28 29 30 31 32 33 public class Person{ private string name; private Date dateOfBirth, dateOfDeath; public Person (string name, Date dateOfBirth){ this.name = name; this.dateOfBirth = dateOfBirth; this.dateOfDeath = null; } public string Name{ get {return name;} set {name = value;} } public Date DateOfBirth{ get {return dateOfBirth;} } public ushort AgeAsOf(Date d){ return (ushort)(d.Year - dateOfBirth.Year); } public bool Alive(){ return dateOfDeath == null; } public override string ToString(){ return "Person: " + name + " " + dateOfBirth; } } Program 16.10 A Person class that can return its private birth Date. 1 2 3 4 5 6 7 8 9 10 11 12 13 14 15 16 17 18 using System; class Client{ public static void Main(){ Person p = new Person("Hanne", new Date(1926, 12, 24)); Date d = p.DateOfBirth; d.Year -= 100; Console.WriteLine("{0}", p); Date today = new Date(2006,8,31); Console.WriteLine("Age of Hanne as of {0}: {1}.", today, p.AgeAsOf(today)); } } Program 16.11 A client of the Person which modifies the returned birth Date. 1 2 Person: Hanne 24.12.1826 Age of Hanne as of 31.8.2006: 180. Listing 16.12 The output of the Person client program.
131 Exercise 4.3. Privacy Leaks The starting point of this exercise is the observations about privacy leaks on the accompanying slide. Make sure that you understand the problem. Test-drive the program (together with its dependent Person class and Date class) on your own computer. If you have not already done so, read the section about privacy leaks in the textbook! Find a good solution to the problem, program it, and test your solution. Discuss to which degree you will expect that this problem to occur in everyday programming situations. We return to the Date and Person classes in Section 20.4 and Section 20.5. In these sections we also comment on the privacy leak problem. 16.6. References [Gamma96] E. Gamma, R. Helm, R. Johnson and J. Vlissides, Design Patterns: Elements of Reusable Object-oriented Software. Addison Wesley, 1996. [Singleton-msdn] MSDN: Implementing Singleton in C# http://msdn.microsoft.com/en-us/library/ms998558.aspx
132
133 17. Accessing Data in Objects This is the start of the lectures about data access and operations. In this and the following sections we will discuss the various operations in classes, in particular how to access data which is encapsulated in objects. By data access we mean both reading (getting) and writing (setting). In this material we use the word operation as a conceptual term. There is nothing called an "operations" in C#. Rather, there are methods, properties, indexers, operators etc. Thus, when we in this teaching material use the word operation it covers - in a broad sense - methods, properties, indexers, operators, events, delegates, and lambda expressions. 17.1. Indirect data access Lecture 5 - slide 2 It is not a good idea to access the instance variables of a class directly from client classes. We have already discussed this issue in relatively great details in Section 11.3 and Section 11.5. Data encapsulated in a class is not accessed directly from other classes Rather, data is accessed indirectly via operations So the issue is indirect data access instead of direct data access, when we work on a class from the outside (from other classes, the client classes). When we use indirect data access, the data are accessed through some procedure or function. This procedure or function serves as the indirection in between the client, which makes use of the data, and the actual data in the class. This "place of indirection" allows us to carry out checks and other actions in the slipstream of data access. In addition, the procedures and functions that serve as indirection, makes it possible to program certain compensations if the data representation is modified at a later point in time. With this, the client classes of a class C are more likely to survive future modifications of the data, which C encapsulates. It is possible to calculate the data instead of accessing it from variables in the memory. The following summarizes why indirect data access is better than direct data access. • Protects and shields the data • Possible to check certain conditions each time the data is accessed • Possible to carry out certain actions each time the data is accessed • Makes it easier - in the future - to change the data representation • Via "compensations" programmed in the accessing operations • Makes it possible to avoid the allocation of storage for some data • Calculating instead of storing Protection and shielding may cause the data to be accessed in a conditional data structure. One particular shielding is provided by the precondition of an operation. If the condition does not hold, we may choose not to access the data. In this material, we discuss preconditions in the context of contracts in Chapter 50.
134 In some circumstances it may be convenient to carry out some action whenever the data of a class is accessed. This is probably most relevant when the data in the class is mutated (assigned to new values). Data values, for which we activate a procedure upon data access, are sometimes called active values. Accessor compensation as a remedy of changing the representation of data is undoubtedly the most important issue. We illustrated this issue in the modifications of Program 11.2, as suggested in Exercise 3.3. In a nutshell, we can often fix the consequences of a shift in data representation by modifying the internals of the operations. By keeping the class interface unchanged all the direct and indirect clients of the affected class will survive. No changes are needed in the client classes. This is the effect of firewalls, as already discussed in Section 11.5. 17.2. Overview of data access in C# Lecture 5 - slide 3 Below we summarize the various kinds of data access, as supported by operations in C#: • Directly via public instance variables • Never do that! • Indirectly via properties • Clients cannot tell the difference between access via properties and direct access of instance variables • Indirectly via methods • Should be reserved for "calculations on objects" • Indirectly via indexers • Provides access by means of the notation known from traditional array indexing • Indirectly via overloaded operators • Provides access by means of the language-defined operator symbols In the next chapter we will discuss properties in C#. Chapter 19 is about indexers. Methods will be discussed next in Chapter 20. Overloaded operators are treated in Chapter 21.
135 18. Properties When a client of a class C accesses data in C via properties, the client of C may have the illusion that it accesses data directly. From a notational point of view, the client of C cannot tell the difference between access to a variable in C and access via a property. Properties have not been invented in the process of creating C#. Properties have, in some forms, been used in Visual Basic and Delphi (which is a language in the Pascal family). Properties, in the sense discussed below, are not present in Java or C++. Java only allows data to be accessed directly or via methods. Therefore, in Java, it is always possible for clients of a class C to tell if data is accessed directly from a variable in C or indirectly via a method i C. In C#, it is not. In this material we classify properties as operations, side by side with methods and similar abstractions. Underneath - in the Common Intermediate Language - properties are in fact treated as (getter and setter) methods. 18.1. Properties in C# Lecture 5 - slide 7 When we use a property it looks like direct access of a variable. But it is not. A variable references to a stored location. A property activates a calculation which is encapsulated in an abstraction. The calculations that access data in a class C via properties should be efficient. If not, the clients of C are easily misled. Complicated, time consuming operations should be implemented in methods, see Chapter 20. Let us first present a very simple, but at the same time a very typical example of properties. In Program 18.1 the Balance property accesses the private instance variable balance. Notice that the name of the property is capitalized, and that the name of the instance variable is not. This is a widespread convention in many coding styles. 1 2 3 4 5 6 7 8 9 10 11 12 13 14 15 16 17 18 19 20 21 22 23 24 using System; public class BankAccount { private string owner; private decimal balance; public BankAccount(string owner, decimal balance) { this.owner = owner; this.balance = balance; } public decimal Balance { get {return balance;} } public void Deposit(decimal amount){ balance += amount; } public void Withdraw(decimal amount){ balance -= amount; }
136 25 26 27 28 29 public override string ToString() { return owner + "'s account holds " + + balance + " kroner"; } } Program 18.1 A BankAccount class with a trivial Balance property together with Deposit and Withdraw methods. In class BankAccount it is natural to read the balance via a property, but is problematic to write the balance via a property. Therefore, there is no setter in the Balance property. Instead, Deposit and Withdraw operations (methods) are used. In general we should carefully consider the need for readability and writablity of individual instance variables. The public Balance property as programmed in Program 18.1 provides for read-access to the private instance balance variable. You may complain that this is a complicated way of making the instance variable public. What is important, however, is that at a later point in the program evolution process we may change the private data representation. We may, for instance, eliminate the instance variable balance entirely, but keep the interface to clients - the Balance property - intact. This is illustrated in Program 18.2 below. 1 2 3 4 5 6 7 8 9 10 11 12 13 14 15 16 17 18 19 20 21 22 23 24 25 26 27 28 29 30 31 32 33 34 35 36 37 38 using System; public class BankAccount { private string owner; private decimal[] contributions; private int nextContribution; public BankAccount(string owner, decimal balance) { this.owner = owner; contributions = new decimal[100]; contributions[0] = balance; nextContribution = 1; } public decimal Balance { get {decimal result = 0; foreach(decimal ctr in contributions) result += ctr; return result; } } public void Deposit(Decimal amount){ contributions[nextContribution] = amount; nextContribution++; } public void Withdraw(Decimal amount){ contributions[nextContribution] = -amount; nextContribution++; } public override string ToString() { return owner + "'s account holds " + + Balance + " kroner"; } } Program 18.2 A BankAccount class with a Balance property - without a balance instance variable.
137 The interesting thing to notice is that the balance of the bank account now is represented by the decimal array called contributions in line 6 of Program 18.2. The Balance property in line 16-22 accumulates the contributions in order to calculate the balance of the account. From a client point of view we can still read the balance of the bank account via the Balance property. Underneath, however, the implementation of the Balance getter in line 16-22 of Program 18.2 has changed a lot compared to line 14 of Program 18.1. We show a simple client program in Program 18.3, and its output in Listing 18.4 (only on web). The client program in Program 18.3 can both be used together with BankAccount in Program 18.1 and Program 18.2. Thus, the client program has no awareness of the different representation of the balance in the two versions of class BankAccount. The only thing that matters in the relation between class BankAccount and its client class is the client interface of class BankAccount. 1 2 3 4 5 6 7 8 9 10 11 12 13 14 15 16 17 18 19 using System; class C{ public static void Main(){ BankAccount ba = new BankAccount("Peter", 1000); Console.WriteLine(ba); ba.Deposit(100); Console.WriteLine("Balance: {0}", ba.Balance); ba.Withdraw(300); Console.WriteLine("Balance: {0}", ba.Balance); ba.Deposit(100); Console.WriteLine("Balance: {0}", ba.Balance); } } Program 18.3 A client program. Above we have discussed getting of instance variables in objects. In the BankAccount class we have seen how to access to the balance instance variable via a getter in the property Balance. Technically, it is also possible to change the value of the balance instance variable by a setter. Conceptually, we would rather prefer to update the bank accounts by use of the methods Deposit and WithDraw. Nevertheless, here is the Balance property with both a getter and a setter. public decimal Balance { get {return balance;} set {balance = value;} } The setter is activated in an assignment like b.Balance = expression; The important thing to notice is that the property Balance is located at the left-hand side of the assignment operator. The value of expression is bound to the pseudo variable value in the property, and as it appears in the setter, the value of value is assigned to the instance variable balance. Properties can also be used for getting and setting fields of struct values. In addition, properties can be used to get and set static variables in both classes and structs.
138 This ends the essential examples of the Balance property of class BankAccount. In the web version of the material we provide yet another variation of the Balance property in class BankAccount. In this example, we enforce a strict alternation between getting and setting the balance of a bank account. Please consult the web edition for details. This ends our discussion of the exotic variation of class BankAccount. Exercise 5.1. A funny BankAccount In this exercises we provide a version of class BankAccount with a "funny version" of the Balance property. You should access the exercise via the web version, in order to get access to the source programs involved. Study the Balance property of the funny version of class BankAccount. Explain the behaviour of the given client of the funny BankAccount. Next test-run the program and confirm your understanding of the two classes. Please notice how difficult it is to follow the details when properties - like Balance in the given version of class BankAccount - do not pass data directly to and from the instance variables. 18.2. Properties: Class Point with polar coordinates Lecture 5 - slide 8 We will now look at another very realistic example of properties in C#. The example in Program 18.8 is a continuation of the Point examples in Program 11.2. Originally, and for illustrative purposes, in Program 11.2 we programmed a simple point with public access to its x and y coordinates. We never do that again. The x and y coordinates used in Program 18.8 are called rectangular coordinates because they delineate a rectangle between the point and (0,0). In the class Point in Program 18.8 we have changed the data representation to polar coordinates. In the paper version of the material we show only selected parts of the class. (We have, in particular, eliminated a set of static methods that convert between rectangular and polar coordinates). In the web version the full class definition is included. Using polar coordinates, a point is represented as a radius and an angle. In addition, and as emphasized with purple in Program 18.8 we have programmed four properties, which access the polar and the rectangular coordinates of a point. The properties Angle and Radius are, of course, trivial, because they just access the underlying private instance variables. The properties X and Y require some coordinate transformations. We have programmed all the necessary coordinate transformations in static private methods of class Point. In the web edition of the material these methods are shown at the bottom of class Point. 1 2 3 4 5 // A versatile version of class Point with Rotation and internal methods // for rectangular and polar coordinates. using System;
139 6 7 8 9 10 11 12 13 14 15 16 17 18 19 20 21 22 23 24 25 26 27 28 29 30 31 32 33 34 35 36 public class Point { public enum PointRepresentation {Polar, Rectangular} private double r, a; // Polar data representation public Point(double x, double y){ r = RadiusGivenXy(x,y); a = AngleGivenXy(x,y); } public double X { get {return XGivenRadiusAngle(r,a);} } public double Y { get {return YGivenRadiusAngle(r,a);} } public double Radius { get {return r;} } public double Angle{ get {return a;} } // Some constructors and methods are not shown } Program 18.8 Class Point with polar data representation. Exercise 5.2. Point setters In the Point class on the accompanying slide we have shown how to program getter properties in the class Point. Extend the four properties with setters as well. The new version of this class will support mutable points. Write a small client program that demonstrates the use of the setter properties. Hint: Please be aware that the revised class should allow us to get and set the rectangular and polar coordinates (x, y, angle, radius) of a point independent of each other. You should first consider what it means to do so. 18.3. Automatic Properties Lecture 5 - slide 9 Many of the properties that we write are trivial in the sense that they just get or set a single instance variable. It is tedious to write such trivial properties. It may be possible to ask the programming environment to help with creation of trivial properties. Alternatively in C# 3.0, it is possible for the compiler to generate the trivial properties automatically from short descriptions.
140 Let us study an example, which extends the initial bank account example from Program 18.1. The example is shown in Program 18.9 and the translation done by the compiler is shown in Program 18.10. 1 2 3 4 5 6 7 8 9 10 11 12 13 14 15 16 17 18 19 using System; public class BankAccount{ // automatic generation of private instance variables public BankAccount(string owner, decimal balance){ this.Owner = owner; this.Balance = balance; } public string Owner {get; set;} public decimal Balance {get; set;} public override string ToString(){ return Owner + "'s account holds " + Balance + " kroner"; } } Program 18.9 Class BankAccount with two automatic properties. Based on the formulations in line 12 and 14, the compiler generates the "real properties" shown below in line 13-21 of Program 18.10. As an additional and important observation, it is no longer necessary to define the private instance variables. The compiler generates the private "backing" instance variables automatically. In terms of the example, the lines 5-6 in Program 18.10 are generated automatically. As a consequence of automatically generated instance variables, the instance variables cannot be accessed in the class. The names of the instance variables are unknown, and therefore they cannot be used at all! Instead, the programmer of the class accesses the hidden instance variables through the properties. As an example, the owner and balance are accessed via the properties Owner and Balance in line 17 of the ToString method in Program 18.9. 1 2 3 4 5 6 7 8 9 10 11 12 13 14 15 16 17 18 19 20 21 using System; public class BankAccount{ private string _owner; private decimal _balance; public BankAccount(string owner, decimal balance){ _owner = owner; _balance = balance; } public string Owner { get {return _owner;} set {_owner = value;} } public decimal Balance { get {return _balance;} set {_balance = value;} }
141 22 23 24 25 26 public override string ToString(){ return Owner + "'s account holds " + Balance + " kroner"; } } Program 18.10 An equivalent BankAccount class without automatic properties. Because properties, internally in a class, play the role of instance variables, it is hardly meaningful to have an automatic property with a getter and no setter. The reason is that the underlying instance variable cannot be initialized - simple because its name is not available. Similarly, an automatic property with a setter, but not getter, would not make sense, because we would not be able to access the underlying instance variable. Therefore the compiler enforces that an automatic property has both a getter and a setter. It is possible, however, to limit the visibility of either the getter or setter (but not both). As an example, the following definition of the Balance property public string Balance {get; private set;} provides for public reading, but only writing from within the class. In class BankAccount, this is probably what we want. It is OK to access the balance from outside, but we the account to be updated by use of either the Deposit method or the Withdraw method. Finally, let us observe that the syntax of automatic properties is similar to the syntax used for abstract properties, see Section 30.3. Automatic properties: Reflections and recommendations. FOCUS BOX 18.1FOCUS BOX 18.1FOCUS BOX 18.1FOCUS BOX 18.1 I recommend that you use automatic properties with some care! It is worth emphasizing that a class almost always encapsulates some state - instance variables - some of which can be accessed by properties. It feels strange that we can program in a way - with automatic properties - without ever declaring the instance variables explicitly. And it feels strange that we never, from within the class, refers to the instance variables. Automatic properties are useful in the early life of a class, where we allows for direct (one-to-one) access to the instance variables via methods or properties. In an early version of the class Point of Section 11.6, this was the case. (We actually started with public instance variables, but this mistake is taken care of in Exercise 3.3). Later on, we may internally invent a more sophisticated data representation - or we may change our mind with respect to the data representation. In the Point class we went from a rectangular representation to a polar representation. The data representation details should always be a private and internal concern of the class. When this change happens we have to introduce instance variables, exactly as described in Section 11.8. When doing so we have to get rid of the automatic properties. The introduction of instance variables and the substitution of the automatic properties with 'real properties' represent internal changes to the Point class. The clients of Point will not be affected by these changes. This is the point! In the rest of the lifetime of class Point, it is unlikely that automatic properties will be 'part of the story'. Automatic properties contribute to a C# 3.0 convenience layer on top of already existing means of expressions.
142 18.4. Object Initialization via Properties Lecture 5 - slide 10 In this section we will see that property setters in C#3.0 can be used for initialization purposes in the slipstream of constructors. The properties that we use for such purposes can be automatic properties, as discussed in Section 18.3. Let us again look at a simple BankAccount class, see Program 18.11. The class has two automatic properties, backed by two instance variables, which we cannot access. In addition, the class has two constructors, cf. Section 12.4. 1 2 3 4 5 6 7 8 9 10 11 12 13 14 15 16 17 18 19 20 21 22 using System; public class BankAccount{ // automatic generation of private instance variables public BankAccount(): this("NN") { } public BankAccount(string owner){ this.Balance = 0; this.Owner = owner; } public string Owner {get; set;} public decimal Balance {get; set;} public override string ToString(){ return Owner + "'s account holds " + Balance + " kroner"; } } Program 18.11 Class BankAccount - with two constructors. Below, in Program 18.12 we make an instance of class BankAccount in line 6. As emphasized in purple the owner and balance is initialized by a so-called object initializer, in curly brackets, right after new BankAccount. The initializer refers the setter of the automatic properties Owner and Balance. All together we have made a new bank account by use of the parameterless constructor. The initialization is done by the setters of the Owner and the Balance properties. In line 7 of Program 18.12 we make another instance of class BankAccount, where Owner is initialized via the actual parameter "Bill" passed to the constructor, and the balance is initialized via an object initializer in curly brackets.
143 1 2 3 4 5 6 7 8 9 10 11 12 13 14 using System; public class Client { public static void Main(){ BankAccount ba1 = new BankAccount{Owner = "James", Balance = 250}, ba2 = new BankAccount("Bill"){Balance = 1200}; Console.WriteLine(ba1); Console.WriteLine(ba2); } } Program 18.12 A client of class BankAccount with an object initializer. The compiler translates line 6 of Program 18.12 to line 6-8 in Program 18.13. Similarly, line 7 of Program 18.12 is translated to line 10-11 in Program 18.13. 1 2 3 4 5 6 7 8 9 10 11 12 13 14 15 16 17 using System; public class Client { public static void Main(){ BankAccount ba1 = new BankAccount(); ba1.Owner = "James"; ba1.Balance = 250; BankAccount ba2 = new BankAccount("Bill"); ba2.Balance = 1200; Console.WriteLine(ba1); Console.WriteLine(ba2); } } Program 18.13 An equivalent client of class BankAccount without object initializers. Let us, finally, elaborate the example with the purpose of demonstrating nested object initializers. In Program 18.14 we show the classes BankAccount and Person. As can be seen, an instance of class BankAccount refers to an owner which is an instance of class Person. It turns out to be crucial for the example that the Owner of a BankAccount refers to a Person object (more specifically, that it is not a null reference). 1 2 3 4 5 6 7 8 9 10 11 using System; public class BankAccount{ public BankAccount(){ this.Balance = 0; this.Owner = new Person(); } public Person Owner {get; set;} public decimal Balance {get; set;}
144 12 13 14 15 16 17 18 19 20 21 22 23 24 25 public override string ToString(){ return Owner + "'s account holds " + Balance + " kroner"; } } public class Person { public string FirstName {get; set;} public string LastName {get; set;} public override string ToString(){ return FirstName + " " + LastName; } } Program 18.14 Class BankAccount and class Person. In the Client class, see Program 18.15 we make two BankAccounts , ba1 and ba2. The initializers, emphasized in line 7-9 and 12-14, initialize the Owner of a BankAccount with nested object initializers. Notice that there is no new operator in front of {FirstName = ..., LastName = ...}. The Person object already exists. In this example, it is instantiated in line 7 of Program 18.14 together with the BankAccount. 1 2 3 4 5 6 7 8 9 10 11 12 13 14 15 16 17 18 19 20 using System; public class Client { public static void Main(){ BankAccount ba1 = new BankAccount{ Owner = {FirstName = "James", LastName = "Madsen"}, Balance = 250}, ba2 = new BankAccount{ Owner = {FirstName = "Bill", LastName = "Jensen"}, Balance = 500}; Console.WriteLine(ba1); Console.WriteLine(ba2); } } Program 18.15 A client of class BankAccount with nested object initializers. The use of property names (setters) in object initializers gives the effect of keyword parameters. Keyword parameters refer to a formal parameter name in the actual parameter list. Keyword parameters can be given in any order, as a contrast to positional parameters, which must given in the order dictated by the formal parameter list. In addition, the caller of an abstraction that accepts keyword parameters can choose not to pass certain keyword parameters. In that case, defaults will apply. In case of C#, such default values can be defined within the body of the constructors.
145 18.5. Summary of properties in C# Lecture 5 - slide 11 The syntax of property declarations is shown in Syntax 18.1. Both the get part and the set part are optional. Syntactically, the signature a property declaration is like a method declaration without formal parameters. As can be seen, the syntax of a property body is very different from the syntax of a method body. modifiers return-type property-name{ get {body-of-get} set {body-of-set} } Syntax 18.1 The syntax of a C# property. Here we show both the getter and setter. At least one of them must be present. The following summarizes the characteristics of properties in C#: • Provides for either read-only, write-only, or read-write access • Both instance and class (static) properties make sense • Property setting appears on the left of an assignment, and in ++ and -- • Trivial properties can be defined "automatically" • Properties should be fast and without unnecessary side-effects The following observations about property naming reflect a given coding style. A coding style is not enforced by the compiler. A C# property will often have the same name as a private data member The name of the property is capitalized - the name of the data member is not
146
147 19. Indexers From a notational point of view it is often attractive to access the data, encapsulated in a class or struct, via conventional array notation. Indexers are targeted to provide array notation on class instances and struct values. Indexers can be understood as a specialized kind of properties, see Chapter 18. Both indexers and properties are classified as operations in this material, together with methods and other similar abstractions. 19.1. Indexers in C# Lecture 5 - slide 13 Indexers allow access to data in an object with use of array notation The important benefit of indexers is the notation they make available to their clients. Let us assume that v is a variable that holds a reference to an object obj. With use of methods we can access data in obj with v.method(parameters). In Chapter 18 we introduced properties and the property access notation v.property. We will now introduce the notation v[i], where i typically (but not necessarily) is some integer (index) value. We will start with an artificial ABC example in Program 19.1 which tells how to define an indexer in a class that encapsulates three instance variables d, e, and f. The indexer is used in a client class in Program 19.2. The example introduces the indexer abstraction, but it is not a typical use of an indexer. As it can be seen in Program 19.1 an indexer must be named "this". Like a property, it has a getter and a setter part. The getter is activated when we encounter an expression a[i], where a is a variable of type A. The body of the getter determines the value of a[i]. The setter is activated when we encounter an assignment like a[i] = expression. The value of expression is bound to the implicit parameter named value. The body of the setter determines the effect on the instance variables in obj upon execution of a[i] = expression. In Program 19.1 a[1] accesses the instance variable d, a[2] accesses the instance variable e, and a[3] accesses the instance variable f. This is not a typical arrangement, however. Most often, indexers are used to access members of a data collection. 1 2 3 4 5 6 7 8 9 10 using System; public class A { private double d, e, f; public A(double v){ d = e = f = v; } public double this [int i]{
148 11 12 13 14 15 16 17 18 19 20 21 22 23 24 25 26 27 28 29 30 31 32 33 get { switch (i){ case 1: {return d;} case 2: {return e;} case 3: {return f;} default: throw new Exception("Error"); } } set { switch (i){ case 1: {d = value; break;} case 2: {e = value; break;} case 3: {f = value; break;} default: throw new Exception("Error"); } } } public override string ToString(){ return "A: " + d + ", " + e + ", " + f; } } Program 19.1 A Class A with an indexer. Program 19.2 shows the indexer from Program 19.1 in action. First, in line 9, we illustrate the three setters, where a[i] occurs at the left-hand side of the assignment symbol. Following that, in line 11, we illustrate two getters. The output of Program 19.2 is shown in Listing 19.3 (only on web). 1 2 3 4 5 6 7 8 9 10 11 12 13 14 15 16 using System; class B { public static void Main(){ A a = new A(5); double d; a[1] = 6; a[2] = 7.0; a[3] = 8.0; d = a[1] + a[2]; Console.WriteLine("a: {0}, d: {1}", a, d); } } Program 19.2 A client of A which uses the indexer of A. As an additional example of indexers we will study the class BitArray. This example is only present in the web-version of the material. 19.2. Associative Arrays Lecture 5 - slide 14 In Section 19.1 we showed how to index an object with a single integer index. In this section we will demonstrate that the indexing value can have an arbitrary type. Thus, the type of obj in a[obj] can be an arbitrary type in C#, for instance a type we program ourselves.
149 An associative array is an array which allows indexing by means of arbitrary objects, not just integers An associative arrays maps a set of objects (the indexing objects, keys) to another set of objects (the element objects). In Program 19.6 we illustrate how to index instances of class A with strings instead of integers. If you understood Program 19.1 and Program 19.2 it will also be easy to understand Program 19.6 and Program 19.7. Notice in this context that C#, very conveniently, allows switch control structures to switch on strings. The program output is shown in Listing 19.8 (only on web). 1 2 3 4 5 6 7 8 9 10 11 12 13 14 15 16 17 18 19 20 21 22 23 24 25 26 27 28 29 30 31 32 33 using System; public class A { private double d, e, f; public A(double v){ d = e = f = v; } public double this [string str]{ get { switch (str){ case "d": {return d;} case "e": {return e;} case "f": {return f;} default: throw new Exception("Error"); } } set { switch (str){ case "d": {d = value; break;} case "e": {e = value; break;} case "f": {f = value; break;} default: throw new Exception("Error"); } } } public override string ToString(){ return "A: " + d + ", " + e + ", " + f; } } Program 19.6 The class A indexed by a string. 1 2 3 4 5 6 7 8 9 10 11 12 13 14 15 using System; class B { public static void Main(){ A a = new A(5); double d; a["d"] = 6; a["e"] = 7.0; a["f"] = 8.0; d = a["e"] + a["f"]; // corresponds to d = a.d + a.e // in case d and e had been public Console.WriteLine("a: {0}, d: {1}", a, d); }
150 16 } Program 19.7 A client of A which uses the string indexing of A. We have seen that it makes sense to index with strings, and more generally with an arbitrary instance of a class. In fact, it is possible to base the indexing on two or more objects. This is, of course, important if we index multi-dimensional data structures. Associative arrays are in C# implemented by means of hashtables in dictionaries In the lecture about collections, see Chapter 46, we will see how to make use so-called dictionaries (typically implemented as hash tables) for efficient data structures that map a set of objects to another set of objects. Indexers, as discussed in this section chapter, provide a convenient surface notation to deal with such dictionaries. In Section 46.2 the indexer prescribed by the generic interface IDictionary<K,V> accesses objects of type V via an index of type K. 19.3. Summary of indexers in C# Lecture 5 - slide 15 Here follows a syntax diagram of indexers: modifiers return-type this[formal-parameter-list] get {body-of-get} set {body-of-set} } Syntax 19.1 The syntax of a C# indexer It is similar to the syntax diagram of properties, as shown in Syntax 18.1 The main characteristics of indexers are as follows: • Provide for indexed read-only, write-only, or read-write access to data in objects • Indexers can only be instance members - not static • The indexing can be based on one, two or more formal parameters • Indexers can be overloaded • Indexers should be without unnecessary side-effects • Indexers should be fast
151 20. Methods Methods are the most important kind of operations in C#. Methods are more fundamental than properties and indexers. We would be able to do object-oriented programming without properties and indexers (by implementing all properties and indexers as methods), but not without methods. In Java, for instance, there are methods but no properties and no indexers. A method is a procedure or a function, which is part of a class. Methods (are supposed to) access (operate on) the data, which are encapsulated by the class. Methods should be devoted to nontrivial operations. Trivial operations that just read or write individual instance variables should in C# be programmed as properties. We have already in Section 11.9 and Section 11.11 studied the fundamentals of methods in an object- oriented programming language. In these sections we made the distinction between instance methods and class methods. Stated briefly, instance methods operate on instance variables (and perhaps class variables as well). Class methods (called static methods in C#) can only operate on class variables (static variables in C#). When we do object-oriented programming we organize most data in instances of classes (objects) and in values of struct types. We only use class related data (in static variables) to a lesser degree. Therefore instance methods are more important to us than class methods. In the rest of this chapter we will therefore focus on instance methods. This chapter is long because we have to cover a number of different parameter passing modes. If you only need a basic understanding of methods and the most frequently used parameter passing mode - call-by-value parameters - you should read until (and including) Section 20.4 and afterwards proceed to Chapter 21. 20.1. Local variables in methods Lecture 5 - slide 18 Local variables of a method are declared in the statements part of the block relative to Syntax 20.1. Local variables are short lived; They only exists during the activation of the method. modifiers return-type method-name(formal-parameter-list){ statements } Syntax 20.1 The syntax of a method in C# You should notice the difference between local variables and parameters, which we discuss below in Section 20.2. Parameters are passed and initialized when the method is activated. The initial value comes from an actual parameter. Local variables are introduced in the statements part (the body) of the method, and as explained below they may - or may not - be initialized explicitly. You should also notice the difference between local variables and instance variables of a class. A local variable only exists in a single call of the method. An instance variable exists during the lifetime of an object. Local variables
152 • May be declared anywhere in the block • Not necessarily in the initial part of the block • Can be initialized by an initializer • Can alternatively be declared without an initializer • No default value is assigned to a local variable • Different from instance and class variables which are given default values • The compiler will complain if a local variable is referred without prior assignment In the program below we contrast instance variables of the class InitDemo with local variables in the method Operation of InitDemo. The purple instance variables are implicitly initialized to their default values. The blue local variables in Operations are not. The program does not compile. In line 18 and 19 the compiler will complain about use of unassigned local variables. 1 2 3 4 5 6 7 8 9 10 11 12 13 14 15 16 17 18 19 20 21 22 23 24 25 26 27 using System; class InitDemo{ private int intInstanceVar; private bool boolInstanceVar; public void Operation(){ int intLocalVar; bool boolLocalVar; Console.WriteLine("intInstanceVar: {0}. boolInstanceVar: {1}", intInstanceVar, boolInstanceVar); // Compile time errors: Console.WriteLine("intLocalVar: {0}. boolLocalVar: {1}", intLocalVar, boolLocalVar); } public static void Main(){ new InitDemo().Operation(); } } Program 20.1 Local variables and instance variables - initialization and default values. In C#, Java and similar languages there is no such thing as a global variable. This is often a problem for programmers who are used to pass data around via global variables. If you really, really need a global variable in C#, the best option is to use a class (static) variable in one of your top-level classes. In general, however, it is a better alternative to pass data around via parameters (such as parameters to constructors). 20.2. Parameters Lecture 5 - slide 19 As a natural counterpart to Syntax 18.1 (of properties) and Syntax 19.1 (of indexers) we have shown the syntactical form of a method in Syntax 20.1. The syntactical characteristic of methods, in contrast to
153 properties and indexers, is the formal parameters in ordinary, soft parentheses: (...). Even a method with no parameters must have an empty pair of parentheses ( ) - in both the method definition and in the method activation. Properties have no formal parameters, and indexers have formal parameters in brackets: [...]. We will now discuss parameter passing in general. The following introduces formal parameters and actual parameters. Actual parameters occur in a call. Formal parameters occur in the method declaration. In general, actual parameters are expressions which are evaluated to arguments. Depending on the kind of parameters, the arguments are somehow associated with the formal parameters. C# offers several different parameter passing modes: • Value parameters • The default parameter passing mode, without use of a modifier • Reference parameters • Specified with the ref modifier • Output parameters • Specified with the out modifier • Parameter arrays • Value parameters specified with the params modifier Far the majority of the parameters in a C# program are passed by value. Thus, the use of value parameters is the most important parameter passing technique for you to understand. Value parameters are discussed in Section 20.3 - Section 20.5. Reference and output parameters are closely related to each other, and they are only rarely used in object- oriented C# programs. Output parameter can be seen as a restricted version of reference parameters. Reference parameters stem from variable parameters (var parameters) in Pascal. Reference parameters are discussed in Section 20.6 and out parameters are discussed in Section 20.7. Parameter arrays cover the idea that a number of actual value parameters (of the same type) are collected into an array. In this way, parameter arrays provide for a more sophisticated correspondence between the arguments and the formal parameters. C# parameter arrays are discussed in Section 20.9. It is, in general, an issue how a given actual parameter (or argument) is related to a formal parameter. This is called parameter correspondence. With value, ref and out parameter we use positional parameter correspondence. This is simple. The first formal parameter is related to the first actual parameter, the second to the second, etc. With parameter arrays, a number of actual parameters - all remaining actual parameters - correspond to a single formal parameter. In general, there are other parameter correspondences, most notable keyword parameters, where the name of the formal parameter is used together with the actual parameter. Keyword parameters are not used directly in C#. But as we have seen in Section 18.4 a kind of keyword parameters is used when properties are used for object initialization in the context of the new operator. In Section 6.9 - Program 6.20 - we have shown a program example that illustrate multiple parameter passing modes in C#. If you wish the ultra short description of parameter passing in C# you can read Section 6.9 instead of Section 20.3 - Section 20.9.
154 20.3. Value Parameters Lecture 5 - slide 20 Value parameters are used for input to methods When the story should told briefly, call-by-value parameters (or just value parameters) are used for input to methods. The output from a method is handled via the value returned from the method - via use of return. This simple version of the story is true for the majority of the methods we write in our classes. But as we will see already in Section 20.4 it is also possible to handle some kinds of output via references to objects passed as value parameters. Value parameter passing works in the following way: • A formal parameter corresponds to a local variable • A formal parameter is initialized by the corresponding argument (the value of the actual parameter expression) • A copy of the argument is bound to the formal parameter • Implicit conversions may take place • A formal parameter is assignable, but with no effect outside the method We have already seen many examples of value parameters. In case you want to review typical examples, please consult the Move method of class Point in Program 11.2, the Withdraw and Deposit methods of class BankAccount in Program 11.8, and the AgeAsOf method in class Person in Program 16.10. 20.4. Passing references as value parameters Lecture 5 - slide 21 Care must be taken if we pass references as value parameters Most of the data we deal with in object-oriented C# programs are represented as instances of classes - as objects. This implies that such data are accessed by references. Again and again we pass such references as value parameters to methods. Therefore we must understand - in details - what happens. Here is the short version of the story. Let us assume that send the message DayDifference to a Date object with another Date object as parameter: someDate.DayDifference(otherDate) Date is a class, and therefore both someDate and otherDate hold references to Date objects. It is possible for the DayDifference method to mutate the Date object referred by otherDate, despite the fact that the parameter of DayDifference is a value parameter. It is not, however, possible for DayDifference to modify value of the variable (actual parameter) otherDate as such.
155 In the web-version we present the source program behind the example is great details. The insight obtained in this section is summarized as follows. In case a reference is passed as an argument to a value parameter, the referenced object can be modified through the formal parameter Exercise 5.3. Passing references as ref parameters It is recommended that you use the web edition of the material when you solve this exercise. The web edition has direct links to the class source files, which you should use as the starting point. In the Date and Person classes of the corresponding slide we pass a reference as a value parameter to method DayDifference in class Date. Be sure to understand this. Read about ref parameters later in this lecture. Assume in this exercise that the formal parameter other in Date.DayDifference is passed by reference (as a C# ref parameter). Similarly, the actual parameter dateOfBirth to DayDifference should (of course) be passed by reference (using the keyword ref in front of the actual parameter). What will be the difference caused by this program modification. Test-drive the program with a suitable client to verify your answer. 20.5. Passing structs as value parameters Lecture 5 - slide 22 This section is parallel to Section 20.4. In this section we pass a struct value (as opposed to an instance of a class) as a value parameter. Our finding is that a struct value (the birthday value of type Date) cannot be mutated from the DayDifference method of struct Date. If we assume that Date is a struct instead of a class, the expression someDate.DayDifference(otherDate) passes a copy of otherDate to DayDifference. The copy is discarded when we return from DayDifference. If DayDifference mutates the value of its parameter, only the local copy is affected. The value of otherDate is not! In the web-version we will discuss the same example as in the web-version of Section 20.4. Notice the following observation. There is a good fit between use of value types and call-by-value parameter passing
156 If you wish the best possible fit (and no surprises) you should use value parameters with value types. The use of struct Date instead of class Date also alleviates the privacy leak problem, as pointed out in Section 16.5. See also Exercise 4.3. Exercise 5.4. Passing struct values as ref parameters This exercise corresponds to the similar exercise on the previous slide. In the Date struct and the Person class of this slide we pass a struct value as a value parameter to the method DayDifference. Assume in this exercise that the formal parameter other in Date.DayDifference is passed by reference (a C# ref parameter). Similarly, the actual parameter dateOfBirth to DayDifference should (of course) be passed by reference (using the keyword ref in front of the actual parameter). What will be the difference caused by this program modification. You should compare with the version on on the slide. Test-drive the program with a suitable client to verify your answer. 20.6. Reference Parameters Lecture 5 - slide 23 In C, call-by-reference parameters are obtained by passing pointers as value parameters. Reference parameters in C# are not the same as call-by-reference parameters in C. Reference parameters in C# are modeled after var parameters in Pascal. Stated briefly, a formal reference parameter in C# is an alias of the corresponding actual parameter. Therefore, the actual parameter must be a variable. Reference parameters can be used for both input to and output from methods Reference parameters can be used to establish alternative names (aliases) of already existing variables. The alternative names are used as formal parameters. Once established, such parameters can be used for both input and output purposes relative to a method call. The established aliases exist until the method returns to its caller. If we - in C# - only are interested in using reference parameters for output purposes we should use out parameters, see Section 20.7. Reference parameters work in the following way: • The corresponding argument must be a variable, and it must have a value • The types of the formal parameter and the argument must be identical • The formal parameter becomes another name (an alias) of the argument
157 • The actual parameter must be prefixed with the keyword ref In the first item it is stated that an actual reference parameter (which is a variable) must have a value before it is passed. In C#, this is called definite assignment. As described in the fourth item, and as a novel contribution of C#, it is necessary to mark both formal and actual parameter with the ref keyword. In most other languages, only the formal parameter is marked. This may seem to be a little detail, but it implies that it is easy to spot reference parameters in a method calling form. This is very useful. We show an example of reference parameters in Program 20.10: Swapping the values of two variables. This is the example used over and over, when reference parameters are explained. 1 2 3 4 5 6 7 8 9 10 11 12 13 14 15 16 17 18 19 20 21 22 23 24 25 26 27 28 using System; public class A{ private int a, b, c; public A(){ a = 1; b = 2; c = 3; } public void Swap(ref int v1, ref int v2){ int temp; temp = v1; v1 = v2; v2 = temp; } public override string ToString(){ return String.Format("{0} {1} {2}", a, b, c); } public void Go(){ Console.WriteLine("{0}", this); Swap(ref a, ref b); Swap(ref b, ref c); Console.WriteLine("{0}", this); } public static void Main(){ new A().Go(); } } Program 20.10 The class A with a Swap method. In Program 20.10 we instantiate the class itself (class A) in the Main method. We send the parameterless message Go to this object. Hereby we take the transition from a "static situation" to an "object situation". Without this transition it would not have been possible to use the instance variables a, b, and c in class A. (They should instead have been static variables). The Go method pattern illustrated here is inspired from [Bishop04]. 1 2 1 2 3 2 3 1 Listing 20.11 Output of class A with Swap.
158 It seems natural to support more than just value parameters in an ambitious, real-world programming language. But it is worth a consideration how much - and in which situations - to use it. We will discuss this in some details in Section 20.8. 20.7. Output Parameters Lecture 5 - slide 24 Output parameters in C# are reference parameters used only for output purposes. Output parameters are used for output from methods. The method is supposed to assign values to output parameters. Here follows the detailed rules of output parameter passing: • The corresponding argument must be a variable • The corresponding argument needs not to have a value on beforehand • The formal parameter should/must be assigned by the method • The formal parameter becomes another name (an alias) of the argument • The types of the formal parameter and the argument must be identical • The actual parameter must be prefixed with the keyword out Notice the second item: It is not necessary that the actual parameter has a value before the call. In fact, the purpose of the out parameter is exactly to (re)initialize the actual out parameters. The method must ensure that the output parameter has a value (is definitely assigned) when it returns. In Program 20.12 DoAdd returns the sum of the parameters v1, v2, and v3 in the last parameter v. The corresponding actual parameter r is initialized by the call to DoAdd in line 21 of Program 20.12. I wrote DoAdd to demonstrate output parameters. Had it not been for this purpose, I would have returned the sum from DoAdd. In that way DoAdd should be called as result = DoAdd(v1, v2, v3). In this case I would de- emphasize the imperative nature by calling it just Add. These changes describe a transition from an imperative to a more functional programming style. 1 2 3 4 5 6 7 8 9 10 11 12 13 14 15 16 17 18 using System; public class A{ private int a, b, c; private int r; public A(){ a = 1; b = 2; c = 3; } public void DoAdd(int v1, int v2, int v3, out int v){ v = v1 + v2 + v3; } public override string ToString(){ return String.Format("{0} {1} {2}. {3}", a, b, c, r); }
159 19 20 21 22 23 24 25 26 27 28 public void Go(){ Console.WriteLine("{0}", this); DoAdd(a, b, c, out r); Console.WriteLine("{0}", this); } public static void Main(){ new A().Go(); } } Program 20.12 The class A with a DoAdd method. 1 2 1 2 3. 0 1 2 3. 6 Listing 20.13 Output of class A with DoAdd. In Program 20.14 of Section 20.9 we show a variant of Program 20.12, which allows for an arbitrary number of actual parameters. This variant of the program is introduced with the purpose of illustrating parameter arrays. 20.8. Use of ref and out parameters in OOP Lecture 5 - slide 25 It is interesting to wonder about the fit between object-oriented programming and the use of reference parameters. Therefore the following question is relevant. How useful are reference and output parameters in object-oriented programming? Output parameters are useful in case we program a method which need to produce two or more pieces of output. In such a situation, we face the following possibilities: • Use a number of out parameters • Mutate objects passed by value parameters • Aggregate the pieces of output in an object and return it • Assign the output to instance variables which subsequently can be accessed by the caller Let us first face the first item. If a (public) method needs to pass back (to its caller) more than one piece of output, which are only loosely related to each other, it may be the best solution to use one or more out parameters for these. It should be considered to pass one of the results back via return. In a language with ref and out parameters it is confusing to pass results out of method via references passed by value (call-by-value). Use a ref or an out parameter! If the pieces of output are related - if they together form a concept - it may be reasonable to aggregate the pieces of output in a new struct or a new class. An instance of the new type can then be returned via return.
160 Assignment of multiple pieces of output to instance variables in the enclosing class, and subsequent access of these via properties, may compromise the original idea of the class to which the method belongs. It may also pollute the class. Therefore, it should be avoided. ref and out parameters are relatively rare in the C# standard libraries In summary, we see that there are several alternatives to the use of reference and output parameters in an object-oriented context. Reference (ref) and output (out) parameters are only used in very few methods in the .NET framework libraries. In general, it seems to be the case that reference parameters and output parameters are not central to object-oriented programming. 20.9. Parameter Arrays Lecture 5 - slide 26 In the previous sections we have discussed various parameter passing techniques. They were all related to the meaning of the formal parameter relative to the corresponding actual parameter (and the argument derived from the actual parameter). In this section we will concentrate on the parameter correspondence mechanism. In the parameter passing discussed until now there has been a one-to-one correspondence between formal parameters and actual parameters. In this section we will study a parameter passing technique where zero, one, or more actual parameters correspond to a single formal parameter. A parameter array is a formal parameter of array type which can absorb zero, one or more actual parameters A formal parameter list in C# starts with a number of value/reference/output parameters for which there must exist corresponding actual parameters in a method activation. Following these parameters there can be a single parameter array, which collects all remaining arguments in an array. With parameter arrays, there can be arbitrary many actual parameters following the 'ordinary parameters', but not arbitrary few. There must always be so many actual parameters that all the 'required' formal parameters (before a possible parameter arrays) are associated. The following rules pertain to use of parameter arrays in C#: • Elements of a parameter array are passed by value • A parameter array must be the last parameter in the formal parameter list • The formal parameter must be a single dimensional array • Arguments that follow ordinary value, ref and out parameters are put into a newly allocated array object • Arguments are implicitly converted to the element type of the array
161 It is easiest to understand parameter arrays from an example, such as Program 20.14. This is a variant of Program 20.12, which we have already discussed in Section 20.7. The DoAdd method takes one required parameter (which is an output parameter). As the actual out parameter in line 24, 27, and 30 we use the instance variable r. Following this parameter comes the parameter array called iv (for input values). All actual parameters after the first one must be of type int, and they are collected and inserted into an integer array, and made available to DoAdd as the int array iv. In Program 20.14 the DoAdd messages to the current object add various combinations of the instance variables a, b, and c together. The result is assigned to the out parameter of DoAdd. 1 2 3 4 5 6 7 8 9 10 11 12 13 14 15 16 17 18 19 20 21 22 23 24 25 26 27 28 29 30 31 32 33 34 35 36 37 using System; public class A{ private int a, b, c; private int r; public A(){ a = 1; b = 2; c = 3; } public void DoAdd(out int v, params int[] iv){ v = 0; foreach(int i in iv) v += i; } public override string ToString(){ return String.Format("{0} {1} {2}. {3}", a, b, c, r); } public void Go(){ Console.WriteLine("{0}", this); DoAdd(out r, a, b, c); Console.WriteLine("{0}", this); DoAdd(out r, a, b, c, a, b, c); Console.WriteLine("{0}", this); DoAdd(out r); Console.WriteLine("{0}", this); } public static void Main(){ new A().Go(); } } Program 20.14 The class A with a DoAdd method - both out and params. The output of Program 20.14 is shown in Listing 20.15. We have emphasized the value of r after each DoAdd message. Be sure that you are able to understand the parameter passing details. 1 2 3 4 1 2 3. 0 1 2 3. 6 1 2 3. 12 1 2 3. 0 Listing 20.15 Output of class A with DoAdd - both out and params.
162 The type constraint on the actual parameters can be 'removed' by having a formal parameter array of type Object[]. When we studied nullable types in Section 14.9 we encountered the IntSequence class. In line 5 of Program 14.17 you can see a parameter array of the constructor. Please notice the flexibility it gives in the construction of new IntSequence objects. See also Program 14.19 where IntSequence is instantiated with use of the mentioned constructor. 20.10. Extension Methods Lecture 5 - slide 27 In C#3.0 an extension method defines an instance method in an existing class without altering the definition of the class. The use of extension methods is convenient if you do not have access to the source code of the class, in which we want to have a new instance method. Let us look at an example in order to illustrate the mechanisms behind the class extension. We use Program 11.3 as the starting point. In line 26-31 of Program 11.3 it can be observed that we have inlined calculation of distances between pairs of points. It would embellish the program if we had called p.DistanceTo(q) instead of Math.Sqrt((p.x - q.x) * (p.x - q.x) + (p.y - q.y) * (p.y - q.y)); to find the distance between to points p and q. We will now assume that the instance method DistanceTo can be used on an instance of class Point. Program 20.16 below shows the embellishment of Program 11.3. 1 2 3 4 5 6 7 8 9 10 11 12 13 14 15 16 17 18 19 20 21 22 23 24 25 26 27 28 // A client of Point that instantiates three points and calculates // the circumference of the implied triangle. using System; public class Application{ public static void Main(){ Point p1 = PromptPoint("Enter first point"), p2 = PromptPoint("Enter second point"), p3 = PromptPoint("Enter third point"); double p1p2Dist = p1.DistanceTo(p2), p2p3Dist = p2.DistanceTo(p3), p3p1Dist = p3.DistanceTo(p1); double circumference = p1p2Dist + p2p3Dist + p3p1Dist; Console.WriteLine("Circumference: {0} {1} {2}: {3}", p1, p2, p3, circumference); } public static Point PromptPoint(string prompt){ Console.WriteLine(prompt); double x = double.Parse(Console.ReadLine()), y = double.Parse(Console.ReadLine()); return new Point(x,y, Point.PointRepresentation.Rectangular);
163 29 30 31 } } Program 20.16 A Client of class Point which uses an extension method DistanceTo. It is possible to extend class Point with the instance method DistanceTo without altering the source code of class Point. In a static class, such as in class PointExtensions shown below in Program 20.17, we define the DistanceTo method. It is defined as a static method with a first parameter prefixed with the keyword this. The C#3.0 compiler is able to translate an expression like q.DistanceTo(q) to PointExtensions.DistanceTo(p,q). This is the noteworthy "trick" behind extension methods. 1 2 3 4 5 6 7 8 9 10 using System; public static class PointExtensions{ public static double DistanceTo(this Point p1, Point p2){ return Math.Sqrt((p1.X - p2.X) * (p1.X - p2.X) + (p1.Y - p2.Y) * (p1.Y - p2.Y)); } } Program 20.17 The static class PointExtensions. In summary, an extension method • extends the type of the first parameter • is defined as a static method with a this modifier on the first parameter • must be defined in a static class • cannot access private instance variables in the extended class • is called by - behind the scene - translating to a call of the static method Exercise 5.5. Extending struct Double At the accompanying page we have seen how class Point can be extended externally with the method DistanceTo. This is an extension method. If you study the method DistanceTo you will see that we use the squareroot function Math.Sqrt, defined statically in class Math. And we could/should have used a similar Square function had it been available. It is remarkable that C# 3.0 allows us to extend the structs behind the primitive types, such as Double and Int32. Write a static class that extends struct Double with the two extension methods Sqrt and Square. Afterwards, rewrite the method DistanceTo such that it makes use of the new instance methods in struct Double.
164 20.11. Methods versus Properties versus Indexers Lecture 5 - slide 28 Here at the end of the chapter about methods we will summarize some rule of thumbs for choosing between properties, indexers and methods in a class: • Properties • For reading and extracting of individual instance/class variables • For writing and assigning individual instance/class variables • For other kinds of data access that does not involve time consuming computations • Indexers • Like properties • Used when it is natural to access data by indexes - array notation - instead of simple names • Used as surface notation for associative arrays • Methods • For all other operations that encapsulate calculations on the data of the class 20.12. References [Bishop04] Judith Bishop and Nigel Horspool, C# Concisely. Pearson. Addison Wesley, 2004.
165 21. Overloaded Operators In this section we will see how we can use the operators of the C# language on instances of our own classes, or on values of our own structs. 21.1. Why operator overloading? Lecture 6 - slide 2 In this section we will describe how to program operations that can be called in expressions that make use of the conventional operators (such as +, &, >>, and !) of C#. Thus, in a client of a class C, we will provide for notation such as aC1 + aC2 * aC3 instead of aC1.Plus(aC2.Mult(aC3)) or (with use of class methods) C.Plus(aC1, C.Mult(aC2,aC3)). Use of operators provides for substantial notational convenience in certain classes When operator notation is natural for objects or values of type C, clients of C can often be programmed with a more dense and readable notation. The example in Program 21.1 (only on web) provides additional motivation. The class OperatorsOrNot, (see Program 21.1 on the web) together with a class MyInt (see Program 21.2 on the web) motivate the use of operators in the context of a complete class. 21.2. Overloadable operators in C# Lecture 6 - slide 3 We have already once studied the operator table of C#, see Section 6.7. In Table 21.1 below we show a version of the operator table of C# (with operator priority and associativity) in which we have emphasized all the operators that can be overloaded in C#.
166 Level Category Operators Associativity 14 Primary x.y f(x) a[x] x++ x-- new typeof checked unchecked default delegate left to right 13 Unary + - ! ~ ++x --x (T)x true false sizeof left to right 12 Multiplicative * / % left to right 11 Additive + - left to right 10 Shift << >> left to right 9 Relational and Type testing < <= > >= is as left to right 8 Equality == != left to right 7 Logical/bitwise And & left to right 6 Logical/bitwise Xor ^ left to right 5 Logical/bitwise Or | left to right 4 Conditional And && left to right 3 Conditional Or || left to right 2 Conditional ?: right to left 1 Assignment = *= /= %= += - = <<= >>= &= ^= |= ?? => right to left Table 21.1 The operator priority table of C#. The operators that can be overloaded directly are emphasized. All the gray operators in Table 21.1 cannot be overloaded directly. Many of them can, however, be overloaded indirectly, or defined by other means. We will now discuss how this can be done. A notation similar to a[x] (array indexing) can be obtained by use of indexers, see Chapter 19. The conditional (short circuited) operators && and || can be overloaded indirectly by overloading the operators & and |. In addition, the operators called true and false must also be provided. true(x) tells if x counts as boolean true. false(x) tells if x counts as boolean false. (Notice that x belongs to the type - class or struct - in which we have defined the operators). The operators && and || are defined by the following equivalences: • x && y is equivalent to false(x) ? x : (x & y) • x || y is equivalent to true(x) ? x : (x | y) Thus, when x && y is encountered we first evaluate the expression false(x). If the value is true, x is returned. If it is false, y is also evaluated, and the value of x && y becomes x & y. A similar explanation applies for x || y.
167 You can define the unary true and false operators in your own classes, and hereby control if the object is considered to be true or false in some boolean contexts. If you define one of them, you will also have to define the other. Recall that an expression of the form a ? b : c uses the conditional operator ?: with the meaning if a then b else c. All the assignment operators, apart from the basic assignment operator =, are implicitly overloadable. As an example, the assignment operator *= is implicitly overloaded when we explicitly overload the multiplication operator *. The type cast operator (T)x can in reality also be overloaded. In a given class C you can define explicit and/or implicit conversion operators that converts to and from C. We will see an example of an explicit type conversion in Program 21.3. 21.3. An example of overloaded operators: Interval Lecture 6 - slide 4 We will now study the type Interval. This type allows us to represent and operate on intervals of integers. The Interval type makes a good case for illustration of overloaded operators. We program all interval operations in a functional style. We want intervals to be non-mutable, and the type is therefore programmed as a struct. An interval is characterized by two integer end points from and to. The interval [from - to] denotes the interval that starts in from and goes to to. The notation [from - to] is an informal notation which we use to explain the the idea of intervals. In a C# program, the interval [from - to] is denoted by the expression new Interval( from,to). Notice that from is not necessarily less than to. The following are concrete examples: [1 - 5] represents the sequence 1, 2, 3, 4, and 5. [5 - 1] represents the sequence 5, 4, 3, 2, and 1. These two sequences are different. In Program 21.3 we see the struct Interval. The private instance variables from and to represent the interval in a simple and straightforward way, and the constructor is also simple. Just after the constructor there are two properties, From and To, that access the end points of the interval. In this version of the type it is not possible to construct an empty interval. We have already dealt with this weakness in Section 16.4 (see Program 16.7 versus Program 16.8) in the context of factory methods. After the two properties we have highlighted a number of overloaded operators. These are our main interest in this section. Notice the syntax for definition of the operators. There are two definitions of the + operator. One of the form anInterval + i and one of the form i + anInterval. Both have the same meaning, namely addition of i to both end-points. Thus [1 - 5] + 3 and 3 + [1 - 5] are both equal to the interval [4 - 8]. In similar ways we define multiplication of intervals and integers. We also define subtraction of an integer from an interval (but not the other way around). The shift operators << and >> provide nice notations for moving one of the end-points of an interval. Thus, [1 - 5] >> 3 is equal to the interval [1 - 8]. Finally, the unary prefix operator ! reverses an interval (internally, by making an interval with swapped end- points). Thus, ![1 - 5] is equal to the interval [5 - 1]. The private class IntervalEnumerator (shown only in the web version) and the method GetEnumerator make it possible to traverse an interval in a convenient way with use of foreach. Interval traversal is what
168 makes intervals useful. This is illustrated in Program 21.4. We will, in great details, discuss IntervalEnumerator later in this material, see Section 31.6 - in particular Program 31.9. 1 2 3 4 5 6 7 8 9 10 11 12 13 14 15 16 17 18 19 20 21 22 23 24 25 26 27 28 29 30 31 32 33 34 35 36 37 38 39 40 41 42 43 44 45 46 47 48 49 50 51 52 53 54 55 56 57 58 59 60 61 using System; using System.Collections; public struct Interval{ private readonly int from, to; public Interval(int from, int to){ this.from = from; this.to = to; } public int From{ get {return from;} } public int To{ get {return to;} } public int Length{ get {return Math.Abs(to - from) + 1;} } public static Interval operator +(Interval i, int j){ return new Interval(i.From + j, i.To + j); } public static Interval operator +(int j, Interval i){ return new Interval(i.From + j, i.To + j); } public static Interval operator >>(Interval i, int j){ return new Interval(i.From, i.To + j); } public static Interval operator <<(Interval i, int j){ return new Interval(i.From + j, i.To); } public static Interval operator *(Interval i, int j){ return new Interval(i.From * j, i.To * j); } public static Interval operator *(int j, Interval i){ return new Interval(i.From * j, i.To * j); } public static Interval operator -(Interval i, int j){ return new Interval(i.From - j, i.To - j); } public static Interval operator !(Interval i){ return new Interval(i.To, i.From); } public static explicit operator int[] (Interval i){ int[] res = new int[i.Length]; for (int j = 0; j < i.Length; j++) res[j] = i[j]; return res; }
169 62 63 64 65 66 67 68 69 70 71 private class IntervalEnumerator: IEnumerator{ // Details not shown in this version } public IEnumerator GetEnumerator (){ return new IntervalEnumerator(this); } } Program 21.3 The struct Interval. Take a look at Program 21.4 in which we use intervals. Based on the constructed intervals iv1 and iv2 we write expressions that involve intervals. These are all highlighted in Program 21.4. Let me explain the expression !(3 + !iv2 * 2). When we evaluate this expression we adhere to normal precedence rules and normal association rules of the operators. We cannot change these rules. Therefore, we first evaluate !iv2, which is [5 - 2]. Next we evaluate !iv2 * 2, which is [10 - 4]. To this interval we add 3. This gives the interval [13 - 7]. Finally we reverse this interval. The final value is [7 - 13]. Also emphasized in Program 21.3 we show iv3[0] and iv3[iv3.Length-1]. These expressions use interval indexers. In Exercise 6.1 it is an exercise to program this indexer.Emphasized with blue in Program 21.3 and Program 21.4 we show how to program and use an explicit type cast from Interval to int[].You should follow the evaluations of all highlighted expressions in Program 21.4 and compare your results with the program output in Listing 21.5. 1 2 3 4 5 6 7 8 9 10 11 12 13 14 15 16 17 18 19 20 21 22 23 24 25 26 27 28 29 30 31 32 using System; public class app { public static void Main(){ Interval iv1 = new Interval(17,14), iv2 = new Interval(2,5), iv3; foreach(int k in !(3 + iv1 - 2)){ Console.Write("{0,4}", k); } Console.WriteLine(); foreach(int k in !(3 + !iv2 * 2)){ Console.Write("{0,4}", k); } Console.WriteLine(); iv3 = !(3 + !iv2 * 3) >> 2 ; Console.WriteLine("First and last in iv3: {0}, {1}", iv3[0], iv3[iv3.Length-1]); int[] arr = (int[])iv3; foreach(int j in arr){ Console.Write("{0,4}", j); } } } Program 21.4 A client program of struct Interval.
170 1 2 3 4 15 16 17 18 7 8 9 10 11 12 13 First and last in iv3: 9, 20 9 10 11 12 13 14 15 16 17 18 19 20 Listing 21.5 Output from the interval application. In Program 21.6 we show yet another example of programming overloaded operators. We overload ==, !=, <, and >. This example brings us back to the playing card class which we have discussed already in Program 12.7 of Section 12.6 and Program 14.3 of Section 14.3. Emphasized with colors in Program 21.6 we show operators that compare two cards. Notice, as above, that the operator definitions always are static. Also notice that if we define == we also have to define != . The == operator is defined via the Equals methods, which is redefined in class Card such that it provides value comparison of Card instances. If we redefine Equals we must also redefine GetHashCode. All together, a lot of work! Similarly, if we define <= we have also have to define >= . Please notice that our redefinition of Equals in Program 21.6 is too simple for a real-life program. In Section 28.16 we will see the general pattern for redefinition of the Equals instance method. 1 2 3 4 5 6 7 8 9 10 11 12 13 14 15 16 17 18 19 20 21 22 23 24 25 26 27 28 29 30 31 32 33 34 35 36 37 38 39 40 using System; public enum CardSuite { Spades, Hearts, Clubs, Diamonds }; public enum CardValue { Ace = 1, Two = 2, Three = 3, Four = 4, Five = 5, Six = 6, Seven = 7, Eight = 8, Nine = 9, Ten = 10, Jack = 11, Queen = 12, King = 13}; public class Card{ private CardSuite suite; private CardValue value; // Some methods are not shown in this version public override bool Equals(Object other){ return (this.suite == ((Card)other).suite) && (this.value == ((Card)other).value); } public override int GetHashCode(){ return (int)suite ^ (int)value; } public static bool operator ==(Card c1, Card c2){ return c1.Equals(c2); } public static bool operator !=(Card c1, Card c2){ return !(c1.Equals(c2)); } public static bool operator <(Card c1, Card c2){ bool res; if (c1.suite < c2.suite) res = true; else if (c1.suite == c2.suite) res = (c1.value < c2.value); else res = false; return res;
171 41 42 43 44 45 46 } public static bool operator >(Card c1, Card c2){ return !(c1 < c2) && !(c1 == c2); } } Program 21.6 The class PlayingCard with relational operators. The details left out in line 14 of Program 21.6 can be seen in the web-version of the paper. Exercise 6.1. Interval indexer It is recommended that you use the web edition of the material when you solve this exercise. The web edition has direct links to the class source files, which you should use as the starting point. The Interval type represents an oriented interval [from - to] of integers. We use the Interval example to illustrate the overloading of operators. If you have not already done so, read about the idea behind the struct Interval in the course teaching material. In the client of struct Interval we use an indexer to access elements of the interval. For some interval i, the expression i[0] should access the from-value of i, and i[i.Length-1] should access the to-value of i. Where, precisely, is the indexer used in the given client class? Add the indexer to the struct Interval (getter only) which accesses element number j (0 <= j <= i.Length) of an interval i. Hint: Be careful to take the orientation of the interval into account. Does it make sense to program a setter of this indexer? Exercise 6.2. An interval overlap operation It is recommended that you use the web edition of the material when you solve this exercise. The web edition has direct links to the class source files, which you should use as the starting point. In this exercise we continue our work on struct Interval, which we have used to illustrate overloaded operators in C#. Add an Interal operation that finds the overlap between two intervals. Your starting point should be the struct Interval. In the version of struct Interval, provided as starting point for this exercise, intervals may be empty. Please analyze the possible overlappings between two intervals. There are several cases that need consideration. The fact that Interval is oriented may turn out to be a complicating factor in the solution. Feel free to ignore the orientation of intervals in your solution to this exercise. Which kind of operation will you chose for the overlapping operation in C# (method, property, indexer,
172 operator)? Before you program the operation in C# you should design the signature of the operation. Program the operation in C#, and test your solution in an Interval client program. You may chose to revise the Interval client program from the teaching material. 21.4. Some details of operator overloading Lecture 6 - slide 5 Below we summarize the syntax of operator definition, which overloads a predefined operators symbol. public static return-type operator symbol(formal-par-list){ body-of-operator } Syntax 21.1 The C# syntax for definition of an overloaded operator. There are many detailed rules that must be observed when we overload the predefined operator symbols. Some of them were mentioned in Section 21.3. Others are brought up below. • Operators must be public and static • One or two formal parameters must occur, corresponding to unary and binary operators • At least one of the parameters must be of the type to which the operator belongs • Only value parameters apply • Some operators must be defined in pairs (either none or both): • == and != < and > <= and >= • The special unary boolean operators true and false define when an object is playing the role as true or false in relation to the conditional logical operators • Overloading the binary operator op causes automatic overloading of the assignment operator op= This concludes our coverage of operator overloading. Notice that we have not discussed all details of this subject. You should consult a C# reference manual for full coverage.
173 22. Delegates In this chapter we will discuss the concept of delegates. Seen in relation to similar, previous object-oriented programming languages (such as Java and C++) this is a new topic. The inspiration comes from functional programming where functions are first class values. If x is a first class value x can be passed as parameter, x can be returned from functions, and x can be part of data structures. With the introduction of delegates, methods become first class values in C#. We will explore this "exciting world be new opportunities" in the next few sections. 22.1. Delegates in C# Lecture 6 - slide 7 The idea of a delegate in a nutshell is as follows: A delegate is a type the values of which consist of methods Delegates allow us to work with variables and parameters that contain methods Thus, a delegate in C# defines a type, in the same way as a class defines a type. A delegate reflects the signature of a set of methods, not including the method names, however. A delegate is a reference type in C#. It means that values of a delegate type are accessed via references, in the same way as an object of a class always is accessed via a reference. In particular, null is a possible delegate value. In Program 22.1 NummericFunction is the name of a new type. This is the type of functions that accept a double and returns a double. The static method PrintTableOfFunction takes a NummericFunction f as first parameter. PrintTableOfFunction prints a table of f values within a given range [from,to] and with a given granularity, step. In the Main method we show a number of activations of PrintTableOfFunction. The first three activations generate tables of the well-known functions log, sinus, and abs. Notice that these functions belong to the NummericFunction delegate, because they are all are functions from double to double. The last activation generates a table of the method Cubic, as we have defined it in Program 22.1. It is again crucial that Cubic is a function from double to double. If Cubic had another signature, such as int -> int or double x double -> double, it would not fit with the NumericFunction delegate. 1 2 3 4 5 6 7 8 9 10 11 12 13 14 15 16 17 18 using System; public class Application { public delegate double NumericFunction(double d); public static void PrintTableOfFunction(NumericFunction f, string fname, double from, double to, double step){ double d; for(d = from; d <= to; d += step){ Console.WriteLine("{0,10}({1,-4:F3}) = {2}", fname, d, f(d)); } Console.WriteLine(); }
174 19 20 21 22 23 24 25 26 27 28 29 30 31 32 33 34 35 public static double Cubic(double d){ return d*d*d; } public static void Main(){ PrintTableOfFunction(Math.Log, "log", 0.1, 5, 0.1); PrintTableOfFunction(Math.Sin, "sin", 0.0, 2 * Math.PI, 0.1); PrintTableOfFunction(Math.Abs, "abs", -1.0, 1.0, 0.1); PrintTableOfFunction(Cubic, "cubic", 1.0, 5.0, 0.5); // Equivalent to previous: PrintTableOfFunction(delegate (double d){return d*d*d;}, "cubic", 1.0, 5.0, 0.5); } } Program 22.1 A Delegate of simple numeric functions. In line 31 of Program 22.1 notice the anonymous function delegate (double d){return d*d*d;} The function has no name - it is anonymous. The function is equivalent with the method Cubic in line 20-22, apart from the fact that it has no name. It is noteworthy that we on the fly are able to write an expression the value of which is a method that belongs to the delegate type NumericFunction. In C#3.0 the notation for anonymous functions has been streamlined to that of lambda expressions. We will touch on this topic in Section 22.4. We outline the output of Program 22.1 in Listing 22.2 (only on web). We do not show all the output lines, however. Things get even more interesting in Program 22.3. The function to watch is Compose. It accepts, as input parameters two numeric functions f and g, and it returns (another) numeric function. The idea is to return the function f o g. This is the function that returns f(g(x)) when it is given x as input. Notice the expression Compose(Cubic, Minus3) in Main. This is a function that we pass as input to the PrintTableOfFunction, which we already have discussed. In order to examine the function Compose(Cubic, Minus3) we watch the program output in Listing 22.4. Please verify for yourself that Compose(Cubic, Minus3) is the function which subtracts 3 from its input, and thereafter calculates the cubic function on that (reduced) number. 1 2 3 4 5 6 7 8 9 10 11 12 13 14 15 16 17 using System; public class Application { public delegate double NumericFunction(double d); public static NumericFunction Compose (NumericFunction f, NumericFunction g){ return delegate(double d){return f(g(d));}; } public static void PrintTableOfFunction (NumericFunction f, string fname, double from, double to, double step){ double d; for(d = from; d <= to; d += step){
175 18 19 20 21 22 23 24 25 26 27 28 29 30 31 32 33 34 35 36 37 38 39 40 41 42 43 44 45 Console.WriteLine("{0,35}({1,-4:F3}) = {2}", fname, d, f(d)); } Console.WriteLine(); } public static double Square(double d){ return d*d; } public static double Cubic(double d){ return d*d*d; } public static double Minus3(double d){ return d-3; } public static void Main(){ PrintTableOfFunction(Compose(Cubic, Minus3), "Cubic of Minus3", 0.0, 5.0, 1.0); PrintTableOfFunction( Compose(Square, delegate(double d){ return d > 2 ? -d : 0;}), "Square of if d>2 then -d else 0", 0.0, 5.0, 1.0); } } Program 22.3 The static method Compose in class Application. 1 2 3 4 5 6 7 8 9 10 11 12 13 Cubic of Minus3(0,000) = -27 Cubic of Minus3(1,000) = -8 Cubic of Minus3(2,000) = -1 Cubic of Minus3(3,000) = 0 Cubic of Minus3(4,000) = 1 Cubic of Minus3(5,000) = 8 Square of if d>2 then -d else 0(0,000) = 0 Square of if d>2 then -d else 0(1,000) = 0 Square of if d>2 then -d else 0(2,000) = 0 Square of if d>2 then -d else 0(3,000) = 9 Square of if d>2 then -d else 0(4,000) = 16 Square of if d>2 then -d else 0(5,000) = 25 Listing 22.4 Output from the Compose delegate program. What we have shown above gives you the flavor of functional programming. In functional programming we often generate new functions based on existing functions, like we did with use of Compose. Delegates make it possible to approach the functional programming style Methods can be passed as parameters to, and returned as results from other methods Exercise 6.3. Finding and sorting elements in an array In this exercise we will work with searching and sorting in arrays. To be concrete, we work on an array of type Point, where Point is the type we have been programming in earlier exercises.
176 Via this exercise you are supposed to learn how to pass a delegate to a method such as Find and Sort. The purpose of passing a delegate to Find is to specify which point we are looking for. Make an array of Point objects. You can, for instance, use this version of class Point. You can also use a version that you wrote as solution to one of the previous exercises. Use the static method System.Array.Find to locate the first point in the array that satisfies the condition: The sum of the x and y coordinates is (very close to) zero The solution involves the programming of an appropriate delegate in C#. The delegate must be a Point predicate: a method that takes a Point as parameter and returns a boolean value. Next, in this exercise, sort the list of points by use of one of the static Sort methods in System.Array. Take a look at the Sort methods in System.Array. There is an overwhelming amount of these! We will use the one that takes a Comparison delegate, Comparison<T>, as the second parameter. Please find this method in your documentation browser. Why do we need to pass a Comparison predicate to the Sort method? Comparison<Point> is a delegate that compares two points, say p1 and p2. Pass an actual delegate parameter to Sort in which p1 <= p2 if and only if p1.X + p1.Y <= p2.X + p2.Y Please notice that a comparsion between p1 and p2 must return an integer. A negative integer means that p1 is less than p2. Zero means that p1 is equal to p2. A positive integer means that p1 is greater than p2. Test run you program. Is your Point array sorted in the way you excepts? Exercise 6.4. How local are local variables and formal parameters? When we run the following program using System; public class Application { public delegate double NumericFunction(double d); static double factor = 4.0; public static NumericFunction MakeMultiplier(double factor){ return delegate(double input){return input * factor;}; } public static void Main(){ NumericFunction f = MakeMultiplier(3.0); double input = 5.0; Console.WriteLine("factor = {0}", factor); Console.WriteLine("input = {0}", input); Console.WriteLine("f is a generated function which multiplies its input with factor"); Console.WriteLine("f(input) = input * factor = {0}", f(input)); } }
177 we get this output factor = 4 input = 5 f is a generated function which multiplies its input with factor f(input) = input * factor = 15 Explain! 22.2. Delegates that contain instance methods Lecture 6 - slide 8 The delegates in Section 22.1 contained static methods. Static methods are activated without a receiving object. When we put an instance method m into a delegate object, we need to find a way to provide the receiver object of m. We can, in principle, provide this object as part of the activation of the delegate, or we can aggregate it together with the method itself. In C# the latter solution has been chosen. In Section 22.1 we show a relatively trivial class Messenger. A messenger object stores a message of type Message. Message is a delegate, shown in purple. The DoSend method calls the method in the delegate. 1 2 3 4 5 6 7 8 9 10 11 12 13 14 15 16 17 18 19 20 21 22 23 using System; public delegate void Message(string txt); public class Messenger{ private string sender; private Message message; public Messenger(string sender){ this.sender = sender; message = null; } public Messenger(string sender, Message aMessage){ this.sender = sender; message = aMessage; } public void DoSend(){ message("Message from " + sender); } } Program 22.5 A Messenger class and a Message delegate. The class A is even more trivial. It just holds some state and an instance method called MethodA. 1 2 3 4 5 using System; public class A{ private int state;
178 6 7 8 9 10 11 12 13 14 public A(int i){ state = i; } public void MethodA(string s){ Console.WriteLine("A: {0}, {1}", state, s); } } Program 22.6 A very simple class A with an instance method MethodA. In the class Application we create some instances of class A. The class Application is shown in Program 22.7. For now we only use one of the instances of A. We pass a2.MethodA to the Message (delegate) parameter of the Messenger constructor. With this we package both the object referred to by a2 and the method MethodA together, and it now forms part of the state of the new Message object. When the message object receives the DoSend message it activates its delegate. From the output in Listing 22.8 we see that it is in fact the instance method AMethod in the object a2 (with state equal to 2), which is called via the delegate. 1 2 3 4 5 6 7 8 9 10 11 12 13 14 15 using System; public class Application{ public static void Main(){ A a1 = new A(1), a2 = new A(2), a3 = new A(3); Messenger m = new Messenger("CS at AAU", a2.MethodA); m.DoSend(); } } Program 22.7 An Application class which accesses an instance method in class A. 1 A: 2, Message from CS at AAU Listing 22.8 Output from Main of class Application. So now we have seen that a delegate may contain an object, which consists of a receiver together with a method to be activated on the receiver. In Section 22.3 below we will see that this is not the whole story. A delegate may in fact contain a list of such receiver/method pairs. 22.3. Multivalued delegates Lecture 6 - slide 9 The class Messenger in Program 22.9 is an extension of class Messenger in Program 22.5. The body of the method InstallMessage shows that it is possible to add a method to a delegate. Behind the scene, a delegate is a list of methods (and, if necessary, receiver objects). The + operator has been overloaded to work on
179 delegates. It adds a method to a delegate. Similarly, the - operator has been overloaded to remove a method from a delegate. 1 2 3 4 5 6 7 8 9 10 11 12 13 14 15 16 17 18 19 20 21 22 23 24 25 26 27 28 29 30 31 using System; public delegate void Message(string txt); public class Messenger{ private string sender; private Message message; public Messenger(string sender){ this.sender = sender; message = null; } public Messenger(string sender, Message aMessage){ this.sender = sender; message = aMessage; } public void InstallMessage(Message mes){ this.message += mes; } public void UnInstallMessage(Message mes){ this.message -= mes; } public void DoSend(){ message("Message from " + sender); } } Program 22.9 Install and UnInstall message methods in the Messenger class. The class A, which is used in Program 22.10, can be seen in Program 22.6. In the class Application in Program 22.10 instantiates a number of A objects and a single Messenger object. The idea is to add and remove instance methods to the Messenger object, and to activate the methods in the Messenger object via the DoSend method in line 28-31 of Program 22.9. In line 11 of Program 22.10 we install a1.MethodA in m, which already (from the Messenger construction) contains a2.AMethod. In the program output in Listing 22.11 this is revealed in the first two output lines. Next we install a3.AMethod twice in m. At this point in time the delegate in m contains four methods. This is seen in the middle section of Listing 22.11. Finally, we uninstall a3.AMethod and a1.Amethod, leaving two methods in the delegate. This is shown in the last section of output in Listing 22.11.
180 1 2 3 4 5 6 7 8 9 10 11 12 13 14 15 16 17 18 19 20 21 22 23 24 using System; public class Application{ public static void Main(){ A a1 = new A(1), a2 = new A(2), a3 = new A(3); Messenger m = new Messenger("CS at AAU", a2.MethodA); m.InstallMessage(a1.MethodA); m.DoSend(); Console.WriteLine(); m.InstallMessage(a3.MethodA); m.InstallMessage(a3.MethodA); m.DoSend(); Console.WriteLine(); m.UnInstallMessage(a3.MethodA); m.UnInstallMessage(a1.MethodA); m.DoSend(); } } Program 22.10 An Application class. 1 2 3 4 5 6 7 8 9 10 A: 2, Message from CS at AAU A: 1, Message from CS at AAU A: 2, Message from CS at AAU A: 1, Message from CS at AAU A: 3, Message from CS at AAU A: 3, Message from CS at AAU A: 2, Message from CS at AAU A: 3, Message from CS at AAU Listing 22.11 Output from Main of class Application. 22.4. Lambda Expressions Lecture 6 - slide 10 A lambda expression is a value in a delegate type. Delegates were introduced in Section 22.1. The notation of lambda expression adds some extra convenience to the notation of delegates. Instead of the syntax delegate(formal-parameters){body} lambda expressions use the syntax formal-parameters => body. => is an operator in the language, see Section 6.7. It is not necessary to give the types of the formal parameters in a lambda expression. In addition, the body of a lambda expression may be an expression. In a delegate, the body must be a statement block (a command). By the way, why is it called lambda expressions? Lambda λ is a Greek letter, like alpha α and beta α. The notion of lambda expressions come from a branch of mathematics called lambda calculus. In lambda calculus lambda expressions, such as λx. x+1, is used as a notation for functions. The particular function λx. x+1 adds one to its argument x. Lambda expression were brought into early functional programming language, most notably Lisp. Since then, "lambda expression" has been the name of those expressions which evaluate to function values.
181 In Program 22.12 below we make list of five equivalent functions. The first one - line 12 - uses C# delegate notation, as already introduced in Section 22.1. The last one - line 16 - is a lambda expression written as concise as possible. The three in between - line 13, 14, and 15 - illustrate the notational transition from delegate notation to lambda notation. 1 2 3 4 5 6 7 8 9 10 11 12 13 14 15 16 17 18 19 20 21 22 23 using System; using System.Collections.Generic; class Program{ public delegate double NumericFunction(double d); public static void Main(){ NumericFunction[] equivalentFunctions = new NumericFunction[]{ delegate (double d){return d*d*d;}, (double d) => {return d*d*d;}, (double d) => d*d*d, (d) => d*d*d, d => d*d*d }; foreach(NumericFunction nf in equivalentFunctions) Console.WriteLine("NumericFunction({0}) = {1}", 5, nf(5)); } } Program 22.12 Five equivalent functions - from anonymous method expressions to lambda expressions. In Program 22.12 notice that we are able to organize five functions in a data structure, here an array. I line 19-12 we traverse the list of functions in a foreach control structure. Each function is bound to the local name nf, and nf(5) calls a given function on the number 5. In Listing 22.13 (only on web) we show the output of Listing 22.13. As expected, all five calls nf(5) return the number 125. The items below summarize lambda expressions in relation to delegates in C#: • The body can be a statement block or an expression • Uses the operator => which has low priority and is right associative • May involve implicit inference of parameter types • Lambda expressions serve as syntactic sugar for a delegate expression
182
183 23. Events The event concept is central in event-driven programming. Programs with graphical user interfaces are event-driven. With the purpose of discussing events we will see a simple example of a graphical user interface at the end of this chapter. 23.1. Events Lecture 6 - slide 12 In a program, an event contains some actions that must be carried out when the event is triggered In command-driven programming, the computer prompts the user for input. When the user is prompted the program stops and waits a given program location. When a command is issued by the user, the program is continued at the mentioned location. The program will analyze the command and carry out an appropriate action. In event-driven programming the program reacts on what happens on the elements of the user interface, or more generally, what happens on some selected state of the program. When a given event is triggered the actions that are associated with this particular event are carried out. Inversion of control Don't call us - we call you The "Don't call us - we call you" idea is due to the observation that the operations called by the event mechanism is not activated explicitly by our own program. The operations triggered by events are called by the system, such as the graphical user interface framework. This is sometimes referred to as inversion of control. Below, we compare operations (such as methods) and events. • Event • Belongs to a class • Contains one or more operations, which are called when the event is triggered. • The operations in the event are called implicitly • Operation • Belongs to a class • Is called explicitly - directly or indirectly - by other operations In the following sections we will describe the event mechanism in C#. Fortunately, we have already made the preparations for this in Chapter 22, because an event can be modelled as a variable of a delegate type.
184 23.2. Events in C# Lecture 6 - slide 13 In C# an event in some class C is a variable of a delegate type in C. Like classes, delegates are reference types. This implies that an event holds a reference to an instance of a delegate. The delegate is allocated on the heap. From inside some class, an event is a variable of a delegate type. From outside a class, it is only possible to add to or remove from an event. Events are intended to provide notifications, typically in relation to graphical user interfaces. The following restrictions apply to events, compared to variables of delegate types: • An event can only be activated from within the class to which the event belongs • From outside the class it is only possible to add (with +=) or subtract (with -=) operations to an event. • It is not possible to 'reset' the event with an ordinary assignment In the System namespace there exists a generic delegate called EventHandler<TEVentArgs>, which is recommended for event handling in the .NET framework. Thus, instead of programming your own delegate types of your events, it is recommended to use a delegate constructed from EventHandler<TEVentArgs>. The EventHandler delegate takes two arguments: The object which generated the event and an object which describes the event as such. The latter is assumed to be a subclass of the pre-existing class EventArgs. For more information about EventHandler<TEVentArgs> consult the documentation of the generic EventHandler delegate. For details on generic delegates (type parameterized delegates) see Section 43.2. 23.3. Examples of events Lecture 6 - slide 14 In this section we will see examples of programs that make use of events. First, in Program 23.1 we elaborate the Die class, which we have met several times before, see Section 10.1 , Section 12.5 , and Section 16.3. In Program 23.1 the Toss operation of the Die class triggers a particular event in case it tosses two sixes in a row, see line 30-31. 1 2 3 4 5 6 7 8 9 using System; using System.Collections.Generic; public delegate void Notifier(string message); public class Die { private int numberOfEyes; private Random randomNumberSupplier;
185 10 11 12 13 14 15 16 17 18 19 20 21 22 23 24 25 26 27 28 29 30 31 32 33 34 35 36 37 38 39 40 41 42 43 44 45 private int maxNumberOfEyes; private List<int> history; public event Notifier twoSixesInARow; public int NumberOfEyes{ get {return numberOfEyes;} } public Die (): this(6){} public Die (int maxNumberOfEyes){ randomNumberSupplier = new Random(unchecked((int)DateTime.Now.Ticks)); this.maxNumberOfEyes = maxNumberOfEyes; numberOfEyes = randomNumberSupplier.Next(1, maxNumberOfEyes + 1); history = new List<int>(); history.Add(numberOfEyes); } public void Toss (){ numberOfEyes = randomNumberSupplier.Next(1,maxNumberOfEyes + 1); history.Add(numberOfEyes); if (DoWeHaveTwoSixesInARow(history)) twoSixesInARow("Two sixes in a row"); } private bool DoWeHaveTwoSixesInARow(List<int> history){ int histLength = history.Count; return histLength >= 2 && history[histLength-1] == 6 && history[histLength-2] == 6; } public override String ToString(){ return String.Format("Die[{0}]: {1}", maxNumberOfEyes, NumberOfEyes); } } Program 23.1 The die class with history and dieNotifier. In Program 23.1 Notifier is a delegate. Thus, Notifier is a type. twoSixesInARow is an event - analogous to an instance variable - of type Notifier. Alternatively, we could have used the predefined EventHandler delegate (see Section 23.2) instead of Notifier. The event twoSixesInARow is public, and therefore we can add operations to this event from clients of Die objects. In line 9-11 of the class diceApp, shown in Program 23.2, we add an anonymous delegate to d1.twoSixesInARow, which reports the two sixes on the console. Notice the keyword "event", used in declaration of variables of delegate types for event purposes. It is tempting to think of "event" as a modifier, which gives a slightly special semantics to a Notifier delegate. Technically in C#, however, event is not a modifier. The keyword event signals that we use a strictly controlled variable of delegate type. From outside the class, which contains the event, only addition and removal of methods/delegates are possible. The addition and removal can, inside the class, be controlled by so-called event accessors add and remove, which in several respect resemble get and set of properties. We will, however, not dwell on these features of C# in this material. The predicate (boolean method) DoWeHaveTwoSixesInARow in line 35-40 of Program 23.1 in class Die determines if the die has shown two sixes in a row. This is based on the extra history instance variable.
186 Finally, the Toss operation may trigger the twoSixesInARow in line 31-32 of Program 23.1. The event is triggered in case the history tells that we have seen two sixes in a row. 1 2 3 4 5 6 7 8 9 10 11 12 13 14 15 16 17 18 19 20 using System; class diceApp { public static void Main(){ Die d1 = new Die(); d1.twoSixesInARow += delegate (string mes){ Console.WriteLine(mes); }; for(int i = 1; i < 100; i++){ d1.Toss(); Console.WriteLine("{0}: {1}", i, d1.NumberOfEyes); } } } Program 23.2 A client of die that reports 'two sixes in a row' via an event. In Program 23.3 we show the (abbreviated) output of Program 23.2. The "two sixes in a row" reporting turns out to be reported in between the two sixes. This is because the event is triggered by Toss, before Toss returns the last 6 value. 1 2 3 4 5 6 7 8 9 10 11 12 13 14 15 16 17 18 19 20 21 1: 6 2: 4 ... 32: 3 33: 6 Two sixes in a row 34: 6 Two sixes in a row 35: 6 ... 66: 2 67: 6 Two sixes in a row 68: 6 69: 2 70: 4 ... 97: 6 Two sixes in a row 98: 6 99: 3 Program 23.3 Possible program output of the die application (abbreviated). We will now turn to a another example in an entirely different domain, see Program 23.4. This program constructs a graphical user interface with two buttons and a textbox, see Figure 23.1. If the user pushes the Click Me button, this is reported in the textbox. If the user pushes the Erase button, the text in the textbox is deleted.
187 Figure 23.1 A graphical user interface with two buttons and a textbox. 1 2 3 4 5 6 7 8 9 10 11 12 13 14 15 16 17 18 19 20 21 22 23 24 25 26 27 28 29 30 31 32 33 34 35 36 37 38 39 40 41 42 43 44 45 46 47 48 49 using System; using System.Windows.Forms; using System.Drawing; // In System: // public delegate void EventHandler (Object sender, EventArgs e) public class Window: Form{ private Button b1, b2; private TextBox tb; // Constructor public Window (){ this.Size=new Size(150,200); b1 = new Button(); b1.Text="Click Me"; b1.Size=new Size(100,25); b1.Location = new Point(25,25); b1.BackColor = Color.Yellow; b1.Click += ClickHandler; // Alternatively: // b1.Click+=new EventHandler(ClickHandler); b2 = new Button(); b2.Text="Erase"; b2.Size=new Size(100,25); b2.Location = new Point(25,55); b2.BackColor=Color.Green; b2.Click += EraseHandler; // Alternatively: // b2.Click+=new EventHandler(EraseHandler); tb = new TextBox(); tb.Location = new Point(25,100); tb.Size=new Size(100,25); tb.BackColor=Color.White; tb.ReadOnly=true; tb.RightToLeft=RightToLeft.Yes; this.Controls.Add(b1); this.Controls.Add(b2); this.Controls.Add(tb); } // Event handler: private void ClickHandler(object obj, EventArgs ea) { tb.Text = "You clicked me"; }
188 50 51 52 53 54 55 56 57 58 59 60 61 62 63 64 // Event handler: private void EraseHandler(object obj, EventArgs ea) { tb.Text = ""; } } class ButtonTest{ public static void Main(){ Window win = new Window(); Application.Run(win); } } Program 23.4 A Window with two buttons and a textbox. The program makes use of the already existing delegate type System.EventHandler. Operations in this delegate accept an Object and an EventArg parameter, and they return nothing (void). The constructor of the class Window (which inherits from Form - a built-in class) dominates the program. In this constructor the window, aggregated by two buttons and a textbox, is built. As emphasized in Program 23.4 we add handlers to the events b1.Click and b2.Click. We could have instantiated EventHandler explicitly, as shown in the comments, but the notion b1.Click += ClickHandler and b2.Click += EraseHandler is shorter and more elegant. The two private instance methods ClickHandler and EraseHandler serve as event handlers. Notice that they conform to the signature of the EventHandler. (The signature is characterized by the parameter types and the return type). Exercise 6.5. Additional Die events In this exercise we add yet another method to the existing event i class Die, and we add another event to Die. In the Die event example, we have a public event called twoSixesInARow which is triggered if a die shows two sixes in a row. In the sample client program we add an anonymous method to this event which reports the string parameter of the event on standard output. Add yet another method to the twoSixesInARow event which counts the number of times 'two sixes in a row' appear. For this purpose we need - quite naturally - an integer variable for counting. Where should this variable be located relative to the 'counting method': Will you place the variable inside the new method, inside the Die class, or inside the client class of the Die? Add a similar event called fullHouse, of the same type Notifier, which is triggered if the Die tosses a full house. A full house means (inspired from the rules of Yahtzee) two tosses of one kind and three tosses of another kind - in a row. For instance, the toss sequence 5 6 5 6 5 leads to a full house. Similarly, the 1 4 4 4 1 leads to a full house. The toss sequence 5 1 6 6 6 6 5 does not contain a full house sequence, and the toss sequence 6 6 6 6 6 is not a full house. Be sure to test-drive the program and watch for triggering of both events.
189 24. Patterns and Techniques In this section we will discuss the Observer design pattern. We have already introduced the idea of design patterns in Chapter 16 and we have studied one such pattern, Singleton, in Section 16.3 24.1. The observer design pattern Lecture 6 - slide 17 The Observer is often used to ensure a loose coupling between an application and its user interface In general, Observer can be used whenever a set of observer objects need to be informed about state changes in a subject object Imagine that a weather service object collects information about temperature, rainfall, and air pressure. When the weather conditions change significantly, a number of weather watcher objects - temperature watchers, rain watchers, general news watchers (newspapers and television stations) will have to be updated. See Figure 24.1. Figure 24.1 The subject (weather service object) to the left and its three observers (weather watcher objects) to the right. The Weather Service Object get its information various sensors. The following questions are relevant: 1. Do the weather service object know about the detailed needs of the weather watcher objects? 2. How do we associate weather watcher objects with the weather service object? In most naive solutions, the weather service object forwards relevant sensor observations to the weather watcher objects. The weather service object sends individual and customized messages to each weather watcher object with weather update information which is relevant for the receiver. Thus, the weather service object knows a lot about the individual needs of the watcher objects. This may work for the first two, three, or four watchers, but this approach becomes very problematic if there are many watchers: Every time a new watcher shows up we must change the weather service object. Now let us face the second issue. In the naive solution, the weather service object will often hard wire the knowledge about watchers in the program. This is probably OK for one, two or three watchers, but it is - of course - tedious in case there are hundreds of watchers.
190 There is a noteworthy a solution to the problem outlined above. It is described as a design pattern, because it addresses a non-trivial solution to a frequently occurring problem. The design pattern is know as Observer. The key ideas are: 1. Watcher objects subscribe to updates from the service object. 2. The service object broadcasts notifications about changes to watchers. 3. The watcher object may request details from the service object if they need to. Below, in Program 24.1 and Program 24.2, we show the general idea/template of the Observer pattern. 1 2 3 4 5 6 7 8 9 10 11 12 13 14 15 16 17 18 19 20 21 22 23 24 25 26 27 28 29 using System.Collections; namespace Templates.Observer { public class Subject { // Subject instance variables private ArrayList observers = new ArrayList(); public void Attach(Observer o){ observers.Add(o); } public void Detach(Observer o){ observers.Remove(o); } public void Notify(){ foreach(Observer o in observers) o.Update(); } public SubjectState GetState(){ return new SubjectState(); } } public class SubjectState { // Selected state of the subject } } Program 24.1 Template of the Subject class. The weather service object corresponds to an instance of class Subject in Program 24.1 and the watcher objects correspond to observers, as shown in Program 24.2. In Program 24.3 we illustrate how the Observer and Subject classes can be used in a client program. The programs are compilable C# programs, without any substance, however. In an appendix - Section 58.2 - we show the weather service program and how it uses the Observer pattern. 1 2 3 4 5 6 7 8 9 10 11 12 using System.Collections; namespace Templates.Observer { public class Observer { private Subject mySubject; public Observer (Subject s){ mySubject = s; } public void Update(){
191 13 14 15 16 17 18 19 20 21 22 // ... SubjectState state = mySubject.GetState(); // if (the state is interesting){ // react on state change // } } } } Program 24.2 A templates of the Observer class. In Program 24.3 we see that two observers, o1 and o2, are attached to the subject object (line 10 and 11). The third observer o3 is not yet attached. o1 and o2 hereby subscribe to updates from the subject object. Let us now assume that a mutation of the state in the subject object triggers a need for updating the observers. The following happens: 1. The subject sends a Notify message to itself. (In Program 24.3 the client of Subject and Observer sends the Notify message. This is an artificial and non-typical situation). 2. Notify updates each of the attached observers, by sending the parameterless Update message. This happens in line 18 of Program 24.1 . 3. The Update method in the Observer class asks (if necessary) what really happened in the Subject This is done by sending the message GetState back to the subject , see line 13 of Program 24.2 . Individual observers may request different information from the Subject . Some observers may not need to get additional information from the subject, and these observers will therefore not send a GetState message. 4. GetState returns the relevant information to the observer. The observer does whatever it finds necessary to update itself based on its new knowledge. 1 2 3 4 5 6 7 8 9 10 11 12 13 14 15 16 using Templates.Observer; class Client { public static void Main(){ Subject subj = new Subject(); Observer o1 = new Observer(subj), o2 = new Observer(subj), o3 = new Observer(subj); subj.Attach(o1); // o1 subscribes to updates from subj. subj.Attach(o2); // o2 subscribes to updates from subj. subj.Notify(); // Following some state changes in subj // notify observers. } } Program 24.3 Application of the Subject and Observer classes. You should consult the appendix - Section 58.1 (only on web) - for a more realistic scenario in terms of the weather service and watchers.
192 24.2. Observer with Delegates and Events Lecture 6 - slide 19 The Observer idea, as described in Section 24.1 can be implemented conveniently by use of events. We introduced events in Chapter 23. According to Observer, the subject has a list of observers which will have to notified when the state of the subject is updated. We can can represent the list of observers as an event. Recall from Section 23.2 that an event can contain a number of methods (all of which share a common signature described by a delegate type). Each observer adds a method to the event of the subject object. The subject notifies the observers by triggering the event. In Program 24.4 we show a template of the Subject class, corresponding to Program 24.1 in Section 24.1. The event is declared in line 9. The delegate type of the event is shown in line 4. Notice that the subscription methods AddNotifier and RemoveNotifier simply adds or subtracts a method to the event. Upon notification - see line 20 in the Notify method - the subject triggers the event. For illustrative purposes - and in order to stay compatible with the setup in Program 24.4, we pass an instance of the subject state to the observer, see line 20 of Program 24.4. In this way there is no need for the observer to ask for it afterwards. 1 2 3 4 5 6 7 8 9 10 11 12 13 14 15 16 17 18 19 20 21 22 23 24 25 26 27 using System.Collections; namespace Templates.Observer { public delegate void Notification(SubjectState ss); public class Subject { // Subject instance variable private event Notification observerNotifier; public void AddNotifier(Notification n){ observerNotifier += n; } public void RemoveNotifier(Notification n){ observerNotifier -= n; } public void Notify(){ observerNotifier(new SubjectState()); } } public class SubjectState { // Selected state of the subject } } Program 24.4 Template of the Subject class. 1 2 3 4 5 6 7 8 9 10 11 using System.Collections; namespace Templates.Observer { public class Observer { public Observer (){ // ... } public void Update(SubjectState ss){ // if (the state ss is interesting){
193 12 13 14 15 16 17 // react on state change // } } } } Program 24.5 Template of the Observer class. In line 10-11 of Program 24.6 we see that the two observers o1 and o2 add their Update (instance) methods to the subject. This will add these methods to the event. The Update method of the Observer class is seen in line 10-14 of Program 24.5. 1 2 3 4 5 6 7 8 9 10 11 12 13 14 15 using Templates.Observer; class Client { public static void Main(){ Subject subj = new Subject(); Observer o1 = new Observer(), o2 = new Observer(), o3 = new Observer(); subj.AddNotifier(o1.Update); subj.AddNotifier(o2.Update); subj.Notify(); } } Program 24.6 Application of the Subject and Observer classes. In an appendix - Section 58.2 - we show a version of the weather center and weather watcher program programmed with events.
194
195 25. Specialization of Classes In this section the topic is inheritance. Inheritance represents an organization of classes in which one class, say B, is defined on top of another class, say A. Class B inherits the members of class A, and in addition B can define its own members. Use of inheritance makes it possible to reuse the data and operations of a class A in several so-called subclasses, such as B, C, and D, without coping these data and operations in the source code. Thus, if we modify class A we have also implicitly modified B, C and D. There are several different views and understandings of inheritance, most dominantly specialization and extension. But also words such as subtyping and subclassing are used. We start our coverage by studying the idea of specialization. 25.1. Specialization of Classes Lecture 7 - slide 2 The idea of specialization was introduced in Section 3.4 when we studied concepts and phenomena. In Section 3.4 we defined a specialization as a more narrow concept than its generalization. We will, in this chapter, use the inspiration from specialization of concepts to introduce specialization of classes. Classes are regarded as types, and specializations as subtypes Specialization facilitates definition of new classes from existing classes on a sound conceptual basis With specialization we nominate a subset of the objects in a type as a subtype. The objects in the subset are chosen such that they have "something in common". Typically, the objects in the subset are constrained in a certain way that set them apart from the surrounding set of objects. We often illustrate the generalization/specialization relationship between classes or types in a tree/graph structure. See Figure 25.1. The arrow from B to A means that B is a specialization of A . Later we will use the same notation for the extended understanding that B inherits from A. Figure 25.1 The class B is a specialization of class A Below - in the dark blue definition box - we give a slightly more realistic and concrete definition of specialization. The idea of subsetting is reflected in the first element of the definition. The second element is, in reality a consequence of the subsetting. The last element stresses that some operations in the specialization can be redefined to take advantage of the properties that unite the objects/values in the specialization.
196 If a class B is a specialization of a class A then • The instances of B is a subset of the instances of A • Operations and variables in A are also present in B • Some operations from A may be redefined in B 25.2. The extension of class specialization Lecture 7 - slide 3 In Section 3.1 we defined the extension of a concept as the collection of phenomena that is covered by the concept. In this section we will also define the extension of a class, namely as the set of objects which are instances of the class or type. We will now take a look at the extension of a specialized class/type. The subsetting idea from Section 25.1 can now be formulated with reference to the extension of the class. The extension of a specialized class B is a subset of the extension of the generalized class A The relationships between the extension of A and B can be illustrated as follows, using the well-known notation of wenn diagrams. Figure 25.2 The extension of a class A is narrowed when the class is specialized to B Let us now introduce the is-a relation between the two classes A and B: • A B-object is an A-object • There is a is-a relation between class A and B The is-a relation characterizes specialization. We may even formulate an "is-a test" that tests if B is a specialization of A. The is-a relation can be seen as contrast to the has-a relation, which is connected to aggregation, see Section 3.3. The is-a relation forms a contrast to the has-a relation The is-a relation characterizes specialization The has-a relation characterizes aggregation
197 We will be more concrete with the is-a relation and the is-a test when we encounter examples in the forthcoming sections. 25.3. Example: Bank Accounts Lecture 7 - slide 4 In Figure 25.3 we give three classes that specialize the class BankAccount. Figure 25.3 A specialization hierarchy of bank accounts The is-a test confirms that there is a generalization-specialization relationship between BankAccount and CheckAccount: The statement "CheckAccount is a BankAccount" captures - very satisfactory - the relationships between the two classes. The statement "BankAccount is a CheckAccount" is not correct, because we can imagine bank accounts which are not related to checks at all. As a contrast, the has-a test fails: It is against our intuition that "a CheckAccount has a BankAccount". Similarly, it is not the case that "BankAccount has a CheckAccount". Thus, the relationship between the classes BankAccount and CheckAccount is not connected to aggregation/decomposition. In Figure 25.4 we show a possible constellation of extensions of the bank account classes. As hinted in the illustration, the specialized bank accounts overlap in such a way that there can exist a bank account which is both a CheckAccount, a SavingsAccount, and a LotteryAccount. An overlapping like in Figure 25.4 is the prerequisite for (conceptually sound) multiple specialization, see Section 27.5. Figure 25.4 Possible extensions of the bank account classes 25.4. Example: Bank Accounts in C# Lecture 7 - slide 5 In this section we show some concrete C# bank account classes, corresponding to the classes introduced in Figure 25.3.
198 The BankAccount class in Program 25.1 is similar to the class introduced earlier in Program 11.5. We need, however, to prepare for specialization/inheritance in a couple of ways. We briefly mention these preparations here. The detailed treatment will be done in the following sections. First, we use protected instance variables instead of private instance variables. This allows the instance variables to be seen in the specialized bank account classes. See Section 27.3 for details. Next, we use the virtual modifier for the methods that are introduced in class BankAccount. This allows these methods to be redefined in the specialized bank account classes. See Section 28.9. 1 2 3 4 5 6 7 8 9 10 11 12 13 14 15 16 17 18 19 20 21 22 23 24 25 26 27 28 29 30 31 32 33 34 35 36 37 38 39 using System; public class BankAccount { protected double interestRate; protected string owner; protected decimal balance; public BankAccount(string o, decimal b, double ir) { this.interestRate = ir; this.owner = o; this.balance = b; } public BankAccount(string o, double ir): this(o, 0.0M, ir) { } public virtual decimal Balance { get {return balance;} } public virtual void Withdraw (decimal amount) { balance -= amount; } public virtual void Deposit (decimal amount) { balance += amount; } public virtual void AddInterests() { balance += balance * (Decimal)interestRate; } public override string ToString() { return owner + "'s account holds " + + balance + " kroner"; } } Program 25.1 The base class BankAccount. The CheckAccount class shown in Program 25.2 redefines (overrides) the Withdraw method. This gives a special meaning to money withdrawal from a CheckAccount object. The method ToString is is also redefined (overridden) in class CheckAccount, in the same way as it was overridden in class BankAccount relative to its superclass (Object), see Program 25.1. Notice also the two constructors of class CheckAccount. They both delegate the construction work to BankAccount constructors via the base keyword. See Section 28.4 for details on constructors. This is similar to the delegation from one constructor to another in the same class, by use of this, as discussed in Section 12.4.
199 1 2 3 4 5 6 7 8 9 10 11 12 13 14 15 16 17 18 19 20 21 22 23 using System; public class CheckAccount: BankAccount { public CheckAccount(string o, double ir): base(o, 0.0M, ir) { } public CheckAccount(string o, decimal b, double ir): base(o, b, ir) { } public override void Withdraw (decimal amount) { balance -= amount; if (amount < balance) interestRate = -0.10; } public override string ToString() { return owner + "'s check account holds " + + balance + " kroner"; } } Program 25.2 The class CheckAccount. The class SavingsAccount follow the same pattern as class CheckAccount. Notice that we also in class SavingsAccount redefine (override) the AddInterests method. 1 2 3 4 5 6 7 8 9 10 11 12 13 14 15 16 17 18 19 20 21 22 23 24 25 26 27 28 29 using System; public class SavingsAccount: BankAccount { public SavingsAccount(string o, double ir): base(o, 0.0M, ir) { } public SavingsAccount(string o, decimal b, double ir): base(o, b, ir) { } public override void Withdraw (decimal amount) { if (amount < balance) balance -= amount; else throw new Exception("Cannot withdraw"); } public override void AddInterests() { balance = balance + balance * (decimal)interestRate - 100.0M; } public override string ToString() { return owner + "'s savings account holds " + + balance + " kroner"; } } Program 25.3 The class SavingsAccount.
200 In the class LotteryAccount the method AddInterests is redefined (overridden). The idea behind a lottery account is that a few lucky accounts get a substantial amount of interests, whereas the majority of the accounts get no interests at all. This is provided for by the private instance variable lottery, which refers to a Lottery object. In the web-version of the material we show a definition of the Lottery class, which we program as a Singleton. 1 2 3 4 5 6 7 8 9 10 11 12 13 14 15 16 17 18 19 20 using System; public class LotteryAccount: BankAccount { private static Lottery lottery = Lottery.Instance(20); public LotteryAccount(string o, decimal b): base(o, b, 0.0) { } public override void AddInterests() { int luckyNumber = lottery.DrawLotteryNumber; balance = balance + lottery.AmountWon(luckyNumber); } public override string ToString() { return owner + "'s lottery account holds " + + balance + " kroner"; } } Program 25.4 The class LotteryAccount. 25.5. Example: Geometric Shapes Lecture 7 - slide 6 In this section we show another example of specialization. The tree in Figure 25.5 illustrates a number of specializations of polygons. In the left branch of the tree we see the traditional and complete hierarchy of triangle types. In the right branch we show the most important specializations of quadrangles. Trapezoids are assumed to have exactly one pair of parallel sides, and as such trapezoids and parallelograms are disjoint. Figure 25.5 A specialization hierarchy of polygons The polygon type hierarchy is a typical specialization hierarchy, because it fully complies with the definition of specialization from Section 25.1. The subset relationship is easy to verify. All operations defined at the polygon level are also available and meaningful on the specialized levels. In addition it makes sense to redefine many of the operations to obtain more accurate formula behind the calculations.
201 Overall, the deeper we come in the hierarchy, the more constraints apply. This is a typical characteristic of a real and pure generalization/specialization class hierarchy. 25.6. Specialization of classes Lecture 7 - slide 7 We will now summarize the idea of class specialization. Objects of specialized classes • fulfill stronger conditions (constraints) than objects of generalized classes • obey stronger class invariants • have simpler and more accurate operations than objects of generalized classes Specialization of classes in pure form do not occur very often. Specialization in combination with extension is much more typical. As noticed in Section 25.4 the hierarchy of polygons is real and pure example of specialization hierarchy. The bank account hierarchy in Figure 25.3 is not as pure as the polygon hierarchy. The bank account hierarchy is - in the starting point - a specialization hierarchy, but the specialized classes are likely to be extended with operations, which do not make sense in the BankAccount class. Class extension is the topic in Chapter 26. 25.7. The Principle of Substitution Lecture 7 - slide 8 The principle of substitution is described by Timothy Budd in section 8.3 of in his book An Introduction to Object-oriented Programming [Budd02]. The principle of substitution describes an ideal, which not always is in harmony with our practical and everyday programming experience. This corresponds to our observation that pure specialization only rarely is found in real-life programs. If B is a subclass of A, it is possible to substitute an given instance of B in place of an instance of A without observable effect As an example, consider the class hierarchy of polygons in Figure 25.5. Imagine that we have the following scene: Polygon p = new Polygon(...); RightTriangle tr = new RightTriangle(...); /* Rest of program */ It is now possible to substitute the polygon object with the triangle object in the "rest of the program". This is possible because the triangle possesses all the general properties (area, circumference, etc) of the polygon. At least, the compiler will not complain, and the executing program will not halt. Notice, however, that the
202 substitution is only neutral to the actual meaning of the execution program if the replaced polygon actually happens to be the appropriate right triangle! Notice that the opposite substitution does not always work. Thus, we cannot substitute a triangle with a general polygon (for instance a square). Most programs would break immediately if that was attempted. The reason is that a square does not, in general, possess the same properties as a triangle. The ideas behind the principle of substitution are related to virtual methods (Section 28.14) and to dynamic binding (Section 28.11). 25.8. References [Budd02] Timothy Budd, An Introduction to Object-Oriented Programming, third edition. Pearson. Addison Wesley, 2002.
203 26. Extension of Classes Extension of classes is a more pragmatic concept than specialization of classes. Specialization of classes is directly based on - and inspired from - specialization of concepts, as discussed in Section 3.4. Extension of classes is a much more practical idea. In the previous chapter (Chapter 25) we discussed specialization of classes. In this section we discuss class extension. In C# both class specialization and class extension will be dealt with by class inheritance, see Chapter 27. 26.1. Extension of Classes Lecture 7 - slide 10 Classes can both be regarded as types and modules. Class extension is a program transport and program reusability mechanism. As the name suggests, class extension is concerned with adding something to a class. We can add both variables and operations. We are not constrained in any way (by ideals of specialization or substitution) so we can in principle add whatever we want. However, we still want to have coherent and cohesive classes. We want classes focused on a single idea, where all data and operations are related to this idea. Our classes should be used as types for declaration of variables, and it should make sense to make instances of the classes. Thus, we do not want to treat classes are general purposes modules (in the sense of boxing modularity, see Section 2.3). These considerations lead us to the following definition of class extension. If class B is an extension of class A then • B may add new variables and operations to A • Operations and variables in A are also present in B • B-objects are not necessarily conceptually related to A-objects 26.2. An example of simple extension Lecture 7 - slide 11 In this section we will look at a typical example of class extension, which distinguishes itself from specialization as seen in Chapter 25. Below, in Program 26.1 we show the class Point2D. It is a variant of one the Point types we have studied in Section 11.6, Section 14.3, and Section 18.2. The variant programmed below implements mutable points. This is seen in line 19, which assigns to the state of a Point object.
204 1 2 3 4 5 6 7 8 9 10 11 12 13 14 15 16 17 18 19 20 21 22 23 24 25 using System; public class Point2D { private double x, y; public Point2D(double x, double y){ this.x = x; this.y = y; } public double X{ get {return x;} } public double Y{ get {return y;} } public void Move(double dx, double dy){ x += dx; y += dy; } public override string ToString(){ return "Point2D: " + "(" + x + ", " + y + ")" + "."; } } Program 26.1 The class Point2D. In Program 26.2 we extend the class Point2D with an extra coordinate, z, and hereby we get the class Point3D. 1 2 3 4 5 6 7 8 9 10 11 12 13 14 15 16 17 18 19 20 21 22 23 24 using System; public class Point3D: Point2D { private double z; public Point3D(double x, double y, double z): base(x,y){ this.z = z; } public double Z{ get {return z;} } public void Move(double dx, double dy, double dz){ base.Move(dx, dy); z += dz; } public override string ToString(){ return "Point3D: " + "(" + X + ", " + Y + ", " + Z + ")" + "."; } } Program 26.2 The class Point3D which extends class Point3d. Notice that Move in Point3D does not conflict with Move in Point2D. The reason is that the two methods are separated by the types of their formal parameters. The two Move operations in Point3D and Point2D are
205 (statically) overloaded. Thus relative to the discussion in Section 28.9 it is not necessary to supply a new modifier of Move in Point3D. We also show how to use Point2D and Point3D in a client class, see Program 26.3. The output of the client program is shown in Listing 26.4. 1 2 3 4 5 6 7 8 9 10 11 12 13 14 15 16 17 18 using System; public class Application{ public static void Main(){ Point2D p1 = new Point2D(1.1, 2.2), p2 = new Point2D(3.3, 4.4); Point3D q1 = new Point3D(1.1, 2.2, 3.3), q2 = new Point3D(4.4, 5.5, 6.6); p2.Move(1.0, 2.0); q2.Move(1.0, 2.0, 3.0); Console.WriteLine("{0} {1}", p1, p2); Console.WriteLine("{0} {1}", q1, q2); } } Program 26.3 A client of the classes Point2D and Point3d. 1 2 Point2D: (1,1, 2,2). Point2D: (4,3, 6,4). Point3D: (1,1, 2,2, 3,3). Point3D: (5,4, 7,5, 9,6). Listing 26.4 The output from the Client program. The important observations about the extension Point3D of Point2D can be stated as follows: • A 3D point is not a 2D point • Thus, Point3D is not a specialization of Point2D • The principle of substitution does not apply • The set of 2D point objects is disjoint from the set of 3D points The is-a test (see Section 25.2) fails on the class Point3D in relation to class Point2D. The "has-a test" also fails. It is not true that a 3 dimensional point has a 2 dimensional point as one its parts. Just look at the class Point3D! But - in reality - the "has-a test" is closer to success than the "is-a test". Exercise 7.1 researches an implementation of class Point3D in terms of a Point2dD part. It is interesting to wonder if the principle of substitution applies, see Section 25.7. Can we substitute instances of Point3D in place of instances of Point2D without observable effects? Due to the independence and orthogonality of the three dimensions the principle of substitution is almost applicable. But the Move operation, as redefined in class Point3D, causes problems. The Move operation in class Point2D does an incomplete move when applied on a 3D point. And as noticed, Move in class Point3D is not a redefinition of Move from class Point2D. There are two different Move operations available on an instance of class Point3D. This is a mess! In the last item it is stated that extensions (see Section 3.1) of class Point2D and class Point3D are disjoint (non-overlapping). Conceptually, there is no overlap between the set of two-dimensional points and the set of
206 three-dimensional points! This is probably - in a nutshell - the best in indication of the difference between the Point2D/Point3D example and - say - the BankAccount examples from Section 25.3 . The class Point2D was a convenient starting point of the class Point3D We have reused some data and operations from class Point2D in class Point3D Exercise 7.1. Point3D: A client or a subclass of Point2D? The purpose of this exercise is to sharpen your understanding of the difference between "being a client of class C" and "being af subclass of class C". The class Point3D extends Point2D by means of inheritance. As an alternative, the class Point3D may be implemented as a client of Point2D. In more practical terms this means that the class Point3D has an instance variable of type Point2D. Now implement Point3D as a client of Point2D - such that a 3D point has a 2D point as a part. Be sure that the class Point3D has the same interface as the version of class Point3D from the course material. Evaluate the difference between "being a client of" an "extending" class Point2D. Which of the solutions do you prefer? 26.3. The intension of class extensions Lecture 7 - slide 12 In Section 25.2 we realized that the essential characteristics of specialization is the narrowing of the class extension, see Figure 25.2. Above, in Section 26.2, we realized the the class extension of an extended class (such as Point3D) typically is disjoint from the class extension of the parent class (such as Point2D). In this section we emphasize the similar, clear-cut characteristics of class extension, namely the enlargement of the class intension. This is illustrated in Figure 26.1. The intension of a class extension B is a superset of the intension of the original class A Please be aware of possible confusion related to our terminology. We discuss class "extension" in this section, and we refer to the "intension" and "extension" (related to concepts, as discussed in Section 3.1). The two meanings of "extension" should be kept apart. They are used with entirely different meanings.
207 Figure 26.1 The intension of a class A is blown up when the class is extended to B It is, in general, not possible to characterize the extension of B in relation to the extension of A Often, the extension of A does not overlap with the extension of B
208
209 27. Inheritance in General After we have discussed class specialization in Chapter 25 and class extension in Chapter 26 we will now turn our interest towards inheritance. Inheritance is a mechanism in an object-oriented programming language mechanism that supports both class specialization and class extension. This section is about inheritance in general. Inheritance in C# is the topic of Chapter 28. 27.1. Inheritance Lecture 7 - slide 14 When a number of classes inherit from each other a class graph is formed. If, for instance, both class B and C inherit from class A we get the graph structure in Figure 27.1. Later in this section, in Section 27.4, we will discuss which class graphs that make sense. If a class B inherits the variables and operations from another class, A, we say that B is a subclass of A. Thus, in Figure 27.1 both B and C are subclasses of A. A is said to be a superclass of B and C. Figure 27.1 Two classes B and C that inherit from class A In the class graph shown in Figure 27.1 the edges are oriented from subclasses to superclasses. In other words, the arrows in the figure point at the common superclass. In Figure 27.1 the members (variables and operations) of class A are also variables in class B and C, just as though the variables and operations were defined explicitly in both class B and C. In addition, class B and C can define variables and operations of their own. The inherited members from class A are not necessarily visible in class B and C, see Section 27.3. In essence, inheritance is a mechanisms that brings a number of variables and operations from the superclass to the subclasses. Alternatively, we could copy the variables and operations from class A and paste them into class B and class C. This would, roughly, give the same result, but this approach is not attractive, and it should always be avoided. If we duplicate parts of our program it is difficult to maintain the program, because future program modifications must be carried out two or more places (both in class A, and in the duplications in class B and C). We always go for solutions that avoid such duplication of source program fragments. When we run a program we make instances of our classes A, B and C. B and C have some data and operations that come from A (via inheritance). In addition, B and C have variables and operations of their own. Despite of this, an instance of class B is one single object, without any A part and B part. Thus, in an instance of class B the variables and operations of class A have been merged with the variables and operations from class B. In an instance of B there are very few traces left of the fact that class B actually inherits from class A. The observations from above are summarized below. The situation described above, and illustrated in Figure 27.1
210 • Organizes the classes in a hierarchy • Provides for some degree of specialization and/or extension of A • At program development time, data and operations of A can be reused in B and C without copying and without any duplication in the source program • At runtime, instances of class B and C are whole objects, without A parts 27.2. Interfaces between clients and subclasses Lecture 7 - slide 15 The client interface of a class (say class A in Figure 27.2) is defined by the public members. This has been discussed in Section 11.1. In Figure 27.2 the client interface of class A is shown as number 1. The client interface of a class B (which is a subclass of class A) is extended in comparison with the client interface of class A itself. The client interface of class B basically includes the client interface of class A, and some extra definitions given directly in class B. The client interface of class B is shown as number 3 in Figure 27.2. When inheritance is introduced, there is an additional kind of interface to take care of, namely the interfaces between a class and its subclasses. We call it the subclass interface. Interface number 2 in Figure 27.2 consists of all variables and operations in class A which are visible and hereby applicable in class B. Similarly, the interface numbered 4 is the interface between class B and its subclasses. Figure 27.2 Interfaces between A, B, their client classes, and their subclasses 1. The client interface of A 2. The subclass interface between A and its subclass B 3. The client interface of B 4. The subclass interface between B and potential subclasses of B
211 27.3. Visibility and Inheritance Lecture 7 - slide 16 Most object-oriented programming languages distinguish between private, protected and public variables and operations. Below we provide a general overview of these kinds of visibility. • Private • Visibility limited to the class itself. • Instances of a given class can see each others private data and operations • Protected • Visibility is limited to the class itself and to its subclasses • Public • No visibility limitations In Section 28.6 we refine the description of the visibility modifiers relative to C#. 27.4. Class hierarchies and Inheritance Lecture 7 - slide 17 When a number of classes inherit from each other a class graph is defined. Class graphs were introduced in Section 27.1. Below we show different shapes of class graphs, and we indicate (by means of color and text) which of them that make sense. Figure 27.3 Different graph structures among classes A tree-structured graph, as shown to the left in Figure 27.3 makes sense in all object-oriented programming languages. In Java and C# we can only construct tree structured class graphs. This is called single- inheritance because a class can at most have a single superclass. Multiple inheritance is known from several object-oriented programming language, such as C++, Eiffel, and CLOS. Compared with single inheritance, multiple inheritance complicates the meaning of an object- oriented program. The nature of these complications will be discussed in Section 27.5. Repeated inheritance is allowed more rarely. Eiffel allows it, however. It can be used to facilitate replication of superclass variables in subclasses.
212 Cyclic class graphs, as shown to the right in Figure 27.3 are never allowed. 27.5. Multiple inheritance Lecture 7 - slide 18 In this section we dwell a little on multiple inheritance. Both relative to class specialization (see Chapter 25) and class extension (see Chapter 26) it can be argued that multiple inheritance is useful: • Specialization of two or more classes • Example: An isosceles right triangle is a isosceles triangle and it is a right triangle • Example: There may exists a bank account which is a checking account and it is a savings account • Extensions of two or more classes • "Program transport" from multiple superclasses In Figure 25.4 the overlapping extensions of the classes CheckAccount, SavingsAccount and LotteryAccount indicate that there may exist a single object, which is a CheckAccount, a SavingsAccount, and a LotteryAccount. When we in Section 26.2 discussed the extension of class Point2D to class Point3D it could have been the case that it was useful to extend class Point3D from an additional superclass as well. Let us now briefly argue why multiple inheritance is difficult to deal with. In Figure 27.4 we have sketched a situation where class C inherits from both class A and class B. Both A and B have a variable or an operation named x. The question is now which x we get when we refer to x in C (for instance via C.x if x is static). Figure 27.4 Class B is a subclass of class A In general, the following problems and challenges can be identified: • The name clash problem: Does x in C refer to the x in A or the x in B? • The combination problem: Can x in A and x in B combined to a single x in C? • The selection problem: Do we have means in C to select either x in A or x in B? • The replication problem: Is there one or two x pieces in C? Notice that some of these problems and challenges are slightly overlapping.
213 This ends the general discussion of inheritance. The next chapter is also about inheritance, as it relates to C#. The discussions of multiple inheritance is brought up again, in Chapter 31, in the context of interfaces.
214
215 28. Inheritance in C# In Chapter 27 we discussed inheritance in general. In this section we will be more specific about class inheritance in C#. The current section is long, not least because it covers important details about virtual methods and polymorphism. 28.1. Class Inheritance in C# Lecture 7 - slide 21 When we define a class, say class-name, we can give the name of the superclass, super-class-name, of the class. The syntax of this is shown in Chapter 27. In some contexts, a superclass is also called a base class. class-modifier class class-name: super-class-name{ declarations } Syntax 28.1 A C# class defined as a subclass of given superclass We see that the superclass name is given after the colon. There is no keyword involved (like extends in Java). If a class implements interfaces, see Chapter 31, the names of these interfaces are also listed after the colon. The superclass name must be given before the names of interfaces. If we do not give a superclass name after the colon, it is equivalent to writing : Object. In other words, a class, which does not specify an explicit superclass, inherits from class Object. We discuss class Object in Section 28.2 and Section 28.3. In Program 28.1 below we show a class B which inherits from class A. Notice that Program 28.1 uses C# syntax, and that the figure shows full class definitions. Notice also that the set of member is empty in both class A and B. As before, we use the graphical notation in Figure 28.1 for this situation. 1 2 3 class A {} class B: A {} Program 28.1 A class A and its subclass B. Figure 28.1 The class B inherits from class A B is said to be a subclass of A, and A a superclass of B. A is also called the base class of B. 28.2. The top of the class hierarchy Lecture 7 - slide 22 As discussed in Section 27.4 a set of classes define a class hierarchy. The top/root of the class hierarchy is the class called Object. More precisely, the only class which does not have an edge to a superclass in the
216 class graph is called Object. In C# the class Object resides in the System namespace. The type object is an alias for System.Object. Due to inheritance the methods in class Objects are available in all types in C#, including value types. We enumerate these methods in Section 28.3. Figure 28.2 The overall type hierarchy in C# The left branch of Figure 28.2 corresponds to the reference types of C#. Reference types were discussed in Chapter 13. The right branch of Figure 28.2 corresponds to the value types, which we have discussed in Chapter 14. All pre-existing library classes, and the classes we define in our own programs, are reference types. We have also emphasized that strings (as represented by class String) and arrays (as represented by class Array) are reference types. Notice that the dotted box "Reference types" is imaginary and non-existing. (We have added it for matters of symmetry, and for improved conceptual overview). The role of class Array is clarified in Section 47.1. The class ValueType is the base type of all value types. Its subclass Enum is a base type of all enumeration types. It is a little confusing that these two classes are used as superclasses of structs, in particular because structs cannot inherit from other structs or classes. This can be seen as a special-purpose organization, made by the C# language designers. We cannot, as programmers, replicate such organizations in our own programs. The classes Object, ValueType and Enum contain methods, which are available in the more specialized value types (defined by structs) of C#. 28.3. Methods in the class Object in C# Lecture 7 - slide 23 We will now review the methods in class Object. Due to the type organization discussed in Section 28.2 these methods can be used uniformly in all classes and in all structs.
217 • Public methods in class Object • Equals: • obj1.Equals(obj2) - Instance method • Object.Equals(obj1, obj2) - Static method • Object.ReferenceEquals(obj1,obj2) - Static method • obj.GetHashCode() • obj.GetType() • obj.ToString() • Protected methods in class Object • obj.Finalize() • obj.MemberwiseClone() There are three equality methods in class Object. All three of them have been discussed in Section 13.5. The instance methods Equals is the one we often redefine in case we need a shallow equality operation in one of our classes. See Section 28.16 for details. The static method, also named Equals, is slightly more applicable because it can also compare objects/values and null values. The static method ReferenceEquals is - at least in the starting point - equivalent to the == operator. The instance method GetHashCode produces an integer value which can be used for indexing purposes in hashtables. In order to obtain efficient implementations, GetHashCode often use some of the bit-wise operators, such as shifting and bit-wise exclusive or. (See Program 28.29 for an example). It must be ensured that if o1.Equals(o2) then o1.GetHashCode() has the same value as o2.GetHashCode(). The instance method ToString is well-known. We have seen it in numerous types, for instance in the very first Die class we wrote in Program 10.1. We implement and override this method in most of our classes. ToString is implicitly called whenever we need some text string representation of an object obj, typically in the context of an output statement such Console.WriteLine("{0}", obj). If the parameterless ToString method of class Object is not sufficient for our formatting purposes, we can implement the ToString method of the interface IFormattable, see Section 31.7. The method Finalize is not used in C#. Instead, destructors are used. Destructors help release resources just before garbage collection is carried out. We do not discuss destructors in this material. MemberwiseClone is a protected method which does bit per bit copying of an object (shallow copying, see Section 13.4 ). MemberwiseClone can be used in subclasses of Object (in all classes and structs), but MemberwiseClone cannot be used from clients because it is not public. In Section 32.7 we will see how to make cloning available in the client interface; This involves implementation of the interface ICloneable (see Section 31.4) and delegation to MemberwiseClone from the Clone method prescribed by ICloneable. 28.4. Inheritance and Constructors Lecture 7 - slide 24 Constructors in C# were introduced in Section 12.4 as a means for initializing objects, cf. Section 12.3. It is recommended to review the basic rules for definition of constructors in Section 12.4.
218 As the only kind of members, constructors are not inherited. This is because a constructor is only useful in the class to which it belongs. In terms of the BankAccount class hierarchy shown in Figure 25.3, the BankAccount constructor is not directly useful as an inherited member of the class CheckAccount: It would not be natural to apply a BankAccount constructor on a CheckAccount object. On the other hand, the BankAccount constructor typically does part of the work of a CheckAccount constructor. Therefore it is useful for the CheckAccount constructor to call the BankAccount constructor. This is indeed possible in C#. So the statement that "constructors are not inherited" should be taken with a grain of salt. A superclass constructor can be seen and activated in a subclass constructor. Here follows the overall guidelines for constructors in class hierarchy: • Each class in a class hierarchy should have its own constructor(s) • The constructor of class C cooperates with constructors in superclasses of C to initialize a new instance of C • A constructor in a subclass will always, implicitly or explicitly, call a constructor in its superclass As recommended in Section 12.4 you should always program the necessary constructors in each of your classes. As explained and motivated in Section 12.4 it is not possible in C# to mix a parameterless default constructor and the constructors with parameters that you program yourself. You can, however, program your own parameterless constructor and a number of constructors with parameters. In the same way as two or more constructors in a given class typically cooperate (delegate work to each other using the special this(...) syntax) the constructors of a class C and the constructors of the base class of C cooperate. If a constructor in class C does not explicitly call base(...) in its superclass, it implicitly calls the parameterless constructor in the superclass. In that case, such a parameterless constructor must exist, and it must be non-private. We will return to the BankAccount class hierarchy from Section 25.4 and emphasize the constructors in the classes that are involved. In Program 28.2 we see the root bank account class, BankAccount. It has two constructors, where the second is defined by means of the first. Notice the use of the this(...) notation outside the body of the constructor in line 16. 1 2 3 4 5 6 7 8 9 10 11 12 13 14 15 16 17 18 using System; public class BankAccount { protected double interestRate; protected string owner; protected decimal balance; public BankAccount(string o, decimal b, double ir) { this.interestRate = ir; this.owner = o; this.balance = b; } public BankAccount(string o, double ir): this(o, 0.0M, ir) { }
219 19 20 21 22 23 24 25 26 27 28 29 30 31 32 33 34 35 36 37 38 39 public virtual decimal Balance { get {return balance;} } public virtual void Withdraw (decimal amount) { balance -= amount; } public virtual void Deposit (decimal amount) { balance += amount; } public virtual void AddInterests() { balance += balance * (Decimal)interestRate; } public override string ToString() { return owner + "'s account holds " + + balance + " kroner"; } } Program 28.2 Constructors in class BankAccount. The two constructors of the class CheckAccount, shown in Program 28.3, both delegate part of the initialization work to the first constructor in class BankAccount. Again, this is done via the special notation base(...) outside the body of the constructor. Notice that bodies of both constructors in CheckAccount are empty. It is interesting to ask why the designers of C# have decided on the special way of delegating work between constructors in C#. Alternatively, one constructor could chose to delegate work to another constructor inside the bodies. The rationale behind the C# design is most probably, that the designers insist on a particular initialization order. This will be discussed in Section 28.5. 1 2 3 4 5 6 7 8 9 10 11 12 13 14 15 16 17 18 19 20 21 22 23 using System; public class CheckAccount: BankAccount { public CheckAccount(string o, double ir): base(o, 0.0M, ir) { } public CheckAccount(string o, decimal b, double ir): base(o, b, ir) { } public override void Withdraw (decimal amount) { balance -= amount; if (amount < balance) interestRate = -0.10; } public override string ToString() { return owner + "'s check account holds " + + balance + " kroner"; } } Program 28.3 Constructors in class CheckAccount.
220 In the web-version of the material we also show the classes SavingsAccount and LotteryAccount, see Program 28.4 and Program 28.5 respectively. 28.5. Constructors and initialization order Lecture 7 - slide 25 We speculated about the motives behind the special syntax of constructor delegation in the previous section. A constructor in a subclass must - either implicitly or explicitly - activate a constructor in a superclass. In that way a chain of constructors are executed when an object is initialized. The chain of constructors will be called from the most general to the least general. The following initializations take place when a new C object is made with new C(...): • Instance variables in C are initialized (field initializers) • Instance variables in superclasses are initialized - most specialized first • Constructors of the superclasses are executed - most general first • The constructor body of C is executed Notice that initializers are executed first, from most specific to most general. Next the constructors are called in the opposite direction. Let us illustrate this by means of concrete example in Program 28.6, Program 28.7 and Program 28.8 where class C inherits from class B, which in turn inherit from class A. The slightly artificial class Init, shown in Program 28.9 contains a static "tracing method" which returns a given init value, val. More importantly, for our interests, it tells us about the initialization. In that way we can see the initialization order on the standard output stream. The tiny application class, containing the static Main method, is shown in Program 28.10. The output in Listing 28.11 reveals - as expected - that all initializers are executed before the constructors. First in class C, next in B, and finally in A. After execution of the initializers the constructors are executed. First the A constructors, then the B constructor, and finally the C constructor. 1 2 3 4 5 6 7 8 9 10 using System; public class C: B { private int varC1 = Init.InitMe(1, "varC1, initializer in class C"), varC2; public C (){ varC2 = Init.InitMe(4, "VarC2, constructor body C"); } } Program 28.6 Initializers and constructors of class C. 1 2 3 4 5 6 7 using System; public class B: A { private int varB1 = Init.InitMe(1, "varB1, initializer in class B"), varB2; public B (){
221 8 9 10 varB2 = Init.InitMe(4, "VarB2, constructor body B"); } } Program 28.7 Initializers and constructors of class B. 1 2 3 4 5 6 7 8 9 10 using System; public class A { private int varA1 = Init.InitMe(1, "varA1, initializer in class A"), varA2; public A (){ varA2 = Init.InitMe(4, "VarA2, constructor body A"); } } Program 28.8 Initializers and constructors of class A. 1 2 3 4 5 6 7 8 9 10 using System; public class Init{ public static int InitMe(int val, string who){ Console.WriteLine(who); return val; } } Program 28.9 The class Init and the method InitMe. 1 2 3 4 5 6 7 8 using System; class App{ public static void Main(){ C c = new C(); } } Program 28.10 A program that instantiates and initializes class C. 1 2 3 4 5 6 varC1, initializer in class C varB1, initializer in class B varA1, initializer in class A VarA2, constructor body A VarB2, constructor body B VarC2, constructor body C Listing 28.11 The output that reveals the initialization order. 28.6. Visibility modifiers in C# Lecture 7 - slide 27 Visibility control is a key issue in object-oriented programming. The general discussion about visibility appears in Section 11.3, Section 11.4 and Section 11.5. The C# specific discussion is briefly touched on in Section 11.7. We gave overview of visibility in namespaces and types in Section 11.16. In this lecture we have briefly described the issue in general in Section 27.3.
222 Basically, we must distinguish between visibility of types in assemblies and visibility of members in types: • Visibility of a type (e.g. a class) in an assembly • internal: The type is not visible from outside the assembly • public: The type is visible outside the assembly • Visibility of members in type (e.g., methods in classes) • private: Accessible only in the containing type • protected: Accessible in the containing type and in subtypes • internal: Accessible in the assembly • protected internal: Accessible in the assembly and in the containing type and its subtypes • public: Accessible whenever the enclosing type is accessible The issue of inheritance and visibility of private members is addressed in Exercise 7.2. Internal visibility is related to assemblies, not namespaces. Assemblies are produced by the compiler, and represented as either -.dll or -.exe files. It is possible to have a type which is invisible outside the assembly, into which it is compiled. It is, of course, also possible to have types which are visible outside the assembly. This is the mere purpose of having libraries. Per default - if you do not write any modifier - top- level types are internal in their assembly. The ultimate visibility of members of a class, quite naturally, depends on the visibility of the surrounding type in the assembly. Members of classes (variables, methods, properties, etc) can also have internal visibility. Protected members are visible in direct and indirect subclasses. You can think of protected members as members visible from classes in the inheritance family. We could call it family visibility. It is - as noticed above - possible to combine internal and protected visibility. The default visibility of members in types is private. It was a major point in Chapter 11 that data should be private within its class. With the introduction of inheritance we may chose to define data as protected members. Protected data is convenient, at least from a short-term consideration, because superclass data then can be seen from subclasses. But having protected data in class C implies that knowledge of the data representation is spread from class C to all direct and indirect subclasses of C. Thus, a larger part of the program is vulnerable if/when the data representation is changed. (Recall the discussion about representation independence from Section 11.6). Therefore we may decide to keep data private, and to access superclass data via public or protected operations. It is worth a serious consideration is you should allow protected data in the classes of your next programming project. Related to inheritance we should also notice that a redefined member in a subclass should be at least as visible as the member in the superclass, which it replaces. It is possible to introduce visibility inconsistencies. This has been discussed in great details in Section 11.16. Exercise 7.2. Private Visibility and inheritance Take a look at the classes shown below: using System; public class A{ private int i = 7;
223 protected int F(int j){ return i + j; } } public class B : A{ public void G(){ Console.WriteLine("i: {0}", i); Console.WriteLine("F(5): {0}", F(5)); } } public class Client { public static void Main(){ B b = new B(); b.G(); } } Answer the following questions before you run the program: 1. Does the instance of B, created in Main in Client, have an instance variable i? 2. Is the first call to Console.WriteLine in G legal? 3. Is the second call to Console.WriteLine in G legal? Run the program and confirm your answers. Exercise 7.3. Internal Visibility The purpose of this exercise is to get some experience with the visibility modifier called internal. Take a look at the slide to which this exercise belongs. In this exercise, it is recommended to activate the compiler from a command prompt. Make a namespace N with two classes P and I: • P should be public. P should have a static public member p and a static internal member i. • I should be internal. I should also have a static public member p and a static internal member i. Compile the classes in the namespace N to a single assembly, for instance located in the file x.dll. Demonstrate that the class I can be used in class P. Also demonstrate that P.i can be seen and used in class P. After this, program a class A, which attempts to use the classes P and I from x.dll. Arrange that class A is compiled separately, to a file y.dll. Answer the following questions about class A: 1. Can you declare variables of type P in class A? 2. Can you declare variables of type I in class A? 3. Can you access P.i and and P.p in A? 4. Can you access I.i and and I.p in A?
224 Finally, arrange that class A is compiled together with N.P and N.I to a single assembly, say y.dll. Does this alternative organization affect the answers to the questions asked above? 28.7. Inheritance of methods, properties, and indexers Lecture 7 - slide 28 All members apart from constructors are inherited. In particular we notice that operations (methods, properties, and indexers) are inherited. Methods, properties, and indexers are inherited Here follows some basic observations about inheritance of operations: • Methods, properties, and indexers can be redefined in two different senses: • Same names and signatures in super- and subclass, closely related meanings (virtual, override) • Same names and signatures in super- and subclass, two entirely different meanings (new) • A method M in a subclass B can refer to a method M in a superclass A • base.M(...) • Cooperation, also known as method combination The distinctions between virtual/override and new is detailed in Section 28.9. The subject of the second item is method combination, which we will discuss in more details in Chapter 29. Operators are inherited. A redefined operator in a subclass will be an entirely new operator. Operators (see Chapter 21) are static. The choice of operator is fully determined at compile time. Operators can be overloaded. There are rules, which constrain the types of formal parameters of operators, see Section 21.4. All this implies that two identically named operators in two classes, one of which inherits from the other, can be distinguished from each other already at compile-time. 28.8. Inheritance of methods: Example. Lecture 7 - slide 29 We will now carefully explore a concrete example that involves class inheritance. We stick to the bank account classes, as introduced in Section 25.4 where we discussed class specialization. In Program 28.12, Program 28.13, and Program 28.14 we emphasize the relevant aspects of inheritance with colors. 1 2 3 4 5 using System; public class BankAccount { protected double interestRate;
225 6 7 8 9 10 11 12 13 14 15 16 17 18 19 20 21 22 23 24 25 26 27 28 29 30 31 32 33 34 35 36 37 38 39 protected string owner; protected decimal balance; public BankAccount(string o, decimal b, double ir) { this.interestRate = ir; this.owner = o; this.balance = b; } public BankAccount(string o, double ir): this(o, 0.0M, ir) { } public virtual decimal Balance { get {return balance;} } public virtual void Withdraw (decimal amount) { balance -= amount; } public virtual void Deposit (decimal amount) { balance += amount; } public virtual void AddInterests() { balance += balance * (Decimal)interestRate; } public override string ToString() { return owner + "'s account holds " + + balance + " kroner"; } } Program 28.12 The base class BankAccount. In Program 28.12 the data a protected, not private. This is an easy solution, but not necessarily the best solution, because the program area that uses the three instance variables of class BankAccount now becomes much larger. This has already been discussed in Section 28.6. In addition the properties and methods are declared as virtual. As we will see in Section 28.14 this implies that we can redefine the operations in subclasses of BankAccount, such that the run-time types of bank accounts (the dynamic types) determine the actual operations carried out. 1 2 3 4 5 6 7 8 9 10 11 12 13 14 15 16 17 18 using System; public class CheckAccount: BankAccount { // Instance variables of BankAccount are inherited public CheckAccount(string o, double ir): base(o, 0.0M, ir) { } public CheckAccount(string o, decimal b, double ir): base(o, b, ir) { } // Method Balance is inherited // Method Deposit is inherited // Method AddInterests is inherited
226 19 20 21 22 23 24 25 26 27 28 29 public override void Withdraw (decimal amount) { base.Withdraw(amount); if (amount < balance) interestRate = -0.10; } public override string ToString() { return owner + "'s check account holds " + + balance + " kroner"; } } Program 28.13 The class CheckAccount. In class CheckAccount in Program 28.13 the instance variables of class BankAccount and the operations Balance, Deposit, and AddInterests are inherited. Thus, these operations from BankAccount can simply be (re)used on CheckAccount objects. The method Withdraw is redefined. Notice that Withdraw calls base.Withdraw, the Withdraw method in class BankAccount. This is (imperative) method combination, see Section 29.1. As we will see in Section 28.9 the modifier override is crucial. The method ToString overrides the similar method in BankAccount, which in turn override the similar method from class Object. In the web-version of the material we also show subclasses SavingsAccount and LotteryAccount. Exercise 7.4. A subclass of LotteryAccount On the slide, to which this exercise belongs, we have emphasized inheritance of methods and properties in the bank account class hierarchy. From the web-version of the material there is direct access to the necessary pieces of program. The LotteryAccount uses an instance of a Lottery object for adding interests. Under some lucky circumstances, the owner of a LotteryAccount will get a substantial amount of interests. In most cases, however, no interests will be added. There exists a single file which contains the classes BankAccount, CheckAccount, SavingsAccount, Lottery, together with a sample client class. Program a specialization of the LotteryAccount, called LotteyPlusAccount, with the following redefinitions of Deposit and Withdraw. • The Deposit method doubles the deposited amount in case you draw a winning lottery number upon deposit. If you are not lucky, Deposit works as in LottoryAccount, but an administrative fee of 15 kroner will be withdrawn from your LotteryPlusAccount. • The Withdraw method returns the withdrawn amount without actually deducting it from the LotteryPlusAccount if you draw a winning lottery number upon withdrawal. If you are not lucky, Withdraw works as in LottoryAccount, and an additional administrative fee of 50 kroner will be withdrawn from the account as well. Notice that the Deposit and Withdraw methods in LotteryPlusAccount should combine with the method in LotteryAccount (method combination). Thus, use the Deposit and Withdraw methods from LotteryAccount as much as possible when you program the LotteryPlusAccount.
227 Test-drive the class LotteryPlusAccount from a sample client class. 28.9. Overriding and Hiding in C# Lecture 7 - slide 30 Let us now carefully explore the situation where a method M appears in both class A and its subclass B. Thus, the situation is as outlined in Program 28.16. 1 2 3 4 5 6 7 class A { public void M(){} } class B: A{ public void M(){} } Program 28.16 Two methods M in classes A and B, where B inherits from A. Let us already now reveal that Program 28.16 is illegal in C#. The compiler will complain (with a warning). We will need to add some modifiers in front of the method definitions. There are basically two different situations that make sense: • Intended redefinition: B.M is intended to redefine A.M - such that B.M is used on B instances • A.M must be declared as virtual • B.M must be declared to override A.M • Accidental redefinition: The programmer of class B is not aware of A.M • B.M must declare that it is not related to A.M - using the new modifier Intended redefinition is - by far - the most typical situation. We prepare for intended redefinition by declaring the method as virtual in the most general superclass. This causes the method to be virtual in all subclasses. Each subclass that redefines the method must override it. This pattern paves the road for dynamic binding, see Section 28.10. Intended redefinition appears frequently in almost all object-oriented programs. We have already seen it several times in the bank account classes in Program 28.12 - Program 28.15. Accidental redefinition is much more rare. Instead of declaring M.B as new it is better to give M in B another name. The new modifier should only be used in situations where renaming is not possible nor desirable. 28.10. Polymorphism. Static and dynamic types Lecture 7 - slide 31 In this section we define the concepts of polymorphism and dynamic binding. In order to be precise about dynamic binding we also define the meaning of static and dynamic types of variables and parameters.
228 Polymorphism stands for the idea that a variable can refer to objects of several different types The static type of a variable is the type of variable, as declared The dynamic type of a variable is type of object to which the variable refers Dynamic binding is in effect if the dynamic type of a variable v determines the operation activated by v.op(...) 'Poly' means 'many' and 'morph' means 'form'. Thus, polymorphism is related to the idea of 'having many forms' or 'having many types'. In the literature, polymorphism is often associated with procedures or functions that can accept parameters of several types. This is called parametric polymorphism. More basically (and as advocated by, for instance, Bertrand Meyer [Meyer88] ), polymorphism can be related to variables. A polymorphic variable or parameter can (at run-time) take values of more than one type. This is called data polymorphism. A concrete and detailed discussion of dynamic and static types, based on an example, is found in Section 28.11, which is the next section of this material. Use of the modifiers virtual and override, as discussed in Section 28.9 is synonymous with dynamic binding. We have much more to say about dynamic binding later in this material, more specifically in Section 28.14 and Section 28.15. Polymorphism and good use of dynamic binding is one of the "OOP crown jewels" in relation to inheritance. It means that you should attempt to design your programs such that they take advantage of polymorphism and dynamic binding. For a practical illustration, please compare Program 28.26 and Program 28.27 in Section 28.15. 28.11. Static and dynamic types in C# Lecture 7 - slide 32 Before we can continue our discussion of virtual methods (dynamic binding) we will give examples of static and dynamic types of variables. We now apply the definitions from Section 28.10 to the scene in Program 28.17 shown below. As it appears, the class B inherits from class A. In the client of A and B the variable x is declared of type A, and the variable y is declared of type B. In other words, the static type of x is A and the static type of y is B. Next, in line 10 and 11, we instantiate class A and B. Thus, at the position of line 12, the variable x refers to an object of type A, and the variable y refers to an object of type B. Therefore, at the position of line 12, the dynamic type of x is A and the dynamic type of y is B. The assignment x = y in line 13 implies that x (as well as y) now refer to a B object. This is possible due polymorphism. Recall that a B object is an A object. You can read about the is-a relation in Section 25.2. Line 15 causes a compile-time error. The variable y, of static type B, cannot refer an object of type A. An instance of class A is not a B object. Finally, in line 17, we assign x to y. Recall, that just before line 17 x and y refer to the same B object. Thus, the assignment y = x is harmless in the given situation. Nevertheless, it is illegal! From a general and
229 conservative point of view, the danger is that the variable y of static type B can be assigned to refer to an object of type A. This would be illegal, because an A object is (still) not a B object. 1 2 3 4 5 6 7 8 9 10 11 12 13 14 15 16 17 18 19 20 class A {} class B: A{} class Client{ public static void Main (){ // // Static type Dynamic type A x; // A - B y; // B - x = new A(); // A A TRIVIAL y = new B(); // B B TRIVIAL x = y; // A B OK - TYPICAL y = new A(); // B A Compile time ERROR // Cannot implicitly convert type 'A' to 'B'. y = x; // B B Compile time ERROR ! // Cannot implicitly convert type 'A' to 'B'. } } Program 28.17 Illustration of static and dynamic types. We will now, in Program 28.18 remedy one of the problems that we encountered above in Program 28.17. In line 16 the assignment y = x succeed if we cast the object, referred to by x, to a B-object. You should think of the cast as a way to assure the compiler that x, at the given point in time, actually refers to a B-object. In line 15 we attempt a similar cast of the object returned by the expression new A(). (This is an attempted downcast, see Section 28.17). As indicated, this causes a run-time error. It is not possible to convert an A object to a B object. 1 2 3 4 5 6 7 8 9 10 11 12 13 14 15 16 17 18 class A {} class B: A{} class Client{ public static void Main (){ // // Static type Dynamic type A x; // A - B y; // B - x = new A(); // A A TRIVIAL y = new B(); // B B TRIVIAL x = y; // A B OK - TYPICAL y = (B)new A(); // B A RUNTIME ERROR y = (B)x; // B B NOW OK } } Program 28.18 Corrections of the errors in the illustration of static and dynamic types. With a good understanding of static and dynamic types of variables you can jump directly to Section 28.14. If you read linearly you will in Section 28.12 and in Section 28.13 encounter the means of expressions in C# for doing type testing and type conversion.
230 28.12. Type test and type conversion in C# Lecture 7 - slide 33 It is possible to test if the dynamic type of a variable v is of type C, and there are two ways to convert (cast) one class type to another The following gives an overview of the possibilities. • v is C • True if the variable v is of dynamic type C • Also true if the variable v is of dynamic type D, where D is a subtype of C As it appears from level 9 of Table 6.1 is an operator in C#. - The explanation of the is operator above is not fully accurate. The expression in the item above is true if v successfully can be converted to the type C by a reference conversion, a boxing conversion, or an unboxing conversion. It is - every now and then - useful to test the dynamic type of a variable (or expression) by use of the is operator. Notice however, that in many contexts it is unnecessary to do so explicitly. Use of a virtual method (dynamic binding) encompasses an implicit test of the dynamic type of an expression. Such a test is therefore an implicit branching point in a program. In other words, passing a message to an object selects an appropriate method on basis of the type of the receiver object. You should always consider twice if it is really necessary to discriminate with use of the is operator. If your program contains a lot of instance tests (using the is operator) you may not have understood the idea of virtual methods! The following to forms of type conversion (casting) is supported in C#: • (C)v • Convert the static type of v to C in the given expression • Only possible if the dynamic type of v is C , or a subtype of C • If not, an InvalidCastException is thrown • v as C • Non-fatal variant of (C)v • Thus, convert the static type of v to C in the given expression • Returns null if the dynamic type of v is not C, or a subtype of C The first, (C)v, is know as casting. If C is a class, casting is a way to adjust the static type of a variable or expression. The latter alternative, v as C, is equivalent to (C)v provided that no exceptions are thrown. If (C)v throws an exception, the expression v as C returns null. Above we have assumed that C is a reference type (a class for instance). It also makes sense to use (T)v where T is value type (such as a struct). In this case a value of the type is converted to another type. We have touched on explicitly programmed type conversions in Section 21.2. See an example in Program 21.3. Casting of a value of value type may change the actual bits behind the value. The casting of a reference, as discussed above, does not change the "bits behind the reference".
231 as is an operator in the same way as is, see level 9 of Table 6.1. Notice also, at level 13 of the table, that casting is an operator in C#. The typeof operator can be applied on a typename to obtain the corresponding object of class Type The Object.GetType instance method returns an object of class Type that represents the run- time type of the receiver. Examples of casting, and examples of the as and is operators, are given next in Section 28.13. 28.13. Examples of type test and type conversion Lecture 7 - slide 34 In the web-version of the material, this section contains concrete examples that show how to use the is, as, and typecasting operators. The examples are relatively large, and the explanations quite detailed; Therefore they have been left out of the paper edition. Exercise 7.5. Static and dynamic types Type conversion with v as T was illustrated with a program on the accompanying slide. The output of the program was confusing and misleading. We want to report the static types of the expressions ba1 as BankAccount, ba1 as CheckAccount, etc. If you access this exercise from the web-version there will be direct links to the appropriate pieces of program. Explain the output of the program. You can examine the classes BankAccount, CheckAccount, SavingsAccount and LotteryAccount, if you need it. Modify the program such that the static type of the expressions bai as BanktypeAccount is reported. Instead of baRes1 = ba1 as BankAccount; Report(baRes1); you should activate some method on the expression ba1 as BankAccount which reveals its static type. In order to do so, it is allowed to add extra methods to the bank account classes. 28.14. Virtual methods in C# Lecture 7 - slide 35 This section continues our discussion of dynamic binding and virtual methods from Section 28.10. We will make good use of the notion of static type and dynamic type, as introduced in Section 28.11.
232 First of all notice that virtual methods that are overridden in subclasses rely on dynamic binding, as defined in Section 28.10. Also notice that everything we tell about virtual methods also holds for virtual properties and virtual indexers. The ABC example in Program 28.24 shows two classes, A and B, together with a Client class. B is a subclass of A. The class A holds the methods M, N, O, and P which are redefined somehow in the subclass B. The compiler issues a warning in line 11 because we have a method M in both class A and class B. Similarly, a warning is issued in line 13 because we have a method O in class B as well as a virtual method O in class A. The warnings tells you that you should either use the modifier override or new when you redefine methods in class B. M in class B is said to hide M in class A. Similarly, O in class B hides O in class A. The overriding of N in line 12 (in class B) of the virtual method N in line 5 (from class A) is very typical. Below, in the client program, we explain the consequences of this setup. Please notice this pattern. Object- oriented programmers use it again and again. It is so common that it is the default setup in Java! The method P in line 14 of class B is declared as new. P in class B hides P in class A. The use of new suppresses the warnings we get for method M and for method O. The use of new has nothing to do with class instantiation. Declaring P as new in B states an accidental name clash between methods in the class hierarchy. P in A and P in B can co-exist, but they are not intended to be related in the same way as N in A and N in B. 1 2 3 4 5 6 7 8 9 10 11 12 13 14 15 16 17 18 19 20 21 22 23 24 25 26 27 using System; class A { public void M( ){Console.WriteLine("M in A");} public virtual void N( ){Console.WriteLine("N in A");} public virtual void O( ){Console.WriteLine("O in A");} public void P( ){Console.WriteLine("P in A");} } class B: A{ public void M( ){Console.WriteLine("M in B");} // warning public override void N( ){Console.WriteLine("N in B");} public void O( ){Console.WriteLine("O in B");} // warning public new void P( ){Console.WriteLine("P in B");} } class Client { public static void Main(){ A aa = new A( ), // aa has static type A, and dynamic type A ab = new B( ); // ab has static type A, and dynamic type B B b = new B( ); // b has static type B, and dynamic type B aa.N( ); ab.N( ); b.N( ); // The dynamic type controls Console.WriteLine( ); aa.P( ); ab.P( ); b.P( ); // The static type controls } } Program 28.24 An illustration of virtual and new methods in class A and B. The Client class in Program 28.24 brings objects of class A and B in play. The variable aa refers an A object. The variable ab refers a B object. And finally, the variable b refers a B object as well.
233 The most noteworthy cases are emphasized in blue. When we call a virtual method N, the dynamic type of the receiving object controls which method to call. Thus in line 23, aa.N() calls the N method in class A, and ab.N() calls the N method in class B. In both cases we dispatch on an object referred from variables of static type A. The dynamic type of the variable controls the dispatching. In line 25, the expression aa.P() calls the P method in class A, and (most important in this example) ab.P() also class the P method in class A. In both cases the static type of the variables aa and ab control the dispatching. Please consult the program output in Listing 28.25 to confirm these results. 1 2 3 4 5 6 7 N in A N in B N in B P in A P in A P in B Listing 28.25 Output from the program that illustrates virtual and new methods. Virtual methods use dynamic binding Properties and indexers can be virtual in the same way as methods Let us finally draw the attention to the case where a virtual method M is overridden along a long chain of classes, say A, B, C, D, E, F, G, and H that inherit from each other (B inherits from A, C from B, etc). In the middle of this chain, let us say in class E, the method M is defined as new virtual instead of being overridden. This changes almost everything! It is easy to miss the new virtual method among all the overridden methods. If a variable v of static type A, B, C, or D refers to an object of type H, then v.M() refers to M in D (the level just below the new virtual method). If v is of static type E, F, or G then v.M() refers to M in class H. 28.15. Practical use of virtual methods in C# Lecture 7 - slide 36 Having survived the ABC example from the previous section, we will now look at a real-life example of virtual methods. We will program a client class of different types of bank account classes, and we will see how the AddInterests method benefits from being virtual. The bank account classes, used below, were introduced in Section 25.4 in the context of our discussion of specialization. Please take a look at the way the AddInterests methods are defined in Program 25.1, Program 25.3, and Program 25.4. The class CheckAccount inherits the AddInterests method of class BankAccount. SavingsAccount and LotteryAccount override AddInterests. Notice that the definition of the AddInterests methods follow the pattern of the methods named N in Program 28.24.
234 1 2 3 4 5 6 7 8 9 10 11 12 13 14 15 16 17 18 19 20 21 22 23 24 using System; public class AccountClient{ public static void Main(){ BankAccount[] accounts = new BankAccount[5]{ new CheckAccount("Per",1000.0M, 0.03), new SavingsAccount("Poul",1000.0M, 0.03), new CheckAccount("Kurt",1000.0M, 0.03), new LotteryAccount("Bent",1000.0M), new LotteryAccount("Lone",1000.0M) }; foreach(BankAccount ba in accounts){ ba.AddInterests(); } foreach(BankAccount ba in accounts){ Console.WriteLine("{0}", ba); } } } Program 28.26 Use of virtual bank account methods. The Main method of the AccountClient class in Program 28.27 declares an array of type BankAccount, see line 6. Due to polymorphism (see Section 28.10) it is possible to initialize the array with different types of BankAccount objects, see line 7-13. We add interests to all accounts in the array in line 15-17. This is done in a foreach loop. The expression ba.AddInterests() calls the most specialized interest adding method in the BankAccount class hierarchy on ba. The dynamic type of ba determines which AddInterests method to call. If, for instance, ba refers to a LotteryAccount, the AddInterests method of class LotteryAccount is used. Please notice that this is indeed the expected result: The type of the receiver object obj controls the interpretation of messages to obj. And further, the most specialized method relative to the type of the receiver is called. Let us - for a moment - assume that we do not have access to virtual methods and dynamic binding. In Program 28.27 we have rewritten Program 28.26 in such a way that we explicitly control the type dispatching. This is the part of Program 28.27 emphasized in purple. Thus, the purple parts of Program 28.26 and Program 28.27 are equivalent. Which version do you prefer? Imagine that many more bank account types were involved, and find out how valuable virtual methods can be for your future programs. 1 2 3 4 5 6 7 8 9 10 11 12 using System; public class AccountClient{ public static void Main(){ BankAccount[] accounts = new BankAccount[5]{ new CheckAccount("Per",1000.0M, 0.03), new SavingsAccount("Poul",1000.0M, 0.03), new CheckAccount("Kurt",1000.0M, 0.03), new LotteryAccount("Bent",1000.0M), new LotteryAccount("Lone",1000.0M)
235 13 14 15 16 17 18 19 20 21 22 23 24 25 26 27 28 29 30 31 }; foreach(BankAccount ba in accounts){ if (ba is CheckAccount) ((CheckAccount)ba).AddInterests(); else if (ba is SavingsAccount) ((SavingsAccount)ba).AddInterests(); else if (ba is LotteryAccount) ((LotteryAccount)ba).AddInterests(); else if (ba is BankAccount) ((BankAccount)ba).AddInterests(); } foreach(BankAccount ba in accounts){ Console.WriteLine("{0}", ba); } } } Program 28.27 Adding interests without use of dynamic binding - AddInterest is not virtual. Notice that for the purpose of Program 28.27 we have modified the bank account classes such that AddInterests is not virtual any more. Notice also, in line 22, that the last check of ba is against BankAccount. The check against BankAccount must be the last branch of the if-else chain because all the bank accounts b in the example satisfy the predicate b is BankAccount. The outputs of Program 28.26 and Program 28.27 are identical, and they are shown in Listing 28.28. As it turns out, we were not lucky enough to get interests out of our lottery accounts. 1 2 3 4 5 Per's check account holds 1030,000 kroner Poul's savings account holds 930,000 kroner Kurt's check account holds 1030,000 kroner Bent's lottery account holds 1000,0 kroner Lone's lottery account holds 1000,0 kroner Listing 28.28 Output from the bank account programs. The use of virtual methods - and dynamic binding - covers a lot of type dispatching which in naive programs are expressed with if-else chains 28.16. Overriding the Equals method in a class Lecture 7 - slide 37 The Equals instance method in class Object is a virtual method, see Section 28.3. The Equals method is intended to be redefined (overridden) in subclasses of class Object. The circumstances for redefining Equals have been discussed in Focus box 13.1. It is tricky to do a correct overriding of the virtual Equals method in class Object Below we summarize the issues involved when redefining Equals in one of our own classes.
236 • Cases to deal with when redefining the Equals method: • Comparison with null (false) • Comparison with an object of a different type (false) • Comparison with ReferenceEquals (true) • Comparison of fields in two objects of the same type • Other rules when redefining Equals: • Must not lead to errors (no exceptions thrown) • The implemented equality should be reflexive, symmetric and transitive • Additional work: • GetHashCode should also be redefined in accordance with Equals • If o1.Equals(o2) then o1.GetHashCode() == o2.GetHashCode() • If you overload the == operator • Also overload != • Make sure that o1 == o2 and o1.Equals(o2) return the same result We illustrate the rules in Program 28.29, where we override the Equals method in class BankAccount. 1 2 3 4 5 6 7 8 9 10 11 12 13 14 15 16 17 18 19 20 21 22 23 24 25 26 27 28 29 30 31 32 33 34 35 36 37 38 39 40 41 using System; using System.Collections; public class BankAccount { private double interestRate; private string owner; private decimal balance; private long accountNumber; private static long nextAccountNumber = 0; private static ArrayList accounts = new ArrayList(); public BankAccount(string owner): this(owner, 0.0) { } public BankAccount(string owner, double interestRate) { nextAccountNumber++; accounts.Add(this); this.accountNumber = nextAccountNumber; this.interestRate = interestRate; this.owner = owner; this.balance = 0.0M; } public override bool Equals(Object obj){ if (obj == null) return false; else if (this.GetType() != obj.GetType()) return false; else if (ReferenceEquals(this, obj)) return true; else if (this.accountNumber == ((BankAccount)obj).accountNumber) return true; else return false; } public override int GetHashCode(){ return (int)accountNumber ^ (int)(accountNumber >> 32); // XOR of low orders and high orders bits of accountNumber // According to GetHashCode API recommendation.
237 42 43 44 45 46 } /* Some methods are not included in this version */ } Program 28.29 Equals and GetHashCode Methods in class BankAccount. Please follow the pattern in Program 28.29 when you have to redefine Equals in your future classes. 28.17. Upcasting and downcasting in C# Lecture 7 - slide 38 Upcasting and downcasting are common words in the literature about object-oriented programming. We have already used these words earlier in this material, see for instance Program 28.21. Upcasting converts an object of a specialized type to a more general type Downcasting converts an object from a general type to a more specialized type Figure 28.3 A specialization hierarchy of bank accounts Relative to Figure 28.3 we declare two BankAccount and two LotteryAccount variables in Program 28.30. After line 4 ba2 refers to a BankAccount object, and la2 refers to a LotteryAccount object. The assignment in line 6 reflects an upcasting. ba1 is allowed to refer to a LotteryAccount, because - conceptually - a LotteryAccount is a BankAccount. In line 7, we attempt to assign ba2 to la1. This is an attempted downcasting. This is statically invalid, and the compiler will always complain. Notice that in some cases the assignment la1 = ba2 is legal, namely when ba2 refers to a LotteryAccount object. In order to make the compiler happy, you should write la1 = (LotteryAccount)ba2. In line 9 we attempt to do the downcasting discussed above, but it fails at run-time. The reason is - of course - that ba2 refers to a BankAccount object, and not to a LotteryAccount object. After having executed line 6, ba1 refers to a LotteryAccount object. Thus, in line 11 we can assign la1 to the reference in ba1. Again, this is a downcasting. As noticed above, the downcasting is necessary to calm the compiler.
238 1 2 3 4 5 6 7 8 9 10 11 12 BankAccount ba1, ba2 = new BankAccount("John", 250.0M, 0.01); LotteryAccount la1, la2 = new LotteryAccount("Bent", 100.0M); ba1 = la2; // upcasting - OK // la1 = ba2; // downcasting - Illegal // discovered at compile time // la1 = (LotteryAccount)ba2; // downcasting - Illegal // discovered at run time la1 = (LotteryAccount)ba1; // downcasting - OK // ba1 already refers to a LotteryAccount Program 28.30 An illustration of upcasting and downcasting. Upcasting and downcasting reflect different views on a given object The object is not 'physically changed' due to upcasting or downcasting The general rules of upcasting and downcasting in class hierarchies in C# can be expresses as follows: • Upcasting: • Can occur implicitly during assignment and parameter passing • A natural consequence of polymorphism and the is-a relation • Can always take place • Downcasting: • Must be done explicitly by use of type casting • Can not always take place 28.18. Inheritance and Variables Lecture 7 - slide 40 We have focused a lot on methods in the previous sections. We will now summarize how variables are inherited. Variables (fields) are inherited Variables cannot be virtual Variables are inherited. Thus a variable v in a superclass A is present in a subclass B. This is even the case if v is private in class A, see Exercise 7.2. What happens if a variable v is present in both a superclass and a subclass? A variable can be redefined in the following sense:
239 • Same name in super- and subclass: two entirely different meanings (new) We illustrate this situation in the ABC example of Program 28.31. Both class A and B have an int variable v. This can be called accidental redefinition, and this is handled in the program by marking v in class B with the modifier new. Now, in the client class App, we make some A and B objects. In line 17-23 we see that the static type of a variable determines which version of v is accessed. Notice in particular the expression anotherA.v. If variable access had been virtual, anotherA.v would return the value 5. Now we need to adjust the static type explicitly with a type cast (see Section 28.12) to obtain a reference to B.v. This is illustrated in line 21. 1 2 3 4 5 6 7 8 9 10 11 12 13 14 15 16 17 18 19 20 21 22 23 24 25 using System; public class A{ public int v = 1; } public class B: A{ public new int v = 5; } public class App{ public static void Main(){ // Static type Dynamic type A anA = new A(), // A A anotherA = new B(); // A B B aB = new B(); // B B Console.WriteLine( "{0}", anA.v // 1 + anotherA.v // 1 + ((B)anotherA).v // 5 + aB.v // 5 ); } } Program 28.31 An illustration of "non-virtual variable access". We do not normally use public instance variables! The idea of private instance variables and representation independence was discussed in Section 11.6. 28.19. References [Meyer88] Bertrand Meyer, Object-oriented software construction. Prentice Hall, 1988.
240
241 29. Method Combination In this section we will primarily study method combination. Secondarily we will touch on a more specialized, related problem called parameter variance. 29.1. Method Combination Lecture 8 - slide 2 If two or more methods, of the same name, located different places in a class hierarchy, cooperate to solve some problem we talk about method combination. A typical (and minimal) scene is outlined in Figure 29.1. Class B is a subclass of A, and in both classes there is a method named Op. Both Op methods have the same signature. Figure 29.1 Class B is a subclass of class A Overall, and in general, there are several ways for Op in class A and B to cooperate. We can, for instance, imagine that whenever a B-object receives an Op message, both operations are called automatically. We can also imagine that Op in class A is called explicitly by Op in class B, or the other way around. Along the lines outlined above, we summarize two different method combination ideas. The first is known as imperative method combination, and the second is known as declarative method combination. • Programmatic (imperative) control of the combination of Op methods • Superclass controlled: The Op method in class A controls the activation of Op in class B • Subclass controlled: The Op method in class B controls the activation of Op in class A • Imperative method combination • An overall (declarative) pattern controls the mutual cooperation among Op methods • A.Op does not call B.Op - B.Op does not call A.Op. • A separate abstraction controls how Op methods in different classes are combined • Declarative method combination Mainstream object-oriented programming languages, including C#, support imperative method combination. Most of them support the variant that we call subclass-controlled, imperative method combination. Beta [Kristensen87] is an example of programming language with superclass-controlled, imperative method combination. CLOS [Steele90, Keene89] is one of the few examples of programming languages with declarative method combination. (The interested reader can consult Chapter 28 of [Steele90] to learn much more about declarative method combination in CLOS. )
242 C# supports subclass controlled, imperative method combination via use of the notation base.Op(...) The notion base.Op(...) has been discussed in Section 28.7 and it has been illustrated in Program 26.2 (line 17), Program 28.13 (line 20), and Program 28.14 (line 20). 29.2. Parameter Variance Lecture 8 - slide 3 We will continue the discussion of the scene outlined in Figure 29.1, now refined in Figure 29.2 shown below. The question is how the parameters of Op in class A and B vary in relation the variation of type A and type B. Figure 29.2 Class B is a subclass of class A, and T is a subclass of S. In Program 29.1 we create an object of the specialized class B (in line 2), and we assign it to a variable of static type A (line 5) This is possible due to polymorphism. In line 6 we send the Op message to the B object. We assume that Op is virtual, and therefore we expect that Op in class B is called. So far so good. The thing to notice is that Op takes a single parameter. If we pass an instance of class S to B.Op we may be in deep trouble. A problem occur if B.Op applies some operation from class T on the S object. 1 2 3 4 5 6 7 A aref; B bref = new B(); S sref = new S(); aref = bref; // aref is of static type A and dynamic type B aref.Op(sref); // B.Op is called with an S-object as parameter. // What if an operation from T is activated on the S-object? Program 29.1 An illustration of the problems with covariance. In Program 29.2 (only on web) in the web-edition we show a complete C# program which illustrates the problem. The story told about the scene in Program 29.1 and Program 29.2 (only on web) turns out to be flawed in relation to C#! I could have told you the reason, but I will not do so right away. You should rather take a look at Exercise 8.1 and learn the lesson the hard way. (When access is granted to the exercise solutions, you will be able to get my explanation).
243 It turns out that parameter variance is not really a relevant topic in C#... 29.3. Covariance and Contravariance Lecture 8 - slide 4 The situation encountered in Figure 29.2 of Section 29.2 is called covariance, because the types S and T (as occurring in the parameters of Op in class A and B) vary the same way as classes A and B. (The parameter type T of Op in class B is a subclass of the parameter type S of Op in class A; The class B is a subclass of class A; Therefore we say that T and S vary the same way as A and B. ) • Covariance: The parameters S and T vary the same way as A and B As a contrast, the situation in Figure 29.3 below is called contravariance, because - in this variant of the scene - S and T vary in the opposite way as A and B. Please compare carefully Figure 29.2 with Figure 29.3. • Contravariance: The parameters S and T vary the opposite way as A and B Figure 29.3 Class B is a subclass of class A, and the parameter class S is a subclass of T. As we will see in Exercise 8.1 the distinction between covariance and contravariance is less relevant in C#. However, covariance and contravariance show up in other contexts of C#. See Section 42.6. Exercise 8.1. Parameter variance First, be sure you understand the co-variance problem stated above. Why is it problematic to execute aref.Op(sref)in the class Client? The parameter variance problem, and the distinction between covariance and contravariance, is not really a topic in C#. The program with the classes A/B/S/T on the previous page compiles and runs without problems. Explain why!
244 29.4. References [Keene89] Sonya E. Keene, Object-Oriented Programming in Common Lisp. Addison-Wesley Publishing Company, 1989. [Steele90] Guy L. Steele, Common Lisp, the language, 2nd Edition. Digital Press, 1990. [Kristensen87] Bent Bruun Kristensen, Ole Lehrmann Madsen, Birger Møller-Pedersen and Kristen Nygaard, "The BETA Programming Language". In Research Directions in Object- Oriented Programming, The MIT Press, 1987. Bruce Shriver and Peter Wegner (editors)
245 30. Abstract Classes - Sealed Classes This chapter is about abstract classes. At the end of the chapter we also touch on sealed classes. Relative to our interests, sealed classes are less important than abstract classes. 30.1. Abstract Classes Lecture 8 - slide 6 When we program in the object-oriented paradigm it is important to work out concepts as general as possible. Programming at a general level promotes reusability (see Section 2.4). In object-oriented programming languages we organize classes in hierarchies. The classes closest to the root are the most general classes. Take, as an example, the bank account class hierarchy in Section 25.3, where the class BankAccount is more general than CheckAccount, SavingsAccount, etc. It is worth noticing, however, that we were able to fully implement all operations in the most general class, BankAccount. In the rest of this chapter we will study even more general classes, for which we cannot (or will not) implement all the operations. The non-implemented operations are stated as declarations of intent at the most general level. These declarations of intent should be realized in less general subclasses. Abstract classes are used for concepts that we cannot or will not implement in full details Here follows our definition of an abstract class and an abstract operation. An abstract class is a class with one or more abstract operations An abstract operation is specially marked operation with a name and with formal parameters, but without a body An abstract class • may announce a number of abstract operations, which must be supplied in subclasses • cannot be instantiated • is intended to be completed/finished in a subclass We will sometimes use the term concrete class for a class which is not abstract. You should be aware that the definition of an abstract class, as given below, is not 100% accurate in relation to C#. In C# a class can be abstract without announcing abstract operations. More about that in Section 30.2 below, where we discuss abstract classes in C#. The fact that an abstract class cannot be instantiated is the most tangible, operational consequence of working with abstract classes. Many OOP programmers tend to think of the abstract modifier as a mark, to be associated with those classes, he or she does not wish to instantiate. Surely, this is a consequence, but it is not the essential idea behind abstract classes.
246 30.2. Abstract classes and abstract methods in C# Lecture 8 - slide 7 We will first study an example of an abstract class. We pick an abstract stack. (This is indeed a very popular example class in many contexts. We have tried to avoid it, but here it fits nicely). The abstract class Stack, shown in Program 30.1, is remarkable of two reasons: 1. There is no data representation in the class (no instance variables). 2. There is a fully implemented operation in the class, despite the fact that the class has no data for the operation to work on. The blue parts of Program 30.1 are the abstract operations. These operations make up the classical stack operations Push, Pop, and Top together with Full, Empty, and Size. (Notice that Top, Full, Empty and Size are announced as properties, cf. Section 30.3). The abstract operations have signatures (method heads), but no body blocks. In a real-life version of the program we would certainly have supplied documentation comments with some additional explanations of the roles of the abstract operations in the class. The purple part represents a fully implemented, "normal" method, called ToggleTop. This method swaps the order of the two top-most elements of the stack (if available). Notice that ToggleTop can be implemented solely in terms of the Push, Pop, Top and Size. In other words, it is not necessary for the implementation of ToggleTop to know details of the concrete data representation of stacks.
247 1 2 3 4 5 6 7 8 9 10 11 12 13 14 15 16 17 18 19 20 21 22 23 24 25 26 27 28 29 30 31 32 using System; public abstract class Stack{ abstract public void Push(Object el); abstract public void Pop(); abstract public Object Top{ get;} abstract public bool Full{ get;} abstract public bool Empty{ get;} abstract public int Size{ get;} public void ToggleTop(){ if (Size >= 2){ Object topEl1 = Top; Pop(); Object topEl2 = Top; Pop(); Push(topEl1); Push(topEl2); } } public override String ToString(){ return String.Format("Stack[{0}]", Size ); } } Program 30.1 An abstract class Stack - without data representation - with a non-abstract ToggleTop method. In Program 30.1 the method ToString is also an example of a fully implemented method, which relies on an abstract method, namely Size. It is left as an exercise to implement a non-abstract subclass of the abstract stack, see Exercise 8.3. Let us state some more detailed - a perhaps slightly surprising - observations about abstract classes and abstract operations. Each of them will be discussed below. • Abstract classes • can be derived from a non-abstract class • do not need not to have abstract members • can have constructors • Abstract methods • are implicitly virtual In relative rare situations an abstract class can inherit from a non-abstract class. Notice, however, that even abstract classes inherit (at least implicitly) from class Object, which is a non-abstract class in C#. (In principle, it would make good sense for the designers of C# to implement class Object as abstract class. But they did not! We only rarely make instances of class Object).
248 The next observation is about fully implemented classes, which we mark as being abstract. As discussed above, the purpose of this marking is to prevent instantiation of the class. You may ask if it makes sense to have constructors in a class which never is instantiated. The answer is yes, because the data encapsulated in an abstract class A should be initialized when a concrete subclass of A is instantiated. Due to the rules of constructor cooperation, see Section 28.4 and Section 28.5, a constructor of class A will be activated. If no constructor is present in A, this falls back on the parameter-less default constructor. Finally, we observe that the abstract methods are implicitly virtual. This is natural, because such a method has to be (re)defined in a subclass. In C# it is not allowed explicitly to write "virtual abstract" in front of an abstract method. Let us also observe, that an abstract method M cannot be private. This is because M need to be visible in the classes that override M. Exercise 8.2. Course and Project classes In the earlier exercise about courses and projects (found in the lecture about classes) we programmed the classes BooleanCourse, GradedCourse, and Project. Revise and reorganize your solution (or the model solution) such that BooleanCourse and GradedCourse have a common abstract superclass called Course. Be sure to implement the method Passed as an abstract method in class Course. In the Main method (of the client class of Course and Project) you should demonstrate that both boolean courses and graded courses can be referred to by variables of static type Course. Exercise 8.3. A specialization of Stack On the slide to which this exercise belongs, we have shown an abstract class Stack. It is noteworthy that the abstract Stack is programmed without any instance variables (that is, without any data representation of the stack). Notice also that we have been able to program a single non-abstract method ToggleTop, which uses the abstract methods Top, Pop, and Push. Make a non-abstract specialization of Stack, and decide on a reasonable data representation of the stack. In this exercise it is OK to ignore exception/error handling. You can, for instance, assume that the capacity of the stack is unlimited; That popping an empty stack an empty stack does nothing; And that the top of an empty stack returns the string "Not Possible". In a later lecture we will revisit this exercise in order to introduce exception handling. Exception handling is relevant when we work on full or empty stacks. Write a client of your stack class, and demonstrate the use of the inherited method ToggleTop. If you want, you can also adapt my stack client class which is easily available to you in the web-edition of this material.
249 30.3. Abstract Properties Lecture 8 - slide 8 Properties were introduced in Chapter 18. Recall that properties allow us to get and set data of a class through getter and setter abstractions. From an application point of view, properties are used in the same way as variables - both on the left and right hand sides of assignments. Underneath, a property is realized as two methods - one "getter" and one "setter". Properties can be abstract in the same way as methods. It means that we can announce a number of properties which must be fully defined in subclasses. We will in Program 30.2 study an example of abstract properties, namely in a Point class called AbstractPoint, which can be accessed both in a rectangular (x, y) and a polar (r, a) way. r and a means radius and angle respectively. There is no data (variables) in class AbstractPoint. We announce X, Y, R and A as abstract properties. These are emphasized using purple color. All of these are announced as both getters and setters. Notice the get; set; syntax. We could alternatively announce these as only getters, or as only setters. We notice that the syntax of abstract properties is similar to the syntax used for automatic properties, see Section 18.3. Following the abstract properties comes three noteworthy methods Move, Rotate and ToString. They are shown in blue. They all use make heavy use the abstract properties. The assignment X += dx in Move, for instance, expands to X = X + dx. It first uses the getter of the X property on the right hand side of the assignment. Next, it uses the X setter on the left hand side. In Program 30.2 we only know that the X getter and the X setter exist. The actual implementation details will be found in a subclass. In the web-edition of this material, we show a version of class AbstractPoint with four additional protected, static methods which are useful for the implementation of the subclasses. 1 2 3 4 5 6 7 8 9 10 11 12 13 14 15 16 17 18 19 20 21 22 23 24 25 26 27 28 29 30 31 32 using System; abstract public class AbstractPoint { public enum PointRepresentation {Polar, Rectangular} // We have not yet decided on the data representation of Point public abstract double X { get ; set ; } public abstract double Y { get ; set ; } public abstract double R { get ; set ; } public abstract double A { get ; set ; } public void Move(double dx, double dy){ X += dx; Y += dy; }
250 33 34 35 36 37 38 39 40 41 public void Rotate(double angle){ A += angle; } public override string ToString(){ return "(" + X + ", " + Y + ")" + " " + "[r:" + R + ", a:" + A + "] "; } } Program 30.2 The abstract class Point with four abstract properties. In Program 30.3 we see a subclass of AbstractPoint. It is called Point. It happens to represent points the polar way. But this is an internal (private) detail of class Point. Class Point is a non-abstract class, and therefore we program a constructor, which is emphasized in black. The constructor is a little unconventional, because the first parameter allows us to specify if parameter two and three means x, y or radius, angle. It is desirable if this could be done more elegantly. (It can! Use of static factory methods, see Section 16.4, is better). Notice that PointRepresentation is an enumeration type defined in line 5 of Program 30.2. Emphasized in purple we show the actual implementation of the X and Y properties. Let us look at X. The getter of X is called whenever X is used as a right-hand side value. It calculates the x-coordinate of a point from the radius and the angle. The setter of X is called when X is used in left-hand side context, such as X = e. The value of expression e is bound to the pseudo variable value. The setter calculates new radius and angle values which are assigned to the instance variables of class Point. Emphasized in blue we show the implementation of the R and A properties. These are trivial compared to the X and Y properties, because we happen to represent points in the polar way. 1 2 3 4 5 6 7 8 9 10 11 12 13 14 15 16 17 18 19 20 21 22 23 24 25 26 27 28 using System; public class Point: AbstractPoint { // Polar representation of points: private double radius, angle; // radius, angle // Point constructor: public Point(PointRepresentation pr, double n1, double n2){ if (pr == PointRepresentation.Polar){ radius = n1; angle = n2; } else if (pr == PointRepresentation.Rectangular){ radius = RadiusGivenXy(n1, n2); angle = AngleGivenXy(n1, n2); } else { throw new Exception("Should not happen"); } } public override double X { get { return XGivenRadiusAngle(radius, angle);} set { double yBefore = YGivenRadiusAngle(radius, angle); angle = AngleGivenXy(value, yBefore); radius = RadiusGivenXy(value, yBefore); }
251 29 30 31 32 33 34 35 36 37 38 39 40 41 42 43 44 45 46 47 48 49 50 51 52 53 54 55 } public override double Y { get { return YGivenRadiusAngle(radius, angle);} set { double xBefore = XGivenRadiusAngle(radius, angle); angle = AngleGivenXy(xBefore, value); radius = RadiusGivenXy(xBefore, value); } } public override double R { get { return radius;} set { radius = value;} } public override double A { get { return angle;} set { angle = value;} } } Program 30.3 A non-abstract specialization of class Point (with private polar representation). In the web-edition we show a client of AbstractPoint and Point, which is similar to Program 11.3 from Section 11.6. It shows how to manipulate instances of class Point via its abstract interface. Let us summarize what we have learned from the examples in Program 30.2, Program 30.3, and Program 30.4 (only on web). First and foremost, we have seen an abstract class in which we are able to implement useful functionality (Move, Rotate, and ToString) at a high level of abstraction. The implementation details in the mentioned methods rely on abstract properties, which are implemented in subclasses. We have also seen a sample subclass that implements the four abstract properties. 30.4. Sealed Classes and Sealed Methods Lecture 8 - slide 9 We will now briefly, as the very last part of this chapter, describe sealed classes and sealed methods. A sealed class C prevents the use of C as base class of other classes • Sealed classes • Cannot be inherited by other classes • Sealed methods • Cannot be redefined and overridden in a subclass • The modifier sealed must be used together with override
252 Sealed classes are related to static classes, see Section 11.12, in the sense that none of them can be subclassed. However, static classes are more restrictive because a static class cannot have instance members, a static class cannot be used as a type, and a static class cannot be instantiated. Sealed classes and methods correspond to final classes and final methods in Java. In some sense, abstract and sealed classes represent opposite concepts. At least this holds in the following sense: A sealed class cannot be subclassed; An abstract class must be subclassed in order to be useful. If a class is abstract it does not make sense that it is sealed. And the other way around, if a class is sealed it does not make sense that it, in addition, is abstract. Notice that it does not make sense either to have virtual methods in a sealed class. A sealed class is not required to have sealed methods. Moreover, a class with a sealed method does not itself need to be sealed. Finally, notice, that in C# a method cannot be sealed without also being overridden. Thus, the sealed modifier always occurs as an "extra modifier" of override. The intention of sealed methods is to prevent further overriding of virtual methods.
253 31. Interfaces Interfaces form a natural continuation of abstract classes, as discussed in Chapter 30. In this chapter we will first introduce the interface concept. Then follows an example, which illustrates the power of interfaces. Finally, we review the use of interfaces in the C# libraries. 31.1. Interfaces Lecture 8 - slide 11 An interface announces a number of operations in terms of their signatures (names and parameters). An interface does not implement any of the announced operations. An interface only declares an intent, which eventually will be realized by a class or a struct. A class or struct can implement an arbitrary number of interfaces. Inheritance of multiple classes may be problematic in case the same variable or (fully defined) operation is inherited from several superclasses, see Section 27.5. Inheritance of the same intent from multiple interfaces is less problematic. In a nutshell, this explains one of the reasons behind having interfaces in C# and Java, instead of having multiple class- inheritance, like in for instance C++ and Eiffel. An interface can inherit an arbitrary number of other interfaces. This makes it convenient to organize a small set of inter-dependent operations in a single interfaces, which then can be combined (per inheritance) with several other interfaces, classes or structs. An interface corresponds to a class where all operations are abstract, and where no variables are declared. In Section 30.1 we argued that abstract classes are useful as general, high-level program contributions. This is therefore also the case for interfaces. An interface describes signatures of operations, but it does not implement any of them Here follows the most important characteristics of interfaces: • Classes and structs can implement one or more interfaces • An interface can be used as a type, just like classes • Variables and parameters can be declared of interface types • Interfaces can be organized in multiple inheritance hierarchies Let us dwell on the observation that an interface serves as a type. We already know that classes and structs can be used as types. It means that we can have variables and parameters declared as class or struct types. The observation from above states that interfaces can be used the same way. Thus, it is possible to declare variables and parameters of an interface type. But wait a moment! It is not possible to instantiate an interface. So which values can be assigned to variables of an interface type? The answer is that objects or values of class of struct types, which implement the interface, can be assigned to variables of the interface type. This gives a considerable flexibility in the type system, because arbitrary types in this way can be made compatible, by letting them implement the same interface(s). We will see an example of that in Section 31.3.
254 Exercise 8.4. The interface ITaxable For the purpose of this exercise you are given a couple of very simple classes called Bus and House. Class Bus specializes the class Vehicle. Class House specializes the class FixedProperty. The mentioned classes can easily be accessed from the web-edition of the material.. First in this exercise, program an interface ITaxable with a parameterless operation TaxValue. The operation should return a decimal number. Next, program variations of class House and class Bus which implement the interface ITaxable. Feel free to invent the concrete taxation of houses and busses. Notice that both class House and Bus have a superclass, namely FixedProperty and Vehicle, respectively. Therefore it is essential that taxation is introduced via an interface. Demonstrate that taxable house objects and taxable bus objects can be used together as objects of type ITaxable. 31.2. Interfaces in C# Lecture 8 - slide 12 Let us now be more specific about interfaces in C#. The operations, described in a C# interface, can be methods, properties, indexers, or events. Both classes, structs and interfaces can implement one or more interfaces Interfaces can contain signatures of methods, properties, indexers, and events The syntax involved in definition of C# interfaces is summarized in Syntax 31.1. The first few lines describe the structure of an interface as such. The remaining part of Syntax 31.1 outlines the descriptions of interface methods, properties, indexers and events respectively. modifiers interface interface-name : base-interfaces { method-descriptions property-descriptions indexer-descriptions event-descriptions } return-type method-name(formal-parameter-list); return-type property-name{ get; set; } return-type this[formal-parameter-list]{ get; set; }
255 event delegate-type event-name; Syntax 31.1 The syntax of a C# interface, together with the syntaxes of method, property, indexer, and event descriptions in an interface 31.3. Examples of Interfaces Lecture 8 - slide 13 Earlier in this material we have programmed dice and playing cards, see Program 10.1 and Program 12.7. Do the concepts behind these classes have something in common? Well - they are both used in a wide variety of games. This observation causes us to define an interface, IGameObject, which is intended to capture some common properties of dice, playing cards, and other similar types. Both class Die and class Card should implement the interface IGameObject. As a matter of C# coding style, all interfaces start with a capital 'I' letter. This convention makes it obvious if a type is defined by an interface. This naming convention is convenient in C#, because classes and interface occur together in the inheritance clause of a class. (Both the superclass and the interfaces occur after a colon, the class first, cf. Syntax 28.1). In this respect, C# is different from Java. In Java, interfaces and classes are marked with the keywords extends and implements respectively in the inheritance clause of a class. Two or more unrelated classes can be used together if they implement the same interface 1 2 3 4 5 6 7 8 9 10 11 12 public enum GameObjectMedium {Paper, Plastic, Electronic} public interface IGameObject{ int GameValue{ get; } GameObjectMedium Medium{ get; } } Program 31.1 The interface IGameObject. The IGameObject interface in Program 31.1 prescribes two named properties: GameValue and Medium. Thus, classes that implement the IGameObject must define these two properties. Notice, however, that no semantic constraints on GameValue or Medium are supplied. (It means that no meaning is prescribed). Thus, classes that implement the interface IGameObject are, in principle, free to supply arbitrary bodies of GameValue and Medium. This can be seen as a weakness. In Chapter 50 we will see how to remedy this by specifying the semantics of operations in terms of preconditions and postconditions. Notice also that there are no visibility modifiers of the operations GameValue and Medium in the interface shown above. All operations are implicitly public. Below, in Program 31.2, we show a version of class Die, which implements the interface IGameObject. In line 3 it is stated that class Die implements the interface. The actual implementations of the two operations are shown in the bottom part of Program 31.2 (from line 33 to 44). Most interesting, the GameValue of a die is the current number of eyes.
256 1 2 3 4 5 6 7 8 9 10 11 12 13 14 15 16 17 18 19 20 21 22 23 24 25 26 27 28 29 30 31 32 33 34 35 36 37 38 39 40 41 42 43 44 45 46 using System; public class Die: IGameObject { private int numberOfEyes; private Random randomNumberSupplier; private readonly int maxNumberOfEyes; public Die (): this(6){} public Die (int maxNumberOfEyes){ randomNumberSupplier = new Random(unchecked((int)DateTime.Now.Ticks)); this.maxNumberOfEyes = maxNumberOfEyes; numberOfEyes = NewTossHowManyEyes(); } public void Toss (){ numberOfEyes = NewTossHowManyEyes(); } private int NewTossHowManyEyes (){ return randomNumberSupplier.Next(1,maxNumberOfEyes + 1); } public int NumberOfEyes() { return numberOfEyes; } public override String ToString(){ return String.Format("Die[{0}]: {1}", maxNumberOfEyes, numberOfEyes); } public int GameValue{ get{ return numberOfEyes; } } public GameObjectMedium Medium{ get{ return GameObjectMedium.Plastic; } } } Program 31.2 The class Die which implements IGameObject. In Program 31.3 we show a version of class Card, which implements our interface. The GameValue of a card is, quite naturally, the card value. 1 2 3 4 5 6 7 8 9 10 11 using System; public class Card: IGameObject{ public enum CardSuite { spades, hearts, clubs, diamonds }; public enum CardValue { two = 2, three = 3, four = 4, five = 5, six = 6, seven = 7, eight = 8, nine = 9, ten = 10, jack = 11, queen = 12, king = 13, ace = 14 }; private CardSuite suite; private CardValue value;
257 12 13 14 15 16 17 18 19 20 21 22 23 24 25 26 27 28 29 30 31 32 33 34 35 36 37 38 39 public Card(CardSuite suite, CardValue value){ this.suite = suite; this.value = value; } public CardSuite Suite{ get { return this.suite; } } public CardValue Value{ get { return this.value; } } public override String ToString(){ return String.Format("Suite:{0}, Value:{1}", suite, value); } public int GameValue{ get { return (int)(this.value); } } public GameObjectMedium Medium{ get{ return GameObjectMedium.Paper; } } } Program 31.3 The class Card which implements IGameObject. Below, in Program 31.4 we have written a program that works on game objects of type IGameObject. In order to be concrete - and somewhat realistic - we make an IGameObject array with three die objecs and three card objects. In the bottom part of the program we exercise the common operations of dice and playing cards, as prescribed by the interface IGameObject. The output of the program is shown in Listing 31.5. 1 2 3 4 5 6 7 8 9 10 11 12 13 14 15 16 17 18 19 20 21 22 23 using System; using System.Collections.Generic; class Client{ public static void Main(){ Die d1 = new Die(), d2 = new Die(10), d3 = new Die(18); Card c1 = new Card(Card.CardSuite.spades, Card.CardValue.queen), c2 = new Card(Card.CardSuite.clubs, Card.CardValue.four), c3 = new Card(Card.CardSuite.diamonds, Card.CardValue.ace); IGameObject[] gameObjects = {d1, d2, d3, c1, c2, c3}; foreach(IGameObject gao in gameObjects){ Console.WriteLine("{0}: {1} {2}", gao, gao.GameValue, gao.Medium); } } } Program 31.4 A sample Client program of Die and Card. 1 Die[6]: 5: 5 Plastic
258 2 3 4 5 6 Die[10]: 9: 9 Plastic Die[18]: 15: 15 Plastic Suite:spades, Value:queen: 12 Paper Suite:clubs, Value:four: 4 Paper Suite:diamonds, Value:ace: 14 Paper Listing 31.5 Output from the sample Client program of Die and Card. Above, both Die (see Program 31.2) and Card (see Program 31.3) are classes. We have in Exercise 4.2 noticed that it would be natural to implement the type Card as a struct, because a playing card - in contrast to a die - is immutable. The client class shown in Program 31.4 will survive if we program Card as a struct, and it will produce the same output as shown in Listing 31.5. Recall in this context that interfaces in C# are reference types, see Section 13.3. When a variable of static type IGameObject is assigned to a value of struct type Card, the card value is boxed. Boxing is described in Section 14.8. In the example above, where both the types Die and Card are implemented as classes, IGameObject could as well have been implemented as an abstract superclass. This is the theme in Exercise 8.5. Exercise 8.5. An abstract GameObject class On the slide, to which this exercise belongs, we have written an interface IGameObject which is implemented by both class Die and class Card. Restructure this program such that class Die and class Card both inherit an abstract class GameObject. You should write the class GameObject. The client program should survive this restructuring. (You may, however, need to change the name of the type IGameObject to GameObject). Compile and run the given client program with your classes. 31.4. Interfaces from the C# Libraries Lecture 8 - slide 14 The C# library contains a number of important interfaces which are used frequently in many C# programs In this section we will discuss some important interfaces from the C# libraries. First, we give an itemized overview, and in the sections following this one more details will be provided. • IComparable • An interface that prescribes a CompareTo method • Used to support general sorting and searching methods • IEnumerable • An interface that prescribes a method for accessing an enumerator • IEnumerator • An interface that prescribes methods for traversal of data collections • Supports the underlying machinery of the foreach control structure • IDisposable
259 • An interface that prescribes a Dispose method • Used for deletion of resources that cannot be deleted by the garbage collector • Supports the C# using control structure • ICloneable • An interface that prescribes a Clone method • IFormattable • An interface that prescribes an extended ToString method IComparable is touched on in Section 31.5, primarily via an exercise. In Section 31.6 we focus on the interfaces IEnumerable and IEnumerator and their roles in the realization of foreach loops. Type parameterized versions of these interfaces are discussed in Section 45.2. The interfaces IDisposable is discussed in the context of IO in Section 37.5. ICloneable is discussed in a later chapter, see Section 32.7. All the interfaces mentioned above can be thought of as flavors that can be added to many different classes. 31.5. Sample use of IComparable Lecture 8 - slide 15 Object of classes that implement IComparable can be sorted by a method such as Array.Sort In many contexts it is important to be able to state that two objects or values, say x and y of a particular type T, can be compared to each other. Thus, we may be curious to know if x < y, y < x, or if x = y. But what does x < y, y > x, and x = y mean if, for instance type T is BankAccount or a Die? The way we approach this problem is to arrange that the type T (a class or a struct) implements the interface IComparable. In that way, the implementation of T must include the method CompareTo, which can be used in the following way: x.CompareTo(y) In the tradition of, for instance, the string comparison function strcmp in the C standard library string.h the expression x.CompareTo(y) returns a negative integer result if x is considered less than y, a positive integer if x is considered greater than y, and integer zero if x and y are considered to be equal. The interface IComparable is reproduced in Program 31.6. This shows you how simple it is. Don't use this or a similar definition. Use the interface IComparable as predefined in the System namespace. 1 2 3 4 5 using System; public interface IComparable{ int CompareTo(Object other); } Program 31.6 A reproduction of the interface IComparable.
260 The parameter of CompareTo is of type Object. This is irritating because we will almost certainly want the parameter to be of the same type as the class, which implements Icomparable. When you solve Exercise 8.6 you will experience this. There is actually two versions of the interface IComparable in the C# libraries. The one similar to Program 31.6 and a type parameterized version, which constrains the parameter of the CompareTo method to a given type T. We have more say about these two interfaces in Section 42.8. It is also worthwhile to point out the interface IEquatable, which simply prescribes an Equals method. The interface IEqualityComparer is a cousin interface which in addition to Equals also prescribes GetHashCode. In some sense IEquatable and IEqualityComparer are more fundamental than IComparable. It turns out that IEquatable only exists as a type parameterized (generic) interface. Exercise 8.6. Comparable Dice In this exercise we will arrange that two dice can be compared to each other. The result of die1.CompareTo(die2) is an integer. If the integer is negative, die1 is considered less than die2; If zero, die1 is considered equal to die2; And if positive, die1 is considered greater than die2. When two dice can be compared to each other, it is possible sort an array of dice with the standard Sort method in C#. Program a version of class Die which implements the interface System.IComparable. Consult the documentation of the (overloaded) static method System.Array.Sort and locate the Sort method which relies on IComparable elements. Make an array of dice and sort them by use of the Sort method. 31.6. Sample use of IEnumerator and IEnumerable Lecture 8 - slide 16 In this section we will study the interfaces called IEnumerator and IEnumerable. The interface IEnumerator is central to the design pattern called Iterator, which we will discuss in the context of collections, see Section 48.1. As already mentioned above, the interface IEnumerator also prescribes the operations behind the foreach control structure. 1 2 3 4 5 6 7 8 9 10 11 using System; public interface IEnumerator{ Object Current{ get; } bool MoveNext(); void Reset(); } Program 31.7 A reproduction of the interface IEnumerator.
261 We have reproduced IEnumerator from the System.Collections namespace in Program 31.7. The operations Current, MoveNext, and Reset are used to traverse a collection of data. Hidden behind the interface should be some simple bookkeeping which allows us to keep track of the current element, and which element is next. You can think of this as a cursor, which step by step is moved through the collection. The property Current returns the element pointed out by the cursor. The method MoveNext advances the cursor, and it returns true if it has been possible to move the cursor. The method Reset moves the cursor to the first element, and it resets the bookkeeping variables. You are not allowed to modify the collection while it is traversed via a C# enumerator. Notice, in particular, that you are not allowed to delete the element obtained by Current during a traversal. In that respect, C# enumerators are more limited than the Iterator counterpart in Java which allows for exactly one deletion for each movement in the collection. It can also be argued that the IEnumerator interface is too narrow. It would be nice to have a boolean HasNext property. It could also be worthwhile to have an extended enumerator with a MovePrevious operation. Like it was the case for the interface Comparable, as discussed in Section 31.5, there is also a type parameterized version of IEnumerator. See Section 45.2 for additional details. 1 2 3 4 5 using System.Collections; public interface IEnumerable{ IEnumerator GetEnumerator(); } Program 31.8 A reproduction of the interface IEnumerable. The IEnumerable interface, as reproduced in Program 31.8, only prescribes a single method called GetEnumerator. This method is intended to return an object (value), the class (struct) of which implements the IEnumerator interface. Thus, if a type implements the IEnumerable interface, it can deliver an iterator/enumerator object via use of the operation GetEnumerator. As mentioned above, the foreach control structure is implemented by means of enumerators. The foreach form foreach(ElementType e in collection) statement is roughly equivalent with IEnumerator en = collection.GetEnumerator(); while (en.MoveNext()){ ElementType e = (ElementType) en.Current(); statement; } The type of the collection is assumed to implement the interface IEnumerable. Additional fine details should be taken into consideration. Please consult section 15.8.4 of the C# Language Specification [ECMA-334] or [Hejlsberg06] for the full story. We will now present a realistic example that uses IEnumerator and IEnumerable. We return to the Interval type, which we first met when we discussed overloaded operators in Section 21.3. The original Interval struct appeared in Program 21.3. Recall that an interval, such as [5 - 10] is different from [10 -5]. The former represents the sequence 5, 6, 7, 8, 9, 10 while the latter represents 10, 9, 8, 7, 6, 5. In the version we show in Program 31.9 we have elided the operators from Program 21.3.
262 The enumerator functionality is programmed in a private, local class called IntervalEnumerator, starting at line 39. This class implements the interface IEnumerator. The class IntervalEnumerator has a reference to the surrounding interval. (The reference to the surrounding object is provided via the constructor in line 44 and 68). It also has the instance variable idx, which represents of the cursor. Per convention, the value -1 represents an interval which has been reset. The property Current is now able to calculate and return a value from the interval. Notice that we have to distinguish between rising and falling intervals in the conditional expression in line 50-52. Both MoveNext and Reset are easy to understand if you have followed the details until this point. The method GetEnumerator (line 67-69), which is prescribed by the interface, IEnumerable (see line 4), just returns an instance of the private class IntervalEnumerator discussed above. Notice that we in line 68 pass this (the current instance of the Interval) to the IntervalEnumerator object. We show how to make simple traversals of intervals in Program 31.10. 1 2 3 4 5 6 7 8 9 10 11 12 13 14 15 16 17 18 19 20 21 22 23 24 25 26 27 28 29 30 31 32 33 34 35 36 37 38 39 40 41 42 43 44 45 46 using System; using System.Collections; public struct Interval: IEnumerable{ private readonly int from, to; public Interval(int from, int to){ this.from = from; this.to = to; } public int From{ get {return from;} } public int To{ get {return to;} } public int Length{ get {return Math.Abs(to - from) + 1;} } public int this[int i]{ get {if (from <= to){ if (i >= 0 && i <= Math.Abs(from-to)) return from + i; else throw new Exception("Error"); } else if (from > to){ if (i >= 0 && i <= Math.Abs(from-to)) return from - i; else throw new Exception("Error"); } else throw new Exception("Should not happen"); } } // Overloaded operators have been hidden in this version private class IntervalEnumerator: IEnumerator{ private readonly Interval interval; private int idx; public IntervalEnumerator (Interval i){ this.interval = i; idx = -1; // position enumerator outside range
263 47 48 49 50 51 52 53 54 55 56 57 58 59 60 61 62 63 64 65 66 67 68 69 70 71 } public Object Current{ get {return (interval.From < interval.To) ? interval.From + idx : interval.From - idx;} } public bool MoveNext (){ if ( idx < Math.Abs(interval.To - interval.From)) {idx++; return true;} else {return false;} } public void Reset(){ idx = -1; } } public IEnumerator GetEnumerator (){ return new IntervalEnumerator(this); } } Program 31.9 IEnumerator in the type Interval. While we are here, we will discuss the nested, local class IntervalEnumerator of class Interval a little more careful. Why is it necessary to pass a reference to the enclosing Interval in line 68? Or, in other words, why can't we access the from and to Interval instance variables in line 6 from the nested class? The reason is that an IntervalEnumerator object is not a 'subobject' of an Interval object. An IntervalEnumerator object is not really part of the enclosing Interval object. The IntervalEnumerator can, however, access (both public and private) class variables (static variables) of class Interval. We could as well have placed the class IntervalEnumerator outside the class Interval, simply as a sibling class of Interval. But class IntervalEnumerator would just pollute the enclosing namespace. The IntervalEnumerator is only relevant inside the interval. Therefore we place it as a member of class Interval. By making it private we, furthermore, prevent clients of class Interval to access it. Nested classes are, in general, a more advanced topic. It has, in part, something to do with scoping rules in relation to the outer classes, and in relation to superclasses. Java is more sophisticated than C# in its support of nested classes. In java, an inner class I in the surrounding class C is a nested class for which instances of I is connected to (is part of) a particular instance of C. See also our discussion of Java in relation to C# in Section 7.3. 1 2 3 4 5 6 7 8 9 10 11 12 13 using System; using System.Collections; public class app { public static void Main(){ Interval iv1 = new Interval(14,17); foreach(int k in iv1){ Console.Write("{0,4}", k); } Console.WriteLine();
264 14 15 16 17 18 19 20 21 22 IEnumerator e = iv1.GetEnumerator(); while (e.MoveNext()){ Console.Write("{0,4}", (int)e.Current); } Console.WriteLine(); } } Program 31.10 Iteration with and without foreach based on the enumerator. 31.7. Sample use of IFormattable Lecture 8 - slide 17 The IFormattable interface prescribes a ToString method of two parameters. As such, the ToString method of IFormattable is different from the well-known ToString method of class Object, which is parameterless, see Section 28.3. Both methods produce a text string. The new ToString method is used when we need more control of the textual result. Here follows a reproduction of IFormattable from the System namespace. 1 2 3 4 5 using System; public interface IFormattable{ string ToString(string format, IFormatProvider formatProvider); } Program 31.11 A reproduction of the interface IFormattable. We can characterize the ToString method in the following way: • The first parameter is typically a single letter formatting string, and the other is an IFormatProvider • The IformatProvider can provide culture sensible information. • ToString from Object typically calls ToString(null, null) The first parameter of ToString is typically a string with a single character. For simple types as well as DateTime, a number of predefined formatting strings are defined. We have seen an example in Section 6.10. For the types we program we can define our own formatting letters. This is known as custom formatting. Below, in Program 31.12 we will show how to program custom formatting of a playing card struct. The second parameter of ToString is of type IFormatProvider, which is another interface from the System namespace. An object of type IFormatProvider typically provides culture sensible formatting information. For simple types and for DateTime, a format provider represents details such as the currency symbol, the decimal point symbol, or time-related formatting symbols. If the second parameter is null, the object bound to CultureInfo.CurrentCulture should be used as the default format provider.
265 Below we show how to program custom formatting of struct Card, which we first met in the context of structs in Section 14.3. Notice that struct Card implements Iformattable. The details in the two Tostring methods should be easy to understand. 1 2 3 4 5 6 7 8 9 10 11 12 13 14 15 16 17 18 19 20 21 22 23 24 25 26 27 28 29 30 31 32 33 34 35 36 37 38 39 40 41 42 43 44 45 46 47 48 49 using System; public enum CardSuite:byte {Spades, Hearts, Clubs, Diamonds }; public enum CardValue: byte {Ace = 1, Two = 2, Three = 3, Four = 4, Five = 5, Six = 6, Seven = 7, Eight = 8, Nine = 9, Ten = 10, Jack = 11, Queen = 12, King = 13}; public struct Card: IFormattable{ private CardSuite suite; private CardValue value; public Card(CardSuite suite, CardValue value){ this.suite = suite; this.value = value; } // Card methods and properties here... public System.Drawing.Color Color (){ System.Drawing.Color result; if (suite == CardSuite.Spades || suite == CardSuite.Clubs) result = System.Drawing.Color.Black; else result = System.Drawing.Color.Red; return result; } public override String ToString(){ return this.ToString(null, null); } public String ToString(string format, IFormatProvider fp){ if (format == null || format == "G" || format == "L") return String.Format("Card Suite: {0}, Value: {1}, Color: {2}", suite, value, Color().ToString()); else if (format == "S") return String.Format("Card {0}: {1}", suite, (int)value); else if (format == "V") return String.Format("Card value: {0}", value); else throw new FormatException( String.Format("Invalid format: {0}", format)); } } Program 31.12 The struct Card that implements IFormattable. In Program 31.13 we show how to make use of custom formatting of playing card objects. The resulting output can be seen in Listing 31.14.
266 1 2 3 4 5 6 7 8 9 10 11 12 13 14 15 16 17 18 19 using System; class CardClient{ public static void Main(){ Card c1 = new Card(CardSuite.Hearts, CardValue.Eight), c2 = new Card(CardSuite.Diamonds, CardValue.King); Console.WriteLine("c1 is a {0}", c1); Console.WriteLine("c1 is a {0:S}", c1); Console.WriteLine(); Console.WriteLine("c2 is a {0:S}", c2); Console.WriteLine("c2 is a {0:L}", c2); Console.WriteLine("c2 is a {0:V}", c2); } } Program 31.13 A client of Card which applies formatting of cards. 1 2 3 4 5 6 c1 is a Card Suite: Hearts, Value: Eight, Color: Color [Red] c1 is a Card Hearts: 8 c2 is a Card Diamonds: 13 c2 is a Card Suite: Diamonds, Value: King, Color: Color [Red] c2 is a Card value: King Listing 31.14 Output from the client program. 31.8. Explicit Interface Member Implementations Lecture 8 - slide 18 Interfaces give rise to multiple inheritance, and therefore we need to be able to deal with the challenges of multiple inheritance. These have already been discussed in Section 27.5. The problems, as well as the C# solution, can be summarized in the following way: If a member of an interface collides with a member of a class, the member of the interface can be implemented as an explicit interface member Explicit interface members can also be used to implement several interfaces with colliding members The programs shown below illustrate the problem and the solution. The class Card, in Program 31.15 has a Value property. The interface IGameObject in Program 31.16 also prescribes a Value property. (It is similar to the interface of Program 31.1 which we have encountered earlier in this chapter). When class Card implements IGameObject in Program 31.17 the new version of class Card will need to distinguish between its own Value property and the Value property it implements because of the interface IGameObject. How can this be done?
267 The solution to the problem is called explicit interface member implementation. In line 30-32 of Program 31.17, emphasized in purple, we use the IgameObject.Value syntax to make it clear that here we implement the Value property from IGameObject. This is an explicit interface implementation. In the client classes of class Card we need access to both Value operations. In order to access the explicit interface implementation of Value from the Card variable cs (declared in line 6) we need to cast cs to the interface IGameObject. This is illustrated in line 14 of Program 31.18. The output of Program 31.18 in Listing 31.19 reveals that everything works as expected. 1 2 3 4 5 6 7 8 9 10 11 12 13 14 15 16 17 18 19 20 21 22 23 24 25 26 27 28 29 using System; public class Card{ public enum CardSuite { spades, hearts, clubs, diamonds }; public enum CardValue { two = 2, three = 3, four = 4, five = 5, six = 6, seven = 7, eight = 8, nine = 9, ten = 10, jack = 11, queen = 12, king = 13, ace = 14 }; private CardSuite suite; private CardValue value; public Card(CardSuite suite, CardValue value){ this.suite = suite; this.value = value; } public CardSuite Suite{ get { return this.suite; } } public CardValue Value{ get { return this.value; } } public override String ToString(){ return String.Format("Suite:{0}, Value:{1}", suite, value); } } Program 31.15 The class Playing card with a property Value. 1 2 3 4 5 6 7 8 9 10 11 12 public enum GameObjectMedium {Paper, Plastic, Electronic} public interface IGameObject{ int Value{ get; } GameObjectMedium Medium{ get; } } Program 31.16 The Interface IGameObject with a conflicting Value property.
268 1 2 3 4 5 6 7 8 9 10 11 12 13 14 15 16 17 18 19 20 21 22 23 24 25 26 27 28 29 30 31 32 33 34 35 36 37 38 39 using System; public class Card: IGameObject{ public enum CardSuite { spades, hearts, clubs, diamonds }; public enum CardValue { two = 2, three = 3, four = 4, five = 5, six = 6, seven = 7, eight = 8, nine = 9, ten = 10, jack = 11, queen = 12, king = 13, ace = 14 }; private CardSuite suite; private CardValue value; public Card(CardSuite suite, CardValue value){ this.suite = suite; this.value = value; } public CardSuite Suite{ get { return this.suite; } } public CardValue Value{ get { return this.value; } } public override String ToString(){ return String.Format("Suite:{0}, Value:{1}", suite, value); } int IGameObject.Value{ get { return (int)(this.value); } } public GameObjectMedium Medium{ get{ return GameObjectMedium.Paper; } } } Program 31.17 A class Card which implements IGameObject. 1 2 3 4 5 6 7 8 9 10 11 12 13 14 15 16 using System; class Client{ public static void Main(){ Card cs = new Card(Card.CardSuite.spades, Card.CardValue.queen); // Use of Value from Card Console.WriteLine(cs.Value); // Must cast to use the implementation of // Value from IGameObject Console.WriteLine(((IGameObject)cs).Value); } } Program 31.18 Sample use of class Card in a Client class.
269 1 2 queen 12 Listing 31.19 Output of Card Client. In some situations, an explicit interface implementation can also be used to "hide" an operation that we are forced to implement because the interface requests it. We will meet an example in Section 45.14, where we want to make it difficult to use the Add operation on a linked list. Another example is presented in the context of dictionaries in Section 46.3. 31.9. References [Hejlsberg06] Anders Hejlsberg, Scott Wiltamuth and Peter Golde, The C# Programming Language. Addison-Wesley, 2006. [Ecma-334] "The C# Language Specification", June 2005. ECMA-334.
270
271 32. Patterns and Techniques This chapter is the last one in our second lecture about inheritance. The chapter is about patterns and programming techniques related to inheritance. Similar chapters appeared in Chapter 16 and Chapter 24 for classes/objects and for operations respectively. 32.1. The Composite design pattern Lecture 8 - slide 20 The Composite design pattern, which we are about to study, is probably the most frequently occurring GOF design pattern at all. Most real-life programs that we write benefit from it. Recall from Section 16.2 that the GOF design patterns are the ones described in the original design pattern book [Gamma96]. A Composite deals with hierarchical structures of objects. In more practical terms, the pattern deals with tree-tructures whose nodes are objects. The main idea behind the pattern is to provide a uniform interface to both leaves and inner nodes in the tree. From a client point of view, it is easy to operate on the nodes of a Composite. The reason is that all participating objects share the interface provided by the abstract Component class. Figure 32.1 A template of the class structure in the Composite design pattern. In Figure 32.1 we show the three classes that - at the principled level - make up a Composite: The abstract class Component and its two subclasses Leaf and Composite. The important things to notice are: • The diagram in Figure 32.1 is a class diagram, not an object diagram. • Clients access both Leaf nodes and Composite nodes (inner nodes in the tree) via the interface provided by the abstract class Component . • The Composite (inner) node aggregates one or more Components , either Leaf nodes or (recursively) other Composite nodes. This makes up the tree structure. It is important the you are able to grasp the idea that the aggregation in Figure 32.1 gives rise to a recursive tree structure of objects. In the following sections we will study an example of a composite design pattern which allows us to represent songs of notes and pauses. In appendix Section 58.3 we discuss another example, involving a sequence of numbers and the type Interval. The tree structure may be non-mutable and built via constructors Alternatively, the tree structure may be mutable, and built via Add and Remove operations
272 32.2. A Composite Example: Music Elements Lecture 8 - slide 21 The example in this section stems from the mini project programming (MIP) exam of January 2008 [mip- jan-08]. Imagine that we are interested in a representation of music in terms of notes and pauses. Such a representation can - in a natural way - be described as a Composite, see Figure 32.2. In this composite structure, both a Note and a Pause are MusicElements. A SequentialMusicElement consists of a number of MusicElements, such as Notes, Pauses, and other MusicElements. The immediate constituents of a SequentialMusicElement are played sequentially, one after the other. A ParallelMusicElement is composed similar to SequentialMusicElement. The immediate constituents of a ParallelMusicElement are played at the same time, however. Figure 32.2 The class diagram of Music Elements As we will see in Program 32.3 a Note is characterized by a duration, value, volume, and instrument. A Pause is characterized by a duration. As such, it may make sense to have a common superclass of Note and Pause. In the same way, it may be considered to have a common superclass of SequentialMusicElement and ParallelMusicElement which captures their common aggregation of MusicElements. A number of different operations can be applied uniformly on all MusicElements: Play, Transpose, TimeStretch, NewInstrument, Fade, etc. Below, in Program 32.3 we program the operations Linearize, Duration, and Transpose. The Linearize operations transforms a music element to a sequence of lower- level objects which represent MIDI events. A sequence of MIDI events can be played on most computers. In this way, Linearize becomes the indirect Play operation. 32.3. An application of Music Elements Lecture 8 - slide 22 As we already realized in Section 32.1 the objects in a Composite are organized in a tree structure. In Figure 32.3 we show an example of a SequentialMusicElement. When we play the SequentialMusicElement in Figure 32.3 we will first hear note N1. After N1 comes a pause P followed by the notes N2 and N3. Following N3 we will hear N4, N5 and N6 which are all played simultaneously. As such, N4-N6 may form a musical chord. In the web edition of the material we link to a MIDI file of a structure similar to Figure 32.3 [midi-sample].
273 Figure 32.3 A possible tree of objects which represent various music elements. Nodes named Ni are Note instances, and the node named P is a Pause instance Below, in Program 32.1 we show a program that creates a SequentialMusicElement similar to the tree- structure drawn in Figure 32.3 The program relies on the auxiliary class Song. The class Song and another supporting class TimedNote are available to interested readers [song-and-timednote-classes]. Using these two classes it is easy to generate MIDI files from MusicElement objects. 1 2 3 4 5 6 7 8 9 10 11 12 13 14 15 16 17 18 19 20 21 public class Application{ public static void Main(){ MusicElement someMusic = SequentialMusicElement.MakeSequentialMusicElement( SequentialMusicElement.MakeSequentialMusicElement( new Note(60, 480), new Pause(480), new Note(64, 480), new Note(60, 480)), ParallelMusicElement.MakeParallelMusicElement( new Note(60, 960), new Note(64, 960), new Note(67, 960) )); Song aSong = new Song(someMusic.Linearize(0)); aSong.WriteStandardMidiFile("song.mid"); } } Program 32.1 An application of some MusicElement objects. 32.4. Implementation of MusicElement classes Lecture 8 - slide 23 In this section we show an implementation of the MusicElement classes of Figure 32.2. The classes give rise to non-mutable objects, along the lines of the discussion in Section 12.5. We start by showing the abstract class MusicElement, see Program 32.2. It announces the property Duration, the method Transpose, and the method Linearize. Other of the mentioned music-related operations are not included here. As you probably expect, Duration returns the total length of a MusicElement. Transpose changes the value (the pitch) of a MusicElement. Linearize transforms a MusicElement to an array of (lower-level) TimeNote objects [song-and-timednote-classes].
274 1 2 3 4 5 6 7 8 9 10 public abstract class MusicElement{ public abstract int Duration{ get; } public abstract MusicElement Transpose(int levels); public abstract TimedNote[] Linearize(int startTime); } Program 32.2 The abstract class MusicElement. The class Note is shown next, see Program 32.3. Note encapsulates the note value, duration, volume, and instrument (see line 5-8). Following two constructors, we see the property Duration which simply returns the value of the instance variable duration. The method Linearize carries out the transformation of the Note to a singular array of TimedNote. The Transpose method adds to the value of the Note. The shown activation of ByteBetween enforces that the value is between 0 and 127. 1 2 3 4 5 6 7 8 9 10 11 12 13 14 15 16 17 18 19 20 21 22 23 24 25 26 27 28 29 30 31 32 33 34 35 36 37 38 39 using System; public class Note: MusicElement{ private byte value; private int duration; private byte volume; private Instrument instrument; public Note(byte value, int duration, byte volume, Instrument instrument){ this.value = value; this.duration = duration; this.volume = volume; this.instrument = instrument; } public Note(byte value, int duration): this(value, duration, 64, Instrument.Piano){ } public override int Duration{ get{ return duration; } } public override TimedNote[] Linearize(int startTime){ TimedNote[] result = new TimedNote[1]; result[0] = new TimedNote(startTime, value, duration, volume, instrument); return result; } public override MusicElement Transpose(int levels){ return new Note(Util.ByteBetween(value + levels, 0, 127), duration, volume, instrument); } } Program 32.3 The class Note. The class Pause shown in Program 32.4 is almost trivial.
275 1 2 3 4 5 6 7 8 9 10 11 12 13 14 15 16 17 18 19 20 21 22 23 24 using System; public class Pause: MusicElement{ private int duration; public Pause(int duration){ this.duration = duration; } public override int Duration{ get{ return duration; } } public override TimedNote[] Linearize(int startTime){ return new TimedNote[0]; } public override MusicElement Transpose(int levels){ return new Pause(this.Duration); } } Program 32.4 The class Pause. The class SequentialMusicElement represents the sequence of MusicElements as a list of type List<T>. Besides the constructor, SequentialMusicElement offers a factory method for convenient creation of an instance. Factory methods have been discussed in Section 16.4. Program 32.1 shows how the factory method can be applied. Duration adds the duration of the MusicElement parts together. Notice that this may cause recursive addition. Likewise, Transpose carries out recursive transpositions of the MusicElement parts. 1 2 3 4 5 6 7 8 9 10 11 12 13 14 15 16 17 18 19 20 21 22 23 24 25 26 27 28 29 30 using System; using System.Collections.Generic; public class SequentialMusicElement: MusicElement{ private List<MusicElement> elements; public SequentialMusicElement(MusicElement[] elements){ this.elements = new List<MusicElement>(elements); } // Factory method: public static MusicElement MakeSequentialMusicElement(params MusicElement[] elements){ return new SequentialMusicElement(elements); } public override TimedNote[] Linearize(int startTime){ int time = startTime; List<TimedNote> result = new List<TimedNote>(); foreach(MusicElement me in elements){ result.AddRange(me.Linearize(time)); time = time + me.Duration; } return result.ToArray(); } public override int Duration{ get{
276 31 32 33 34 35 36 37 38 39 40 41 42 43 44 45 46 47 48 49 int result = 0; foreach(MusicElement me in elements){ result += me.Duration; } return result; } } public override MusicElement Transpose(int levels){ List<MusicElement> transposedElements = new List<MusicElement>(); foreach(MusicElement me in elements) transposedElements.Add(me.Transpose(levels)); return new SequentialMusicElement(transposedElements.ToArray()); } } Program 32.5 The class SequentialMusicElement. The class ParallelMusicElement resembles SequentialMusicElement a lot. Notice, however, the different implementation of Duration in line 29-39. 1 2 3 4 5 6 7 8 9 10 11 12 13 14 15 16 17 18 19 20 21 22 23 24 25 26 27 28 29 30 31 32 33 34 35 36 37 38 using System; using System.Collections.Generic; public class ParallelMusicElement: MusicElement{ private List<MusicElement> elements; public ParallelMusicElement(MusicElement[] elements){ this.elements = new List<MusicElement>(elements); } // Factory method: public static MusicElement MakeParallelMusicElement(params MusicElement[] elements){ return new ParallelMusicElement(elements); } public override TimedNote[] Linearize(int startTime){ int time = startTime; List<TimedNote> result = new List<TimedNote>(); foreach(MusicElement me in elements){ result.AddRange(me.Linearize(time)); time = startTime; } return result.ToArray(); } public override int Duration{ get{ int result = 0; foreach(MusicElement me in elements){ result = Math.Max(result, me.Duration); } return result; }
277 39 40 41 42 43 44 45 46 47 48 49 } public override MusicElement Transpose(int levels){ List<MusicElement> transposedElements = new List<MusicElement>(); foreach(MusicElement me in elements) transposedElements.Add(me.Transpose(levels)); return new ParallelMusicElement(transposedElements.ToArray()); } } Program 32.6 The class ParallelMusicElement. This completes our discussion of the MusicElement composite. The important things to pick up from the example are: 1. The tree structure of objects defined by the subclasses of MusicElement . 2. The uniform interface of music-related operations provided to clients of MusicElement . As stressed in Section 32.1 these are the primary merits of Composite. In Section 58.3 of the appendix we present an additional and similar example of a composite which involves an Interval. Interval is the type we encountered in Section 21.3 when we discussed operator overloading. 32.5. A Composite Example: A GUI Lecture 8 - slide 27 We will study yet another example of a Composite design pattern. A graphical user interface (GUI) is composed of a number of forms, such as buttons and textboxes. The classes behind these forms make up a Composite design pattern. Figure 32.4 A Form (Window) with two buttons, a textbox, and a panel. We construct the simple GUI depicted in Figure 32.4. The actual hierarchy of objects involved are shown in Figure 32.5. Thus, the GUI is composed of three buttons (yellow, green, and blue) and two textboxes (white and grey). The blue button and the grey textbox are aggregated into a so-called panel (which has red background in Figure 32.4).
278 Figure 32.5 The tree of objects behind the graphical user interface. These objects represents a composite design pattern in an executing program. The Form class hierarchy of .NET and C# is very large. A small extract is shown in Figure 32.6. Apart from class Component, all classes are from the namespace System.Windows.Forms. There are two Composites in Figure 32.6. The first one is (object) rooted by class Form, which may aggregate an arbitrary number of Windows form objects. The class Form represents a window. The class Control is the superclass of GUI elements that displays information on the screen. There are approximate 25 immediate and direct subclasses of class Control. In reality the classes TextBox, Button, and Panel are all indirect subclasses of Control. The other Composite is, symmetrically, (object) rooted by Panel, which like Form may aggregate an arbitrary number of Form objects. Class Pane is intended for grouping of a collection of controls. Figure 32.6 An extract of the Windows Form classes for GUI building. We see two Composites among these classes. Below, in Figure 32.6 we show how to construct the form object tree shown in Figure 32.5, which gives rise to the GUI of Figure 32.4. We program a class which we name Window. Our Window class inherits from class Form. Thus, our Window is a Form. Shown in blue we highlight instantiation of GUI elements. Shown in purple we highlight the actual construction of the tree structure of Figure 32.5. The Controls property of a Form, referred in line 60 - 67, give access to a collection of controls, of type ControlCollection. As it appears in line 23 and 31, we also add a couple of event handlers, programmed as private methods from line 70 - 83. We have discussed event handlers in Chapter 23. The associated event handlers just acknowledge when we click on of the three buttons of the GUI. 1 2 3 4 5 6 7 8 9 10 11 using System; using System.Windows.Forms; using System.Drawing; // In System: // public delegate void EventHandler (Object sender, EventArgs e) public class Window: Form{ Button b1, b2, paBt; Panel pa;
279 12 13 14 15 16 17 18 19 20 21 22 23 24 25 26 27 28 29 30 31 32 33 34 35 36 37 38 39 40 41 42 43 44 45 46 47 48 49 50 51 52 53 54 55 56 57 58 59 60 61 62 63 64 65 66 67 68 69 70 71 72 73 74 75 76 TextBox tb, paTb; // Constructor public Window (){ this.Size=new Size(150,300); b1 = new Button(); b1.Text="Click Me"; b1.Size=new Size(100,25); b1.Location = new Point(25,25); b1.BackColor = Color.Yellow; b1.Click += ClickHandler; // Alternatively: // b1.Click+=new EventHandler(ClickHandler); b2 = new Button(); b2.Text="Erase"; b2.Size=new Size(100,25); b2.Location = new Point(25,55); b2.BackColor=Color.Green; b2.Click += EraseHandler; // Alternatively: // b2.Click+=new EventHandler(EraseHandler); tb = new TextBox(); tb.Location = new Point(25,100); tb.Size=new Size(100,25); tb.BackColor=Color.White; tb.ReadOnly=true; tb.RightToLeft=RightToLeft.Yes; pa = new Panel(); pa.Location = new Point(25,150); pa.Size=new Size(100, 75); pa.BackColor=Color.Red; paBt = new Button(); paBt.Text="A"; paBt.Location = new Point(10,10); paBt.Size=new Size(25,25); paBt.BackColor=Color.Blue; paBt.Click += PanelButtonClickHandler; paTb = new TextBox(); paTb.Location = new Point(10,40); paTb.Size=new Size(50,25); paTb.BackColor=Color.Gray; paTb.ReadOnly=true; paTb.RightToLeft=RightToLeft.Yes; this.Controls.Add(b1); this.Controls.Add(b2); this.Controls.Add(tb); pa.Controls.Add(paBt); pa.Controls.Add(paTb); this.Controls.Add(pa); } // Eventhandler: private void ClickHandler(object obj, EventArgs ea) { tb.Text = "You clicked me"; } // Eventhandler: private void PanelButtonClickHandler(object obj, EventArgs ea) {
280 77 78 79 80 81 82 83 84 85 86 87 88 89 90 91 92 93 94 paTb.Text += "A"; } // Eventhandler: private void EraseHandler(object obj, EventArgs ea) { tb.Text = ""; } } class ButtonTest{ public static void Main(){ Window win = new Window(); Application.Run(win); } } Program 32.7 A program that builds a sample composite graphical user interface. 32.6. Cloning Lecture 8 - slide 30 We briefly discussed copying of objects in Section 13.4 of the lecture about classes and objects. In this section we will continue this discussion. First we will distinguish between different types of object copying. Later, in Section 32.7, we will see how to enable the pre-existing MemberwiseClone operation to client classes. Instead of the word "copy" we often use the word "clone": Cloning creates a copy of an existing object There are different kinds of cloning, distinguished by the copying depth: • Shallow cloning: • Instance variables of value type: Copied bit-by-bit • Instance variables of reference types: • The reference is copied • The object pointed at by the reference is not copied • Deep cloning: • Like shallow cloning • But objects referred by references are copied recursively Shallow cloning is the variant supported by the MemberwiseClone operation in Section 32.7. Only a single object is copied. Deep cloning copies a network of objects, and it may, in general, involve many objects.
281 Recall that cloning is only relevant for instances of classes, for which reference semantics apply (see Chapter 13). Values of structs obey value semantics, and as such struct values are (shallow) copied by assignments and by parameter passing. See Chapter 14 for additional details. 32.7. Cloning in C# Lecture 8 - slide 31 Shallow cloning is supported "internally" by any object in a C# program execution. The reason is that any object inherit from class Object in which the protected method MemberwiseClone implements shallow cloning. (See Section 28.3 for an overview of the methods in class Object ). Recall from Section 27.3 that a protected method of a class C is visible in C and in the subclasses of c, but not in clients of C. In this section we will see how we can unleash the protected MemberwiseClone operation as a public operation of an arbitrary class. Below, in Program 32.8 we show how to implement a cloneable Point class. First, notice that Point implements the interface ICloneable, which prescribes a single method called Clone. We have already in Section 31.4 seen ICloneable in the context of other flavoring interfaces from the C# libraries. The public method Clone of class Point, shown in purple, delegates its work to the protected method MemberwiseClone. In other words, our Clone methods send a MemberwiseClone message to the current Point object. MemberWiseClone makes the bitwise, shallow copy of the point, and it returns it. Notice that from a static point of view, the returned object is of type Object. As we will see below, this will typically imply a need to cast the returned object to a Point. Although a Clone method typically delegates its work to MemberwiseClone, it is not necessary to do so. Clone may, alternatively, use a constructor and appropriate object mutations in order to produce the copy, which makes sense for the class in question (which is class Point in the example shown below). 1 2 3 4 5 6 7 8 9 10 11 12 13 14 15 16 17 18 19 20 21 22 23 24 25 26 using System; public class Point: ICloneable { private double x, y; public Point(double x, double y){ this.x = x; this.y = y; } public double X { get {return x;} set {x = value;} } public double Y { get {return y;} set {y = value;} } public Point move(double dx, double dy){ Point result = (Point)MemberwiseClone(); // cloning from within Point is OK. result.x = x + dx; result.y = y + dy; return result; }
282 27 28 29 30 31 32 33 34 35 36 // public Clone method that delegates the work of // the protected method MemberwiseClone(); public Object Clone(){ return MemberwiseClone(); } public override string ToString(){ return "Point: " + "(" + x + "," + y + ")" + "."; } } Program 32.8 A cloneable class Point. In Program 32.9 we show how a client of class Point uses the implemented Clone operation. Notice the casting, and notice that the subexpression p1.Clone() is evaluated before the casting. (A possible misconception would be that (Point)p1 is evaluated first). The evaluation order is due to the precedence of the cast operator in relation to the precedence of the dot operator, see Table 6.1. 1 2 3 4 5 6 7 8 9 10 11 12 13 14 using System; public class Application{ public static void Main(){ Point p1 = new Point(1.1, 2.2), p2, p3; p2 = (Point)p1.Clone(); // First p1.Clone(), then cast to Point. p3 = p1.move(3.3, 4.4); Console.WriteLine("{0} {1} {2}", p1, p2, p3); } } Program 32.9 A sample client of class Point. It may be tempting to circumvent the ICloneable interface, the implementation of our own clone operation, and delegation to MemberwiseClone. This temptation is illustrated in Program 32.10. The compiler will find out, and it tells that we cannot just call MemberwiseClone, because it is not a public operation. Why make life so difficult? Why not support shallow copying of all objects in an easy way, by making MemberwiseClone public in class Object? The reason is that the designers of the programming language (C#, and Java as well) have decided that the programmer of a class should make an explicit decision about which objects should be cloneable. There are almost certainly some classes for which we do not want copying of instances, singletons (see Section 16.3 ) for instance. There are also some classes in which we do not want the standard bitwise copying provided by MemberwiseClone. Such classes should behave like Program 32.8 shown above, but instead of delegating the cloning to MemberwiseClone, the copy operation should be programmed in the Clone method to suit the desired copying semantics. 1 2 3 4 5 6 7 8 using System; public class Application{ public static void Main(){ Point p1 = new Point(1.1, 2.2), p2, p3;
283 9 10 11 12 13 14 15 16 17 18 p2 = (Point)p1.MemberwiseClone(); // Compile-time error. // Cannot access protected member 'object.MemberwiseClone()' // via a qualifier of type 'Point' p3 = p1.move(3.3, 4.4); Console.WriteLine("{0} {1} {2}", p1, p2, p3); } } Program 32.10 Illegal cloning with MemberwiseClone. 32.8. Cloning versus use of copy constructors Lecture 8 - slide 32 In Section 32.7 we found out that cloning of class instances - on purpose - is rather cumbersome in C#. Therefore we have earlier recommended the use of copy constructors as an alternative means. See Section 12.5 for details and for an example. In this section we will evaluate and exemplify the power of copying by cloning (as in Section 32.7) relative to copying by use of copy constructors. In a nutshell, the insight can be summarized in this way: Cloning with obj.Clone() is more powerful than use of copy constructors, because obj.Clone() may exploit polymorphism and dynamic binding In order to illustrate the differences between cloning (by use of the clone method) and copying (by use of a copy constructor) we will again use the class Point. Below, in Section 32.7 we show a version similar to Program 32.8 but now with an additional copy constructor (line 12 - 14). 1 2 3 4 5 6 7 8 9 10 11 12 13 14 15 16 17 18 19 20 21 22 23 using System; using System.Drawing; public class Point: ICloneable { protected double x, y; public Point(double x, double y){ this.x = x; this.y = y; } // Copy constructor public Point(Point p){ this.x = p.x; this.y = p.y; } public virtual double X { get {return x;} set {x = value;} } public virtual double Y { get {return y;} set {y = value;}
284 24 25 26 27 28 29 30 31 32 33 34 35 36 37 38 39 40 41 42 } public virtual Point move(double dx, double dy){ Point result = (Point)MemberwiseClone(); // cloning from within Point is OK. result.x = x + dx; result.y = y + dy; return result; } // public Clone method that delegates the work of // the protected method MemberwiseClone(); public virtual Object Clone(){ return MemberwiseClone(); } public override string ToString(){ return "Point: " + "(" + x + "," + y + ")" + "."; } } Program 32.11 A cloneable class Point. We also show a subclass of Point called ColorPoint, see Program 32.12. It adds a color instance variable to the instance variables inherited from class Point, and it has its own copy constructor in line 10 - 13. 1 2 3 4 5 6 7 8 9 10 11 12 13 14 15 16 17 18 19 20 public class ColorPoint: Point{ protected Color color; public ColorPoint(double x, double y, Color c): base(x,y){ this.color = c; } // Copy constructor public ColorPoint(ColorPoint cp): base(cp.x,cp.y){ this.color = cp.color; } // Clone method is inherited public override string ToString(){ return "ColorPoint: " + "(" + x + "," + y + ")" + ":" + color; } } Program 32.12 A cloneable class ColorPoint. In the Color and ColorPoint client program, shown below in Program 32.13, you should focus on the list pointList, as declared in line 14. We add two Point objects and two ColorPoint objects to pointList in line 17 - 20. Next, in the foreach loop starting at line 23 we clone each of the four points in the list, and we add the cloned points to the initially empty list clonedPointList. The elements in clonedPointList are printed at the end of the program. The output - see Listing 32.14 - reveals that the cloning is successful. We end up having two Point instances and two ColorPoint instances in clonedPointList. 1 2 3 4 5 6 using System; using System.Drawing; using System.Collections.Generic; public class Application{
285 7 8 9 10 11 12 13 14 15 16 17 18 19 20 21 22 23 24 25 26 27 28 29 30 31 public static void Main(){ Point p1 = new Point(1.1, 2.2), p2 = new Point(3.3, 4.4); ColorPoint cp1 = new ColorPoint(5.5, 6.6, Color.Red), cp2 = new ColorPoint(7.7, 8.8, Color.Blue); List<Point> pointList = new List<Point>(), clonedPointList = new List<Point>(); pointList.Add(p1); pointList.Add(cp1); pointList.Add(p2); pointList.Add(cp2); // Clone the points in pointList and add them to clonedPointList: foreach(Point p in pointList){ clonedPointList.Add((Point)(p.Clone())); } foreach(Point p in clonedPointList) Console.WriteLine("{0}", p); } } Program 32.13 Polymorphic Cloning of Points. 1 2 3 4 Point: (1,1,2,2). ColorPoint: (5,5,6,6):Color [Red] Point: (3,3,4,4). ColorPoint: (7,7,8,8):Color [Blue] Listing 32.14 Output of both polymorphic and non- polymorphic cloning. Let us now attempt to replicate the functionality of Program 32.13 with use of copy constructors, see Program 32.15. The attempt, shown in Program 32.15 in line 24 - 26 fails, because the activation of the copy constructors deliver Point objects, even if a ColorPoint object is passed as input. Instead we must perform explicit type dispatch, as shown in line 29-34. Clearly, constructors cannot exhibit virtual behavior. The solution in Program 32.13 based on the Point and ColorPoint classes in Program 32.11 and Program 32.12 works because the Clone method in Program 32.11 (line 35 - 37) is inherited by ColorPoint. As already explained, the inherited method delegates its work to MemberwiseClone, which always copies its receiver. Thus, if MemberwiseClone is activated on a ColorPoint object it copies a ColorPoint object. 1 2 3 4 5 6 7 8 9 10 11 12 13 14 15 16 using System; using System.Drawing; using System.Collections.Generic; public class Application{ public static void Main(){ Point p1 = new Point(1.1, 2.2), p2 = new Point(3.3, 4.4); ColorPoint cp1 = new ColorPoint(5.5, 6.6, Color.Red), cp2 = new ColorPoint(7.7, 8.8, Color.Blue); List<Point> pointList = new List<Point>(), clonedPointList = new List<Point>();
286 17 18 19 20 21 22 23 24 25 26 27 28 29 30 31 32 33 34 35 36 37 38 39 40 pointList.Add(p1); pointList.Add(cp1); pointList.Add(p2); pointList.Add(cp2); // Cannot copy ColorPoint objects with copy constructor of Point. // Compiles and runs, but gives wrong result. // foreach(Point p in pointList){ // clonedPointList.Add(new Point(p)); // } // Explicit type dispatch: foreach(Point p in pointList){ if (p is ColorPoint) clonedPointList.Add(new ColorPoint((ColorPoint)p)); else if (p is Point) clonedPointList.Add(new Point(p)); } foreach(Point p in clonedPointList) Console.WriteLine("{0}", p); } } Program 32.15 Non-polymorphic Cloning of Points - with use of copy constructors. 32.9. The fragile base class problem Lecture 8 - slide 33 As the next part of this Pattern and Techniques chapter we will study the so-called fragile base class problem. The problem can be summarized in this way: If all methods are virtual it is possible to introduce erroneous dynamic bindings This can happen if a new method in a superclass is given the same name as a dangerous method in a subclass The program in Program 32.16 is a principled ABC example. B is a subclass of A, and B has a dangerous method M2. As a dangerous method, clients of class B must be fully aware that M2 is called, because it can have serious consequences. (A possible serious consequence may be to erase the entire harddisk). As illustrated in the Client class, M2 can only be activated on a B object. 1 2 3 4 5 6 7 8 9 10 11 // Original program. No problems. using System; class A { public void M1(){ Console.WriteLine("Method 1"); } }
287 12 13 14 15 16 17 18 19 20 21 22 23 24 25 26 27 28 29 30 class B: A { public void M2(){ Console.WriteLine("Dangerous Method 2"); } } class Client{ public static void Main(){ A a = new B(); B b = new B(); a.M1(); // Nothing dangerous expected // a.M2(); // Compile-time error // 'A' does not contain a definition for 'M2' b.M2(); // Expects dangerous operation } } Program 32.16 The initial program. Let us now assume that we replace class A with a new version with the following changes: 1. A new virtual method M2 is added to A. 2. The existing method M1 in A now calls M2 This is shown in Program 32.17. We will, in addition, assume that all involved methods (M1 and M2) are virtual, and that M2 in B overrides M2 in A. In C# this is not a natural assumption, but in Java this is the default semantics (and the only possible semantics). It is purely accidental that the new method in class A has the same name as the dangerous method M2 in class B. In the Client class in Program 32.17 a.M1() will - unexpectedly - call the dangerous method M2 in class B, because the variable a has dynamic type B. Similarly, a.M2() calls M2 in B. The programmer, who wrote class A, expected that the expression a.M1() would call the sibling method M2 in class A! This could come as an unpleasant surprise. 1 2 3 4 5 6 7 8 9 10 11 12 13 14 15 16 17 // Dangerous program. // M2 is virtual in A and overridden in B. // Compiles and runs // Default Java semantics. using System; // New version of A class A { public void M1(){ Console.WriteLine("Method 1"); this.M2(); } // New method in this version. // Same name as the dangerous operation in subclass B
288 18 19 20 21 22 23 24 25 26 27 28 29 30 31 32 33 34 35 36 37 38 39 40 41 42 43 44 45 46 47 public virtual void M2(){ Console.WriteLine("M2 in new version of A"); } } class B: A { public override void M2(){ Console.WriteLine("Dangerous Method 2"); } } class Client{ public static void Main(){ A a = new B(); B b = new B(); a.M1(); // Nothing dangerous expected // Will, however, call the dangerous operation // because M2 is virtual. a.M2(); // Makes sense when M2 exists in class A. // Calls the dangerous method b.M2(); // Calls the dangerous method. // This is expected, however. } } Program 32.17 The revised version with method A.M2 being virtual. 1 2 3 4 Method 1 Dangerous Method 2 Dangerous Method 2 Dangerous Method 2 Listing 32.18 Output of revised program. If we, in C#, just add the M2 method to class A, and change M1 such that it calls M2, as shown in Program 32.19 (only on web) it is not possible to compile class B. The problem is that we have a method, named M2 in both class A and B. This is the problem that we have discussed in Section 28.9. The programmer should decide if M2 in B should be declared as new, or if it should override M2 from class A. In the latter case, M2 in A must be declared as virtual. If you want additional details about the fragile base class problem, the web-version of the paper contains two additional variants of Program 32.17. The fragile base class problem illustrates a danger of using virtual methods (dynamic binding) all over the place. In rare situations, as the one constructed in Program 32.17, it may lead to dangerous results. To summarize, the problem arises if a method in a subclass is unintentionally called instead of a method in a superclass. In C#, both the superclass and the subclass must specify if dynamic binding should take place. In the superclass the involved method must be virtual, and in the subclass the method must use the override modifier. Alternatively, we may opt for static binding, as in Program 32.20. As illustrated by Program 32.19 the C# programmer is likely to get a warning in case he or she approaches the fragile base class problem.
289 32.10. Factory design patterns Lecture 8 - slide 34 Instantiation of classes is done by the new operator (see Section 6.7) in cooperation with a constructor (see Section 12.4). Imagine that we need numerous instances of class C in a large program. This would lead to a situation where there appears may expressions of the form new C(...) in the program. Why can this be considered as a problem? One problem with many occurrences of new C(...) is if we - eventually - would like to instantiate another class, say a subclass of C. In this situation we would prefer to make one change at a single place in the program, instead of a spread of changes throughout the program. Another problem may occur if we need two or more constructors which we cannot easily distinguish by the formal parameters of the constructors. We have seen examples of such situations in Section 16.4. As yet another problem, we may wish to introduce good names for object instantiations, beyond the possibilities of constructors. Various uses of factory methods can be seen as solutions to the problems pointed out above. We will distinguish between the following variations of factory methods: • Factory methods implemented with class methods (static methods) in C, or in another class • The design pattern Factory Method which handles instantiation in instance methods of client subclasses • Relies on instance methods in class hierarchies with virtual methods • The design pattern Abstract Factory which is good for instantiation of product families • Relies on instance methods in class hierarchies with virtual methods As already pointed out, we have seen examples of static factory methods in Section 16.4. We will discuss the design pattern Factory Method below, in Section 32.11. In the current version of the material we do not discuss Abstract Factory. 32.11. The design pattern Factory Method Lecture 8 - slide 35 The Factory Method design pattern relies on virtual instance methods in a class hierarchy that take care of class instantiation. The Factory Method scene is shown diagrammatically in Figure 32.7 and programmatically in Program 32.22. The problem is how to facilitate instantiation of different types of Products (line 3-13 in Program 32.22) in SomeOperation (line 20) of class Creator. The Factory Method solution is to carry out the instantiation in overridden virtual methods in subclasses of class Creator. The actual instantiations take place in line 26 and 32 of Program 32.22. In SomeOperation, the highlighted call this.FactoryMethod() will either cause instantiation of ConcreteProduct_1 or ConcreteProduct_2, depending on the dynamic type of the creator.
290 Subclasses of Creator decide which Product to instantiate Figure 32.7 A template of the class structure in the Factory Method design pattern. 1 2 3 4 5 6 7 8 9 10 11 12 13 14 15 16 17 18 19 20 21 22 23 24 25 26 27 28 29 30 31 32 33 34 using System; public abstract class Product{ public Product(){} } public class ConcreteProduct_1: Product{ public ConcreteProduct_1(){} } public class ConcreteProduct_2: Product{ public ConcreteProduct_2(){} } public abstract class Creator{ public abstract Product FactoryMethod(); public void SomeOperation(){ Product product = FactoryMethod(); } } public class ConcreteCreator_1: Creator{ public override Product FactoryMethod(){ return new ConcreteProduct_1(); } } public class ConcreteCreator_2: Creator{ public override Product FactoryMethod(){ return new ConcreteProduct_2(); } } Program 32.22 Illustration of Factory Method in C#. Factory Method calls for a quite complicated scene of parallel class hierarchies. The key mechanism behind the pattern is the activation of a virtual method from a fully defined, non-abstract method in the (abstract) class Creator. In many contexts, Factory Method will be too complicated to set up. If, however, the major parts of the class hierarchies already have been established, the use of Factory Method allows for flexible variations of Product instantiations.
291 32.12. The Visitor design pattern Lecture 8 - slide 37 The Visitor design pattern is typically connected to the Composite design pattern, which we have discussed in Section 32.1. Recall that a Composite gives rise to a tree of objects, all of which expose a uniform client interface. The Visitor design pattern is about a particular organization of the operations that visit each node in such a tree. Relative to the Composite class diagram, shown in Figure 32.1, we will discuss two different organizations of the tree visiting operations: • The natural object-oriented solution: • One method per operation per Component class • The Visitor solution • All methods that pertain to a given operation are refactored and encapsulated in its own class The natural object-oriented solution, mentioned first, is the solution that falls out of the Composite design pattern. We will illustrate it in the context of the IntSequence Composite in Section 32.13. The Visitor solution is an alternative - and more complicated - organization which keeps all operations of a given traversal together. This is the solution of the Visitor design pattern. It will be exemplified in Section 32.15. 32.13. Natural object-oriented IntSequence traversals Lecture 8 - slide 38 We have studied the integer sequence composite in appendix Section 58.3. The class diagram of this particular Composite is shown in Figure 58.1. Please recapitulate the essence of the integer sequence idea from there. We will now discuss three different operations which need to visit each object in a integer sequence tree, such as the seven nodes of the tree shown in Figure 58.2. The operations are Max, Min, and Sum. Min and Max find the smallest/largest number in the tree respectively. Sum adds all numbers in the tree together. Below we show the Min, Max, and Sum operations in four classes IntSequence, IntSingular, IntInterval, and IntComposite. All of the operation need to traverse the tree structure. Inner nodes in the composite tree are represented as instances of the class IntCompSeq, as shown in Program 32.26. The operations Min, Max, and Sum are implemented recursively in this class. A Composite is a recursive data structure which in a natural way calls for recursive processing. All this is archetypical for a composite structure. 1 2 3 4 5 public abstract class IntSequence { public abstract int Min {get;} public abstract int Max {get;} public abstract int Sum(); } Program 32.23 The abstract class IntSequence.
292 1 2 3 4 5 6 7 8 9 10 11 12 13 14 15 16 17 18 19 20 21 22 23 24 25 26 27 28 29 30 31 32 33 34 35 public class IntInterval: IntSequence{ private int from, to; public IntInterval(int from, int to){ this.from = from; this.to = to; } public int From{ get{return from;} } public int To{ get{return to;} } public override int Min{ get {return Math.Min(from,to);} } public override int Max{ get {return Math.Max(from,to);} } public override int Sum(){ int res = 0; int lower = Math.Min(from,to), upper = Math.Max(from,to); for (int i = lower; i <= upper; i++) res += i; return res; } } Program 32.24 The class IntInterval. 1 2 3 4 5 6 7 8 9 10 11 12 13 14 15 16 17 18 19 20 21 22 23 24 public class IntSingular: IntSequence{ private int it; public IntSingular(int it){ this.it = it; } public int TheInt{ get{return it;} } public override int Min{ get {return it;} } public override int Max{ get {return it;} } public override int Sum(){ return it; } } Program 32.25 The class IntSingular.
293 1 2 3 4 5 6 7 8 9 10 11 12 13 14 15 16 17 18 19 20 21 22 23 24 25 26 27 28 29 public class IntCompSeq: IntSequence{ private IntSequence s1, s2; // Binary sequence: Exactly two subsequences. public IntCompSeq(IntSequence s1, IntSequence s2) { this.s1 = s1; this.s2 = s2; } public IntSequence First{ get{return s1;} } public IntSequence Second{ get{return s2;} } public override int Min{ get {return Math.Min(s1.Min, s2.Min);} } public override int Max{ get {return Math.Max(s1.Max, s2.Max);} } public override int Sum(){ return s1.Sum() + s2.Sum(); } } Program 32.26 The class IntCompSeq. In the web version of the material we show an integer sequence client which traverses a composite tree structure of integer sequences with use of the operations Min, Max, and Sum, see Program 32.27 (only on web). In Listing 32.28 (only on web) we also show the program output. The programming of Min, Max, and Sum in the integer sequence classes, as shown above, is natural object- oriented programming of the traversals. Each of the four involved classes has a Min, Max, and a Sum operation. The operations are located in the immediate neighborhood of the data on which they rely. Everything is fine. But the solution shown in this section is not a Visitor. In the next section we will discuss and motivate the transition from the natural object-oriented solution to a visitor. After that we will reorganize Min, Max and Sum as visitors. 32.14. Towards a Visitor solution Lecture 8 - slide 39 Before we study Visitors for integer sequence traversals we will discuss the transition from the natural object-oriented traversal to the Visitor design pattern. The main idea of Visitor is to organize all methods that take part in a particular traversal, in a single Visitor class. In our example from Section 32.13 it means that we will have MinVisitor, MaxVisitor, and SumVisitor class. All of these classes share a common Visitor interface.
294 The following steps are involved the transition from natural object-oriented visiting to the Visitor design pattern: • A Visitor interface and three concrete Visitor classes are defined • The Intsequence classes are refactored - the traversal methods are moved to the visitor classes • Accept methods are defined in the IntSequence classes. Accept takes a Visitor as parameter • Accept passes this to the visitor, which in turn may activate Accept on components From the web-version of the material we provide an SVG-animation that illustrates the transition. Try the accompanying SVG animation In the following section we will study an example. In the slipstream of the example we will explain and discuss additional details. The pros and cons of the Visitor solution are summarized in Section 32.16. 32.15. A Visitor example: IntSequence Lecture 8 - slide 40 Let us now reorganize the integer sequence traversals from Section 32.13 to a Visitor. We provide three different traversals: find minimum, find maximum, and calculate sum. This will give rise to three different visitor objects: a minimum visitor, a maximum visitor, and a sum visitor of types MinVisitor, MaxVisitor, and SumVisitor respectively. The three classes implement a common Visitor interface. Each of the visitors will have VisitIntInterval, VisitSingular, and VisitCompSeq methods. As a naming issue, we chose to use the name Visit for all of them. This choice relies on method overloading. With these considerations we are able to understand the Visitor interface shown in Program 32.29. 1 2 3 4 5 public interface Visitor{ int Visit (IntInterval iv); int Visit (IntSingular iv); int Visit (IntCompSeq iv); } Program 32.29 The Visitor Interface. The abstract superclass in the integer sequence Composite design pattern, which we presented in Program 32.23, can now be reduced to a single method, which takes a Visitor object as parameter. The method is usually called Accept. 1 2 3 public abstract class IntSequence { public abstract int Accept(Visitor v); } Program 32.30 The abstract class IntSequence. The idea behind the Accept method is to delegate the responsibility of a particular traversal to a given Visitor object. In the class IntInterval, shown below in Program 32.31, we see that Accept passes the
295 current object (the IntInterval object) to the visitor. This is done in line 19. The same happens in Accept of IntSingular (line 14 of Program 32.32) and in Accept of IntCompSeq (line 19 of Program 32.33). 1 2 3 4 5 6 7 8 9 10 11 12 13 14 15 16 17 18 19 20 21 public class IntInterval: IntSequence{ private int from, to; public IntInterval(int from, int to){ this.from = from; this.to = to; } public int From{ get{return from;} } public int To{ get{return to;} } public override int Accept(Visitor v){ return v.Visit(this); } } Program 32.31 The class IntInterval. 1 2 3 4 5 6 7 8 9 10 11 12 13 14 15 16 public class IntSingular: IntSequence{ private int it; public IntSingular(int it){ this.it = it; } public int TheInt{ get{return it;} } public override int Accept(Visitor v){ return v.Visit(this); } } Program 32.32 The class IntSingular.
296 1 2 3 4 5 6 7 8 9 10 11 12 13 14 15 16 17 18 19 20 21 public class IntCompSeq: IntSequence{ private IntSequence s1, s2; // Binary sequence: Exactly two subsequences. public IntCompSeq(IntSequence s1, IntSequence s2) { this.s1 = s1; this.s2 = s2; } public IntSequence First{ get{return s1;} } public IntSequence Second{ get{return s2;} } public override int Accept(Visitor v){ return v.Visit(this); } } Program 32.33 The class IntCompSeq. It is now time to program the visitor classes (the classes that implement the Visitor interface of Program 32.29). The Visit methods on intervals and singulars (the leafs in the composite tree) just extract information from the passed tree node. Thus, the Visit methods extract information from the objects that hold the essential information (this is the objects that provide the Accept methods). The Visit methods on the inner tree nodes (of type IntCompSeq) are more interesting. They call Accept methods on subtrees of the inner tree node. This is highlighted with blue color in Program 32.34, Program 32.35, and Program 32.36. 1 2 3 4 5 6 7 8 9 10 11 12 13 14 public class MinVisitor: Visitor{ public int Visit (IntInterval iv){ return Math.Min(iv.From, iv.To); } public int Visit (IntSingular iv){ return iv.TheInt; } public int Visit (IntCompSeq iv){ return Math.Min(iv.First.Accept(this), iv.Second.Accept(this)); } } Program 32.34 The class MinVisitor.
297 1 2 3 4 5 6 7 8 9 10 11 12 13 14 public class MaxVisitor: Visitor{ public int Visit (IntInterval iv){ return Math.Max(iv.From, iv.To); } public int Visit (IntSingular iv){ return iv.TheInt; } public int Visit (IntCompSeq iv){ return Math.Max(iv.First.Accept(this), iv.Second.Accept(this)); } } Program 32.35 The class MaxVisitor. 1 2 3 4 5 6 7 8 9 10 11 12 13 14 15 16 17 18 19 20 public class SumVisitor: Visitor{ public int Visit (IntInterval iv){ int res = 0; int lower = Math.Min(iv.From,iv.To), upper = Math.Max(iv.From,iv.To); for (int i = lower; i <= upper; i++) res += i; return res; } public int Visit (IntSingular iv){ return iv.TheInt; } public int Visit (IntCompSeq iv){ return (iv.First.Accept(this) + iv.Second.Accept(this)); } } Program 32.36 The class SumVisitor. As it appears, each Accept method in the Composite calls a Visit method in a Visitor class, which in turn may call one or more Accept methods on a composite constituents. This leads to indirect recursion in between Accept methods and Visit methods. Compared with the natural object-oriented solution, which uses direct recursion, this is more complicated to understand. The indirect recursion, pointed out above, may also be understood as a simulation of double dispatching. First, we dispatch on the Visitor object and next we dispatch on an object from the composite tree structure. Most object-oriented programming language only allows single dispatching - corresponding to message passing via a virtual method. This can be generalized to multiple dispatching, where the dynamic type of several objects determine which method to activate. The object-oriented part of Common Lisp - CLOS [Keene89] - supports multiple dispatching. In Program 32.37 we show a client program with an integer sequence composite structure (line 7-15), three visitors (line 16-18), and sample activations of tree traversals (highlighted in line 21, 22, and 28). The output of the program is shown in Listing 32.38 (only on web).
298 1 2 3 4 5 6 7 8 9 10 11 12 13 14 15 16 17 18 19 20 21 22 23 24 25 26 27 28 29 30 using System; class SeqApp { public static void Main(){ IntSequence isq = new IntCompSeq( new IntCompSeq( new IntInterval(3,5), new IntSingular(-7) ), new IntCompSeq( new IntInterval(12,7), new IntCompSeq( new IntInterval(18,-18), new IntInterval(3,5) ))); Visitor min = new MinVisitor(); Visitor max = new MaxVisitor(); Visitor sum = new SumVisitor(); Console.WriteLine("Min: {0} Max: {1}", isq.Accept(min), isq.Accept(max)); // Alternative activation of Visit methods: // Console.WriteLine("Min: {0} Max: {1}", min.Visit((IntCompSeq)isq), // max.Visit((IntCompSeq)isq)); Console.WriteLine("Sum: {0}", isq.Accept(sum)); } } Program 32.37 A sample application of IntSequences and visitors. 32.16. Visitors - Pros and Cons Lecture 8 - slide 41 As it is already clear from our explanation of Visitor in Section 32.15 there are both advantages and disadvantages of this design pattern. We summarize the consequences of Visitor in the following items: • A new kind of traversal can be added without affecting the classes of the Composite • A Visitor encapsulates all methods related to a particular traversal • State related to a traversal can - in a natural way - be represented in the Visitor • If a new class is added to the Composite all Visitor classes are affected • The indirect recursion that involves Accept and the Visit methods is more complex than the direct recursion in the natural object-oriented solution Visitor is frequently used for processing of abstract syntax trees in compilation tools In case you are going to study compilers implemented the object-oriented way, you will most likely encounter Visitors for such tasks as type checking and code generation.
299 32.17. References [Keene89] Sonya E. Keene, Object-Oriented Programming in Common Lisp. Addison-Wesley Publishing Company, 1989. [Gamma96] E. Gamma, R. Helm, R. Johnson and J. Vlissides, Design Patterns: Elements of Reusable Object-oriented Software. Addison Wesley, 1996. [Midi-sample] The generated MIDI file http://www.cs.aau.dk/~normark/oop-csharp/midi/song.mid [Mip-jan-08] MIP Exam January 2008 (In Danish) http://www.cs.aau.dk/~normark/oop-07/html/mip-jan-08/opgave.html [Song-and- timednote-classes] The auxiliary classes TimedNote and Song http://www.cs.aau.dk/~normark/oop-07/html/mip-jan-08/c-sharp/mip.cs [Factory-method] Wikipedia: Design pattern: Factory Method http://en.wikipedia.org/wiki/Factory_method [Abstract-factory] Wikipedia: Design pattern: Abstract Factory http://en.wikipedia.org/wiki/Abstract factory
300
301 33. Fundamental Questions about Exception Handling With this chapter we start the lecture about exception handling. We could as well just use the word "error handling". Before we approach object-oriented exception handling we will in this chapter discuss error handling broadly and from several perspectives. In Chapter 34 we will discuss non-OO, conventional exception handling. In Chapter 35 we encounter object-oriented exception handling. Finally, in Chapter 36 we discuss exception handling in C#. Chapter 36 is the main chapter in the lecture about exception handling. 33.1. What is the motivation? Lecture 9 - slide 2 The following items summarize why we should care about error handling: • Understand the nature of errors • "An error is not just an error" • Prevent as many errors as possible in the final program • Automatically - via tools • Manually - in a distinguished testing effort • Make programs more robust • A program should be able to resist and survive unexpected situations 33.2. What is an error? Lecture 9 - slide 3 The word "error" is often used in an undifferentiated way. We will now distinguish between errors in the development process, errors in the source program, and errors in the executing program. • Errors in the design/implementation process • Due to a wrong decision at an early point in time - a mental flaw • Errors in the source program • Illegal use of the programming language • Erroneous implementation of an algorithm • Errors in the program execution - run time errors • Exceptions - followed by potential handling of the exceptions Errors in the development process may lead to errors in the source program. Errors in the source program may lead to errors in the running program
302 33.3. What is normal? What is exceptional? Lecture 9 - slide 4 I propose that we distinguish between "normal aspects" and "exceptional aspects" when we write a program. Without this distinction, many real-world programs will become unwieldy. The separation between normal aspects and exceptional aspects adds yet another dimension of structure to our programs. In many applications and libraries, the programming of the normal aspects leads to nice and well- proportional solution. When exceptional aspects (error handling) are brought in, the normal program aspects are polluted with error handling code. In some situations the normal program aspects are totally dominated by exceptional program aspects. This is exemplified in Section 34.2. Below we characterize the normal program aspects and the exceptional program aspects. • Normal program aspects • Situations anticipated and dealt with in the conventional program flow • Programmed with use of selective and iterative control structures • Exceptional program aspects • Situations anticipated, but not dealt with "in normal ways" by the programmer • Leads to an exception • Recoverable via exception handling. Or non-recoverable • Situations not anticipated by the programmer • Leads to an exception • Recoverable via exception handling. Or non-recoverable • Problems beyond the control of the program Let us assume that we program the following simple factorial function. Recall that "n factorial" = Factorial(n) = n! = n * (n -1) * ... * 1. public static long Factorial(int n){ if (n == 0) return 1; else return n * Factorial(n - 1); } The following problems may appear when we run the Factorial function: 1. Negative input : If n is negative an infinite recursion will appear. It results in a StackOverflowException . 2. Wrong type of input : In principle we could pass a string or a boolean to the function. In reality, the compiler will prevent us from running such a program, however. 3. Wrong type of multiplication : The operator my be redefined or overloaded to non-multiplication. 4. Numeric overflow of returned numbers : The type long cannot contain the result of 20! , but not 21! . 5. Memory problem : We may run out of RAM memory during the computation. 6. Loss of power : The power may be interrupted during the computation. 7. Machine failure : The computer may fail during the computation.
303 8. Sun failure : The Sun may be extinguished during the computation. Problem 1 should be dealt with as a normal program aspects. As mentioned, the problem in item 2 is prevented by the analysis of the compiler. Problem 3 is, in a similar way, prevented by the compiler. Problem 4 is classified as an anticipated exceptional aspect. Problem 4 could, alternatively, be dealt with by use of another type than long, such a BigInteger which allows us to work with arbitrary large integers. (BigInteger is not part of the .Net 3.5 libraries, however). Problem 5 could also be foreseen as an anticipated exception. Problem 5, 7, and 8 are beyond the control of the program. In extremely critical applications it may, however, be considered to deal with (handle) problem 6 and 7. With use of normal control structures, a different (although a hypothetical) type BigInteger, and an iterative instead of a recursive algorithm we may rewrite the program to the following version: public static BigInteger Factorial(int n){ if (n >= 0){ BigInteger res = 1; for(int i = 1; i <= n; i++) res = res * i; return res; } else throw new ArgumentException("n must be non-negative"); } With this rewrite we have dealt with problem 1, 4, and 5. As an attractive alternative to the if-else, problem 1 could be dealt with by the precondition n >= 0 of the Factorial method, see Section 50.1. As it appears, we wish to distinguish between normal program aspects and exceptional program aspects via the programming language mechanisms used to deal with them. In C# and similar object-oriented languages, we have special means of expressions to deal with exceptions. The Factorial function shown above throws an exception in case of negative input. See Section 36.2 for details. Above, we distinguish between different degrees of exceptional aspects. As a programmer, you are probably aware of something that can go wrong in your program. Other errors come as surprises. Some error situations, both the expected and the surprising ones, should be dealt with such that the program execution survives. Others will lead to program termination. Controlled program termination, which allows for smooth program restart, will be an important theme in this lecture. 33.4. When are errors detected? Lecture 9 - slide 6 It is attractive to find errors as early as possible Our next question cares about the point in time where you - the program developer - realize the problem. It should be obvious that we wish to identify troubles as soon as possible. We identify the following error identification times.
304 • During design and programming - Go for it. • During compilation - syntax errors or type errors - Attractive. • During testing - A lot of hard work. But necessary. • During execution and final use of the program • Handled errors - OK. But difficult. • Unhandled errors - A lot of frustration. If we are clever enough, we will design and program our software such that errors do not occur at all. However, all experience shows that this is not an easy endeavor. Still, it is good wisdom to care about errors and exception handling early in the development process. Problems that can be dealt with effectively at an early point in time will save a lot of time and frustrations in the latter phases of the development process. Static analysis of the program source files, as done by the front-end of the compiler, is important and effective for relatively early detection of errors. The more errors that can be detected by the compiler before program execution, the better. Handling of errors caught by the compiler requires very little work from the programmers. This is at least the case if we compare it with testing efforts, described next. Systematic test deals with sample execution of carefully prepared program fragments. The purpose of testing is to identify errors (see also Section 54.1). Testing activities are very time consuming, but all experience indicates that it is necessary. We devote a lecture, covered by Chapter 56 in this material, to testing. We will in particular focus on unit test of object-oriented programs. Software test is also known as validation in relation to the specification of the software. Alternatively, the program may be formally verified up against a specification. This goes in the direction of a mathematical proof, and an area known as model-checking. Finally, some errors may creep through to the end-use of the program. Some of these errors could and should perhaps have been dealt with at an earlier point in time. But there will remain some errors in this category. Some can be handled and therefore hidden behind the scene. A fair amount cannot be handled. Most of the discussion in this and the following three chapters are about (handled and unhandled) errors that show up in the program at execution time. 33.5. How are errors handled? Lecture 9 - slide 7 Assuming that we now know about the nature of errors and when they appear in the running program, it is interesting to discuss what to do about them. Here follows some possibilities.
305 • Ignore • False alarm - Naive • Report • Write a message on the screen or in a log - Helpful for subsequent correction of the source program • Terminate • Stop the program execution in a controlled an gentle way - Save data, close connections • Repair • Recover from the error in the running program - Continue normal program execution when the problem is solved The first option - false alarm - is of course naive and unacceptable from a professional point of view. It is naive in the sense that shortly after we have ignored the error another error will most certainly occur. And what should then be done? The next option is to tell the end-user about the error. This is naive, almost in the same way as false alarm. But the reporting option is a very common reaction from the programmer: "If something goes wrong, just print a message on standard output, and hopefully the problem will vanish." At least, the user will be aware that something inappropriate has happened. The termination option is often the most viable approach, typically in combination with proper reporting. The philosophy behind this approach is that errors should be corrected when they appear. The sooner the better. The program termination should be controlled and gentle, such that it is possible to continue work when the problem has been solved. Data should be saved, and connections should be closed. It is bad enough that a program fails "today". It is even worse if it is impossible start the program "tomorrow" because of corrupted data. Repair and recovery at run-time is the ultimate approach. We all wish to use robust and stable software. Unfortunately, there are some problems that are very difficult to deal with by the running program. To mention a few, just think of broken network connections, full harddisks, and power failures. It is only in the most critical applications (medical, atomic energy, etc) that such severe problems are dealt with explicitly in the software that we construct. Needless to say, it is very costly to built software that takes such problems into account. 33.6. Where are errors handled? Lecture 9 - slide 8 The last fundamental question is about the place in the program where to handle errors. Should we go for local error handling, or for handling at a more remote place in the program.
306 • Handle errors at the place in the program where they occur • If possible, this is the easiest approach • Not always possible nor appropriate • Handle errors at another place • Along the calling chain • Separation of concerns If many errors are handled in the immediate proximity of the source of the error, chances are that a small and understandable program becomes large, unwieldy, and difficult understand. Separation of concerns is worth considering. One concern is the normal program aspects (see Section 33.3). Another concern is exception handling. The two concerns may be dealt with in different corners or the program. Propagation of errors from one place in a C# program to another will be discussed in Section 36.7 of this material.
307 34. Conventional Exception Handling Before we approach exception handling in object-oriented programs we will briefly take a look at some conventional ways to deal with errors. You can, for instance, think of these as error handling techniques in C programming. 34.1. Exception Handling Approaches Lecture 9 - slide 10 One way to deal with errors is to bring the error condition to the attention of the user of the program. (See Section 33.5 ). Obviously, this is done in the hope that the user has a chance to react on the information he or she receives. Not all users can do so. If error messages are printed to streams (files) in conventional, text based user interfaces, it is typical to direct the information to the standard error stream instead of the standard output stream. • Printing error messages • Console.Out.WriteLine(...) or Console.Error.WriteLine(...) • Error messages on standard output are - in general - a bad idea We identify the following conventional exception handling approaches: • Returning error codes • Like in many C programs • In conflict with a functional programming style, where we need to return data • Set global error status variables • Almost never attractive • Raise and handle exceptions • A special language mechanism to raise an error • Rules for propagation of errors • Special language mechanisms for handling of errors When a function is used in imperative C programming, the value returned by the function can be used to signal an error condition to its caller. Many functions from the standard C library signal errors via the value returned from the function. Unfortunately, varying conventions are applied. In some functions, such as main, a non-zero value communicates a problem to the operating environment. In functions that return pointers (such as malloc) a NULL value typically indicates an error condition. In other functions, such as fgetc and fputc, the distinguished EOF (end of file) value is used as an error value. Other functions, such as mktime, use -1 as an error value. As an supplementing means, a global variable can be used for signaling more details about an error. In C programming, the variable errno from the standard library errno.h is often used. When a function returns an error value (as discussed above), the value of errno is set to a value that gives more details about the error. Some systems use errno as an index to an array of error messages.
308 Use of error return values and global error variables is not a good solution to the error handling problem. Therefore, most contemporary languages come with more sophisticated facilities for raising, propagating and handling exceptions. The C# error handling facilities are covered specifically in Section 36.2, Section 36.3, and Section 36.7. 34.2. Mixing normal and exceptional cases Lecture 9 - slide 11 Before we enter the area of object-oriented exception handling, and exception handling in C#, we will illustrate the danger of mixing "normal program aspects" and "exceptional program aspects". See also the discussion in Section 33.3. In Program 34.1 a small program, which copies a file into another file, is organized in the Main method in a C# program. The string array passed to Main is supposed to hold the names of the source and target files. Most readers will probably agree that the program fragment shown in Program 34.1 is relatively clear and straightforward. 1 2 3 4 5 6 7 8 9 10 11 12 13 14 15 16 17 18 19 20 using System; using System.IO; public class CopyApp { public static void Main(string[] args) { FileInfo inFile = new FileInfo(args[0]), outFile = new FileInfo(args[1]); FileStream inStr = inFile.OpenRead(), outStr = outFile.OpenWrite(); int c; do{ c = inStr.ReadByte(); if(c != -1) outStr.WriteByte((byte)c); } while (c != -1); inStr.Close(); outStr.Close(); } } Program 34.1 A file copy program. We will now care about possible issues that can go wrong in our file copy program. The result can be seen in Program 34.2, where all red aspects are oriented towards error handling. Some of the error handling issues are quite realistic. Others may be slightly exaggerated with the purpose of making our points.
309 1 2 3 4 5 6 7 8 9 10 11 12 13 14 15 16 17 18 19 20 21 22 23 24 25 26 27 28 29 30 31 32 33 34 35 36 37 38 39 using System; using System.IO; public class CopyApp { public static void Main(string[] args) { FileInfo inFile; do { inFile = new FileInfo(args[0]); if (!inFile.Exists) args[0] = "some other input file name"; } while (!inFile.Exists); FileInfo outFile; do { outFile = new FileInfo(args[1]); if (outFile.Exists) args[1] = "some other output file name"; } while (outFile.Exists); FileStream inStr = inFile.OpenRead(), outStr = outFile.OpenWrite(); int c; do{ c = inStr.ReadByte(); if(c != -1) outStr.WriteByte((byte)c); if (StreamFull(outStr)) DreamCommand("Fix some extra room on the disk"); } while (c != -1); inStr.Close(); if (!FileClosed(inStr)) DreamCommand("Deal with input file which cannot be closed"); outStr.Close(); if (!FileClosed(outStr)) DreamCommand("Deal with output file which cannot be closed"); } } Program 34.2 A file copy program with excessive error handling. The line intervals 8-12 and 15-19 deal with non-existing/existing input/output files respectively. It is a problem if the input file is non-existing, and it may be problematic to overwrite an existing output file. Line 27-28 deals with memory problems, in case there is not enough room for the output file. The line intervals 32-33 and 36-37 address file closing problems. The methods DreamCommand, FileClosed, and StreamFull are imaginary abstractions, which are needed to complete and compile the version of the file copy program shown in Program 34.2. The important lesson to learn from the example above is that the original "normal file copying aspects" in Program 34.1 almost disappears in between the error handling aspects of Program 34.2.
310
311 35. Object-oriented Exception Handling It may be asked if there is a solid link between object-oriented programming and exception handling. I see two solid object-oriented contributions to error handling. The contributions are (1) representation of an error as an object, and (2) classification of errors in class inheritance hierarchies. These contributions will be explained at an overall level in this chapter. In Chapter 36 we will address the same issues relative to C#. 35.1. Errors as Objects Lecture 9 - slide 13 An error is characterized by several pieces of information. It is attractive to keep these informations together. By keeping relevant error information together it becomes easier to propagate error information from one place in a program to another. Seen in this light, it is obvious that an error should be represented as an object. All relevant knowledge about an error is encapsulated in an object • Encapsulation of relevant error knowledge • Place of occurrence (class, method, line number) • Kind of error • Error message formulation • Call stack information • Transportation of the error • From the place of origin to the place of handling • Via a special throw mechanism in the language An error is an object. Objects are instances of classes. Therefore there will exist classes that describe common properties of errors. In the next section we will discuss the organization of these classes in a class hierarchy. 35.2. Classification of Errors Lecture 9 - slide 14 There are many kinds of errors: Fatal errors, non-fatal errors, system errors, application errors, arithmetic errors, IO errors, software errors, hardware errors, etc. It would be very helpful if we could bring order into this mess. In Section 35.1 we realized that a concrete error can be represented as an instance of a class, and consequently that we can deal with types of errors. Like other types, different types of errors can therefore be organized in type hierarchies. At the programming language level we can define a set of error/classes, and we can organize these in an inheritance hierarchy.
312 Errors can be classified and specialized by means of a class hierarchy Figure 35.1 shows an outline of type hierarchy for different kinds of errors. The concrete C# counterpart to this figure is discussed in Section 36.4. Figure 35.1 A sample error classification hierarchy As hinted by the introductory words of this section, there may be several different classifications of errors. The classification in Figure 35.1 only represents one such possibility. If multiple inheritance is available (see Section 27.4 and Section 27.5) multiple error classification schemes may coexist.
313 36. Exceptions and Exception Handling in C# Chapter 33, Chapter 34, and Chapter 35 have provided a context for this chapter. Warmed up in this way, we will now discuss different aspects of exceptions and exception handling in C#. 36.1. Exceptions in a C# program Lecture 9 - slide 16 Let us start with an simple example. Several variants of the example will appear throughout this chapter. In Program 36.1 the int table, declared and instantiated in line 6, is accessed by the expression M(table, idx) in line 9. In M we happen to address a non-existing element in the table. Recall that an array of 6 elements holds the elements table[0].. . table[5]. Therefore the cell addressed by table[6] is non-existing. Consequently, the execution of M(table, idx) in line 9 causes an error (index out of range). This is a run- time error, because the error happens when the program is executing. You can see this as a contrast to compile-time errors, which are identified before the program starts. In C#, a run-time error is materialized as an exception, which is an instance of class Exception or one of its subclasses. After its creation the exception is thrown. Throwing an exception means that the exception object is brought to the attention of exception handlers (catchers, see Section 36.3) which have a chance to react on the error condition represented by the exception. In the example shown in Program 36.1 the thrown exception is not handled. 1 2 3 4 5 6 7 8 9 10 11 12 13 14 15 16 17 using System; class ExceptionDemo{ public static void Main(){ int[] table = new int[6]{10,11,12,13,14,15}; int idx = 6; M(table, idx); } public static void M(int[] table, int idx){ Console.WriteLine("Accessing element {0}: {1}", idx, table[idx]); } } Program 36.1 A C# program with an exception. The output of Program 36.1 is shown in Listing 36.2. The effect of the WriteLine command in line 13 never occurs, because the error happens before WriteLine takes effect. The output in Listing 36.2 is therefore produced exclusively by the unhandled exception. We can see that the exception is classified as an IndexOutOfRangeException, which is quite reasonable. We can also see the stack trace from the beginning of the program to the place where the exception is thrown: Main, M (read from bottom to top in Listing 36.2). 1 2 3 4 Unhandled Exception: System.IndexOutOfRangeException: Index was outside the bounds of the array. at ExceptionDemo.M(Int32[] table, Int32 idx) at ExceptionDemo.Main() Listing 36.2 Output from the C# program with an exception.
314 36.2. The try-catch statement C# Lecture 9 - slide 17 In Section 36.1 we illustrated an unhandled exception. The error occurred, the exception object was formed, it was propagated through the calling chain, but it was never reacted upon (handled). We will now introduce a new control structure, which allows us to handle exceptions, as materialized by objects of type Exception. Handling an exception imply in some situations that we attempt to recover from the error which is represented by the exception, such that the program execution can continue. In other situations the handling of the exception only involves a few repairs or state changes just before the program terminates. This is typically done to save data or to close connections such that the program can start again when the error in the source program has been corrected. The try-catch statement allows us handle certain exceptions instead of stopping the program The syntax of the new control structure is as shown below. try try-block catch (exception-type-1 name) catch-block-1 catch (exception-type-2 name) catch-block-2 ... Syntax 36.1 The syntax of try-catch statement C# try-block and catch-block-i are indeed block statements. It means that braces {...} are mandatory after try and after catch. Even if only a single action happens in try or catch, the action must be dressed as a block. Let us assume that we are interested in handling the exceptions that are caused by execution of some command c. This can be arranged by embedding c in a try-catch control structure. It can also be arranged if another command d, which directly or indirectly activates c, is embedded in a try-catch control structure. If an exception of a given type occurs, it can be handled in one of the matching catch clauses. A catch clause matches an exception object e, if the type of e is a subtype of exception-type-i (as given in one of the catch clauses). The matching of exceptions and catch clauses are attempted in the order provided by the catch clauses in the try control structure. Notice that each catch clause in addition specifies a name, to which the given exception object will be bound (in the scope of the handler). The names in catch clauses are similar to formal parameter names in methods. Syntax 36.1 does not reflect the whole truth. The names of exceptions, next to the exception types, may be missing. It is even possible to have a catch clause without specification of an exception type. There is also an optional finally clause, which we will discuss in Section 36.9.
315 36.3. Handling exceptions in C# Lecture 9 - slide 18 Now that we have introduced the try-catch control structure let us handle the exception in Program 36.1. In Program 36.3 - inside M - around the two activations of WriteLine, we introduce a try-catch construct. If an IndexOutOfRangeException occurs in the try part, the control will be transferred to the neighbor catch part in which we adjust the index (using the method AdjustIndex), and we print the result. The program now prints "We get element number 5: 15". Notice that once we have left the try part, due to an error, we will not come back to the try part again, even if we have repaired the problem. In Program 36.3 this means that the Console.WriteLine call in 16-17 is never executed. After having executed the catch clause in line 19-23, line 24 is executed next, and M returns to Main. 1 2 3 4 5 6 7 8 9 10 11 12 13 14 15 16 17 18 19 20 21 22 23 24 25 26 27 28 29 30 31 32 33 34 35 36 37 38 39 using System; class ExceptionDemo{ public static void Main(){ int[] table = new int[6]{10,11,12,13,14,15}; int idx = 6; M(table, idx); } public static void M(int[] table, int idx){ try{ Console.WriteLine("Accessing element {0}: {1}", idx, table[idx]); Console.WriteLine("Accessing element {0}: {1}", idx-1, table[idx-1]); } catch (IndexOutOfRangeException e){ int newIdx = AdjustIndex(idx,0,5); Console.WriteLine("We get element number {0}: {1}", newIdx, table[newIdx]); } Console.WriteLine("End of M"); } public static int AdjustIndex(int i, int low, int high){ int res; if (i < low) res = low; else if (i > high) res = high; else res = i; return res; } } Program 36.3 A C# program with a handled exception. In the example above we handled the exception in the immediate neighborhood of the offending statement. It is also possible to handle the exception at a more remote place in the program, but always along the path of activated, non-completed methods. We will illustrate this in Section 36.7.
316 Exercise 9.1. Exceptions in Convert.ToDouble The static methods in the static class System.Convert are able to convert values of one type to values of another type. Consult the documentation of System.Convert.ToDouble. There are several overloads of this method. Which exceptions can occur by converting a string to a double? Write a program which triggers these exceptions. Finally, supply handlers of the exceptions. The handlers should report the problem on standard output, rethrow the exception, and then continue. 36.4. The hierarchy of exceptions in C# Lecture 9 - slide 19 In this section we will take a concrete look at the classification of exceptions in C#. Our general discussion of this topic can be found in Section 35.2. The following shows an excerpt the Exception class tree in C#. The tree is shown by textual indentation. Thus, the classes ApplicationException and SystemException are sons (and subclasses) of Exception. • Exception • ApplicationException • Your own exception types • SystemException • ArgumentException • ArgumentNullException • ArgumentOutOfRangeException • DivideByZeroException • IndexOutOfRangeException • NullReferenceException • RankException • StackOverflowException • IOException • EndOfStreamException • FileNotFoundException • FileLoadException Notice first that the Exception class tree is not the whole story. There are many more exception classes in the C# libraries than shown above.
317 Exceptions of type SystemException are thrown by the common language runtime (the virtual machine) if some error condition occurs. System exceptions are nonfatal and recoverable. As a programmer, you are also welcome to throw a SystemException object (or more precisely, an object of one of the subclasses of SystemException) from a program, which you are writing. An ArgumentException can be thrown if a an operation receives an illegal argument. The programmer of the operation decides which arguments are legal and illegal. The two shown subclasses of ArgumentException reflect that the argument cannot be null and that the argument is outside its legal range respectively. The DivideByZeroException occurs if zero is used as a divisor in a division. The IndexOutOfRangeException occurs if an an array is accessed with an index, which is outside the legal bounds. The NullReferenceExceptions occurs in an expression like ref.name where ref is null instead of a reference to an object. The RankException occurs if an array with the wrong number of dimensions is passed to an operation. The StackOverflowException occurs if the memory space devoted to non- completed method calls is exhausted. The IOException (in the namespace System.IO) reflects different kinds of errors related to file input and file output. ApplicationExceptions are "thrown when a non-fatal application error occurs" (quote from MSDN). The common runtime system throws instances of SystemException, not ApplicationException. Originally, the exception classes that you program in your own code were intended to be subclasses of ApplicationException. In version 3.5 of the .NET framework, Microsoft recommends that your own exceptions are programmed as subclasses of Exception [exceptions-best-practices]. You are encouraged to identify and throw exceptions which are specializations of SystemException. By (re)using existing exception types, it becomes possible for the system, or for third-party program contributions, to catch the exceptions that you throw from your own code. Exercise 9.2. Exceptions in class Stack In the lecture about inheritance we specialized the abstract class Stack. Now introduce exception handling in your non-abstract specialization of Stack. I suggest that you refine your own solution to the previous exercise. It is also possible to refine my solution. More specifically, introduce one or more stack-related exception classes. The slide page "Raising and throwing exceptions in C#" tells you how to do it. Make sure to specialize the appropriate pre-existing exception class! Arrange that Push on a full stack and that Pop/Top on an empty stack throw one of the new exceptions. Also, in the abstract stack class, make sure that ToggleTop throws an exception if the stack is empty, or if the stack only contains a single element. Finally, in a sample client program such as this one, handle the exceptions that are thrown. In this exercises it is sufficient to report the errors on standard output.
318 Exercise 9.3. More exceptions in class Stack In continuation of the previous exercise, we now wish to introduce the following somewhat unconventional handling of stack exceptions: • If you push an element on a full stack throw half of the elements away, and carry out the pushing. • If you pop/top an empty stack, push three dummy elements on the stack, and do the pop/top operation after this. With these ideas, most stack programs will be able to terminate normally (run to the end). I suggest that you introduce yet another specialization of the stack class, which specializes Push, Pop, and Top. The specialized stack operations should handle relevant stack-related exceptions, and delegate the real work to its superclass. Thus, in the specialized stack class, each stack operation, such as Push, you should embed base.push(el) in a try-catch control structure, which repairs the stack - as suggested above - in the catch clause. 36.5. The class System.Exception in C# Lecture 9 - slide 20 The class Exception is the common superclass of all exception classes, and therefore it holds all common data and operations of exceptions. In this section we will examine the class Exception in some details. • Constructors • Parameterless: Exception() • With an explanation: Exception(string) • With an explanation and an inner exception: Exception(string,Exception) • Properties • Message: A description of the problem (string) • StackTrace: The call chain from the point of throwing to the point of catching • InnerException: The exception that caused the current exception • Data: A dictionary of key/value pairs. • For communication in between functions along the exception propagation chain. • Others... Exception is a class (and instances of class Exception represents a concrete error). Therefore there exists constructors of class Exceptions, which (as usual) are used for initialization of a newly allocated Exception object. (See Section 12.4 for a general discussion of constructors).
319 The most useful constructor in class Exception takes a string, which holds an intuitive explanation of the problem. This string will appear on the screen, if a thrown exception remains unhandled. The third constructor, of the form Exception(string,Exception), involves an inner exception. Inner exceptions will be discussed in Section 36.11. As outlined above, an exception has an interface of properties (see Chapter 18) that give access to the data, which are encapsulated by the Exception object. You can access the message (originally provided as input to the constructor), the stack trace, a possible inner exception, and data in terms of a key-value dictionary (used to keep track of additional data that needs to travel together with the exception). For general information about dictionaries, see Chapter 46. 36.6. Handling more than one type of exception in C# Lecture 9 - slide 21 We now continue the example from Section 36.3. In this section we will see how to handle multiple types of exceptions in a single try-catch statement. The scene of Program 36.4 is similar to the scene in Program 36.3. In the catch clauses of the try-catch control structure we handle NullReferenceException and DivideByZeroException. On purpose, we do not yet handle IndexOutOfRangeException. Just wait a moment... 1 2 3 4 5 6 7 8 9 10 11 12 13 14 15 16 17 18 19 20 21 22 23 24 25 26 27 using System; class ExceptionDemo{ public static void Main(){ int[] table = new int[6]{10,11,12,13,14,15}; int idx = 6; M(table, idx); } public static void M(int[] table, int idx){ try{ Console.WriteLine("Accessing element {0}: {1}", idx, table[idx]); } catch (NullReferenceException){ Console.WriteLine("A null reference exception"); throw; // rethrowing the exception } catch (DivideByZeroException){ Console.WriteLine("Divide by zero"); throw; // rethrowing the exception } } } Program 36.4 A C# program with an exception handling attempt - not a success. When we run the program in Program 36.4 the two handlers do not match the exception that occurs (the IndexOutOfRangeException exception). Therefore the exception remains unhandled, and the program stops with the output shown in Listing 36.5.
320 Notice that we do not provide names of the exceptions in the catch clauses in Program 36.4. We could do so. But because the names are not used they would cause the compiler to issue warnings. While we are here, let us dwell on the two catch clauses that actually appear in the try-catch statement in Program 36.4. The null reference exception describes the problem of executing r.f in state where r refers to null. The divide by zero exception describes the problem of executing a/b in state where b is zero. The catch clauses report the problems, but they do not handle them. Instead, both catch clauses rethrow the exceptions. This is done by throw in line 19 and 23. By rethrowing the exceptions, an outer exception handler (surrounding the try catch) or exception handlers along the dynamic calling chain will have a chance to make a repair. Reporting the exception is a typical temptation of the programmer. But the reporting itself does not solve the problem! Therefore you should rethrow the exception in order to let another part of the program have to chance to make an effective repair. Rethrowing of exceptions is discussed in Section 36.10. 1 2 3 4 5 Unhandled Exception: System.IndexOutOfRangeException: Index was outside the bounds of the array. at ExceptionDemo.M(Int32[] table, Int32 idx) at ExceptionDemo.Main() Listing 36.5 Output from the C# program with an unhandled exception. It was really too bad that we did not hit the IndexOutOfRangeException exception in Program 36.4. In Program 36.6 we will make a better job. We extend the catch clauses with two new entries. We add the IndexOutOfRangeException and we add the root exception class Exception. Notice that the more general exception classes should always occur at the rear end of the list of catch clauses. The reason is that the catch clauses are consulted in the order they appear. (If the Exception catcher was the first one, none of the other would ever have a chance to take effect). In the concrete example, the IndexOutOfRangeException clause is the first that matches the thrown exception. (Notice that newly added Exception clause also matches, but we never get that far). Therefore we get the output shown in Listing 36.7. 1 2 3 4 5 6 7 8 9 10 11 12 13 14 15 16 17 18 19 20 21 22 23 using System; class ExceptionDemo{ public static void Main(){ int[] table = new int[6]{10,11,12,13,14,15}; int idx = 6; M(table, idx); } public static void M(int[] table, int idx){ try{ Console.WriteLine("Accessing element {0}: {1}", idx, table[idx]); } catch (NullReferenceException){ Console.WriteLine("A null reference exception"); throw; // rethrowing the exception } catch (DivideByZeroException){ Console.WriteLine("Divide by zero"); throw; // rethrowing the exception
321 24 25 26 27 28 29 30 31 32 33 34 35 36 37 } catch (IndexOutOfRangeException){ int newIdx = AdjustIndex(idx,0,5); Console.WriteLine("We get element number {0}: {1}", newIdx, table[newIdx]); } catch (Exception){ Console.WriteLine("We cannot deal with the problem"); throw; // rethrowing the exception } } } Program 36.6 A C# program with an exception handling attempt - now successful. 1 We get element number 5: 15 Listing 36.7 Output from the C# program with a handled exception. Handle specialized exceptions before general exceptions 36.7. Propagation of exceptions in C# Lecture 9 - slide 22 In the examples shown until now (see Program 36.3, Program 36.4, and Program 36.6) we have handled exceptions close to the place where they are thrown. This is not necessary. We can propagate an exception object to another part of the program, along the chain of the incomplete method activations. In Program 36.8 there is a try-catch statement in M and (as a new thing) also in Main. The local catchers in M do not handle the actual exception (which still is of type index out of range). The handlers in Main do! When the error occurs in M, the local exception handlers all have a chance of handling it. They do not! Therefore the exception is propagated to the caller, which is Main. Due to the propagation of the exception, line 34 of M is never executed. The catchers around the activation of M in Main have a relevant clause that deals with IndexOutOfRangeException. It handles the problem by use of the static method AdjustIndex. After having executed the catch clause in Main, the command after try-catch in Main is executed (line 17). The output of Program 36.8 is shown in Listing 36.9. 1 2 3 4 5 6 7 8 9 10 11 12 13 14 15 16 17 using System; class ExceptionDemo{ public static void Main(){ int[] table = new int[6]{10,11,12,13,14,15}; int idx = 6; try{ M(table, idx); } catch (IndexOutOfRangeException){ int newIdx = AdjustIndex(idx,0,5); Console.WriteLine("We get element number {0}: {1}", newIdx, table[newIdx]); } Console.WriteLine("End of Main");
322 18 19 20 21 22 23 24 25 26 27 28 29 30 31 32 33 34 35 36 37 } public static void M(int[] table, int idx){ try{ Console.WriteLine("Accessing element {0}: {1}", idx, table[idx]); } catch (NullReferenceException){ Console.WriteLine("A null reference exception"); throw; // rethrowing the exception } catch (DivideByZeroException){ Console.WriteLine("Dividing by zero"); throw; // rethrowing the exception } Console.WriteLine("End of M"); } } Program 36.8 A C# program with simple propagation of exception handling. 1 2 We get element number 5: 15 End of Main Listing 36.9 Output from the C# program simple propagation. In order to illustrate a longer error propagation chain, we now in Program 36.10 introduce the calling chain Main → M → N → P 1 2 3 4 5 6 7 8 9 10 11 12 13 14 15 16 17 18 19 20 21 22 23 24 25 26 27 28 29 30 31 using System; class ExceptionDemo{ public static void Main(){ int[] table = new int[6]{10,11,12,13,14,15}; int idx = 6; Console.WriteLine("Main"); try{ M(table, idx); } catch (IndexOutOfRangeException){ M(table, AdjustIndex(idx,0,5)); } } public static void M(int[] table, int idx){ Console.WriteLine("M(table,{0})", idx); N(table,idx); } public static void N(int[] table, int idx){ Console.WriteLine("N(table,{0})", idx); P(table,idx); } public static void P(int[] table, int idx){ Console.WriteLine("P(table,{0})", idx); Console.WriteLine("Accessing element {0}: {1}", idx, table[idx]);
323 32 33 34 } } Program 36.10 A C# program with deeper exception propagation chain. The error occurs in P, and it is handled in Main. Here is what happens when the expression M(table, idx) in line 11 is executed: 1. The method M calls method N , N calls P , and in P an exception is thrown. 2. The error is propagated back from P to Main via N and M , because there are no (relevant) handlers in P , N or M . 3. The exception is handled in Main , and as part of the handling M is called again: M(table, AdjustIndex(idx,0,5)) . 4. As above, M calls N , N calls P , and P calls WriteLine . Now no errors occur. Due to the tracing calls of WriteLine in Main, M, N, and P the output shown in Listing 36.11, in part, confirms the story told about. To obtain the full confirmation, consult Exercise 9.4. 1 2 3 4 5 6 7 8 Main M(table,6) N(table,6) P(table,6) M(table,5) N(table,5) P(table,5) Accessing element 5: 15 Listing 36.11 Output from the C# program deeper exception propagation. Notice the yo-yo effect caused by the error deep in the calling chain. Exercise 9.4. Revealing the propagation of exceptions We have written a program that reveals how exceptions are propagated. In the program output, we see that the calling chain is Main, M, N, P. The program output does not, however, reveal that the chain is followed in reverse order in an attempt to find an appropriate exception handler. Revise the program with handlers in M, N, and P that touch the exception without actually handling it. The handlers should reveal, on standard output, that P, N, and M are passed in an attempt to locate a relevant exception handler. Rethrow the exception in each case.
324 36.8. Raising and throwing exceptions in C# Lecture 9 - slide 23 The IndexOutOfRangeException, which we have worked with in the previous sections, was raised by the system, as part of an illegal array indexing. We will now show how to explicitly raise an exception in our own program. We will also see how to define our own subclass of class ApplicationException. The syntax of throw appears in in Syntax 36.2 and a simple example is shown next in Program 36.12. Notice the athletic metaphor behind throwing and catching. throw exception-object Syntax 36.2 The syntax of exception throwing in C# 1 2 3 ... throw new MyException("Description of problem"); ... Program 36.12 A throw statement in C#. It is simple to define the class MyException as subclass of ApplicationException, which in turn is a subclass of Exception, see Section 36.4. Notice the convention that our own exception classes are subclasses of ApplicationException. 1 2 3 4 5 class MyException: ApplicationException{ public MyException(String problem): base(problem){ } } Program 36.13 Definition of the exception class. It is recommended to adhere to a coding style where the suffixes (endings) of exception class names are "...Exception". 36.9. Try-catch with a finally clause Lecture 9 - slide 24 A try-catch control structure can be ended with an optional finally clause. Thus, we really deal with a try- catch-finally control structure. In this section we will study the finally clause. The syntax of try-catch-finally, shown in Syntax 36.3, is a natural extension of the try-catch control structure illustrated in Syntax 36.1. try-block, catch-block, and finally-block are all block statements. As explained in Section 36.2 is means that braces {...} are mandatory after try, catch, and finally.
325 try try-block catch (exception-type name) catch-block ... finally finally-block Syntax 36.3 The syntax of the try-catch-finally statement C# At least one catch or finally clause must appear in a try statement. The finally clause will be executed in all cases, both in case of errors, in case of error-free execution of try part, and in cases where the control is passed out of try by means of a jumping command. We will now, in Program 36.14 study an example of a try-catch-finally statement. Main of Program 36.14 arranges that M is called (in line 30) for each value in the enumeration type Control (line 6). Inside the static method M we illustrate a number of possible ways out of M: 1. If reason is Returning , M calls return . 2. If reason is Jumping , M calls goto which brings the control outside try-catch-finally. 3. If reason is Continue , continue forces the for loop to the next iteration, which is non-existing. The call of continue leaves the try-catch-finally abruptly. 4. If reason is Breaking , break breaks out of the for loop, and try-catch-finally is left abruptly. 5. If reason is Throwing , an Exception is thrown. The exception is "handled" locally. 6. If reason is 5, the expression (Control)i does not hit a value in the Control enumeration type. This causes execution and termination of the try clause, in particular the execution of WriteLine in line 17. 1 2 3 4 5 6 7 8 9 10 11 12 13 14 15 16 17 18 19 20 21 22 23 24 25 using System; class FinallyDemo{ internal enum Control {Returning, Jumping, Continuing, Breaking, Throwing, Normal} public static void M(Control reason){ for(int i = 1; i <= 1; i++) // a single iteration try{ Console.WriteLine("nEnter try: {0}", reason); if (reason == Control.Returning) return; else if (reason == Control.Jumping) goto finish; else if (reason == Control.Continuing) continue; else if (reason == Control.Breaking) break; else if (reason == Control.Throwing) throw new Exception(); Console.WriteLine("Inside try"); } catch(Exception){ Console.WriteLine("Inside catch"); } finally{ Console.WriteLine("Inside finally"); } finish: return;
326 26 27 28 29 30 31 32 } public static void Main(){ for(int i = 0; i <= 5; i++) M((Control)i); } } Program 36.14 Illustration of try-catch-finally. The outcome of the example in Program 36.14 can be seen in the program output in Listing 36.15. So please take a careful look at it. 1 2 3 4 5 6 7 8 9 10 11 12 13 14 15 16 17 18 19 Enter try: Returning Inside finally Enter try: Jumping Inside finally Enter try: Continuing Inside finally Enter try: Breaking Inside finally Enter try: Throwing Inside catch Inside finally Enter try: Normal Inside try Inside finally Listing 36.15 Output from the try-catch-finally program. As it appears, the finally clause is executed in each of the six cases enumerated above. Thus, it is not possible to bypass a finally clause of a try-catch-finally control structure. The finally clause is executed independent of the way we execute and leave the try clause. You should place code in finally clauses of try-catch-finally or try-finally which should be executed in all cases, both in case or "normal execution", in case of errors, and in case of exit-attempts via jumping commands. 36.10. Rethrowing an exception Lecture 9 - slide 25 We will now study the idea of rethrowing an exception. We have already encountered and discussed exception rethrowing in Section 36.6 (see Program 36.4). • Rethrowing • Preserving information about the original exception, and the call chain • Usually recommended
327 In Program 36.16 we illustrate rethrowing by means of the standard example of this chapter. The situation is as follows: 1. Main calls M , M calls N , N calls P . 2. In P an IndexOutOfRangeException exception is thrown as usual. 3. On its way back the calling chain, the exception is caught in N . But N regrets, and rethrows the exception. 4. The exception is passed unhandled through M and Main . 1 2 3 4 5 6 7 8 9 10 11 12 13 14 15 16 17 18 19 20 21 22 23 24 25 26 27 28 29 30 31 32 33 34 using System; class ExceptionDemo{ public static void Main(){ Console.WriteLine("Main"); int[] table = new int[6]{10,11,12,13,14,15}; int idx = 6; M(table, idx); } public static void M(int[] table, int idx){ Console.WriteLine("M(table,{0})", idx); N(table,idx); } public static void N(int[] table, int idx){ Console.WriteLine("N(table,{0})", idx); try{ P(table,idx); } catch (IndexOutOfRangeException e){ // Will not/cannot handle exception here. // Rethrow original exception. throw; } } public static void P(int[] table, int idx){ Console.WriteLine("P(table,{0})", idx); Console.WriteLine("Accessing element {0}: {1}", idx, table[idx]); } } Program 36.16 Rethrowing an exception. The output of Program 36.16 is shown in Listing 36.17. From the stack trace in Listing 36.17 it does not appear that the static method N actually has touched (and "smelled to") the exception. This is a main point of this example.
328 1 2 3 4 5 6 7 8 9 10 11 12 Main M(table,6) N(table,6) P(table,6) Unhandled Exception: System.IndexOutOfRangeException: Index was outside the bounds of the array. at ExceptionDemo.P(Int32[] table, Int32 idx) at ExceptionDemo.N(Int32[] table, Int32 idx) at ExceptionDemo.M(Int32[] table, Int32 idx) at ExceptionDemo.Main() Listing 36.17 Output from the program that rethrows an exception. Touching, but not handling the exception An outer handler will see the original exception 36.11. Raising an exception in an exception handler Lecture 9 - slide 26 We will now study an alternative to rethrowing, as discussed and illustrated in Program 36.16. • Raising and throwing a new exception • Use this approach if you, of some reason, want to hide the original exception • Security, simplicity, ... • Consider propagation of the inner exception In Program 36.18 we show a program similar to the program discussed in the previous section. Instead of rethrowing the exception in N, we throw a new instance of IndexOutOfRangeException. As can be seen in Listing 36.19 this affects the stack trace. From the outside, we can no longer see that the problem occurred in P. 1 2 3 4 5 6 7 8 9 10 11 12 13 14 15 16 17 using System; class ExceptionDemo{ public static void Main(){ int[] table = new int[6]{10,11,12,13,14,15}; int idx = 6; M(table, idx); } public static void M(int[] table, int idx){ Console.WriteLine("M(table,{0})", idx); N(table,idx); } public static void N(int[] table, int idx){ Console.WriteLine("N(table,{0})", idx);
329 18 19 20 21 22 23 24 25 26 27 28 29 30 31 32 try{ P(table,idx); } catch (IndexOutOfRangeException e){ // Will not/can no handle here. Raise new exception. throw new IndexOutOfRangeException("Index out of range"); } } public static void P(int[] table, int idx){ Console.WriteLine("P(table,{0})", idx); Console.WriteLine("Accessing element {0}: {1}", idx, table[idx]); } } Program 36.18 Raising and throwing a new exception. 1 2 3 4 5 6 7 8 9 M(table,6) N(table,6) P(table,6) Unhandled Exception: System.IndexOutOfRangeException: Index out of range at ExceptionDemo.N(Int32[] table, Int32 idx) at ExceptionDemo.M(Int32[] table, Int32 idx) at ExceptionDemo.Main() Listing 36.19 Output from the program that raises a new exception. As a final option, we may wish to reflect, in relation to the client, that the problem actually occurred in P. This can be done by passing an inner exception to the new exception, as constructed in line 24 of Program 36.20. Notice the effect this has on the stack trace in Listing 36.21. 1 2 3 4 5 6 7 8 9 10 11 12 13 14 15 16 17 18 19 20 21 22 23 24 25 26 27 28 29 using System; class ExceptionDemo{ public static void Main(){ int[] table = new int[6]{10,11,12,13,14,15}; int idx = 6; M(table, idx); } public static void M(int[] table, int idx){ Console.WriteLine("M(table,{0})", idx); N(table,idx); } public static void N(int[] table, int idx){ Console.WriteLine("N(table,{0})", idx); try{ P(table,idx); } catch (IndexOutOfRangeException e){ // Will not/cannot handle exception here. // Raise new exception with propagation of inner exception. throw new IndexOutOfRangeException("Index out of range", e); } } public static void P(int[] table, int idx){ Console.WriteLine("P(table,{0})", idx);
330 30 31 32 33 Console.WriteLine("Accessing element {0}: {1}", idx, table[idx]); } } Program 36.20 Raising and throwing a new exception, propagating original inner exception. 1 2 3 4 5 6 7 8 9 10 11 12 13 M(table,6) N(table,6) P(table,6) Unhandled Exception: System.IndexOutOfRangeException: Index out of range ---> System.IndexOutOfRangeException: Index was outside the bounds of the array. at ExceptionDemo.P(Int32[] table, Int32 idx) at ExceptionDemo.N(Int32[] table, Int32 idx) --- End of inner exception stack trace --- at ExceptionDemo.N(Int32[] table, Int32 idx) at ExceptionDemo.M(Int32[] table, Int32 idx) at ExceptionDemo.Main() Listing 36.21 Output from the program that raises a new exception, with inner exception.
331 36.12. Recommendations about exception handling Lecture 9 - slide 29 We are now almost done with exception handling. We will now formulate a few recommendations that are related to exception handling. • Control flow • Do not use throw and try-catch as iterative or conditional control structures • Normal control flow should be done with normal control structures • Efficiency • It is time consuming to throw an exception • It is more efficient to deal with the problem as a normal program aspect - if possible • Naming • Suffix names of exception classes with "Exception" • Exception class hierarchy • Your own exception classes should be subclasses of ApplicationException • Or alternatively (as of a more recent recommendation) of Exception. • Exception classes • Prefer predefined exception classes instead of programming your own exception classes • Consider specialization of existing and specific exception classes • Catching • Do not catch exceptions for which there is no cure • Leave such exceptions to earlier (outer) parts of the call-chain • Burying • Avoid empty handler exceptions - exception burrying • If you touch an exception without handling it, always rethrow it 36.13. References [Exceptions-best- practices] Best practices for handling exceptions (MSDN) http://msdn.microsoft.com/en-us/library/seyhszts.aspx
332
333 37. Streams We are now about to start the first chapter in the lecture about Input and Output (IO). Traditionally, IO deals with transfer of data to/from secondary storage, most notably disks. IO also covers the transmission of data to/from networks. In this and the following chapters we will study the classes that are related to input and output. This includes file and directory classes. At the abstract level, the Stream class is the most important class in the IO landscape. Therefore we choose to start the IO story with an exploration of streams, and an understanding of the Stream class in C#. This includes several Stream subclasses and several client classes of Stream. The clients we have in mind are the so-called reader and writer classes. 37.1. The Stream Concept Lecture 10 - slide 2 A stream is an abstract concept. A stream is a connection between a program and a storage/network. Essentially, we can read data from the stream into a program, or we can write data from a program to the stream. This understanding of a stream is illustrated in Figure 37.1. Figure 37.1 Reading from and writing to a stream A stream is a flow of data from a program to a backing store, or from a backing store to a program The program can either write to a stream, or read from a stream. Stream and stream processing includes the following: • Reading from or writing to files in secondary memory (disk) • Reading from or writing to primary memory (RAM) • Connection to the Internet • Socket connection between two programs The second item (reading and writing to/from primary memory) seems to be special compared to the others. Sometimes it may be attractive to have files in primary memory, and therefore it is natural that we should be able to use stream operation to access such files as well. In other situations, we wish to use internal data structures as sources or destinations of streams. It is, for instance, typical that we wish to read and write data from/to strings. We will see how this can be done in Section 37.14.
334 37.2. The abstract class Stream in C# Lecture 10 - slide 3 The Stream class in C# is an abstract class (see Section 30.1). It belongs to the System.IO namespace, together with a lot other IO related types. The abstract Stream class provides a generic view on different kinds of sources and destinations, and it isolates client classes from the operating system details of these. The Stream class supports both synchronous and asynchronous IO operations. Client classes that invoke a synchronous operation wait until the operation is completed before they can initiate other operations or actions. Use of a synchronous operation is not a problem if the operation is fast. Many IO operations on secondary storage are, however, very slow seen relative to the speed of the operations on primary storage. Therefore it may in some circumstances be attractive to initiate an IO operation, do something else, and consult the result of the IO operation at a later point in time. In order to provide for this, the Stream class supports the asynchronous IO operations BeginRead and BeginWrite. In the current version of the material we do not cover the asynchronous operations. Let us now look at the most important operations on streams. The italic names refer to abstract methods. The abstract methods will be implemented in non-abstract subclasses of Stream. • int Read (byte[] buf, int pos, int len) • int ReadByte() • void Write (byte[] buf, int pos, int len) • void WriteByte(byte b) • bool CanRead • bool CanWrite • bool CanSeek • long Length • void Seek (long offset, SeekOrigin org) • void Flush () • void Close() In order to use Read you should allocate a byte array and pass (a reference to) this array as the first parameter of Read. The call Read(buf, p, lgt) reads at most lgt bytes, and stores them in buf[p] ... buf[p+lgt-1]. Read returns the actual number of characters read, which can be less than lgt. Write works in a similar way. We assume that a number of bytes are stored in an existing byte array called buf. The call Write(buf, p, lgt) writes lgt bytes, buf[p] ... buf[p+lgt-1], to the stream. As you can see, only ReadByte and WriteByte are non-abstract methods. ReadByte returns the integer value of the byte being read, or -1 in case that the end of the stream has bee encountered. The two operations ReadByte and WriteByte rely on Read and Write. Internally, ReadByte calls Read on a one-byte array, it accesses this byte, and it returns this byte. WriteByte works in a similar way. Based on these informations, it is not surprising that it is recommended to redefine ReadByte and WriteByte in specialized Stream classes. The default implementations of ReadByte and WriteByte are simply too inefficient. The redefinitions should be able to profit from internal buffering. The explanations of Read in relation to ReadByte (and Write in relation to WriteByte) may seem a little surprising. Why not have ReadByte as an abstract method, and Read as a non-abstract method, which once and for all is implemented in class Stream by multiple calls of ReadByte? Such a design seems to be ideal:
335 The task of implementing ReadByte in subclasses is easy, and no subclass should ever need to implement Read. The reason behind the actual design of the abstract Stream class is - of course - efficiency. The basic read and write primitives of streams should provide for efficient reading and writing. It is typically inefficient to read a single byte from a file. On many types of hardware (such as harddisks) we always read many bytes at a time. The design of the read and write operations of stream take advantage of this observation. It is not possible to read, write, and seek in all streams. Therefore it is possible to query a stream for its actual capabilities. The boolean operations (properties) CanRead, CanWrite, CanSeek are used for such querying. The static field Null represents a stream without a backing store. Null is a public static field of type Stream in the abstract class Stream. If you, for some reason, wish to discard the data that you write, you can write it to Stream.Null. You can also read from Stream.Null; This will always give zero as result, however. 37.3. Subclasses of class Stream Lecture 10 - slide 5 The abstract class Stream is the superclass of a number of non-abstract classes. Below we list the most important of these. Like the class Stream, many of the subclasses of Stream belong to the System.IO namespace. • System.IO.FileStream • Provides a stream backed by a file from the operating system • System.IO.BufferedStream • Encapsulates buffering around another stream • System.IO.MemoryStream • Provides a stream backed by RAM memory • System.Net.Sockets.NetworkStream • Encapsulates a socket connection as a stream • System.IO.Compression.GZipStream • Provides stream access to compressed data • System.Security.Cryptography.CryptoStream • Write encrypts and Read decrypts • And others... We show example uses of class FileStream in Section 37.4 and Section 37.6. Please notice, however, that file IO is typically handled through one of the reader and writer classes, which behind the scene delegates the work to a Stream class. We have a lot more to say about the reader and writer classes later in this material. Section 37.9 will supply you with an overview of the reader and writer classes in C#. The class BufferedStream is intended to be used as a so-called decorator of another stream class. In Section 40.1 we discuss the Decorator design pattern. The concrete example of Decorator, which we will discuss in Section 40.2, involves compressed streams. Notice that it is not relevant to use buffering on FileStream, because it natively makes use of buffering.
336 37.4. Example: Filestreams Lecture 10 - slide 6 FileStream IO, as illustrated by the examples in this section, is used for binary input and output. It means that the FileStream operations transfer raw chuncks of bits between the program and the file. The bits are not interpreted. As a contrast, the reader and writer classes introduced in Section 37.9 interpret and transforms the raw binary data to values in C# types. Let us show a couple of very simple programs that write to and read from filestreams. Figure 37.1 writes bytes corresponding to the three characters 'O', 'O', and 'P' to the file myFile.bin. Notice that we do not write characters, but numbers that belong to the simple type byte. The file opening is done via construction of the FileStream object in Create mode. Create is a value in the enumeration type FileMode in the namespace System.IO. File closing is done by the Close method. 1 2 3 4 5 6 7 8 9 10 11 using System.IO; class ReadProg { static void Main() { Stream s = new FileStream("myFile.bin", FileMode.Create); s.WriteByte(79); // O 01001111 s.WriteByte(79); // O 01001111 s.WriteByte(80); // P 01010000 s.Close(); } } Program 37.1 A program that writes bytes corresponding to 'O' 'O' 'P' to a file stream. After having executed the program in Figure 37.1 the file myFile.bin exists. Program 37.2 reads it. We create a FileStream object in Open mode, and we read the individual bytes with use of the ReadByte method. In line 11 and 12 we illustrate what happens if we read beyond the end of the file. We see that ReadByte in that case returns -1. The number -1 is not a value in type byte, which supports the range 0..255. Therefore the type of the value returned by ReadByte is int. 1 2 3 4 5 6 7 8 9 10 11 12 13 14 15 16 17 using System; using System.IO; class WriteProg { static void Main() { Stream s = new FileStream("myFile.bin", FileMode.Open); int i, j, k, m, n; i = s.ReadByte(); // O 79 01001111 j = s.ReadByte(); // O 79 01001111 k = s.ReadByte(); // P 80 01010000 m = s.ReadByte(); // -1 EOF n = s.ReadByte(); // -1 EOF Console.WriteLine("{0} {1} {2} {3} {4}", i, j, k, m, n); s.Close(); } } Program 37.2 A program that reads the written file.
337 37.5. The using control structure Lecture 10 - slide 7 The simple file reading and writing examples in Section 37.4 show that file opening (in terms of creating the FileStream object) and file closing (in terms of sending a Close message to the stream) appear in pairs. This inspires a new control structure which ensures that the file always is closed when we are done with it. The syntax of the using construct is explained below. using (type variable = initializer) body Syntax 37.1 The syntax of the using statement C# The meaning (semantics) of the using construct is the following: • In the scope of using, bind variable to the value of initializer • The type must implement the interface IDisposable • Execute body with the established name binding • At the end of body do variable.Dispose • The Dispose methods in the subclasses of Stream call Close We encountered the interface IDisposable when we studied the interfaces in the C# libraries, see Section 31.4. The interface IDisposable prescribes a single method, Dispose, which in general is supposed to release resources. The abstract class Stream implements IDisposable, and the Dispose method of class Stream calls the Stream Close method. Program 37.3 is a reimplementation of Program 37.1 that illustrates the using construct. Notice that we do not explicitly call Close in Program 37.3. 1 2 3 4 5 6 7 8 9 10 11 using System.IO; class ReadProg { static void Main() { using(Stream s = new FileStream("myFile.txt", FileMode.Create)){ s.WriteByte(79); // O 01001111 s.WriteByte(79); // O 01001111 s.WriteByte(80); // P 01010000 } } } Program 37.3 The simple write-program programmed with 'using'. The following fragment shows what is actually covered by a using construct. Most important, a try-finally construct is involved, see Section 36.9. The use of try-finally implies that Dispose will be called independent of the way we leave body. Even if we attempt to exit body with a jump or via an exception, Dispose will be called.
338 1 2 3 4 5 6 7 8 9 10 11 12 13 14 15 16 // The using statement ... using (type variable = initializer) body // ... is equivalent to the following try-finally statement {type variable = initializer; try { body } finally { if (variable != null) ((IDisposable)variable).Dispose(); } } Program 37.4 The control structure 'using' defined by 'try- finally'. 37.6. More FileStream Examples Lecture 10 - slide 8 We will show yet another simple example of FileStreams, namely a static method that copies one file to another. 1 2 3 4 5 6 7 8 9 10 11 12 13 14 15 16 17 18 19 20 21 22 23 24 25 26 27 28 using System; using System.IO; public class CopyApp { public static void Main(string[] args) { FileCopy(args[0], args[1]); } public static void FileCopy(string fromFile, string toFile){ try{ using(FileStream fromStream = new FileStream(fromFile, FileMode.Open)){ using(FileStream toStream = new FileStream(toFile, FileMode.Create)){ int c; do{ c = fromStream.ReadByte(); if(c != -1) toStream.WriteByte((byte)c); } while (c != -1); } } } catch(FileNotFoundException e){ Console.WriteLine("File {0} not found: ", e.FileName); throw; }
339 29 30 31 32 33 34 35 catch(Exception){ Console.WriteLine("Other file copy exception"); throw; } } } Program 37.5 A FileCopy method in a source file copy-file.cs - uses two FileStreams. Exercise 10.1. A variant of the file copy program The purpose of this exercise is to train the use of the Read method in class Stream, and subclasses of class Stream. Write a variant of the file copy program. Your program should copy the entire file into a byte array. Instead of the method ReadByte you should use the Read method, which reads a number of bytes into a byte array. (Please take careful look at the documentation of Read in class FileStream before you proceed). After this, write out the byte array to standard output such that you can make sure that the file is correctly read. Are you able to read the entire file with a single call to Read? Or do you prefer to read chunks of a certain (maximum) size? 37.7. The class Encoding Lecture 10 - slide 10 Before we study the reader and writer classes we will clarify one important topic, namely encodings. The problem is that a byte (as represented by a value of type byte) and a character (as represented as value of type char) are two different things. In the old days they were basically the same, or it was at least straightforward to convert one to the other. In old days there were at most 256 different characters available at a given point in time (corresponding to a straightforward encoding of a single character in a single byte). Today, the datatype char should be able to represent a wide variety of different characters that belong to different alphabets in different cultures. We still need to represent a character by means of a number of bytes, because a byte is a fundamental unit in most software and in most digital hardware. As a naive approach, we could go for the following solution: We want to be able to represent a maximum of, say, 200000 different characters. For this purpose we need log2(200000) bits, which is 18 bits. If we operate in units if 8 bits (= one byte) we see that we need at least 3 bytes per characters. Most likely, we will go for 4 bytes per character, because it fits much better with the word length of most computers. Thus, the byte size of a text will now be four times the size of an ASCII text. This is not acceptable because it would bloat the representation of text files on secondary disk storage. As of 2007, the Unicode standard defines more than 100000 different characters. Unicode organizes characters in a number of planes of up to 216 (= 65536) characters. The Basic Multilingual Plane - BMP - contains the most common characters.
340 Encodings are invented to solve the problem that we have outlined above. An encoding is a mapping between values of type character (a code point number between 0 and 200000 in our case) to a sequence of bytes. The naive approach outlined above represents a simple encoding, in which we need 4 bytes even for the original ASCII characters. It is attractive, however, if characters in the original, 7-bit ASCII alphabet can be encoded in a single byte. The price of that may very well be that some rarely used characters will need considerable more bytes for their encoding. Let us remind ourselves that in C#, the type char is represented as 16 bit entities (Unicode characters) and that a string is a sequence of values of type char. We have already touched on this in Section 6.1. At the time Unicode was designed, it was hypothesized that 16 bits was enough to to represent all characters in the world. As mentione above, this turned out not to be true. Therefore the type char in C# is not big enough to hold all Unicode characters. The remedy is to use multiple char values for representation of a single Unicode character. We see that history repeats itself... An encoding is a mapping between characters/strings and byte arrays An object of class System.Text.Encoding represents knowledge about a particular character encoding Let us now review the operations in class Encoding:, which is located in the namespace System.Text : • byte[] GetBytes(string) Instance method • byte[] GetBytes(char[]) Instance method • Encodes a string/char array to a byte array relative to the current encoding • char[] GetChars(byte[]) Instance method • Decodes a byte array to a char array relative to the current encoding • byte[] Convert(Encoding, Encoding, byte[]) Static method • Converts a byte array from one encoding (first parameter) to another encoding (second parameter) The method GetBytes implements the encoding in the direction of characters to byte sequences. In concrete terms, the method GetBytes transforms a String or an array of chars to a byte array. The inverse method, GetChars converts an array of bytes to the corresponding array of characters. On a given string str and for a given encoding e e.GetChars(e.GetBytes(str)) corresponds to str. For given encodings e1 and e2, and for some given byte array ba supposed to be encoded in e1, Convert(e1,e2,ba) is equivalent to e2.GetBytes(e1.GetChars(ba)). 37.8. Sample use of class Encoding Lecture 10 - slide 11 Now that we understand the idea behind encodings, let us play a little with them. In Program 37.6 we make a number different encodings, and we convert a given string to some of these encodings. We explain the details after the program.
341 1 2 3 4 5 6 7 8 9 10 11 12 13 14 15 16 17 18 19 20 21 22 23 24 25 26 27 28 29 30 31 32 33 34 35 36 37 38 39 40 41 42 43 44 45 using System; using System.Text; /* Adapted from an example provided by Microsoft */ class ConvertExampleClass{ public static void Main(){ string unicodeStr = // "A æ u å æ ø i æ å" "A u00E6 u u00E5 u00E6 u00F8 i u00E6 u00E5"; // Different encodings. Encoding ascii = Encoding.ASCII, unicode = Encoding.Unicode, utf8 = Encoding.UTF8, isoLatin1 = Encoding.GetEncoding("iso-8859-1"); // Encodes the characters in a string to a byte array: byte[] unicodeBytes = unicode.GetBytes(unicodeStr), asciiBytes = ascii.GetBytes(unicodeStr), utf8Bytes = utf8.GetBytes(unicodeStr), isoLatin1Bytes = utf8.GetBytes(unicodeStr); // Convert from byte array in unicode to byte array in utf8: byte[] utf8BytesFromUnicode = Encoding.Convert(unicode, utf8, unicodeBytes); // Convert from byte array in utf8 to byte array in ascii: byte[] asciiBytesFromUtf8 = Encoding.Convert(utf8, ascii, utf8Bytes); // Decodes the bytes in byte arrays to a char array: char[] utf8Chars = utf8.GetChars(utf8BytesFromUnicode); char[] asciiChars = ascii.GetChars(asciiBytesFromUtf8); // Convert char[] to string: string utf8String = new string(utf8Chars), asciiString = new String(asciiChars); // Display the strings created before and after the conversion. Console.WriteLine("Original string: {0}", unicodeStr); Console.WriteLine("String via UTF-8: {0}", utf8String); Console.WriteLine("Original string: {0}", unicodeStr); Console.WriteLine("ASCII converted string: {0}", asciiString); } } Program 37.6 Sample encodings, conversions, and decodings of a string of Danish characters. In line 7 we declare a sample string, unicodeStr, which we initialize to a string with plenty of national Danish characters. We notate the string with escape notation udddd where d is a hexadecimal digit. We could, as well, have used the string constant in the comment at the end of line 7. In line 11-14 we make a number of instances of class Encoding. Some common Encoding objects can be accessed conveniently via static properties of class Encoding. The UTF-8 encoding can in that way be accessed with Encoding.UTF8. The static method GetEncoding accesses an encoding via the name of the encoding. (In order to get access to all supported encodings, the static method GetEncodings (plural) is useful). The ISO Latin 1 encoding is accessed via use with use of GetEncoding in line 14. In line 17-20 we convert the string unicodeStr to byte arrays in different encodings. For this purpose we use the instance method GetBytes.
342 Next, in line 22-28, we show how to use the static method Convert to convert a byte array in one encoding to a byte array in another encoding. In line 30-32 it is shown how to convert byte arrays in a particular encoding to a char array. It is done by the instance method GetChars. We most probably wish to obtain a string instead of a char array. For that purpose we just use an appropriate String constructor, as shown in line 34-36. In line 38-43 we display the values of utf8String and asciiString, and for comparison we also print the original unicodeStr. The printed result is shown in Listing 37.7. It is not surprising that the national Danish characters cannot be represented in the ASCII character set. The Danish characters are (ambiguously) translated to '?'. 1 2 3 4 Original string: A æ u å æ ø i æ å String via UTF-8: A æ u å æ ø i æ å Original string: A æ u å æ ø i æ å ASCII converted string: A ? u ? ? ? i ? ? Listing 37.7 Output from the Encoding program. Exercise 10.2. Finding the encoding of a given text file Make a UTF-8 text file with some words in Danish. Be sure to use plenty of special Danish characters. You may consider to write a simple C# program to create the file. You may also create the text file in another way. In this exercise you should avoid writing a byte order mark (BOM) in your UTF-8 text file. (A BOM in the UTF-8 text file may short circuit the decoding we are asking for later in the exercise). One way to avoid the BOM is to denote the UTF-8 encoding with new UTF8Encoding(), or equivalently new UTF8Encoding(false). You may want to consult the constructors in class UFT8Encoding for more information. Now write a C# program which systematically - in a loop - reads the text file six times with the following objects of type Encoding: ISO-8859-1, UTF-7, UTF-8, UTF-16 (Unicode), UTF32, and 7 bits ASCII. More concretely, I suggest you make a list of six encoding objects. For each encoding, open a TextReader and read the entire file (with ReadToEnd, for instance) with the current encoding. Echo the characters, which you read, to standard output. You should be able to recognize the correct, matching encoding (UTF-8) when you see it. 37.9. Readers and Writers in C# Lecture 10 - slide 9 In the rest of this chapter we will explore a family of so-called reader and writer classes. In most practical cases one or more of these classes are used for IO purposes instead of a Stream subclass, see Section 37.2. Table 37.1 provides an overview of the reader and writer classes. In the horizontal dimension we have input (readers) and output (writers). In the vertical dimension we distinguish between binary (bits structured as bytes) and text (char/string) IO.
343 Input Output Text TextReader StreamReader StringReader TextWriter StreamWriter StringWriter Binary BinaryReader BinaryWriter Table 37.1 An overview of Reader and Writer classes The class Stream and its subclasses are oriented towards input and output of bytes. In contrast, the reader and writer classes are able to deal with input and output of characters (values of type char) and values of other simple types. Thus, the reader and writer classes operate at a higher level of abstraction than the stream classes. In Section 37.3 we listed some important subclasses of class Stream. We will now discuss how the reader and writer classes in Table 37.1 are related to the stream classes. None of the classes in Table 37.1 inherit from class Stream. Rather, they delegate part of their work to a Stream class. Thus, the reader and writer classes aggregate (have a) Stream class together with other pieces of data. The class StreamReader, StreamWriter, BinaryReader, and BinaryWriter all have constructors that take a Stream class as parameter. In that way, it is possible to build such readers and writes on a Stream class. TextReader and TextWriter in Table 37.1 are abstract classes. Their subclasses StringReader and StringWriter are build on strings rather than on streams. We have more to say about StringReader and StringWriter in Section 37.14. In the following sections we will rather systematically describe the reader and writer classes in Table 37.1, and we will show examples of their use. 37.10. The class TextWriter Lecture 10 - slide 12 In this section we discuss the abstract class TextWriter, and not least its non-abstract subclass StreamWriter. We cover the sibling classes StringWriter and StringReader in Section 37.14. Most important, class TextWriter supports writing of text - characters and strings - via a chosen encoding. Encodings were discussed in Section 37.7. With use of class TextWriter it is also possible to write textual representations of simple types, such as int and double. We illustrate the use of class StreamWriter in Program 37.8. Recall from Table 37.1 that StreamWriter is a non-abstract subclass of class TextWriter. In Program 37.8 we write str and strEquiv (in line 9-10) to three different files. Both strings are identical, they contain a lot of Danish letters, but they are notated differently. It is the same string that we used in Program 37.6 for illustration of encodings. For each of the files we use a particular encoding (see Section 37.7). Notice that we in line 12, 16 and 20 use a StreamWriter constructor that takes a Stream and an encoding as parameters. There a six other constructors to chose from (see below). In line 24-26 we write the two strings to each of the three files. Try out the program, and read the three text files with your favorite text editor. Depending of the capabilities of your editor, you may or may not be able to read them all.
344 1 2 3 4 5 6 7 8 9 10 11 12 13 14 15 16 17 18 19 20 21 22 23 24 25 26 27 28 29 30 31 32 33 using System; using System.IO; using System.Text; public class TextWriterProg{ public static void Main(){ string str = "A æ u å æ ø i æ å", strEquiv = "A u00E6 u u00E5 u00E6 u00F8 i u00E6 u00E5"; TextWriter tw1 = new StreamWriter( // Iso-Latin-1 new FileStream("f-iso.txt", FileMode.Create), Encoding.GetEncoding("iso-8859-1")), tw2 = new StreamWriter( // UTF-8 new FileStream("f-utf8.txt", FileMode.Create), new UTF8Encoding()), tw3 = new StreamWriter( // UTF-16 new FileStream("f-utf16.txt", FileMode.Create), new UnicodeEncoding()); tw1.WriteLine(str); tw1.WriteLine(strEquiv); tw2.WriteLine(str); tw2.WriteLine(strEquiv); tw3.WriteLine(str); tw3.WriteLine(strEquiv); tw1.Close(); tw2.Close(); tw3.Close(); } } Program 37.8 Writing a text string using three different encodings with StreamWriters. You may wonder if knowledge about the applied encoding is somehow represented in the text file. The first few bytes in a text file created from a TextWriter may contain some information about the encoding. StreamWriter calls Encoding.GetPreamble() in order to get a byte array that represents knowledge about the encoding. This byte array is written in the beginning of the text file. This preamble is primarily used to determine the byte order of UTF-16 and UTF-32 encodings. (Two different byte orders are widely used on computers from different CPU manufacturers: Big-endian (most significant byte first) and little-endian (least significant byte first)). The preambles of the ASCII and the ISO Latin 1 encodings are empty. The next program, shown in Program 37.9, first creates a StreamWriter on a given file path (a text string) "simple-types.txt". The default encoding is used. (The default encoding is system/culture dependent. It can be accessed with the static property Encoding.Default). By use of the heavily overloaded Write method it writes an integer, a double, a decimal, and a boolean to the file. Next, from line 15-18, it writes a Point and a Die to a text file named "non-simple-types.txt". As expected, the ToString method is used on the Point and the Die objects. The contents of the two text files are shown in Listing 37.10 (only on web) and Listing 37.11 (only on web). 1 2 3 4 5 6 using System; using System.IO; public class TextSimpleTypes{ public static void Main(){
345 7 8 9 10 11 12 13 14 15 16 17 18 19 20 21 using(TextWriter tw = new StreamWriter("simple-types.txt")){ tw.Write(5); tw.WriteLine(); tw.Write(5.5); tw.WriteLine(); tw.Write(5555M); tw.WriteLine(); tw.Write(5==6); tw.WriteLine(); } using(TextWriter twnst = new StreamWriter("non-simple-types.txt")){ twnst.Write(new Point(1,2)); twnst.WriteLine(); twnst.Write(new Die(6)); twnst.WriteLine(); } } } Program 37.9 Writing values of simple types and objects of our own classes. The following items summarize the operations in class StreamWriter: • 7 overloaded constructors • Parameters involved: File name, stream, encoding, buffer size • StreamWriter(String) • StreamWriter(Stream) • StreamWriter(Stream, Encoding) • others • 17/18 overloaded Write / WriteLine operations • Chars, strings, simple types. Formatted output • Encoding • A property that gets the encoding used for this TextWriter • NewLine • A property that gets/sets the applied newline string of this TextWriter • others Exercise 10.3. Die tossing - writing to text file Write a program that tosses a Die 1000 times, and writes the outcome of the tosses to a textfile. Use a TextWriter to accomplish the task. Write another program that reads the text file. Report the number of ones, twos, threes, fours, fives, and sixes. 37.11. The class TextReader Lecture 10 - slide 15 The class TextReader is an abstract class of which StreamReader is a non-abstract subclass. StreamReader is able to read characters from a byte stream relative to a given encoding. In most respects, the class TextReader is symmetric to class TextWriter. However, there are no Read counterparts to all the overloaded Write methods in TextWriter. We will come back to this observation below.
346 Program 37.12 is a program that reads the text that was produced by Program 37.8. In Program 37.12 we create three TextReader object. They are all based on file stream objects and encodings similar to the ones used in Program 37.8. From each TextReader we read the two strings that we wrote in Program 37.8. It is hardly surprising that we get six instances of the strange string "A æ u å æ ø i æ å". In line 19-21 they are all written to standard output via use of Console.WriteLine. The last half part of Program 37.12 (from line 27) reads the three files as binary information (as raw bytes). The purpose of this reading is to exercise the actual contents of the three files. This is done by opening each of the files via FileStream objects, see Section 37.4. Recall that FileStream allows for binary reading (in terms of bytes) of a file. The function StreamReport (line 39-49) reads each byte of a given FileStream, and it prints these bytes on the console. The output in Listing 37.13 reveals - as expected - substantial differences between the actual, binary contents of the three files. Notice that the ISO Latin 1 file is the shortest, the UTF-8 file is in between, and the UTF-16 file is the longest. 1 2 3 4 5 6 7 8 9 10 11 12 13 14 15 16 17 18 19 20 21 22 23 24 25 26 27 28 29 30 31 32 33 34 35 36 37 38 39 40 41 42 43 44 45 46 47 using System; using System.IO; using System.Text; public class TextReaderProg{ public static void Main(){ TextReader tr1 = new StreamReader( new FileStream("f-iso.txt", FileMode.Open), Encoding.GetEncoding("iso-8859-1")), tr2 = new StreamReader( new FileStream("f-utf8.txt", FileMode.Open), new UTF8Encoding()), tr3 = new StreamReader( // UTF-16 new FileStream("f-utf16.txt", FileMode.Open), new UnicodeEncoding()); Console.WriteLine(tr1.ReadLine()); Console.WriteLine(tr1.ReadLine()); Console.WriteLine(tr2.ReadLine()); Console.WriteLine(tr2.ReadLine()); Console.WriteLine(tr3.ReadLine()); Console.WriteLine(tr3.ReadLine()); tr1.Close(); tr2.Close(); tr3.Close(); // Raw reading of the files to control the contents at byte level FileStream fs1 = new FileStream("f-iso.txt", FileMode.Open), fs2 = new FileStream("f-utf8.txt", FileMode.Open), fs3 = new FileStream("f-utf16.txt", FileMode.Open); StreamReport(fs1, "Iso Latin 1"); StreamReport(fs2, "UTF-8"); StreamReport(fs3, "UTF-16"); fs1.Close(); fs2.Close(); fs3.Close(); } public static void StreamReport(FileStream fs, string encoding){ Console.WriteLine(); Console.WriteLine(encoding); int ch, i = 0; do{ ch = fs.ReadByte(); if (ch != -1) Console.Write("{0,4}", ch);
347 48 49 50 51 52 53 54 i++; if (i%10 == 0) Console.WriteLine(); } while (ch != -1); Console.WriteLine(); } } Program 37.12 Reading back the text strings encoded in three different ways, with StreamReader. 1 2 3 4 5 6 7 8 9 10 11 12 13 14 15 16 17 18 19 20 21 22 23 24 25 26 27 28 29 30 A æ u å æ ø i æ å A æ u å æ ø i æ å A æ u å æ ø i æ å A æ u å æ ø i æ å A æ u å æ ø i æ å A æ u å æ ø i æ å Iso Latin 1 65 32 230 32 117 32 229 32 230 32 248 32 105 32 230 32 229 13 10 65 32 230 32 117 32 229 32 230 32 248 32 105 32 230 32 229 13 10 UTF-8 65 32 195 166 32 117 32 195 165 32 195 166 32 195 184 32 105 32 195 166 32 195 165 13 10 65 32 195 166 32 117 32 195 165 32 195 166 32 195 184 32 105 32 195 166 32 195 165 13 10 UTF-16 255 254 65 0 32 0 230 0 32 0 117 0 32 0 229 0 32 0 230 0 32 0 248 0 32 0 105 0 32 0 230 0 32 0 229 0 13 0 10 0 65 0 32 0 230 0 32 0 117 0 32 0 229 0 32 0 230 0 32 0 248 0 32 0 105 0 32 0 230 0 32 0 229 0 13 0 10 0 Listing 37.13 Output from the program that reads back the strings encoded in three different ways. Below, in Program 37.14, we show a program that reads the values from the file "simple-types.txt", as written by Program 37.9. Notice that we read a line at a time using the ReadLine method of StreamReader. ReadLine returns a string, which we parse by the static Parse methods in the structs Int32, Double, Decimal, and Boolean respectively. There are no dedicated methods in class StreamReader for reading the textual representations of integers, doubles, decimals, booleans, etc. The output of Program 37.14 is shown in Listing 37.15 (only on web).
348 1 2 3 4 5 6 7 8 9 10 11 12 13 14 15 16 17 18 using System; using System.IO; public class TextSimpleTypes{ public static void Main(){ using(TextReader twst = new StreamReader("simple-types.txt")){ int i = Int32.Parse(twst.ReadLine()); double d = Double.Parse(twst.ReadLine()); decimal m = Decimal.Parse(twst.ReadLine()); bool b = Boolean.Parse(twst.ReadLine()); Console.WriteLine("{0} n{1} n{2} n{3}", i, d, m, b); } } } Program 37.14 A program that reads line of text and parses them to values of simple types. As we did for class TextWriter in Section 37.10 we summarize the operations in class TextReader below: • 10 StreamReader constructors • Similar to the StreamWriter constructors • StreamReader(String) • StreamReader(Stream) • StreamReader(Stream, bool) • StreamReader(Stream, Encoding) • others • int Read() Reads a single character. Returns -1 if at end of file • int Read(char[], int, int) Returns the number of characters read • int Peek() • String ReadLine() • String ReadToEnd() • CurrentEncoding • A property that gets the encoding of this StreamReader The method Read reads a single character; It returns -1 if the file is positioned at the end of the file. The Read method that accepts three parameters is similar to the Stream method of the same name, see Section 37.2. As such, it reads a number of characters into an already allocated char array (which is passed as the first parameter of Read). Peek reads the next available character without advancing the file position. You can use the method to look a little ahead of the actual reading. As we have seen, ReadLine reads characters until an end of line character is encountered. Similarly, ReadToEnd reads the rest of stream - from the current position until the end of the file - and returns it as a string. ReadToEnd is often convenient if you wish to get access to a text file as a (potentially large) text string.
349 37.12. The class BinaryWriter Lecture 10 - slide 18 In this section we will study a writer class which produces binary data. As such, a binary writer is similar to a FileStream used in write access mode, see Section 37.4. The justification of BinaryWriter is, however, that it supports a heavily overloaded Write method just like the class TextWriter did. The Write methods can be applied on most simple data types. The Write methods of BinaryWriter produce binary data, not characters. Encodings, see Section 37.7, played important roles for TextReader and TextWriter. Encodings only play a minimal role in BinaryWriter; Encodings are only used when we write characters to the binary file. Below, in Program 37.16 we show a program similar to Program 37.9. We write four values of different simple types to a file with use of a BinaryWriter. In comments of the program we show the expected number of bytes to be written. With use of a FileInfo object (see Section 38.1) we check our expectations in line 18-19. The output of the program is 29, as expected. 1 2 3 4 5 6 7 8 9 10 11 12 13 14 15 16 17 18 19 20 21 22 using System; using System.IO; public class BinaryWriteSimpleTypes{ public static void Main(){ string fn = "simple-types.bin"; using(BinaryWriter bw = new BinaryWriter( new FileStream(fn, FileMode.Create))){ bw.Write(5); // 4 bytes bw.Write(5.5); // 8 bytes bw.Write(5555M); // 16 bytes bw.Write(5==6); // 1 bytes } FileInfo fi = new FileInfo(fn); Console.WriteLine("Length of {0}: {1}", fn, fi.Length); } } Program 37.16 Use of a BinaryWriter to write some values of simple types. The following operations are supplied by BinaryWriter: • Two public constructors • BinaryWriter(Stream) • BinaryWriter(Stream, Encoding) • 18 overloaded Write operations • One for each simple type • Write(char), Write(char[]), and Write(char[], int, int) - use Encoding • Write(string) - use Encoding • Write(byte[]) and Write(byte[], int, int) • Seek(int offset, SeekOrigin origin) • others
350 The second constructor allows for registration of an encoding, which is used if we write characters as binary data. The Write methods, which accepts an array as first parameter together with two integers as second and third parameters, write a section of the involved arrays. Exercise 10.4. Die tossing - writing to a binary file This exercise is a variant of the die tossing and file writing exercise based on text files. Modify the program to use a BinaryWriter and a BinaryReader. Take notice of the different sizes of the text file from the previous exercise and the binary file from this exercise. Explain your observations. 37.13. The class BinaryReader Lecture 10 - slide 20 The class BinaryReader is the natural counterpart to BinaryWriter. Both of them deal with input from and output to binary data (in contrast to text in some given encoding). The following program reads the binary file produced by Program 37.16. It produces the expected output, see Program 37.16 (only on web). 1 2 3 4 5 6 7 8 9 10 11 12 13 14 15 16 17 18 19 20 21 22 23 24 25 using System; using System.IO; public class BinaryReadSimpleTypes{ public static void Main(){ string fn = "simple-types.bin"; using(BinaryReader br = new BinaryReader( new FileStream(fn, FileMode.Open))){ int i = br.ReadInt32(); double d = br.ReadDouble(); decimal dm = br.ReadDecimal(); bool b = br.ReadBoolean(); Console.WriteLine("Integer i: {0}", i); Console.WriteLine("Double d: {0}", d); Console.WriteLine("Decimal dm: {0}", dm); Console.WriteLine("Boolean b: {0}", b); } } } Program 37.17 Use of a BinaryReader to write the values written by means of the BinaryWriter. The following gives an overview of the operations in the class BinaryReader:
351 • Two public constructors • BinaryReader(Stream) • BinaryReader(Stream, Encoding) • 15 individually name Readtype operations • ReadBoolean, ReadChar, ReadByte, ReadDouble, ReadDecimal, ReadInt16, ... • Three overloaded Read operations • Read() and Read (char[] buffer, int index, int count) read characters - using Encoding • Read (bytes[] buffer, int index, int count) reads bytes The most noteworthy observation is that there exist a large number of specifically named operations (such as ReadInt32 and ReadDouble) through which it is possible to read the binary representations of values in simple types. 37.14. The classes StringReader and StringWriter Lecture 10 - slide 22 StringReader is a non-abstract subclass of TextReader. Similarly, StringWriter is a non-abstract subclass of TextWriter. Table 37.1 gives you an overview of these classes. The idea of StringReader is to use traditional stream/file input operations for string access, and to use traditional stream/file output operations for string mutation. Thus, relative to Figure 37.1 the source and destinations of reading and writing will be strings. A StringReader can be constructed on a string. A StringWriter, however, cannot be constructed on a string, because strings are non-mutable in C#, see Section 6.4. Therefore a StringWriter object is constructed on an instance of StringBuilder. In Program 37.19 we illustrate, in concrete terms, how to make a StringWriter on the StringBuilder referred by the variable sb (see line 9). In line 11-17 we iterate five times through the for loop, with increasing integer values in the variable i. In total, the textual representations of 20 simple values are written to the StringBuilder object. The content of the StringBuilder object is printed in line 19. The output of Program 37.19 is shown in Program 37.20 (only on web). 1 2 3 4 5 6 7 8 9 10 11 12 13 14 15 16 using System; using System.IO; using System.Text; public class TextSimpleTypes{ public static void Main(){ StringBuilder sb = new StringBuilder(); // A mutable string using(TextWriter tw = new StringWriter(sb)){ for (int i = 0; i < 5; i++){ tw.Write(5 * i); tw.WriteLine(); tw.Write(5.5 * i); tw.WriteLine(); tw.Write(5555M * i); tw.WriteLine(); tw.Write(5 * i == 6); tw.WriteLine();}
352 17 18 19 20 21 22 } Console.WriteLine(sb); } } Program 37.19 A StringWriter program similar to the StreamReader program shown earlier. Symmetrically, we illustrate how to read from a string. In Program 37.21 we make a string str with broken lines in line 8-11. With use of a StringReader built on str we read an integer, a double, a decimal, and a boolean value. The output is shown in Program 37.22 (only on web). 1 2 3 4 5 6 7 8 9 10 11 12 13 14 15 16 17 18 19 20 21 22 23 using System; using System.IO; public class TextSimpleTypes{ public static void Main(){ string str = "5" + "n" + "5,5" + "n" + "5555,0" + "n" + "false"; using(TextReader tr = new StringReader(str)){ int i = Int32.Parse(tr.ReadLine()); double d = Double.Parse(tr.ReadLine()); decimal m = Decimal.Parse(tr.ReadLine()); bool b = Boolean.Parse(tr.ReadLine()); Console.WriteLine("{0} n{1} n{2} n{3}", i, d, m, b); } } } Program 37.21 A StringReader program. The use of StringWriter and StringReader objects for accessing the characters in strings is an attractive alternative to use of the native String and StringBuilder operations. It is, in particular, attractive and convenient that we can switch from a file source/destination to a string source/destination. In that way existing file manipulation programs may be used directly as string manipulation programs. The only necessary modification of the program is a replacement of a StreamReader with StringReader, or a replacement of StreamWriter with a StringWriter. Be sure to use the abstract classes TextReader and TextWriter as much as possible. You should only use StreamReader/StringReader and StreamWriter/StringWriter for instantiation purposes in the context of a constructor (such as line 11 of Program 37.19 and line 13 of Program 37.21).
353 37.15. The Console class Lecture 10 - slide 23 We have used static methods in the Console class in almost all our programs. It is now time to examine the Console class a little closer. In contrast to most other IO related classes, the Console class resides in the System namespace, and not in System.IO. The Console class encapsulates three streams: standard input, standard output, and standard error. The static property In, of type TextReader, represents standard input. The static properties Out and Error represent standard output and standard error respectively, and they are both of type TextWriter. Recall in this context that TextReader and TextWriter are both abstract classes, see Section 37.9. 1 2 3 4 5 6 7 8 9 10 11 12 13 14 15 16 17 18 19 20 21 22 23 24 25 26 27 28 29 30 31 32 33 34 35 using System; using System.IO; class App{ public static void Main(string[] args){ TextWriter standardOutput = Console.Out; StreamWriter myOut = null, myError = null; if (args.Length == 2) { Console.Out.WriteLine("Redirecting std output and error to files"); myOut = new StreamWriter(args[0]); Console.SetOut(myOut); myError = new StreamWriter(args[1]); Console.SetError(myError); } else { Console.Out.WriteLine("Keeping standard output and error unchanged"); } // Output from this section of the program may be redirected Console.Out.WriteLine("Text to std output - by Console.Out.WriteLine"); Console.WriteLine("Text to standard output - by Console.WriteLine(...)"); Console.Error.WriteLine("Error msg - by Console.Error.WriteLine(...)"); if (args.Length == 2) { myOut.Close(); myError.Close(); } Console.SetOut(standardOutput); Console.Out.WriteLine("Now we are back again"); Console.Out.WriteLine("Good Bye"); } } Program 37.23 A program that redirects standard output and standard error to a file. In the program shown above it is demonstrated how to control standard output and standard error. If we pass two program arguments (args in line 6) to Program 37.23 we redirect standard output and standard error to specific files (instances of StreamWriter) in line 13-17. That is the main point, which we wish to illustrate in Program 37.23. Below we supply an overview of the methods and properties of the Console class. The Console class is static. As such, all methods and properties in class Console are static. There will never be objects of type Console around. The Console class offers the following operations:
354 • Access to and control of in, out, and error • Write, WriteLine, Read, and ReadLine methods • Shortcuts to out.Write, out.WriteLine, in.Read, and in.ReadLine • Many properties and methods that control the underlying buffer and window • Size, colors, and positions • Immediate, non-blocking input from the Console • The property KeyAvailable returns if a key is pressed (non-blocking) • ReadKey() returns info about the pressed key (blocking) • Other operations • Clear(), Beep(), and Beep(int, int) methods.
355 38. Directories and Files The previous chapter was about streams, and as such also about files. In this chapter we will deal with the properties of files beyond reading and writing. File copying, renaming, creation time, existence, and deletion represent a few of these. In addition to files we will also in this chapter discuss directories. 38.1. The File and FileInfo classes Lecture 10 - slide 26 Two overlapping file-related classes are available to the C# programmer: FileInfo and File. Both classes belong to the namespace System.IO. Objects of class FileInfo represents a single file, created on the basis of the name or path of the file (which is a string). The class File contains static methods for file manipulation. Class File is static, see Section 11.12, and as such there can be no instances of class File. If you intend to write object-oriented programs with file manipulation needs it is recommended that you represent files as instances of class FileInfo. Let us right away write a program which illustrates how to use instances of class FileInfo for representation of files. All aspects related to class FileInfo is shown in purple in Program 38.1. 1 2 3 4 5 6 7 8 9 10 11 12 13 14 15 16 17 18 19 20 21 22 23 24 25 26 27 28 29 30 31 32 33 34 35 36 37 using System; using System.IO; public class FileInfoDemo{ public static void Main(){ // Setting up file names string fileName = "file-info.cs", fileNameCopy = "file-info-copy.cs"; // Testing file existence FileInfo fi = new FileInfo(fileName); // this source file Console.WriteLine("{0} does {1} exist", fileName, fi.Exists ? "" : "not"); // Show file info properties: Console.WriteLine("DirectoryName: {0}", fi.DirectoryName); Console.WriteLine("FullName: {0}", fi.FullName); Console.WriteLine("Extension: {0}", fi.Extension); Console.WriteLine("Name: {0}", fi.Name); Console.WriteLine("Length: {0}", fi.Length); Console.WriteLine("CreationTime: {0}", fi.CreationTime); // Copy one file to another fi.CopyTo(fileNameCopy); FileInfo fiCopy = new FileInfo(fileNameCopy); // Does the copy exist? Console.WriteLine("{0} does {1} exist", fileNameCopy, fiCopy.Exists ? "" : "not"); // Delete the copy again fiCopy.Delete(); // Does the copy exist? Console.WriteLine("{0} does {1} exist", fileNameCopy, fiCopy.Exists ? "" : "not"); // !!??
356 38 39 40 41 42 43 44 45 46 47 48 49 50 51 52 // Create new FileInfo object for the copy FileInfo fiCopy1 = new FileInfo(fileNameCopy); // Check if the copy exists? Console.WriteLine("{0} does {1} exist", fileNameCopy, fiCopy1.Exists ? "" : "not"); // Achieve a TextReader (StreamReader) from the file info object // and echo the lines in the file to standard output using(StreamReader sr = fi.OpenText()){ for (int i = 1; i <= 10; i++) Console.WriteLine(" " + sr.ReadLine()); } } } Program 38.1 A demonstration of the FileInfo class. In line 12 we create a FileInfo object on the source file of the C# program text shown in Program 38.1. In line 13-14 we report on the existence of this file in the file system. (We expect existence, of course). In line 16-22 we access various properties (in the sense of C# properties, see Chapter 18) of the FileInfo object. In line 25 we copy the file, and in line 30 we check the existence of the copy. In line 33 we delete the copy, and in line 37 we check the existence of copy again. Against our intuition, we find out that the copy of the file still exists after its deletion. (See next paragraph for an explanation). If, however, we establish a fresh FileInfo object on the path to the deleted file, we get the expected result. In line 45-50 we use the OpenText method of the FileInfo object to establish a TextReader on the file. Via a number of ReadLine activations in line 49 we demonstrate that we can read the contents of the file. The file existence problem described above occurs because the instance of class FileInfo and the state of the underlying file system become inconsistent. The instance method Refresh of class FileInfo can be used to update the FileInfo object from the information in the operating system. If you need trustworthy information about your files, you should always call the Refresh operation before you access any FileInfo attribute. If we call fiCopy.Refresh() in line 34, the problem observed in line 37 vanishes. The output of Program 38.1 is shown in Listing 38.2 (only on web). The following gives an overview of some selected operations in class FileInfo: • A single constructor • FileInfo(string) • Properties (getters) that access information about the current file • Examples: Length, Extension, Directory, Exists, LastAccessTime • Stream, reader, and writer factory methods: • Examples: Create, AppendText, CreateText, Open, OpenRead, OpenWrite, OpenText • Classical file manipulations • CopyTo, Delete, MoveTo, Replace • Others • Refresh, ... The parameter of the FileInfo constructor is an absolute or relative path to a file. The file path must be well-formed according to a set of rules described in the class documentation. As examples, the file paths "c:temp c:user" and " dir1dir2file.dat" are both malformed.
357 We have also written af version of Program 38.1 in which we use the static class File instead of FileInfo, see Program 38.3. We do not include this program, nor the listing of its output, in the paper edition of the material. We notice that the file existence frustrations in Program 38.1 (of the deleted file) do not appear when we use the static operations of the static class File. There is a substantial overlap between the instance methods of class FileInfo and the static methods in class File 38.2. The Directory and DirectoryInfo classes Lecture 10 - slide 28 The classes DirectoryInfo and Directory are natural directory counterparts of the classes FileInfo and File, as described in Section 38.1. In this section we will show an example use of class DirectoryInfo, and we will provide an overview of the members in the class. Like for files, an instance of class DirectoryInfo is intended to represent a given directory of the underlying file system. We recommend that you use the class DirectoryInfo, rather than the static class Directory, when you write object-oriented programs. It is worth noticing that the classes FileInfo and DirectoryInfo have a common abstract, superclass class FileSystemInfo. Here follows a short program that use an instance of class DirectoryInfo for representation of a given directory from the underlying operating system. 1 2 3 4 5 6 7 8 9 10 11 12 13 14 15 16 17 18 19 20 21 22 23 24 25 26 27 28 using System; using System.IO; public class DirectoryInfoDemo{ public static void Main(){ string fileName = "directory-info.cs"; // The current source file // Get the DirectoryInfo of the current directory // from the FileInfo of the current source file FileInfo fi = new FileInfo(fileName); // This source file DirectoryInfo di = fi.Directory; Console.WriteLine("File {0} is in directory n {1}", fi, di); // Get the files and directories in the parent directory. FileInfo[] files = di.Parent.GetFiles(); DirectoryInfo[] dirs = di.Parent.GetDirectories(); // Show the name of files and directories on the console Console.WriteLine("nListing directory {0}:", di.Parent.Name); foreach(DirectoryInfo d in dirs) Console.WriteLine(d.Name); foreach(FileInfo f in files) Console.WriteLine(f.Name); } } Program 38.5 A demonstration of the DirectoryInfo class.
358 Like in Program 38.3 the starting point in Program 38.5 is a FileInfo object that represents the source file shown in Program 38.5. Based on the FileInfo object, we create a DirectoryInfo object in line 12. This DirectoryInfo object represents the directory in which the actual source file resides. Let us call it the current directory . In line 17 we illustrate the Parent property and the GetFiles method; We create an array, files, of FileInfo object of the parent directory of the current directory. Thus, this array holds all files of the parent of current directory. Similarly, dirs declared in line 18 is assigned to hold all directories of the parent of current directory. We print these files and directories in line 20-25. The output of Program 38.5 (only on web) is shown in Listing 38.6 (only on web). A similar program, programmed with use of the static operations in class Directory, is shown in Program 38.7 (only on web). The following shows an overview of the instance properties and instance methods in class DirectoryInfo: • A single constructor • DirectoryInfo(string) • Properties (getters) that access information about the current directory • Examples: CreationTime, LastAccessTime, Exists, Name, FullName • Directory Navigation operations • Up: Parent, Root • Down: GetDirectories, GetFiles, GetFileSystemInfo (all overloaded) • Classical directory manipulations • Create, MoveTo, Delete • Others • Refresh, ... The constructor takes a directory path string as parameter. It is possible to create a DirectoryInfo object on a string that represents a non-existing directory path. Like file paths, the given directory path must be well- formed (according to rules stated in the class documentation). The downwards directory navigation operations GetDirectories, GetFiles, and GetFileSystemInfo are able to filter their results (with use of strings with wildcards, such as "temp*", which match all files/directories whose names start with "temp"). It is also possible to specify if the operations should access direct files/directories, or if they should access direct as well as indirect file/directories. As for File and FileInfo, there is substantial overlap between the classes Directory and DirectoryInfo
359 39. Serialization In this material we care about object-oriented programming. All our data are encapsulated in objects. When we deal with IO it is therefore natural to look for solutions that help us with output and input of objects. For each class C it is possible to decide a storage format. The storage format of class C tells which pieces of data in C instances to save on secondary storage. The details of the storage format need to be decided. This involves (1) which fields to store, (2) the sequence of fields in the stored representation, and (3) use of a binary or a textual representation. However, as long as we have pairs of WriteObject and ReadObject operations for which ReadObject(WriteObject(C-object)) is equivalent to C-object the details of the storage format are of secondary interest. Instances of class C may have references to instances of other classes, say D and E. In general, an instance of class C may be part of an object graph in which we find C-object, D-object, E-objects as well as objects of other types. We soon realize that the real problem is not how to store instances of C in isolation. Rather, the problem is how to store an object network in which C-objects take part (or in which a C-object is a root). People who have devised a storage format for a class C, who have written then WriteObject and ReadObject operations for class C, and who have dealt with the IO problem of object graphs quickly realize that the invented solutions generalizes to arbitrary classes. Thus, instead of solving the object IO problem again and again for specific classes, it is attractive to solve the problem at a general level, and make the solution available for arbitrary classes. This is exactly what serialization is about. The serialization problem has been solved by the implementers of C#. It is therefore easy for the C# programmer to save and retrieve objects via serialization. 39.1. Serialization Lecture 10 - slide 31 Serialization provides for input and output of a network of objects. Serialization is about object output, and deserialization is about object input. • Serialization • Writes an object o to a file • Also writes the objects referred from o • Deserialization • Reads a serialized file in order to reestablish the serialized object o • Also reestablishes the network of objects originally referred from o Serialization of objects is, in principle, simple to deal with from C#. There are, however, a couple of circumstances that complicate the matters: • The need to control or customize the serialization and the deserialization of objects of specific types. • The support of more than one C# technique to obtain the same serialization or deserialization effect. The need to control (customize) the details of serialization and deserialization is unavoidable, at least when the ideas should be applied on real-life examples.
360 The support of several different techniques for doing serialization is due to the development of C#. In C# 2.0 serialization relies almost exclusively on the use of serialization and deserialization attributes. In C# 1.0 it was also necessary to implement certain interfaces to control and customize the serialization. In this version of the material, we only describe serialization controlled by attributes. • Serialization and deserialization is supported via classes that implement the Iformatter interface: • BinaryFormatter and SoapFormatter • Methods in Iformatter: • Serialize and Deserialize In the following section we will discuss an example that uses BinaryFormatter. 39.2. Examples of Serialization in C# Lecture 10 - slide 32 Below we show the class Person and class Date, similar to the ones we used for illustration of privacy leaks in Section 16.5. Class Person in Program 39.1 encapsulates a name and two date objects: birth date and death date. For a person still alive, the death date refer to null. Redundantly, the age instance variable holds the age of the person. The Update method can be used to update the age variable. The Date class shown in Program 39.2 is a very simple implementation of a date class. (In the paper version of the material we only show an outline of the Date class. The complete version is available in the web version). The Person class relies on the Date. We use class Date for illustration of serialization; In real life you should always use the struct DateTime. The Date class encapsulates year, month, and day. In addition it holds a nameOfDay instance variable (with values such as Sunday or Monday), which is redundant. With appropriate calendar knowledge, the nameOfDay can be calculated from year, month, and day. The Person class needs age calculation, which is provided by the YearDiff method of class Date. Internally in class Date, YearDiff relies on the methods IsBefore and Equals. (Equals is defined according the standard recommendations, see Section 28.16. We have not, in this class, included a redefinition of GetHashCode and therefore we get a warning from the compiler when class Date is compiled. ) The redundancy is class Person and class Date is introduced on purpose, because it helps us illustrate the serialization control in Program 39.2. In most circumstances we would avoid such redundancy, at least in simple classes. The preparation of class Person and class Date for serialization is very simple. We mark both classes with the attribute [Serializable], see line 3 in both classes. As of now you can consider [Serializable] as some magic, special purpose notation. In reality [Serializable] represents application of an attribute. When we are done with serialization we have seen several uses of attributes, and therefore we will be motivated to understand the general ideas of attributes in C#. We discuss the general ideas behind attributes in Section 39.6. Please notice that in the paper version of this material most program examples have been abbreviated. The full details of all examples appear in the web version of the material.
361 1 2 3 4 5 6 7 8 9 10 11 12 13 14 15 16 17 18 19 20 21 22 23 24 25 26 27 28 29 30 31 32 33 34 35 36 37 38 39 40 41 42 43 44 using System; [Serializable] public class Person{ private string name; private int age; // Redundant private Date dateOfBirth, dateOfDeath; public Person (string name, Date dateOfBirth){ this.name = name; this.dateOfBirth = dateOfBirth; this.dateOfDeath = null; age = Date.Today.YearDiff(dateOfBirth); } public Date DateOfBirth { get {return new Date(dateOfBirth);} } public int Age{ get {return Alive ? age : dateOfDeath.YearDiff(dateOfBirth);} } public bool Alive{ get {return dateOfDeath == null;} } public void Died(Date d){ dateOfDeath = d; } public void Update(){ age = Date.Today.YearDiff(dateOfBirth); } public override string ToString(){ return "Person: " + name + " *" + dateOfBirth + (Alive ? "" : " +" + dateOfDeath) + " Age: " + age; } } Program 39.1 The Person class - Serializable. 1 2 3 4 5 6 7 8 9 10 11 12 13 14 15 16 17 18 19 using System; [Serializable] public class Date{ private ushort year; private byte month, day; private DayOfWeek nameOfDay; // Redundant public Date(int year, int month, int day){ this.year = (ushort)year; this.month = (byte)month; this.day = (byte)day; this.nameOfDay = (new DateTime(year, month, day)).DayOfWeek; } public Date(Date d){ this.year = d.year; this.month = d.month; this.day = d.day; this.nameOfDay = d.nameOfDay; }
362 20 21 22 23 24 25 26 27 28 29 30 31 32 33 34 35 36 37 38 39 40 41 42 43 44 45 46 public int Year{get{return year;}} public int Month{get{return month;}} public int Day{get{return day;}} // return this minus other, as of usual birthday calculations. public int YearDiff(Date other){ // ... } public override bool Equals(Object obj){ // ... } // Is this date less than other date public bool IsBefore(Date other){ // ... } public static Date Today{ // ... } public override string ToString(){ return string.Format("{0} {1}.{2}.{3}", nameOfDay, day, month, year); } } Program 39.2 An outline of the Date class - Serializable. In Program 39.3 it is illustrated how to serialize and deserialize a graph of objects. The graph, which we serialize, consists of one Person and the two Date objects referred by the Person object. The serialization, which takes place in line 13-17, is done by sending the Serialize message to the BinaryFormatter object. The serialization relies on a binary stream, as represented by an instance of class FileStream, see Section 37.4. The deserialization, as done in line 24-28, will in most real-life settings be done in another program. In our example we reset the program state in line 19-22 before the deserialization. The actual deserialization is done by sending the Deserialize message to the BinaryFormatter object. As in the serialization, the file stream with the binary data, is passed as a parameter. 1 2 3 4 5 6 7 8 9 10 11 12 13 14 15 16 17 18 19 20 using System; using System.IO; using System.Runtime.Serialization; using System.Runtime.Serialization.Formatters.Binary; class Client{ public static void Main(){ Person p = new Person("Peter", new Date(1936, 5, 11)); p.Died(new Date(2007,5,10)); Console.WriteLine("{0}", p); using (FileStream strm = new FileStream("person.dat", FileMode.Create)){ IFormatter fmt = new BinaryFormatter(); fmt.Serialize(strm, p); } // ----------------------------------------------------------- p = null;
363 21 22 23 24 25 26 27 28 29 30 31 32 33 Console.WriteLine("Reseting person"); // ----------------------------------------------------------- using (FileStream strm = new FileStream("person.dat", FileMode.Open)){ IFormatter fmt = new BinaryFormatter(); p = fmt.Deserialize(strm) as Person; } Console.WriteLine("{0}", p); } } Program 39.3 The Person client class - applies serialization and deserialization. The program output shown in Listing 39.4 tells that the Person object and the two Date objects have survived the serialization and deserialization processes. In between the two output lines in line 11 and line 30 of Program 39.3 the three objects have been transferred to and reestablished from the binary file. 1 2 3 Person: Peter *Monday 11.5.1936 +Thursday 10.5.2007 Age: 71 Reseting person Person: Peter *Monday 11.5.1936 +Thursday 10.5.2007 Age: 71 Listing 39.4 Output of the Person client class. Exercise 10.5. Serializing with an XML formatter In the programs shown on the accompanying slide we have used a binary formatter for serialization of Person and Date object. Modify the client program to use a so-called Soap formatter in the namespace System.Runtime.Serialization.Formatters.Soap. SOAP is an XML language intended for exchange of XML documents. SOAP is related to the discipline of web services in the area of Internet technology. After the serialization you should take a look at the file person.dat, which is written and read by the client program. 39.3. Custom Serialization Lecture 10 - slide 33 In the Person and Date classes, shown in Section 39.2, the redundant instance variables do not need to be serialized. In class Person, age does need to be serialized because it can be calculated from dateOfBirth and dateOfDeath. In class Date, nameOfDay does need to serialized because it can calculated from calendar knowledge. In relation to serialization and persistence, we say that these two instance variables are transient. It is sufficient to serialize the essential information, and to reestablish the values of the transient instance variables after deserialization. In Program 39.5 and Program 39.6 we show the serialization and the deserialization respectively. The serialization is controlled by marking some fields (instance variables) as [NonSerialized], see line 9 of Program 39.5 and line 9 of Program 39.6.
364 The deserialization is controlled by a method marked with the attribute [OnDeserialized()], see line 21 of Program 39.5. This method is called when deserialization takes place. The method starting at line 21 of Program 39.5 assigns the redundant age variable of a Person object. 1 2 3 4 5 6 7 8 9 10 11 12 13 14 15 16 17 18 19 20 21 22 23 24 25 26 27 28 29 using System; using System.Runtime.Serialization; [Serializable] public class Person{ private string name; [NonSerialized()] private int age; private Date dateOfBirth, dateOfDeath; public Person (string name, Date dateOfBirth){ this.name = name; this.dateOfBirth = dateOfBirth; this.dateOfDeath = null; age = Date.Today.YearDiff(dateOfBirth); } [OnDeserialized()] internal void FixPersonAfterDeserializing( StreamingContext context){ age = Date.Today.YearDiff(dateOfBirth); } // ... } Program 39.5 The Person class - Serialization control with attributes. The Date class shown below in Program 39.6 follows the same pattern as the Person class of Program 39.5. 1 2 3 4 5 6 7 8 9 10 11 12 13 14 15 16 17 18 19 20 21 22 23 24 using System; using System.Runtime.Serialization; [Serializable] public class Date{ private ushort year; private byte month, day; [NonSerialized()] private DayOfWeek nameOfDay; public Date(int year, int month, int day){ this.year = (ushort)year; this.month = (byte)month; this.day = (byte)day; this.nameOfDay = (new DateTime(year, month, day)).DayOfWeek; } public Date(Date d){ this.year = d.year; this.month = d.month; this.day = d.day; this.nameOfDay = d.nameOfDay; } [OnDeserialized()]
365 25 26 27 28 29 30 31 internal void FixDateAfterDeserializing( StreamingContext context){ nameOfDay = (new DateTime(year, month, day)).DayOfWeek; } // ... } Program 39.6 The Date class - Serialization control with attributes . 39.4. Considerations about Serialization Lecture 10 - slide 34 We want to raise a few additional issues about serialization: • Security • Encapsulated and private data is made available in files • Versioning • The private state of class C is changed • It may not be possible to read serialized objects of type C • Performance • Some claim that serialization is relatively slow 39.5. Serialization and Alternatives Lecture 10 - slide 35 As mentioned in the introduction of this chapter - Chapter 39 - serialization deals with input and output of objects and object graphs. It should be remembered, however, that there are alternatives to serialization. As summarized below, it is possible to program object IO at a low level (using binary of textual IO primitives from Chapter 37). At the other end of the spectrum it is possible us database technology. • Serialization • An easy way to save and restore objects in between program sessions • Useful in many projects where persistency is necessary, but not a key topic • Requires only little programming • Custom programmed file IO • Full control of object IO • May require a lot of programming • Objects in Relational Databases • Impedance mismatch: "Circular objects in retangular boxes" • Useful when the program handles large amounts of data • Useful if the data is accessed simultaneous from several programs • Not a topic in this course
366 39.6. Attributes Lecture 10 - slide 36 In our treatment of serialization we made extensive use of attributes, see for instance Section 39.3. In this section we will discuss attributes at a more general level, and independent of serialization. Attributes offer a mechanism that allows the programmer to extend the programming language in simple ways. Attributes allow the programmer to associate extra information (meta data) to selected and pre-defined constructs in C#. The constructs to which it is possible to attach attributes are assemblies, classes, structs, constructors, delegates, enumeration types, fields (variables), events, methods, parameters, properties, and returns. We all know that members of a class in C# have associated visibility modifiers, see Section 11.16. In case visibility modifiers were not part of C#, we could have used attributes as a way to extend the language with different kinds of member visibilities. Certain attributes can be accessed by the compiler, and hereby these attributes can affect the checking done by the compiler and the code generated by the compiler. Attributes can also be accessed at run-time. There are ways for the running program to access the attributes of given constructs, such that the attribute and attribute values can affect the program execution. Program 39.7 illustrates the use of the predefined Obsolete attribute. Being "obsolete" means "no longer in use". In line 3, the attribute is associated with class C. In line 9, another usage of the attribute is associated with method M in class D. 1 2 3 4 5 6 7 8 9 10 11 12 13 14 15 16 17 18 19 20 using System; [Obsolete("Use class D instead")] class C{ // ... } class D{ [Obsolete("Do not call this method.",true)] public void M(){ } } class E{ public static void Main(){ C c = new C(); D d = new D(); d.M(); } } Program 39.7 An obsolete class C, and a class D with an obsolete method M. The compiler is aware of the Obsolete attribute. When we compile Program 39.7 we can see the effect of the attribute, see Listing 39.8.
367 1 2 3 4 5 6 7 8 >csc prog.cs Microsoft (R) Visual C# 2005 Compiler version 8.00.50727.42 for Microsoft (R) Windows (R) 2005 Framework version 2.0.50727 Copyright (C) Microsoft Corporation 2001-2005. All rights reserved. prog.cs(16,5): warning CS0618: 'C' is obsolete: 'Use class D instead' prog.cs(16,15): warning CS0618: 'C' is obsolete: 'Use class D instead' prog.cs(18,5): error CS0619: 'D.M()' is obsolete: 'Do not call this method.' Listing 39.8 Compiling class C, D, and E. C# comes with a lot of predefined attributes. Obsolete is one of them, and we encountered quite a few in Section 39.3 in the context of serialization. Unit testing frameworks for C# also heavily rely on attributes. It is also possible to define our own attributes. An attribute is defined as a class. Attributes defined in this way are subclasses of the class System.Attribute. As a naming convention, the names of all attribute classes should have "Attribute" as a suffix. Thus, an attribute X is defined by a class XAttribute, which inherits from the class System.Attribute. The attribute usage notation [X(a,b,c)] in front of some C# construct C causes an instance of class XAttribute, made with the appropriate three-parameter constructor, to be associated with C. In the attribute usage notation [X(a,b,c,d=e)] d refers to a property of class XAttribute. The property d must be read-write (both gettable and settable), see Section 18.5. Thus, as it appears, an attribute accepts both positional parameters and keyword parameters. Below, in Program 39.9 we have reproduced the class behind the Obsolete attribute. You should notice the three different constructors and the read/write property IsError. The attribute AttributeUsage attribute in 5-6 illustrates how attributes help define attributes. AttributeUsage define the constructs to which it possible to associate the MyObsolete attribute. The expression AttributeTargets.Method | AttributeTargets.Property denotes two values in the combined enumeration type AttributeTargets which carries a so-called flag attribute. Combined enumerations are discussed in Focus box 6.3. 1 2 3 4 5 6 7 8 9 10 11 12 13 14 15 16 17 18 19 20 21 22 23 24 25 26 27 28 29 // In part, reproduced from the book "C# to the Point" using System; [AttributeUsage(AttributeTargets.Method | AttributeTargets.Property)] public sealed class MyObsoleteAttribute: Attribute{ string message; bool isError; public string Message{ get { return message; } } public bool IsError{ get { return isError; } set { isError = value; } } public MyObsoleteAttribute(){ message = ""; isError = false; }
368 30 31 32 33 34 35 36 37 38 public MyObsoleteAttribute(string msg){ message = msg; isError = false; } public MyObsoleteAttribute(string msg, bool error){ message = msg; isError = error; } } Program 39.9 A reproduction of class ObsoleteAttribute. In Program 39.10 we show a sample use of the attribute programmed in Program 39.9. The program does not compile because we attempt to associate the MyObsolete attribute to a class in line 3. As explained above, we have restricted MyObsolete to be connected with only methods and properties. 1 2 3 4 5 6 7 8 9 10 11 12 13 14 15 16 17 18 19 20 using System; [MyObsolete("Use class D instead")] class C{ // ... } class D{ [MyObsolete("Do not call this method.",IsError=true)] public void M(){ } } class E{ public static void Main(){ C c = new C(); D d = new D(); d.M(); } } Program 39.10 Sample usage of the reproduced class - causes a compilation error.
369 40. Patterns and Techniques In relation to streams, which we discussed in Chapter 37 in the beginning of the IO lecture, it is relevant to bring up the Decorator design pattern. Therefore we conclude the IO lecture with a discussion of Decorator. 40.1. The Decorator Pattern Lecture 10 - slide 38 It is often necessary to extend an object of class C with extra capabilities. As an example, the Draw method of a Triangle class can be extended with the traditional angle and edge annotations for equally sized angles or edges. The typical way to solve the problem is to define a subclass of class C that extends C in the appropriate way. In this section we are primarily concerned with extensions of class C that do not affect the client interface of C. Therefore, the extensions we have in mind behave like specializations (see Chapter 25). The extensions we will deal with consist of adding additional code to the existing methods of C. The decorator design pattern allows us to extend a class dynamically, at run-time. Extension by use of inheritance, as discussed above, is static because it takes place at compile-time. The main idea behind Decorator is a chain of objects, along the line illustrated in Figure 40.1. A message from Client to an instance of ConcreteComponent is passed through two instances of ConcreteDecorator by means of delegation. In order to arrange such delegation, a ConcreteDecorator and a ConcreteComponent should implement a common interface. This is important because a ConcreteDecorator is used as a stand in for a ConcreteComponent. This arrangement can for instance be obtained by the class hierarchy shown in Figure 40.2. Figure 40.1 Two decorator objects of a ConcreteComponent object In Figure 40.2 the Decorators and the ConcreteComponent share a common, abstract superclass called Component. When a Client operate on a ConcreteComponent it should do so via the type Component. This facilitates the object organization of Figure 40.1, because a Decorator can act as a stand in for a ConcreteComponent. Figure 40.2 A template of the class structure in the Decorator design pattern.
370 • Component: Defines the common interface of participants in the Decorator pattern • Decorator: References another Component to which it delegates responsibilities The class diagram of Decorator is similar to Composite, see Section 32.1. In Figure 40.2 a Decorator is intended to aggregate (reference) a single Component. In Figure 32.1 a Composite typically aggregate two or more Components . Thus, a Composite typically gives rise to trees, whereas a Decorator gives rise to a linear lists. Decorator objects can be added and chained at run-time. A Client accesses the outer Component (typically a ConcreteDecorator), which delegates part of the work to another Component. While passing, it does part of the work itself. Use of Decorator can be seen as a dynamic alternative to static subclassing 40.2. The Decorator Pattern and Streams Lecture 10 - slide 40 The Decorator discussion above in Section 40.1 was abstract and general. It is not obvious how it relates to streams and IO. We will now introduce the stream decorators that drive our interest in the pattern. The following summarizes the stream classes that are involved. We build a compressed stream on a buffered stream on a file stream The compressed stream decorates the buffered stream The buffered stream decorates the file stream The idea behind the decoration of class FileStream (see Section 37.4) is to supply additional properties of the stream. The additional properties in our example are buffering and compression. Buffering may result in better performance because many read and write operations do not need to touch the harddisk as such. Use of compression means that the files become smaller. (Notice that class FileStream already apply buffering itself, and as such the buffer decoration is more of illustrative nature than of practical value). Figure 40.3 corresponds to Figure 40.1. Thus, Figure 40.3 shows objects, not classes. A FileStream object is decorated with buffering and compression. A Client program is able to operate on GZipStream (a compressed stream) as if it was a FileStream. Figure 40.3 Compression and buffering decoration of a FileStream
371 In Program 40.1 we read a FileStream into a buffer of type byte[]. This is done in line 11-16. In line 18-27 we establish the decorated FileStream (see the purple parts). In line 27 we write the buffer to the decorated stream. In line 29-32 we compare the size of the original file and the compressed file. We see the effect in Listing 40.2 when the program is applied on its own source file. 1 2 3 4 5 6 7 8 9 10 11 12 13 14 15 16 17 18 19 20 21 22 23 24 25 26 27 28 29 30 31 32 33 34 35 36 37 38 39 40 41 using System; using System.IO; using System.IO.Compression; public class CompressProg{ public static void Main(string[] args){ byte[] buffer; long originalLength; // Read a file, arg[0], into buffer using(Stream infile = new FileStream(args[0], FileMode.Open)){ buffer = new byte[infile.Length]; infile.Read(buffer, 0, buffer.Length); originalLength = infile.Length; } // Compress buffer to a GZipStream Stream compressedzipStream = new GZipStream( new BufferedStream( new FileStream( args[1], FileMode.Create), 128), CompressionMode.Compress); compressedzipStream.Write(buffer, 0, buffer.Length); compressedzipStream.Close(); // Report compression rate: Console.WriteLine("CompressionRate: {0}/{1}", MeasureFileLength(args[1]), originalLength); } public static long MeasureFileLength(string fileName){ using(Stream infile = new FileStream(fileName, FileMode.Open)) return infile.Length; } } Program 40.1 A program that compresses a file. 1 2 > compress compress.cs out CompressionRate: 545/1126 Listing 40.2 Sample application together with program output (compression rate). When Program 40.1 is executed, a compressed file is written. In Program 40.3 we show how to read this file back again. In line 11-17 we set up the decorated stream, very similar to Program 40.1. In line 21-28 we read the compressed file into the buffer, and finally in line 32-35 we write the buffer back to an uncompressed file.
372 1 2 3 4 5 6 7 8 9 10 11 12 13 14 15 16 17 18 19 20 21 22 23 24 25 26 27 28 29 30 31 32 33 34 35 36 37 38 using System; using System.IO; using System.IO.Compression; public class CompressProg{ public static void Main(string[] args){ byte[] buffer; const int LargeEnough = 10000; Stream compressedzipStream = new GZipStream( new BufferedStream( new FileStream( args[0], FileMode.Open), 128), CompressionMode.Decompress); buffer = new byte[LargeEnough]; // Read and decompress the compressed stream: int bytesRead = 0, bufferPtr = 0; do{ // Read chunks of 10 bytes per call of Read: bytesRead = compressedzipStream.Read(buffer, bufferPtr, 10); if (bytesRead != 0) bufferPtr += bytesRead; } while (bytesRead != 0); compressedzipStream.Close(); // Write contens of buffer to the output file using(Stream outfile = new FileStream(args[1], FileMode.Create)){ outfile.Write(buffer, 0, bufferPtr); } } } Program 40.3 The corresponding program that decompresses the file. With this we are done with the IO lecture.
373 41. Motivation for Generic Types This chapter starts the lecture about generics: Generic types and generic methods. With generics we are aiming at more general types (classes, structs, interfaces, etc). The measure that we will bring into use is type parametrization. This chapter is intended as motivation. Type parameterized types will be the topic of Chapter 42 and type parameterized methods will be treated in Chapter 43. 41.1. Operations on sets Lecture 11 - slide 2 In this chapter we decide to develop and use the class Set. We use the class Set as a motivating example. It is our goal, once and for all, to be able to write a class Set that supports all possible types of elements. It is the intention that the class Set can be used in any future program, in which there is a need for sets. It is noteworthy that .NET has not supported a mathematical set class until version 3.5. As of version 3.5, the class HashSet<T> supports sets, see also Section 45.1. Thus, at the time of writing this material, there was no set class available in the .NET Framework. The class Set should represent a mathematical set of items. We equip class Set with the usual and well-known set operations: • aSet.Member(element) • aSet.Insert(element) • aSet.Delete(element) • aSet.Count • aSet.Subset(anotherSet) • aSet.GetEnumerator() • aSet.Intersection(anotherSet) • aSet.Union(anotherSet) • aSet.Diff(anotherSet) The set operations Intersection, Union, and Diff are handled in Exercise 11.1. 41.2. The classes IntSet and StringSet Lecture 11 - slide 3 Let us imagine that we first encounter a need for sets of integers. This causes us (maybe somewhat narrow-minded) to write a class called IntSet. Our version of class IntSet is shown in Program
374 41.1. The version provided in the paper version of the material is abbreviated to save some space. The version in the web version is complete with all details. 1 2 3 4 5 6 7 8 9 10 11 12 13 14 15 16 17 18 19 20 21 22 23 24 25 26 27 28 29 30 31 32 33 34 35 36 37 38 39 40 41 42 43 44 45 46 47 48 49 50 51 52 53 54 55 56 57 58 using System; using System.Collections; public class IntSet { private int capacity; private static int DefaultCapacity = 10; private int[] store; private int next; public IntSet(int capacity){ this.capacity = capacity; store = new int[capacity]; next = 0; // The next place to insert } public IntSet(): this(DefaultCapacity){ } public IntSet(int[] elements): this(elements.Length){ foreach(int el in elements) this.Insert(el); } // Copy constructor public IntSet(IntSet s): this(s.capacity){ foreach(int el in s) this.Insert(el); } public bool Member(int element){ for(int idx = 0; idx < next; idx++) if (element.Equals(store[idx])) return true; return false; } public void Insert(int element){ if (!this.Member(element)){ if (this.Full){ Console.WriteLine("[Resize to {0}]", capacity * 2); Array.Resize<int>(ref store, capacity * 2); capacity = capacity * 2; } store[next] = element; next++; } } public void Delete(int element){ bool found = false; int foundIdx = 0; for(int idx = 0; !found && (idx < next); idx++){ if (element.Equals(store[idx])){ found = true; foundIdx = idx; } } if (found){ // shift remaining elements left for(int idx = foundIdx+1; idx < next; idx++)
375 59 60 61 62 63 64 65 66 67 store[idx-1] = store[idx]; store[next-1] = default(int ); next--; } } // Additional operations: Count, Subset, ToString, Full, and GetEnumerator } Program 41.1 The class IntSet. The class IntSet is an example of an everyday implementation of integer sets. We have not attempted to come up with a clever representation that allows for fast set operations. The IntSet class is good enough for small sets. If you are going to work on sets with many elements, you should use a set class of better quality. We chose to represent the elements in an integer array. We keep track of the position where to insert the next element (by use of the instance variable next). If there is not enough room in the array, we use the Array.Resize operation to make it larger. We delete elements from the set by shifting elements in the array 'to the left', in order to avoid wasted space. This approach is fairly expensive, but it is good enough for our purposes. The IntSet class is equipped with a GetEnumerator method, which returns an iterator. (We encountered iterators (enumerators) in the Interval class studied in Section 21.3. See also Section 31.6 for details on iterators. The GetEnumerator details are not shown in the paper version). The enumerator allows for traversal of all elements of the set with a foreach control structure. A set is only, in a minimal sense, dependent on the types of elements (in our case, the type int). It does not even matter if the type of elements is a value type or a reference type (see Section 14.1 and Section 13.1 respectively). We do, however, apply equality on the elements, via use of the Equals method. Nevertheless, the type int occurs many times in the class definition of IntSet. We have emphasized occurrences of int with color marks in Program 41.1. 1 2 3 4 5 6 7 8 9 10 11 12 13 14 15 16 17 18 19 20 21 using System; using System.Collections; class App{ public static void Main(){ IntSet s1 = new IntSet(), s2 = new IntSet(); s1.Insert(1); s1.Insert(2); s1.Insert(3); s1.Insert(4); s1.Insert(5); s1.Insert(6); s1.Insert(5); s1.Insert(6); s1.Insert(8); s1.Delete(3); s1.Delete(6); s1.Insert(9); s2.Insert(8); s2.Insert(9); Console.WriteLine("s1: {0}", s1); Console.WriteLine("s2: {0}", s2); // Exercises: // Console.WriteLine("{0}", s2.Intersection(s1));
376 22 23 24 25 26 27 28 29 30 31 32 33 34 35 // Console.WriteLine("{0}", s2.Union(s1)); // Console.WriteLine("{0}", s2.Diff(s1)); if (s1.Subset(s2)) Console.WriteLine("s1 is a subset of s2"); else Console.WriteLine("s1 is not a subset of s2"); if (s2.Subset(s1)) Console.WriteLine("s2 is a subset of s1"); else Console.WriteLine("s2 is not a subset of s1"); } } Program 41.2 A client of IntSet. In Program 41.2 we see a sample application of class IntSet. We establish two empty integer sets s1 and s2, we insert some numbers into these, and we try out some of the set operations on them. The comment lines 20-23 make use of set operations which will be implemented in Exercise 11.1. The output of Program 41.2 confirms that s2 is a subset of s1. The program output is shown in Listing 41.3 (only on web). We will now assume that we, a couple of days after we have programmed class IntSet, realize a need of class StringSet. Too bad! Class StringSet is almost like IntSet. But instead of occurrences of int we have occurrences of string. We know how bad it is to copy the source text of IntSet to a new file called StringSet, and to globally replace 'int' with 'string'. When we need to modify the set class, all our modifications will have do be done twice! For illustrative purposes - and despite the observation just described - we have made the class StringSet, see Program 41.4 (only on web). We have also replicated the client program, in Program 41.5 (only on web) and the program output in Listing 41.6 (only on web). 41.3. The class ObjectSet Lecture 11 - slide 4 In Section 41.2 we learned the following lesson: There is an endless number of TypeSet classes. One for each Type. Each of them is similar to the others. We will now review the solution to the problem which was used in Java before version 1.5, and in C# before version 2. These are the versions of the two languages prior to the introduction of generics.
377 The idea is simple: We implement a set class of element type Object. We call it ObjectSet. The type Object is the most general type in the type system (see Section 28.2). All other types inherit from the class Object. Below, in Program 41.7 we show the class ObjectSet. In the paper version, only an outline with a few constructors and methods is included. The web version shows the full definition of class ObjectSet. 1 2 3 4 5 6 7 8 9 10 11 12 13 14 15 16 17 18 19 20 21 22 23 24 25 26 27 28 29 30 31 32 33 34 35 36 37 38 39 40 using System; using System.Collections; public class ObjectSet { private int capacity; private static int DefaultCapacity = 10; private Object[] store; private int next; public ObjectSet(int capacity){ this.capacity = capacity; store = new Object[capacity]; next = 0; } // Other constructors public bool Member(Object element){ for(int idx = 0; idx < next; idx++) if (element.Equals(store[idx])) return true; return false; } public void Insert(Object element){ if (!this.Member(element)){ if (this.Full){ Console.WriteLine("[Resize to {0}]", capacity * 2); Array.Resize<Object>(ref store, capacity * 2); capacity = capacity * 2; } store[next] = element; next++; } } // Other methods } Program 41.7 An outline of the class ObjectSet. We can now write programs with a set of Die, a set of BankAccount, a set of int, etc. In Program 41.8 (only on web) we show a program, similar to Program 41.2, which illustrates sets of Die objects. (The class Die can be found in Section 10.1). The main problem with class ObjectSet is illustrated below in Program 41.10. In line 12-20 we make a set of dice (s1), a set of integers (s2), a set of strings (s3), and set of mixed objects (s4). Let
378 us focus on s1. If we take a die out of s1 with the purpose of using a Die operation on it, we need to typecase the element to a Die. This is shown in line 23. From the compiler's point of view, all elements in the set s1 are instances of class Object. With the cast (Die)o in line 23, we guarantee that each element in the set is a Die. (If an integer or a playing card should sneak into the set, an exception will be thrown). - The output of the program is shown in Listing 41.11 (only on web). 1 2 3 4 5 6 7 8 9 10 11 12 13 14 15 16 17 18 19 20 21 22 23 24 25 26 27 28 29 30 using System; using System.Collections; class App{ public static void Main(){ Die d1 = new Die(6), d2 = new Die(10), d3 = new Die(16), d4 = new Die(8); int sum = 0; string netString = ""; ObjectSet s1 = new ObjectSet( // A set of dice new Die[]{d1, d2, d3, d4}), s2 = new ObjectSet( // A set of ints new Object[]{1, 2, 3, 4}), s3 = new ObjectSet( // A set of strings new string[]{"a", "b", "c", "d"}), s4 = new ObjectSet( // A set of mixed things... new Object[]{new Die(6), "a", 7}); foreach(Object o in s1){ ((Die)o).Toss(); Console.WriteLine("{0}", (Die)o); } // Some details have been left out } } Program 41.10 A client of ObjectSet - working with set of different types.
379 41.4. Problems Lecture 11 - slide 5 The classes IntSet, StringSet and ObjectSet suffer from both programming and type problems: • Problems with IntSet and StringSet • Tedious to write both versions: Copy and paste programming. • Error prone to maintain both versions • Problems with ObjectSet • Elements of the set must be downcasted in case we need to use some of their specialized operations • We can create an inhomogeneous set • A set of "apples" and "bananas" Generic types, to be introduced in the following chapter, offer a type safe alternative to ObjectSet, in which we are able to avoid type casting.
380
381 42. Generic Types Generic types are types that carry type parameters. Type parameterized classes will be of particular importance. The motivation for working with type parameterized classes was gained in Chapter 41. 42.1. The generic class Set<T> Lecture 11 - slide 7 Let us, right away, present the generic set class Set<T>. It is shown in Program 42.1. As usual, we show an abbreviated version of the class in the paper edition of the material. 1 2 3 4 5 6 7 8 9 10 11 12 13 14 15 16 17 18 19 20 21 22 23 24 25 26 27 28 29 30 31 32 33 34 35 36 37 38 39 40 41 42 43 using System; using System.Collections.Generic; using System.Collections; public class Set<T> { private int capacity; private static int DefaultCapacity = 10; private T[] store; private int next; public Set(int capacity){ this.capacity = capacity; store = new T[capacity]; next = 0; } public Set(): this(DefaultCapacity){ } public Set(T[] elements): this(elements.Length){ foreach(T el in elements) this.Insert(el); } // Copy constructor public Set(Set<T> s): this(s.capacity){ foreach(T el in s) this.Insert(el); } public bool Member(T element){ for(int idx = 0; idx < next; idx++) if (element.Equals(store[idx])) return true; return false; } public void Insert(T element){ if (!this.Member(element)){ if (this.Full){ Console.WriteLine("[Resize to {0}]", capacity * 2); Array.Resize<T>(ref store, capacity * 2); capacity = capacity * 2; }
382 44 45 46 47 48 49 50 51 52 53 54 55 56 57 58 59 60 61 62 63 64 65 66 67 68 store[next] = element; next++; } } public void Delete(T element){ bool found = false; int foundIdx = 0; for(int idx = 0; !found && (idx < next); idx++){ if (element.Equals(store[idx])){ found = true; foundIdx = idx; } } if (found){ // shift remaining elements left for(int idx = foundIdx+1; idx < next; idx++) store[idx-1] = store[idx]; store[next-1] = default(T); next--; } } // Additional operations: Count, Subset, ToString, Full, and GetEnumerator } Program 42.1 The class Set<T>. The advantage of class Set<T> over class ObjectSet becomes clear when we study a client of Set<T>. Please take a look at Program 42.2 and compare it with Program 41.10. We are able to work with both sets of value types, such as Set<int>, and sets of reference types, such as Set<Die>. When we take an element out of the set it is not necessary to cast it, as in Program 41.10. Notice that a foreach loop does not provide the best illustration of this aspect, because the type in foreach(type var in collection) is used implicitly for casting a value in collection to type. The only way to access elements in a set is to use its iterator. Please take a look at Exercise 11.2 if you wish to go deeper into this issue. 1 2 3 4 5 6 7 8 9 10 11 12 13 14 15 16 17 18 19 20 21 using System; using System.Collections; class App{ public static void Main(){ Die d1 = new Die(6), d2 = new Die(10), d3 = new Die(16), d4 = new Die(8); int sum = 0; string netString = ""; // Working with sets of dice: Set<Die> s1 = new Set<Die>( // A set of dice new Die[]{d1, d2, d3, d4}); foreach(Die d in s1){ d.Toss(); Console.WriteLine("{0}", d); }
383 22 23 24 25 26 27 28 29 30 31 32 33 34 35 36 37 38 // Working with sets of ints Set<int> s2 = new Set<int>( // A set of ints new int[]{1, 2, 3, 4}); foreach(int i in s2) sum += i; Console.WriteLine("Sum: {0}", sum); // Working with sets of strings Set<string> s3 = new Set<string>( // A set of strings new string[]{"a", "b", "c", "d"}); foreach(string str in s3) netString += str; Console.WriteLine("Appended string: {0}", netString); } } Program 42.2 A client of Set<T> - working with sets of different types. The output of Program 42.2 is shown in Listing 42.3 (only on web). Exercise 11.1. Intersection, union, and difference: Operations on sets On the accompanying slide we have shown a generic class set<T>. Add the classical set operations intersection, union and set difference to the generic class set<T>. Test the new operations from a client program. Hint: The enumerator, that comes with the class set<T>, may be useful for the implementation of the requested set operations. Exercise 11.2. An element access operation on sets The only way to get access to an element from a set is via use of the enumerator (also known as the iterator) of the set. In this exercise we wish to change that. Invent some operation on the set that allows you to take out an existing element in the set. This corresponds to accessing a given item in an array or a list, for instance via an indexer: arr[i] and lst[j]. Notice in this context that there is no order between elements in the set. It is not natural to talk about "the first" or "the last" element in the set. Given the invented operation in Set<T> use it to illustrate that, for some concrete type T, no casting is necessary when elements are accessed from Set<T>
384 42.2. Generic Types Lecture 11 - slide 8 Let us now describe the general concepts behind Generic Types in C#. C# supports not only generic classes, but also generic structs (see Section 42.7), generic interfaces (see Section 42.8), and generic delegate types (see Section 43.2 ). Overall, we distinguish between templates and constructed types: • Templates • C<T> is not a type • C<T> is a template from which a type can be constructed • T is a formal type parameter • Constructed type • The type constructed from a template • C<int>, C<string>, and D<C<int>> • int, string, and C<int> are actual type parameters of C and D When we talk about a generic type we do it in the meaning of a template. The word "template" is appropriate, and in fact just to the point. But most C# writers do not use it, because the word "template" it used in C++ in a closely related, but slightly different meaning. A template in C++ is a type parameterized class, which is expanded at compile time. Each actual type parameter will create a new class, just like we would create it ourselves in a text editor. In C#, generic classes are able to share the class representation at run-time. For more details on these matters, consult for instance [Golding05]. As a possible coding style, it is often recommended to use capital, single letter names (such as S, T, and U) as formal type parameters. In that way it becomes easier to recognize templates, to spot formal type names in our programs, to keep templates apart from constructed types, and to avoid very name clauses of generic types. In situations where a type takes more than one formal type parameters, an alternative coding style calls for formal type parameter names like Tx and Ty, (such as TKey and TValue) where x and y describe the role of each of the formal type parameters. The ability to have generic types is known as parametric polymorphism 42.3. Constraints on Formal Type Parameters Lecture 11 - slide 9 Let us again consider our implementation of the generic class Set<T> in Program 42.1. Take a close look at the class, and find out if we make any assumptions about the formal type parameter T in Program 42.1. Will any type T really apply? Please consider this, before you proceed! In Set<T> it happens to be the case that we do not make any assumption of the type parameter T. This is typical for collection classes (which are classes that serve as element containers).
385 It is possible to express a number of constraints on a formal type parameter The more constraints on T, the more we can do on T-objects in the body of C<T> Sometimes we write a parameterized class, say C<T>, in which we wish to be able to make some concrete assumptions about the type parameter T. You may ask what we want to express. We could, for instance, want to express that 1. T is a value type, allowing for instance use of the type T? (nullable types, see Section 14.9 ) inside C<T> . 2. T is a reference type, allowing, for instance, the program fragment T v; v = null; inside C<T> . 3. T has a multiplicative operator * , allowing for expressions like T t1, t2; ... t1 * t2 ... in C<T> . 4. T has a method named M , that accepts a parameter which is also of type T . 5. T has a C# indexer of two integer parameters, allowing for T t; ... t[i, j] ... within C<T> . 6. T is a subclass of class BankAccount , allowing for the program fragment T ba; ba.AddInterests(); within C<T> . 7. T implements the interface IEnumerable , allowing foreach iterations based on T in C<T> , see Section 31.6 . 8. T is a type with a parameterless constructor, allowing the expression new T() in C<T> . It turns out that the constraints in 1, 2, 6, 7, and 8 can be expressed directly in C#. The constraints in 4 and 5 can be expressed indirectly in C#, whereas the constraint in 3 cannot be expressed in C#. Here follows a program fragment that illustrates the legal form of constraints on type parameters in generic types in C#. We define generic classes C, E, F, and G all of which are subclasses of class D. A and B are classes defined elsewhere. The constraints are colored in Program 42.4.
386 1 2 3 4 5 6 7 8 9 10 11 12 13 14 15 16 17 18 19 20 class C<S,T>: D where T: A, ICloneable where S: B { ... } class E<T>: D where T: class{ ... } class F<T>: D where T: struct{ ... } class G<T>: D where T: new(){ ... } Program 42.4 Illustrations of the various constraints on type parameters. The class C has formal type parameters S and T. The first constraint requires that T is A, or a subclass of A, and that it implements the interface IClonable. Thus, only class A or subclasses of A that implement IClonable can be used as actual parameter corresponding to T. The type parameter S must be B or a subclass of B. The class E has a formal type parameter T, which must be a class. In the same way, the class F has a formal type parameter T, which must be a struct. The class G has a formal type parameter T, which must have a parameterless constructor. As a consequence of the inheritance rules in C#, only a single class can be given in a constraint. Multiple interfaces can be given. A class should come before any interface. Thus, in line 2 of Program 42.4, where T is constrained by A, ICloneable, A can be a class, and everything after A in the constraint need to be interfaces. 42.4. Constraints: Strings of comparable elements Lecture 11 - slide 10 We will now program a generic class with constraints. We will make a class String<T> which generalizes System.String from C#. An instance of String<T> contains a sequence of T-values/ T-objects. In contrast, an instance of System.String contains a sequence of Unicode characters. With use of String<T> we can for instance make a string of integers, a string of bank accounts, and a string of dice.
387 Old-fashioned character strings can be ordered, because we have an ordering of characters. The ordering we have in mind is sometimes called lexicographic ordering, because it reflects the ordering of words in dictionaries and encyclopedia. We also wish to support ordering of our new generalized strings from String<T>. It can only be achieved if we provide an ordering of the values/objects in T. This is done by requiring that T implements the interface IComparable, which has a single method CompareTo. For details on IComparable and CompareTo, please consult Section 31.5. Now take a look at the definition of String<T> in Program 42.5. In line 3 we state that String<T> should implement the interface IComparable<String<T>>. It is important to understand that we hereby commit ourselves to implement a CompareTo method in String<T>. You may be confused about the interface IComparable, as discussed in Program 42.5 in contrast to IComparable<S>, which is used as IComparable<String<T>> in line 3 of Program 42.5. IComparable<S> is a generic interface. It is generic because this allows us to specify the parameter to the method CompareTo with better precision. We discuss the generic interface IComparable<S> in Section 42.8. There is an additional important detail in line 3 of Program 42.5, namely the constraint, which is colored. The constraint states that the type T must be IComparable itself (again using the generic version of the interface). In plain English it means that there must be a CompareTo method available on the type, which we provide as the actual type parameter of our new string class. Our plan is, of course, to use the CompareTo method of T to program the CompareTo method of String<T>. 1 2 3 4 5 6 7 8 9 10 11 12 13 14 15 16 17 18 19 20 21 22 23 24 25 26 27 28 29 30 using System; public class String<T>: IComparable<String<T>> where T: IComparable<T>{ private T[] content; public String(){ content = new T[0]; } public String(T e){ content = new T[]{e}; } public String(T e1, T e2){ content = new T[]{e1, e2}; } public String(T e1, T e2, T e3){ content = new T[]{e1, e2, e3}; } public int CompareTo(String<T> other){ int thisLength = this.content.Length, otherLength = other.content.Length; for (int i = 0; i < Math.Min(thisLength,otherLength); i++){ if (this.content[i].CompareTo(other.content[i]) < 0) return -1; else if (this.content[i].CompareTo(other.content[i]) > 0)
388 31 32 33 34 35 36 37 38 39 40 41 42 43 44 45 46 47 48 49 50 51 return 1; } // longest possible prefixes of this and other are pair-wise equal. if (thisLength < otherLength) return -1; else if (thisLength > otherLength) return 1; else return 0; } public override string ToString(){ string res = "["; for(int i = 0; i < content.Length;i++){ res += content[i]; if (i < content.Length - 1) res += ", "; } res += "]"; return res; } } Program 42.5 The generic class String<T>. In line 5 we see that a string of T-elements is represented as an array of T elements. This is a natural and straightforward choice. Next we see four constructors, which allows us to make strings of zero, one, two or three parameters. This is convenient, and good enough for toy usage. For real life use, we need a general constructor that accepts an array of T elements. The can most conveniently be made by use of parameter arrays, see Section 20.9. After the constructors, from line 23-39, we see our implementation of CompareTo. From an overall point of view we can observe that it uses CompareTo of type T, as discussed above. This is the blue aspects in line 28 and 30. It may be sufficient to make this observation for some readers. If you want to understand what goes on inside the method, read on. Recall that CompareTo must return a negative result if the current object is less than other, 0 if the current object is equal to other, and a positive result if the current object is greater than other. The for-loop in line 27 traverses the overlapping prefixes of two strings. Inside the loop we return a result, if it is possible to do so. If the for-loop terminates, the longest possible prefixes of the two string are equal to each other. The lengths of the two strings are now used to determine a result. If T is the type char, if the current string is "abcxy", and if other is "abcxyz", we compare "abcxy" with "abcxy" in the for loop. "abcxy" is shorter than "abcxyz", and therefore the result of the comparison -1. The method ToString starting in line 41 allows us to print instances of String<T> in the usual way. In Program 42.6 we see a client class of String<T>. We construct and compare strings of integers, strings of strings, strings of doubles, strings of booleans, and strings of dice. The dimmed method ReportCompare activates the String<T> operation CompareTo on pairs of such strings. ReportCompare is a generic method, and it will be "undimmed" and explained in Program 43.1. Take a look at the program output in Listing 42.7 and be sure that you can understand the results.
389 1 2 3 4 5 6 7 8 9 10 11 12 13 14 15 16 17 18 19 20 21 22 23 24 25 using System; class StringApp{ public static void Main(){ ReportCompare(new String<int>(1, 2), new String<int>(1)); ReportCompare(new String<string>("1", "2", "3"), new String<string>("1")); ReportCompare(new String<double>(0.5, 1.7, 3.0), new String<double>(1.0, 1.7, 3.0)); ReportCompare(new String<bool>(true, false), new String<bool>(false, true)); ReportCompare(new String<Die>(new Die(), new Die()), new String<Die>(new Die(), new Die())); } public static void ReportCompare<T>(String<T> s, String<T> t) where T: IComparable<T>{ Console.WriteLine("Result of comparing {0} and {1}: {2}", s, t, s.CompareTo(t)); } } Program 42.6 Illustrating Strings of different types. 1 2 3 4 5 Result of comparing [1, 2] and [1]: 1 Result of comparing [1, 2, 3] and [1]: 1 Result of comparing [0,5, 1,7, 3] and [1, 1,7, 3]: -1 Result of comparing [True, False] and [False, True]: 1 Result of comparing [[3], [6]] and [[3], [5]]: 1 Listing 42.7 Output from the String of different types program. Exercise 11.3. Comparable Pairs This exercise is inspired by an example in the book by Hansen and Sestoft: C# Precisely. Program a class ComparablePair<T,U> which implements the interface IComparable<ComparablePair<T,U>>. If you prefer, you can build the class ComparablePair<T,U> on top of class Pair<S,T> from an earlier exercise in this lecture. It is required that T and U are types that implement Icomparable<T> and Icomparable<U> respectively. How is that expressed in the class ComparablePair<T,U>? The generic class ComparablePair<T,U> should represent a pair (t,u) of values/objects where t is of type T and u is of type U. The generic class should have an appropriate constructor that initializes both parts of the pair. In addition, there should be properties that return each of the parts. Finally, the class should - of course - implement the operation CompareTo because it is prescribed by the interface System.IComparable<ComparablePair<T,U>>. Given two pairs p = (a,b) and q= (c,d). p is considered less than q if a is less than c. If a is equal to
390 c then b and d controls the ordering. This is similar to lexicographic ordering on strings. If needed, you may get useful inspiration from the Icomparable class String<T> on the accompanying slide. Be sure to test-drive your solution! 42.5. Another example of constraints Lecture 11 - slide 11 We will now illustrate the need for the class and struct constraints. We have already touched on these constraints in our discussion of Program 42.4. In Program 42.8 we have two generic classes C and D. Each of them have a single type parameter, T and U respectively. As shown with red color in line 7 and 15, the compiler complains. In line 7 we assign the value null to the variable f of type T. In line 15 we make a nullable type U? from U. (If you wish to be reminded about nullable types, consult Section 14.9). Before you go on, attempt to explain the error messages, which are shown as comments in Program 42.8. 1 2 3 4 5 6 7 8 9 10 11 12 13 14 15 16 /* Example from Hansen and Sestoft: C# Precisely */ class C<T>{ // Compiler Error message: // Cannot convert null to type parameter 'T' because it could // be a value type. Consider using 'default(T)' instead. T f = null; } class D<U>{ // Compiler Error message: // The type 'U' must be a non-nullable value type in order to use // it as parameter 'T' in the generic type or method // 'System.Nullable<T>' U? f; } Program 42.8 Two generic classes C and D - with compiler errors. In Program 42.9 we show new versions of C<T> and D<U>. Shown in purple we emphasize the constraints that are necessary for solving the problems. The instance variable f of type T in C<T> is assigned to null. This only makes sense if T is a reference type. Therefore the class constraint on T is necessary. The use of U? in D<U> only makes sense if U is a value type. (To understand this, you are referred to the discussion in Section 14.9). Value types in C# are provided by structs (see Section 6.6). The struct constraint on U is therefore the one to use.
391 1 2 3 4 5 6 7 8 9 10 11 12 13 14 15 16 17 18 19 20 21 22 23 /* Example from Hansen and Sestoft: C# Precisely */ class C<T> where T: class{ T f = null; } class D<U> where U: struct{ U? f; } class Appl{ // Does NOT compile: C<double> c = new C<double>(); D<A> d = new D<A>(); // OK: C<A> c1 = new C<A>(); D<double> d1 = new D<double>(); } class A{} Program 42.9 Two generic classes C and D - with the necessary constraints. In line 11-21 we show clients of C<T> and D<U>. The compiler errors in line 14 and 15 are easy to explain. The type double is not a reference type, and A, which is programmed in line 23, is not a value type. Therefore double and A violate the constraints of C<T> and D<U>. In line 18 and 19 we switch the roles of double and A. Now everything is fine. 42.6. Variance Lecture 11 - slide 12 Consider the question asked in the following box. A CheckAccount is a BankAccount But is a Set<CheckAccount> a Set<BankAccount> ? You are encouraged to review our discussion of the is a relation in Section 25.2. The question is how Set<T> is varies when T varies. Variation in this context is specialization, cf. Chapter 25. Is Set<T> specialized when T is specialized? Take a look at Program 42.10. In line 7-14 we construct a number of bank accounts and check accounts, and we make a set of bank accounts (s1, in line 17) and a set of check accounts (s2, in line 18). In line 21 and 22 we populate the two sets. So far so good. Next, in line 25 (shown in purple) we play the polymorphism game as we have done many times earlier, for example in line
392 13 of Program 28.17. If Set<CheckAccount> is a Set<BankAccount> line 25 of Program 42.10 should be OK (just as line 13 of Program 28.17 is OK). The compiler does not like line 25, however. The reason is that Set<CheckAccount> is NOT a Set<BankAccount>. If we for a moment assume that Set<CheckAccount> is a Set<BankAccount> the rest of the program reveals the troubles. We insert a new BankAccount object in s1, and via the alias established in line 25, the new BankAccount object is also inserted into s2. When we in line 34-35 iterate through all the CheckAccount objects of the set s2, we encounter an instance of BankAccount. We cannot carry out a SomeCheckAccountOperation on an instance of BankAccount. 1 2 3 4 5 6 7 8 9 10 11 12 13 14 15 16 17 18 19 20 21 22 23 24 25 26 27 28 29 30 31 32 using System; class SetOfAccounts{ public static void Main(){ // Construct accounts: BankAccount ba1 = new BankAccount("John", 0.02), ba2 = new BankAccount("Anne", 0.02), ba3 = new BankAccount("Frank", 0.02); CheckAccount ca1 = new CheckAccount("Mike", 0.03), ca2 = new CheckAccount("Lene", 0.03), ca3 = new CheckAccount("Joan", 0.03); // Constructs empty sets of accounts: Set<BankAccount> s1 = new Set<BankAccount>(); Set<CheckAccount> s2 = new Set<CheckAccount>(); // Insert elements in the sets: s1.Insert(ba1); s1.Insert(ba2); s2.Insert(ca1); s2.Insert(ca2); // Establish s1 as an alias to s2 s1 = s2; // Compile-time error: // Cannot implicitly convert type 'Set<CheckAccount>' // to 'Set<BankAccount>' // Insert a BankAccount object into s1, // and via the alias also in s2 s1.Insert(new BankAccount("Bodil", 0.02));
393 33 34 35 36 37 38 39 40 41 42 43 // Activates some CheckAccount operation on a BankAccount object foreach(CheckAccount ca in s2) ca.SomeCheckAccountOperation(); Console.WriteLine("Set of BankAccount: {0}", s1); Console.WriteLine("Set of CheckAccount: {0}", s2); } } Program 42.10 Sets of check accounts and bank accounts. The experimental insight obtained above is - perhaps - against our intuition. It can be argued that an instance of Set<CheckAccount> should be a valid stand in for an instance of Set<BankAccount>, as attempted in line 25. On the other hand, it can be asked if the extension of Set<CheckAccount> is a subset of Set<BankAccount>. (See Section 25.2 for a definition of extension). Or asked in this way: Is the set of set of check accounts a subset of a set of set of bank accounts? As designed in Section 25.3 the set of CheckAccounts is a subset of the set of BankAccount. But this does not imply that the set of set of CheckAccount is a subset of the set of set of BankAccount. A set of CheckAccount (understood as a single objects) is incompatible with a set of BankAccount (understood as a single object). Figure 42.1 A set of bank accounts and a set of check accounts In Program 42.10 we establish the scene illustrated in Figure 42.1. More precisely, the illustration shows the situation as of line 28 of Program 42.10. The problem is that we in line 31 add a new instance of BankAccount to s1, which refers to an instance of Set<CheckAccount>. Later in the program (line 35) this would cause "a minor explosion" if the program was allowed to reach this point . Thus, the real problem occurs if we mutate the set of check accounts that are referred from a variable of static type Set<BankAccount>. (See Section 28.10 for the definition of static type). In general, we distinguish between the following kinds of variances in between Set<T> and T:
394 • Covariance • The set types vary in the same way as the element types • Contravariance • The set types vary in the opposite way as the element types • Invariance • The set types are not affected by the variations of the element types If Program 42.10 could be compiled and executed without problems (if line 25 is considered OK), then we would have covariance between Set<T> and T In C# Set<T> is invariant in relation to T. We notice that the problem discussed above is similar to the parameter variance problem, which we discussed in Section 29.2. C# and Java do both agree on invariance in between Set<T> and T. But in contrast to C#, Java has a solution to the problem in terms of wildcard types. We realized above that Set<T> is not a generalization of all sets. In Java 1.5, a wildcard type written as Set<?> (a set of unknown) is a generalization of all sets. It is, however, not possible to mutate an object of static type Set<?>. If you are interested to known more about generics in Java, you should consult Gilad Bracha's tutorial "Generics in the Java Programming Language", [Bracha2004]. 42.7. Generic structs Lecture 11 - slide 13 It is possible to make type parameterized structs, similar to the type parameterized classes that we have seen in the previous sections. As an example we will see how we can define the generic struct Nullable<T> which defines the type behind the notation T? for an arbitrary value type T. Nullable types were discussed earlier in Section 14.9. Recall that nullable types enjoy particular compiler support, beyond the translation of T? to Nullable<T>. This includes support of lifted operators (operators that are extended to work on T? in addition to T) and support of the null value as such. 1 2 3 4 5 6 7 8 9 10 11 12 13 using System; public struct Nullable<T> where T : struct{ private T value; private bool hasValue; public Nullable(T value){ this.value = value; this.hasValue = true; }
395 14 15 16 17 18 19 20 21 22 23 24 25 26 27 28 public bool HasValue{ get{ return hasValue; } } public T Value{ get{ if(hasValue) return value; else throw new InvalidOperationException(); } } } Program 42.11 A partial reproduction of struct Nullable<T>. The generic struct Nullable<T> aggregates a value of type T and a boolean value. The boolean value is stored in the boolean instance variable hasValue. If nv is of type Nullable<T> for some value type T, and if the variable hasValue of nv is false, then nv is considered to have the value null. The compiler arranges that the assignment nv = null is translated to nv.hasValue = false. This is somehow done behind the scene because hasValue is private. 42.8. Generic interfaces: IComparable<T> Lecture 11 - slide 14 In this section we will take a look at the generic interface IComparable<T>. We have earlier in the material (Section 31.5) studied the non-generic interface Icomparable, see Program 31.6. If you review your solution to Exercise 8.6 you should be able to spot the weakness of a class ComparableDie, which implements IComparable. The weakness is that the parameter of the method CompareTo must have an Object as parameter. A method with the signature CompareTo(Die) does not implement the interface IComparable. (Due to static overloading of methods in C#, the methods CompareTo(Object) and CompareTo(Die) are two different methods, which just as well could have the signatures ObjectCompareTo(Object) and DieCompareTo(Die)). Thus, as given by the signature of CompareTo, we compare a Die and any possible object. In Program 42.12 we reproduce IComparable<T>. Program 42.12 corresponds to Program 31.6. (Do not use any of these - both interfaces are parts of the System namespace). As it appears, in the generic interface the parameter of CompareTo is of type T. This alleviates the problem of the non- generic interface IComparable.
396 1 2 3 4 5 using System; public interface IComparable <T>{ int CompareTo(T other); } Program 42.12 A reproduction of the generic interface IComparable<T>. Below we show a version of class Die which implements the interface IComparable<Die>. You should notice that this allows us to use Die as formal parameter of the method CompareTo. 1 2 3 4 5 6 7 8 9 10 11 12 13 14 15 16 17 18 19 using System; public class Die: IComparable<Die> { private int numberOfEyes; private Random randomNumberSupplier; private const int maxNumberOfEyes = 6; public Die(){ randomNumberSupplier = Random.Instance(); numberOfEyes = NewTossHowManyEyes(); } public int CompareTo(Die other){ return this.numberOfEyes.CompareTo(other.numberOfEyes); } // Other Die methods } Program 42.13 A class Die that implements IComparable<T>. The implementation of the generic interface is more type safe and less clumsy than the implementation of the non-generic solution 42.9. Generic equality interfaces Lecture 11 - slide 15 Before reading this section you may want to remind yourself about the fundamental equality operations in C#, see Section 13.5. There exist a couple of generic interfaces which prescribes Equals operations. The most fundamental is IEquatable<T>, which prescribes a single Equals instance method. It may be attractive to implement IEquatable in certain structs, because it could avoid the need of boxing the struct value in order to make use of the inherited Equals method from class Object. IEqualityComparer<T> is similar, but it also supports a GetHasCode method. (Notice also that the signatures of the Equals methods are different in the two interfaces. IEquatable<T> prescribes x.Equals(y) whereas IEqualityComparer<T> prescribes Equals(x,y)).
397 Below, in Program 42.14 and Program 42.15 we show reproductions of the two interfaces. Notice again that the two interfaces are present in the namespaces System and System.Collections.Generic respectively. Use them from there if you need them. 1 2 3 4 5 using System; public interface IEquatable <T>{ bool Equals (T other); } Program 42.14 A reproduction of the generic interface IEquatable<T>. 1 2 3 4 5 6 using System; public interface IEqualityComparer <T>{ bool Equals (T x, T y); int GetHashCode (T x); } Program 42.15 A reproduction of the generic interface IEqualityComparer<T>. Several operations in generic collections, such as in List<T> in Section 45.9, need equality operations. The IndexOf method in List<T> is a concrete example, see Section 45.11. Using lst.IndexOf(el) we search for the element el in the list lst. Comparison of el with the elements of the list is done by the default equality comparer of the type T. The abstract generic class EqualityComparer<T> offers a static Default property. The Default property delivers the default equality comparer for type T. The abstract, generic class EqualityComparer<T> implements the interface IEqualityComparer<T>. Unfortunately the relations between the generic interfaces IEquatable<T> and IEqualityComparer<T>, the class EqualityComparer<T> and its subclasses are quite complicated. It seems to be the cases that these interfaces and classes have been patched several times, during the evolution of versions of the .Net libraries. The final landscape of types is therefore more complicated than it could have been desired. 42.10. Generic Classes and Inheritance Lecture 11 - slide 16 In this section we will clarify inheritance relative to generic classes. We will answer the following questions: Can a generic/non-generic class inherit from a non-generic/generic class? The legal and illegal subclassings are summarized below:
398 • Legal subclassing • A generic subclass of a non-generic superclass • A generic subclass of a constructed superclass • A generic subclass of generic superclass • Illegal subclassing • A non-generic subclass of generic superclass You can refresh the terminology (generic class/constructed class) in Section 42.2. The rules are exemplified below. 1 2 3 4 5 6 7 8 9 10 11 12 13 14 15 16 17 18 19 20 21 22 23 24 using System; // A generic subclass of a non-generic superclass. class SomeGenericSet1<T>: IntSet{ // ... } // A generic subclass of a constructed superclass class SomeGenericSet2<T>: Set<int>{ // ... } // A generic subclass of a generic superclass // The most realistic case class SpecializedSet<T>: Set<T>{ // ... } // A non-generic subclass of a generic superclass // Illegal. Compile-time error: // The type or namespace name 'T' could not be found class Set: Set<T>{ // ... } Program 42.16 Possible and impossible subclasses of Set classes. From line 4 to 6 we are about to program a generic class SomeGenericSet1<T> based on a non- generic class IntSet. This particular task seems to be a difficult endeavor, but it is legal - in general - to use a non-generic class as a subclass of generic class. Next, from line 9 to 11, we are about to program a generic class SomeGenericSet2<T> based on a constructed class Set<int>. This is also OK. From line 15-17 we show the most realistic case. Here we program a generic class based on another generic class. In the specific example, we are about to specialize Set<T> to SpecializedSet<T>. The type parameter T of SpecializedSet<T> also becomes the type parameter of Set<T>. In general, it would also be allowed for SpecializedSet<T> to introduce additional type parameters, such as in SpecializedSet<T,S> : Set<T>.
399 The case shown from line 22 to 24 is illegal, simply because T is not the name of any known type. In line 22, T is name of an actual type parameter, but T is not around! It is most likely that the programmer is confused about the roles of formal and actual type parameters, see Section 42.2. 42.11. References [Bracha2004] Gilad Bracha, "Generics in the Java Programming Language", July 2004. [Golding05] Tod Golding, Professional .NET 2.0 Generics. Wiley Publishing, Inc., 2005.
400
401 43. Generic Methods We are used to working with procedures, functions, and methods with parameters. Procedures, functions and methods are all known as abstractions. A parameter is like a variable that generalizes the abstraction. Each parameter of a procedure, a function, or a method is of a particular type. In this chapter we shall see how such types themselves can be passed as parameters to methods. When methods are parameterized with types, we talk about generic methods. 43.1. Generic Methods Lecture 11 - slide 18 In Section 42.2 we realized that a generic type (such as a generic class) is a template from which it is possible to construct a real class. In the same way, a generic method is template from which we can construct a real method. In C# and similar languages, all methods belong to classes. Some of these classes are generic, some are just simple, ordinary classes. We can have generic methods in both generic types, and in non- generic types. Our first example in Program 43.1 is the generic method ReportCompare in the non-generic class StringApp. ReportCompare is a method in the client class of String<T> which we encountered in Section 42.4. When we first met it, we where not interested in the details of it, so therefore it was dimmed in Program 42.6. Notice first that the method ReportCompare takes two ordinary parameters s and t. They are both of type String<T> for some given type T. The method is supposed to report the ordering of s relative to t via output written to the console. T is a (formal) type parameter of the method. Type parameters of methods are given in "triangular brackets" <...> in between the method name and the ordinary parameter list. It is highlighted with purple in Program 43.1. The formal type parameter of ReportCompare is passed on as an actual type parameter to our generic class String<T> from Section 42.4. If we look at our definition of the generic class String<T> in Program 42.5 we notice that T must implement Icomparable<T>. This is a constraint of T, identical to one of the constraints of type parameters of types, see Section 42.3. The only way to ensure this in Program 43.1 is to add the constraint to the generic method. This is the blue part, see line 15. Notice in line 7-11 of Program 43.1 that the actual type parameter of ReportCompare is not given explicitly. The actual type parameters of the five calls are conveniently inferred from the context. It is, however, possible to pass the actual type parameter explicitly. If we chose to do so, line 7 of Program 43.1 would be ReportCompare<int>(new String<int>(), new String<int>(1));
402 The remaining aspects of ReportMethod are simple and straightforward. 1 2 3 4 5 6 7 8 9 10 11 12 13 14 15 16 17 18 19 20 using System; class StringApp{ public static void Main(){ ReportCompare(new String<int>(), new String<int>(1)); ReportCompare(new String<int>(1), new String<int>(1)); ReportCompare(new String<int>(1,2,3), new String<int>(1)); ReportCompare(new String<int>(1), new String<int>(1,2,3)); ReportCompare(new String<int>(1,2,3), new String<int>(1,2,3)); } public static void ReportCompare<T>(String<T> s, String<T> t) where T: IComparable<T>{ Console.WriteLine("Result of comparing {0} and {1}: {2}", s, t, s.CompareTo(t)); } } Program 43.1 The generic method ReportCompare in the generic String programs. Let us now study an additional program example with generic methods. Program 43.2 contains a bubblesort method in line 5-11. Bubblesort sorts an array of element type T, where T is a type parameter of the method. The type parameter makes our bubblesort method more general, because it allow us to sort an array of arbitrary type T. The only requirement is, quite naturally, that objects/values of type type T should be comparable, such that we can ask if one value is less than or equal to another value. This is expressed by the Icomparable<T> constraint on T at the end of line 5. The implementation of bubblesort in Program 43.2 has no surprises. In a double for loop we compare and swap elements. Comparison is made possible because a[i] values are of type T that implements Icomparable<T>. Swapping of elements are done by the Swap method via use of C# ref parameters, see Section 20.6. Notice that Swap is also a generic method, because it can swap values/objects of arbitrary types. Be sure to notice the formal type parameter T of Swap in line 13. Finally we have the generic method ReportArray, (see line 18-21), which simply prints the values of the array to standard output. 1 2 3 4 5 6 7 8 9 10 11 12 using System; class SortDemo{ static void BubbleSort<T>(T[] a) where T: IComparable<T>{ int n = a.Length; for (int i = 0; i < n - 1; ++i) for (int j = n - 1; j > i; --j) if (a[j-1].CompareTo(a[j]) > 0) Swap(ref a[j-1], ref a[j]); }
403 13 14 15 16 17 18 19 20 21 22 23 24 25 26 27 28 29 30 31 32 33 34 35 36 37 38 39 40 public static void Swap<T>(ref T a, ref T b){ T temp; temp = a; a = b; b = temp; } public static void ReportArray<T>(T[] a){ foreach(T t in a) Console.Write("{0,4}", t); Console.WriteLine(); } public static void Main(){ double[] da = new double[]{5.7, 3.0, 6.9, -5,3, 0.3}; Die[] dia = new Die[]{new Die(), new Die(), new Die(), new Die(), new Die(), new Die()}; ReportArray(da); BubbleSort(da); ReportArray(da); Console.WriteLine(); ReportArray(dia); BubbleSort(dia); ReportArray(dia); Console.WriteLine(); // Equivalent: ReportArray(da); BubbleSort<double>(da); ReportArray(da); Console.WriteLine(); ReportArray(dia); BubbleSort<Die>(dia); ReportArray(dia); } } Program 43.2 A generic bubble sort program. In the Main method we make an array of doubles and an array of dice. Values of type double are comparable. We compile the program with a version of class Die that implements IComparable<T>, such as the Die class of Program 42.13. The calls of BubbleSort in line 29 and 31 do not supply an actual type parameter to BubbleSort<T>. The compiler is smart enough to infer the actual type parameter from the declared types of the variables da and dia respectively. In line 35 and 37 we show equivalent calls of BubbleSort to which we explicitly supply the actual type parameters double and Die. The output of Program 43.2 is shown in Listing 43.3 (only on web). 43.2. Generic Delegates Lecture 11 - slide 19 Delegates were introduced in Section 22.1. Recall from there that a delegate is a type of methods. In the previous section we learned about generic methods. It therefore not surprising that we also need to discuss generic delegates. In Program 22.3 we introduced a delegate NumericFunction, which covers all function from double to double. In the same program we also introduced Compose, which composes two numeric functions to a single numeric function. In mathematical notation, the composition of f and g is
404 denoted f o g, and it maps x to f(g(x)). We are now going to generalize the function Compose, such that it can be used on other functions of more general signatures. Let us assume that we work with two functions f and g of the following signatures: • g : T → U • f : U → S Thus, g maps a value of type T to a value of type U. f maps a value of type U to a value of type S. The composite function f o g therefore maps a value of type T to a value of type S via a value of type U: • f o g : T → S In line 6 of Program 43.4 we show a delegate called Function, which is a function type that maps a value of type S to values of type T. (It corresponds to NumericFunction in Program 22.3). In line 10-13 of Program 43.4 we show the function Compose, which we motivated above. Function is a generic delegate because it is type parameterized. Compose is a generic method, as discussed in Section 43.1. The generic method PrintTableOfFunction, shown in line 16-23, takes a Function f and an array inputValues of type S[], and it applies and prints f(s) on each element s of inputValues. 1 2 3 4 5 6 7 8 9 10 11 12 13 14 15 16 17 18 19 20 21 22 23 24 25 26 27 28 29 30 31 32 using System; public class CompositionDemo { // A function from S to T public delegate T Function <S,T>(S d); // The generic function for function composition // from T to S via U public static Function<T,S> Compose<T,U,S> (Function<U,S> f, Function<T,U> g){ return delegate(T d){return f(g(d));}; } // A generic PrintTable function public static void PrintTableOfFunction<S,T> (Function<S,T> f, string fname, S[] inputValues){ foreach(S s in inputValues) Console.WriteLine("{0,35}({1,-4:F3}) = {2}", fname, s, f(s)); Console.WriteLine(); } // DieFromInt: int -> Die public static Die DieFromInt(int i){ return new Die(i); } // Round: double -> int public static int Round(double d){ return (int)(Math.Round(d));
405 33 34 35 36 37 38 39 40 41 42 43 44 45 46 47 48 } public static void Main(){ double[] input = new double[25]; for(int i = 0; i < 25; i++) input[i] = (double) (i*2); // Compose(DieFromInt, Round): double -> Die // (via int) PrintTableOfFunction(Compose<double,int,Die>(DieFromInt, Round), "Die of double", input); } } Program 43.4 An example that involves other types than double. In line 43 of Main we compose the two functions DieFromInt and Round. They are both programmed explicitly, in line 26 and 31 respectively. The function Round maps a double to an int. The function DieFromInt maps an int to a Die. Thus, Compose(DieFromInt, Round) maps a double to a Die. Notice how we pass the three involved types double, int, and Die as actual type parameters to Compose in line 43. The version of class Die used in Program 43.4 can, for instance, be the class shown in Program 12.6. The parameter of the constructor determines the maximum number of eyes of the die. The output of Program 43.4 is shown in Listing 43.5 (only on web).
406 43.3. Generic types and methods - Pros and Cons Lecture 11 - slide 21 In this final section about generic types and methods we will briefly summarize the advantages and disadvantages of generics. • Advantages • Readability and Documentation • More precise indication of types. • Less downcasting from class Object • Type Checking • Better and more precise typechecking • Efficiency • There is a potential for more efficient programs • Less casting - fewer boxings • Disadvantages • Complexity • Yet another abstraction and parametrization-level on top of the existing This ends the general discussion of generics. In the lecture about collections, from Chapter 44 to Chapter 48, we will make heavy use of generic types.
407 44. Collections - History and Overview This chapter is the first in our coverage of collections. Collections are used to organize and process a number of objects or values of the same type. In almost any real-life program, collections of objects or values play important roles. Collections fit nicely in our agenda of object-oriented programming. A collection holds a number of objects (of the same type), but a concrete collection is also itself an object. The commonalities of a number of collections objects are described by the type of the collection objects. In the following chapters we will encounter a number of different interfaces and classes, which represent collection types. Not surprisingly, generic types as discussed in Chapter 42, play an important role when we wish to deal with collections that are constrained to contain only objects of a particular element type. In the rest of this short introductory chapter we will briefly outline the historic development of collection programming. In the main part of the lecture, Chapter 45 and Chapter 46, we deal with two main categories of collections: Lists and Dictionaries. 44.1. A historic View on Collection Programming Lecture 12 - slide 2 We identify three stages or epochs related to the development of collections: • Native arrays and custom made lists • Fixed sized arrays - limited set of operations • Variable sized linked lists - direct pointer manipulation • First generation collection classes • Elements of type Object - Flexible sizing - Rich repertoire of operations • Type unsafe - Casting - Inhomogeneous collections • Second generation collection classes • The flexibility of the first generation collections remains • Type safe - Generic - Type parameterized - Homogeneous Arrays are fundamental in imperative programming, for instance in C. In older programs - or old-fashioned programs - many collections are dealt with by means of arrays. Many modern programs still use arrays for collections, either due to old habits or because of the inherent efficiency of array processing. The efficiency of arrays stems from the fact that the memory needed for the elements is allocated as a single consecutive area of fixed size. Another fundamental technique for dealing with collections is encountered in linked lists. In linked list one elements is connected to the next element by a pointer. The linking is done by use of pointers. In single- linked list, an element is linked to its successor. In double-linked list, an element is both linked to its successor and to its predecessor. Linked trees, such as binary trees, are also common. In some languages (such as C and Pascal) linked data structures require explicit pointer manipulation. Other languages (such as Lisp) hide the pointers behind the scene.
408 First generation collection classes deemphasize the concrete representation of collections. Instead, the capabilities and interfaces (such as insertion, deletion, searching, conversion, etc) of collections are brought into focus. This reflects good and solid object-oriented thinking. Typical first-generation collection classes blur the distinction between (consecutive) arrays and (linked) lists. The concept of an ArrayList is seen both in early versions of Java and C#. Collection concepts are organized in type hierarchies: A List is a Collection and a Set is a Collection (see Section 25.2). The element type of collections is the most general type in the system, namely Object. As a consequence of this, it is hard to avoid collection of "pears" and "bananas" (inhomogeneous collections). Thus, type safeness must be dealt with at run-time. This is against the trend of static type checking and type safety. We will briefly review the first generation collection classes of C# in Chapter 47. The second (and current) generation of collections make use of generic types (type parameterized classes and interfaces), as discussed in Chapter 42. The weaknesses of the first generation collection classes have been the primary motivation for introduction all the complexity of genericity (see Chapter 41 where we motivated generic classes by a study of the class Set). With use of type parameterized classes we can statically express List<Banana> and List<Pear> and hereby eliminate the risk of type errors at run time. In the following chapters we will - with the exception of Chapter 47 - limit ourselves to study type parameterized collections.
409 45. Generic Collections in C# In this chapter we will study different list interfaces and classes. 45.1. Overview of Generic Collections in C# Lecture 12 - slide 4 We start by showing a type hierarchy of list-related types. The white boxes in Figure 45.1 are interfaces and the grey boxes are classes. Figure 45.1 The class and interface inheritance tree related to Lists All interfaces and classes seen in Figure 45.1, apart from Stack<T> and Queue<T>, will be discussed in the forthcoming sections of the current chapter. The class System.Array (see Section 28.2 ) which conceptually is the superclass of all native array types in C#, also implements the generic interfaces IList<T>. Notice, however, that Array 's implementation of IList<T> is carried out by special means, and that it does not show up in the usual C# documentation. A more detailed discussion of the Array class is carried out in Section 47.1. Version 3.5 of the .NET Framework contains a class, HashSet<T>, that supports the mathematical set concept. As such, it is similar to the class Set<T>, which we used as example for introduction of generic types in Section 42.1. HashSet<T> is, however, much more efficient than Set<T>. 45.2. The Interface IEnumerable<T> Lecture 12 - slide 5 At the most general level of Figure 45.1 traversability is emphasized. This covers the ability to step through all elements of a collection. The interface IEnumerable<T> announces one parameterless method called GetEnumerator. The type parameter T is the type of the elements in the collection. • Operations in the interface IEnumerable<T>: • IEnumerator<T> GetEnumerator ( )
410 As the name indicates, GetEnumerator returns an enumerator, which offers the following interface: • Operations in the interface IEnumerator<T>: • T Current • bool MoveNext( ) • void Reset ( ) We have discussed the non-generic versions of both interfaces in Section 31.6. An IEnumerator object is used as the basis of traversal in a foreach loop. Without access to an IEnumerator object it would not be possible to traverse the elements of a collection in a foreach loop. You do not very often use the GetEnumerator operation explicitly in your own program, but you most probably rely on it implicitly! The reason is that many of your collections are traversed, from one end to the other, by use of foreach. The foreach control structure would not work without the operation GetEnumerator. As you can see from Figure 45.1 all of our collections implement the interface IEnumerable<T> and hereby they provide the operation GetEnumerator. It is worth noticing that an object of type IEnumerator<T> does not support removal of elements from the collection. In C# it is therefore not allowed to remove elements during traversal of a collection in a foreach loop. In the Java counterpart to IEnumerator<T> (called Iterator in Java), there is a remove method. The remove method can be called once for each step forward in the collection. remove is an optional operation in the Java Iterator interface. Consequently, removal of elements is not necessarily supported by all implementations of the Java Iterator interface. 45.3. The Interface ICollection<T> Lecture 12 - slide 6 At the next level of Figure 45.1 we encounter the ICollection<T> interface. It can be summarized as follows. • Operations in the interface ICollection<T>: • The operation prescribed in the superinterface IEnumerable<T> • bool Contains(T element) • void Add(T element) • bool Remove(T element) • void Clear() • void CopyTo(T[] targetArray, int startIndex) • int Count • bool IsReadOnly In addition to traversability, elements of type T can be added to and removed from objects of type ICollection<T>. At this level of abstraction, it is not specified where in the collection an element is added. As listed about, a few other operations are supported: Membership testing (Contains), resetting (Clear), copying of the collection to an array (CopyTo), and measuring of size (Count). Some collections cannot be
411 mutated once they have been created. The IsReadOnly property allows us to find out if a given ICollection object is a read only collection. 45.4. The Interface IList<T> Lecture 12 - slide 7 At the next level of interfaces in Figure 45.1 we meet IList<T>. This interface prescribes random access to elements. • Operations in the interface IList<T>: • Those prescribed in the superinterfaces ICollection<T> and IEnumerable<T> • T this[int index] • int IndexOf(T element) • void Insert(int index, T element) • void RemoveAt(int index) In addition to ICollection<T>, the type IList<T> allows for indexed access to the T elements. The first mentioned operation (this) is an indexer, and IndexOf is its inverse operation. (See Chapter 19 for a general discussion of indexers). In addition, IList<T> has operations for inserting and removing elements at given index positions. 45.5. Overview of the class Collection<T> Lecture 12 - slide 8 We now encounter the first class in the collection hierarchy, namely Collection<T>. Most interfaces and classes discussed in this chapter belong to the namespace System.Collections.Generic, but of some odd reason the class Collection<T> belongs to System.Collections.ObjectModel. As can be seen from Figure 45.1 the generic class Collection<T> implements the generic interface IList<T>. As such it supports all the operations of the three interfaces we discussed in Section 45.2 - Section 45.4. As it appears from Figure 45.1 the generic class List<T> implements the same interface. It turns out that Collection<T> is a minimal class which implements the three interfaces, and not much more. As we will see in Section 45.9, List<T> has many more operations, most of which are not prescribed by the interfaces it implement. Basically, an instance of Collection<T> supports indexed access to its elements. Contrary to arrays, however, there is no limit on the number of elements in the collection. The generic class Collection<T> has another twist: It is well suited as a superclass for specialized (non-generic) collections. We will see why and how in Section 45.7. We will not summarize the public interface of Collection<T> in the paper version of material, because it is the sum of the interfaces of IEnumerable<T>, ICollection<T>, and IList<T>. You should, however notice the two constructors of Collection<T>, a parameterless constructor and a non-copying, "wrapping" constructor on an IList<T>.
412 Collection initializers are new in C# 3.0. Instead of initializing a collection via an IList, typically an array, such as in Collection<int> lst = new Collection<int>(new int[]{1, 2, 3, 4}); it is possible in C# 3.0 to make use of collection initializers: Collection<int> lst = new Collection{1, 2, 3, 4}; A collection initializer uses the Add method repeatedly to insert the elements within {...} into an empty list. Collection initializers are often used in concert with object initializers, see Section 18.4, to provide for smooth creation of collection of objects, which are instances of our own types. You may be interested to know details of the actual representation (data structure) used internally in the generic class Collection<T>. Is it an array? Is it a linked list? Or is it something else, such as a mix of arrays and lists, or a tree structure? Most likely, it is a resizeable array. Notice however that from an object- oriented programming point of view (implying encapsulation and visibility control) it is inappropriate to ask such a question. It is sufficient to know about the interface of Collection<T> together with the time complexities of the involved operations. (As an additional remark, the source code of the C# libraries written by Microsoft is not generally available for inspection. Therefore we cannot easily check the representation details of the class). The interface of Collection<T> includes details about the execution times of the operations of Collection<T> relative to the size of a collection. We deal with timing issues of the operations in the collection classes in Section 45.17. 45.6. Sample use of class Collection<T> Lecture 12 - slide 9 Let us now write a program that shows how to use the central operations in Collection<T>. In Program 45.1 we use an instance of the constructed class Collection<char>. Thus, we deal with a collection of character values. It is actually worth noticing that we in C# can deal with collections of value types (such as Collection<char>) as well as collections of reference types (such as Collection<Point>). 1 2 3 4 5 6 7 8 9 10 11 12 13 14 15 16 17 18 using System; using System.Collections.ObjectModel; using System.Collections.Generic; class BasicCollectionDemo{ public static void Main(){ // Initialization - use of a collection initializer. After that add 2 elements. IList<char> lst = new Collection<char>{'a', 'b', 'c'}; lst.Add('d'); lst.Add('e'); ReportList("Initial List", lst); // Mutate existing elements in the list: lst[0] = 'z'; lst[1]++; ReportList("lst[0] = 'z'; lst[1]++;", lst); // Insert and push towards the end:
413 19 20 21 22 23 24 25 26 27 28 29 30 31 32 33 34 35 36 37 38 39 40 41 42 43 44 45 46 47 lst.Insert(0,'n'); ReportList("lst.Insert(0,'n');", lst); // Insert at end - with Insert: lst.Insert(lst.Count,'x'); // equivalent to lst.Add('x'); ReportList("lst.Insert(lst.Count,'x');", lst); // Remove element 0 and pull toward the beginning: lst.RemoveAt(0); ReportList("lst.RemoveAt(0);", lst); // Remove first occurrence of 'c': lst.Remove('c'); ReportList("lst.Remove('c');", lst); // Remove remaining elements: lst.Clear(); ReportList("lst.Clear(); ", lst); } public static void ReportList<T>(string explanation, IList<T> list){ Console.WriteLine(explanation); foreach(T el in list) Console.Write("{0, 3}", el); Console.WriteLine(); Console.WriteLine(); } } Program 45.1 Basic operations on a Collection of characters. The program shown above explains itself in the comments, and the program output in Listing 45.2 is also relatively self-contained. Notice the use of the collection initializer in line 9 of Program 45.1. As mentioned in Section 45.5 collection initializers have been introduced in C# 3.0. In earlier versions of C# it was necessary to initialize a collection by use or an array initializer (see the discussion of Program 6.7) via the second constructor mentioned above. 1 2 3 4 5 6 7 8 9 10 11 12 13 14 15 16 17 18 19 Initial List a b c d e lst[0] = 'z'; lst[1]++; z c c d e lst.Insert(0,'n'); n z c c d e lst.Insert(lst.Count,'x'); n z c c d e x lst.RemoveAt(0); z c c d e x lst.Remove('c'); z c d e x lst.Clear(); Listing 45.2 Output of the program with basic operations on a Collection of characters.
414 We make the following important observations about the operations in Collection<T>: • The indexer lst[idx] = expr mutates an existing element in the collection • The length of the collection is unchanged • The Insert operation splices a new element into the collection • Push subsequent elements towards the end of the collection • Makes the collection longer • The Remove and RemoveAt operations take elements out of the collections • Pull subsequent elements towards the beginning of the collection • Makes the collection shorter 45.7. Specialization of Collections Lecture 12 - slide 10 Let us now assume that we wish to make our own, specialized (non-generic) collection class of a particular type of objects. Below we will - for illustrative purposes - write a class called AnimalFarm which is intended to hold instances of class Animal. It is reasonable to program AnimalFarm as a subclass of an existing collection class. In this section we shall see that Collection<Animal> is a good choice of superclass of AnimalFarm. The class AnimalFarm depends on the class Animal. You are invited to take a look at class Animal via the accompanying slide . We do not include class Animal here because it does not add new insight to our interests in collection classes. The four operations of class AnimalFarm are shown below. 1 2 3 4 5 6 7 8 9 10 11 12 13 14 15 16 17 18 19 20 21 22 23 24 25 26 using System; using System.Collections.ObjectModel; public class AnimalFarm: Collection<Animal>{ protected override void InsertItem(int i, Animal a){ base.InsertItem(i,a); Console.WriteLine("**InsertItem: {0}, {1}", i, a); } protected override void SetItem(int i, Animal a){ base.SetItem(i,a); Console.WriteLine("**SetItem: {0}, {1}", i, a); } protected override void RemoveItem(int i){ base.RemoveItem(i); Console.WriteLine("**RemoveItem: {0}", i); } protected override void ClearItems(){ base.ClearItems(); Console.WriteLine("**ClearItems"); } } Program 45.3 A class AnimalFarm - a subclass of Collection<Animal> - testing protected members.
415 It is important to notice that the four highlighted operations in Program 45.3 are redefinitions of virtual, protected methods in Collection<Animal>. Each of the methods activate the similar method in the superclass (this is method combination). In addition, they reveal on standard output that the protected method has been called. A more realistic example of class AnimalFarm will be presented in Program 45.6. The four operations are not part of the client interface of class AnimalFarm. They are protected operations. The client interface of AnimalFarm is identical to the public operations inherited from Collection<Animal>. It means that we use the operations Add, Insert, Remove etc. on instances of class AnimalFarm. We should now understand the role of the four protected operations InsertItem, RemoveItem, SetItem, and ClearItems relative to the operations in the public client interface. Whenever an element is inserted into a collection, the protected method InsertItem is called. Both Add and Insert are programmed by use of InsertItem. Similarly, both Remove and RemoveAt are programmed by use of RemoveItem. And so on. We see that the major functionality behind the operations in Collection<T> is controlled by the four protected methods InsertItem, RemoveItem, SetItem, and ClearItems. 1 2 3 4 5 6 7 8 9 10 11 12 13 14 15 16 17 18 19 20 21 22 23 24 25 26 27 28 29 30 31 32 33 34 35 36 37 38 39 40 41 42 43 44 using System; using System.Collections.ObjectModel; class App{ public static void Main(){ AnimalFarm af = new AnimalFarm(); // Populating the farm with Add af.Add(new Animal("elephant")); af.Add(new Animal("giraffe")); af.Add(new Animal("tiger")); ReportList("Adding elephant, giraffe, and tiger with Add(...)", af); // Additional population with Insert af.Insert(0, new Animal("dog")); af.Insert(0, new Animal("cat")); ReportList("Inserting dog and cat at index 0 with Insert(0, ...)", af); // Mutate the animal farm: af[1] = new Animal("herring", AnimalGroup.Fish, Sex.Male); ReportList("After af[1] = herring", af); // Remove tiger af.Remove(new Animal("tiger")); ReportList("Removing tiger with Remove(...)", af); // Remove animal at index 2 af.RemoveAt(2); ReportList("Removing animal at index 2, with RemoveAt(2)", af); // Clear the farm af.Clear(); ReportList("Clear the farm with Clear()", af); } public static void ReportList<T>(string explanation, Collection<T> list){ Console.WriteLine(explanation); foreach(T el in list) Console.WriteLine("{0, 3}", el); Console.WriteLine(); Console.WriteLine(); } }
416 Program 45.4 A sample client of AnimalFarm - revealing use of protected Collection<Animal> methods. Take a close look at the output of Program 45.4 in Listing 45.5. The output explains the program behavior. 1 2 3 4 5 6 7 8 9 10 11 12 13 14 15 16 17 18 19 20 21 22 23 24 25 26 27 28 29 30 31 32 33 34 35 36 37 38 39 40 41 42 43 44 45 **InsertItem: 0, Animal: elephant **InsertItem: 1, Animal: giraffe **InsertItem: 2, Animal: tiger Adding elephant, giraffe, and tiger with Add(...) Animal: elephant Animal: giraffe Animal: tiger **InsertItem: 0, Animal: dog **InsertItem: 0, Animal: cat Inserting dog and cat at index 0 with Insert(0, ...) Animal: cat Animal: dog Animal: elephant Animal: giraffe Animal: tiger **SetItem: 1, Animal: herring After af[1] = herring Animal: cat Animal: herring Animal: elephant Animal: giraffe Animal: tiger **RemoveItem: 4 Removing tiger with Remove(...) Animal: cat Animal: herring Animal: elephant Animal: giraffe **RemoveItem: 2 Removing animal at index 2, with RemoveAt(2) Animal: cat Animal: herring Animal: giraffe **ClearItems Clear the farm with Clear() Listing 45.5 Output from sample client of AnimalFarm.
417 45.8. Specialization of Collections - a realistic example Lecture 12 - slide 11 The protected methods in class AnimalFarm, as shown in Section 45.7, did only reveal if/when the protected methods were called by other methods. In this section we will show a more realistic example that redefines the four protected methods of Collection<T> in a more useful way. In the example we program the following semantics of the insertion and removal operations of class AnimalFarm: • If we add an animal, an additional animal of the opposite sex is also added. • Any animal removal or clearing of an animal farm is rejected. In addition, we add a GetGroup operation to AnimalFarm, which returns a collection (an sub animal farm) of all animals that belongs to a given group (such as all birds). The class Animal has not been changed, and it still available via accompanying slide. 1 2 3 4 5 6 7 8 9 10 11 12 13 14 15 16 17 18 19 20 21 22 23 24 25 26 27 28 29 30 31 32 33 34 35 using System; using System.Collections.ObjectModel; public class AnimalFarm: Collection<Animal>{ // Auto insert animal of opposite sex protected override void InsertItem(int i, Animal a){ if(a.Sex == Sex.Male){ base.InsertItem(i,a); base.InsertItem(i, new Animal(a.Name, a.Group, Sex.Female)); } else { base.InsertItem(i,a); base.InsertItem(i,new Animal(a.Name, a.Group, Sex.Male)); } } // Prevent removal protected override void RemoveItem(int i){ Console.WriteLine("[Removal denied]"); } // Prevent clearing protected override void ClearItems(){ Console.WriteLine("[Clearing denied]"); } // Return all male animals in a given group public AnimalFarm GetGroup(AnimalGroup g){ AnimalFarm res = new AnimalFarm(); foreach(Animal a in this) if (a.Group == g && a.Sex == Sex.Male) res.Add(a); return res; } } Program 45.6 The class AnimalFarm - a subclass of Collection<Animal>. Notice the way we implement the rejection in RemoveItem and ClearItems: We do not call the superclass operation.
418 In Program 45.7 (only on web) we show an AnimalFarm client program similar (but not not identical) to Program 45.4. The program output in Listing 45.8 (only on web) reveals the special semantics of the virtual, protected operations from Collection<T> - as redefined in Program 45.6. 45.9. Overview of the class List<T> Lecture 12 - slide 12 We are now going to study the generic class List<T>. As it appears from Figure 45.1 both List<T> and Collection<T> implement the same interface, namely IList<T>, see Section 45.4. But as already noticed, List<T> offers many more operations than Collection<T>. In the same style as in earlier sections, we provide an overview of the important operations of List<T>. • Constructors • List(), List(IEnumerable<T>), List(int) • Via a collection initializer: new List<T> {t1, t2, ..., tn} • Element access • this[int], GetRange(int, int) • Measurement • Count, Capacity • Element addition • Add(T), AddRange(IEnumerable<T>), Insert(int, T), InsertRange(int, IEnumerable<T>) • Element removal • Remove(T), RemoveAll(Predicate<T>), RemoveAt(int), RemoveRange(int, int), Clear() • Reorganization • Reverse(), Reverse(int, int), Sort(), Sort(Comparison<T>), Sort(IComparer<T>), Sort(int, int, IComparer<T>) • Searching • BinarySearch(T), BinarySearch(int, int, T, IComparer<T>), BinarySearch(T, IComparer<T>) • Find(Predicate<T>), FindAll(Predicate<T>), FindIndex(Predicate<T>), FindLast(Predicate<T>), FindLastIndex(Predicate<T>), IndexOf(T), LastIndexOf(T) • Boolean queries • Contains(T), Exists(Predicate<T>), TrueForAll(Predicate<T>) • Conversions • ConvertAll<TOutput>(Converter<T,TOutput>), CopyTo(T[]), Compared with Collection<T> the class List<T> offers sorting, searching, reversing, and conversion operations. List<T> also has a number of "range operations" which operate on a number of elements via a single operation. We also notice a number of higher-order operations: Operations that take a delegate value (a function) as parameter. ConvertAll is a generic method which is parameterized with the type TOutput. ConvertAll accepts a function of delegate type which converts from type T to TOutput.
419 45.10. Sample use of class List<T> Lecture 12 - slide 13 In this and the following sections we will show how to use some of the operations in List<T>. We start with a basic example similar to Program 45.1 in which we work on a list of characters: List<char>. We insert a number of char values into a list, and we remove some values as well. The program appears in Program 45.9 and the self-explaining output can be seen in Listing 45.10 (only on web). Notice in particular how the range operations InsertRange (line 28) and RemoveRange (line 40) operate on the list. 1 2 3 4 5 6 7 8 9 10 11 12 13 14 15 16 17 18 19 20 21 22 23 24 25 26 27 28 29 30 31 32 33 34 35 36 37 38 39 40 41 42 43 44 45 46 47 48 49 50 51 using System; using System.Collections.Generic; /* Very similar to our illustration of class Collection<char> */ class BasicListDemo{ public static void Main(){ // List initialization and adding elements to the end of the list: List<char> lst = new List<char>{'a', 'b', 'c'}; lst.Add('d'); lst.Add('e'); ReportList("Initial List", lst); // Mutate existing elements in the list lst[0] = 'z'; lst[1]++; ReportList("lst[0] = 'z'; lst[1]++;", lst); // Insert and push towards the end lst.Insert(0,'n'); ReportList("lst.Insert(0,'n');", lst); // Insert at end - with Insert lst.Insert(lst.Count,'x'); // equivalent to lst.Add('x'); ReportList("lst.Insert(lst.Count,'x');", lst); // Insert a new list into existing list, at position 2. lst.InsertRange(2, new List<char>{'1', '2', '3', '4'}); ReportList("lst.InsertRange(2, new List<char>{'1', '2', '3', '4'});", lst); // Remove element 0 and push toward the beginning lst.RemoveAt(0); ReportList("lst.RemoveAt(0);", lst); // Remove first occurrence of 'c' lst.Remove('c'); ReportList("lst.Remove('c');", lst); // Remove 2 elements, starting at element 1 lst.RemoveRange(1, 2); ReportList("lst.RemoveRange(1, 2);", lst); // Remove all remaining digits lst.RemoveAll(delegate(char ch){return Char.IsDigit(ch);}); ReportList("lst.RemoveAll(delegate(char ch){return Char.IsDigit(ch);});", lst); // Test of all remaining characters are letters if (lst.TrueForAll(delegate(char ch){return Char.IsLetter(ch);})) Console.WriteLine("All characters in lst are letters"); else Console.WriteLine("NOT All characters in lst are letters"); }
420 52 53 54 55 56 57 58 59 60 public static void ReportList<T>(string explanation, List<T> list){ Console.WriteLine(explanation); foreach(T el in list) Console.Write("{0, 3}", el); Console.WriteLine(); Console.WriteLine(); } } Program 45.9 Basic operations on a List of characters. 45.11. Sample use of the Find operations in List<T> Lecture 12 - slide 14 In this section we will illustrate how to use the search operations in List<T>. More specifically, we will apply the methods Find, FindAll and IndexOf on an instance of List<Point>, where Point is a type, such as defined by the struct in Program 14.12. The operations discussed in this section do all use linear search. It means that they work by looking at one element after the other, in a rather trivial way. As a contrast, we will look at binary search operations in Section 45.13, which searches in a "more advanced" way. In the program below - Program 45.11 - we declare a List<Point> in line 11, and we add six points to the list in line 13-16. In line 20 we shown how to use Find to locate the first point in the list whose x-coordinate is equal to 5. The same is shown in line 25. The difference between the two uses of Find is that the first relies on a delegate given on the fly: delegate(Point q){return (q.Getx() == 5);}, while the other relies on an existing static method FindX5 (defined in line 40 - 42). The approach shown in line 20 is, in my opinion, superior. In line 29 we show how to use the variant FindAll, which returns a Point list instead of just a single Point, as returned by Find. In line 36 we show how IndexOf can be used to find the index of a given Point in a Point list. It is worth asking how the Point parameter of IndexOf is compared with the points in Point list. The documentation states that the points are compared by use of the default equality comparer of the type T, which in our case is struct Point. We have discussed the default equality comparer in Section 42.9 in the slipstream of our coverage of the generic interfaces IEquatable<T> and IEqualityComparer<T>. We use the static method ReportList to show a Point list on standard output. We call ReportList several times in Program 45.11. The program output is shown in Listing 45.12. 1 2 3 4 5 6 7 8 9 10 11 12 13 14 15 16 using System; using System.Collections.Generic; class C{ public static void Main(){ System.Threading.Thread.CurrentThread.CurrentCulture = new System.Globalization.CultureInfo("en-US"); List<Point> pointLst = new List<Point>(); // Construct points and point list: pointLst.Add(new Point(0,0)); pointLst.Add(new Point(5, 9)); pointLst.Add(new Point(5,4)); pointLst.Add(new Point(7.1,-13)); pointLst.Add(new Point(5,-2)); pointLst.Add(new Point(14,-3.4));
421 17 18 19 20 21 22 23 24 25 26 27 28 29 30 31 32 33 34 35 36 37 38 39 40 41 42 43 44 45 46 47 48 49 50 51 52 53 54 55 ReportList("Initial point list", pointLst); // Find first point in list with x coordinate 5 Point p = pointLst.Find(delegate(Point q){return (q.Getx() == 5);}); Console.WriteLine("Found with delegate predicate: {0}n", p); // Equivalent. Use predicate which is a static method p = pointLst.Find(new Predicate<Point>(FindX5)); Console.WriteLine("Found with static member predicate: {0}n", p); // Find all points in list with x coordinate 5 List<Point> resLst = new List<Point>(); resLst = pointLst.FindAll(delegate(Point q){return (q.Getx() == 5);}); ReportList("All points with x coordinate 5", resLst); // Find index of a given point in pointLst. // Notice that Point happens to be a struct - thus value comparison Point searchPoint = new Point(5,4); Console.WriteLine("Index of {0} {1}", searchPoint, pointLst.IndexOf(searchPoint)); } public static bool FindX5(Point p){ return p.Getx() == 5; } public static void ReportList<T>(string explanation,List<T> list){ Console.WriteLine(explanation); int cnt = 0; foreach(T el in list){ Console.Write("{0, 3}", el); cnt++; if (cnt%4 == 0) Console.WriteLine(); } if (cnt%4 != 0) Console.WriteLine(); Console.WriteLine(); } } Program 45.11 Sample uses of List.Find. 1 2 3 4 5 6 7 8 9 10 11 12 Initial point list Point:(0,0). Point:(5,9). Point:(5,4). Point:(7.1,-13). Point:(5,-2). Point:(14,-3.4). Found with delegate predicate: Point:(5,9). Found with static member predicate: Point:(5,9). All points with x coordinate 5 Point:(5,9). Point:(5,4). Point:(5,-2). Index of Point:(5,4). 2 Listing 45.12 Output from the Find program.
422 45.12. Sample use of Sort in List<T> Lecture 12 - slide 15 As a client user of the generic class List<T> it is likely that you never need to write a sorting procedure! You are supposed to use one of the already existing Sort methods in List<T>. Sorting the elements in a collection of elements of type T depends on a less than or equal operation on T. If the type T is taken directly from the C# libraries, it may very well be the case that we can just use the default less than or equal operation of the type T. If T is one of our own types, we will have to supply an implementation of the comparison operation ourselves. This can be done by passing a delegate object to the Sort method. Below, in Program 45.13 we illustrate most of the four overloaded Sort operations in List<T>. The actual type parameter in the example, passed for T, is int. The program output (the lists before and after sorting) is shown in Listing 45.14 (only on web). 1 2 3 4 5 6 7 8 9 10 11 12 13 14 15 16 17 18 19 20 21 22 23 24 25 26 27 28 29 30 31 32 33 34 35 36 37 38 39 40 41 42 43 44 using System; using System.Collections.Generic; class C{ public static void Main(){ List<int> listOriginal = new List<int>{5, 3, 2, 7, -4, 0}, list; // Sorting by means of the default comparer of int: list = new List<int>(listOriginal); ReportList(list); list.Sort(); ReportList(list); Console.WriteLine(); // Equivalent - explicit notatation of the Comparer: list = new List<int>(listOriginal); ReportList(list); list.Sort(Comparer<int>.Default); ReportList(list); Console.WriteLine(); // Equivalent - explicit instantiation of an IntComparer: list = new List<int>(listOriginal); ReportList(list); list.Sort(new IntComparer()); ReportList(list); Console.WriteLine(); // Similar - use of a delegate value for comparison: list = new List<int>(listOriginal); ReportList(list); list.Sort(delegate(int x, int y){ if (x < y) return -1; else if (x == y) return 0; else return 1;}); ReportList(list); Console.WriteLine(); }
423 45 46 47 48 49 50 51 52 53 54 55 56 57 58 59 60 61 public static void ReportList<T>(List<T> list){ foreach(T el in list) Console.Write("{0, 3}", el); Console.WriteLine(); } } public class IntComparer: Comparer<int>{ public override int Compare(int x, int y){ if (x < y) return -1; else if (x == y) return 0; else return 1; } } Program 45.13 Four different activations of the List.Sort method. Throughout Program 45.13 we do several sortings of listOriginal, as declared in line 8. In line 14 we rely the default comparer of type int. The default comparer is explained in the following way in the .NET framework documentation of List.Sort: This method uses the default comparer Comparer.Default for type T to determine the order of list elements. The Comparer.Default property checks whether type T implements the IComparable generic interface and uses that implementation, if available. If not, Comparer.Default checks whether type T implements the IComparable interface. If type T does not implement either interface, Comparer.Default throws an InvalidOperationException. The sorting done in line 21 is equivalent to line 14. In line 21 we show how to pass the default comparer of type int explicitly to the Sort method. Let us now assume the type int does not have a default comparer. In other words, we will have to implement the comparer ourselves. The call of Sort in line 28 passes a new IntComparer instance to Sort. The class IntComparer is programmed in line 53-61, at the bottom of Program 45.13. Notice that IntComparer is a subclass of Comparer<int>, which is an abstract class in the namespace System.Collections.Genericwith an abstract method named Compare. The generic class Comparer<T> is in many ways similar to the class EqualityComparer<T>, which we touched on in Section 42.9. Most important, both have a static Default property, which returns a comparer object. As a final resort that always works we can pass a comparer function to Sort. In C#, such a function is programmed as a delegate. (Delegates are discussed in Chapter 22). Line 35-40 shows how this can be done. Notice that the delegate we use is programmed on the fly. This style of programming is a reminiscence of functional programming. I find it much more natural to pass an ordering method instead of an object of a class with an ordering method. (The latter is a left over from older object-oriented programming languages in which the only way to pass a function F as parameter is via an object of a class in which F is an instance method). In general, I also prefer to be explicit about the ordering instead of relying on some default ordering which may turn out to surprise you. Let us summarize the lessons that we have learned from the example:
424 • Some types have a default comparer which is used by List.Sort() • The default comparer of T can extracted by Comparer<T>.Default • An anonymous delegate comparer is attractive if the default comparer of the type does not exist, of if it is inappropriate. Exercise 12.1. Shuffle List Write a Shuffle operation that disorders the elements of a collection in a random fashion. A shuffle operation is useful in many context. There is no Shuffle operation in System.Collections.Generic.List<T>. In the similar Java libraries there is a shuffle method. In which class do you want to place the Shuffle operation? You may consider to make use of extension methods. You can decide on programming either a mutating or a non-mutating variant of the operation. Be sure to understand the difference between these two options. Test the Shuffle operation, for instance on List<Card>. The class Card (representing a playing card) is one of the classes we have seen earlier in the course. Exercise 12.2. Course and Project classes In the earlier exercise about courses and projects (found in the lecture about abstract classes and interfaces) we refined the program about BooleanCourse, GradedCourse, and Project. Revise your solution (or the model solution) such that the courses in the class Project are represented as a variable of type List<Course> instead of by use of four variables of type Course. Reimplement and simplify the method Passed in class Project. Take advantage of the new representation of the courses in a project, such that the "3 out of 4 rule" (see the original exercise) is implemented in a more natural way. 45.13. Sample use of BinarySearch in List<T> Lecture 12 - slide 16 The search operations discussed in Section 45.11 all implemented linear search processes. The search operations of this section implement binary search processes, which are much faster when applied on large collections. On collections of size n, linear search has - not surprisingly - time complexity O(n). Binary search has time complexity O(log n). When n is large, the difference between n and log n is dramatic. The BinarySearch operations in List<T> require, as a precondition, that the list is ordered before the search is performed. If necessary, the Sort operation (see Section 45.12) can be used to establish the ordering. You may ask why we should search for an element which we - in the starting point - is able to pass as input to the BinarySearch method. There is a couple of good answers. First, we may be interested to know if the element is present or not in the list. Second, it may also be possible to search for an incomplete object (by only comparing some selected fields in the Comparer method). Using this approach we are actually interested in finding the complete object, with all the data fields, in the collection.
425 If the BinarySearch operation finds an element in the list, the index of the element is returned. This is a non- negative integer. If the element is not found, a negative integer, say i, is returned. Below we will see that that -i (or more precisely the bitwise complement ~i) in that case is the position of the element, if it had been present in the list. 1 2 3 4 5 6 7 8 9 10 11 12 13 14 15 16 17 18 19 20 21 22 23 24 25 26 27 28 29 30 31 32 33 34 35 36 37 38 39 40 41 42 43 44 45 46 47 48 49 50 51 52 53 54 55 56 57 58 59 using System; using System.Collections.Generic; class BinarySearchDemo{ public static void Main(){ System.Threading.Thread.CurrentThread.CurrentCulture = new System.Globalization.CultureInfo("en-US"); List<Point> pointLst = new List<Point>(); // Point is a struct. // Construct points and point list: pointLst.Add(new Point(0,0)); pointLst.Add(new Point(5, 9)); pointLst.Add(new Point(5,4)); pointLst.Add(new Point(7.1,-13)); pointLst.Add(new Point(5,-2)); pointLst.Add(new Point(14,-3.4)); ReportList("The initial point list", pointLst); // Sort point list, using a specific point Comparer. // Notice the PointComparer: // Ordering according to sum of x and y coordinates IComparer<Point> pointComparer = new PointComparer(); pointLst.Sort(pointComparer); ReportList("The sorted point list", pointLst); int res; Point searchPoint; // Run-time error. // Failed to compare two elements in the array. // searchPoint = new Point(5,4); // res = pointLst.BinarySearch(searchPoint); // Console.WriteLine("BinarySearch for {0}: {1}", searchPoint, res); searchPoint = new Point(5,4); res = pointLst.BinarySearch(searchPoint, pointComparer); Console.WriteLine("BinarySearch for {0}: {1}", searchPoint, res); searchPoint = new Point(1,8); res = pointLst.BinarySearch(searchPoint, pointComparer); Console.WriteLine("BinarySearch for {0}: {1}", searchPoint, res); } public static void ReportList<T>(string explanation,List<T> list){ Console.WriteLine(explanation); int cnt = 0; foreach(T el in list){ Console.Write("{0, 3}", el); cnt++; if (cnt%4 == 0) Console.WriteLine(); } if (cnt%4 != 0) Console.WriteLine(); Console.WriteLine(); } } // Compare the sum of the x and y coordinates.
426 60 61 62 63 64 65 66 67 68 69 70 71 // Somewhat non-traditional! public class PointComparer: Comparer<Point>{ public override int Compare(Point p1, Point p2){ double p1Sum = p1.Getx() + p1.Gety(); double p2Sum = p2.Getx() + p2.Gety(); if (p1Sum < p2Sum) return -1; else if (p1Sum == p2Sum) return 0; else return 1; } } Program 45.15 Sample uses of List.BinarySearch. Program 45.15 works on a list of points. Six points are created and inserted into a list in line 13-16. Next, in line 23, the list is sorted. As it appears from the Point comparer programmed in line 62-72, a point p is less than or equal to point q, if p.x + p.y <= q.x + q.y. You may think that this is odd, but it is our decision for this particular program example. In line 33 we attempt to activate binary searching by use of the default comparer. But such a comparer does not exist for class Point. This problem is revealed at run-time. In line 37 and 41 we search for the points (5,4) and (1,8) respectively. In both cases we expect to find the point (5,4), which happens to be located at place 3 in the sorted list. The output of the program, shown in Program 45.17 (only on web) confirms this. In the next program, Program 45.17 we illustrate what happens if we search for a non-existing point with BinarySearch. The class PointComparer and the generic method ReportList are not shown in the paper version of Program 45.17. Please consult Program 45.15 where they both appear. 1 2 3 4 5 6 7 8 9 10 11 12 13 14 15 16 17 18 19 20 21 22 23 24 25 26 27 28 29 using System; using System.Collections.Generic; class BinarySearchDemo{ public static void Main(){ System.Threading.Thread.CurrentThread.CurrentCulture = new System.Globalization.CultureInfo("en-US"); List<Point> pointLst = new List<Point>(); // Construct points and point list: pointLst.Add(new Point(0,0)); pointLst.Add(new Point(5, 9)); pointLst.Add(new Point(5,4)); pointLst.Add(new Point(7.1,-13)); pointLst.Add(new Point(5,-2)); pointLst.Add(new Point(14,-3.4)); ReportList("Initial point list", pointLst); // Sort point list, using a specific point Comparer: IComparer<Point> pointComparer = new PointComparer(); pointLst.Sort(pointComparer); ReportList("Sorted point list", pointLst); int res; Point searchPoint; searchPoint = new Point(1,1); res = pointLst.BinarySearch(searchPoint, pointComparer); Console.WriteLine("BinarySearch for {0}: {1}n", searchPoint, res);
427 30 31 32 33 34 35 36 37 38 39 40 41 42 if (res < 0){ // search point not found pointLst.Insert(~res, searchPoint); // Insert searchPoint such // that pointLst remains sorted Console.WriteLine("Inserting {0} at index {1}", searchPoint, ~res); ReportList("Point list after insertion", pointLst); } } // ReportList not shown } // Class PointComparer not shown Program 45.17 Searching for a non-existing Point. The scene of Program 45.17 is the same as that of Program 45.15. In line 28 we do binary searching, looking for the point (1,1). None of the points in the program have an "x plus y sum" of 2. Therefore, the point (1,1) is not located by BinarySearch. The BinarySearch method returns a negative ghost index. The ghost index is the bitwise complement of the index where to insert the point in such a way that the list will remain sorted. (Notice the bitwise complement operation ~ which turns 0 to 1 and 1 to 0 at the binary level). The program output reveals that position ~(-3) is the natural place of the point (1,1) to maintain the ordering of the list. Notice that the value of ~(-3) is 2, due the use of two's complement arithmetic. This explains the rationale of the negative values returned by BinarySearch. The output of Program 45.17 is shown in Listing 45.18 (only on web). Contrary to Sort, it is not possible to pass a delegate to BinarySearch. This seems to be a flaw in the design of the List<T> library. We have learned the following lessons about BinarySearch: • Binary search can only be done on sorted lists • In order to use binary search, we need - in general - to provide an explicit Comparer object • Binary search returns a (non-negative) integer if the element is found • The index of the located element • Binary search returns a negative integer if the element is not found • The complement of this number is a ghost index • The index of the element if it had been in the list 45.14. Overview of the class LinkedList<T> Lecture 12 - slide 17 The collections implemented by Collection<T> of Section 45.5 and List<T> of Section 45.9 were based on arrays. We will now turn our interest towards a list type, which is based on a linked representation. Below, in Figure 45.2 we show the object-structure of a double linked list.
428 Figure 45.2 A double linked list where instances of LinkedListNode keep the list together The generic class LinkedList<T> relies on a "building block class" LinkedListNode<T>. We need to deal with instances of LinkedListNodes when we work with linked lists in C#. In other words, LinkedListNode is not just a class behind the scene - it is an important class for clients of LinkedListNode<T>. In Figure 45.2 the five rectangular nodes are instances of LinkedListNode<T> for some element type T. The circular, green nodes are instances of the element type T. We will study LinkedListNode<T> in Section 45.15 after we have surveyed the list operations in LinkedList<T>. As it can be seen from the class diagram of the list class in Figure 45.1, LinkedList<T> implements the interface ICollection<T>, see Section 45.3. Unlike Collection<T> and List<T>, LinkedList<T> does not implement indexed access, as of Ilist<T>. This is a natural choice because indexed access is not efficient in a linked representation. The following operations are available in LinkedList<T>: • Constructors • LinkedList(), LinkedList(IEnumerable<T>) • Accessors (properties) • First, Last, Count • Element addition • AddFirst(T), AddFirst(LinkedListNode<T>), AddLast(T), AddLast(LinkedListNode<T>), AddBefore(LinkedListNode<T>, T), AddBefore(LinkedListNode<T>, LinkedListNode<T>), AddAfter(LinkedListNode<T>, T), AddAfter(LinkedListNode<T>, LinkedListNode<T>), Add(T) • Element removal • Remove(T), Remove(LinkedListNode<T>), RemoveFirst(), RemoveLast(), Clear() • Searching • Find(T), FindLast(T) • Boolean queries • Contains(T) A linked list can be constructed as an empty collection or as a collection filled with elements from another collection, represented as an IEnumerable<T>, see Section 45.2. The First and Last properties access the first/last LinkedListNode in the double linked list. Count returns the number of elements in the list - not by counting them each time Count is referred - but via some bookkeeping information encapsulated in a linked list object. Thus, Count is an O(1) operation. Although LinkedList<T> implements the generic interface ICollection<T>, which has a method named Add, the Add operation is not readily available on linked lists. We will in Program 45.19 show that Add is present as an explicit interface implementation, see Section 31.8. Instead of Add, the designers of LinkedList<T> want us to use one of the AddRelative operations: AddFirst, AddLast, AddBefore, and AddAfter. None of these are prescribed by the interface ICollection<T>, however. Each of the AddRelative
429 operations are overloaded in two variants, such that we can add an element of type T or an object of type LinkedListNode<T> (which in turn reference an object of type T). Using the Remove methods, it is possible to remove an element of type T or a specific instance of LinkedListNode<T>. Remove(T) is an O(n) operation; Remove(LinkedListNode<T>) is an O(1) operation. There are also parameter-less methods for removing the first/last element in the linked list. The time complexity of these are O(1). Finally there are linear search operations from either end of the list: Find and FindLast. The boolean Contains operation is similar to the Find operations. These operations all seem to rely on the Equals operation inherited from class Object. In that way Find, FindLast and Contains are more primitive (not as well-designed) as the similar methods in List<T>. (The documentation in the .NET libraries is silent about these details). 45.15. The class LinkedListNode<T> Lecture 12 - slide 18 As illustrated in Figure 45.2, instances of the generic class LinkedListNode<T> keep a linked list together. In the figure, the rectangular boxes are instances of LinkedListNode<T>. From the figure it appears that each instance of LinkedListNode<T> has three references: One to the left, one to the element, and one to the right. Actually, there is a fourth reference, namely to the linked list instance to which a given LinkedListNode object belongs. The class LinkedListNode<T> is sealed, generic class that represents a non-mutable node in a linked list A LinkedListNode can at most belong to a single linked list The members of LinkedListNode<T> are as follows: • A single constructor LinkedListNode(T) • Four properties • Next - getter • Previous - getter • List - getter • Value - getter and setter The properties Next and Previous access neighbor instances of LinkedListNode<T>. Value accesses the element of type T. List accesses the linked list to which the instance of LinkedListNode belongs. Next, Previous, and List are all getters. Value is both a getter and a setter. It is not possible to initialize or to mutate the fields behind the properties Next, Previous, and List via public interfaces. It is clearly the intention that the linked list - and only linked list - has authority to change these fields. If we programmed our own, special-purpose linked list class it would therefore not be easy to reuse the class LinkedListNode<T>. This is unfortunate.
430 Related to the discussion about the interface of LinkedListNode<T> we may ask how LinkedList is allowed to access the private/internal details of an instance of LinkedListNode. The best guess seems to be that the fields are internal. 45.16. Sample use of class LinkedList<T> Lecture 12 - slide 19 We will illustrate the use of LinkedList<T> and LinkedListNode<T> in Program 45.19. In line 8 we make a linked list of integers from an array. Notice the use of the LinkedList constructor LinkedList(IEnumerable<T>). In line 16 we attempt to add the integer 17 to the linked list. This is not possible, because the method Add is not easily available, see the discussion in Section 45.14. If we insist to use Add, it must be done as in line 20. Most likely, you should use one of the Add variants instead, for instance AddFirst or AddLast. 1 2 3 4 5 6 7 8 9 10 11 12 13 14 15 16 17 18 19 20 21 22 23 24 25 26 27 28 29 30 31 32 33 34 35 36 37 38 39 40 41 42 43 using System; using System.Collections.Generic; class LinkedListDemo{ public static void Main(){ LinkedList<int> lst = new LinkedList<int>( new int[]{5, 3, 2, 7, -4, 0}); ReportList("Initial LinkedList", lst); // Using Add. // Compile-time error: 'LinkedList<int>' does not contain a // definition for 'Add' // lst.Add(17); // ReportList("lst.Add(17);" lst); // Add is implemented as an explicit interface implementation ((ICollection<int>)lst).Add(17); ReportList("((ICollection<int>)lst).Add(17);", lst); // Using AddFirst and AddLast lst.AddFirst(-88); lst.AddLast(88); ReportList("lst.AddFirst(-88); lst.AddFirst(88);", lst); // Using Remove. lst.Remove(17); ReportList("lst.Remove(17);", lst); // Using RemoveFirst and RemoveLast lst.RemoveFirst(); lst.RemoveLast(); ReportList("lst.RemoveFirst(); lst.RemoveLast();", lst); // Using Clear lst.Clear(); ReportList("lst.Clear();", lst); } public static void ReportList<T>(string explanation, LinkedList<T> list){ Console.WriteLine(explanation);
431 44 45 46 47 48 49 foreach(T el in list) Console.Write("{0, 4}", el); Console.WriteLine(); Console.WriteLine(); } } Program 45.19 Basic operations on a LinkedList of integers. The output of Program 45.19 is shown in Listing 45.20. By studying Listing 45.20 you will learn additional details of the LinkedList operations. 1 2 3 4 5 6 7 8 9 10 11 12 13 14 15 16 Initial LinkedList 5 3 2 7 -4 0 ((ICollection<int>)lst).Add(17); 5 3 2 7 -4 0 17 lst.AddFirst(-88); lst.AddFirst(88); -88 5 3 2 7 -4 0 17 88 lst.Remove(17); -88 5 3 2 7 -4 0 88 lst.RemoveFirst(); lst.RemoveLast(); 5 3 2 7 -4 0 lst.Clear(); Listing 45.20 Output of the program with basic operations on a LinkedList. The LinkedList example in Program 45.19 did not show how to use LinkedListNodes together with LinkedList<T>. To make up for that we will in Program 45.21 concentrate on the use of LinkedList<T> and LinkedListNode<T> together. 1 2 3 4 5 6 7 8 9 10 11 12 13 14 15 16 17 18 19 20 21 22 23 24 25 using System; using System.Collections.Generic; class LinkedListNodeDemo{ public static void Main(){ LinkedList<int> lst = new LinkedList<int>( new int[]{5, 3, 2, 7, -4, 0}); ReportList("Initial LinkedList", lst); LinkedListNode<int> node1, node2, node; node1 = lst.First; node2 = lst.Last; // Run-time error. // The LinkedListNode is already in the list. // Error message: The LinkedList node belongs a LinkedList. /* lst.AddLast(node1); */ // Move first node to last node in list lst.Remove(node1); lst.AddLast(node1); ReportList("node1 = lst.First; lst.Remove(node1); lst.AddLast(node1);", lst); // Navigate in list via LinkedListNode objects
432 26 27 28 29 30 31 32 33 34 35 36 37 38 39 40 41 42 43 44 45 46 47 48 49 50 51 node1 = lst.First; Console.WriteLine("Third element in list: node1 = lst.First; node1.Next.Next.Value {0}n", node1.Next.Next.Value); // Add an integer after a LinkedListNode object lst.AddAfter(node1, 17); ReportList("lst.AddAfter(node1, 17);", lst); // Add a LinkedListNode object after another LinkedListNode object lst.AddAfter(node1, new LinkedListNode<int>(18)); ReportList("lst.AddAfter(node1, new LinkedListNode<int>(18));" , lst); // Navigate in LinkedListNode objects and add an int before a node: node = node1.Next.Next.Next; lst.AddBefore(node, 99); ReportList("node = node1.Next.Next.Next; lst.AddBefore(node, 99); " , lst); // Navigate in LinkedListNode objects and remove a node. node = node.Previous; lst.Remove(node); ReportList("node = node.Previous; lst.Remove(node);" , lst); } // Method ReportList not shown in this version. } Program 45.21 Basic operations on a LinkedList of integers - using LinkedListNodes. In line 8-9 we make the same initial integer list as in Program 45.19. In line 13-14 we see how to access to the first/last LinkedListNode objects of the list. In line 19 we attempt to add node1, which is the first LinkedListNode in lst, as the last node of the list. This fails because it could bring the linked list into an inconsistent state. (Recall in this context that a LinkedListNode knows the list to which it belongs). Instead, as shown in line 22, we should first remove node1 and then add node1 with AddLast. Please take a close look at the remaining addings, navigations, and removals in Program 45.21. As above, we show a self-explaining output of the program, see Listing 45.22.
433 1 2 3 4 5 6 7 8 9 10 11 12 13 14 15 16 17 18 19 Initial LinkedList 5 3 2 7 -4 0 node1 = lst.First; lst.Remove(node1); lst.AddLast(node1); 3 2 7 -4 0 5 Third element in list: node1 = lst.First; node1.Next.Next.Value 7 lst.AddAfter(node1, 17); 3 17 2 7 -4 0 5 lst.AddAfter(node1, new LinkedListNode<int>(18)); 3 18 17 2 7 -4 0 5 node = node1.Next.Next.Next; lst.AddBefore(node, 99); 3 18 17 99 2 7 -4 0 5 node = node.Previous; lst.Remove(node); 3 18 17 2 7 -4 0 5 Listing 45.22 Output of the program with LinkedListNode operations on a LinkedList. 45.17. Time complexity overview: Collection classes Lecture 12 - slide 20 In this section we will discuss the efficiency of selected and important list operations in the three classes Collection<T>, List<T>, and LinkedList<T>. This is done by listing the time complexities of the operations in a table, see Table 45.1. If you are not comfortable with Big O notation, you can for instance consult Wikipedia [Big-O] or a book about algorithms and data structures. The time complexities of the list operations are most often supplied as part of the documentation of the operations. The choice of one list type in favor of another is often based on requirements to the time complexities of important operations. Therefore you should pay careful attention to the information about time complexities in the C# library documentation. Throughout the discussion we will assume that the lists contain n elements. It may be helpful to relate the table with the class diagram in Figure 45.1 from which it appears which interfaces to expect from the list classes.
434 Operation Collection<T> List<T> LinkedList<T> this[i] O(1) O(1) - Count O(1) O(1) O(1) Add(e) O(1) or O(n) O(1) or O(n) O(1) Insert(i,e) O(n) O(n) - Remove(e) O(n) O(n) O(n) IndexOf(e) O(n) O(n) - Contains(e) O(n) O(n) O(n) BinarySearch(e) - O(log n) - Sort() - O(n log n) or O(n2 ) - AddBefore(lln) - - O(1) AddAfter(lln,e) - - O(1) Remove(lln) - - O(1) RemoveFirst() - - O(1) RemoveLast() - - O(1) Table 45.1 Time complexities of important operations in the classes Collection<T>, List<T>, and LinkedList<T>. As it can be seen in the class diagram of Figure 45.1 all three classes implement the ICollection<T> interface with the operations Count, Add, Remove, and Contains. Thus, these four operations appear for all classes in Table 45.1. Count is efficient for all lists, because it maintains an internal counter, the value of which can be returned by the Count property. Thus, independent of the length of a list, Count runs in constant time. For all three types of lists, Add(e) adds an element e (of type T) to the end of the list. This can be done in constant time, because all the three types of lists have direct access the rear end of the list. The time complexity O(1)/O(n) given for Collection<T> and List<T> reflects that under normal circumstances it takes only constant time to add an element to a Collection or a List. If however, the list is full it may need resizing, and in that case the run time is linear in n. Remove(e) and Contains(e), where e is of type T, will have to search for e in the list. This behavior is common for all three types of lists. Therefore the run times of Remove and Contains are O(n). The indexer this[i] is only available in the lists that implement Ilist<T>. Such lists are based on arrays, and therefore the runtime of the indexer is O(1). (Recall that in arrays it is possible to compute the location of an element with a given index; No searching, whatsoever, is involved). BinarySearch and Sort are operations in List<T>. Sort implements a Quicksort variant, and as such the worst possible time complexity is O(n2 ), but the expected time complexity is O(n log n). The runtime of BinarySearch is, as expected, O(log n). The bottom five operations in the table belong to LinkedList. The methods AddBefore, AddAfter, and Remove all work on a LinkedListNode, lln, and as such their runtimes do not depend on n. (Only a few
435 references need to be assigned. The number of pointer assignments do not depend on n). Thus, when applied on objects of type LinkedListNode the runtime of these three operations are O(1). RemoveFirst and RemoveLast are of time complexity O(1) because a linked list maintain direct references to both ends of the list. 45.18. Using Collections through Interfaces Lecture 12 - slide 21 We started this chapter with a discussion of list interfaces, and we will end the chapter in a similar way. It is, of course, necessary to use one of the collection classes (such as List<T>) when you need a collection in your program. The morale of this section is, however, that you should not use list classes more than necessary. In short, you should typically use List<T> or Collection<T> (for some type T) when you make a collection object. All other places you are better off using one of the interface types, such as IList<T>. The key observations can be summarized as follows. It is an advantage to use collections via interfaces instead of classes If possible, only use collection classes in instantiations, just after new This leads to programs with fewer bindings to concrete implementations of collections With this approach, it is easy to replace a collection class with another Thus, please consider the following when you use collections: Program against collection interfaces, not collection classes If the types of variables and parameters are given as interfaces it is easy, a later point in time, to change the representation of your collections (say, from Collection<T> to one of your own collections which implements Ilist<T>). Notice that if you, for instance, apply List<T> operations, which are not prescribed by one of the interfaces, you need to declare your list of type List<T> for some type T. Let us illustrate how this can be done in Program 45.23. The thing to notice is that the only place we refer to a list class (here Collection<Animal>() ) is in line 9: new Collection<Animal>. All other places, as emphasized with purple, we use the interface ICollection<Animal>. If we, tomorrow, wish to change the representation of the animal collection, the only place to modify is line 9. 1 2 3 4 5 6 7 8 9 10 11 12 using System; using System.Collections.Generic; using System.Collections.ObjectModel; class CollectionInterfaceDemo{ public static void Main(){ ICollection<Animal> lst = new Collection<Animal>(); // Add elements to the end of the empty list: lst.Add(new Animal("Cat")); lst.Add(new Animal("Dog", Sex.Female));
436 13 14 15 16 17 18 19 20 21 22 23 24 25 26 27 28 29 30 31 32 33 34 35 36 37 38 39 40 41 42 43 44 45 46 47 48 49 50 51 52 53 54 55 56 57 lst.Add(new Animal("Mouse")); lst.Add(new Animal("Rat")); lst.Add(new Animal("Mouse", Sex.Female)); lst.Add(new Animal("Rat")); lst.Add(new Animal("Herring", AnimalGroup.Fish, Sex.Female)); lst.Add(new Animal("Eagle", AnimalGroup.Bird, Sex.Male)); // Report in various ways on the animal collection: Print("Initial List", lst); ReportFemaleMale(lst); ReportGroup(lst); } public static void Print<T>(string explanation, ICollection<T> list){ Console.WriteLine(explanation); foreach(T el in list) Console.WriteLine("{0, 3}", el); Console.WriteLine(); Console.WriteLine(); } public static void ReportFemaleMale(ICollection<Animal> list){ int numberOfMales = 0, numberOfFemales = 0; foreach(Animal a in list) if (a.Sex == Sex.Male) numberOfMales++; else if (a.Sex == Sex.Female) numberOfFemales++; Console.WriteLine("Males: {0}, Females: {1}", numberOfMales, numberOfFemales); } public static void ReportGroup(ICollection<Animal> list){ int numberOfMammals = 0, numberOfBirds = 0, numberOfFish = 0; foreach(Animal a in list) if (a.Group == AnimalGroup.Mammal) numberOfMammals++; else if (a.Group == AnimalGroup.Bird) numberOfBirds++; else if (a.Group == AnimalGroup.Fish) numberOfFish++; Console.WriteLine("Mammals: {0}, Birds: {1}, Fish: {2}", numberOfMammals, numberOfBirds, numberOfFish); } } Program 45.23 A program based on ICollection<Animal> - with a Collection<Animal>. On the accompanying slide we show versions of Program 45.23, which are tightly bound to the class Collection<Animal>, and we show a version in which we have replaced Collection<Animal> with List<Animal>. 45.19. References [Big-O] Wikipedia: Big O Notation http://en.wikipedia.org/wiki/Big_O_notation
437 46. Generic Dictionaries in C# In the same style as our coverage of lists in Chapter 45 we will in this chapter discuss generic interfaces and classes for dictionaries. This covers the high-level concept of associative arrays and the low-level concept of hash tables. 46.1. Overview of Generic Dictionaries in C# Lecture 12 - slide 24 A dictionary is a data structure that maps keys to values. A given key can have at most one value in the dictionary. In other words, the key of a key-value pair must be unique in the dictionary. A given value can be associated with many different keys. At the conceptual level, a dictionary can be understood as an associative array (see Section 19.2) or as a collection of key-value pairs. In principle the collection classes from Chapter 45 can be used as an underlying representation. It is, however, convenient to provide a specialized interface to dictionaries which sets them apart from collections in general. In addition we often need good performance (fast lookup), and therefore it is more than justified to have special support for dictionaries in the C# libraries. Figure 46.1 gives an overview of the generic interfaces and the generic classes of dictionaries. The figure is comparable with Figure 45.1 for collections. As such, the white boxes represent interfaces and the grey boxes represent classes. As it appears from Figure 46.1 we model dictionaries as IEnumerables (see Section 45.2) and ICollections (see Section 45.3) at the highest levels of abstractions. From the figure we can directly read that a dictionary is a ICollection of KeyValuePairs. (The is a relation is discussed in Section 25.2). Figure 46.1 The class and interface inheritance tree related to Dictionaries The symbol K stands for the type of keys, and the symbol V stands for the type of values. KeyValuePair<K,V> is a simple struct that aggregates a key and a value to a single object. Dictinonary<K,V> is implemented in terms of a hashtable that maps objects of type K to objects of type V. SortedDictinonary<K,V> relies on binary search trees. SortedList<K,V> is based on a sorted arrays. More details can be found in Section 46.5. In Section 46.6 we review the time complexities of the operations of the three dictionary classes shown above.
438 46.2. The interface IDictionary<K,V> Lecture 12 - slide 25 From Figure 46.1 we see that the interface IDictionary<K,V> is a subinterface of ICollection<KeyValuePair<K,V>>. We gave an overview of the generic interface ICollection<T> in Section 45.3. Because of this subinterface relationships we know that it is possible to use the operations Contains, Add, Remove on objects of type KeyValuePair<K,V>. Notice, however, that these operations are rather inconvenient because the generic class KeyValuePair is involved. Instead of Add(new KeyValuePair(k,v)) we prefer another overload of Add, namely Add(k,v). The mentioned operations Contains, Add, and Remove on KeyValuePairs are available in the Dictionary classes of Figure 46.1, but they are degraded to explicit interface implementations (see Section 31.8). The following provides an overview of the operations in IDictionary<K,V>: • The operations prescribed in ICollection<KeyValuePair<K,V>> • The operations prescribed in IEnumerable<KeyValuePair<K,V>> • V this[K key] - both getter and setter; the setter adds or mutates • void Add(K key, V value) - only possible if key is not already present • bool Remove(K key) • bool ContainsKey(K key) • bool TryGetValue(K key, out V value) • ICollection<K>Keys - getter • ICollection<V>Values - getter V this[K key] is an indexer via which we can set and get a value of a given key by means of array notation (see Section 19.1). If dict is declared of type IDictionary<K,V> then the indexer notation allows us to express valVar = dict[someKey]; dict[someKey] = someValue; The first line accesses (gets/reads) the value associated with someKey. If no value is associated with someKey an KeyNotFoundException is thrown. The second line adds (sets/writes) an association between someKey and someValue to dict. If the association is already in the dictionary, the setter mutates the value associated with someKey. The operation Add(key,value) adds an association between key and value to the dictionary. If the key is already associated with (another) value in the dictionary an ArgumentException will be thrown. Remove(key) removes the association of key and its associated value. Via the value returned, the Remove operation signals if the removal was successful. Remove returns false if key is not present in the dictionary. ContainsKey(key) tells if key is present in the dictionary. The operation call TryGetValue(key, valueVar) accesses the value of key, and it passes the value via an output parameter (see Section 20.7). If no value is associated with key, the default value of type V (see Section 12.3) is passed back in the output parameter. This method is added of convenience. Alternatively, the indexer can be used in combination with ContainsKey.
439 The properties Keys and Values return collections of the keys and the values of a dictionary. 46.3. Overview of the class Dictionary<K,V> Lecture 12 - slide 26 The generic class Dictionary<K,V> is based on hashtables. Dictionary<K,V> implements the interface IDictionary<K,V> as described in Section 46.2. Almost all methods and properties of Dictionary<K,V> are prescribed by the direct and indirect interfaces of the class. In the web version of the material we enumerate the most important operations of Dictionary<K,V>. As it appears from the discussion of dictionaries above, it is necessary that two keys can be compared for equality. The equality comparison can be provided in several different ways. It is possible to pass an EqualityComparer object to the Dictionary constructor. Alternatively, we fall back on the default equality comparer of the key type K. The property Comparer of class Dictionary<K,V> returns the comparer used for key comparison in the current dictionary. See also the discussion of equality comparison in Section 42.9. As already mentioned, a dictionary is implemented as a hash table. A hash table provides very fast access to the a value of a given key. Under normal circumstances - and with a good hash function - the run times of the access operations are constant (the run times do not depend on the size of the dictionary). Thus, the time complexity is O(1). Please consult Section 46.6 for more details on the efficiency of the dictionary operations. 46.4. Sample use of class Dictionary<K,V> Lecture 12 - slide 27 In this section we will illustrate the use of dictionaries with a simple example. We go for a dictionary that maps objects of type Person to objects of type BankAccount. Given a Person object (the key) we wish to have efficient access to the person's BankAccount (the value). The class Person is similar to Program 20.3. The class BankAccount is similar to Program 25.1. The exact versions of Person and BankAccount, as used in the dictionary example, can be accessed via the accompanying slide page, or via the program index of this lecture. 1 2 3 4 5 6 7 8 9 10 11 12 13 14 15 16 17 using System; using System.Collections.Generic; class DictionaryDemo{ public static void Main(){ IDictionary<Person, BankAccount> bankMap = new Dictionary<Person,BankAccount>(new PersonComparer()); // Make bank accounts and person objects BankAccount ba1 = new BankAccount("Kurt", 0.01), ba2 = new BankAccount("Maria", 0.02), ba3 = new BankAccount("Francoi", 0.03), ba4 = new BankAccount("Unknown", 0.04); Person p1 = new Person("Kurt"),
440 18 19 20 21 22 23 24 25 26 27 28 29 30 31 32 33 34 35 36 37 38 39 40 41 42 43 44 45 46 47 48 49 50 51 52 53 54 55 56 57 58 59 60 61 62 63 64 65 66 67 68 69 70 71 72 73 74 75 76 77 78 79 80 81 82 p2 = new Person("Maria"), p3 = new Person("Francoi"); ba1.Deposit(100); ba2.Deposit(200); ba3.Deposit(300); // Populate the bankMap: bankMap.Add(p1, ba1); bankMap.Add(p2, ba2); bankMap.Add(p3, ba3); ReportDictionary("Initial map", bankMap); // Print Kurt's entry in the map: Console.WriteLine("{0}n", bankMap[p1]); // Mutate Kurt's entry in the map bankMap[p1] = ba4; ReportDictionary("bankMap[p1] = ba4;", bankMap); // Mutate Maria's entry in the map. PersonComparer crucial! ba4.Deposit(400); bankMap[new Person("Maria")] = ba4; ReportDictionary("ba4.Deposit(400); bankMap[new Person("Maria")] = ba4;", bankMap); // Add p3 yet another time to the map // Run-time error: An item with the same key has already been added. /* bankMap.Add(p3, ba1); ReportDictionary("bankMap.Add(p3, ba1);", bankMap); */ // Try getting values of some given keys BankAccount ba1Res = null, ba2Res = null; bool res1 = false, res2 = false; res1 = bankMap.TryGetValue(p2, out ba1Res); res2 = bankMap.TryGetValue(new Person("Anders"), out ba2Res); Console.WriteLine("Account: {0}. Boolean result {1}", ba1Res, res1); Console.WriteLine("Account: {0}. Boolean result {1}", ba2Res, res2); Console.WriteLine(); // Remove an entry from the map bankMap.Remove(p1); ReportDictionary("bankMap.Remove(p1);", bankMap); // Remove another entry - works because of PersonComparer bankMap.Remove(new Person("Francoi")); ReportDictionary("bankMap.Remove(new Person("Francoi"));", bankMap); } public static void ReportDictionary<K, V>(string explanation, IDictionary<K,V> dict){ Console.WriteLine(explanation); foreach(KeyValuePair<K,V> kvp in dict) Console.WriteLine("{0}: {1}", kvp.Key, kvp.Value); Console.WriteLine(); } } public class PersonComparer: IEqualityComparer<Person>{ public bool Equals(Person p1, Person p2){ return (p1.Name == p2.Name); }
441 83 84 85 public int GetHashCode(Person p){ return p.Name.GetHashCode(); } } Program 46.1 A program working with Dictionary<Person,BankAccount>. In line 8-9 we make the dictionary bankMap of type Dictionary<Person,BankAccount>. We pass an instance of class PersonComparer, see line 76-86, which implements IEqualityComparer<Person>. In line 11-19 we make sample BankAccount and Person objects, and in line 24-26 we populate the dictionary bankMap. In line 30 we see how to access the bank account of person p1 (Kurt). We use the provided indexer of the dictionary. In line 33 we mutate the bankMap: Kurt's bank account is changed from the one referenced by ba1 to the one referenced by ba4. In line 38 we mutate Maria's bank account in a similar way. Notice, however, that that the relative weak equality of Person objects (implemented in class PersonComparer) implies that the new person("Maria") in line 38 is equal to the person referenced by p2, and therefore line 38 mutates the dictionary entry for Maria. In line 43 we attempt add yet another entry for Francoi. This is illegal because there is already an entry for Francoi in the dictionary. If the comments around line 43 are removed, a run time error will occur. In line 52-53 we illustrate TryGetValue. First, in line 52, we attempt to access Maria's account. The out parameter baRes1 is assigned to Maria's account and true is returned from the method. In line 53 we attempt to access the account of a brand new Person object, which has no bank account in the dictionary. null is returned through ba2Res, and false is returned from the method. Finally, in line 58-64 we remove entries from the dictionary by use of the Remove method. First Kurt's entry is removed after which Francoi's entry is removed. The output of the program is shown in Listing 46.2 (only on web). Exercise 12.3. Switching from Dictionary to SortedDictionary The program on this slide instantiates a Dictionary<Person,BankAccount>. As recommended earlier in this lecture, we should work with the dictionary via a variable of the interface type IDictionary<K,V>. You are now asked to replace Dictionary<Person,BankAccount> with SortedDictionary<Person,BankAccount> in the above mentioned program. This causes a minor problem. Identify the problem, and fix it. Can you tell the difference between the output of the program on this slide and the output of your revised program? You can access the BankAccount and Person classes in the web version of the material.
442 46.5. Notes about Dictionary Classes Lecture 12 - slide 28 As can be seen from Figure 46.1 several different generic classes implement the IDictionary<K,V> interface. Dictionary<K,V>, as discussed in Section 46.3 and Section 46.4 is based on a hash table representation. SortedDictionary<K,V> is based on a binary tree, and (as the name signals) SortedList<K,V> is based on an array of key/value pairs, sorted by keys. The following provides an itemized overview of the three generic dictionary classes. • Class Dictionary<K,V> • Based on a hash table • Requires that the keys in type K can be compared by an Equals operation • Key values should not be mutated • The efficiency of class dictionary relies on a good hash function for the key type K • Consider overriding the method GetHashCode in class K • A dictionary is enumerated in terms of the struct KeyValuePair<K,V> • Class SortedDictionary<K,V> • Based on a binary search tree • Requires an IComparer for keys of type K - for ordering purposes • Provided when a sorted dictionary is constructed • Class SortedList<K,V> • Based on a sorted collection of key/value pairs • A resizeable array • Requires an IComparer for keys, just like SortedDictionary<K,V>. • Requires less memory than SortedDictionary<K,V>. When you have to chose between the three dictionary classes the most important concern is the different run time characteristics of the operations of the classes. The next section provides an overview of these.
443 46.6. Time complexity overview: Dictionary classes Lecture 12 - slide 29 We will now review the time complexities of the most important dictionary operations. This is done in the same way as we did for collections (lists) in Section 45.17. We will assume that we work on a dictionary that holds n entries of key/value pairs. Operation Dictionary<K,V> SortedDictionary<K,V> SortedList<K,V> this[key] O(1) O(log n) O(log n) or O(n) Add(key,value) O(1) or O(n) O(log n) O(n) Remove(key) O(1) O(log n) O(n) ContainsKey(key) O(1) O(log n) O(log n) ContainsValue(value) O(n) O(n) O(n) Table 46.1 Time complexities of important operations in the classes Dictionary<K,V>, SortedDictionary<K,V>, and SortedList<K,V>. As noticed in Section 46.5 an object of type Dictionary<K,V> is based on hash tables. Eventually, it will be necessary to enlarge the hashtable to hold new elements. It is good wisdom to enlarge the hashtable when it becomes half full. The O(1) or O(n) time complexity for Add reflects that a work proportional to n is needed when it becomes necessary to enlarge the hash table. Most operations on the binary tree representation of SortedDictionary<K,V> are logarithmic in n. The only exception (among the operations listed in the table) is ContainsValue, which in the worst case requires a full tree traversal. In SortedList<K,V> the indexer is efficient, O(log n) when an existing item is mutated. If use of the indexer causes addition of a new entry, the run time is the same as the run time of Add. Adding elements to a sorted list requires, in average, that half of the elements are pushed towards the end of the list in order to create free space for the new entry. This is an O(n) operation. Remove is symmetric, pulling elements towards the beginning of the list, and therefore also O(n). ContainsKey is efficient because we can do binary search on the sorted list. ContainsValue requires linear search, and therefore it is an O(n) operation. Given the table in Table 46.1 it is tempting to conclude that Dictionary<K,V> is the best of the three classes. Notice, however, that the difference between a constant run time c1 and c2 log(n) is not necessarily significant. If the constant c1 is large and the constant c2 is small, the binary tree may be an attractive alternative. Furthermore, we know that the hashtable will be slow when it is almost full. In that case more and more collisions can be expected. At some point in time the hash table will stop working if it is not resized. This is not an issue if we work with balanced binary trees. Finally, the hashtable depends critically on a good hash function, preferable programmed specifically for the key type K. This is not an issue if we use binary trees.
444
445 47. Non-generic Collections in C# This is a short chapter in which we discuss the non-generic collection classes. You may encounter use of these classes in many older C# programs. In Section 44.1 these collection classes were called first generation collection classes. 47.1. The non-generic collection library in C# Lecture 12 - slide 31 The overview of the non-generic collection interfaces and classes in Figure 47.1 is a counterpart to the sum of Figure 45.1 and Figure 46.1. The white boxes represent interfaces and the grey boxes represent classes. Most classes and interfaces shown in Figure 46.1 belong to the namespace System.Collections. The non-generic collection classes store data of type Object As the most important characteristics, the elements of the lists are of type Object. Both keys and values of dictionaries are Objects. Without use of type parametrization, there are no means to constraint the data in collections to of a more specific type. Thus, if we for instance work with a collection of bank accounts, we cannot statically guarantee that all elements of the collection are bank accounts. We may accidentally insert an object of another type. We will find the error at runtime. Most likely, an exception will be raised when we try to cast an Object to BankAccount. Figure 47.1 The class and interface inheritance tree related to collections The IEnumerable, ICollection, IList and IDictionary interfaces of Figure 47.1 are natural counterparts to the generic interfaces IEnumerable<T>, ICollection<T>, IList<T> and IDictionary<K,V>. The class ArrayList corresponds to List<T>. As such, ArrayList is a class with a rich repertoire of operations for searching, sorting, and range operations. ArrayList is undoubtedly the most widely used collection class in C# 1.0 programs. The Array class shown next to ArrayList in Figure 47.1 deserves some special clarification. It belongs to the System namespace. You cannot instantiate class Array in your programs, because Array is an abstract class. And you cannot use Array as a superclass of one of your own classes. So, class Array seems pretty useless. At least it is fair to state the class Array is rather special compared to the other classes in Figure 47.1. Let us now explain the role of class Array. As mentioned earlier, see Section 28.2 , class Array acts as the superclass of all "native" array types in C#. (See the discussion of arrays in Section 6.4). Consequently, all
446 the nice operation in System.Array can be used on all "native" arrays that you use in your C# programs. If, for instance, we have the array declarations int[] ia = new int[3]; string[] sa = new string[5,6]; BankAccount[] baa = new BankAccount[10]; the following are legal expressions ia.Length a.Rank Array.BinarySearch(ia, 5) Array.Find(sa, IsPalindrome) Array.Sort(baa) In the Array class, you should pay attention to the (overloaded) static method CreateInstance, which allows for programmatic creation on an arbitrary array. The Array instance methods GetValue and SetValue allow us to access elements in arbitrary arrays - independent of element type and rank. When we talk about "native arrays" in C# we refer to the array concept implemented in the language as such. The compiler provides special support for these native arrays. In contrast, generic and non-generic collections are provided via the class library. The C# compiler and the C# interpreter do not have particular knowledge or support of the collection classes. We could have written these classes ourselves! It is interesting to notice that the native arrays, as derived from class Array in Figure 47.1, are type safe. The type safeness of native arrays is due to the special support by the compiler, which allows for declaration of the element types of the arrays (see the examples of int, string, and BankAccount arrays above). The class HashTable in Figure 47.1 corresponds to the generic class Dictionary<K,V>, see Section 46.3 and Section 46.4). The class ListDictionary, which belongs to the namespace System.Collections.Specialized, has no natural generic counterpart. ListDictionary is based on linear search in an unordered collection of key/value pairs. ListDictionary should therefore only be used for small dictionaries. As the name suggests, class SortedList corresponds to SortedList<K,V>. Both rely on a (linear) list representation, sorted by keys. The class BitArray is - by nature - a non-generic collection class. The binary digit 1 is represented as boolean true, and the binary digit 0 is represented as boolean false. BitArray provides a compact representation of a bit arrays. In the context of indexers, see Program 19.4, we have earlier discussed a partial reproduction of the class BitArray. In addition to the types shown in Figure 47.1 there exist some specialized collections in the namespace System.Collections.Specialized. As an example, the class StringCollection is a collection of strings. The class CollectionBase in the namespace System.Collection is intended as the superclass of new, specialized collection classes. In the documentation of this class, an example shows how to define an Int16Collection as a subclass of CollectionBase. Needless to say, all these classes are obsolete relative to both C#2.0 and C#3.0. As of today, the classes may be necessary for backward compatibility, but, unfortunately, they also add to the complexity of the .NET class libraries.
447 48. Patterns and Techniques In earlier parts of this material (Section 31.6 and Section 45.2) we have at length discussed enumerators in C#, including their relationship to foreach loops. In this section we first briefly rephrase this to the design pattern known as Iterator. Following that we will show how to implement iterators (enumerators) with use of yield return, which is a variant of the return statement. 48.1. The Iterator Design Pattern Lecture 12 - slide 34 The Iterator design pattern provides sequential access to an aggregated collection. At an overall level, an iterator • Provides for a smaller interface of the collection class • All members associated with traversals have been refactored to the iterator class • Makes it possible to have several simultaneous traversals • Does not reveal the internal representation of the collection As we have seen in Section 31.6 and Section 45.2, traversal of a collection requires a few related operations, such as Current, MoveNext, and Reset. We could imagine a slightly more advanced iterator which could move backwards as well. With use of iterators we have factored these operations out of the collection classes, and organized them in iterators (enumerators). With this refactoring, a collection can be asked to deliver an iterator: aCollection.GetEnumerator() Each iterator maintains the state, which is necessary to carry out a traversal of a collection. If we need two independent, simultaneous traversals we can ask for two iterators of the collections. This could, for instance be used to manage simultaneous iteration from both ends of a list. In more primitive collections, such as linked lists (see Section 45.14) it is necessary to reveal the object structure that keeps the list together. (In LinkedList<T> this relates to the details of LinkedListNode<T> instances). With use of iterators it is not necessary to reveal such details. An iterator is an encapsulated, abstract representation of some state that manages a traversal. The concrete representation of this state is not leaked to clients. This is very satisfactory in an object-oriented programming context. Iterators (enumerators) are typically used via foreach loops. As an alternative, it is of course also possible to use the operations in the IEnumerator interface directly to carry out traversals. Exercise 12.4 is a opportunity to train such a more direct use of iterators. Exercise 12.4. Explicit use of iterator - instead of using foreach
448 In this program we will make direct use of an iterator (an enumerator) instead of traversing with use of foreach. In the animal collection program, which we have seen earlier in this lecture, we traverse the animal collections several times with use of foreach. Replace each use of foreach with an application of an iterator. 48.2. Making iterators with yield return Lecture 12 - slide 35 In this section we will show how to use the special-purpose yield return statement to define iterators, or as they are called in C#, enumerators. First, we will program a very simple collection of up to three, fixed values. Next we will revisit the integer sequence enumeration, which can be found in Section 58.3. In Program 48.1 we will program a collection class, called GivenCollection, which just covers zero, one, two or three values of some arbitrary type T. As a simpleminded approach, we represent these T values with three instance variables of type T, and with three boolean variables which tells if the corresponding T values are present. As an invariant, the instance variables are filled from the lower end. It would be tempting to use the type T? instead of T, and the value null for a missing value. But this is not possible if T is class. It is important that the class GivenCollection implements the generic interface IEnumerable<T>. Because this interface, in turn, implements the non-generic IEnumerable, we must both define the generic and the non-generic GetEnumerator method. The latter must be defined as an explicit interface (see Section 31.8), in order not to conflict with the former. If we forget the non-generic GetEnumerator, we get a slightly misleading error message: 'GivenCollection<T>' does not implement interface member 'System.Collections.IEnumerable.GetEnumerator()'. 'GivenCollection<T>' is either static, not public, or has the wrong return type. This message can cause a lot of headache, because the real problem (the missing, non-generic GetEnumerator method) is slightly camouflaged in the error message. The implementation of the non-generic enumerator just delegates its work to the generic version. The implementation of the generic Enumerator method uses the yield return statement. Let us assume that an instance of GivenCollection<T> holds three T values (in first, second, and third). The three boolean variables firstDefined, secondDefined, and thirdDefined are all true. The GetEnumerator method has three yield return statements in sequence (see line 50-52). By means of these, GetEnumerator can return three values before it is done. This is entirely different from a normal method, which only returns once (after which it is done). The GetEnumerator in class GivenCollection acts as a coroutine in relation to its calling place (which is the foreach statement in the client program Program 48.2). A coroutine can resume execution at the place where execution stopped in an earlier call. A normal method always (re)starts from its first statement each time it is called.
449 1 2 3 4 5 6 7 8 9 10 11 12 13 14 15 16 17 18 19 20 21 22 23 24 25 26 27 28 29 30 31 32 33 34 35 36 37 38 39 40 41 42 43 44 45 46 47 48 49 50 51 52 53 54 55 56 57 58 59 using System; using System.Collections.Generic; using System.Collections; public class GivenCollection<T> : IEnumerable<T>{ private T first, second, third; private bool firstDefined, secondDefined, thirdDefined; public GivenCollection(){ this.firstDefined = false; this.secondDefined = false; this.thirdDefined = false; } public GivenCollection(T first){ this.first = first; this.firstDefined = true; this.secondDefined = false; this.thirdDefined = false; } public GivenCollection(T first, T second){ this.first = first; this.second = second; this.firstDefined = true; this.secondDefined = true; this.thirdDefined = false; } public GivenCollection(T first, T second, T third){ this.first = first; this.second = second; this.third = third; this.firstDefined = true; this.secondDefined = true; this.thirdDefined = true; } public int Count(){ int res; if (!firstDefined) res = 0; else if (!secondDefined) res = 1; else if (!thirdDefined) res = 2; else res = 3; return res; } public IEnumerator<T> GetEnumerator(){ if (firstDefined) yield return first; if (secondDefined) yield return second; // not else if (thirdDefined) yield return third; // not else } IEnumerator IEnumerable.GetEnumerator(){ return GetEnumerator(); } } Program 48.1 A collection of up to three instance variables of type T - with an iterator.
450 In Program 48.2 we show a simple program that instantiates a GivenCollection of the integers 7, 5, and 3. The foreach loop in line 11-12 traverses the three corresponding instance variables, and prints each of them. 1 2 3 4 5 6 7 8 9 10 11 12 13 14 15 16 17 using System; class Client{ public static void Main(){ GivenCollection<int> gc = new GivenCollection<int>(7,5,3); Console.WriteLine("Number of elements in givenCollection: {0}", gc.Count()); foreach(int i in gc){ // Output: 7 5 3 Console.WriteLine(i); } } } Program 48.2 A sample iteration of the three instance variable collection. Exercise 12.5. The iterator behind a yield Reprogram the iterator in class GivenCollection without using the yield return statement in the GetEnumerator method. Let us now revisit the integer enumeration classes of Section 58.3. The main point in our first discussion of these classes was the Composite design pattern, cf. Section 32.1, as illustrated in Figure 58.1 of Section 58.3. The three classes IntInterval, IntSingular, and IntCompSeq all inherit the abstract class IntSequece. You can examine the abstract class IntSequence in Program 58.9 in the appendix of this material. The three concrete subclasses were programmed in Program 58.10, Program 58.11, and Program 58.12. The GetEnumerator methods of IntInterval, IntSingular, and IntCompSeq are all emphasized below in Program 48.3, Program 48.4, and Program 48.5. Notice the use of yield return in all of them. In Program 48.3 the if-else of GetEnumerator in line 19-24 distinguishes between increasing and decreasing intervals. The GetEnumerator method of IntSingular is trivial. The GetEnumerator method of IntCompSeq in Program 48.5 is surprisingly simple - at least compared with the counterpart in Program 58.12. The two foreach statements (in sequence) in line 19-22 activate all the machinery, which we programmed manually in Program 58.12. This includes recursive access to enumerators of composite sequences. The simplicity of enumerators, programmed with yield return, is noteworthy compared to all the underlying stuff of explicitly programmed classes that implement the interface IEnumerator. Iterators (iterator blocks), programmed with yield return, are only allowed to appear in methods that implement an enumerator or an enumerable interface (such as IEnumerator or IEnumerator and their generic counterparts). Such methods are handled in a very special way by the compiler, and a number of restrictions apply to these methods. The compiler generates all the machinery, which we program ourselves when a class implements the enumerator or enumerable interfaces. Methods with iterator blocks that implement and enumerator or an enumerable interface return an enumerator object, on which the MoveNext
451 can be called a number of times. For more details on iterators please consult Section 10.14 in the C# 3.0 Language Specification [csharp-3-spec]. 1 2 3 4 5 6 7 8 9 10 11 12 13 14 15 16 17 18 19 20 21 22 23 24 25 26 27 public class IntInterval: IntSequence{ private int from, to; public IntInterval(int from, int to){ this.from = from; this.to = to; } public override int? Min{ get {return Math.Min(from,to);} } public override int? Max{ get {return Math.Max(from,to);} } public override IEnumerator GetEnumerator (){ if (from < to) for(int i = from; i <= to; i++) yield return i; else for(int i = from; i >= to; i--) yield return i; } } Program 48.3 The class IntInterval - Revisited. 1 2 3 4 5 6 7 8 9 10 11 12 13 14 15 16 17 18 19 20 public class IntSingular: IntSequence{ private int it; public IntSingular(int it){ this.it = it; } public override int? Min{ get {return it;} } public override int? Max{ get {return it;} } public override IEnumerator GetEnumerator(){ yield return it; } } Program 48.4 The class IntSingular - Revisited.
452 1 2 3 4 5 6 7 8 9 10 11 12 13 14 15 16 17 18 19 20 21 22 23 24 25 public class IntCompSeq: IntSequence{ private IntSequence s1, s2; public IntCompSeq(IntSequence s1, IntSequence s2) { this.s1 = s1; this.s2 = s2; } public override int? Min{ get {return (s1.Min < s2.Min) ? s1.Min : s2.Min;} } public override int? Max{ get {return (s1.Max > s2.Max) ? s1.Max : s2.Max;} } public override IEnumerator GetEnumerator (){ foreach(int i in s1) yield return i; foreach(int i in s2) yield return i; } } Program 48.5 The class IntCompSeq - Revisited. In the web edition of the material we show a sample client program that contains a couple of IntSequences. 48.3. References [Csharp-3-spec] "The C# Language Specification 3.0",
453 49. Correctness This is the first chapter in the lecture about contracts and assertions. We all want to write correct programs. But what is correctness? Program correctness is always relative to something else. In this lecture we will discuss program correctness relative to a program specification. In Chapter 50, (the next chapter) we will take a closer look at a particular approach to program specification, on which the rest of this lecture will be based. 49.1. Software Qualities Lecture 13 - slide 2 Program correctness is one of several program qualities. A software quality is a positive property of program. There are many different software qualities that may be considered and promoted. In Table 49.1 we list a number of important program qualities. Quality Description Contrast Correct Satisfies expectations, intentions, or requirements Erroneous Robust Can resist unexpected events Fragile Reusable Can be used in several contexts Application specific Simple Avoids complicated solutions Complex Testable Constructed to ease revelation of errors - Understandable Mental manageability Cryptic Table 49.1 Different program qualities listed by name, description, and (for selected qualities) a contrasting, opposite quality Of all software qualities, correctness play a particular important role. Program correctness is in a league of its own. Who would care about robustness, reusability, and simplicity of an incorrect program?
454 49.2. Correctness Lecture 13 - slide 3 Software correctness is only rarely an absolute concept. Correctness should be seen relative to something else. We will distinguish between program correctness relative to • The programmers own, immediate comprehension • Not formulated - not documented - volatile - easily forgotten • Sometimes incomplete • A program specification • Formulated - written • Well-considered and agreed upon • Formal or informal • Part of the program At the time the program is written, it may be tempting to rely on the comprehension and specification in the mind of the programmer. It is not difficult to understand, however, that such a specification is volatile. The specification may slide away from the original understanding, or it may totally fade away. In a software house it may also easily be the case that the programmer is replaced. Of these reasons it is attractive to base correctness on written and formal specifications. In the following section we will discuss written and formal specifications that are based on mathematical grounds. 49.3. Specifications Lecture 13 - slide 4 We will introduce the following straightforward definition of a specification: A program specification is a definition of what a computer program is expected to do [Wikipedia]. What - not how. Notice that specifications answer what questions, not how questions. In the area of formal mathematically-oriented specifications, the following two variants are well-known: • Algebraic specifications • Equations that define how certain operations work on designated constructors • Axiomatic specifications • Logical expressions - assertions - associated with classes and operations • Often divided into invariants, preconditions, and postconditions
455 We will first study an algebraic specification of a stack, see Program 49.1. We have already encountered this specification earlier in the material, namely in the context of our discussion of abstract data types in Section 1.5. From line 4-11 we declare the syntax of the operations that work on stacks. The operations are categorized as constructors, destructors, and selectors. As the name suggests, constructors are operations that constructs a stack. Both push and pop are functions that return a stack. This is different from the imperative stack procedures we experienced in Program 30.1, which mutate the stack without returning any value. An arbitrary stack can be constructed in terms of one or more constructors. Destructors are operations that work on stacks. (The term "destructor" may be slightly misleading). Any stack can be constructed without use of destructors. As an example, the expression pop(push(5, pop (push (6, push (7, new ()))))) is equivalent with push(7, new ()). The selectors extract information about the stack. 1 2 3 4 5 6 7 8 9 10 11 12 13 14 15 16 17 18 19 20 21 22 Type stack [int] declare constructors new () -> stack; push (int, stack) -> stack; destructors pop (stack) -> stack; selectors top (stack) -> int; isnew (stack) -> bool; for all i in int; s in stack; let pop (new()) = error; pop (push (i,s)) = s; top (new()) = error; top (push (i,s)) = i; isnew (new()) = true; isnew (push(i,s)) = false; end end stack. Program 49.1 An algebraic specification of a stack. The lines 12-21 define the meaning (also known as the semantics) of the stack. It tells us what the concept of a stack is all about. The idea is to define equations that express how each destructor and each selector work on expressions formulated in terms of constructors. The equation in line 16 specifies that it is an error to pop the empty stack. The equation in line 17 specifies that pop applied on stack s on which we have just pushed the integer i is equivalent with s. Please consider the remaining equations and make sure that you understand their meaning relative to your intuition of the stack concept. The specification in Program 49.1 tells us what a stack is. It is noteworthy that the specification in Program 49.1 defines the stack concept without any binding to a concrete representation of a stack. The specification gives very little input to the programmer about how to implement a stack with use of a list or an array, for instance. A good specification answers what questions, not how questions. If you wish to see other similar specifications of abstract datatypes, you may review our specifications of natural numbers and booleans in Program 1.9 and Program 1.10 respectively. Below, in Program 49.2 we show an axiomatic specification of a single function, namely the square root function. An axiomatic specification is formulated in terms of a precondition and a postcondition. The precondition specifies the prerequisite for activation of the square root function. It states that it is only
456 possible to calculate the square root of non-negative numbers. The precondition constrains the output of the function. In case of the square root function, the square of the result should be very close to the input. 1 2 3 4 5 sqrt(x: Real) -> Real precondition: x >= 0; postcondition: abs(result * result - x) <= 0.000001 Program 49.2 An axiomatic specification of the squareroot function. In the rest of this lecture we will study object-oriented programming, in which methods can be specified with preconditions and postconditions.
457 50. Specification with preconditions and postconditions As exemplified at the end of the previous chapter, preconditions and postconditions can be used to specify the meaning of a function. In this chapter we will study preconditions and postconditions in more details. 50.1. Logical expressions Lecture 13 - slide 6 Logical expressions and assertions form the basis of preconditions and postconditions. Consequently, we define the concepts of logical expressions and assertions before preconditions and postconditions: A logical expression is an expression of type boolean An assertion is a logical expression, which, if false, indicates an error [Foldoc] A precondition of an operation is an assertion which must be true just before the operation is called A postcondition of an operation is an assertion which must be true just after the operation has been completed We have worked with logical expressions numerous times during this course. Logical expressions are formed by relational, equational, conjunctional (and) and disjunctional (or) operators. You find these operators at level 3, 4, 8, and 9 in Table 6.1. Assertions are also used in the context of program testing. In Section 55.7 we surveyed a large collection of assertions, which are available in the NUnit testing tools for C#. As stated in Section 55.8, an assertion in a test case, which returns the value false, causes a failure. A failed testcase signals that the unit under test is incorrect. Assertions used in test cases are similar to assertions found in postconditions. We can now characterize a precondition in the following way: • A precondition states if it makes sense to call an operation • The precondition is a prerequisite for the activation The precondition is typically formulated in terms of the formal parameters of the operation. Similarly, a postcondition can be characterized as follows: • A postcondition states if the operation returns the desired result, or has the desired effect, relative to the given parameters that satisfy the precondition • The postcondition defines the meaning of the operation
458 The postcondition of a procedure or function F must be fulfilled if the precondition of F holds, and if F terminates (F runs to its completion). 50.2. Examples of preconditions and postconditions Lecture 13 - slide 7 We will now study preconditions and postconditions of the operations in a circular list. A circular list is a linked list, in the sense we discussed in Section 45.14. However, the circular list discussed in this section is only single-linked. The distinctive characteristics of a circular list are the following: 1. The last LinkedListNode is linked to the first LinkedListNode of the list 2. The CircularList object refers to the LinkedListNode of the last element instead of the LinkedListNode of the first element. We show a circular list with five elements in Figure 50.1. The idea of referring the last element instead of the first element from the CircularList object means that both the front and the rear of the list can be reached in constant time. In many context, this is a very useful property. Notice also, that it is possible to deal with double-linked circular lists as well. Figure 50.1 A circular list. The large yellow object represents the circular list as such. The circular green nodes represent the elements of the list. The rectangular nodes are instances of a class akin to LinkedListNode, which connect the constituents of the list together. Below we specify the operations of the circular list with preconditions and postconditions. The specification in Program 50.1 defines the meaning of operations of the yellow object in Figure 50.1. In the program listing, the preconditions are marked with keyword require, and shown in red. The postconditions are marked with the keyword ensure, and shown in blue. The names of the keywords stem from the object-oriented programming language Eiffel [Meyer97, Meyer92, Switzer93], which is strong in the area of assertions. Apart from that, the syntax used in Program 50.1 is C# and Java like. 1 2 3 4 5 6 7 8 9 10 11 12 class CircularList { // Construct an empty circular list public CircularList() require true; ensure Empty(); // Return my number of elements public int Size() require true; ensure size = CountElements() && noChange;
459 13 14 15 16 17 18 19 20 21 22 23 24 25 26 27 28 29 30 31 32 33 34 35 36 37 38 39 40 41 42 43 44 45 46 // Insert el as a new first element public void InsertFirst(Object el) require !Full(); ensure !Empty() && IsCircular() && IsFirst(el); // Insert el as a new last element public void InsertLast(Object el) require !Full(); ensure !Empty() && IsCircular() && IsLast(el); // Delete my first element public void DeleteFirst() require !Empty(); ensure Empty() || (IsCircular() && IsFirst(old RetrieveSecond())); // Delete my last element public void DeleteLast() require !Empty(); ensure Empty() || (IsCircular() && isLast(old RetrieveButLast())); // Return the first element in the list Object RetrieveFirst() require !Empty(); ensure IsFirst(result) && noChange; // Return the last element in the list Object RetrieveLast() require !Empty(); ensure IsLast(result) && noChange; } Program 50.1 Circular list with preconditions and postconditions. The precondition true of the constructor says that there are no particular requirements to call the constructor. This is natural and typical. The postcondition of the constructor expresses that the constructor makes an empty circular list. The operation Size returns an integer corresponding to the counted number of elements in the list. CountElements is an operation, which counts the elements in the list. In a particular implementation of CircularList, the operation Size my return the value of a private instance variable which keeps track of the total number of elements in the list. nochange is a special assertion, which ensures that the state of the list has not changed due the execution of the Size operation. We see that the postcondition expresses the consistency between the value returned by Size, and the counted number of elements in the list. The operation InsertFirst is supposed to insert an element, to become the first element of the list (the one shown at the left hand side of Figure 50.1). The precondition expresses that the list must not be full before the insertion. The postcondition expresses that the list is not empty after the insertion, that it is still circular, and that el indeed is the first element of the list. The specification of the operation InsertLast is similar to InsertFirst. The operation DeleteFirst requires as a precondition a non-empty list. The postcondition of DeleteFirst expresses that the list either is empty or circular. If the list is non-empty (and therefore circular) after the deletion, the second element before the deletion must be the first element after the deletion. Notice the
460 modifier old. The value of Old(expression) is the value of expression, as evaluated in the state just before the current operation is executed. DeleteLast is symmetric to DeleteFirst. RetrieveFirst returns the first element of the list. The precondition of RetrieveFirst says that the list must be non-empty in order for this operation to make sense. The postcondition says that the result is indeed the first element, and that RetrieveFirst is a pure function (it does not mutate the state of the circular list). RetriveLast is symmetrical to RetrieveFirst. What about the operations Empty, Full, CountElements, IsCircular, IsFirst, IsLast, RetrieveSecond, and RetrieveButLast? They are intended to be auxiliary, public boolean operations in the circular list. In an implementation of CircularList we must implement these operations. They are supposed to be implemented as simple as possible, and they are not supposed to carry preconditions and postconditions. In order to be operational (meaning that the specification can be confirmed at run-time) these auxiliary operations be must be implemented. Nothing comes for free! In reality, we check the consistency between the operations listed in Program 50.1 and the auxiliary boolean operations. An inconsistency reveals an error in either the circular list operations, or in the auxiliary operations. The necessary auxiliary operations are typically much simpler than the circular list operations, and therefore an inconsistency most often will reveal an error in the way we have implemented a circular list operation. 50.3. An Assertion Language Lecture 13 - slide 8 We are now about to focus on the language in which we formulate the assertions (preconditions and postconditions). In the previous section we have studied examples, in which we have met several features in the assertion language. As it will appear, we are pragmatic with respect to the assertion language. The reason is that we allow programmed, boolean functions to be used in the assertion language. These boolean function are siblings to the functions that we are about to specify. It is an important goal that the preconditions and the postconditions should be checkable at program execution time. Thus, the it should be possible and realistic to evaluation the assertions at run-time. The following items characterize the assertions language:
461 • Logical expressions - as in the programming language • Programmed assertions - via boolean functions of the programming language • Should be simple functions • Problems if there are errors in these • Universal ("for all...") and existential ("there exists...") quantifiers • Requires programming - iteration - traversal • It may be expensive to check assertions with quantifiers • Informal assertions, written in natural language • Cannot be checked • Much better than nothing • Special means of expression • old Expr - The value of the expression at the beginning of the operation • nochange - A simple way to state that the operation has not changed the state of the object Use of universal and existential quantifiers, known from mathematical formalisms, makes it hard to check the assertions. Therefore such means of expressions do not exist directly in the assertion language. If we wish to express for all ... or there exists ... it must be programmed explicitly in boolean functions. We may easily encounter elements of a specification that we cannot (or will no) check by programmed exceptions. It may be too expensive, or too complicated to program boolean functions which represent these elements. In such situations we may wish to fall back on informal assertions, similar to comments. 50.4. References [Switzer93] Robert Switzer, Eiffel and Introduction. Prentice Hall, 1993. [Meyer92] Bertrand Meyer, Eiffel the Language. Prentice Hall, 1992. [Meyer97] Bertrand Meyer, Object-oriented software construction, second edition. Prentice Hall, 1997.
462
463 51. Responsibilities and Contracts This section is about responsibilities and contracts, and their connection to preconditions and postconditions. Recall from Section 2.2 in the initial lecture that we already touched on responsibilities in the slipstream of the pizza delivery example, see Figure 2.1. At the end of the chapter, in Section 51.8 we briefly discuss Design by Contract, which broadens the scope for applicability of contracts in the development process. 51.1. Division of Responsibilities Lecture 13 - slide 10 A class encapsulates some description of state, and some operations. A subset of the operations make up the interface between the class and other classes. All together, the class manages a certain amount of responsibility. Internally, the class is responsible for keeping the state consistent and sound. Externally, the operations of the class are responsible for delimitation of the messages that they handle, and the quality of the work (results) the operations deliver. It is bad if a class is irresponsible. Class irresponsibility may occur if a pair classes both expect the other class to be responsible. It is also bad if a class is too responsible. A pair of over-responsible classes redundantly care about the same properties. This is not necessary, and it bloats the amount of program lines in the implementation of the classes. This leads us to the essence of this and the following sections, namely division of responsibilities. Let us first enumerate the consequences of well-defined and ill-defined division of responsibilities: • Without well-defined division of responsibilities • All classes accept a large responsibility • All program parts check all possible conditions (defensive programming) • Makes a large program even larger • With well-defined division of responsibilities • Operations can safely operate under given assumptions • It is well-defined which parts should check which conditions • Simplifies the program 51.2. The highly responsible program Lecture 13 - slide 11 Before we proceed to the role of preconditions and postconditions in relation to responsibility, we will study an example of an object-oriented program with two classes that altogether are over-responsible. We make our points with yet another version of class BankAccount, see Program 51.2, in relation to a client of class BankAccount, see Program 51.1. As you will realize below, the illustration of over-responsibility is slightly exaggerated in relation to a real-life program.
464 The Main method in Program 51.1 withdraws and deposits money on the bank account referred by the variable ba, which is declared and initialized in line 5. Before withdrawing money in line 8, Main checks the soundness of the account (with AccountOK), and it checks if there are enough money available. After the withdrawal Main checks if the account is still sound. It also deals with the situation where Main withdraws an amount of money, which is greater then the balance of the account. Similar observations apply to Deposit in line 19. 1 2 3 4 5 6 7 8 9 10 11 12 13 14 15 16 17 18 19 20 21 22 23 24 public class Client{ public static void Main(){ BankAccount ba = new BankAccount("Peter"); if (ba.AccountOK && ba.EnoughMoney(1000)) ba.WithDraw(1000); else WithdrawingProblems("..."); if (!ba.AccountOK) MajorProblem("..."); if (ba.Balance <= 0) BankAccountOverdrawn(ba); ... if (ba.AccountOK) ba.Deposit(1500); if (!ba.AccountOK) MajorProblem("..."); } } Program 51.1 Excerpt of highly responsible class Client of BankAccount. In class BankAccount below, the Withdraw method in line 9-16 check the soundness of the bank account, and it deals with insufficient funds, before the actual withdrawal takes place in line 15. The Deposit method in line 18-24 cares about the situation where clients deposit very large amounts. In such cases the bank account attempts to check if the money comes from illegal or criminal sources. 1 2 3 4 5 6 7 8 9 10 11 12 13 14 15 16 17 18 19 20 public class BankAccount { private double interestRate; private string owner; private double balance; // ... public void Withdraw (double amount) { if (!AccountOK) ComplainAboutNonValidAccount(); else if (!this.EnoughMoney(amount)) ComplainAboutMissingMoney(); else balance -= amount; } public void Deposit (double amount) { if (amount >= 10000000) CheckIfMoneyHaveBeenStolen();
465 21 22 23 24 25 else if (!AccountOK) ComplainAboutNonValidAccount(); alse balance += amount; } } Program 51.2 Excerpt of highly responsible class BankAccount. Seen altogether, the amount of code in Program 51.1 and Program 51.2 is much larger than desired. The checks that happen more than once should be eliminated. In addition, some of the responsibilities should be delegated to third party objects. 51.3. Responsibility division by pre and postconditions Lecture 13 - slide 12 Preconditions and postconditions can be used to divide the responsibility between classes in an object- oriented program. The idea is to make it the responsibility of particular objects to fulfill the precondition of a method, and to make it the responsibility of other objects to fulfill the postcondition of a method. The rules are as follows: • Fulfillment of the precondition • The responsibility of the caller • The responsibility of the client in an object-oriented program • Fulfillment of the postcondition • The responsibility of the called operation • The responsibility of the server in an object-oriented program Client and server are roles of objects relative to the message passing in between them. The client and server roles were discussed in Section 2.1. In some books, the server is called a supplier. Let us recall the precondition and the postcondition of the square root function sqrt, as shown in Program 49.2. A function that calls sqrt is responsible to pass a non-negative number to the function. If a negative number is passed, the square root function should do nothing at all to deal with it. If, on the other hand, a non-negative number is passed to sqrt, it is the responsibility of sqrt to deliver a result which fulfills the postcondition. Thus, the caller of sqrt should do nothing at all to check or rectify the result. Now we know who to blame if an assertion fails: Blame the caller if a precondition of an operation fails Blame the called operation if the postcondition of an operation fails
466 51.4. Contracts Lecture 13 - slide 13 In everyday life, a contract is an enforceable agreement between two (or more) parties. Often, contracts are regulated by law. In relation to programming in general, we define a contract in the following way: A contract expresses the mutual obligations in between parts of a program that cooperate about the solution of some problem In object-oriented programming it is natural that the program parts are classes. The preconditions and the postconditions of the public methods in a class together form a contract between the class and its clients. It can be a serious matter if a contract is broken. A broken contract is tantamount to an inconsistency between the specification and the program, and it is usually interpreted as an error in the program. The error is usually fatal. A broken contract should raise and throw an exception. Unless the exception is handled, the broken contract will cause the program to stop. 51.5. Everyday Contracts Lecture 13 - slide 14 Contracts are all around us in our everyday life When we do serious business in our everyday life, we are very much aware of contracts. When we accept a new job or when we buy a house, the mutual agreement is formulated in a contract. Below we list some additional everyday contracts: • Student and University • The student enrolls some course • The university offers a teacher, a room, supervision and other resources • Citizen and Tax office • The citizen does a tax return • The tax office calculates the taxes, and regulates the paid amount of money • Football player and Football club • The player promises to play 50 games per season • The football club pays 10.000.000 kroner to the player pr. month • Citizen and Insurance company • The insurance holder pays the insurance and promises to avoid insurance fraud • In case of a damage or accident, the insurance company pays compensation
467 51.6. Contracts: Obligations and Benefits Lecture 13 - slide 15 Contracts in object-oriented programs, specified by preconditions and postconditions of certain methods, express obligations and benefits. In Figure 51.1 we personalize the obligations and benefits of a client and server. In the context of Figure 51.1 the server is called a supplier. This terminology, as well as the syntax used in the illustration, come from the object-oriented programming language Eiffel [Meyer97, Meyer92, Switzer93]. Figure 51.1 A give-and-take situation involving a client and a server (supplier) class. The Client, shown to the right in Figure 51.1 must make an effort to arrange, that everything is prepared for calling opSupplier in the class Supplier. These efforts can be enjoyed by the supplier, because he can take for granted that required precondition of opSupplier is fulfilled. The roles are shifted with respect to the rest of the game. The supplier must make an effort to ensure that the postcondition of opSupplier is fulfilled when the operation terminates. This reflects the fact the operation has done the job, as agreed on in the contract. In return, the client can take for granted that the opposite party (the supplier) delivers an appropriate and correct result. The obligations and benefits of the contract can be summarized as follows: Obligation - May involve hard work Benefit - A delight. No work involved If you feel that the discussion in this section is too abstract, we will rephrase the essence in the next section relative to the squareroot function.
468 51.7. Obligations and Benefits in Sqrt Lecture 13 - slide 16 In Program 49.2 of Section 49.3 we exemplified axiomatic specifications with a squareroot function. Let us, of convenience, rephrase the specification here. 1 2 3 4 5 sqrt(x: Real) -> Real precondition: x >= 0; postcondition: abs(result * result - x) <= 0.000001 Program 51.3 An axiomatic specification of the squareroot function. The obligations and benefits of sqrt, relative to its callers, are summarized in the following table: - Obligation Benefit Client Must pass a non-negative number Receives the squareroot of the input Server Returns a number r for which r * r = x Take for granted that x is non-negative Table 51.1 A tabular presentation of the obligations and benefits of the squareroot function (in a server role) and its callers (in a client role). Notice in particular the obligation of the client and the benefit of the server, as emphasized using the red color in the table. 51.8. Design by Contract Lecture 13 - slide 27 As presented in Section 51.4, a contract of a class is the sum of the assertions in the class. Thus, a contract is formed by concrete artifacts in the source program. As part of the Eiffel efforts [Meyer97, Meyer92, Switzer93], the use and benefits of contracts have been broadened such that contracts affects both design, implementation, and testing. The broad application of contract is known as Design by Contract (DBC). Design by Contract is a trademark of the company Eiffel Software, and as such it may be problematic to use the term, at least in commercial contexts. Design by ContractTM (DBC) represents the idea of designing and specifying programs by means of assertions The following summarizes the use of contracts in the different phases of the software development process, and beyond.
469 • Design: A pragmatic approach to program specification • Documentation: Adds very important information to interface documentation of the classes • Implementation: Guides and constrains the actual programming • Verification: The program can be checked against the specification every time it is executed • Test: • Preconditions limit the testing work • The check of postconditions and class invariants do part of the testing work • End use: Trigger exception handling if assertions are violated The use of contracts for design purposes is central. The contract of a planned class serves as the specification of the class. We have discussed program specifications in Section 49.3 of this material. Interface documentation - as pioneered by JavaDoc - includes signatures of methods and informal explanations found in so-called documentation comments. It is very useful to include both preconditions, postconditions, and class invariants in such documentation. During program execution - both in the testing phase and in the end use phase - the actual state of the program execution can be compared with the assertions. As such, it is possible to verify the implementation against the specification at program run-time. If an inconsistency is discovered during testing, we have located an error. This is always a pleasure and a success. If an inconsistency is discovered during end use, an exception is thrown. This is clearly less successful. Exceptions have been treated in Chapter 33 - Chapter 36 of this material. 51.9. References [Switzer93] Robert Switzer, Eiffel and Introduction. Prentice Hall, 1993. [Meyer92] Bertrand Meyer, Eiffel the Language. Prentice Hall, 1992. [Meyer97] Bertrand Meyer, Object-oriented software construction, second edition. Prentice Hall, 1997.
470
471 52. Class Invariants In this chapter we will study yet another kind of assertions called class invariants. The class invariant serves as a strengthening of both the preconditions and the postconditions of all operations in the class. As we will see in the first section of this chapter, a good class invariant makes it easier to formulate both preconditions and postconditions of the operations in the class. 52.1. General aspects of contracts Lecture 13 - slide 18 When we do computations in general, the values of the variables in the running programs are modified throughout the computation. In an object-oriented program the states of the involved objects will vary as the program execution progresses. This variation of the program state is not arbitrary, however. There is usually some rules that control and constrain the variations. Such rules can be formulated as invariants. An invariant describes some properties and relationships that remain constant (do not vary) during the execution of a program. A class invariant is an assertion that captures the properties and relationships, which remain stable throughout the life-time of instances of the class. A class invariant expresses properties of an object which are stable in between operations initiated via the public client interface The following characterizes a class invariant: • acts as a general strengthening of both the precondition and postcondition • expresses a "health criterion" of the object • must be fulfilled by the constructor • must be maintained by the public operations • must not necessarily be maintained by private and protected operations The class invariant is an assertion, which should be true at every stable point in time during the life of an object. In this context, a stable point in time is just after the completion of the constructor and in between executions of public operations on the class. At a stable point in time, the object is in rest - the object is not in the middle of being updated. The unstable points in time are, for instance, in the middle of the execution of a constructor, or in the middle of the execution of a public operation. In addition, a non-public operation may leave the object in a state, which does not satisfy the class invariant. The reason is that a public operation may need to activate several non-public operations, and it may need to carry out additional state changes (assignments) in order to reach a stable state that satisfies the class invariant. A non-public operation may be responsible for only a fraction of the updating of an object. You can think of the class invariant as a health criterion, which must be fulfilled by all objects in between operations. As a precondition of every public operation of the class, it can therefore be assumed that the class invariant holds. In addition, it can be assumed as a postcondition of every public operation that the class invariant holds. In this sense, the class invariant serves as a general strengthening of both the precondition and the postcondition of public operations in the class. The effective precondition is the formulated
472 precondition in conjunction with the class invariant. Similarly, the effective postcondition is the formulated postcondition in conjunction with the class invariant. A class invariant expresses some constraints that must be true at every stable point in time during the life of an object Our primary interest in this chapter is class invariants. Invariants are, however, also useful and important in other contexts. 52.2. Everyday invariants Lecture 13 - slide 19 Before we proceed to a programming example, we will draw the attention to useful everyday invariants. • Coffee Machine • In between operations there is always at least one cup of coffee available • Toilet • In between "transactions" there is always at least 0.75 meter of toilet paper on the roll • Keys and wallet • In between using keys and/or wallet • During daytime: Keys and wallet are in the pocket • During nighttime: Keys are wallet are located on the bedside table or underneath the pillow The coffee machine invariant ensures that nobody will go for coffee in vain. If you happen to fill your jug with the last cup of coffee from the coffee pot, your operation on the coffee machine is not completed until you have brewed a new pot of coffee. The toilet paper invariant should be broadly appreciated. As a consequence of the invariant, the operation of emptying the toilet paper reel is not completed before you have found and mounted an extra, full reel of paper. The last everyday invariant is - in my experience - often broken by women and children, because they do not always wear practical cloth with pockets suitable for wallets and keys. As a consequence, these important items tend to be forgotten or misplaced, such that they are not available when needed. If the proposed key and wallet invariant is observed, you either use the key or wallet, or you will be confident where to find them. Adherence to invariants is the key to order in our daily lives
473 52.3. An example of a class invariant Lecture 13 - slide 20 It is now time to study the invariant of the circular list. Recall that we introduced preconditions and postconditions of the circular list in Program 50.1 of Section 50.2. The class invariant of a circular lists expresses that the list is circular whenever it is non-empty. In Program 52.1 the invariant is formulated at the bottom of the program, in line 43-45. In the same way as the preconditions and postconditions, the class invariant involves subexpressions that are realized by programmed operations (empty, isCircular, and size) of the class. 1 2 3 4 5 6 7 8 9 10 11 12 13 14 15 16 17 18 19 20 21 22 23 24 25 26 27 28 29 30 31 32 33 34 35 36 37 38 39 40 41 42 43 44 45 46 class CircularList { // Construct an empty circular list public CircularList() require true; ensure empty(); // Return my number of elements public int size() require true; ensure (size = countElements) && noChange; // Insert el as a new first element public void insertFirst(Object el) require !full(); ensure !empty() && isFirst(el); // Insert el as a new last element public void insertLast(Object el) require !full(); ensure !empty() && isLast(el); // Delete my first element public void deleteFirst() require !empty(); ensure (empty() || isFirst(old retrieveSecond)); // Delete my last element public void deleteLast() require !empty(); ensure (empty() || isLast(old retrieveButLast())); // Return the first element in the list Object retrieveFirst() require !empty(); ensure isFirst(result) && noChange; // Return the last element in the list Object retrieveLast() require !empty(); ensure isLast(result) && noChange; invariant !empty() implies isCircular() and empty() implies (size() = 0); } Program 52.1 Circular list with a class invariant.
474 If we compare Program 52.1 with Program 50.1 it is worth noticing that the preconditions and postconditions become simpler and shorter, because they implicitly assumes that the class invariant is true. Thus, relative to (a slightly idealised version of) Program 50.1, the invariant is factored out of all preconditions and postconditions.
475 53. Inheritance is Subcontracting In this chapter we will review inheritance - including specialization - in the light of contracts. Specialization was discussed in Chapter 25 and inheritance was discussed in Chapter 27. The concept of contracts was introduced in Chapter 51. Stated briefly, we understand a subclass as a subcontractor of its superclass. Being a subcontractor, it will not be possible to carry out arbitrary redefinitions of operations in a subclass, relative to the overridden operations in the superclass. 53.1. Inheritance and Contracts Lecture 13 - slide 22 The following question is of central importance to the discussion in this chapter. How do the assertions in a subclass relate to the similar assertions in the superclass? Figure 53.1 illustrates a class B which inherits from class A. Both class A and B have invariants. In addition, operations in class A that are redefined in class B have preconditions as well as postconditions. Figure 53.1 The relationship between inheritance and contracts The question from above can now to refined as follows: • How is the invariant in class B related to the invariant of class A? • How is the precondition of the operation op in class B related to the precondition of the overridden operation op from class A? • How is the postcondition of the operation op in class B related to the postcondition of the overridden operation op from class A? Each of the three questions are symbolized with a red question mark in Figure 53.1.
476 53.2. Subcontracting Lecture 13 - slide 23 Due to polymorphism, an instance of a subclass can act as a stand in for - or subcontractor of - an instance of the superclass. Consequently, the contract of the subclass must comply with the contract of the superclass. The contract of a subclass must therefore be a subcontract of the superclass' contract. This is closely related to the principle of substitution, which we discussed in Section 25.7. The notion of subcontracting is realized by enforcing particular requirements to preconditions, postconditions, and class invariants across class hierarchies. In order to understand inheritance as subcontracting, the following rules must apply for assertions in a subclass: • The precondition must not be stronger than the precondition in the superclass • The postcondition must not be weaker than the postcondition in the superclass • The class invariant must not be weaker than the invariant in the superclass As discussed in Section 50.1, a precondition of an operation states the prerequisites for calling the operation. If the precondition is evaluated to the value true, the operation can be called. It is the responsibility of the caller (the client) to fulfill the precondition. The postcondition of the operation states the meaning of the operation, in terms of requirements to the returned value and/or requirements to the effect of the operation. It is the responsibility of the operation itself (the server) to fulfill the postcondition. The postcondition must be true if the precondition is satisfied and if the operation terminates normally (without throwing an exception). If we assume that the precondition of a redefined operation in a subclass is stronger than the precondition of the original operation in the superclass, then the subclass cannot be used as a subcontractor of the superclass. Consequently, the preconditions of redefined operations in subclasses must be equal to or weaker than the preconditions of corresponding operations in superclasses. In case the postcondition of a redefined operation in a subclass is weaker than the postcondition of the operation in the superclass, the redefined operation does not solve the problem as promised by the contract in the superclass. Therefore, the postconditions of redefined operations must be equal to or stronger than the postconditions of corresponding operations in superclasses. The superclass has promised to solve some problem via the virtual operations. Redefined and overridden operations in subclasses are obliged to solve the problem under the same, or possible weaker conditions. This causes the weakening of preconditions. The job done by the redefined and overridden operations must be as least as good as promised in the superclass. This causes the strengthening of postconditions. The invariant of the superclass expresses requirements to instance variables in the superclass, at stable points in time. These instance variables are also present in subclasses, and the requirements to these persist in subclasses. Consequently, class invariants cannot be be weakened in subclasses. Relative to Figure 53.1 the formulated precondition pre-op2 in B.op serves as a weakening of pre-op1 of A.op. The effective precondition of B.op is pre-op1 or pre-op2. Similarly, the effective postcondition of B.op2 is post-op1 and post-op2. The use of the Eiffel keywords require else and ensure then signals this understanding. Operations in subclasses cannot arbitrarily redefine/override operations in superclasses
477 In our discussion of redefinition of methods in Section 28.9 we came up with some technical and syntactical requirements to redefinitions. The contributions outlined above in terms of subcontracting constrain the meaning (the semantics) of redefined operations in subclasses in relation to the original operations in superclasses. This is very satisfactory! 53.3. Class invariants in the triangle class hierarchy Lecture 13 - slide 24 We studied the specialization hierarchy of polygons in Section 25.5. In Figure 53.1 below we revisit the five triangle classes. It is our interest to understand how the class invariants are strengthened in subclasses of the most general triangle class. Figure 53.2 The hierarchy of triangle classes. The root class represents the most general triangle. The son to the left represents an isosceles triangle (where to sides are of same lengths). The son to the right represents a right triangle, where one of the angles is 90 degrees. The triangle at the bottom left is an equilateral trianlge (where all three sides are of equal lengths). The triangle at the bottom right is both an isosceles triangle and a right triangle. The invariants of the five types of triangles can be described as follows: • Most general triangle: 3 angles, 3 edges Sum of angles: 180 degrees • Isosceles triangle Invariant of general triangle 2 edges of equal length • Equilateral triangle: Invariant of isosceles triangle 3 edges of equal length • Right triangle: Invariant of general triangle Pythagoras • Isosceles right triangle: Invariant of isosceles triangle Invariant of right triangle Notice that the italic contributions above describe the strengthenings relative to the invariant of the superclass.
478 53.4. Assertions in Abstract classes Lecture 13 - slide 25 Abstract classes where discussed in Section 30.1. An abstract method in an abstract class defines the name and parameters of the method - and nothing more. The intended meaning of the method is an informal matter. In Chapter 30 we did not encounter any means to define or constrain the actual result or effect of abstract methods. In this section we will see how the meaning of an abstract method can be specified. In Program 30.1 we studied an abstract class Stack. Below, in Program 53.1 we show a version of the abstract stack with contractual elements - preconditions and postconditions. Possible future non-abstract subclasses of Stack will be subcontractors. It means that such subclasses will have to fulfill the contract of the abstract stack, in the way we have discussed in Section 53.2.
479 1 2 3 4 5 6 7 8 9 10 11 12 13 14 15 16 17 18 19 20 21 22 23 24 25 26 27 28 29 30 31 32 33 34 35 36 37 38 39 40 41 42 43 44 45 46 47 48 49 50 51 52 using System; public abstract class Stack{ abstract public void Push(Object el); require !full; ensure !empty && top() = el && size() = old size() + 1 && "all elements below el are unaffected"; abstract public void Pop(); require !empty(); ensure !full() && size() = old size() - 1 && "all elements remaining are unaffected"; abstract public Object Top require !empty(); ensure nochange && Top = "the most recently pushed element"; { get; } abstract public bool Full require true; ensure nochange && Full = (size() = capacity); { get; } abstract public bool Empty require true; ensure nochange && Empty = (size() = 0); { get;} abstract public int Size require true; ensure nochange && Size = "number of elements on stack"; { get;} public void ToggleTop() require size() >= 2; { if (Size >= 2){ Object topEl1 = Top; Pop(); Object topEl2 = Top; Pop(); Push(topEl1); Push(topEl2); } ensure size() = old size() && "top and element below top have been exchanged" && "all other elements are unaffected"; } public override String ToString(){ return("Stack"); } } Program 53.1 An abstract class with preconditions and postconditions. As we have seen before, require clauses are preconditions and ensure clauses are postconditions. Notice the use of old and nochange, which we introduced in Section 50.2. The "italic strings" represent informal preconditions. Alternatively, and more rigidly, we may consider to implement these parts of the assertions as private boolean functions. Notice, however, that it would be quite demanding to do so, at least compared with the remaining implementation efforts involved.

Object oriented-programming-in-c-sharp

  • 1.
    Object-oriented Programming in C# forC and Java programmers February 2010 Kurt Nørmark © Department of Computer Science, Aalborg University, Denmark. WEB version: http://www.cs.aau.dk/~normark/oop-csharp/html/notes/theme-index.html
  • 2.
  • 3.
    iii Abstract This is ateaching material about object-oriented programming, illustrated with use of the programming language C#. The initial version was written i 2006. It is assumed, as a prerequisite, that the readers have some knowledge about imperative programming, preferably knowledge about C. I believe that it is best to learn object-oriented programming after having learned and worked with imperative programming. Thus, we adhere to an "object later approach". The starting point of of this teaching material is a number of slides. The slides are annotated with explanations and additional resources. The most comprehensive version of the material has the form of a traditional textbook. You can think of the textbook as grown on top of the slide material. Almost all programs in this material have been developed together with the material. However, a few programs come from other sources. If the programs are not original, the source programmers are mentioned and acknowledged in an initial comment line of the program. The current version of the material is complete up to (and including) the last chapter in lecture about Contracts (chapter 53). The final chapters - corresponding to the lectures about test and documentation - only contain slide material. The teaching material is an online material represented in HTML. A PDF version of the textbook is also available. In order to limit the size of the PDF files some less important programs have been left out from the PDF edition. In the web edition (in HTML files) the full content is available. We have used colors to emphasize aspects of the source programs in this material. It is therefore recommeded that you read the material from a color medium. We would like to point out a couple of qualities of the web edition of the material. First, we have provided for extensive cross linking of the material. Whenever relevant, we have provided links from one part of the material to another. We have also provided a comprehensive subject index. Finally, there are separate indexes of source programs and exercises. The source program index provides links to complete, textual versions of the C# programs of the material, ready for you to compile and use. In the spring of 2008 the material has been used in a course where the students have a background in imperative Visual Basic programming. We have therefore added a chapter that compares the fundamental (non-objected) parts of Visual Basic with the similar parts of C#. The chapter about Visual Basic is only available in the web-version. Prior to the fall semester of 2008, selected aspects of C# 3.0 have been included in the material. This includes automatic properties, object initializers, extension methods, and lambda expressions.
  • 4.
    iv The January 2009edition includes a number of bug-fixes (as collected during the fall of 2008) and some new exercises targeted at the Aalborg University OOPA spring course 2009 at the BAIT education. The February 2010 edition is a minor revision compared with the August 2009 edition. The February 2010 edition is the last, and final, version of the teaching material. Kurt Nørmark normark@cs.aau.dk Department of Computer Science Alborg University Denmark February 5, 2010 Colophon: This material has been made with the LENO system. LENO is an XML language which is defined by an XML DTD. LENO is used together with LAML. LAML is a software package that makes XML available in the Scheme programming language. For this version of the material, LAML version 35.0 (development version) has been used. This setup allows us to write LENO material in the programming language Scheme. Thus, the source of this material has been written in Scheme with use of the mirror functions of LENO XML language. Most illustrations have been written in an extension of SVG which allows for high-level representations of graphs. Batik 1.6 has been used to rasterize the SVG images in some versions of the material. The primary target format of the teaching material is HTML. LENO can be used to produce different views of the material. In the concrete material we make use of the slide view and the thematic view (the text book view). The aggregated slide view is also available. The PDF version of the thematic view (the text book view) has been made by PDF Creator (version 0.9.5 ). Text breaking and page enumeration has been made in Microsoft Word 2003 via 'Edit with Microsoft Word' in Internet Explorer version 7.0.
  • 5.
    v Contents 1. From structuredprogramming to object-oriented programming 1 2. Towards Object-oriented Programming 7 3. Phenomena and Concepts 13 4. Towards Object-oriented Programs 19 5. The C# Language and System 23 6. C# in relation to C 25 7. C# in relation to Java 53 8. C# in relation to Visual Basic 57 9. C# Tools and IDEs 59 10. Classes: An Initial Example 61 11. Classes 67 12. Creating and Deleting Objects 89 13. Reference Types 97 14. Value Types 103 15. Organization of C# Programs 117 16. Patterns and Techniques 123 17. Accessing Data in Objects 133 18. Properties 135 19. Indexers 147 20. Methods 151 21. Overloaded Operators 165 22. Delegates 173 23. Events 183 24. Patterns and Techniques 189 25. Specialization of Classes 195 26. Extension of Classes 203 27. Inheritance in General 209 28. Inheritance in C# 215
  • 6.
    vi 29. Method Combination241 30. Abstract Classes - Sealed Classes 245 31. Interfaces 253 32. Patterns and Techniques 271 33. Fundamental Questions about Exception Handling 301 34. Conventional Exception Handling 307 35. Object-oriented Exception Handling 311 36. Exceptions and Exception Handling in C# 313 37. Streams 333 38. Directories and Files 355 39. Serialization 359 40. Patterns and Techniques 369 41. Motivation for Generic Types 373 42. Generic Types 381 43. Generic Methods 401 44. Collections - History and Overview 407 45. Generic Collections in C# 409 46. Generic Dictionaries in C# 437 47. Non-generic Collections in C# 445 48. Patterns and Techniques 447 49. Correctness 453 50. Specification with preconditions and postconditions 457 51. Responsibilities and Contracts 463 52. Class Invariants 471
  • 7.
    1 1. From structuredprogramming to object-oriented programming We will assume that the reader of this material has some knowledge of imperative programming, and that the reader already has been exposed to the ideas of structured programming. More specifically, we will assume that the reader has some background in C programming. In Chapter 6 (corresponding to the second lecture of the course) we summarize the relationships between C and C#. 1.1. Structured Programming Lecture 1 - slide 2 We approach object-oriented programming by reviewing the dominating programming approach prior to object-oriented programming. It is called structured programming. A brief background on structured programming, imperative programming, and - more generally - different schools of programming is provided in Focus box 1.1. I will recommend that you read the Wikipedia article about structured programming [wiki- str-pro]. It captures, very nicely, the essence of the ideas. Structured programming relies on use of high-level control structures instead of low-level jumping Structured programming is also loosely coupled with top-down programming and program development by stepwise refinement Structured programming covers several, loosely coupled ideas. As summarized above, one of these is the use of control structures (such as if, switch/case, while and for) instead of gotos. Use of relatively small procedures is another idea. A well-structured program should devote a single procedure to the solution of a single problem. The splitting of problems in subproblems should be reflected by breaking down a single procedure into a number of procedures. The idea of program development by stepwise refinement [Wirth71] advocates that this is done in a top-down fashion. The items below summarize the way it is done. • Start by writing the main program • Use selective and iterative control structures • Postulate and call procedures P1, ...,Pn • Implement P1, ... Pn, and in turn the procedures they make use of • Eventually, the procedures become so simple that they can be implemented without introducing additional procedures Only few programmers are radical with respect to top-down structured programming. In the practical world it is probably much more typical to start somewhere in the middle, and then both work towards the top and towards the bottom.
  • 8.
    2 Imperative programming, Structuredprogramming, and Programming paradigms. FOCUS BOXFOCUS BOXFOCUS BOXFOCUS BOX 1.11.11.11.1 Imperative programming is one of the four main programming paradigms. The others are functional programming, object-oriented programming, and logic programming. Imperative programming is closely related to the way low-level machine languages work: Commands are used to change the values of locations in the memory of the computer. In high-level languages, this is achieved by use of assignment statements, which is used to change the values of variables. The assignment statement is therefore the archetypical command in imperative programming. Control structures (sequence, selection, and iteration) come on top of that together with procedural abstractions. Programming done in the early years of the computing era (before the introduction of Algol) is often thought of as "unstructured programming". Unstructured programming is largely characterized by use of "jumping around" by means of goto commands. The introduction of if and while control structures together with procedures eliminated the need for gotos. This can be shown theoretically, but - more important - it also holds true in the practical world of imperative programming. Armed with the common control structures (if and while, for instance) and procedural abstraction, very few programmers are tempted to use a goto statement in the programs they write. Such programming, without use of goto statements, is often called structured programming. 1.2. A structured program: Hangman Lecture 1 - slide 3 In order to be concrete we will look at parts of a C program. The program implements a simple and rudimentary version of the well-known Hangman game. We will pretend that the program has been developed according to the structured programming ideas described in Section 1.1. The main Hangman program, main, is shown in Program 1.1. The fragments shown in purple are postulated (in the sense discussed in Section 1.1). I.e., they are called, but not yet defined at the calling time. The postulated procedures are meant to be defined later in the program development process. Some of them are shown below. 1 2 3 4 5 6 7 8 9 10 11 int main(void){ char *playerName; answer again; playerName = getPlayerName(); initHangman(); do{ playHangman(playerName); again = askUser("Do you want to play again"); } while (again == yes); } Program 1.1 The main function of the Hangman program. The function getPlayerName is intended to prompt the Hangman player for his or her name. As it appears in Program 1.2 this function only uses functions from the C standard library. Therefore there are no emphasized parts in getPlayerName.
  • 9.
    3 1 2 3 4 5 6 7 8 char *getPlayerName(){ char *playerName= (char*)malloc(NAME_MAX); printf("What is your name? "); fgets(playerName, NAME_MAX, stdin); playerName[strlen(playerName)-1] = '0'; return playerName; } Program 1.2 The function getPlayerName of main. The function initHangman calls an additional initialization function called initPuzzles, which reads a puzzle from a text file. We will here assume that this function does not give rise to additional refinement. We do not show the implementation of initPuzzles. 1 2 3 4 void initHangman (void){ srand(time(NULL)); initPuzzles("puzzles.txt"); } Program 1.3 The function initHangman of main. askUser is a general purpose function, which was called in main in Program 1.1. We show it in Program 1.4 (only on web) and we see that it does not rely on additional functions. The function playHangman, seen in Program 1.5, is called by main in the outer loop in Program 1.1. playHangman contains an inner loop which is related to a single round of playing. As it appears from Program 1.5 playHangman calls a lot of additional functions (all emphasized, but not all of them included here). 1 2 3 4 5 6 7 8 9 10 11 12 13 14 15 16 17 18 19 20 21 22 23 24 25 void playHangman (char playerName[]){ int aPuzzleNumber, wonGame; puzzle secretPuzzle; hangmanGameState gameState; char playersGuess; initGame(playerName, &gameState); aPuzzleNumber = rand() % numberOfPuzzles(); secretPuzzle = getPuzzle(aPuzzleNumber); while ((gameState.numberOfWrongGuesses < N) && (gameState.numberOfCorrectGuesses < secretPuzzle.numberOfCharsToGuess)){ gameStatistics(gameState, secretPuzzle); presentPuzzleOutline(secretPuzzle,gameState); printf("n"); presentRemainingAlphabet(gameState); printf("n"); if (CHEATING) presentSecretPuzzle(secretPuzzle); printf("n"); playersGuess = getUsersGuess(); clrconsole(); updateGameState(&gameState, secretPuzzle, playersGuess); } gameStatistics(gameState, secretPuzzle); wonGame = wonOrLost(gameState,secretPuzzle); handleHighscore(gameState, secretPuzzle, wonGame); } Program 1.5 The function playHangman of main.
  • 10.
    4 In Program 1.6(only on web) and Program 1.7 (only on web), we show two additional functions, initGame and getPuzzle, both of which are called in playHangman in Program 1.5. As already brought up in Section 1.1 many programmers do not strictly adhere to structured programming and top-down refinement when coding the hangman program. If you have programmed Hangman, or a similar game, it is an interesting exercise to reflect a little on the actual approach that was taken during your own development. In Section 4.1 we return to the Hangman example, restructured as an object-oriented program. Exercise 1.1. How did you program the Hangman game? This is an exercise for students who have a practical experience with the development of the Hangman program, or a similar game. Recall how you carried out the development of the program. To which degree did you adhere to top-down development by stepwise refinement? If you did not use this development approach, then please try to characterize how you actually did it. 1.3. Observations about Structured Programming Lecture 1 - slide 4 We will now attempt to summarize some of the weaknesses of structured programming. This will lead us towards object-oriented programming. Structured programming is not the wrong way to write programs. Similarly, object-oriented programming is not necessarily the right way. Object-oriented programming (OOP) is an alternative program development technique that often tends to be better if we deal with large programs and if we care about program reusability. We make the following observations about structured programming: • Structured programming is narrowly oriented towards solving one particular problem • It would be nice if our programming efforts could be oriented more broadly • Structured programming is carried out by gradual decomposition of the functionality • The structures formed by functionality/actions/control are not the most stable parts of a program • Focusing on data structures instead of control structure is an alternative approach • Real systems have no single top - Real systems may have multiple tops [Bertrand Meyer] • It may therefore be natural to consider alternatives to the top-down approach Let us briefly comment on each of the observations.
  • 11.
    5 When we writea 'traditional' structured program it is most often the case that we have a single application in mind. This may also be the case when we write an object-oriented program. But with object-oriented programming it is more common - side by side with the development of the application - also to focus on development of program pieces that can be used and reused in different contexts. The next observation deals with 'stable structures'. What is most stable: the overall control structure of the program, or the overall data structure of the program? The former relates to use of various control structures and to the flow procedure calls. The latter relates to data types and classes (in the sense to be discussed in Chapter 11). It is often argued that the overall program data structure changes less frequently than the overall program control structure. Therefore, it is probably better to base the program structure on decomposition of data types than on procedural decomposition. The last observation is due to Bertrand Meyer [Meyer88]. He claims that "Real systems have no top". Let us take the Hangman program as an example. Even if it is likely that we can identify a single top of most hangman programs (in our program, main of Program 1.1) the major parts of the program should be able to survive in similar games, for instance in "Wheel of Fortune". In addition, a high score facility of Hangman should be applicable in a broad range of games. The high score part of the Hangman program may easily account for half of the total number of source lines in Hangman, and therefore it is attractive to reuse it in other similar games. The simple textual, line-oriented user interface could be replaceable by a more flexible user graphical user interface. In that way, even the simple Hangman program can easily be seen as a program with no top, or a program with multiple tops. Readers interested in a good and extended discussion of 'the road to object-orientation' should read selected parts of Bertrand Meyers book 'Object-oriented Software Construction' [Meyer88]. The book illustrates object-oriented programming using the programming language Eiffel, and as such it is not directly applicable to the project of this course. The book is available in two versions. Either of them can be used. In my opinion 'Object-oriented Software Construction' is one of the best books about object-oriented programming. 1.4. Towards Object-oriented Programming Lecture 1 - slide 5 We are now turning our interests towards 'the object-oriented way'. Below we list some of the most important ideas that we must care about when we make the transition from structured programming to object-oriented programming. This discussion is, in several ways, continued in Chapter 2. • The gap between the problem and the level of the machine: • Fill the gap bottom up • Use the data as the basic building blocks • Data, and relations between data, are more stable than the actions on data • Bundle data with their natural operations • Build on the ideas of abstract datatypes • Consolidate the programming constructs that encapsulate data (structs/records) • Concentrate on the concepts and phenomena which should be handled by the program • Make use of existing theories of phenomena and concepts • Form new concepts from existing concepts • Make use of a programming style that allows us to collapse the programming of objects
  • 12.
    6 Our approach toobject-oriented programming is continued in Chapter 2. Before that, we will clarify the concept of abstract data types. 1.5. Abstract Datatypes Lecture 1 - slide 10 A data type (or, for short, a type) is a set of values. All the values in a type share a number of properties. An abstract data type is a data type where we focus on the possible operations on the values in the type, in contrast to the representation of these values. This leads to the following definitions. A datatype is a set of values with common properties. A datatype is a classification of data that reflects the intended use of the data in a program. An abstract datatype is a data type together with a set of operations on the values of the type. The operations hide and protect the actual representation of the data. In this material, boxes on a dark blue background with white letters are intended to give precise definitions of concepts. To strengthen our understanding of abstract data types (ADTs) we will show a few specifications of well- known data types: Stacks, natural numbers, and booleans. A specification answers "what questions", not "how questions". The details are only shown in the web version of the material. 1.6. References [Meyer88] Bertrand Meyer, Object-oriented software construction. Prentice Hall, 1988. [Wirth71] Niklaus Wirth, "Program Development by Stepwise Refinement", Communications of the ACM, Vol. 14, No. 4, April 1971, pp. 221-227. [Wiki-str-pro] Wikipedia: Structured_programming http://en.wikipedia.org/wiki/Structured_programming
  • 13.
    7 2. Towards Object-orientedProgramming In this and the following chapter we will gradually unveil important theoretical and conceptual aspects of object-oriented programming. After this, in Chapter 4 we will be more concrete and practical, again in terms of the Hangman example. In this chapter we will deal with a number of different aspects that lead in the direction of object-oriented programming. We do not attempt to relate these aspects to each other. Thus, in this chapter you will encounter a number of fragmented observations that - both individually and together - bring us towards object-oriented programming. 2.1. Client, Servers, and Messages Lecture 1 - slide 7 We will start with message passing in between objects. One object (often called the client) sends a message to another object (often called the server). The client asks for a service. The server will do the job, and eventually return an answer to the client. "Client" and "server" are general role names of objects. When the server receives a message, it may decide to forward the message to some subserver (because it cannot handle the request - solve the problem - itself). In this way, the server becomes a client of another server. We will primarily be concerned with message passing where the client waits for an answer from the server. Thus, nothing happens in the client before the server has completed its work. This is referred to as synchronous message passing. Asynchronous message passing is also possible. This involves parallel activities. This is a slightly more advanced topic. Peter orders a Pizza at AAU Pizza by email. Via interaction between a number of service providers, a pizza is delivered to Peters group room Below we study an everyday example of message passing between an object (person) who orders a pizza, and a "Pizza server". The Pizza server relies on other subservers (subcontractors), in our example the butcher, the greengrocer, and a transport service. Thus, the Pizza crew are customers in other shops, and they make use of other services. Notice that Peter - the hungry guy - is not aware of the subcontractors. Peter only cares about the interface of the Pizza server. In some versions of this material you may interactively play the Pizza scenario in order to find out how the objects cooperate when Peter orders a Pizza. The scenario emphasizes that there is always a single current object (at least as long as we deal with synchronous message passing).
  • 14.
    8 Figure 2.1 Thescenario of pizza ordering. The scenario focuses on a number of objects (persons) who communicate by message passing. Is it reasonable that Peter is idle in the period of time in between pizza ordering and pizza delivery? It depends on the circumstances. If you wait in the restaurant you may actually be left with feeling of 'just waiting'. If Peter orders the Pizza from his group room, Peter probably prefers to send an asynchronous message. In that way he can do some work before the pizza arrives. In this mode, we should, however, be able to handle the interrupt in terms of the actual pizza delivery. Again, this is a more advanced topic. A client asks for a service at some given service provider (server ). This may lead the service provider (which now plays a client role) to ask for subservices Clients and servers communicate by passing messages that return results Try the accompanying SVG animation In our model of message passing, it is inherent that messages return a result. Alternatively, we could use a model in which the 'the message result' is handled by a message in the other direction. We have chosen a model, which can be used directly in mainstream object-oriented programming languages (such as C#). We will come back to clients and servers in the context of the lecture about classes, see Section 10.2. Message passing is taken up in that lecture, see Section 10.3. 2.2. Responsibilities Lecture 1 - slide 8 Responsibility - and distribution of responsibility - is important in a network of cooperating objects. In Section 2.1 we studied a network of people and pizza makers. The Pizza maker has certain assumptions about orders from customers. We cannot expect the pizza maker to respond to an order where the customers want to buy a car, or a pet. On the other hand, the customer will be unhappy if he or she receives spaghetti (or a chocolate bar) after having ordered a pizza calzone. Objects that act as servers manage a certain amount of responsibility We will talk about the responsibility of an object as such. The object is responsible to keep the data, which it encapsulates, in good shape. It should not be possible to bring the object in an inconsistent state.
  • 15.
    9 The responsibility ofan operation of a class/object does also make good sense. If the sender of the message, which activates an operation fulfills certain (pre)conditions, it is the obligation of the operation to deliver a result which comply with a certain (post)condition. The responsibilities of an object, together with the responsibilities of the operations of the object, sharpen the profile of the object, and they provide for a higher degree of cohesion of the object. • Responsibility • Of an object, as reflected by the interface it provides to other objects • Of an operation • Precondition for activation - proposition about prerequisites for calling • Postcondition - proposition about result or effects • Well-defined responsibilities provide for coherent objects In Chapter 49 through Chapter 53 we will devote an entire lecture to discussion of responsibilities, and how to specify the distribution of responsibilities among objects. This will involve contracts, which (again) is a real-world concept - a metaphor - from which can we can gain useful inspiration when we develop software. You should care about the responsibilities of both objects and operations The distribution of responsibilities will become a major theme later in the course 2.3. Data-centered modularity Lecture 1 - slide 9 Message passing is mainly a dynamic (run-time) aspect of object-oriented programs. Let us now focus on a static aspect: modularity. Modularity is the property of a computer program that measures the extent to which it has been composed out of separate parts called modules [Wikipedia] Non-modular programs (programs written without decomposition) are unwieldy. The question we care about here is the kind of modularity to use together with abstract data types. We will identify the following kinds of modularity: • Procedural modularity • Made up of individual procedures or functions • Relatively fine grained • Not sufficient for programming in the large • Boxing modularity • A wall around arbitrary definitions • As coarse grained as needed • Visibility may be controlled - import and export • Data-centered modularity • A module built around data that represents a single concept
  • 16.
    10 • High degreeof cohesion • Visibility may be controlled • The module may act as a datatype Procedural modularity is used in structured programming, e.g. in C programs. It covers both functions and procedures. Procedural modularity remains to be very important, independent of programming paradigm! Boxing modularity (our name of the concept) captures the module concept known from, e.g. Ada [Ada80] and Modula-2 [Wirth83]. In C, there are only few means to deal with boxing modularity. Most C programmers use the source files for boxing. Boxing modularity allows us to box a data type and the operations that belong to the type in a module. When using data centered modularity the module becomes a type itself. This is an important observation. Object- oriented programming is based on data centered modularity. Object-oriented programming is based on data-centered modularity 2.4. Reusability Lecture 1 - slide 11 Let us now, for a moment, discuss reusability. The idea is that we wish to promote a programming style that allows us to use pieces of programs that we, or others, have already written, tested, and documented. Procedure libraries are well-known. Object-oriented programming brings us one step further, in the direction of class libraries. Class libraries can - to some degree - be thought of as reusable abstract data types. More reuse - Less software to manage We identity the following reusability challenges: • Find • Where is the component, and how do I get it? • Understand • What does the component offer, and how does it fit with my own program? • Modify • Do I need to adapt the component in order to (re)use it? • Integrate • How do I actually organize and use the component together with the existing components? Finding has been eased a lot the last decade, due to the emergence of powerful search machines (servers!). Understanding is still a solid challenge. Documentation of reusable parts is important. Tools like JavaDoc (developed as on-line resources by Sun as part of the Java effort) are crucial. We will study interface documentation of class libraries later in this material. Modification should be used with great care. It is not a good idea to find a procedure or a class on the Internet, and rewrite it to fit your own needs. When the next
  • 17.
    11 version of theprogram is released you will be in great trouble. A modular modification approach, which separates your contributions from the original contributions, is needed. In object-oriented programming, inheritance alleviates this problem. The actual integration is relatively well-supported in modern object- oriented programming languages, because in these languages we have powerful means to deal with conflicts (such as name clashes) in between reused components and our own parts of the program. 2.5. Action on objects Lecture 1 - slide 12 The final aspect that we want to bring up in our road towards object-oriented programming is the idea of action on objects. Actions should always be targeted at some object. Actions should not appear 'just up in the air'. Bertrand Meyer [Meyer88] has most likely been inspired by a famous John F. Kennedy quote when he formulated the idea in the following way: Ask not what the system does: Ask what it does it to! [Bertrand Meyer] • Actions in general • Implemented by procedure calls • Often, but not always, with parameters • Actions on objects • Activated via messages • A message always has a receiving object • A message is similar to a procedure calls with at least one actual parameter • A message activates an operation (a method) • The receiving object locates the best suited operation as responder (method lookup) The activation of a concrete procedure or function is typically more complex than in ordinary imperative programming. The message is sent to an object. The reception of the message may cause the object to search for the best suited operation (method) to handle the request by the message. This process is sometimes called method lookup. In some object-oriented language the method lookup process is rather complicated. In the next section we continue our road towards object-oriented programming, by discussing concepts and phenomena. 2.6. References [Meyer88] Bertrand Meyer, Object-oriented software construction. Prentice Hall, 1988. [Wirth83] Wirth, N., Programming in Modula-2, third. Springer-Verlag, 1985. [Ada80] Ada Reference Manual. United States Department of Defence, July 1980.
  • 18.
  • 19.
    13 3. Phenomena andConcepts Metaphors from the real life are important inspiration when we program the computer. It is limiting - and in fact counterproductive - to focus only on the technical computer concepts (bits, bytes, CPUs, memory words, USB ports, etc). According to my favorite dictionary (the American Heritage Dictionary of the English Language) a metaphor is "a figure of speech in which a word or phrase that ordinarily designates one thing is used to designate another, thus making an implicit comparison." Many familiar programming concepts are not from the technical world of computers. Quite a few, such as int, float, and double come directly from mathematical counterparts. Messages and message passing, which we discussed in Section 2.1, are widely known from our everyday life. Even before email was invented, people communicated by means of messages (Morse codes, telegrams, postal mail letters). It turns out that the ideas of classes and objects are - in part - inspired from the theory of concept and phenomena. We will unveil this in the following sections. Be warned that our coverage is brief and dense. It may very well be the case that it takes time for you to digest some of the ideas and concept that we are going to present. 3.1. Phenomena and Concepts Lecture 1 - slide 14 A phenomenon is a thing that has definite, individual existence in reality or in the mind. Anything real in itself. A concept is a generalized idea of a collection of phenomena, based on knowledge of common properties of instances in the collection The definitions of phenomenon and concept are taken from the PhD thesis of Jørgen Lindskov Knudsen and Kristine Stougaard Thomsen, Aarhus University [jlk-kst]. This thesis is also the source behind Section 3.2 - Section 3.4. The characteristic aspects of a concept are the following: • The concept name • The intension: The collection of properties that characterize the phenomena in the extension of the concept • The extension: The collection of phenomena that is covered by the concept The name of the concept is also called the designation. The designation may cover a number of different names, under which the concept is known. The word intension is used in the less well-known meaning (from logic) "the sum of the attributes contained in a term" (see for instance the American Heritage Dictionary of the English Language).
  • 20.
    14 The word extensionis used in the meaning (again from logic): "The class of objects designated by a specific term or concept" (according the same dictionary). Be careful not to confuse this meaning of extension with the more common meaning of the word, used for instance in Chapter 26 for extension of classes. Concepts can be viewed in two different ways: The Aristotelian and the fuzzy way. Using the Aristotelian view, the properties in the intension are divided into defining properties and characteristic properties. Each phenomenon of a concept must possess the defining properties. It is assumed that it is objectively determinable if a given phenomenon belongs to an Aristotelian concept. Using the fuzzy view, the properties in the intension are only examples of possible properties. In addition to the example properties, the intension is also characterized by a set of prototypical phenomena. It is not objectively determinable if a given phenomenon belongs to a fuzzy concept. We will primarily make use of the Aristotelian view on concepts. The relative sharp borderline between different concepts is attractive when we use concepts as the basis for the classes that we program in an object-oriented programming language. Many such classes represent real-life concepts, simply because many of our programs administrate things from the real world. It is, however, also common to make use of imaginary concepts, which have no real-life counterparts (such, as for instance, a hashtable). 3.2. Classification and exemplification Lecture 1 - slide 15 To classify is to form a concept that covers a collection of similar phenomena. To exemplify is to focus on a phenomenon in the extension of the concept Classification and exemplification describe a relation between concepts and phenomena. Classification forms a concept from a set of phenomena. The intension of the concept is the (defining) properties that are shared by the set of phenomena (according to the Aristotelian view). Exemplification is the inverse of classification. Thus, the exemplification of a concept is a subset of the extension of the concept. Figure 3.1 The relationships between concepts and phenomena. Given a concept we can identify the examples of phenomena in the extension of the concept. Given such an example, we can (the other way around) find the concept that classifies the sample phenomenon.
  • 21.
    15 3.3. Aggregation andDecomposition Lecture 1 - slide 16 In this and the following section we will see ways to form new concepts from existing concepts. First, we look at concepts related to 'parts' and 'wholes'. To aggregate is to form a concept that covers a number of parts To decompose is to split a concept into a number of parts The concept of a house is an aggregation of (for instance) of the concepts wall, window, door, and roof. The latter are the decomposition of the house concept. The intension of the aggregated concept corresponds to the intensions of the part concepts. But, in some cases, the whole is more than the sum of its parts. Thus, the aggregated concept may have additional properties as well. Figure 3.2 An illustration of aggregation and decomposition. Notice that the relations between wholes and parts are in between concepts. Thus, aggregation and decomposition show how to form new concepts from existing concepts. In Figure 3.3 we show an example, namely the aggregation of a bike. Notice that we do not address the number of parts of the aggregated concept (no cardinalities). Following the tradition of UML notation, we use a diamond shape next to the aggregated concept. Notice, however, that it is not our intention to use exact UML notation in this material. We will primarily be concerned with programming notation, as defined (precisely) by a programming language. Figure 3.3 An aggregation of a Bike in terms of Frame, Wheel, Brake, etc. This illustration does not capture the number of involved parts. Thus, the diagram does not capture the number of spokes per wheel, and the number of wheels per bike. The diamond shape is UML notation for aggregation.
  • 22.
    16 Exercise 1.2. AggregatedConcepts Take a look at the concepts which are represented by the phenomena in the room where you are located. Identify at least four aggregated concepts. Enumerate the concepts of the decomposition. 3.4. Generalization and Specialization Lecture 1 - slide 18 Generalization forms a broader concept from a narrow concept Specialization forms a narrow concept from a broader concept Generalization and specialization are seen as ways to form a new concept from an existing concept. The extension of a specialization S is a subset of the extension of the generalization G. It is more difficult to capture specialization and generalization in terms of the intensions. The concepts of Encyclopedia, Bible, and Dictionary are all specializations of the Book concept. Encyclopedia, Bibles and Dictionaries are all subsets of Books. It may be the case that the set of encyclopedia and the set of dictionaries are overlapping. Figure 3.4 An illustration of generalization and specialization. Below, in Figure 3.5 we show a generalization/specialization hierarchy of transportation concepts. Each parent in the tree is a generalization of its sons. Figure 3.5 A generalization/specialization hierarchy of 'Means of Transport'. All the concepts in this diagram are specialized means of transport. Notice that all the nodes in the specialization trees are concepts - not individual phenomena.
  • 23.
    17 The ideas ofgeneralization and specialization among concepts are directly reflected in generalization and specialization among classes (see Chapter 25) as supported by inheritance in object-oriented programming languages. Exercise 1.3. Concepts and Phenomena The purpose of this exercise is to train your abilities to distinguish between concepts and phenomena. Decide in each of the following cases if the mentioned item is a concept or a phenomena: 1. The door used to enter this room. 2. Todays issue of your favorite newspaper. 3. Your copy of today's issue of your favorite newspaper. 4. The collection of all copies of today's newpapers 5. Denmark. 6. European country. 7. The integer 7. 8. The set of integers between 1 and 10. 9. The set of all students who attend this course. 10. The oldest student who attend this course. For an item considered as a phenomenon, identify the underlying concept. Exercise 1.4. University Concepts In a university study, the study activities are usually structured in a number of semesters. There are two kinds of study activitities: projects and courses. At Aalborg University, there are currently two kinds of courses: Study courses (dk: studieenhedskurser) and project courses (dk: projektenhedskurser). Characterize the concepts of university study, study activity, semester, project, course, study course, and project course relative to Aggregation/Decomposition and Generalization/Specialization. 3.5. References [Jlk-kst] A Conceptual Framework for Programming Languages: Jørgen Lindskov Knudsen and Kristine Stougaard Thomsen, Department of Computer Science, Aarhus Universitet, PB-192, April 1985.
  • 24.
  • 25.
    19 4. Towards Object-orientedPrograms Below we will return to the example of the Hangman game, which we studied as a structured program in Section 1.2. 4.1. An object-oriented program: Hangman Lecture 1 - slide 21 In Figure 4.1 we show a class diagram of our object-oriented version of the Hangman game. The class Puzzle encapsulates the data of a single puzzle (the category and the word phrase). The class also offers an interface through which these informations can be accessed. The class PuzzleCollection represents a number of puzzles. It is connected to the file system (or a database) where we keep the collection of puzzles while not playing a game. How this 'persistency' is actually handled is ignored for now. Similar observations can be done for HighscoreEntry and HighscoreList. The class HangmanGame encapsulates the state of a single (round of the) hangman game. It has associations to a player and a secret puzzle, and to the collections of puzzles and highscore entries. We do not in HangmanGame want to commit ourselves to any particular user interface. Thus, the actual user interface of the game is not part of the HangmanGame class. Figure 4.1 The classes of a Hangman program. At the left hand side we see that PuzzleCollection is formed by Puzzle parts. Similarly, the HighscoreList is formed by HighScoreEntry parts. The HangManGame class if formed by three parts: PuzzleCollection, HighScoreList, and Player. Both file system and user interface aspects are "cloudy" in this diagram. Below we show sketches of the individual classes in the game. The classes and all the operations are marked as abstract, because the operations of the classes are not implemented, and because the current OOP version of the Hangman game is written at a very high level of abstraction. The concatenation of all classes in Program 4.1 - Program 4.5 can actually be compiled with a C# compiler. Abstract classes are discussed in Chapter 30. The operation interfaces of the classes are most probably not yet complete, but they are complete enough to let you have an impression of the object-oriented programming approach. 1 2 abstract class Puzzle {
  • 26.
    20 3 4 5 6 7 8 9 10 11 12 public abstract stringCategory{ get; } public abstract string PuzzlePhrase{ get; } public abstract int NumberOfCharsToGuess(); } Program 4.1 The class Puzzle. Given that Program 4.1 - Program 4.6 contain so many abstract operations we will touch a little bit on what this means. It is not intended that you should learn the details of abstract classes here, however. This is the topic of Section 30.1. As noticed above, the abstract class shown in Program 4.1 can actually be compiled with a C# compiler. But it is clear that the class cannot be instantiated (no objects can be made). It is necessary to create a subclass of Puzzle in which we give the details of the abstract operations (methods and properties). Subclassing and inheritance will be discussed in Chapter 25 and subsequent chapters. In the subclass of Puzzle we need to supply puzzle data representation details. 1 2 3 4 5 6 7 8 9 10 abstract class HighScoreEntry { public abstract Player Player { get; } public abstract int Score{ get; } } Program 4.2 The class HighScoreEntry. Let us make a technical remark related to programming of abstract classes in C#. It is necessary to mark all operations (methods and properties) without bodies as 'abstract'. When a class contains at least one abstract operation, the class itself must also be marked as abstract. It is not sufficient to use the abstract modifier on the class. 1 2 3 4 5 6 7 abstract class Player { public abstract string Name{ get; } } Program 4.3 The class Player. 1 2 3 4 5 6 7 8 9 10 11 12 abstract class PuzzleCollection { public abstract string Count{ get; } public abstract Puzzle this[int i]{ get; } public abstract void Add(Puzzle p);
  • 27.
    21 13 } Program 4.4The class PuzzleCollection. 1 2 3 4 5 6 7 8 9 10 11 12 13 14 15 16 17 18 19 abstract class HighScoreList { /* Invariant: Entries always sorted */ public abstract void Open(string FileName); public abstract string Count{ get; } public abstract HighScoreEntry this[int i]{ get; } public abstract void Add(HighScoreEntry e); public abstract void Close(); } Program 4.5 The class HighScoreList. The class HangmanGame in Program 4.6 (only on web) shows an outline of top-level class, cf. Figure 4.1. The operations in this class are intended to be called directly or indirectly by the Main method (not shown).
  • 28.
  • 29.
    23 5. The C#Language and System This chapter, together with Chapter 6, Chapter 7, and Chapter 9, is an introduction to the C# language and the C# system. On Windows, the latter is known as .Net. On purpose, we will keep the .Net part of the material very short. Our main interest in this lecture is how to program in C#, and how this is related to programming in other languages such as C, Java, and Visual Basic. 5.1. C# seen in a historic perspective Lecture 2 - slide 2 It is important to realize that C# stands on the shoulders of other similar object-oriented programming languages. Most notably, C# is heavily inspired by Java. Java, in turn, is inspired by C++, which again - on the object-oriented side - can be traced back to Simula (and, of course, to C on the imperative side). Here is an overview of the most important object-oriented programming languages from which C# has been derived: • Simula (1967) • The very first object-oriented programming language • C++ (1983) • The first object-oriented programming language in the C family of languages • Java (1995) • Sun's object-oriented programming language • C# (2001) • Microsoft's object-oriented programming language 5.2. The Common Language Infrastructure Lecture 2 - slide 3 The Common Language Infrastructure (CLI) is a specification that allows several different programming languages to be used together on a given platform. The CLI has a lot of components, typically referred to by three-letter abbreviations (acronyms). Here are the most important parts of the Common Language Infrastructure: • Common Intermediate language (CIL) including a common type system (CTS) • Common Language Specification (CLS) - shared by all languages • Virtual Execution System (VES) • Metadata about types, dependent libraries, attributes, and more The following illustration, taken from Wikipedia, illustrates the CLI and its context.
  • 30.
    24 Figure 5.1 Wikipedia'soverview diagram of the CLI .Net is one particular implementation of the Common Language Infrastructure, and it is undoubtedly the most complete one. .Net is closely associated with Windows. .Net is, however, not the only implementation of the CLI. Mono is another one, which is intended to work on several platforms. Mono is the primary implementation of the CLI on Linux. Mono is also available on Windows. MONO and .NET are both implementations of the Common Language Infrastructure The C# language and the Common Language Infrastructure are standardized by ECMA and ISO 5.3. C# Compilation and Execution Lecture 2 - slide 5 The Common Language Infrastructure supports a two-step compilation process • Compilation • The C# compiler: Translation of C# source to CIL • Produces .dll and .exe files • Just in time compilation: Translation of CIL to machine code • Execution • With interleaved Just in Time compilation • On Mono: Explicit activation of the interpreter • On Window: Transparent activation of the interpreter .dll and .exe files are - with some limitations - portable in between different platforms
  • 31.
    25 6. C# inrelation to C As already mentioned in Chapter 1, this material is primarily targeted at people who know the C programming language. With this outset, we do not need to dwell on issues such as elementary types, operators, and control structures. The reason is that C and C# (and Java for that sake) are similar in these respects. In this chapter we will discuss the aspects of C# which have obvious counterparts in C. Hopefully, the chapter will be helpful to C programmers who have an interest in C# programming. In this chapter 'C#' refers to C# version 2.0. When we discuss C we refer to ANSI C ala 1989. 6.1. Simple types Lecture 2 - slide 7 C supports the simple types char, bool, int, float and double. In addition there are a number of variation of some of these. In this context, we will also consider pointers as simple types. The major differences between C# and C with respect to simple types are the following: • All simple C# types have fixed bit sizes • C# has a boolean type called bool • C# chars are 16 bit long • In C# there is a high-precision 128 bit numeric fixed-point type called decimal • Pointers are not supported in the normal parts of a C# program • In the unsafe part C# allows for pointers like in C • All simple types are in reality structs in C#, and therefore they have members In C it is not possible to tell the bit sizes of the simple types. In some C implementations an int, for instance, will made by 4 bytes (32 bits), but in other C implementations an int may be longer or shorter. In C# (as well as in Java) the bit sizes of the simple types are defined and fixed as part of the specification of the language. In C there is no boolean type. Boolean false is represented by zero values (such as integer 0) and boolean true is represented by any other integer value (such as the integer 1). In C# there is a boolean type, named bool, that contain the natural values denoted by true and false. The handling of characters is messy in C. Characters in C are supported by the type named char. The char type is an integer type. There is a great deal of confusion about signed and unsigned characters. Typically, characters are represented by 8 bits in C, allowing for representation of the extended ASCII alphabet. In C# the type char represent 16 bits characters. In many respects, the C# type char corresponds to the Unicode alphabet. However, 16 bits are not sufficient for representation of all characters in the Unicode alphabet. The issue of character representation, for instance in text files, relative to the type char is a complex issue in C#. In this material it will be discussed in the lecture about IO, starting in Chapter 37. More specifically, you should consult Section 37.7.
  • 32.
    26 The high-precision, 128bit type called decimal is new in C#. It is a decimal floating point type (as opposed to float and double which are binary floating point types). Values in type decimal are intended for financial calculations. Internally, a decimal value consists of a sign bit (representing positive or negative), a 96 bit integer (mantissa) and a scaling factor (exponent) implicitly between 100 and 10-28 . The 96 bit integer part allows for representation of (at least) 28 decimal digits. The decimal exponent allows you to set the decimal point anywhere in the 28 decimal number. The decimal type uses 3 * 4 = 12 bytes for the mantissa and 4 bytes for the exponent. (Not all bits in the exponent are used, however). For more information, see [decimal-floating-point]. C pointers are not intended to be used in C#. However, C pointers are actually supported in the part of C# known as the unsafe part of the language. The concept of references is very important in C#. References and pointers are similar, but there are several differences as well. Pointers and references will be contrasted and discussed below, in Section 6.5. All simple types in C# are in reality represented as structs (but not all structs are simple types). As such, this classifies the simple types in C# as value types, as a contrast to reference types. In addition, in C#, this provides for definition of methods of simple types. Structs are discussed in Section 6.6. Below we show concrete C# program fragments which demonstrate some aspects of simple types. 1 2 3 4 5 6 7 8 9 10 11 using System; class BoolDemo{ public static void Main(){ bool b1, b2; b1 = true; b2 = default(bool); Console.WriteLine("The value of b2 is {0}", b2); // False } } Program 6.1 Demonstrations of the simple type bool in C#. In Program 6.1 we have emphasized the parts that relate to the type bool. We declare two boolean variables b1 and b2, and we initialize them in the line below their declarations. Notice the possibility of asking for the default value of type bool. This possibility also applies to other types. The output of Program 6.1 reveals that the default value of type bool is false.
  • 33.
    27 1 2 3 4 5 6 7 8 9 10 11 12 13 14 15 16 17 18 19 20 using System; class CharDemo{ publicstatic void Main(){ char ch1 = 'A', ch2 = 'u0041', ch3 = 'u00c6', ch4 = 'u00d8', ch5 = 'u00c5', ch6; Console.WriteLine("ch1 is a letter: {0}", char.IsLetter(ch1)); Console.WriteLine("{0} {1} {2}", ch3, ch4, char.ToLower(ch5)); ch6 = char.Parse("B"); Console.WriteLine("{0} {1}", char.GetNumericValue('3'), char.GetNumericValue('a')); } } Program 6.2 Demonstrations of the simple type char in C#. In Program 6.2 we demonstrate the C# type char. We declare a number of variables, ch1 ... ch6, of type char. ch1 ... ch5 are immediately initialized. Notice the use of single quote character notation, such as 'A'. This is similar to the notation used in C. Also notice the 'u....' escape notation. This is four digit unicode character notation. Each dot in 'u....' must be a hexadecimal digit between 0 and f (15). The unicode notation can be used to denote characters, which are not necessarily available on your keyboard, such as the Danish letters Æ, Ø and Å shown in Program 6.2. Notice also the char operations, such as char.IsLetter, which is applied on ch1 in the program. Technically, IsLetter is a static method in the struct Char (see Section 6.6 and Section 14.3 for an introduction to structs). There are many similar operations that classify characters. These operations correspond to the abstractions (macros) in the C library ctype.h. It is recommended that you - as an exercise - locate IsLetter in the C# library documentation. It is important that you are able to find information about already existing types in the documentation pages. See also Exercise 2.1. Number Systems and Hexadecimal Numbers FOCUS BOX 6.1FOCUS BOX 6.1FOCUS BOX 6.1FOCUS BOX 6.1 In the program that demonstrated the type char we have seen examples of hexadecimal numbers. It is worthwhile to understand why hexadecimal numbers are used for these purposes. This side box is a crash course on number systems and hexadecimal numbers. The normal numbers are decimal, using base 10. The meaning of the number 123 is 1 * 102 + 2 * 101 + 3 * 100 The important observation is that we can use an arbitrary base b, b > 1 as an alternative to 10 for decomposition of a number. Base numbers which are powers of 2 are particularly useful. If we use base 2 we get the binary numbers. Binary numbers correspond directly to the raw digital representation used in computers. The binary notation of 123 is 1111011 because
  • 34.
    28 1 * 26 +1 * 25 + 1 * 24 + 1 * 23 + 0 * 22 + 1 * 21 + 1 * 20 is equal to the decimal number 123. Binary numbers are important when we approach the lower level of a computer, but as can be seen above, binary numbers are unwieldy and not very practical. Hexadecimal numbers are used instead. Hexadecimal numbers use base 16, which is 24 . We need 16 digits for notation of hexadecimal numbers. The first 10 digits are 0 .. 9. In lack of better notation, we use the letters A .. F as the six last digits. A = 10, ..., F = 15. The important observation is that a group of four binary digits (corresponding to four bits) can be translated to a single hexadecimal number. Thus, we can immediately translate the binary number 01111011 to the two hexadecimal digits 7 and 11. These two hexadecimal digits are denoted as 7 and B respectively. With this observation, at single byte of eight bits can written as exactly two hexadecimal digits. Grouping the bits of 1111011 leads to 0111 1011. 0111 is 7. 1011 is 11 which is denoted by the hexadecimal digit B. The hexadecimal number 7B means 7 * 16 1 + 11 * 16 0 which is 123 (in decimal notation). The explantion above is - in a nutshell - the reason why you should care about hexadecimal numbers. In Exercise 2.2 we will write programs that deal with hexadecimal numbers. 1 2 3 4 5 6 7 8 9 10 11 12 13 14 15 16 17 18 19 20 21 22 23 24 25 26 27 28 29 30 31 32 33 34 35 using System; using System.Globalization; class NumberDemo{ public static void Main(){ sbyte sb1 = sbyte.MinValue; // Signed 8 bit integer System.SByte sb2 = System.SByte.MaxValue; Console.WriteLine("sbyte: {0} : {1}", sb1, sb2); byte b1 = byte.MinValue; // Unsigned 8 bit integer System.Byte b2 = System.Byte.MaxValue; Console.WriteLine("byte: {0} : {1}", b1, b2); short s1 = short.MinValue; // Signed 16 bit integer System.Int16 s2 = System.Int16.MaxValue; Console.WriteLine("short: {0} : {1}", s1, s2); ushort us1 = ushort.MinValue; // Unsigned 16 bit integer System.UInt16 us2= System.UInt16.MaxValue; Console.WriteLine("ushort: {0} : {1}", us1, us2); int i1 = int.MinValue; // Signed 32 bit integer System.Int32 i2 = System.Int32.MaxValue; Console.WriteLine("int: {0} : {1}", i1, i2); uint ui1 = uint.MinValue; // Unsigned 32 bit integer System.UInt32 ui2= System.UInt32.MaxValue; Console.WriteLine("uint: {0} : {1}", ui1, ui2); long l1 = long.MinValue; // Signed 64 bit integer System.Int64 l2 = System.Int64.MaxValue; Console.WriteLine("long: {0} : {1}", l1, l2); ulong ul1 = ulong.MinValue; // Unsigned 64 bit integer
  • 35.
    29 36 37 38 39 40 41 42 43 44 45 46 47 48 49 50 51 52 53 54 55 56 57 58 System.UInt64 ul2= System.UInt64.MaxValue; Console.WriteLine("ulong:{0} : {1}", ul1, ul2); float f1 = float.MinValue; // 32 bit floating-point System.Single f2= System.Single.MaxValue; Console.WriteLine("float: {0} : {1}", f1, f2); double d1 = double.MinValue; // 64 bit floating-point System.Double d2= System.Double.MaxValue; Console.WriteLine("double: {0} : {1}", d1, d2); decimal dm1 = decimal.MinValue; // 128 bit fixed-point System.Decimal dm2= System.Decimal.MaxValue; Console.WriteLine("decimal: {0} : {1}", dm1, dm2); string s = sb1.ToString(), t = 123.ToString(); } } Program 6.3 Demonstrations of numeric types in C#. In Program 6.3 we show a program that demonstrates all numeric types in C#. For illustrative purposes, we use both the simple type names (such as int, shown in purple) and the underlying struct type names (such as System.Int32 shown in blue). To give you a feeling of the ranges of the types, the program prints the smallest and the largest value for each numeric type. At the bottom of Program 6.3 we show how the operation ToString can be used for conversion from a numeric type to the type string. The output of the numeric demo program is shown in Listing 6.4 (only on web). Hexadecimal Numbers in C# FOCUS BOX 6.2FOCUS BOX 6.2FOCUS BOX 6.2FOCUS BOX 6.2 In Focus box 6.1 we studied hexadecimal numbers. We will now see how to deal with hexadecimal numbers in C#. A number prefixed with 0x is written in hexadecimal notation. Thus, 0x123 is equal to the decimal number 291. In C and Java the prefix 0 is used for octal notation. Thus, in C and Java 0123 is equal to the decimal number 83. This convention is not used in C#. In C#, 0123 is just a decimal number prefixed with a redundant digit 0. While prefixes are used for encoding of number systems, suffixes of number constants are used for encoding of numerical types. As an example, 0X123L denotes a hexadecimal constant of type long (a 64 bit integer). The following suffixes can be used for integer types: U (unsigned), L (long), and UL (unsigned long). The following suffixes can be used for real types: F (float), D (double), and M (decimal). Both lowercase and uppercase suffixes will work. A number can formatted in both decimal and hexadecimal notation. In the context of a Console.WriteLine call, the format specification (or placeholder) {i:X} will write the value of the variable i in hexadecimal
  • 36.
    30 notation. This isdemonstrated by the following C# program: using System; class NumberDemo{ public static void Main(){ int i = 0123, j = 291; long k = 0X123L; Console.WriteLine("{0:X}", i); // 7B Console.WriteLine("{0:D}", i); // 123 Console.WriteLine("{0:X}", j); // 123 Console.WriteLine("{0:D}", k); // 291 } } In the program shown above, D means decimal and X means hexadecimal. Some additional formattings are also provided for numbers: C (currency notation), E (exponential notation), F (fixed point notation), G (Compact general notation), N (number notation), P (percent notation), R (round trip notation for float and double). You should consult the online documentation for additional explanations. Exercise 2.1. Exploring the type Char The type System.Char (a struct) contains a number of useful methods, and a couple of constants. Locate the type System.Char in your C# documentation and take a look at the methods available on characters. You may ask where you find the C# documentation. There are several possibilities. You can find it at the Microsoft MSDN web site at msdn.microsoft.com. It is also integrated in Visual Studio and - to some degree - in Visual C# express. It comes with the C# SDK, as a separate browser. It is also part of the documentation web pages that comes with Mono. If you are a Windows user I will recommend the Windows SDK Documentation Browser which is bundled with the C# SDK. Along the line of the character demo program above, write a small C# program that uses the char predicates IsDigit, IsPunctuation, and IsSeparator. It may be useful to find the code position - also known as the code point - of a character. As an example, the code position of 'A' is 65. Is there a method in System.Char which gives access to this information? If not, can you find another way to find the code position of a character? Be sure to understand the semantics (meaning) of the method GetNumericValue in type Char. Exercise 2.2. Hexadecimal numbers In this exercise we will write a program that can convert between decimal and hexadecimal notation of numbers. Please consult the focus boxes about hexadecimal numbers in the text book version if you need to. You might expect that this functionality is already present in the C# libraries. And to some degree, it is.
  • 37.
    31 The static methodToInt32(string, Int32) in class Convert converts the string representation of a number (the first parameter) to an arbitrary number system (the second parameter). Similar methods exist for other integer types. The method ToString(string) in the struct Int32, can be used for conversion from an integer to a hexadecimal number, represented as a string. The parameter of ToString is a format string. If you pass the string "X" you get a hexadecimal number. The program below shows examples: using System; class NumberDemo{ public static void Main(){ int i = Convert.ToInt32("7B", 16); // hexadecimal 7B (in base 16) -> // decimal 123 Console.WriteLine(i); // 123 Console.WriteLine(123.ToString("X")); // decimal 123 -> hexadecimal 7B } } Now, write a method which converts a list (or array) of digits in base 16 (or more generally, base b, b >= 2) to a decimal number. The other way around, write a method which converts a positive decimal integer to a list (or array) of digits in base 16 (or more generally, base b). Here is an example where the requested methods are used: public static void Main(){ int r = BaseBToDecimal(16, new List{7, 11}); // 7B -> 123 List s = DecimalToBaseB(16, 123); // 123 -> {7, 11} = 7B List t = DecimalToBaseB(2, 123); // 123 -> {1, 1, 1, 1, 0, 1, 1 } = // 1111011 Console.WriteLine(r); foreach (int digit in s) Console.Write("{0} ", digit); Console.WriteLine(); foreach (int digit in t) Console.Write("{0} ", digit); }
  • 38.
    32 6.2. Enumerations types Lecture2 - slide 8 Enumeration types in C# are similar to enumeration types in C, but a number of extensions have been introduced in C#: • Enumeration types of several different underlying types can be defined (not just int) • Enumeration types inherit a number of methods from the type System.Enum • The symbolic enumeration constants can be printed (not just the underlying number) • Values, for which no enumeration constant exist, can be dealt with • Combined enumerations represent a collection of enumerations Below, in Program 6.5 we see that the enumeration type OnOff is based on the type byte. The enumeration type Ranking is - per default - based on int. 1 2 3 4 5 6 7 8 9 10 11 12 13 14 15 16 17 18 19 20 21 22 23 24 25 26 27 28 29 30 31 32 33 using System; class NonSimpleTypeDemo{ public enum Ranking {Bad, OK, Good} public enum OnOff: byte{ On = 1, Off = 0} public static void Main(){ OnOff status = OnOff.On; Console.WriteLine(); Console.WriteLine("Status is {0}", status); Ranking r = Ranking.OK; Console.WriteLine("Ranking is {0}", r ); Console.WriteLine("Ranking is {0}", r+1); Console.WriteLine("Ranking is {0}", r+2); bool res1 = Enum.IsDefined(typeof(Ranking), 3); Console.WriteLine("{0} defined: {1}", 3, res1); bool res2= Enum.IsDefined(typeof(Ranking), Ranking.Good); Console.WriteLine("{0} defined: {1}", Ranking.Good , res2); bool res3= Enum.IsDefined(typeof(Ranking), 2); Console.WriteLine("{0} defined: {1}", 2 , res3); foreach(string s in Enum.GetNames(typeof(Ranking))) Console.WriteLine(s); } } Program 6.5 Demonstration of enumeration types in C#. In the example the methods IsDefined and GetNames are examples of static methods inherited from System.Enum. In line 13 of Program 6.5 On is printed. In a similar C program, the number 1 would be printed.
  • 39.
    33 In line 16OK is printed, and line 17 prints Good. In line 18 the value of r + 2 is 3, which does not correspond to any of the values in type Ranking. Therefore the base value 3 is printed. All the output of Program 6.5 is listed in Listing 6.6. Combined enumeration (sometimes known as flags enumeration) is a slightly more advanced concept. We introduce it in Focus box 6.3. Let us point out some additional interesting details in Program 6.5. There are two enumeration types in the program, namely a type called Ranking and another called OnOff. When we declare variables, the types Ranking and OnOff are used via their names. C programmer will be relieved to find out that it is not necessary (and not possible) to write enum Ranking and enum OnOff. Thus, no C-like typedefs are necessary to introduce simple naming. In order to disambiguate the referencing of constants in an enumeration type, dot notation ala Ranking.OK must always be used. In the same way as in C, the enumeration constants have associated an integer value. The operation IsDefined allows us to check if a given value belongs to an enumeration type. IsDefined is an operation (a method) in a struct called Enum. As a very pleasant surprise for the C programmer, there is access to the names of enumeration constants from the program. We show in the program that the expressions Enum.GetNames(typeof(Ranking)) returns a string array with the elements "Bad", "OK", and "Good". In the same direction - as we have already seen above - it is possible to print the symbolic names of the enumeration constants. This is very useful. In C programs we always need a tedious switch to obtain a similar effect.. Combined Enumerations FOCUS BOX 6.3FOCUS BOX 6.3FOCUS BOX 6.3FOCUS BOX 6.3 Combined enumerations can be used to deal with small sets symbolic constants. Here is an example: [Flags] public enum Direction: byte{ North = 1, East = 2, South = 4, West = 8, } The first thing to notice is the mapping of symbolic constants to powers of two. We can form an expression North | West which is the bitwise combination of the underlying integer values 1 and 8. | is a bitwise or operator, see Table 6.1. At the binary level, 1 | 8 is equivalent to 0001 | 1000 = 1001, which represents the number 9. You should think of 1001 as a bit array where the leftmost bit is the encoding of West and the rightmost bit is the encoding of North. [Flags] is an application of an attribute, see Section 39.6. It instructs the compiler to generate symbolic names of combinations, such as the composite name North, West in the example below. We can program with the enumeration type in the following way: Direction d = Direction.North | Direction.West; Console.WriteLine("Direction {0}", d); // Direction North, West Console.WriteLine("Direction {0}", (int)d); // 9 Console.WriteLine(HasDirection(d, Direction.North)); // True Console.WriteLine(HasDirection(d, Direction.South)); // False
  • 40.
    34 The method HasDirectionis a method we have programmed in the following way: // Is d in the direction e public static bool HasDirection(Direction d, Direction e){ return (d & e) == e; } It checks if e is contained in d in the a bitwise sense. It is also possible to name some of the combinations explicitly in the enumeration type: [Flags] public enum Direction: byte{ North = 1, East = 2, South = 4, West = 8, NorthWest = North | West, NorthEast = North | East, SouthWest = South | West, SouthEast = South | East } Exercise 2.3. ECTS Grades Define an enumeration type ECTSGrade of the grades A, B, C, D, E, Fx and F and associate the Danish 7- step grades 12, 10, 7, 4, 2, 0, and -3 to the symbolic ECTS grades. What is the most natural underlying type of ECTSGrade? Write a small program which illustrates how to use the new enumeration type. Exercise 2.4. Use of Enumeration types Consult the documentation of type type System.Enum, and get a general overview of the methods in this struct. Be sure that you are able to find the documentation of System.Enum Test drive the example EnumTest, which is part of MicroSoft's documentation. Be sure to understand the program relative to its output. Write your own program with a simple enumeration type. Use the Enum.CompareTo method to compare two of the values of your enumeration type. 6.3. Non-simple types Lecture 2 - slide 9 The most important non-simple types are defined by classes and structs. These types define non-atomic objects/values. Because C# is a very rich language, there are other non-simple types as well, such as interfaces and delegates. We will not discuss these in this chapter, but they will play important roles in later chapters.
  • 41.
    35 The most importantsimilarities between C and C# with respect to non-simple types can be summarized in the following way: • Arrays in C#: Indexed from 0. Jagged arrays - arrays of arrays • Strings in C#: Same notation as in C, and similar escape characters • Structs in C#: A value type like in C. The most important differences are: • Arrays: Rectangular arrays in C# • Strings: No 0 termination in C# • Structs: Much expanded in C#. Structs can have methods. A C programmer, who have experience with arrays, strings, and structs from C, will immediately feel comfortable with these types in C#. But such a C programmer will also quickly find out, that there are substantial new possibilities in C# that makes life easier. Arrays and strings will be discussed in Section 6.4. Classes and structs are, basically, what the rest of the book is about. The story about classes starts in Chapter 10. 6.4. Arrays and Strings Lecture 2 - slide 10 Arrays and strings are both non-simple types that are well-known by C programmers. In C# both arrays and strings are defined by classes. As we will see later, this implies that arrays and strings are represented as objects, and they are accessed via references. This stands as a contrast to C# structs, which are values and therefore not accessed via references. The syntax of array declaration and initialization is similar in C and C#. In C, a string is a pointer to a the first character in the string, and it is declared of the type char*. C# supports a type named string. The notation of string constants is also similar in C and C#, although C# offers additional possibilities (the @"..." notation, see below). The following summarizes important differences in between C and C# with respect to arrays and strings: • Arrays in C# can be rectangular or jagged (arrays of arrays) • In C#, an array is not a pointer to the first element • Index out of bound checking is done in C# • Strings are immutable in C#, but not in C • In C# there are two kinds of string literals: "a stringn" and @"a stringn" A multi-dimensional array in C is constructed as an array in which the elements are themselves arrays. Such arrays are known as jagged arrays in C#, because not all constituent arrays need to have the same size. In
  • 42.
    36 addition C# supportsa new kind of arrays, namely rectangular arrays (of two or more dimensions). Such arrays are similar to arrays in Pascal. C is inherently unsafe, in part because indexes out of bounds are not systematically caught at run-time. C# is safe in this respect. An index out of bound in a running C# program raises an exception, see Chapter 36. C programmers may be puzzled by the fact that strings are immutable in C#. Once a string is constructed, it is not possible to modify the character elements of the string. This is also a characteristic of strings in Java. This makes it possible to share a given string in several contexts. The bookkeeping behind this is called interning. (You can, for instance, read about interning in the documentation of the static method String.Intern). In case mutable strings are necessary, the class System.Text.StringBuilder makes them available. The well-known double quote string notation is used both in C and C#. Escape characters, prefixed with backslashes (such as in "n") are used in C as well and in C#. C# supports an alternative notation, called verbatim string constants, @"..." , in which the only escape notation is "" which stands for the double quote character itself. Inside a verbatim string constant it possible to have newline characters, and all backslashes appear as backslash characters in the string. An example of a verbatim strings will be shown in Program 6.9. Below, in Program 6.7 we will demonstrate a number of aspects of arrays in C#. 1 2 3 4 5 6 7 8 9 10 11 12 13 14 15 16 17 18 19 20 21 22 23 24 25 26 27 28 29 30 using System; class ArrayStringDemo{ public static void Main(){ string[] a1, a2 = {"a", "bb", "ccc"}; a1 = new string[]{"ccc", "bb", "a"}; int[,] b1 = new int[2,4], b2 = {{1,2,3,4}, {5,6,7,8}}; double[][] c1 = { new double[]{1.1, 2.2}, new double[]{3.3, 4.4, 5.5, 6.6} }; Console.WriteLine("Array lengths. a1:{0} b2:{1} c1:{2}", a1.Length, b2.Length, c1.Length); Array.Clear(a2,0,3); Array.Resize<string>(ref a2,10); Console.WriteLine("Lenght of a2: {0}", a2.Length); Console.WriteLine("Sorting a1:"); Array.Sort(a1); foreach(string str in a1) Console.WriteLine(str); } } Program 6.7 Demonstrations of array types in C#. We declare two variables, a1 and a2, of the type string[]. In other words, a1 and a2 are both arrays of strings. a1 is not initialized in its declaration. (Local variables in C# are not initialized to any default value). a2 is initialized by means of an array initializer, namely {"a", "bb", "ccc"}. The length of the array is determined by the number of expressions within the pair of curly braces.
  • 43.
    37 The arrays b1and b2 are both rectangular 2 times 4 arrays. The array c1 is an example of a jagged array. c1[1] is an array of length 2. c1[2] is an array of length 4. Next we try out the Length operation on a1, b2 and c1. The result is a1:3 b2:8 c1:2. Please notice and understand the outcome. Finally we demonstrate a number of additional operations on arrays: Clear, Resize, and Sort. These are all methods in the class System.Array. The output of the array demo program is shown in Listing 6.8 (only on web). Arrays, as discussed above, will be used in many of your future programs. But as an alternative, you should be aware of the collection classes, in particular the type parameterized, "generic" collection classes. These classes will be discussed in Chapter 45. Now we will study a program example that illustrates uses of the type string. 1 2 3 4 5 6 7 8 9 10 11 12 13 14 15 16 17 18 19 20 21 using System; class ArrayStringDemo{ public static void Main(){ string s1 = "OOP"; System.String s2 = "u004fu004fu0050"; // equivalent Console.WriteLine("s1 and s2: {0} {1}", s1, s2); string s3 = @"OOP on the n semester ""Dat1/Inf1/SW3"""; Console.WriteLine("n{0}", s3); string s4 = "OOP on n the n semester "Dat1/Inf1/SW3""; Console.WriteLine("n{0}", s4); string s5 = "OOP E06".Substring(0,3); Console.WriteLine("The substring is: {0}", s5); } } Program 6.9 A demonstration of strings in C#. The strings s1 and s2 in Program 6.9 contain the same three characters, namely 'O', 'O', and 'P'. Similarly, the strings referred by s3 and s4 are equal to each other (in the sense that they contain the same sequences of characters). As already mentioned above, the string constant in line 10-11 is a verbatim string constant, in which an escape sequence like n denotes itself. In verbatim strings, only "" has a special interpretation, namely as a single quoute character. Finally, in Program 6.9, the Substring operation from the class System.String is demonstrated. The output of the string demonstration program in Program 6.9 is shown in Listing 6.10 (only on web).
  • 44.
    38 Exercise 2.5. Useof array types Based on the inspiration from the accompanying example, you are in this exercise supposed to experiment with some simple C# arrays. First, consult the documentation of the class System.Array. Please notice the properties and methods that are available on arrays in C#. Declare, initialize, and print an array of names (e.g. array of strings) of all members of your group. Sort the array, and search for a given name using System.Array.BinarySearch method. Reverse the array, and make sure that the reversing works. Exercise 2.6. Use of string types Based on the inspiration from the accompanying example, you are in this exercise supposed to experiment with some simple C# strings. First, consult the documentation of the class System.String - either in your documentation browser or at msdn.microsoft.com. Read the introduction (remarks) to string which contains useful information! There exists a large variety of operations on strings. Please make sure that you are aware of these. Many of them will help you a lot in the future! Make a string of your own first name, written with escaped Unicode characters (like we did for "OOP" in the accompanying example). If necessary, consult the unicode code charts (Basic Latin and Latin-1) to find the appropriate characters. Take a look at the System.String.Insert method. Use this method to insert your last name in the first name string. Make your own observations about Insert relative to the fact that strings in C# are immutable. 6.5. Pointers and references Lecture 2 - slide 11 Pointers are instrumental in almost all real-life C programs, both for handling dynamic memory allocation, and for dealing with arrays. Recall that an array in C is simply a pointer to the first element of the array. References in C# (and Java) can be understood as a restricted form of pointers. C# references are never explicitly dereferenced, references are not coupled to arrays, and references cannot be operated on via the arithmetic C# operators; There are no pointer arithmetic in (the safe part of) C#. As a special notice to C++ programmers: References in C# have nothing to do with references in C++. Here follows an itemized overview of pointers and references.
  • 45.
    39 • Pointers • Innormal C# programs: Pointers are not used • All the complexity of pointers, pointer arithmetic, dereferencing, and the address operator is not found in normal C# programs • In specially marked unsafe sections: Pointers can be used almost as in C. • Do not use them in your C# programs! • References • Objects (instance of classes) are always accessed via references in C# • References are automatically dereferenced in C# • There are no particular operators in C# that are related to references Program 6.11 shows some basic uses of references in C#. The variables cRef and anotherCRef are declared of type C. C happens to be an almost trivial class that we have defined in line 3-5. Classes are reference types in C (see Chapter 13). cref declared in in line 11 is assigned to null (a reference to nothing) in line 12. Next, in line 15, cref is assigned to a new instance of C. Via the reference in cref we can access the members x and y in the C object, see line 18. We can also pass a reference as a parameter to a function F as in line 19. This does not copy the referenced object when entering F. 1 2 3 4 5 6 7 8 9 10 11 12 13 14 15 16 17 18 19 20 21 22 23 24 25 26 27 using System; public class C { public double x, y; } public class ReferenceDemo { public static void Main(){ C cRef, anotherCRef; cRef = null; Console.WriteLine("Is cRef null: {0}", cRef == null); cRef = new C(); Console.WriteLine("Is cRef null: {0}", cRef == null); Console.WriteLine("x and y are ({0},{1})", cRef.x, cRef.y); anotherCRef = F(cRef); } public static C F(C p){ Console.WriteLine("x and y are ({0},{1})", p.x, p.y); return p; } } Program 6.11 Demonstrations of references in C#. The output of Program 6.11 is shown in Listing 6.12 (only on web). There is no particular complexity in normal C# programs due to use of references
  • 46.
    40 6.6. Structs Lecture 2- slide 12 Structs are well-known by C programmers. It is noteworthy that arrays and structs are handled in very different ways in C. In C, arrays are deeply connected to pointers. Related to the discussion in this material, we will say that pointers are dealt with by reference semantics, see Section 13.1. Structs in C are dealt with by value semantics, see Section 14.1. Structs are copied by assignment, parameter passing, and returns. Arrays are not! Let us now compare structs in C and C#: • Similarities • Structs in C# can be used almost in the same way as structs in C • Structs are value types in both C and C# • Differences • Structs in C# are almost as powerful as classes • Structs in C# can have operations (methods) in the same way as classes • Structs in C# cannot inherit from other structs or classes In Program 6.13 we see a program with a struct called Point. The variable p1 contains a point (3.0, 4.0). Because structs are value types, p1 does not refer to a point. It contains the two coordinates of type double that represents the points. p2 is uninitialized. In line 15, p1 is copied into p2. This is a field-by-field (bit-by- bit) copy operation. No manipulation of references is involved. Finally we show the activation of a method Mirror on p2. Hereby the state of the second point is mutated to (-3,-4). 1 2 3 4 5 6 7 8 9 10 11 12 13 14 15 16 17 18 19 20 using System; public struct Point { public double x, y; public Point(double x, double y){this.x = x; this.y = y;} public void Mirror(){x = -x; y = -y;} } // end Point public class StructDemo{ public static void Main(){ Point p1 = new Point(3.0, 4.0), p2; p2 = p1; p2.Mirror(); Console.WriteLine("Point is: ({0},{1})", p2.x, p2.y); } } Program 6.13 Demonstrations of structs in C#.
  • 47.
    41 6.7. Operators Lecture 2- slide 13 Expressions in C# have much in common with expressions in C. Non-trivial expressions are built with use of operators. We summarize the operators in C# in Table 6.1. As it appears, there is a substantial overlap with the well-known operators i C. Below the table we will comment on the details. Level Category Operators Associativity (binary/tertiary) 14 Primary x.y f(x) a[x] x++ x-- new typeof checked unchecked default delegate left to right 13 Unary + - ! ~ ++x --x (T)x true false sizeof left to right 12 Multiplicative * / % left to right 11 Additive + - left to right 10 Shift << >> left to right 9 Relational and Type testing < <= > >= is as left to right 8 Equality == != left to right 7 Logical/bitwise and & left to right 6 Logical/bitwise xor ^ left to right 5 Logical/bitwise or | left to right 4 Conditional and && left to right 3 Conditional or || left to right 2 Null coalescing ?? left to right 1 Conditional ?: right to left 0 Assignment or Lambda expression = *= /= %= += - = <<= >>= &= ^= |= => right to left Table 6.1 The operator priority table of C#. Operators with high level numbers have high priorities. In a given expression, operators of high priority are evaluated before operators with lower priority. The associativity tells if operators at the same level are evaluated from left to right or from right to left. The operators shown in red are new and specific to C#. The operator new creates an instance (an object) of a class or it initializes a value of struct. We have already encountered new in some of the simple demo programs, for instance Program 6.11 and Program 6.13. See Section 12.2 for details on new. The operators is, as and typeof will not be discussed here. Please refer to Section 28.12 for details on these. The operations checked and uncheked relate to the safe and unsafe part of C# respectively. In this material we only deal with the safe part, and therefore these two C# operators can be disregarded. The default operator gives access to the default value of value types, see Section 12.3. The delegate operator is used for definition of anonymous functions, see Section 22.1. The unary true and false operators tell when a value in a user
  • 48.
    42 defined type isregarded as true or false respectively. See Section 21.2 for more details. The expression x ?? y is a convenient shortcut of x != null ? x : y. See Section 14.9 for more details on ??. => is the operator which is used to form lambda expressions in C#3.0, see Section 22.4. A couple of C operators are not part of C#. The address operator & and the dereference operator * are not found in (the safe part of) C# (but they are actually available in the unsafe part of the language). They are both related to pointers, and as discussed in Section 6.5 pointers are not supported in (the safe part of) C#. All the remaining operators should be familiar to the C programmer. The operators listed above have fixed and predefined meanings when used together with primitive types in C#. On top of these it is possible to define new meanings of some of the operators on objects/values of your own types. This is called operator overloading, and it is discussed in more details in Chapter 21. The subset of overloadable operators is highlighted in Table 21.1. 6.8. Commands and Control Structures Lecture 2 - slide 14 Almost all control structures in C can be used the same way in C# Commands (also known as statements) are able to mutate the program state at run-time. As such, the most important command is the assignment. The commands constitute the "imperative heart" of the programming language. The control structures provide means for sequencing the commands. The commands and control structures of C# form - to a large extent - a superset of the commands and control structures of C. Thus, the knowledge of commands and control structures in C can be used directly when learning C#. As usual, we will summarize similarities and differences between C and C#. The similarities are the following: • Expression statements, such as a = a + 5; • Blocks, such as {a = 5; b = a;} • if, if-else, switch, for, while, do-while, return, break, continue, and goto in C# are all similar to C As in C, an expression becomes a command if it is followed by a semicolon. Therefore we have emphasized the semicolon above in the assignment a = a + 5; As it will be clear from Program 6.15 below, the switch control structures in C and C# differ substantially. The main differences between C and C# regarding control structures are the following: • The C# foreach loop provides for easy traversal of all elements in a collection • try-catch-finally and throw in C# are related to exception handling
  • 49.
    43 • Some morespecialized statements have been added: checked, unchecked, using, lock and yield. The foreach control structures is an easy-to-use version of a for loop, intended for start-to-end traversal of collections. We will not here touch on try-catch-finally and throw. Please refer to our coverage of exception handling in Section 36.2 for a discussion of these. Let us now look at some concrete program examples with control structures. In the examples below, program fragments shown in red color illustrate erroneous aspects. Program fragments shown in green are all right. 1 2 3 4 5 6 7 8 9 10 11 12 13 14 15 16 17 18 19 20 21 22 23 24 25 /* Right, Wrong */ using System; class IfDemo { public static void Main(){ int i = 0; /* if (i){ Console.WriteLine("i is regarded as true"); } else { Console.WriteLine("i is regarded as false"); } */ if (i != 0){ Console.WriteLine("i is not 0"); } else { Console.WriteLine("i is 0"); } } } Program 6.14 Demonstrations of if. The if-else control structure has survived from C. Program 6.14 in reality illustrates a difference between handling of boolean values of C and C#. This has already been treated in Section 6.1. The point is that an expression of non-bool type (such the integer i) cannot be used as the controlling expression of an if-else control structure i C#. Let us now look at a program with switch control structures. As already mentioned earlier there are a number of noteworthy differences between C and C# regarding switch. 1 2 3 4 5 6 7 8 9 10 11 /* Right, Wrong */ using System; class SwitchDemo { public static void Main(){ int j = 1, k = 1; /* switch (j) { case 0: Console.WriteLine("j is 0"); case 1: Console.WriteLine("j is 1");
  • 50.
    44 12 13 14 15 16 17 18 19 20 21 22 23 24 25 26 27 28 29 30 31 32 33 34 35 36 37 38 39 case 2: Console.WriteLine("jis 2"); default: Console.WriteLine("j is not 0, 1 or 2"); } */ switch (k) { case 0: Console.WriteLine("m is 0"); break; case 1: Console.WriteLine("m is 1"); break; case 2: Console.WriteLine("m is 2"); break; default: Console.WriteLine("m is not 0, 1 or 2"); break; } switch (k) { case 0: case 1: Console.WriteLine("n is 0 or 1"); break; case 2: case 3: Console.WriteLine("n is 2 or 3"); break; case 4: case 5: Console.WriteLine("n is 4 or 5"); break; default: Console.WriteLine("n is not 1, 2, 3, 4, or 5"); break; } string str = "two"; switch (str) { case "zero": Console.WriteLine("str is 0"); break; case "one": Console.WriteLine("str is 1"); break; case "two": Console.WriteLine("str is 2"); break; default: Console.WriteLine("str is not 0, 1 or 2"); break; } } } Program 6.15 Demonstrations of switch. The first switch in Program 6.15 is legal in C, but it is illegal i C#. It illustrates the fall through problem. If j is 0, case 0, 1, 2, and default are all executed in a C program. Most likely, the programmer intended to write the second switch, starting in line 17, in which each case is broken with use of the break command. In C# the compiler checks that each branch of a switch never encounters the ending of the branch (and, thus, never falls through to the succeeding branch). The third switch in the demo program shows that two or more cases can be programmed together. Thus, like in C, it is legal to fall trough empty cases. The final switch shows that it is possible to switch on strings in C#. This is very convenient in many contexts! In C, the type of the switch expression must be integral (which means an integer, char, or an enumeration type). Let us also mention that C# allows special goto constructs (goto case constant and goto default) inside a switch. With use of these it is possible to jump from one case to another, and it is even possible to program a loop inside a switch (by jumping from one case to an already executed case). It is recommended only to use these specialized goto constructs in exceptional situations, or for programming of particular patterns (in which it is natural to organize a solution around multiple branches that can pass the control to each other). Next we will study a program that illustrates the foreach loop. 1 2 3 4 5 6 /* Right, Wrong */ using System; class ForeachDemo { public static void Main(){
  • 51.
    45 7 8 9 10 11 12 13 14 15 int[] ia ={1, 2, 3, 4, 5}; int sum = 0; foreach(int i in ia) sum += i; Console.WriteLine(sum); } } Program 6.16 Demonstrations of foreach. As mentioned above, foreach is a variant of a for loop that traverses all elements of a collection. (See how this is provided for in Section 31.6). In the example of Program 6.16 all elements of the array are traversed. Thus, the loop variable i will be 1, 2, 3, 4 and 5 in succession. Many efforts in C# have been directed towards supporting foreach on the collection types that you program yourself. Also notice that loop control variable, i, is declared inside the foreach construct. This cannot be done in a conventional for loop in C (although it can be done in C99 and in C++). Finally, we will see an example of try-catch. 1 2 3 4 5 6 7 8 9 10 11 12 13 14 15 16 17 18 19 20 /* Right, Wrong */ using System; class TryCatchDemo { public static void Main(){ int i = 5, r = 0, j = 0; /* r = i / 0; Console.WriteLine("r is {0}", r); */ try { r = i / j; Console.WriteLine("r is {0}", r); } catch(DivideByZeroException e){ Console.WriteLine("r could not be computed"); } } } Program 6.17 Demonstrations of try catch. Division by 0 is a well-known cause of a run-time error. Some compilers are, in some situations, even smart enough to identify the error at compile-time. In Program 6.17 the erroneous program fragment never reaches the activation of WriteLine in line 10, because the division by zero halts the program. The expression i / j, where j is 0, is embedded in a try-catch control structure. The division by zero raises an exception in the running program, which may be handled in the catch part. The WriteLine in line 17 is encountered in this part of the example. Thus, the program survives the division by zero. Later in the material, starting in Chapter 33, we discuss - in great details - errors and error handling and the use of try- catch. Before we leave the assignments and control structure we want to mention the definite assignment rule in C#. The rule states that every declared variable must be assigned to a value before the variable is used. The compiler enforces the rule. Take a look at the program below.
  • 52.
    46 1 2 3 4 5 6 7 8 9 10 11 12 13 14 15 16 17 18 19 20 21 22 23 24 25 26 27 28 29 30 31 32 using System; class DefiniteAssignmentDemo{ publicstatic void Main(){ int a, b; bool c; if (ReadFromConsole("Some Number") < 10){ a = 1; b = 2; } else { a = 2; } Console.WriteLine(a); Console.WriteLine(b); // Use of unassigned local variable 'b' while (a < b){ c = (a > b); a = Math.Max(a, b); } Console.WriteLine(c); // Use of unassigned local variable 'c' } public static int ReadFromConsole(string prompt){ Console.WriteLine(prompt); return int.Parse(Console.ReadLine()); } } Program 6.18 Demonstrations of definite assignment. The program declares three variables a, b, and c in line 6-7, without initializing them. Variable b is used in line 16, but it cannot be guarantied that the if-else control structure in line 9-13 assigns a value to the variable b. Therefore, using a conservative approach, the compiler complains about line 16. The error message is emphasized in the comment at the end of line 16. Similarly, the variable c declared in line 7 is not necessarily assigned by the while control structure in line 18-21. Recall that if a >= b when we enter the while loop, the line 19 and 20 are never executed. This explains the error message associated to line 24. The definite assignment rule, enforced by the compiler, implies that we never get run-time errors due to uninitialized variables. On the other hand, the rule also prevents some program from executing on selected input. If the number read in line 9 of Program 6.18 is less than 10 both b and c will be assigned when used in the WriteLine calls. 6.9. Functions Lecture 2 - slide 15 Functions are the primary abstractions in C. In C# "function" (or "function member") is the common name of a variety of different kinds of abstractions. The most well-known of these is known as methods. The others are properties, events, indexers, operators, and constructors.
  • 53.
    47 Functions in C#belong to types: classes or structs. Thus, functions in C# cannot be freestanding like in C. Functions are always found inside a type. The conceptual similarities between functions in C and methods in C# are many and fundamental. In our context it is, however, most interesting to concentrate on the differences: • Several different parameter passing techniques in C# • Call by value. For input. No modifier. • Call by reference. For input and output or output only • Input and output: Modifier ref • Output: Modifier out • Modifiers used both with formal and actual parameters • Functions with a variable number of input parameters in C# (cleaner than in C) • Overloaded function members in C# • First class functions (delegates) in C# In C all parameters are passed by value. However, passing a pointer by value in C is often proclaimed as call by reference. In C# there are several parameter passing modes: call by value and two variants of call by reference (ref and out parameters). The default parameter passing mode is call by value. Call by reference parameter passing in C (via pointers) is not the same as ref parameters in C#. ref parameters in C# are much more like Pascal var (variable) parameters. In C it is possible, but messy, to deal with functions of a variable (or an arbitrary) number of arguments. In C# this is easier and cleaner. It is supported by the params keyword in a formal parameter list. An example is provided in Program 6.20. A function in C is identified by its name. A method in C# is identified by its name together with the types of the formal parameters (the so-called method signature). This allows several methods with the same names to coexist, provided that their formal parameter types differ. A set of equally named methods (with different formal parameter types) is known as overloaded methods. A function in C# can be handled without naming it at all. Such functions are known as delegates. Delegates come from the functional programming language paradigm, where functions most often are first class objects. Something of first class can be passed as parameters, returned as results from functions, and organized in data structures independent of naming. Delegates seem to be more and more important in the development of C#. In C# 3.0 the nearby concepts of lambda expressions and expression trees have emerged. We have much more to say about delegates later in this material, see Chapter 22. 1 2 3 4 5 6 7 8 9 10 11 12 13 14 15 /* Right, Wrong */ using System; /* public int Increment(int i){ return i + 1; } public void Main (){ int i = 5, j = Increment(i); Console.WriteLine("i and j: {0}, {1}", i, j); } // end Main
  • 54.
    48 16 17 18 19 20 21 22 23 24 25 26 27 28 29 30 31 32 33 */ public class FunctionDemo{ public static void Main (){ SimpleFunction(); } public static void SimpleFunction(){ int i = 5, j = Increment(i); Console.WriteLine("i and j: {0}, {1}", i, j); } public static int Increment(int i){ return i + 1; } } Program 6.19 Demonstration of simple functions in C#. Program 6.19 shows elementary examples of functions (methods) in a C# program. The program text decorated with red color shows two functions, Main and Increment, outside of any type. This is illegal in C#. Shown in green we again see the function Increment, now located in a legal context, namely inside the type (class) FunctionDemo. The function SimpleFunction calls Increment in a straightforward way. The function Main serves as main program in C#. It is here the program starts. We see that Main calls SimpleFunction. 1 2 3 4 5 6 7 8 9 10 11 12 13 14 15 16 17 18 19 20 21 22 23 24 25 26 27 28 29 30 31 32 33 using System; public class FunctionDemo { public static void Main (){ ParameterPassing(); } public static void ValueFunction(double d){ d++;} public static void RefFunction(ref double d){ d++;} public static void OutFunction(out double d){ d = 8.0;} public static void ParamsFunction(out double res, params double[] input){ res = 0; foreach(double d in input) res += d; } public static void ParameterPassing(){ double myVar1 = 5.0; ValueFunction(myVar1); Console.WriteLine("myVar1: {0:f}", myVar1); // 5.00 double myVar2 = 6.0; RefFunction(ref myVar2); Console.WriteLine("myVar2: {0:f}", myVar2); // 7.00 double myVar3; OutFunction(out myVar3);
  • 55.
    49 34 35 36 37 38 39 40 41 Console.WriteLine("myVar3: {0:f}", myVar3);// 8.00 double myVar4; ParamsFunction(out myVar4, 1.1, 2.2, 3.3, 4.4, 5.5); // 16.50 Console.WriteLine("Sum in myVar4: {0:f}", myVar4); } } Program 6.20 Demonstration of parameter passing in C#. The four functions in Program 6.20, ValueFunction, RefFunction, OutFunction, and ParamsFunction demonstrate the different parameter passing techniques of C#. The call-by-value parameter d in ValueFunction has the same status as a local variable in ValueFunction. Therefore, the call of ValueFunction with myVar1 as actual parameter does not affect the value of myVar1. It does, however, affect the value of d in ValueFunction, but this has no lasting effect outside ValueFunction. In a nutshell, this is the idea of call by value parameters. In RefFunction, the formal parameter d, is a ref parameter. The corresponding actual parameter must be a variable. And indeed it is a variable in our sample activation of RefFunction, namely the variable named myVar2. Inside RefFunction, the formal parameter d is an alias of the actual parameter (myVar2). Thus, the incrementing of d actually increments myVar2. Pascal programmers will be familiar with this mechanism (via var parameters) but C programmers have not encountered this before - at least not while programming in C. OutFunction demonstrates the use of an out parameter. out parameters are similar to ref parameters, but only intended for data output from the function. More details of ref and out parameters appears in Section 20.6 and Section 20.7. Notice that in C#, the keywords ref and out must be used both in the formal parameter list and in the actual parameter list. This is nice, because you will hereby spot the parameter passing mode in calls. In most other programming language it is necessary to consult the function definition to find out about the parameter passing modes of the parameters involved. The first parameter of ParamsFunction, res, is an out parameter, intended for passing the sum of the input parameter back to the caller. The formal param parameter, input, must be an array. The similar actual parameters (occurring at the end of the actual parameter list) are inserted as elements into a new array, and bound to the formal parameter input. With this mechanism, an arbitrary number of "rest parameters" (of the same or comparable types) can be handled, and bundled into an array in the C# function, which is being called. Program 6.21 (only on web) shows a class with four methods, all of which are named F. These functions are distinguished by different formal parameters, and by different parameter passing modes. Passing an integer value parameter activates the first F. Passing a double value parameter activates the second F. Passing a double and a bool (both as values) activates the third F. Finally, passing an integer ref parameter activates the fourth F.
  • 56.
    50 6.10. Input andoutput Lecture 2 - slide 16 In C, the functions printf and scanf are important for handling output to the screen, input from the keyboard, and file IO as well. It is therefore interesting for C programmers to find out how the similar facilities work in C#. In C#, the Console class encapsulates the streams known as standard input and standard output, which per default are connected to the keyboard and the screen. The various write functions in the Console class are quite similar to the printf function in C. The Console class' read functions are not as advanced as scanf in C. There is not direct counterpart of the C scanf function in C#. First, in Program 6.22 we will study uses of the Write and WriteLine functions. 1 2 3 4 5 6 7 8 9 10 11 12 13 14 15 16 17 18 19 20 21 22 23 24 25 /* Right, Wrong */ using System; public class OutputDemo { // Placeholder syntax: {<argument#>[,<width>][:<format>[<precision>]]} public static void Main(){ Console.Write( "Argument number only: {0} {1}n", 1, 1.1); // Console.WriteLine("Formatting code d: {0:d},{1:d}", 2, 2.2); Console.WriteLine("Formatting codes d and f: {0:d} {1:f}", 3, 3.3); Console.WriteLine("Field width: {0,10:d} {1,10:f}", 4, 4.4); Console.WriteLine("Left aligned: {0,-10:d} {1,-10:f}", 5, 5.5); Console.WriteLine("Precision: {0,10:d5} {1,10:f5}", 6, 6.6); Console.WriteLine("Exponential: {0,10:e5} {1,10:e5}", 7, 7.7); Console.WriteLine("Currency: {0,10:c2} {1,10:c2}", 8, 8.887); Console.WriteLine("General: {0:g} {1:g}", 9, 9.9); Console.WriteLine("Hexadecimal: {0:x5}", 12); Console.WriteLine("DateTime formatting with F: {0:F}", DateTime.Now); Console.WriteLine("DateTime formatting with G: {0:G}", DateTime.Now); Console.WriteLine("DateTime formatting with T: {0:T}", DateTime.Now); } } Program 6.22 Demonstrations of Console output in C#. Like printf in C, the methods Write and WriteLine accept a control string and a number of additional parameters which are formatted and inserted into the control string. Write and WriteLine actually rely on an underlying Format method in class String. Notice that a there exists many overloaded Write and WriteLine methods in the class Console. Here we concentrate of those that take a string - the control string - as the first parameter. The following call of printf in C printf("x: %d, y: %5.2f, z: %Len", x, y, z); is roughly equivalent to the following call of of WriteLine in C# Console.WriteLine("x: {0:d}, y: {1,5:F2}, z: {2:E}", x, y, z);
  • 57.
    51 The equivalence assumesthat x is of type int, y is a float, and that z is a long double. The general syntax of a placeholder (the stuff in between pairs of curly braces) in a C# formatting string is {<argument#>[,<width>][:<format>[<precision>]]} where [...] denotes optionality (zero or one occurrence). C programmers do often experience strange and erroneous formatting of output if the conversion characters (such as d, f, and e in the example above) are inconsistent with the actual type of the corresponding variables or expressions (x, y, and z in the example). In C#, such problems are caught by the compiler, and as such they do not lead to wrong results. This is a much needed improvement. Let us briefly explain the examples in line 9-23 of Program 6.22. In line 9 the default formatting is used. This corresponds to the letter code g. In line 10 an error occurs because the code d only accepts integers. The number 2.2 is not an integer. In line 13 we illustrate use of width 10 for an integer and a floating-point number. Line 14 is similar, but it uses left justification (because the width is negative). Line 15 illustrates use of the precision 5 for an integer and a floating-point number. In line 16 we format two numbers in exponential (scientific) notation. In line 17 we illustrate formatting of currencies (kroner or dollars, for instance, dependent on the culture setting). Line 18 corresponds to line 9. Line 19 calls for hexadecimal formatting of a number. One way to learn more about output formatting is to consult the documentation of the static method Format in class System.String. From there, goto Formatting Overview. Later in this material, in Section 31.7, we will see how we can program custom formatting of our own types. The last three example lines in Program 6.22 illustrate formatting of objects of type DateTime in C#. Such objects represent at point in time. In the example, the expression DateTime.Now denotes the current point in time. The output of Program 6.22 is shown in Listing 6.23 (only on web). We now switch from output to input. 1 2 3 4 5 6 7 8 9 10 11 12 13 14 15 16 17 18 19 20 /* Right, Wrong */ using System; public class InputDemo { public static void Main(){ Console.Write("Input a single character: "); char ch = (char)Console.Read(); Console.WriteLine("Character read: {0}", ch); Console.ReadLine(); Console.Write("Input an integer: "); int i = int.Parse(Console.ReadLine()); Console.WriteLine("Integer read: {0}", i); Console.Write("Input a double: "); double d = double.Parse(Console.ReadLine()); Console.WriteLine("Double read: {0:f}", d); } }
  • 58.
    52 Program 6.24 Demonstrationsof Console input in C#. In Program 6.24 Console.Read() reads a single character. The result returned is a positive integer, or -1 if no character can be read (typically because we are located at the end of an input file). Read blocks until enter is typed. Non-blocking input is also available via the method Console.ReadKey. The expression Console.ReadLine() reads a line of text into a string. The last two, highlighted examples show how to read a text string and, via the Parse method in type int and double, to convert the strings read to values of type int and double respectively. Notice that scanf in C can take hand of such cases. The output of Program 6.24 is shown in Listing 6.25 (only on web). Later in this material we have much more to say about input and output in C#. See Chapter 37 - Chapter 39 . The most important concept, which we will deal with in these chapters, is the various kinds of streams in C#. 6.11. Comments Lecture 2 - slide 17 We finalize our comparison of C and C# with an overview of the different kinds of C# comments. Recall that C only supports delimited comments (although C programmers also often use single-line comments, which actually is used in C++ and in newer versions of C (C99)). C# supports two different kinds of comments and XML variants of these: • Single-line comments like in C++ // This is a single-line comment • Delimited comments like in C /* This is a delimited comment */ • XML single-line comments: /// <summary> This is a single-line XML comment </summary> • XML delimited comments: /** <summary> This is a delimited XML comment </summary> */ XML comments can only be given before declarations, not inside other fragments. XML comments are used for documentation of types. We have much more to say about XML comments in our discussion of documentation of C# programs. Delimited C# comments cannot be nested. 6.12. References [Decimal-floating- point] Decimal Floating Point in .NET http://www.yoda.arachsys.com/csharp/decimal.html
  • 59.
    53 7. C# inrelation to Java C# is heavily inspired by Java. In this section we will, at an overall level, compare Java and C#. The goal of this relatively short chapter is to inform Java programmers about similarities and differences in relation to C#. It is recommended that you already have familiarized yourself with C# in relation to C, as covered in Chapter 6. In this chapter 'Java' refers to version to 5.0 and 'C#' refers to C# version 2.0. 7.1. Types Lecture 2 - slide 20 In Java, types can be defined by classes and interfaces. This is also possible in C#. In addition, C# makes it possible to define structs and delegates to which there are no counterparts in Java. Java supports sophisticated, class based enumeration types. Enumeration types in C# are simpler, and relative close to enumeration types in C. - This is the short story. After the itemized summary, we will compare the two languages more carefully. The similarities and differences with respect to types can be summarized in this way: • Similarities. • Classes in both C# and Java • Interfaces in both C# and Java • Differences. • Structs in C#, not in Java • Delegates in C#, not in Java • Nullable types in C#, not in Java • Class-like Enumeration types in Java; Simpler approach in C# If you have written a Java program with classes and interfaces, it is in most cases relatively easy to translate the program to C#. In this material we discuss classes in C# in Chapter 11 an interfaces in Chapter 31 There are no structs in Java. Structs in C# are, at the outset, similar to structs in C. (See Section 6.6 for a discussion of C structs versus C# structs). Your knowledge of C structs is a good starting point for working with structs in C#. However, structs in C# are heavily extended compared with C. As an important observation, C# structs have a lot in common with classes. Most important, there are operations (methods) and constructors in both C# classes and C# structs. It is also possible to control the visibility of data and operations in both classes and structs. Structs in C# are value types, in the meaning that instances of structs are contained in variables, and copied by assignments and in parameter passings. In contrast, classes are reference types, in the meaning that instances of classes are accessed by references. Instances of classes are not copied in assignments and in parameter passings. For more details on structs see Chapter 14, in particular Section 14.3. Delegates in C# represents a type of methods. A delegate object can contain a method. More correctly, a delegate can contain a reference to a method. It can actually contain several such references. With use of delegates it becomes possible to treat methods as data, in the same way as instance of classes represent data. We can store a method in a variable of delegate type. We can also pass a method as a parameter to another
  • 60.
    54 method. In Javait is not possible pass a method M as a parameter to another method. If we need to pass M, we have to pass an object of class C in which M is a method. Needless to say, this is a complicated and contrived way of using function parameters. - In C#, delegates are the foundation of events (see Chapter 23), which, in turn, are instrumental to programming of graphical user interfaces in C# and certain design patters, not least the Observer (see Section 24.1). For more details on delegate types see Chapter 22. Nullable types relate to value types, such as structs. A variable of a struct type S cannot contain the value null. In contrast, a variable of class type C can contain the value null. The nullable S type, denoted S?, is a variant of S which includes the null value. For more details, see Section 14.9. Enumeration types in both C# and Java allow us to associate symbolic constants to values in an integer type. We demonstrated enumeration types in C# in Section 6.2 of the previous chapter. In Java, an enumeration type is a special form of a class. Each enumerated value is an instance of this special class. Consequently, an enumeration type in Java is a reference type. In C# an enumeration type is a value type. - As a Java-historic remark, enumeration types did not exist in early versions Java. Enumeration types were simulated by a set of final static variables (one final static variable for each value in the enumeration type). The support of enumeration types shifted dramatically in Java 1.5: from almost no support in previous versions to heavy support via special classes. It is remarkable that the Java designers have chosen to use so many efforts on enumeration types! 7.2. Operations Lecture 2 - slide 21 Operations in Java programs are defined by methods that belong to classes. This is our only possibility of defining operations in Java. In C# there exists several additional possibilities. In this material we have devoted an entire lecture 'Data Access and Operations' (from Chapter 17 to Chapter 24) to these issues. The similarities and differences with respect to operations can be summarized in this way: • Similarities: Operations in both Java and C# • Methods • Differences: Operations only in C# • Properties • Indexers • Overloaded operators • Anonymous methods As already mentioned above, C# methods can be defined in both classes and structs. It is not possible to define local methods in methods - neither in C# or Java. The closest possibility in C# is use of anonymous methods, see below. Properties provide for getters and setters of fields (instance variables as well as class variables - static variables) in C#. In Java it is necessary to define methods for getting and setting of instance variables. A single property in C# can either be a getter, a setter, or both. From an application point of view, properties are used as though we access of the variables of a class/object directly (as it would be possible if the variables were public). For more details on properties see Chapter 18.
  • 61.
    55 Indexers can beunderstood as a special kind of properties that define array-like access to objects and values in C#. The notation a[i] and a[i] = x is well-know when the name a denotes an array and if i is an integer. In C# we generalize this notation to arbitrary instances of classes and structs denoted by a. With an indexer we program the meaning of accessing the i'th element of a (a[i]) and the meaning of setting the i'th element of a (a[i] = ...). Indexers are discussed in Chapter 19. In most languages, the operators like +, -, <, and & have fixed meanings, and they only work with the simple types (such as int, bool, char, etc). We reviewed the C# operators in Section 6.7, and as it appears, operators in C, Java, and C# have much in common. In Java, the operators only work for certain predefined types, and you cannot change the meaning of these operators. In C# it is possible to use the existing operator symbols for operations in your own types. (You cannot invent new operator symbols, and you cannot change the precedence nor the associativity of the symbols). We say that the operators in C# can be overloaded. For instance, in C# it would be possible to define the meaning of aBankAccount + aTriangle, where aBankAccout refers to an instance of class BankAccount and aTriangle refers to an instance of class GeometricShape. When the existing operator symbols are natural in relation to our own classes, the idea of overloaded operators is great. In other situations, overloaded operators do not add much value. We are used to a situation where procedures, functions, and methods have names. In both Java and C# we can define named methods in classes. In C#, we can also define named methods in structs. In C# it is possible to define non-named methods as well. As part of arbitrary expressions, we can create a function or method. Such a function or method is called a delegate. As indicated by the name, delegates are closely related to delegate types, as discussed above in Section 7.1. For more details on this topic see Chapter 22 and in particular the program examples of Section 22.1. 7.3. Other substantial differences Lecture 2 - slide 22 In addition to the overall differences in the area of types and operations, as discussed in the two previous sections, there are a number of other substantial differences between Java and C#. The most important of these differences are summarized below. • Program organization • No requirements to source file organization in C# • Exceptions • No catch or specify requirement in C# • Nested and local classes • Classes inside classes are static in C#: No inner classes like in Java • Arrays • Rectangular arrays in C# • Virtual methods • Virtual as well as non-virtual methods in C# In Java there is a close connection between classes and sources files. It is usually recommended that there is only one class per file, but the rule is actually that there can be one public and several non-public classes per Java source file. The proper name of the source file should be identical to the name of the public class. Likewise, there is a close connection between packages and directories. A package consists of the classes whose source files belong to a given directory. - The organization of C# programs is different. In C# there is no connection between the names of classes and the name of a C# source files. A source file can contain
  • 62.
    56 several classes. Insteadof packages, C# organizes types in namespaces and assemblies. Namespaces are tangible, as they are represented syntactically in the source files. A namespace contains types and/or recursively other (nested) namespaces. Assemblies are produced by the C# compiler. Assemblies represent a 'packaging' mechanism, and assemblies are almost orthogonal to both the file/directory organization and the namespace organization. As it appears, C# uses a much more complex - and presumably more powerful - program organization than Java. We discuss organization of C# programs in Chapter 15 at the end of the lecture about Classes. Java supports both checked exceptions and unchecked exceptions, but it is clearly the ideal of Java to work with checked exceptions. (Unchecked exception is also known as RuntimeExceptions). It is natural to ask about the difference. A checked exception must either be handled in the method M in which is occurs, or the method M must declare that an activation of M can cause an exception (of a given type) which callers of M need to care about. This is sometimes called the catch or specify principle. The most visible consequence of this principle is that Java methods, which do not handle exceptions, must declare that they throws specific types of exceptions. Thus, the signature of Java methods include information about the kind errors they may cause. - C# does not adhere to the catch or specify principle. In C# all exceptions correspond to the so-called RuntimeExceptions in Java. Exceptions in C# are discussed in Chapter 36. Java is stronger than C# with respect to class nesting. Both Java and C# support static nested classes (using Java terminology). In this setup, the innermost class can only refer to static members of the outer class. In contrast to C#, Java also supports inner classes. An instance of an inner class has a reference the instance of the outer class. Inner classes have implications to the object structure. Static nested classes have no such implications. In addition, Java supports local classes that are local to a method, and anonymous classes which are instantiated on the fly. C# does not. In both Java and C# it is possible to work with arrays in which the elements themselves are arrays, and so on recursively. Using C# terminology, this is called jagged arrays, because it facilitates multi-dimensional arrays of irregular shapes. In contrast to Java, C# in addition supports rectangular arrays, in which all rows are of equal lengths. We have already discussed jagged and rectangular arrays in our comparison with C in Section 6.4. Virtual methods relate to redefinition of methods in class hierarchies (inheritance). In Java all methods are virtual. What this means (for C#) is explained in details in Section 28.14. In C# it is possible to have both virtual and non-virtual methods. This complicates the understanding of inheritance quite a bit. There are, however, good reasons to support both. In Section 32.9 we will review a prominent example where the uniform use of virtual methods in Java runs into trouble.
  • 63.
    57 8. C# inrelation to Visual Basic This chapter is intended for students who have a background in imperative Visual Basic programming. The goal of this chapter is to make the transfer from Visual Basic to C# as easy as possible. We do that by showing and discussing a number of equivalent Visual Basic and C# programs. In this chapter Visual Basic programs are shown on a blue background, and C# programs are shown on a green background. The discussion of equivalent Visual Basic and C# program is textually organized in between the two programs. In this chapter 'Visual Basic' refers to the version of Visual Basic supported by the .Net Framework version 2.0. In this edition the comparison of Visual Basic and C# is only available in the web version of the material.
  • 64.
  • 65.
    59 9. C# Toolsand IDEs Many potential C# programmers will be curious about tools and environments (IDEs) for C# programming. Therefore we will, briefly, enumerate the most obvious possibilities. We will mention possibilities in both Windows and Unix. 9.1. C# Tools on Windows Lecture 2 - slide 41 Windows is the primary platform of C#. This is due to the fact that C# is a Microsoft language. Microsoft supplies several different set of tools that support the C# programmer: • .NET Framework SDK 3.5 • "Software Development Kit" • Command line tools, such as the C# compiler csc • Visual C# Express • IDE - An Integrated Development Environment • A C# specialized, free version of Microsoft Visual Studio 2008 • Visual Studio • IDE - An Integrated Development Environment • The professional, commercial development environment for C# and other programming languages The .Net Standard Development Kit (SDK) supports the raw tools, including a traditional C# compiler. Although many programmers today use contemporary IDEs such as Visual Studio or Eclipse, I find it important that all programmers understand the basic and underlying activation of the compiler. The Visual C# Express edition is a free (gratis) variant of Visual Studio, explicitly targeted at students and other newcomers to C#. There are video resources [cs-video-resources] available for getting started with C# 2008 Express. The experience you get with Visual C# Express can immediately be transferred to Visual studio. The two IDEs are very similar. Visual Studio is the commercial flagship environment of C# programming. You will have to buy Visual Studio if you want to use it. Notice, however, that many universities have an academic alliance with Microsoft that provides access to Visual Studio and other Microsoft software. 9.2. C# Tools on Unix Lecture 2 - slide 42 The MONO project provides tools for C# development on Linux, Solaris, Mac OS X, Unix in general, and interesting enough also on Windows. MONO is the choice if you swear to the Linux platform. Let us summarize the MONO resources, available to the Linux people:
  • 66.
    60 • MONO • Anopen source project (sponsored by Novell) • Corresponds the the Microsoft SDK • Based on ECMA specifications of C# and the Common Language Infrastructure (CLI) Virtual Machine • Command line tools • Compilers: mcs (C# 1.5) and gmcs (C# 2.0) • MONO on cs.aau.dk • Mono is already installed on the application servers at cs.aau.dk • MONO on your own Linux machine • You can install MONO yourself if you wish • MonoDevelop • A GNOME IDE for C# For good reasons, the MONO CLI is not as updated as the .NET solutions. MONO will most probably always be at least one step behind Microsoft. 9.3. References [Cs-video-resources] C# Express Video Lectures http://msdn.microsoft.com/en-us/beginner/bb964631.aspx
  • 67.
    61 10. Classes: AnInitial Example This is the first chapter about classes. It is also the first chapter in the first lecture about classes. Our basic coverage of classes runs until Chapter 13. 10.1. The Die Class Lecture 3 - slide 2 In this section we encounter a number of important OOP ideas, observations, and principles. We will very briefly preview many of these in a concrete way in the context of a simple initial class. Later we will discuss the ideas in depth. We use the example of a die, which is the singular form of "dice", see Program 10.1. One of the teaching assistants in 2006 argued that the class Die is a sad beginning of the story about classes. Well, it is maybe right. I think, however, that the concept of a die is a good initial example. So we will go for it! On purpose, we are concerned with use of either the singular or the plural forms of class names. The singular form is used when we wish to describe and program a single phenomenon/thing/object. The plural form is most often used for collections, to which we can add or delete (singular) objects. Notice that we can make multiple instances of a class, such as the Die class. In this way we can create a number of dice. The class Die in Program 10.1 is programmed in C#. We program a die such that each given die has a fixed maximum number of eyes, determined by the constant maxNumberOfEyes. The class encapsulates the instance variables: numberOfEyes, randomNumberSupplier, and the constant maxNumberOfEyes. They are shown in line 4-6. The instance variable are intended to describe the state of a Die object, which is an instance of the Die class. The instance variable numberOfEyes is the most important variable. The variable randomNumberSupplier makes it possible for a Die to request a random number from a Random object. After the instance variables comes a constructor. This is line 8-11. The purpose of the constructor is to initialize a newly create Die object. The constructor makes the random number supplier, which is an instance of the System.Random class. The constructor happens to initialize a normal six-eyed die. The expression DateTime.Now.Ticks returns a long integer, which we type cast to an int. The use of an unchecked context implies that we get an int out of the cast, even if the long value does not fit the range of int. (The use of unchecked eliminates overflow checking). The value assigned to numberOfEyes is achieved by tossing the die once via activation of the method NewTossHowManyEyes. The call of NewTossHowManyEyes on line 10 delivers a number between 1 and 6. In this way, the initial state - the number of eyes - of a new die is random. Then follows three operations. In most object-oriented programming languages the operations are called methods. The Toss operation modifies the value of the numberOfEyes variable, hereby simulating the tossing of a die. The Toss operation makes use of a private method called NewTossHowManyEyes, which interacts with the random number supplier. The NumberOfEyes method just accesses the value of the instance variable numberOfEyes. The ToString method delivers a string, which for instance can by used if we decide "to print a Die object". The ToString method in class Die overrides a more general method of the same name. We notice that the instance variables are private and that the constructors and methods are public. Private instance variables cannot be used/seen from other classes. This turns out to be important for us, see Section 11.4.
  • 68.
    62 1 2 3 4 5 6 7 8 9 10 11 12 13 14 15 16 17 18 19 20 21 22 23 24 25 26 27 28 using System; public classDie { private int numberOfEyes; private Random randomNumberSupplier; private const int maxNumberOfEyes = 6; public Die(){ randomNumberSupplier = new Random(unchecked((int)DateTime.Now.Ticks)); numberOfEyes = NewTossHowManyEyes(); } public void Toss(){ numberOfEyes = NewTossHowManyEyes(); } private int NewTossHowManyEyes (){ return randomNumberSupplier.Next(1,maxNumberOfEyes + 1); } public int NumberOfEyes() { return numberOfEyes; } public override String ToString(){ return String.Format("[{0}]", numberOfEyes); } } Program 10.1 The class Die. Below, in Program 10.2 we see a client of class Die, which creates and repeatedly tosses three dice. A client of a Die uses a die via a number of Die references. In Program 10.2 d1, d2, and d3 are references to Die objects. Section 10.2 is about clients and servers. When we run the program we get the output shown in Listing 10.3 1 2 3 4 5 6 7 8 9 10 11 12 13 14 15 16 17 18 19 using System; class diceApp { public static void Main(){ Die d1 = new Die(), d2 = new Die(), d3 = new Die(); for(int i = 1; i < 10; i++){ Console.WriteLine("Die 1: {0}", d1); // Implicitly Console.WriteLine("Die 2: {0}", d2); // calls Console.WriteLine("Die 3: {0}", d3); // ToString in Die d1.Toss(); d2.Toss(); d3.Toss(); } } } Program 10.2 A program that tosses three dice. 1 2 3 4 Die 1: [1] Die 2: [1] Die 3: [1] Die 1: [2]
  • 69.
    63 5 6 7 8 9 10 11 12 13 14 15 16 17 18 19 20 21 22 23 24 25 26 27 Die 2: [2] Die3: [2] Die 1: [3] Die 2: [3] Die 3: [3] Die 1: [4] Die 2: [4] Die 3: [4] Die 1: [3] Die 2: [3] Die 3: [3] Die 1: [2] Die 2: [2] Die 3: [2] Die 1: [3] Die 2: [3] Die 3: [3] Die 1: [2] Die 2: [2] Die 3: [2] Die 1: [1] Die 2: [1] Die 3: [1] Listing 10.3 Sample program output. The output shown in Program 10.1 seems suspect. Why? Take a close look. We will come back to this problem in Exercise 3.7, which we encounter in Section 11.10. (At that location in the material we have learned enough to come up with a good solution to the problem). The Die class is a template or blueprint from which we can create an arbitrary number of die objects The term blueprint is often used as a metaphor of a class (seen in relation to objects). The word 'blueprint' is, for instance, used for an architect's drawing of a house. In general, a blueprint refers to a detailed plan for something that, eventually, is going to be constructed. The blueprint can be used as a prescription from which craftsmen can actually built a house. The class Die from Program 10.1 is only useful if we apply it in some context where dice are actually needed. We use dice in various games. In Exercise 3.1 we propose that you make a simple Yahtzee game, with use of five dice (five instances of the Die class). Exercise 3.1. Yahtzee Write a very simple Yahtzee program based on the Die class. Yahtzee is played by use of five dice that are tossed simultaneously. The players are supposed to fill out a table of results. The table should allow registration of ones, ..., sixes, three-of-a-kind, four-of-a-kind, full-house, small-straight, large-straight, yahtzee, and chance. See wikipedia for more details and inspiration. Be sure to use the version of the Die class that shares the Random class with the other dice. This version of the Die class is produced in another exercise in this lecture. This program is for a single player, who tosses the five dice repeatedly. Each time the five dice are tossed a table cell is filled. No re-tossing is done with less than five dice. The first category that fits a given toss is
  • 70.
    64 filled. (Try yahtzeefirst, Chance last). Keep it simple! You may consider to write a YahtzeeTable class which represents the single user table used to register the state of the game. Consider the interface and operations of this class. 10.2. Clients and Servers Lecture 3 - slide 3 The names client and server is often used when we are concerned with computers. A server denominate a computer that provides services to its surrounding. It could be a file server or a web server. In the context of object-oriented programming the words client and server will be used as object roles. In a given situation an object plays a given role. An object x is called a client of y if x makes use of the services (operations) provided by y. An object y is called a server of x if it provides services (operations) to x. In a dice game the objects act, in turn, as client and servers. Figure 10.1 Interacting Game, Die, and Random objects. The Game object is a client of the Die objects, which in turn are clients of the Random objects. Figure 10.1 shows a single game object, three die objects, and three random objects. The client-server roles of these objects can be summarized as follows: • The Game object is a client of a number of Die objects • A given Die object is a client of a Random object • In turn, a Die object act as a server for the Game object, and Random objects act as servers for Die objects In the figure, the arrows are oriented from clients to servers. 10.3. Message Passing Lecture 3 - slide 4 A client interacts with its connected servers via message passing. As a metaphor, we pretend that objects communicate by means of message passing
  • 71.
    65 Message passing actuallycovers a procedure call. Procedure calling is a technical matter. Message passing is an everyday term that covers some communication between one person and another, for instance via postal mail. In some setups, message passing also involves the receiving of a reply. As already stressed earlier, use of metaphors is very important for getting new ideas, and for raising the level of abstraction. In Figure 10.2 we illustrate message passing in between a game object, three dice, and three random objects. Figure 10.2 Interacting Game, Die, and Random objects In some versions of this teaching material you will be able to animate the figure, such that you can actually see the acts of passing a message and receiving a reply. Before sending a message, the sending object is emphasized. When emphasized, we say that the object is the current object. In a single threaded program execution, there is always a single current object. This is the object, which most recently received a message. In football, message passing corresponds to passing the ball from player to player. At some level of abstraction, there is always a single player - 'the ball keeper' - who posses the ball. He or she corresponds to the current object. Here follows some general remarks about message passing. • We often prefer to think of the interaction between objects as message passing. • The receiver of an object locates a procedure or a function which can answer the message - method lookup • A result may be sent back from the receiver to the sender of the message. In the next chapter we will dive into the details of the class concept.
  • 72.
  • 73.
    67 11. Classes The mostimportant programming concept in object-oriented programming is the class. The programmer writes the classes in his or her source program. At run time, classes are used as blueprints/templates for instantiation of classes (creation of objects). In this chapter we will explore the concept of classes. This will be a relatively long journey through visibility issues, representation independence, instance and class variables, instance and class methods, and the notation of the current object. At the end of the chapter, in Section 11.14 we will discuss the important differences between classes and objects. 11.1. Classes Lecture 3 - slide 6 The single most important aspect of classes is encapsulation. As a matter of fact, I believe that the most important achievement of object-oriented programming is the idea of systematic encapsulation of variables and operations that belong together. A class is a construct that surrounds a number of definitions, which belong together. Some of these definitions can be seen from the outside, whereas others are only relevant seen from the inside. Here follows a short 'definition' of a class: A class encapsulates data and operations that belong together, and it controls the visibility of both data and operations. A class can be used as a type in the programming language The parts of a class which are visible from other classes forms the client interface of the class. In the figure, the interface of a class is drawn on the border of the box that surrounds the variables and operations. Thus, in the figure, only a subset of the operations - Op1, Op2, Op3, and Op4 - form the client interface of the class. All data parts are kept inside the class, and they cannot be directly used from other classes. Figure 11.1 A class and its interface to other classes. The interface is often called the client interface. In this illustration the operations Op1, Op2, Op3, and Op4 form the client interface of the class. The notion of interfaces between program parts - program building blocks - is important in general. In this section we talk about the interfaces between classes. It turns out that a class may have several different interfaces. The interface we care most about right now is called the client interface of a class C. There is another interface between C and classes that extends or specializes C. We have more to say about this interface in Section 27.2.
  • 74.
    68 Exercise 3.2. TimeClasses This is not a programming exercise, but an exercise which asks you to consider data and operations of classes related to time. Time is very important in our everyday life. Therefore, many of the programs we write somehow deal with time. Design a class PointInTime, which represents a single point in time. How do we represent a point in time? Which variables (data) should be encapsulated in the class? Design the variables in terms of their names and types. Which operations should constitute the client interface of the class? Design the operations in terms of their names, formal parameters (and their types), and the types of their return values. Can you imagine other time-related classes than PointInTime? Avoid looking at the time-related types in the C# library before you solve this exercise. During the course we will come back the time related types in C#. 11.2. Perspectives on classes Lecture 3 - slide 7 In this section we discuss different ways to understand classes relative to already established understandings. You may safely skip this section if such discussion does not appeal to you. Depending on background and preferences, different programmers may have different understandings of classes. Here follows some of these. • Different perspectives on classes: • An abstract datatype • A generalization of a record (struct) • A definition procedure • A module Types and abstract datatypes are topics of general importance in computer science. But it is probably fair to state that the topic of types is of particular importance in the theoretical camp. Abstract datatypes have been studied extensively by mathematically inclined computer scientists, not least from an interest of specification. Boiled down to essence, a type can be seen as a set of values that possess a number of common properties. An abstract datatype is a set of such values and a set of operations on these values. The operations make the values useful. When we talk about abstract data types, the data details of the values in the type are put behind the scene. In most imperative programming language, including Pascal and C, a record (a struct in C) is a data structure that groups data together. We often say that data parts are aggregated in a record. Records are called structs in C. It is a natural and nice idea to organize the operations of the grouped data together with the data
  • 75.
    69 themselves; In otherwords, to 'invite' the operations on records/structs into the record itself. In C#, structs are used as a "value variant" of a class. This is the topic in Section 14.1. Abstractions can be formed on top of expressions. This leads to the functions. In the same way, procedures are abstractions of commands/statements. A call of a function is itself an expression, and a call of a procedure is a command/statement. From a theoretical point of view it is possible to abstract other syntactic categories as well, including a set of definitions. Such abstractions have been called definition procedures [Tennent81]. Classes can therefore be seen as definition procedures. Following the pattern from above, the activation of a definition procedure leads to definitions. It is not obvious, however, if multiple activations of a definition procedure is useful. Finally, a module is an encapsulation, which does not act as a type. A module may, on the other hand, contain a type (typically a struct) that we treat as an abstract datatype. See Section 2.3 for our earlier discussion of modules. 11.3. Visibility - the Iceberg Analogy Lecture 3 - slide 8 As stated in Section 11.1 visibility-control is an important aspect of classes. Inspired by Bertrand Meyers seminal book Object-oriented software construction, [Meyer88], we will compare a class with an iceberg. A class can be seen as an iceberg: Only a minor part of it should be visible from the outside. The majority of the class details should be hidden. Figure 11.2 An Iceberg. Only a minor fraction of the iceberg is visible above water. In the same way, only a small part of the details of a class should be visible from other classes. Clients of a class C cannot directly depend on hidden parts of C. Thus, the invisible parts in C can more easily be changed than the parts which constitute the interface of the class.
  • 76.
    70 Visibility-control is importantbecause it protects the invisible parts of a class from being directly accessed from other classes. No other parts of the program can rely directly on details, which they cannot access. If some detail (typically a variable) of a class cannot be seen outside the class, it is much easier to modify this detail (e.g. replace the variable by a set of other variables) at a later point in time. You may ask why we would like to modify details of our class. We can, of course, hope that we do not need to. But if the program is successful, and if it is alive many years ahead, it is most likely that we need to change it eventually. Typically, we will have to extend it somehow. It is also typical that we have to change the representation of some of our data. It is very costly if these changes cause a ripple effect that calls for many modifications throughout the whole program. It is very attractive if we can limit the area of the program that needs attention due to the modification. A programmer who use a programming language that guaranties a given visibility control policy is in a good position to deal with the consequences of the mentioned program modifications. 11.4. Visible and Hidden aspects Lecture 3 - slide 9 Let us now be more concrete about class visibility. In this section we will describe which aspect to keep as class secrets, and which aspect to spread outside the class. • Visible aspects • The name of the class • The signatures of selected operations: The interface of the class • Hidden aspects • The representation of data • The bodies of operations • Operations that solely serve as helpers of other operations The visible aspects should be kept at minimum level. The class name must be visible. The major interface of the class is formed by the signatures of selected operations. A signature of a method is the name of the method together with the types of the method parameters, and the type of the value returned by the method. It is always recommended to keep the representation of data secret. It is almost always wrong to export knowledge about the instance variables of a class. Clients of the class should not care about - and should not know - data details. If we reveal data details it is very hard to change the data presentation at a later point in time. Let us stress again that it is a very typical modification of a program to alter the representation of data. The bodies of the operations (the operation details beyond the operation signature) are hidden because operations are themselves abstractions (of either expressions or command). Finally, some operations serve as helper operations in order to encourage internal reuse within the class, and in order to prevent the operations of the class to become too large. Such helper operations should also be invisible to the clients of the class. In Program 11.1 we show and emphasize the visible parts of the Die class from Program 10.1. We have dimmed the aspects of the Die class which are invisible to client classes (the aspects 'below the surface' relative to Figure 11.2).
  • 77.
    71 1 2 3 4 5 6 7 8 9 10 11 12 13 14 15 16 17 18 19 20 21 22 23 24 25 26 27 28 using System; public classDie { private int numberOfEyes; private Random randomNumberSupplier; private const int maxNumberOfEyes = 6; public Die(){ randomNumberSupplier = new Random(unchecked((int)DateTime.Now.Ticks)); numberOfEyes = NewTossHowManyEyes(); } public void Toss(){ numberOfEyes = NewTossHowManyEyes(); } private int NewTossHowManyEyes (){ return randomNumberSupplier.Next(1,maxNumberOfEyes + 1); } public int NumberOfEyes() { return numberOfEyes; } public override String ToString(){ return String.Format("[{0}]", numberOfEyes); } } Program 11.1 The class Die - aspects visible to clients emphasized. Some programming language enforce that all instance variables of a class are hidden. Smalltalk [Goldberg83] is one such language. C# is not in this category, but we will typically strive for such discipline in the way we program in C#. 11.5. Program modification - the Fire Analogy Lecture 3 - slide 10 In continuation of the iceberg analogy, which illustrated visibility issues, we will here illustrate program modification issues by an analogy to the spread of fire. A minor modification of a program may spread as a fire throughout the program. Such a fire may ruin most of the program in the sense that major parts of the program may need to be reprogrammed.
  • 78.
    72 Figure 11.3 Ahouse - with firewalls - on fire. The fire is not likely to spread to other apartments because of the solid firewalls. The use of firewalls prevents the spread of a fire. Similarly, encapsulation and visibility control prevent program modifications from having global consequences. In large buildings, firewalls prevent a fire to destroy more than a single part of a building. Similarly, fire roads in forest areas are intended to keep fires to localized regions of the forest. 11.6. Representation Independence Lecture 3 - slide 11 Let us now coin an important OOP programming principle: The principle of representation independence. Representation independence: Clients of the class C should not be affected by changes of C's data representation In essence, this is the idea we have already discussed in Section 11.4 and Section 11.5. Now we have name for it! Below, in Program 11.2 we will show a class that is vulnerable in relation to the principle of representation independence. The class is written in C#. The class Point in Program 11.2 reveals its data representation to clients. This is because x and y are public. In Program 11.2 x and y are parts of the client interface of class Point. 1 2 3 4 5 6 7 8 9 10 11 12 13 14 15 16 17 // A very simple point with public data representation. // NOT RECOMMENDED because of public data representation. using System; public class Point { public double x, y; public Point(double x, double y){ this.x = x; this.y = y; } public void Move(double dx, double dy){ x += dx; y += dy; } public override string ToString(){
  • 79.
    73 18 19 20 return "(" +x + "," + y + ")"; } } Program 11.2 A Point class with public instance variables - NOT Recommended . The class shown below in Program 11.3 is a client of Point. It prompts the user for three points that we will assume form the shape of a triangle. In line 24-31 we calculate the circumference of this triangle. In these calculations we use the x and y coordinates of points directly, and quite heavily! 1 2 3 4 5 6 7 8 9 10 11 12 13 14 15 16 17 18 19 20 21 22 23 24 25 26 27 28 29 30 31 32 33 34 35 36 37 38 39 // A client of Point that instantiates three points and calculates // the circumference of the implied triangle. using System; public class Application{ public static Point PromptPoint(string prompt){ double x, y; Console.WriteLine(prompt); x = double.Parse(Console.ReadLine()); y = double.Parse(Console.ReadLine()); return new Point(x,y); } public static void Main(){ Point p1, p2, p3; double p1p2Dist, p2p3Dist, p3p1Dist, circumference; p1 = PromptPoint("Enter first point"); p2 = PromptPoint("Enter second point"); p3 = PromptPoint("Enter third point"); p1p2Dist = Math.Sqrt((p1.x - p2.x) * (p1.x - p2.x) + (p1.y - p2.y) * (p1.y - p2.y)); p2p3Dist = Math.Sqrt((p2.x - p3.x) * (p2.x - p3.x) + (p2.y - p3.y) * (p2.y - p3.y)); p3p1Dist = Math.Sqrt((p3.x - p1.x) * (p3.x - p1.x) + (p3.y - p1.y) * (p3.y - p1.y)); circumference = p1p2Dist + p2p3Dist + p3p1Dist; Console.WriteLine("Circumference: {0} {1} {2}: {3}", p1, p2, p3, circumference); Console.ReadLine(); } } Program 11.3 A Client of Point. Now assume that the programmer of class Point changes his or her mind with respect to the representation of points. Instead of using rectangular x and y coordinates the programmer shifts to polar coordinates. This is a representation of points that uses an angle between 0 and 2 pi, and a radius. The motivation behind the shift of representation may easily be that some other programmers request a rotation operation of the class Point. It is easy to rotate a "polar point". This leads to a new version of class Point, as sketched in Program 11.4. We are, of course, interested in the survival of Program 11.3 and other similar program. Imagine if there exists thousands of similar code lines in other classes!.
  • 80.
    74 1 2 3 4 5 6 7 8 9 10 11 12 13 14 15 16 17 18 19 20 21 22 23 24 25 26 27 28 // A verysimple class point with public data representation. // An incomplete sketch. // This version uses polar representation. // NOT RECOMMENDED because of public data representation. using System; public class Point { public double radius, angle; public Point(double x, double y){ radius = ... angle = ... } public void Move(double dx, double dy){ radius = ... angle = ... } public void Rotate(double angle){ this.angle += angle; } public override string ToString(){ ... } } Program 11.4 A version of class Point modified to use polar coordinates - NOT Recommended. We will not solve the rest of the problem at this point in time. We leave the solution as challenge to you in Exercise 3.3. In the lecture, which I give based on these notes, I am likely discuss additional elements of a good solution in C#. Encapsulated data should always be hidden and private within the class Exercise 3.3. Public data representation It is recommended that you use the web edition of the material when you solve this exercise. The web edition has direct links to the class source files, which you should use as the starting point. In the accompanying Point and Point client classes the data representation of Point is available to the client class. This may be tempting for the programmer, because we most likely wish to make the x and y coordinates of points available to clients. Why is it a bad solution? It is very important that you can express and explain the problem to fellow programmers. Give it a try! Now assume that we are forced (by the boss) to change the data representation of Point. As a realistic scenario, we may introduce polar coordinates instead of the rectangular x and y coordinates. Recall that polar coordinates consist of a radius and an angle (in radians or degrees). What will happen to client classes, such as this client, when this change is introduced? Is it an easy or a difficult modification to the given client class? Imagine that in a real-life situation we can have thousands
  • 81.
    75 of similar linesof code in client programs that refer to x and y coordinates. Rewrite selected parts of class Point such that the client "survives" the change of data representation. In your solution, the instance variables should be private in the Point class. Are you able to make a solution such that the client class should not be changed at all? In the web edition we link to special version of class Point, which contains method for conversions between rectangular and polar coordinates. We anticipate that these methods are useful for you when you solve this exercise. The client class of Point calculates the distances between pairs of points. This is not a good idea because far too many details occur repeatedly in the client. Suggest a reorganization and implement it. 11.7. Classes in C# Lecture 3 - slide 12 In this and the following sections we will study classes in C#, instance variables, instance methods, class variables (static variables), and class methods (static methods). The syntactic composition of classes is as follows. class-modifiers class class-name{ variable-declarations constructor-declarations method-declarations } Syntax 11.1 The syntactic composition of a C# Class. This is not the whole story. There are other members than variables, constructors and methods. Notice also that it is NOT required that variables come before constructors and that constructors come before methods. Notice, however, that the full story is somewhat more complicated. Inheritance is not taken into account, and only a few class members are listed. In addition, the order of the class members is not constrained as suggested by Syntax 11.1. The default visibility of members in a class is private. It means that if you do not provide a visibility modifier of a variable or a method, the variable or method will be private. This is unfortunate, because a missing visibility modifier typically signals that the programmer forgot to decide the visibility of the member. It would have been better design of C# to get a compilation error or - at least - a warning. The following gives an overview of different kinds of members - variables and methods - in a class: • Instance variable • Defines state that is related to each individual object • Class variable • Defines state that is shared between all objects • Instance method • Activated on an object. Can access both instance and class variables • Class method
  • 82.
    76 • Accessed viathe class. Can only access class variables In the following four sections - from Section 11.8 to Section 11.11 - we will study instance variables, instance methods, class variables, and class methods in additional details. This is long journey! You will be back on track in Section 11.12. 11.8. Instance Variables Lecture 3 - slide 14 All objects of a particular class have the same set of variables. Each object allocates enough memory space to hold its own set of variables. Thus, the values of these variables may vary from one instance (object) to another. Therefore the variables are known as instance variables. An instance variable defines a piece of data in the class. Each object, created as an instance of the class, holds a separate copy of the instance variables. Unfortunately, the terminology varies a lot. Instance variables are officially known as fields in C#. Instance variables are, together with constants, known as data members. The term member is often used for all declarations contained in a class; This covers data members and function members (constructors, methods, properties, indexers, overloaded operators, and others). Some object-oriented programming languages (Eiffel, for instance) talk about attributes instead of instance variables. (In C#, attributes refer to an entirely different concept, see Section 39.6). Below, in Program 11.5, we show an outline of a BankAccount class programmed in C#. The methods are not shown in this version of the class. The class has three instance variables, namely interestRate (of type double), owner (of type string), and balance (of type decimal, a type often used to hold monetary data). In addition the class has three constructors and a number methods, which are not shown here. 1 2 3 4 5 6 7 8 9 10 11 12 13 14 15 16 17 18 19 20 21 22 23 using System; public class BankAccount { private double interestRate; private string owner; private decimal balance; public BankAccount(string owner) { this.interestRate = 0.0; this.owner = owner; this.balance = 0.0M; } public BankAccount(string owner, double interestRate) { this.interestRate = interestRate; this.owner = owner; this.balance = 0.0M; } public BankAccount(string owner, double interestRate, decimal balance) {
  • 83.
    77 24 25 26 27 28 29 30 31 this.interestRate = interestRate; this.owner= owner; this.balance = balance; } // Remaining methods are not shown here } Program 11.5 Instance variables in a sketch of the class BankAccount. In the BankAccountClient class in Program 11.6 we create three different BankAccount objects. The variables a1, a2, and a3 hold references to these objects. 1 2 3 4 5 6 7 8 9 10 11 12 13 14 15 16 17 18 19 using System; public class BankAccountClient { public static void Main(){ BankAccount a1 = new BankAccount("Kurt", 0.02), a2 = new BankAccount("Bent", 0.03), a3 = new BankAccount("Thomas", 0.02); a1.Deposit(100.0M); a2.Deposit(1000.0M); a2.AddInterests(); a3.Deposit(3000.0M); a3.AddInterests(); Console.WriteLine(a1); // 100 kr. Console.WriteLine(a2); // 1030 kr. Console.WriteLine(a3); // 3060 kr. } } Program 11.6 Creation of three bank accounts. Following the calls of the Deposit and AddInterests operations the three objects can be depicted as shown in Figure 11.4. Please make sure that understand states of the object (the values of the individual instance variables of each of the objects). The output of the program is shown in Figure 11.4. Listing 11.7 (only on web). Figure 11.4 Three objects of class BankAccount, each holding three instance variables interestRate, owner, and balance. The values of variables are determined by the bank account transactions that we programmed in the class BankAccountClient. The state of the variables is shown relative to the three WriteLine calls. Exercise 3.4. How private are private instance variables? The purpose of this exercise is to find out how private private instance variables are in C#.
  • 84.
    78 Given the BankAccountclass. Now modify this class such that each bank account has a backup account. For the backup account you will need a new (private) instance variable of type BankAccount. Modify the Withdraw method, such that if there is not enough money available in the current account, then withdraw the money from the backup account. As an experiment, access the balance of the backup account directly, in the following way: backupAccount.balance -= ... Is it possible to modify the private state of one BankAccount from another BankAccount? Discuss and explain your findings. Are you surprised? 11.9. Instance Methods Lecture 3 - slide 15 Instance methods are intended to work on (do computations on) the instance variables of an object in a class. An instance method M must always be activated on an instance (an object) of the class to which M belongs. Activating or calling an instance method is often thought of as message passing (see Section 2.1). The object, on which the method is activated, is called the receiver of the message. The callee (the object from which the message is sent) is - quite naturally - called the sender. An instance method is an operation in a class that can read and/or modify one or more instance variables. • An instance method M in a class C • must be activated on an object which is an instance of C • is activated by object.M(...) from outside C • is activated by this.M(...) or just M(...) inside C • can access all members of C Notice that an instance method can access all instance variables of a class, including the private ones. An instance method can also access class variables (see Section 11.10). The form object.M(...) must be used if a method M is activated on an object different from the current object. The short form M(...) can be used in case M is activated on the current object. It is, however, often more clear to write this.M(...) With this notation we are explicit about the receiver of the message; Also, with the notation this.M(...), we use dot notation consistently whenever we activate an instance method. The choice between M(...) and this.M(...) depends on the chosen coding style. For more details on this see Section 11.15. Conceptually you may imagine that each individual object has its own instance methods, in the same way as we in Section 11.8 argued that each individual object has its own instance variables. In reality, however, all instances of a given class can share the instance methods. Program 11.8 shows a version of the BankAccount class in which the instance methods are highlighted. The method LogTransaction relies on the enumeration type AccountTransaction defined just before the class itself.
  • 85.
    79 In the web-versionof the material we show a version of class BankAccount with a new instance method LogTransaction. This method is used as the starting point of Exercise 3.5. Exercise 3.5. The method LogTransaction in class BankAccount In the accompanying BankAccount class we have sketched and used a private method named LogTransaction. Implement this private method and test it with the BankAccount client class. Exercise 3.6. Course and Project classes In this exercise you are asked to program three simple classes which keep track of the grading of a sample student. The classes are called BooleanCourse, GradedCourse, and Project. A BooleanCourse encapsulates a course name and a registration of passed/not passed for our sample student. A GradedCourse encapsulates a course name and the grade of the student. For grading we use the Danish 7-step, numerical grades 12, 10, 7, 4, 2, 0 and -3. You are also welcome use the enumeration type ECTSGrade from an earlier exercise. The grade 2 is the lowest passing grade. In both BooleanCourse and GradedCourse you should write a method called Passed. The method is supposed to return whether our sample student passes the course. The class Project aggregates two boolean courses and two graded courses. You can assume that a project is passed if at least three out of the four courses are passed. Write a method Passed in class Project which implements this passing policy. Make a project with four courses, and try out your solution. In this exercise you are supposed to make a simple and rather primitive solution. We will come back to this exercise when we have learned about inheritance and collection classes. 11.10. Class Variables Lecture 3 - slide 16 A class variable in a class C is shared between all instances (objects) of C. In addition, a class can be used even in the case where there does not exist any instance of C at all. Some classes are not intended to be instantiated. Such classes act as modules, cf. our discussion of modules in Section 2.3. A class variable belongs to the class, and it is shared among all instances of the class. • Class variables • are declared by use of the static modifier in C# • may be used as global variables - associated with a given class • do typically hold meta information about the class, such as the number of instances
  • 86.
    80 In Program 11.10we show a new version of the BankAccount class, in which there is a private, static variable nextAccountNumber of type long. When we make a BankAccount object, we give it a unique account number. The output, which is shown in Listing 11.12, is produced by a client similar to Program 11.6. The program output reveals the effect of the static variable nextAccountNumber. 1 2 3 4 5 6 7 8 9 10 11 12 13 14 15 16 17 18 19 20 21 22 23 24 25 26 27 28 29 30 31 32 33 34 using System; public class BankAccount { private double interestRate; private string owner; private decimal balance; private long accountNumber; private static long nextAccountNumber = 0; public BankAccount(string owner) { nextAccountNumber++; this.accountNumber = nextAccountNumber; this.interestRate = 0.0; this.owner = owner; this.balance = 0.0M; } public BankAccount(string owner, double interestRate) { nextAccountNumber++; this.accountNumber = nextAccountNumber; this.interestRate = interestRate; this.owner = owner; this.balance = 0.0M; } // Some methods not shown in this version public override string ToString() { return owner + "'s account, no. " + accountNumber + " holds " + + balance + " kroner"; } } Program 11.10 The sketch of class BankAccount with a class variable. 1 2 3 Kurt's account, no. 1 holds 100 kroner Bent's account, no. 2 holds 1030 kroner Thomas's account, no. 3 holds 3060 kroner Listing 11.12 Output of the BankAccount client program. Exercise 3.7. Sharing the Random Generator In the Die class shown in the start of this lecture, each Die object creates its own Random object. (If you access this exercise from the web edition there are direct links to the relevant versions of class Die and class Random). We observed that tosses of two or more instances of class Die will be identical. Explain the reason of this behavior. Modify the Die class such that all of them share a single Random object. Consider different ways to implement this sharing. Rerun the Die program and find out if "the parallel tossing pattern" observed
  • 87.
    81 above has beenalleviated. 11.11. Class Methods Lecture 3 - slide 17 Class methods are not connected to any instance of a class. Thus, class methods can be activated without providing any instance of the class. A class method M in a class C is activated by C.M(...). The tree dots stand for possible actual parameters. The static method Main plays a particular role in a C# program, because the program execution starts in Main. (Notice that Main starts with a capital M). It is crucial that Main is static, because there are objects around at the time Main is called. Thus, it is not possible to activate any instance method at that point in time! We have seen Main used many times already. There can be a Main method in more than one class. Main is either parameter less, or it may take an array of strings (of type String[]). A class method is associated with the class itself, as opposed to an object of the class • A class method M in a class C • is declared by use of the static modifier in C# • can only access static members of the class • must be activated on the class as such • is activated as C.M(...) from outside C • can also be activated as M(...) from inside C In order to illustrate the use of static methods in C# we extend Program 11.10 with a couple of static methods, see line 32-41 of Program 11.13. The static method GetAccount is the most interesting one. It searches the static accounts variable (of type ArrayList) for an account with a given number. It returns the located bank account if it is found. If not, it returns null. Notice the way the GetAccount method is used in Program 11.14. 1 2 3 4 5 6 7 8 9 10 11 12 13 14 15 16 17 18 19 20 21 22 using System; using System.Collections; public class BankAccount { private double interestRate; private string owner; private decimal balance; private long accountNumber; private static long nextAccountNumber = 0; private static ArrayList accounts = new ArrayList(); public BankAccount(string owner) { nextAccountNumber++; accounts.Add(this); this.accountNumber = nextAccountNumber; this.interestRate = 0.0; this.owner = owner; this.balance = 0.0M; }
  • 88.
    82 23 24 25 26 27 28 29 30 31 32 33 34 35 36 37 38 39 40 41 42 43 44 45 public BankAccount(string owner,double interestRate) { nextAccountNumber++; accounts.Add(this); this.accountNumber = nextAccountNumber; this.interestRate = interestRate; this.owner = owner; this.balance = 0.0M; } public static long NumberOfAccounts (){ return nextAccountNumber; } public static BankAccount GetAccount (long accountNumber){ foreach(BankAccount ba in accounts) if (ba.accountNumber == accountNumber) return ba; return null; } // Some BankAccount methods are not shown in this version } Program 11.13 A sketch of a BankAccount class with static methods. 1 2 3 4 5 6 7 8 9 10 11 12 13 14 15 16 17 18 19 20 21 using System; public class BankAccountClient { public static void Main(){ BankAccount a1 = new BankAccount("Kurt", 0.02), a2 = new BankAccount("Bent", 0.03), a3 = new BankAccount("Thomas", 0.02); a1.Deposit(100.0M); a2.Deposit(1000.0M); a2.AddInterests(); a3.Deposit(3000.0M); a3.AddInterests(); BankAccount a = BankAccount.GetAccount(2); if (a != null) Console.WriteLine(a); else Console.WriteLine("Cannot find account 2"); } } Program 11.14 A client BankAccount. When we run Program 11.14 we get the output shown in Listing 11.15 (only on web). In Program 11.16 we show an example of a typical error. I bet that you will experience this error many times yourself. Can you see the problem? If not, read the text below Program 11.16. 1 2 3 4 5 6 7 8 using System; public class BankAccountClient { BankAccount a1 = new BankAccount("Kurt", 0.02), // Error: a2 = new BankAccount("Bent", 0.03), // An object reference is a3 = new BankAccount("Thomas", 0.02); // required for the
  • 89.
    83 9 10 11 12 13 14 15 16 17 18 19 20 21 // nonstatic field publicstatic void Main(){ a1.deposit(100.0); a2.deposit(1000.0); a2.addInterests(); a3.deposit(3000.0); a3.addInterests(); Console.WriteLine(a1); Console.WriteLine(a2); Console.WriteLine(a3); } } Program 11.16 A typical problem: A class method that accesses instance variables. The variables a1, a2, and a3 in Program 11.16 are instance variable of class BankAccountClient. Thus, these variables are used to hold the state of objects of type BankAccountClient. The problem is that there does not exist any object of type BankAccountClient. We only have the class BankAccountClient. Therefore we need to declare a1, a2, and a3 as static. Alternatively, we can rearrange the program such that a1, a2, and a3 become local variables of the Main method. As yet another alternative, we can instantiate the class BankAccountClient, and move the body of Main to an instance method. The latter alternative is illustrated in Program 11.17. 11.12. Static Classes and Partial Classes in C# Lecture 3 - slide 18 A static class C can only have static members A partial class is defined in two or more source files • Static class • Serves as a module rather than a class • Prevents instantiation, subclassing, instance members, and use as a type. • Examples: System.Math, System.IO.File, and System.IO.Directory • Partial class • Usage: To combine manually authored and automatically generated class parts. It is possible to use the modifier 'static' on a class. A class marked as static can only have static members, and it cannot be instantiated. A static class is similar to a sealed class (see Section 30.4) which we do not (or cannot) instantiate. However, a static class is more restrictive, because it also disallows instance members, and it cannot be used as a type in field declarations and in method parameter lists. There are some pre-existing C# classes that exclusively contain static methods. The class System.Math is such a class. It contains mathematical constants such as e and pi. It also contains commonly used mathematical functions such as Abs, Cos, Sin, Log, and Exp. It would be strange (and therefore illegal) to attempt an instantiation of such a class. The static classes File and Directory in the namespace System.IO are discussed in Chapter 38.
  • 90.
    84 A partial class,marked with the partial modifier, can be used if it is practical to aggregate a class from more than one source file. This is, in particular, handy when a class is built from automatically generated parts and manually authored parts (such as a GUI class). Use of partial classes may also turn out to be handy when a group of programmers participate in the programming of a single, large class. 11.13. Constant and readonly variables Lecture 3 - slide 19 The variables we have seen until now can be assigned to new values at any time during the program execution. In this section we will study variable with no or limited assignment possibilities. Of obvious reasons, it is confusing to call these "variables". Therefore we use the term "constant" instead. C# supports two different kinds of constants. Some constants, denoted with the const modifier, are bound at compile time. Others, denoted with the readonly modifier, are bound at object creation time. Constants and readonly variables cannot be changed during program execution • Constants declared with use of the const keyword • Computed at compile-time • Must be initialized by an initializer • The initializer is evaluated at compile time • No memory is allocated to constants • Must be of a simple type, a string, or a reference type • Readonly variables declared with use of the readonly modifier • Computed at object-creation time • Must either be initialized by an initializer or in a constructor • Cannot be modified in other parts of the program It can be noticed that compile-time bound constants can only be of simple types, string, or a reference type. In addition, for non-string reference types, the only possible value is null. Program 11.17 demonstrate some legal uses of constant and readonly variables. The elements emphasized with green are all legal and noteworthy. Notice first that we in Main instantiates the ConstDemo class, such that we can work on instance variables, as opposed to (static) class variables. In line 4 we bind the constant ca to 5.0 and the constant cb to 6.0. This is done by the compiler, before the program starts executing. Notice that the compiler can carry out simple computations, as in line 5. In line 7 and 8 we bind the readonly variables roa and rob to 7.0 and to the value of the expression Log(e). It is possible to assign to roa and rob in the constructor, but after the execution of the constructor roa and rob are non-assignable. In line 11 we assign roba to a new BankAccount. Notice that it - in addition - is legal to assign to read-only variables in constructors (line 14 and 15). This is - on the other hand - the last possible, legal assignments to roa and roba. In line 24 we see that we can mutate a bank account despite that the account is referred by a readonly variable. We modify the object, not the variable that references the object. 1 2 3 4 using System; class ConstDemo { const double ca = 5.0,
  • 91.
    85 5 6 7 8 9 10 11 12 13 14 15 16 17 18 19 20 21 22 23 24 25 26 cb = ca+ 1; private readonly double roa = 7.0, rob = Math.Log(Math.E); private readonly BankAccount roba = new BankAccount("Anders"); public ConstDemo(){ // CONSTRUCTOR roa = 8.0; roba = new BankAccount("Tim"); } public static void Main(){ ConstDemo self = new ConstDemo(); self.Go(); } public void Go(){ roba.Deposit(100.0M); } } Program 11.17 Legal use of constants and readonly variables. Program 11.18 domonstrates a number of illegal uses of constants and readonly variables. The elements emphasized with red are all illegal. The compiler catches all of them. In line 12 and 21 we attempt an assignment to the (compile-time) constant ca. This is illegal - even in a constructor. In line 22 and 23 we see that it is illegal to assign to readonly variables, such as roa and roba, once they have been initialized. 1 2 3 4 5 6 7 8 9 10 11 12 13 14 15 16 17 18 19 20 21 22 23 24 25 using System; class ConstDemo { const double ca = 5.0; private readonly double roa = 7.0; private readonly BankAccount roba = new BankAccount("Anders"); public ConstDemo(){ // CONSTRUCTOR ca = 6.0; } public static void Main(){ ConstDemo self = new ConstDemo(); self.Go(); } public void Go(){ ca = 6.0; roa = 8.0; roba = new BankAccount("Peter"); } } Program 11.18 Illegal use of constant and readonly variables.
  • 92.
    86 11.14. Objects andClasses Lecture 3 - slide 20 At an overall level (as for instance in OOA and OOD) objects are often characterized in terms of identity, state, and behavior. Let us briefly address each of these, and relate them to programming concepts. An object has an identity which makes it different and distinct from any other object. Two objects which are created by two activations of the new operator never share identity (they are not identical). In the practical world, the identity of an object is associated to its location in the memory: its address. Two objects are identical if their addresses are the same. But be careful here. The address of an object is not necessarily fixed and constant through the life time of the object. The object may be moved around in the memory of the computer, without losing its identify. The state of the object corresponds to the data, as prescribed by the class to which the object belongs. As such, the state pertains to the instance variables of the class, see Section 11.8. The behavior of the object is prescribed by the operations of the class, to which the object belongs. We have already discussed instance methods in Section 11.9. In Chapter 18 through Chapter 23 we will discuss operations, and hereby object behavior, in great details. We practice object-oriented programming, but we write classes in our programs. This may be a little confusing. Shouldn't we rather talk about class-oriented programming? When we write an object-oriented program, we are able to program all (forthcoming) objects of a given type/class together. This is done by writing the class. Thus, we write the classes in our source programs, but we often imagine a (forthcoming) situation where the class "is an object" which interacts with a number of other objects - of the same type or of different types. At run time, the class that we wrote, prescribes the behavior of all the objects which are instances of the class. In our source program we deal with classes. The classes exist for a long time - typically years. In the running program we have objects. The objects exist while the program is running. A typical program runs a few seconds, minutes, or perhaps hours. Often, we want to preserve our objects in between program executions. This turns out to be a challenge! We discuss how to preserve objects with use of serialization in Section 39.1. All objects cease to exist when the program execution terminates. This is in conflict with the behavior of corresponding real-life phenomena, and it causes a lot of problems and challenges in many programs There are no objects in the source programs! Only classes. You may ask if there are classes in the running program. It makes sense to represent the classes in the running program, such that we can access the classes as data. Most object-oriented systems today represent the classes as particular objects called metaobjects. This is connected to an area in computer science called reflection. Classes are written and described in source programs Objects are created and exist while programs are running
  • 93.
    87 11.15. The currentobject - this Lecture 3 - slide 21 We have earlier discussed the role of the current object, see Section 10.3. The current object in a C# program execution is denoted by the variable this this is used for several different purposes in C#: • Reference to shadowed instance variables • Activation of another constructor • Definition of indexers • In definition of extension methods This use of this for access of shadowed instance variables has been used in many of the classes we have seen until now. For an example see line 10 of Program 11.2. Use of this for activation of another constructor is, for instance, illustrated in line 10 and 14 of Program 12.4. Use of this in relation to definition of indexers is discussed in Section 19.1, illustrated for instance in line 10 of Program 19.1. 11.16. Visibility Issues Lecture 3 - slide 22 In this section we will clarify some issues that are related to visibility. We will, in particular, study a type of error which is difficult to deal with. Let us first summarize some facts about visibility of types and members: • Types in namespaces • Either public or internal • Default visibility: internal • Members in classes • Either private, public, internal, protected or internal protected • Default visibility: private • Visibility inconsistencies • A type T can be less accessible than a method that returns a value of type T Below we will rather carefully explain the mentioned inconsistency problem.
  • 94.
    88 In Program 11.19we have shown an internal class C in a namespace N. As given in Program 11.19 C is only supposed to be used inside the namespace N. In reality we have forgotten to state that C is public in N. I every now and then forget the modifier "public" in front of "class C" (line 3). I guess that you will run into this problem too - sooner og later. Based on the internal class C in the namespace N we will now describe a scenario that leads to an error that can be difficult to understand. The class D is also located in N, and therefore D can use C. Class D is public in N. (If D had been located in another namespace, it would not have access to class C). A method M in class D makes and returns a C-object. We cannot compile the program just described. We get an "inconsistent accessibility error". The compiler tells you that the return type of method M (which is C) is less accessible than the method M itself. In other words, M returns an object of a type, which cannot be accessed. The cure is to make the class C public in its namespace. Thus, just add a public modifier in front of "class C" in line 3 of Program 11.19. 1 2 3 4 5 6 7 8 9 10 11 12 13 14 15 16 17 18 namespace N{ class C { } public class D{ public C M(){ // Compiler-time error message: return new C(); // Inconsistent accessibility: // return type 'N.C' is less // accessible than method 'N.D.M()' } } } Program 11.19 An illustration of the 'Inconsistent Accessibility' problem. Please notice this kind of compiler error, and the way to proceed when you get it. I have witnessed a prospective student programmer who used several days to figure out what the compiler meant with the "inconsistent accessibility error". Now you are warned! 11.17. References [Goldberg83] Adele Goldberg and David Robson, Smalltalk-80 The Language and its Implementation. Addison-Wesley Publishing Company, 1983. [Meyer88] Bertrand Meyer, Object-oriented software construction. Prentice Hall, 1988. [Tennent81] Tennent, R.D., Principles of Programming Languages. Prentice Hall, 1981.
  • 95.
    89 12. Creating andDeleting Objects In this chapter we will explore the creation of object from classes, and how to get rid of the objects once they are not longer needed. Creation of objects - instantiation of classes - is tightly connected with initialization of new objects. Object initialization is therefore also an important theme in this chapter. 12.1. Creating and Deleting Objects Lecture 3 - slide 24 Our goal in this section is to obtain an overall understanding of object creation and deletion, in particular in relation to the dimension of explicit/implicit creation and deletion. If you dislike such overall discussion, please proceed to Section 12.2. We identify the following approaches to creation and deletion of objects: • Creating Objects • By instantiating classes • Implicitly: via variable declarations • Explicitly: on demand, by command • By copying existing object - cloning • Deleting Objects • Explicitly: on demand, by command • Implicitly: deleted when not used any longer - via use of garbage collection The most important way to create objects is to instantiate a class. Instantiation takes place when we use the class as a template for creating a new object. We may have an explicit way to express this (such as the operator new), or it may be implicitly done via declaration of a variable of the type of the class. Relative to this understanding, C# uses explicit creation of objects from classes, and implicit creation of objects (values) from structs. Instantiation is the process of allocating memory to a new object of some class Instantiation comes in two flavors: • Static instantiation: • The object is automatically created (and destroyed) when the surrounding object or block is created. • Dynamic instantiation: • The object is created on demand, by calling a particular operator (new). Static instantiation is implicit. The object is automatically created (and destroyed) when the surrounding object or block is created. Dynamic instantiation is explicit. The object is created on demand, by executing a command. In C# and similar language we call the new operator for the purpose of dynamic class instantiation. We should also be aware of the possibility of object copying. If we already have a nice object, say obj, we can create a new object (of the same type as obj) by copying obj. Some object-oriented programming
  • 96.
    90 languages (most notablySelf) use this as the only way of creating objects. The original objects in Self are called prototypes, and they are created directly by the programmer (instead of classes). Older object-oriented programming languages, such as C++, use explicit deleting of objects. Most newer object-oriented programming languages use implicit object deleting, by means of garbage collection. The use of garbage collection turns out to be a major quality of an object-oriented programming language. C# relies on garbage collection. Modern object-oriented languages support explicit object creation and implicit object deletion (by means of garbage collection) 12.2. Instantiation of classes in C# Lecture 3 - slide 26 We illustrate instantiation of classes in C# using a client of a Point class, such as Program 11.2, or even better a similar class with non-public instance variables. The accompanying slide shows such a class. Classes must be instantiated dynamically with use of the new operator The new operator returns a reference to the new object The class Application in Program 12.1 uses class Point. Recall that class Application is said to be a client of class Point. We have three Point variables p0, p1, and p2. The two latter variables are local variables in Main. p0 is static, because it is used from a static method. We see a single instantiation of class Point at the purple place. p0 is automatically initialized to null and p1 is uninitialized before the assignments p0 = p1 = p2. After the assignments all three variables refer to the same Point object , and therefore you should be able to understand the program output shown in Listing 12.2. Notice the Move message in line 12 and the implementation of Move in line 13-15 of Program 11.2. 1 2 3 4 5 6 7 8 9 10 11 12 13 14 15 16 using System; public class Application{ private static Point p0; // Initialized to null public static void Main(){ Point p1, // NOT initialized p2 = new Point(1.1, 2.2); p0 = p1 = p2; p2.Move(3.3, 0); Console.WriteLine("{0} {1} {2}", p0, p1, p2); } } Program 12.1 Use of the class Point in a client class called Application.
  • 97.
    91 Move in line12 moves the object referred by the three variables p0, p1, and p2. If you have problems with this, you are encouraged to review this example when you have read Section 13.2. 1 Point: (4,4, 2,2). Point: (4,4, 2,2). Point: (4,4, 2,2). Listing 12.2 Output from the Point client program. 12.3. Initialization of objects Lecture 3 - slide 27 Initialization should always follow class instantiation. Initialization is the process of ascribing initial values to the instance variables of an object There are several ways to do initialization. We recommend that you are explicit about initialization in your programs. With use of explicit initialization you signal that you have actually thought about the initialization. If you rely on default values, it may equally well be the case that you have not considered the initialization at all! Initialization of an object of type T can be done • Via use of default values of T • zero for numeric types, false for bool, 'x0000' for char, and null for reference types • Via use of an initializer • Via special methods called constructors In C# you can denote the default value of a type T by use of the expression default(T). For a reference type RT, default(RT) is is null. For a value type VT, default(VT) is the default value of VT. The default value of numeric types is zero, the default value of bool is false, the default char value is the null character, and the default value of reference types is null. The default value of a struct type is aggregated by the default values of the fields of the struct. In Program 12.1 we have seen that local variables are not initialized to the default value of their types. Instance variables (fields) in classes are, however. This is confusing, and it may easily lead to errors if you forget the exact rules of the language. An initializer is, for instance, the expression following '=' in a declaration such as int i = 5 + j; It is not recommended to initialize instance variables via initializers. Initializers are static code, and from static code you cannot refer to the current object, and you cannot refer to other instance variables. You should write one or more constructors of every class, and you should explicitly initialize all instance variables in your constructors. By following this rule you do not have to care about default values.
  • 98.
    92 It is veryimportant that a newly born object is initialized to a healthy citizen in the population of objects Explicit initialization is always preferred over implicit initialization Always initialize instance variables in constructors 12.4. Constructors in C# Lecture 3 - slide 28 As recommended in Section 12.3, initialization of instance variables takes place in constructors. A constructor is a special method which is called automatically in order to initialize a new instance of a class • Constructors in C# • Have the same name as the surrounding class • Do not specify any return value type • Are often overloaded - several different constructors can appear in a class • May - in a special way - delegate the initialization job to another constructor • In case no constructors are defined, there is a parameterless default constructor • As its only action, it calls the parameterless constructor in the superclass • In case a constructor is defined there will be no parameterless default constructor There is no 'constructor' keyword in C#. By the way, there is no 'method' keyword either. So how do we recognize constructors? The answer is given in first two bullet points above: A constructor has the same name as the surrounding class, and it specifies no return type. Overloading takes place if we have two constructors (or methods) of the same name. Overloaded constructors are distinguished by different types of parameters. In Program 11.5 there are three overloaded constructors. Overload resolution takes place at compile time. It means that a constructor used in new C(...) is determined and bound at compile time - not at run time. The special delegation mentioned in bullet point four is illustrated by the difference between Program 12.3 and Program 12.4. In the latter, the two first constructors activate the third constructor. The third constructor in Program 12.4 is the most general one, because it can handle the jobs of the two first mentioned constructors as special cases. Notice the this(...) syntax in between the constructor head and body. As already stressed, I recommend that you always supply at least one constructor in the classes you program. In that case, there will be no parameterless default constructor available to you. You can always, however, program a parameterless constructor yourself. The philosophy is that if you have started to program constructors in your class, you should finish the job. It is not sound to mix your own, "custom" constructors (which are based on a deep knowledge about the class) with the system's default initialization (based on very little knowledge of the class). In Program 11.5 we have seen a BankAccount class with three constructors. In Program 12.4 we show another version of the BankAccount class, also with three constructors. In both versions of the class, the three
  • 99.
    93 constructors reflect differentways to initialize a new bank account. They provide convenience to clients of the BankAccount class. Program 12.4 is better than Program 11.5 because there is less overlap between the constructors. Thus, Program 12.4 is easier to maintain than Program 11.5. (Just count the lines and compare). Make sure to program your constructors like in Program 12.4. 1 2 3 4 5 6 7 8 9 10 11 12 13 14 15 16 17 18 19 20 21 22 23 24 25 using System; public class BankAccount { private double interestRate; private string owner; private decimal balance; public BankAccount(string owner): this(owner, 0.0, 0.0M) { } public BankAccount(string owner, double interestRate): this(owner, interestRate, 0.0M) { } public BankAccount(string owner, double interestRate, decimal balance) { this.interestRate = interestRate; this.owner = owner; this.balance = balance; } // BankAccount methods here } Program 12.4 Improved constructors in class BankAccount. We also show and emphasize the constructors in the Die class, which we meet in Program 10.1 of Section 10.1. Below, in Program 12.5, the first Die constructor call the second one, hereby making a six eyed die. Notice that the second Die constructor creates a new Random object. It is typical that a constructor in a class instantiates a number of other classes, which again may instantiate other classes, etc. 1 2 3 4 5 6 7 8 9 10 11 12 13 14 15 16 17 18 19 using System; public class Die { private int numberOfEyes; private Random randomNumberSupplier; private readonly int maxNumberOfEyes; public Die (): this(6){} public Die (int maxNumberOfEyes){ randomNumberSupplier = new Random(unchecked((int)DateTime.Now.Ticks)); this.maxNumberOfEyes = maxNumberOfEyes; numberOfEyes = NewTossHowManyEyes(); } // Die methods here } Program 12.5 Constructors in the class Die.
  • 100.
    94 12.5. Copy constructors Lecture3 - slide 29 Copy constructors can be used for making copies of existing objects. A copy constructor can be recognized by the fact that it takes a parameter of the same type as the class to which it belongs. Object copying is an intricate matter, because we will have to decide if the referred object should be copied too (shallow copying, deep copying, or something in between, see more details in Section 13.4 and Section 32.6). It is sometimes useful to have a constructor that creates an identical copy of an existing object In Program 12.6 we show the Die class with an emphasized copy constructor. Notice that the Random object is shared between the original Die and the copy of the Die. This is shallow copying. 1 2 3 4 5 6 7 8 9 10 11 12 13 14 15 16 17 18 19 20 21 22 23 24 using System; public class Die { private int numberOfEyes; private Random randomNumberSupplier; private readonly int maxNumberOfEyes; public Die (Die d){ numberOfEyes = d.numberOfEyes; randomNumberSupplier = d.randomNumberSupplier; maxNumberOfEyes = d.maxNumberOfEyes; } public Die (): this(6){} public Die (int maxNumberOfEyes){ randomNumberSupplier = new Random(unchecked((int)DateTime.Now.Ticks)); this.maxNumberOfEyes = maxNumberOfEyes; numberOfEyes = randomNumberSupplier.Next(1,maxNumberOfEyes + 1); } // Die methods here } Program 12.6 The class Die with a copy constructor. The use of copy constructors is particularly useful when we deal with mutable objects Objects are mutable if their state can be changed after the constructor has been called. It is often necessary to copy a mutable object. Why? Because of aliasing, an object may be referred from several different places. If the object is mutable, all these places will observe a change, and this is not always what we want. Therefore, we can protect against this by copying certain objects. The observation from above is illustrated by means of an example - privacy leak - in Section 16.5.
  • 101.
    95 12.6. Initialization ofclass variables Lecture 3 - slide 30 It is too late - and not natural - to initialize class variables in ordinary constructors Constructors initialize new instances of classes. Class instances are objects. Class variables (static fields) do not belong to any object. They belong to the class as such, but they can be used from instances of the class as well. Class variables can be useful even in the case where no instances of the class will ever be made. Therefore we will need other means than constructors to initialize class variables in C#. Initialization of a class variable of type T takes place at class load time • Via the default value of type T • Via the static field initializers • Via a static constructor Initialization of class variable (static fields) v of type T takes place implicitly. The variable v is, at load time, bound the distinguished default value of type T. A static initializer is the expression at the right-hand side of "=" in a static field declaration. In Program 12.7 we have emphasized four examples of static initializers from line 13 to 16. The static initializers are executed in the order of appearance at class load time. In Program 12.7 we show a simple playing card class called Card in which we organize all spade cards, all heart cards, all club cards, and all diamond cards in static arrays. The arrays are created in static initializers from line 13 to 16. It is convenient to initialize the elements of the arrays in a for loops. The right place of these for loops is in a static constructor. We show a static constructor in line 18-25 of Program 12.7. Notice in line 19 of Program 12.7 how we get access to all enumeration values in a given enumeration type ET by the expression Enum.GetValues(typeof(ET)). 1 2 3 4 5 6 7 8 9 10 11 12 13 14 15 16 17 18 19 20 21 22 using System; public class Card{ public enum CardSuite { Spade, Heart, Club, Diamond}; public enum CardValue { Ace = 1, Two = 2, Three = 3, Four = 4, Five = 5, Six = 6, Seven = 7, Eight = 8, Nine = 9, Ten = 10, Jack = 11, Queen = 12, King = 13, }; private CardSuite suite; private CardValue value; public static Card[] allSpades = new Card[14]; public static Card[] allHearts = new Card[14]; public static Card[] allClubs = new Card[14]; public static Card[] allDiamonds = new Card[14]; static Card(){ foreach(CardValue cv in Enum.GetValues(typeof(CardValue))){ allSpades[(int)cv] = new Card(CardSuite.Spade, cv); allHearts[(int)cv] = new Card(CardSuite.Heart, cv); allClubs[(int)cv] = new Card(CardSuite.Club, cv);
  • 102.
    96 23 24 25 26 27 28 29 30 31 32 33 34 35 36 37 38 39 40 41 42 43 allDiamonds[(int)cv] = newCard(CardSuite.Diamond, cv); } } public Card(CardSuite suite, CardValue value){ this.suite = suite; this.value = value; } public CardSuite Suite{ get { return this.suite; } } public CardValue Value{ get { return this.value; } } public override String ToString(){ return String.Format("Suite:{0}, Value:{1}", suite, value); } } Program 12.7 The class PlayingCard with a static constructor. We also show how the static arrays can be used, see Program 12.8 and the output of the program, see Listing 12.9 (only on web). 1 2 3 4 5 6 7 8 9 10 using System; class Client{ public static void Main(){ foreach (Card c in Card.allSpades) Console.WriteLine(c); } } Program 12.8 A client of class PlayingCard. We recommend explicit initialization of all variables in a class, including static variables. It is recommended to initialize all instance variables in (instance) constructors. Most static variables can and should be initialized via use of initializers, directly associated with their declaration. In some special cases it is convenient to do a systematic initialization of class variables, for instance in a for loop. This can be done in a static initializer.
  • 103.
    97 13. Reference Types Objectsare accessed via references. When we create an object - by class instantiation - we obtain a reference to the new object. If we send a message to the object it is done via the reference. If the object is passed as parameter it is done via the reference. And when the object is returned from a method it is the reference to the object which is returned. We sometimes use the word reference semantics for all of this. Reference semantics should be seen as a contrast to value semantics. Value semantics is discussed in Chapter 14. 13.1. Reference Types Lecture 4 - slide 2 A class is a reference type Objects instantiated from classes are accessed by references The objects are allocated on the heap Instances of classes are dealt with by use of so-called reference semantics Although we state that references (in C# and similar languages) correspond to pointers in C, we should be a little careful to equivalize these. In the ordinary (safe part) of C# there is no such thing as reference arithmetic, along the lines of pointer arithmetic in C. There is no address operator, and there is no dereferencing. (In an unsafe part of C# it is possible to work with pointers like in C, but we will not care about this part of the C#). References are automatically dereferenced, when it is appropriate to do so. If r is a reference, the expression r.p is used to access the property p in the object referenced by r. But the expressions *r and r->p are both illegal. • Reference semantics: • Assignment, parameter passing, and return manipulates references to objects • The heap: • The memory area where instances of classes are allocated • Allocation takes place when a class is instantiated • Deallocation takes place when the object no longer affects the program • In practice, when there are no references left to the object • By a separate thread of control called the garbage collector 13.2. Illustration of variables of reference types Lecture 4 - slide 3 Let us now illustrate how assignments work on references. The situation shown in Figure 13.1 depicts the variables p1 and p2 just before we execute the assignment p1 = p2. The situation in the figure is established by line 1 and 2 of Program 13.1. Notice that the variables each contain a reference to a Point object. The variables do not contain the object themselves, but instead references to the points.
  • 104.
    98 Figure 13.1 Variablesof reference types. The situation before the assignment p1 = p2. 1 2 3 4 Point p1 = new Point(1.0, 2.0), p2 = new Point(3.0, 4.0); p1 = p2; Program 13.1 The variables p1 and p2 refer to two points. Following the assignment p1 = p2 in line 3 of Program 13.1 both p1 and p2 reference the same Point object. Thus, the situation is as depicted in Figure 13.2. The Point (1.0, 2.0) is now inaccessible (unless referenced from other variables) and the point will disappear automatically upon the next turn of the garbage collector. Figure 13.2 Variables of reference types. The situation after the assignment p1 = p2. With the knowledge from this section you are encouraged to review the discussion of Program 12.1 in Section 12.2. 13.3. Overview of reference types in C# Lecture 4 - slide 4 Classes are reference types in C#, but there are others as well It is reasonable to ask which types in C# act as reference types, and which do not. Below we list the reference types in C#:
  • 105.
    99 • Classes • Strings •Arrays • Interfaces • Similar to classes. Contain no data. Have only signatures of methods • Delegates • Delegate objects can contain one or more methods • Used when we deal with methods as data We encounter interfaces in Chapter 31. Interface types contain references, and variables of interface types behave in the same way as in the example shown in Section 13.2. A delegate is a new type, the values of which are accessed as references. We introduce delegates in Chapter 22. Both strings and arrays are well-known, and we are used to accessing these via pointers in C. In C# - as well - arrays and strings are accessed via references. 13.4. Comparing and copying objects via references Lecture 4 - slide 5 There are several questions that can be asked about comparing and copying objects that are accessed by references. We list some below, and we will attempt to answer the questions in the remaining parts of this section. Do we compare references or the referenced objects? Do we copy the reference or the referenced object? How deep do we copy objects that reference other objects? Let us assume, like in Program 13.1, that p1 and p2 are references to Points, where the type Point is defined by a class. Then the expression p1 == p2 returns if p1 and p2 reference the same point. That p1 and p2 reference the same point means that the two involved objects are created by the same activation of new(...). In many context, we say that p1 and p2 are identical. (Identical objects and object identity is discussed in Section 11.14). Relative to Figure 13.1 the value of p1 == p2 is false. Relative to Figure 13.2 the value of p1 == p2 is true. The expression p1 == p2 compares the locations (addresses) to which p1 and p2 refer. The expression does not compare the instance variables of the points referred to by p1 and p2. In the same way, the assignment p1 = p2 manipulates only the references. We have already seen that in Section 13.2. The assignment p1 = p2 does not, in any way, copy the object referenced by p2. Above, we have explained reference comparison and assignment. It makes sense to have shallow and deep variations of these. This can be summarized as follows:
  • 106.
    100 • Comparing • Referencecomparison • Compares if two references refers to objects created by the same execution of new • Shallow and deep comparison • Pair-wise comparison of fields - at varying levels • Copying: • Reference copying • Shallow or deep copying • Is also known as cloning • Somehow supported by the method MemberwiseClone in System.Object Even in the case where p1 == p2 is false (i.e., p1 and p2 are not identical) it makes sense to claim that p1 and p2 are equal in some sense. It may, for instance, be the case that all instance variables are pair-wise equal. But what does it mean for the instance variables to be pair-wise equal? In case the instance variables are references we are back to the original question, and we can therefore apply recursion in our reasoning about equality. We talk about shallow equality if we apply (fall back to) reference equality at the second level. If we do not apply reference equality at any level we talk about deep equality. If p1 and p2 are deep equal the graph structures they reference are structural identical (isomorphic). If p1 and p2 are reference equal they are also shallow equal. And if p1 and p2 are shallow equal they are also deep equal. The inverse propositions are not necessarily true, of course. If you got the idea of the different kinds of comparison, you can immediately use this insight for copying as well. Let us describe this very briefly. The assignment p1 = p2 just copies one reference. We may ask for a shallow copy of p2 by copying value fields and by assigning corresponding reference fields to each other. And we may ask for a deep copy by not using reference copying at any level. (This is not exactly true if there is more than one reference to a given object - please consider!) In case you need shallow or deep copying you should program such operations yourself. In general, various kinds of copying depend deeply on the type of the object. C# supports a shallow clone operation, but you must explicitly 'enable it'. How this is done is discussed in Section 32.7. An assignment of the form var = obj1 copies a reference A comparison of the form obj1 == obj2 compares references (unless overloaded) 13.5. Equality in C# Lecture 4 - slide 6 In this section we review the different equality operations in C#. All methods mentioned in this section belong the class Object, see Section 28.3. We only care about reference types in this section, because the enclosing chapter is about reference types. Equality among 'objects' that belong to value types is an different story.
  • 107.
    101 • o1.Equals(o2) -equality • By default, true if o1 and o2 are created by execution of the same new • Can be redefined in a particular class • Object.ReferenceEquals(o1, o2) - identity • True if both o1 and o2 are null, or if they are created by execution of the same new • Static - cannot be redefined. • Object.Equals(o1, o2) • True if Object.ReferenceEquals(o1, o2), or if o1.Equals(o2) • o1 == o2 • True if both o1 and o2 are null, or if they are created by execution of the same new • An overloadable operator Notice that in case we need a type-dependent comparison we redefine the Equals (in the first item above). Equals is typically redefined if we wish to implement a value-like comparison of two objects, as opposed to the default reference comparison. (In a value-like comparison we compare pairs of fields from the two objects). It is not easy to redefine Equals correctly. We discuss how it should be done in Section 28.16. ReferenceEquals is a static method. It must therefore be activated by the form Object.ReferenceEquals(o1, o2). If you, for some reason, redefine the == operator as well as the Equals instance method - both of which per default are reference equality operations - the static ReferenceEquals comes in handy if you need to compare references to objects. Alternatively, you will have to cast one of operands to type Object before you use ==. The static Equals method is primarily justified because it allows one or both of the parameters o1 or o2 to be null. In the non-static Equals methods, it will cause an exception if o1 is null. Notice that redefinition of the Equals instance method affects the static Equals method. In C# it is allowed to overload the == operator. Typically, == is overloaded to obtain some kind of shallow comparison, see Section 13.4. If the == operator is overloaded you should also redefine the Equals method, such that o1 == o2 and o1.Equals(o2) have the same value (whenever o1 is not null). It is worth pointing out that the meaning of o1 == o2 is resolved staticially, because operator overloading (see Chapter 21) is a static issue in C#. In contrast, o1.Equals(o2) is resolved dynamically, because the instance method Equals is a virtual method (see Section 28.14) in class Object. This affects both flexibility (where Equals is the winner) and efficiency (where == is the winner). Exercise 4.1 is related to theses observations. It is worthwhile and recommended to read about equality in the C# documentation of Equals in the System namespace. Let us also point out that there exists a couple of interfaces that involve equality, most directly IEquality (see Section 42.9 ), but indirectly also Icomparable (see Section 42.8). Redefinition of equality operators and methods: Recommendations. FOCUS BOX 13.1FOCUS BOX 13.1FOCUS BOX 13.1FOCUS BOX 13.1 As above, we assume that we deal with reference types. If you do not redefine the Equals instance method nor the == operator, both of them denote reference equality. If it is natural and important that equality between objects of your class should rely on the data contents
  • 108.
    102 (instance variables) ofyour class, rather than the referenced locations of the involved objects, you should redefine the Equals instance method. Follow the guidelines in Section 28.16. As part of this, remember that equality should be reflexive (x.Equals(x)), symmetric (x.Equals(y) implies that y.Equals(x)), and transitive (x.Equals(y) and y.Equals(z) implies that x.Equals(z)). In general, you are not recommended to overload (redefine) the == operator. Most programmers with a C background will be surprised if x == y (for references or pointers) does not compare the references in x and y. If you overload the Equals instance method, you most likely do not want to touch the == operator. Thus, == will remain as the reference equality operator. If - against these recommendations - you overload the == operator, you should make sure that the meaning (semantics) of == and Equals are the same. This can, for instance, be obtained by implementing Equals by means of ==. It would be tremendously confusing to have two different meanings of == and Equals, both of which differ from the meaning of ReferenceEquals. Exercise 4.1. Equality of value types and reference types Take a close look at the following program which uses the == operator on integers. using System; class WorderingAboutEquality{ public static void Main(){ int i = 5, j = 5; object m = 5, n = 5; Console.WriteLine(i == j); Console.WriteLine(m == n); } } Predict the result of the program. Compile and run the program, and explain the results. Were your predictions correct?
  • 109.
    103 14. Value Types Values- in value types - are not accessed via references. In the safe part of C# it is not possible to access such values via references. Variables of value types contain their values (and not references to their values). This implies that values are allocated on the method stack, and the creation and deletion of such values are easier for the programmer to deal with than objects on the heap. The numeric types, char, boolean and enumeration types are value types in C#. In addition, structs are value types in C#. (The numeric types, char, and boolean are - in fact - defined as structs in C#). We will normally use the word "object" with the meaning "instance of a class". With this meaning, objects are accessed by references. But in some sense, values (of value types) are also objects in C#. Both value types and reference types inherit from the class Object. Thus, class Object is the common superclass of both reference types and value types. See Section 28.2 for additional clarification of this issue. In order to avoid unnecessary confusion, we will - unless stated explicitly - devote the word "object" to instances of classes. 14.1. Value types Lecture 4 - slide 8 In this section we introduce the term value semantics. A variable of value type contains its value The values are allocated on the method stack or within objects on the heap Variables of value types are dealt with by use of so-called value semantics Use of value types simplifies the management of short-lived data • Value semantics • Assignment, call-by-value parameter passing, and return copy entire values • The method stack • The memory area where short-lived data is allocated • Parameters and local variables • Allocation takes place when an operation, such as a method, is called • Deallocation takes place when the operation returns Data on the method stack corresponds to variables of storage class auto in C programming. 14.2. Illustration of variables of value types Lecture 4 - slide 9
  • 110.
    104 Assume that thetype Point is a value type We will now demonstrate how value semantics works in relation to assignments. We will assume that the type Point is a value type. In C# it will be programmed as a struct. We show Point defined as a struct in Section 14.3. In Figure 14.1 we show two variables, p1 and p2, that contain Point values. The situation in Figure 14.1 can, for instance, be established by the initializers associated with the declarations of p1 and p2 in Program 14.1 . The assignment p1 = p2, also shown in Program 14.1, establishes the situation in Figure 14.2. Figure 14.1 Variables of value types. The situation before the assignment p1 = p2. 1 2 3 4 Point p1 = new Point(1.0, 2.0), p2 = new Point(3.0, 4.0); p1 = p2; Program 14.1 The variables p1 and p2 refer to two points. Figure 14.2 Variables of value types. The situation after the assignment p1 = p2. The thing to notice is that the assignment p1 = p2 copies the value contained in p2 into the variable p1. The coping process can be implemented as a bitwise copy, and therefore it is relatively efficient. The equality operator p1 == p2 compares the values in p1 and p2 (bitwise comparison). Let us also observe that p1.Equals(p2) has the same boolean value as p1 == p2 when the type of p1 and p2 is a value type. The observations about assignments from above can also be used directly on call-by-value parameter passing. Call-by-value parameter passing is - in reality - assignment of the actual parameter value to the corresponding formal parameter.
  • 111.
    105 As a contrastto the description of value assignment, please see Section 13.2 where we showed what happens if p1 and p2 are declared as classes (of reference types). Notice that p1 = p2, in case p1 and p2 contain references, is likely to be even more efficient than the value assignment discussed above. 14.3. Structs in C# Lecture 4 - slide 10 In this section we will study two C# types, which we program as structs. The two types become value types. The first, Point, is already well-known. See Program 11.2. The other, Card, is also one of our recurring examples. In Program 12.7 we programmed Card as a class. In Program 14.2 we show a simple Point struct. In this version the data representation is private. Notice also the constructor. The constructor is used to initialize a new point. In addition there are three methods GetX, GetY, and Move. When we learn more about C# we will most likely program GetX and GetY as properties, see Section 18.1. We may also chose to program Move in a functional style, such that the struct Point becomes immutable. Immutable types are discussed in Section 14.7. Like in classes, it is always recommended that you program one or more constructors in a struct. It cannot be a parameterless constructor, however. See Section 14.4 for details on structure initialization. The usage of struct Point has already been illustrated above, see Program 14.1 in Section 14.2. 1 2 3 4 5 6 7 8 9 10 11 12 13 14 15 16 17 18 19 20 21 22 23 24 25 using System; public struct Point { private double x, y; public Point(double x, double y){ this.x = x; this.y = y; } public double Getx (){ return x; } public double Gety (){ return y; } public void Move(double dx, double dy){ x += dx; y += dy; } public override string ToString(){ return "Point: " + "(" + x + "," + y + ")" + "."; } } Program 14.2 Struct Point. In Program 14.3 we show the struct Card. Struct Card represents a playing card. It uses enumeration types for card suites and card values. The playing card has private fields in line 11 and 12, as we will expect. The struct is well-equipped with constructors for flexible initialization of new playing cards. The method Color calculates a card color from its suite and value. The method returns a value of the pre-existing type
  • 112.
    106 System.Drawing.Color. Interesting enoughin this context, System.Drawing.Color is also a struct. We use the fully qualified name of class Color in the namespace System.Drawing in order not to get a conflict with the Color member in struct Card. Finally, the usual ToString (overridden from class Object) allows us to print playing cards. This is, of course, very convenient when we write small programs that uses struct Card. 1 2 3 4 5 6 7 8 9 10 11 12 13 14 15 16 17 18 19 20 21 22 23 24 25 26 27 28 29 30 31 32 33 34 35 36 37 38 39 40 41 42 43 44 45 using System; public enum CardSuite:byte {Spades, Hearts, Clubs, Diamonds }; public enum CardValue: byte {Ace = 1, Two = 2, Three = 3, Four = 4, Five = 5, Six = 6, Seven = 7, Eight = 8, Nine = 9, Ten = 10, Jack = 11, Queen = 12, King = 13}; public struct Card { private CardSuite suite; private CardValue value; public Card(CardSuite suite, CardValue value){ this.suite = suite; this.value = value; } public Card(CardSuite suite, int value){ this.suite = suite; this.value = (CardValue)value; } public CardSuite Suite(){ return this.suite; } public CardValue Value (){ return this.value; } public System.Drawing.Color Color (){ System.Drawing.Color result; if (suite == CardSuite.Spades || suite == CardSuite.Clubs) result = System.Drawing.Color.Black; else result = System.Drawing.Color.Red; return result; } public override String ToString(){ return String.Format("Suite:{0}, Value:{1}, Color:{2}", suite, value, Color().ToString()); } } Program 14.3 Struct Card. A simple client of Card, which declares and constructs three playing cards, is shown in Program 14.4. The card in c1 is copied to c4. Finally, all cards are printed with WriteLine, which internally uses the programmed ToString method in struct Card.
  • 113.
    107 1 2 3 4 5 6 7 8 9 10 11 12 13 14 15 16 17 18 19 using System; public classPlayingCardClient{ public static void Main(){ Card c1 = new Card(CardSuite.Spades, CardValue.King), c2 = new Card(CardSuite.Hearts, 1), c3 = new Card(CardSuite.Diamonds, 13), c4; c4 = c1; // Copies c1 into c4 Console.WriteLine(c1); Console.WriteLine(c2); Console.WriteLine(c3); Console.WriteLine(c4); } } Program 14.4 A client of struct Card. Structs are typically used for aggregation and encapsulation of a few values, which we want to treat as a value itself, and for which we wish to apply value semantics In the System namespace, the types DateTime and TimeSpan are programmed as structs Very large structs, which encapsulates many data members, are not often seen. It is most attractive to use structs for small bundles of data, because structs are copied back and forth when we operate on them. It is instructive to study the interfaces of System.DateTime and System.TimeSpan, which both are programmed as structs in the C# standard library. 14.4. Structs and Initialization Lecture 4 - slide 11 There are some peculiar rules about initialization of struct values, at least if compared to initialization of class instances. We will review these peculiarities in this section. Program 14.5 shows that initializers, such as '= 5' and '= 6.6' cannot be used with structs. The designers of C# insist that the default value of a struct is predictable, as formed by the default values of the types of the instance variables a and b. 1 2 3 4 5 6 7 8 9 10 11 12 13 /* Right, Wrong */ using System; // Error: // Cannot have instance field initializers in structs. public struct StructOne{ int a = 5; double b = 6.6; } // OK: // Fields in structs are initialized to default values. public struct StructTwo{
  • 114.
    108 14 15 16 int a; double b; } Program14.5 Fields in structs cannot have initializers. Program 14.6 shows that we cannot program parameterless constructors in a struct. This would overwrite the preexisting default constructor, which initializes all fields to their default values. The designers of C# wish to control the default constructor of structs. The default constructor of a struct therefore always initializes instance variables to their default values. Our own struct constructors should all have at least one parameter. 1 2 3 4 5 6 7 8 9 10 11 12 13 14 15 16 17 18 19 20 21 22 23 24 25 26 27 /* Right, Wrong */ using System; // Error: // Structs cannot contain explicit parameterless constructors. public struct StructThree{ int a; double b; public StructThree(){ a = 1; b = 2.2; } } // OK: // We can program a constructor with parameters. // The implicit parameterless constructor is still available. public struct StructFour{ int a; double b; public StructFour(int a, double b){ this.a = a; this.b = b; } } Program 14.6 An explicit parameterless constructor is not allowed. 14.5. Structs versus classes Lecture 4 - slide 12 In order to summarize structs in relation to classes we provide the following comparison: Classes Structs Reference type Value type Used with dynamic instantiation Used with static instantiation Ancestors of class Object Ancestors of class Object Can be extended by inheritance Cannot be extended by inheritance Can implement one or more interfaces Can implement one or more interfaces Can initialize fields with initializers Cannot initialize fields with initializers Can have a parameterless constructor Cannot have a parameterless constructor
  • 115.
    109 14.6. Examples ofmutable structs in C# Lecture 4 - slide 13 Structs are often used for immutable objects. (Here we use 'object' in a loose sense, covering both struct values and class instances). An object is immutable if its state cannot be changed once the object has been initialized. Recall that strings in C# are immutable. We start by studying mutable structs, and hereby we seek motivation for dealing with immutable structs. Please take a new look at struct Point in Program 14.2 from Section 14.3. In particular, focus your attention on the Move method. A call such as p.Move(7.0, 8.0) will change the state of point p. We say that the point p has been mutated. In Program 14.7, which is a client of struct Point from Program 14.2, the point p1 is moved twice. The program output in Listing 14.8 (only on web) is as expected. 1 2 3 4 5 6 7 8 9 10 11 12 13 14 using System; public class Application{ public static void Main(){ Point p1 = new Point(1.0, 2.0); p1.Move(3.0, 4.0); // p1 has moved to (4.0, 6.0) p1.Move(5.0, 6.0); // p1 has moved to (9.0, 12.0) Console.WriteLine("{0}", p1); } } Program 14.7 Moving a point by mutation. The struct in Program 14.9 is similar to Program 14.2. The difference is that Move in Program 14.9 returns a point, namely the current point, denoted by this. But - as shown in Program 14.10 this causes troubles in some situations. Following the program we will explain the reason. 1 2 3 4 5 6 7 8 9 10 11 12 13 14 15 16 17 18 19 using System; public struct Point { private double x, y; public Point(double x, double y){ this.x = x; this.y = y; } public double Getx (){ return x; } public double Gety (){ return y; } public Point Move(double dx, double dy){ x += dx; y += dy;
  • 116.
    110 20 21 22 23 24 25 26 return this; //returns a copy of the current object } public override string ToString(){ return "Point: " + "(" + x + "," + y + ")" + "."; } } Program 14.9 The struct Point - mutable, where move returns a Point. In Program 14.10 the expression p1.Move(3.0, 4.0).Move(5.0, 6.0) is parsed as (p1.Move(3.0, 4.0)).Move(5.0, 6.0) due the left associativity of the dot operator. So p1 is first moved by 3.0 and 4.0 to (4, 6). Move returns a new copy of the point (4, 6). (This observation is important). This new copy of the point is an anonymous point, because it it is not contained in any variable. The anonymous point is then moved to (9.0, 12.0). In line 9 of Program 14.10 we print p1, which - as argued - is located at (4, 6). The program output shown in Listing 14.11 confirms our observations. 1 2 3 4 5 6 7 8 9 10 11 using System; public class Application{ public static void Main(){ Point p1 = new Point(1.0, 2.0); p1.Move(3.0, 4.0).Move(5.0, 6.0); Console.WriteLine("{0}", p1); // Where is p1 located? } } Program 14.10 Application the struct Point - Cascaded moving. 1 Point: (4,6). Listing 14.11 Output from the application. The state of affairs in Program 14.10 is not satisfactory. We have mixed imperative and functional programming in an unfortunate way. In the following section we will make another version of Move that works as expected when used in the cascading manner, such as in the expression p1.Move(3.0, 4.0).Move(5.0, 6.0). The new version will be programmed in a functional way, and it will illustrate use of immutable structs. 14.7. Examples of immutable structs in C# Lecture 4 - slide 14 As an alternative to Move in Program 14.9 we can program Move in such a way that an expression like p.Move(7.0, 8.0) returns a new point, different from the point in p. The new point is displaced 7.0 in the x direction and 8.0 in the y direction relative to the point in p. The state of p is not changed by Move. We typically want to get hold on the new point in an assignment, such as in q = p.Move(7.0, 8.0);
  • 117.
    111 Program 14.12 showsyet another version of struct Point, in which Move constructs and returns a new point. In this version Point is immutable. Once constructed we never change the coordinates of a point. This is signalled by making the instance variables x and y readonly, see line 4. Notice the difference between Move in Program 14.12 and Move in Program 14.9. 1 2 3 4 5 6 7 8 9 10 11 12 13 14 15 16 17 18 19 20 21 22 23 24 25 using System; public struct Point { private readonly double x, y; public Point(double x, double y){ this.x = x; this.y = y; } public double Getx (){ return x; } public double Gety (){ return y; } public Point Move(double dx, double dy){ return new Point(x+dx, y+dy); } public override string ToString(){ return "Point: " + "(" + x + "," + y + ")" + "."; } } Program 14.12 The struct Point - immutable. In Program 14.13 we show the counterpart to Program 14.10 and Program 14.7. The expression p1.Move(3.0, 4.0).Move(5.0, 6.0) now does the following: 1. p1.Move(3.0, 4.0) returns a copy of the point in p1. The copy is located in (4,6). 2. The point in (4,6) is moved to (9,12) by the second call to Move. This creates yet another point. The 'yet another point' is finally copied into the variable p2. 1 2 3 4 5 6 7 8 9 10 11 12 13 using System; public class Application{ public static void Main(){ Point p1 = new Point(1.0, 2.0), p2; p2 = p1.Move(3.0, 4.0).Move(5.0, 6.0); Console.WriteLine("{0} {1}", p1, p2); } } Program 14.13 Application the struct Point - immutable.
  • 118.
    112 As shown inListing 14.14 the original point in p1 is not altered. The point, which finally is copied into p2, is located as expected. 1 Point: (1,2). Point: (9,12). Listing 14.14 Output from the application. There is a misfit between mutable datatypes and use of value semantics It is recommended to use structs in C# together with a functional programming style The deep insight of all this is that we should strive for a functional programming style when we deal with structs. Structs are born to obey value semantics. This does not fit with the 'imperative point mutation' idea, as exemplified in Program 14.9 and Program 14.10. Use the style in Program 14.12 and Program 14.13 instead. In this and the previous section I have benefited from Sestoft's and Hansen's explanations and examples from the book C# Precisely. Exercise 4.2. Are playing cards and dice immutable? Evaluate and discuss the classes Die and Card with respect to mutability. (If you access this exercise from the web edition there are direct links to the relevant versions of class Die and class Card). Make sure that you understand what mutability means relative to the concrete code. Explain it to your fellow programmers! More specific, can you argue for or against the claim that a Die instance/value should be mutable? And similarly, can you argue for or against the claim that a Card instance/value should be mutable? Why is it natural to use structs for immutable objects and classes for mutable objects? Please compare your findings with the remarks in 'the solution' when it is released. 14.8. Boxing and Unboxing Lecture 4 - slide 15 C# has a uniform type system in the sense that both values types and reference types are compatible. Conceptually, the compatibility is ensured by the fact that both value types and reference types are derived from the class Object. See Section 28.2. Operationally, the compatibility is ensured by the boxing of value types. This will be the theme in this section. Boxing involves a wrapping of a value in an object of the class Object Unboxing involves an unwrapping of a value from an object
  • 119.
    113 • Boxing • Doneas an implicit type conversion • Involves allocation of a new object on the heap and copying of the value into that object • Unboxing • Done explicitly via a type cast • Involves extraction of the value of a box Boxing takes place when a simple value or a struct is bound to a variable or a parameter of reference type. This is, for instance, the case if an integer value is passed to a parameter of type Object in a method. When a value is boxed it is embedded in an object on the heap, together with information about the type of the value. If the boxed value (an object) is unboxed it can therefore be checked if the unboxing makes sense. In Program 14.15 we first illustrate boxing of an integer i and a boolean b in line 8 and 9. The boxing is done implicitly. Next follows unboxing of the already boxed values in line 11 and 12. Unboxing must be done explicitly. Unboxing is accomplished by casts, both in the assignments to j and c, respectively, and in the context of the arithmetic and logical expressions. Line 14 and 15 illustrate attempts to do unboxing without casts. This is illegal, and the compiler finds out. We are able to print both objects and values in the final WriteLine of Program 14.15. This is because the method ToString uses the type information of a boxed value to provide for natural generation of a printable string. 1 2 3 4 5 6 7 8 9 10 11 12 13 14 15 16 17 18 19 20 21 22 23 24 using System; public class BoxingTest{ public static void Main(){ int i = 15, j, k; bool b = false, c, d; Object obj1 = i, // boxing of the value of i obj2 = b; // boxing of the value of b j = (int) obj1; // unboxing obj1 c = (bool) obj2; // unboxing obj2 // k = i + obj1; // Compilation error // d = b && obj2; // Compilation error k = i + (int)obj1; d = b && (bool)obj2; Console.WriteLine("{0}, {1}, {2}, {3}, {4}, {5}, {6}, {7}", i, obj1, b, obj2, j, c, k, d); } } Program 14.15 A program that illustrates boxing and unboxing. The output of the program is shown in Listing 14.16.
  • 120.
    114 1 15, 15,False, False, 15, False, 30, False Listing 14.16 Output of the boxing and unboxing program. 14.9. Nullable types Lecture 4 - slide 16 A variable of reference type can be null A variable of value type cannot be null A variable of nullable value type can be null Nullable types provide a solution to the following desire: All values of a value type t (such as int) 'are in use'. In some programs we wish to have a distinguished value in t which stands for 'no value'. When we use reference types we use the distinguished null value for such purposes. However, when we program with value types this is not possible. Therefore the concept of nullable types has been invented. It allows a variable of a value type to have the (distinguished) null value. Before we see how nullable types are expressed in C# we will take a look at a motivating example, programmed without use of nullable types. The full details of the example are available in the web-version of the material. In Program 14.17 (only on web) we program a simple integer sequence class, which represents an ordered sequence of integer values. We provide this type with Min and Max operations. The problem is which value to return from Min and Max in case the sequence is empty. In Program 14.17 we return -1, but this is a bad solution because -1 may very well be the minimum or the maximum number in the sequence. Please make sure that you understand the problem in Program 14.17 before you proceed. In Program 14.18 we show another version of class IntSequence. In this solution, the methods Min and Max return a value of type int?. int? means a nullable integer type. Thus, the value null is a legal value in int?. This is exactly what we need because Min and Max are now able to signal that there is no minimum/maximum value in an empty sequence. 1 2 3 4 5 6 7 8 9 10 11 12 13 14 15 16 public class IntSequence { private int[] sequence; public IntSequence(params int[] elements){ sequence = new int[elements.Length]; for(int i = 0; i < elements.Length; i++){ sequence[i] = elements[i]; } } public int? Min(){ int theMinimum; if (sequence.Length == 0) return null; else {
  • 121.
    115 17 18 19 20 21 22 23 24 25 26 27 28 29 30 31 32 33 34 35 36 37 38 39 40 theMinimum = sequence[0]; foreach(inte in sequence) if (e < theMinimum) theMinimum = e; } return theMinimum; } public int? Max(){ int theMaximum; if (sequence.Length == 0) return null; else { theMaximum = sequence[0]; foreach(int e in sequence) if (e > theMaximum) theMaximum = e; } return theMaximum; } // Other useful sequence methods } Program 14.18 An integer sequence with Min and Max operations - with int?. In Program 14.19 we show an application of class IntSequence, where we illustrate both empty and non- empty sequences. Notice the use of the property HasValue in line 14. The property HasValue can be applied on a value of a nullable type. The output of the program is shown in Listing 14.20 (only on web). 1 2 3 4 5 6 7 8 9 10 11 12 13 14 15 16 17 18 19 20 21 using System; class IntSequenceClient{ public static void Main(){ IntSequence is1 = new IntSequence(-5, -1, 7, -8, 13), is2 = new IntSequence(); ReportMinMax(is1); ReportMinMax(is2); } public static void ReportMinMax(IntSequence iseq){ if (iseq.Min().HasValue && iseq.Max().HasValue) Console.WriteLine("Min: {0}. Max: {1}", iseq.Min(), iseq.Max()); else Console.WriteLine("Int sequence is empty"); } } Program 14.19 A client of IntSequence. Let us now summarize the important properties of nullable types in C#:
  • 122.
    116 • Many operatorsare lifted such that they also are applicable on nullable types • An implicit conversion can take place from t to t? • An explicit conversion (a cast) is needed from t? to t The observations about implicit conversion from a non-nullable type t to its nullable type t? is as expected. A value in a narrow type can be converted to a value in a broader type. The other way around requires an explicit cast. Only value types can be nullable. It is therefore possible to have nullable struct types. It is only possible to built a nullable type on a non-nullable type. Therefore, the types t??, t???, etc. are undefined in C#. A nullable type t? is itself a value type. It might be tempting to consider a value v of t? as a boxing of v (see Section 14.8). This is, however, not a correct interpretation. A boxed value belongs to a reference type. A value in t? belongs to a value type. The nullable type t? is syntactic sugar for the type Nullable<t> for some given value type t. Nullable<t> is a generic struct, which we discuss briefly in Section 42.7. The type bool? has three values: true, false, and null. The operators & and | have been lifted to deal with the null value. In addition, conditional and iterative control structures allow control expressions of type bool?. In these control structures null counts as false. The null-coalescing C# operator ?? is convenient when we work with nullable types. The expression x ?? y is a shortcut of x != null ? x : y. The ?? operator can be used to provide default values of variables of nullable types. In the context of int? i = null, j = 7; the expression i ?? 5 returns 5, but j ?? 5 returns 7. The ?? operator can also be used on reference types!
  • 123.
    117 15. Organization ofC# Programs This chapter is of a different nature than the previous chapters. At this point you are supposed to be able to program simple classes, like the Die class in Program 10.1, the Point class in Program 11.2, and the BankAccount class in Program 11.5. Eventually, it will be necessary to care about how classes are organized in relation to each other. We chose to cover C# program organization now. In case you are not motivated for these issues, you can skip the chapter at this point in time. But you are advised to come back to it before you start writing large C# programs. If you want to read more about the organization of C# programs, you are recommended to study chapter 16 of C# Language Specification [ECMA-334]. We show a lot of examples in this chapter. In the web edition, all examples are present. In the paper edition, only the most fundamental examples appear. Therefore, if you want to understand all the details of this chapter, read the web edition. 15.1. Program Organization Lecture 4 - slide 18 The structure and organization of a C# program is radically different from the structure and organization of both C programs and Java programs. Below we emphasize some important observations about the organization of C# programs. • C# programs are organized in namespaces • Namespace can contain types and - recursively - other namespaces • Namespaces (and classes) in relation to files: • One of more namespaces in a single file • A single namespace in several files • A single class in several files - partial classes • The mutual order of declarations is not significant in C#. • No declaration before use. • When compiled, C# programs are organized in assemblies • .exe and .dll files As noticed above, a single namespace can be spread out on several source files. In Section 11.12 we have also seen that a single class - called a partial class - can be defined in two or more source files.
  • 124.
    118 15.2. Examples ofProgram Organization Lecture 4 - slide 19 In the majority of the small programs, which we present in this material, namespaces do not appear explicitly. Most of the programs we have shown until now in this material follow the pattern of Program 15.1. 1 2 3 4 5 6 7 8 9 10 11 12 13 // The most simple organization // A class located directly in the global namespace // In source file ex.cs using System; public class C { public static void Main(){ Console.WriteLine("The start of the program"); } } Program 15.1 A single class in the anonymous default namespace. In Program 15.1 the class C is a member of the (implicitly stated) global name space. The compilation of the program in Program 15.1 can be done as shown in Listing 15.2 (only on web). Below, in Program 15.3 the namespaces N1 and N2 are members of the global name space. N2 contains a nested namespace called N3. You should use namespaces to group classes that somehow belong together, either conceptually or according the architecture of the software you are creating. Namespaces are also useful if you have identically named types (such as two classes with the same name) that should coexist. In that case, place the conflicting types in different namespaces, and be sure to use the involved namespaces with qualified access - "namespace dotting". Use of several namespaces, such as N1, N2, and N3 in Program 15.3 is, in general, relevant only in large programs with many types. 1 2 3 4 5 6 7 8 9 10 11 12 13 14 15 16 17 18 // Several namespaces, including nested namespaces. // In source file ex.cs namespace N1 { public class C1{}; } namespace N2 { internal class C2{}; public class C3{}; namespace N3 { public class C4{ C2 v; } } } Program 15.3 Two namespaces and a nested namespace with classes.
  • 125.
    119 In Program 15.4we show how to use the classes C1, C2, C3, and C4 from Program 15.3. The using directives import the types of a namespace. Importing a namespace N implies that types T in N can be used without qualification. Thus, we can write T instead of N.T. The three using directives in line 15-17 of Program 15.4 open up the namespaces N1, N2 and N2.N3. If the namespaces in Program 15.3 and the client class shown in Program 15.4 are compiled to two different assemblies (dll files) then C2 cannot be used in the Client class. The reason is that C2 is internal in its assembly. 1 2 3 4 5 6 7 8 9 10 11 12 13 14 15 16 17 18 19 20 21 22 23 24 25 26 // A client program // In source file client.cs /* Namespace N1 public class C1 Namespace N2 internal class C2 public class C3 Namespace N3 public class C4 */ using N1; using N2; using N2.N3; public class Client{ C1 v = new C1(); // The type or namespace name 'C2' could not be found. // C2 w = new C2(); C3 x = new C3(); C4 y = new C4(); } Program 15.4 A client of classes in different namespaces. If you avoid the using directives, you are punished with the need to use a lot of "namespace dotting". If you wish to see the effect of this, please consult Program 15.5 (only on web) The compilation of Program 15.3 together with Program 15.5 and Program 15.4 (only on web) is shown in Listing 15.6 (only on web). Nested namespaces can be given by textual nesting, as shown in Program 15.3 or in Program 15.7 (only on web). Alternatively, it can be given as shown in Program 15.8. In Program 15.8 the namespaces N2 and N3 are both member of the namespace N1. Thus, the situation in Program 15.8 is identical to the situation shown in Program 15.7 (only on web).
  • 126.
    120 1 2 3 4 5 6 7 8 9 10 11 12 // Equivalent tothe previous program // No physical namespace nesting // In source file ex-equiv.cs namespace N1.N2 { public class C1{}; public class C2{}; } namespace N1.N3 { public class C3{} } Program 15.8 Equivalent program with nested namespaces - no physical nesting. The classes C1, C2, and C3 of either Program 15.8 or Program 15.7 (only on web) can be used in a Client class, as shown in Program 15.9 (only on web). The compilation can be done as shown in Listing 15.10 (only on web). A namespace, such as Intro in Program 15.11 is open ended in the sense that stuff can be added to Intro from another source file. Both Program 15.11 and Program 15.12 contribute to the Intro namespace. Thus, when the two source files are taken together, Intro contains the types A, B, and C. The use of the namespace Intro is shown in Client class in Program 15.13 (only on web). In Listing 15.14 (only on web) we show how to compile the two source files f1.cs and f2.cs behind the namespace Intro together. 1 2 3 4 5 6 7 8 9 10 11 12 13 14 15 16 17 18 19 20 21 22 23 24 // f1.cs: First part of the namespace Intro using System; namespace Intro{ internal class A { public void MethA (){ Console.WriteLine("This is MethA in class Intro.A"); } } public class B { private A var = new A(); public void MethB (){ Console.WriteLine("This is MethB in class Intro.B"); Console.WriteLine("{0}", var); } } } Program 15.11 Part one of namespace Intro with the classes A and B. 1 2 3 4 5 6 // f2.cs: Second part of the namespace Intro using System; namespace Intro{
  • 127.
    121 7 8 9 10 11 12 13 14 15 16 17 public class C{ private A var1 = new A(); private B var = new B(); public void MethC (){ Console.WriteLine("This is MethC in class Intro.C"); Console.WriteLine("{0}", var); Console.WriteLine("{0}", var1); } } } Program 15.12 Part two of namespace Intro with the class C. The problem reported in line 18 of Program 15.13 relies on the compilation of the program to two different assemblies, as shown in Listing 15.14. If both the Intro namespace and the Client class are compiled to a single assembly there will be no error in line 18. The compilations shown in Listing 15.14 illustrate how to compile the files f1.cs and f2.cs together. In general, it is possible to compile a number of C# source files together as though these source files were contained in a single large source file. This way of compilation is often an easy way to compile a number of C# source files that depend on each other in circular ways. Alternatively, each file must be compiled in isolation and in a particular order, with use of the reference compiler option. Notice also, from Listing 15.14, that you can control the name of the assembly via use of the out compiler option. 15.3. Namespaces and Visibility Lecture 4 - slide 20 In this section we summarize the visibility rules of types and namespaces, both of which can occur in (other) namespaces. • Types declared in a namespace • Can either have public or internal access • The default visibility is internal • Internal visibility is relative to an assembly - not a namespace • Namespaces in namespaces • There is no visibility attached to namespaces • A namespace is implicitly public within its containing namespace You should pay attention to the default visibility of types in namespaces. If you do not give a visibility modifier of a type T (a class, for instance) in a namespace N, T is internal in N. This may lead to surprises if you in reality forgot to state that T should have been public. We have already discussed this in Section 11.16.
  • 128.
    122 15.4. Namespaces andAssemblies Lecture 4 - slide 21 • Namespaces • The top-level construct in a compilation unit • May contain types (such as classes) and nested namespaces • Identically named members of different namespaces can co-exist • There is no coupling between classes/namespaces and source files/directories • Assemblies • A packaging construct produced by the compiler • Not a syntactic construct in C# • A collection of compiled types - together with resources on which the types depend • Versioning and security settings apply to assemblies The file/directory organization, the namespace/class organization and the assembly organization are relatively independent of each other 15.5. References [Ecma-334] "The C# Language Specification", June 2005. ECMA-334.
  • 129.
    123 16. Patterns andTechniques Throughout this material we there will be chapters titled "Patterns and Techniques". A number of such chapters are oriented towards object-oriented design patterns. In Section 16.1 we therefore introduce the general idea of design patterns, and in Section 16.2 we specialize this to a discussion of object-oriented design patterns. In Section 16.3 we encounter the first object-oriented design pattern, the one called Singleton. In Section 16.5 we discuss how to avoid leaking private information from a class. 16.1. Design Patterns Lecture 4 - slide 23 Design patterns originate from the area of architecture, and they were pioneered by the architect Christopher Alexander. The following is an attempt to give a very dense and concentrated definition of design patterns. A pattern is a named nugget of instructive information that captures the essential structure and insight of a successful family of proven solutions to a recurring problem that arises within a certain context and system of forces [Brad Appleton] Each of the important, underlined words - and a few more - are addressed below: • Named: Eases communication about problems and solutions • Nugget: Emphasizes the value of the pattern • Recurring problem: A pattern is intended to solve a problem that tends to reappear. • Proven solution: The solution must be proven in a number of existing programs • Nontrivial solution: We are not interested in collecting trivial and obvious solutions • Context: The necessary conditions and situation for applying the pattern • Forces: Considerations and circumstances, often in mutual conflict with each other A set of design patterns serve as a catalogue of well-proven solutions to (more or less) frequently occurring problems. A design pattern has a name that eases the communication among programmers. A design pattern typically reflects a solution to a problem, which is non-trivial and distanced from naive and obvious solutions. 16.2. Object-oriented Design Patterns Lecture 4 - slide 24 Object-oriented design patterns were introduced in the book "Design Patterns - Elements of Reusable Object-Oriented Software" by Gamma, Helm, Johnson and Vlissides. Numerous books have been written about design patterns (and other kinds of patterns as well). The book mentioned above, [Gamma96], was the first and original one, and it still has a particular status in the area. It
  • 130.
    124 is often referredto as the GOF (Gang of Four) book. The patterns and pattern categories mentioned below stem from the original book. • Twenty three patterns categorized as • Creational Patterns • Abstract factory, Factory method, Singleton, ... • Structural Patterns • Adapter, Composite, Proxy, ... • Behavioral Patterns • Command, Iterator, Observer, ... There are patterns in a variety of different areas, and at various levels of abstractions 16.3. The Singleton pattern Lecture 4 - slide 25 The concrete contribution of this chapter is the Singleton design pattern. As stated below, use of Singleton is intended to ensure that a given class can be instantiated at most once. Problem: For some classes we wish to guarantee that at most one instance of the class can be made. Solution: The singleton design pattern The idea of Singleton is to remove the constructor from the client interface. This is done by making it private. Instead of the constructor the class provides a public static method, called Instance in Program 16.1, which controls the instantiation of the class. Inside the Instance method the private constructor is available, of course. The private, static variable uniqueInstance keeps track of an existing instance (if it exists). If there already exists an instance, the Instance method returns it. If not, Instance creates an instance and assigns it to the variable uniqueInstance for future use. All this appears in Program 16.1. 1 2 3 4 5 6 7 8 9 10 11 12 13 14 15 16 17 18 19 public class Singleton{ // Instance variables private static Singleton uniqueInstance = null; private Singleton(){ // Initialization of instance variables } public static Singleton Instance(){ if (uniqueInstance == null) uniqueInstance = new Singleton(); return uniqueInstance; } // Methods
  • 131.
    125 20 } Program 16.1A template of a singleton class. Let us program a singleton Die class. It is shown below in Program 16.2. We have already seen the Die class in Section 10.1 (Program 10.1) and Section 12.4 (Program 12.5). It should be easy to recognize the pattern from Program 16.1 in Program 16.2. 1 2 3 4 5 6 7 8 9 10 11 12 13 14 15 16 17 18 19 20 21 22 23 24 25 using System; public class Die { private int numberOfEyes; private Random randomNumberSupplier; private int maxNumberOfEyes; private static Die uniqueInstance = null; private Die (){ randomNumberSupplier = new Random(unchecked((int)DateTime.Now.Ticks)); this.maxNumberOfEyes = 6; Toss(); } public static Die Instance(){ if (uniqueInstance == null) uniqueInstance = new Die(); return uniqueInstance; } // Die methods: Toss and others } Program 16.2 A singleton Die class. Let us know bring the singleton Die class into action. It is done in Program 16.3. First notice that we cannot just instantiate the singleton Die class. The compiler will complain. In Program 16.3 we attempt to make two dice with use of the Instance method. In reality, the second call of Instance returns the same die as returned by the first call of Instance. Thus, d2 and d3 refer to the same object. The program first tosses the die referred by d2 four times, and next it tosses the die referred by d3 five times. In reality the same die is tossed nine times. The output of the die tossing program is shown in Listing 16.4 (only on web). Recall our very first class example in Section 10.1. In Program 10.2 the three different Die objects tossed in identical ways. The reason is that they use three separate - but identically seeded - Random objects. The solution is to use a singleton Random class, which ensures that at most a single Random object can exist. The three Die objects will share the Random object. With this organization we solve the "parallel tossing problem". Please consult Exercise 3.7 and its solution. 1 2 3 4 5 6 7 8 using System; class diceApp { public static void Main(){ // Die d1 = new Die(); // Compile-time error: // The type 'Die' has no constructors defined
  • 132.
    126 9 10 11 12 13 14 15 16 17 18 19 20 21 22 23 24 25 26 27 28 29 30 Die d2 =Die.Instance(), d3 = Die.Instance(); for(int i = 1; i < 5; i++){ Console.WriteLine(d2); d2.Toss(); } for(int i = 5; i < 10; i++){ Console.WriteLine(d2); d3.Toss(); } // Test for singleton: if (d2 == d3) Console.WriteLine("d2 and d3 refer to same die instance"); else Console.WriteLine("d2 and d3 do NOT refer to same die instance"); } } Program 16.3 Application of the singleton Die class. You may ask if Singleton is important in everyday programming. How often do we have a class that only can give rise to one object? The singleton Die shown above is not a very realistic use of Singleton. Singleton is probably not the most frequently used pattern. But every now and then we encounter classes, which it does not make sense to instantiate multiple times. In these situations is it nice to know how to proceed. Use Singleton instead of a homegrown ad hoc solution! There are additional details which can be brought up in the context of Singleton, see [singleton-msdn]. 16.4. Factory methods Lecture 4 - slide 27 As we have seen in Chapter 12, instantiation of classes by use of programmed constructors is the primary means for creation of new objects. In some situations, however, direct use of constructors is not flexible enough. In this section we will see how we can make good use of static methods as a supplementary means for object creation. Such methods are called factory methods. We have already studied class Point several times, see Section 11.6 and Section 14.6. In the version of class Point shown in Program 16.5 below we need constructors for both polar and rectangular initialization of points. Recall that rectangular represented points have ordinary (x,y) coordinates and that polar represented points have (r,a) - radius and angle - coordinates. If we use two constructors for the initialization, both will take two double parameters. In Program 16.5 we supply an extra enumeration parameter to the last constructor, shown in line 16. This is an ugly solution.
  • 133.
    127 1 2 3 4 5 6 7 8 9 10 11 12 13 14 15 16 17 18 19 20 21 22 23 24 25 26 27 28 29 30 31 32 33 34 35 using System; public classPoint { public enum PointRepresentation {Polar, Rectangular} private double r, a; // polar data repr: radius, angle // Construct a point with polar coordinates public Point(double r, double a){ this.r = r; this.a = a; } // Construct a point, the representation of which depends // on the third parameter. public Point(double par1, double par2, PointRepresentation pr){ if (pr == PointRepresentation.Polar){ r = par1; a = par2; } else { r = RadiusGivenXy(par1,par2); a = AngleGivenXy(par1,par2); } } private static double RadiusGivenXy(double x, double y){ return Math.Sqrt(x * x + y * y); } private static double AngleGivenXy(double x, double y){ return Math.Atan2(y,x); } // Remaining Point operations not shown } Program 16.5 A clumsy attempt with two overloaded constructors. In Program 16.6 we show another version, in which the constructor is private. From the outside, the two static factory methods MakePolarPoint and MakeRectangularPoint are used for construction of points. Internally, these methods delegate their work to the private constructor. This is a much more symmetric solution than Program 16.5, and it allows us to have good names for the "constructors" - or more correctly, the factory methods. 1 2 3 4 5 6 7 8 9 10 11 12 13 14 15 using System; public class Point { public enum PointRepresentation {Polar, Rectangular} private double r, a; // polar data repr: radius, angle // Construct a point with polar coordinates private Point(double r, double a){ this.r = r; this.a = a; } public static Point MakePolarPoint(double r, double a){
  • 134.
    128 16 17 18 19 20 21 22 23 24 25 26 27 28 29 30 31 32 return new Point(r,a); } publicstatic Point MakeRectangularPoint(double x, double y){ return new Point(RadiusGivenXy(x,y),AngleGivenXy(x,y)); } private static double RadiusGivenXy(double x, double y){ return Math.Sqrt(x * x + y * y); } private static double AngleGivenXy(double x, double y){ return Math.Atan2(y,x); } // Remaining Point operations not shown } Program 16.6 A better solution with static factory methods. In the web-edition of this material we present another example of factory methods. This example is given in the context of the Interval struct, which we will encounter in Section 21.3. The constructor problem of this type is that structs do not allow parameterless constructors. It is, however, natural for us to have a parameterless constructor for an empty interval. Program 16.7 (only on web) shows a clumsy solution, and Program 16.8 (only on web) shows a more satisfactory solution that uses a factory method. In Section 32.10 we come back to factory methods, and in particular to an object-oriented design pattern called Factory Method, which relies on inheritance. Chose a coding style in which factory methods are consistently named: Make...(...)
  • 135.
    129 16.5. Privacy Leaks Lecture4 - slide 29 The discussion in this section is inspired by the book Absolute Java by Walter Savitch. Privacy leaks is normally not thought of as a design pattern. Problem: A method can return part of its private state, which can be mutated outside the object To be concrete, let us look at the problem in context of Program 16.9 and Program 16.10. We use properties in this example. Properties will be introduced in Chapter 18. On the slide belonging to this example we show a version with methods instead. The class Person represents the birth date as a Date object. In order to make our points clear we provide a simple implementation of the Date class in Program 16.9. In real-life programming we would, of course, use C#'s existing DateTime struct. You should notice that the property DateOfBirth in line 17-19 of Program 16.10 returns a reference to a private Date object, which represents the person's birthday. The client of class Person, shown in Program 16.11 mutates the Date object referred by d. The mutation of the Date objects takes place in line 10. This object came from the birthday of person p. Is this at all reasonable to do so, you may ask. I would answer "yes". If you have access to a mutable Date object chances are that you will forget were it came from, and eventually you may be tempted to modify (mutate) it. As shown in the output of the client program, in Listing 16.12, Hanne is now 180 years old. We have managed to modify her age despite the fact the birthday is private in class Person. As of now we leave it as an exercise to find good solutions to this problem, see Exercise 4.3. 1 2 3 4 5 6 7 8 9 10 11 12 13 14 15 16 17 18 19 20 21 22 23 24 25 26 27 public class Date{ private ushort year; private byte month, day; public Date(ushort year, byte month, byte day){ this.year = year; this.month = month; this.day = day; } public ushort Year{ get{return year;} set{year = value;} } public byte Month{ get{return month;} set{month = value;} } public byte Day{ get{return day;} set{day = value;} } public override string ToString(){ return string.Format("{0}.{1}.{2}",day, month, year); } } Program 16.9 A Mutable Date class.
  • 136.
    130 1 2 3 4 5 6 7 8 9 10 11 12 13 14 15 16 17 18 19 20 21 22 23 24 25 26 27 28 29 30 31 32 33 public class Person{ privatestring name; private Date dateOfBirth, dateOfDeath; public Person (string name, Date dateOfBirth){ this.name = name; this.dateOfBirth = dateOfBirth; this.dateOfDeath = null; } public string Name{ get {return name;} set {name = value;} } public Date DateOfBirth{ get {return dateOfBirth;} } public ushort AgeAsOf(Date d){ return (ushort)(d.Year - dateOfBirth.Year); } public bool Alive(){ return dateOfDeath == null; } public override string ToString(){ return "Person: " + name + " " + dateOfBirth; } } Program 16.10 A Person class that can return its private birth Date. 1 2 3 4 5 6 7 8 9 10 11 12 13 14 15 16 17 18 using System; class Client{ public static void Main(){ Person p = new Person("Hanne", new Date(1926, 12, 24)); Date d = p.DateOfBirth; d.Year -= 100; Console.WriteLine("{0}", p); Date today = new Date(2006,8,31); Console.WriteLine("Age of Hanne as of {0}: {1}.", today, p.AgeAsOf(today)); } } Program 16.11 A client of the Person which modifies the returned birth Date. 1 2 Person: Hanne 24.12.1826 Age of Hanne as of 31.8.2006: 180. Listing 16.12 The output of the Person client program.
  • 137.
    131 Exercise 4.3. PrivacyLeaks The starting point of this exercise is the observations about privacy leaks on the accompanying slide. Make sure that you understand the problem. Test-drive the program (together with its dependent Person class and Date class) on your own computer. If you have not already done so, read the section about privacy leaks in the textbook! Find a good solution to the problem, program it, and test your solution. Discuss to which degree you will expect that this problem to occur in everyday programming situations. We return to the Date and Person classes in Section 20.4 and Section 20.5. In these sections we also comment on the privacy leak problem. 16.6. References [Gamma96] E. Gamma, R. Helm, R. Johnson and J. Vlissides, Design Patterns: Elements of Reusable Object-oriented Software. Addison Wesley, 1996. [Singleton-msdn] MSDN: Implementing Singleton in C# http://msdn.microsoft.com/en-us/library/ms998558.aspx
  • 138.
  • 139.
    133 17. Accessing Datain Objects This is the start of the lectures about data access and operations. In this and the following sections we will discuss the various operations in classes, in particular how to access data which is encapsulated in objects. By data access we mean both reading (getting) and writing (setting). In this material we use the word operation as a conceptual term. There is nothing called an "operations" in C#. Rather, there are methods, properties, indexers, operators etc. Thus, when we in this teaching material use the word operation it covers - in a broad sense - methods, properties, indexers, operators, events, delegates, and lambda expressions. 17.1. Indirect data access Lecture 5 - slide 2 It is not a good idea to access the instance variables of a class directly from client classes. We have already discussed this issue in relatively great details in Section 11.3 and Section 11.5. Data encapsulated in a class is not accessed directly from other classes Rather, data is accessed indirectly via operations So the issue is indirect data access instead of direct data access, when we work on a class from the outside (from other classes, the client classes). When we use indirect data access, the data are accessed through some procedure or function. This procedure or function serves as the indirection in between the client, which makes use of the data, and the actual data in the class. This "place of indirection" allows us to carry out checks and other actions in the slipstream of data access. In addition, the procedures and functions that serve as indirection, makes it possible to program certain compensations if the data representation is modified at a later point in time. With this, the client classes of a class C are more likely to survive future modifications of the data, which C encapsulates. It is possible to calculate the data instead of accessing it from variables in the memory. The following summarizes why indirect data access is better than direct data access. • Protects and shields the data • Possible to check certain conditions each time the data is accessed • Possible to carry out certain actions each time the data is accessed • Makes it easier - in the future - to change the data representation • Via "compensations" programmed in the accessing operations • Makes it possible to avoid the allocation of storage for some data • Calculating instead of storing Protection and shielding may cause the data to be accessed in a conditional data structure. One particular shielding is provided by the precondition of an operation. If the condition does not hold, we may choose not to access the data. In this material, we discuss preconditions in the context of contracts in Chapter 50.
  • 140.
    134 In some circumstancesit may be convenient to carry out some action whenever the data of a class is accessed. This is probably most relevant when the data in the class is mutated (assigned to new values). Data values, for which we activate a procedure upon data access, are sometimes called active values. Accessor compensation as a remedy of changing the representation of data is undoubtedly the most important issue. We illustrated this issue in the modifications of Program 11.2, as suggested in Exercise 3.3. In a nutshell, we can often fix the consequences of a shift in data representation by modifying the internals of the operations. By keeping the class interface unchanged all the direct and indirect clients of the affected class will survive. No changes are needed in the client classes. This is the effect of firewalls, as already discussed in Section 11.5. 17.2. Overview of data access in C# Lecture 5 - slide 3 Below we summarize the various kinds of data access, as supported by operations in C#: • Directly via public instance variables • Never do that! • Indirectly via properties • Clients cannot tell the difference between access via properties and direct access of instance variables • Indirectly via methods • Should be reserved for "calculations on objects" • Indirectly via indexers • Provides access by means of the notation known from traditional array indexing • Indirectly via overloaded operators • Provides access by means of the language-defined operator symbols In the next chapter we will discuss properties in C#. Chapter 19 is about indexers. Methods will be discussed next in Chapter 20. Overloaded operators are treated in Chapter 21.
  • 141.
    135 18. Properties When aclient of a class C accesses data in C via properties, the client of C may have the illusion that it accesses data directly. From a notational point of view, the client of C cannot tell the difference between access to a variable in C and access via a property. Properties have not been invented in the process of creating C#. Properties have, in some forms, been used in Visual Basic and Delphi (which is a language in the Pascal family). Properties, in the sense discussed below, are not present in Java or C++. Java only allows data to be accessed directly or via methods. Therefore, in Java, it is always possible for clients of a class C to tell if data is accessed directly from a variable in C or indirectly via a method i C. In C#, it is not. In this material we classify properties as operations, side by side with methods and similar abstractions. Underneath - in the Common Intermediate Language - properties are in fact treated as (getter and setter) methods. 18.1. Properties in C# Lecture 5 - slide 7 When we use a property it looks like direct access of a variable. But it is not. A variable references to a stored location. A property activates a calculation which is encapsulated in an abstraction. The calculations that access data in a class C via properties should be efficient. If not, the clients of C are easily misled. Complicated, time consuming operations should be implemented in methods, see Chapter 20. Let us first present a very simple, but at the same time a very typical example of properties. In Program 18.1 the Balance property accesses the private instance variable balance. Notice that the name of the property is capitalized, and that the name of the instance variable is not. This is a widespread convention in many coding styles. 1 2 3 4 5 6 7 8 9 10 11 12 13 14 15 16 17 18 19 20 21 22 23 24 using System; public class BankAccount { private string owner; private decimal balance; public BankAccount(string owner, decimal balance) { this.owner = owner; this.balance = balance; } public decimal Balance { get {return balance;} } public void Deposit(decimal amount){ balance += amount; } public void Withdraw(decimal amount){ balance -= amount; }
  • 142.
    136 25 26 27 28 29 public override stringToString() { return owner + "'s account holds " + + balance + " kroner"; } } Program 18.1 A BankAccount class with a trivial Balance property together with Deposit and Withdraw methods. In class BankAccount it is natural to read the balance via a property, but is problematic to write the balance via a property. Therefore, there is no setter in the Balance property. Instead, Deposit and Withdraw operations (methods) are used. In general we should carefully consider the need for readability and writablity of individual instance variables. The public Balance property as programmed in Program 18.1 provides for read-access to the private instance balance variable. You may complain that this is a complicated way of making the instance variable public. What is important, however, is that at a later point in the program evolution process we may change the private data representation. We may, for instance, eliminate the instance variable balance entirely, but keep the interface to clients - the Balance property - intact. This is illustrated in Program 18.2 below. 1 2 3 4 5 6 7 8 9 10 11 12 13 14 15 16 17 18 19 20 21 22 23 24 25 26 27 28 29 30 31 32 33 34 35 36 37 38 using System; public class BankAccount { private string owner; private decimal[] contributions; private int nextContribution; public BankAccount(string owner, decimal balance) { this.owner = owner; contributions = new decimal[100]; contributions[0] = balance; nextContribution = 1; } public decimal Balance { get {decimal result = 0; foreach(decimal ctr in contributions) result += ctr; return result; } } public void Deposit(Decimal amount){ contributions[nextContribution] = amount; nextContribution++; } public void Withdraw(Decimal amount){ contributions[nextContribution] = -amount; nextContribution++; } public override string ToString() { return owner + "'s account holds " + + Balance + " kroner"; } } Program 18.2 A BankAccount class with a Balance property - without a balance instance variable.
  • 143.
    137 The interesting thingto notice is that the balance of the bank account now is represented by the decimal array called contributions in line 6 of Program 18.2. The Balance property in line 16-22 accumulates the contributions in order to calculate the balance of the account. From a client point of view we can still read the balance of the bank account via the Balance property. Underneath, however, the implementation of the Balance getter in line 16-22 of Program 18.2 has changed a lot compared to line 14 of Program 18.1. We show a simple client program in Program 18.3, and its output in Listing 18.4 (only on web). The client program in Program 18.3 can both be used together with BankAccount in Program 18.1 and Program 18.2. Thus, the client program has no awareness of the different representation of the balance in the two versions of class BankAccount. The only thing that matters in the relation between class BankAccount and its client class is the client interface of class BankAccount. 1 2 3 4 5 6 7 8 9 10 11 12 13 14 15 16 17 18 19 using System; class C{ public static void Main(){ BankAccount ba = new BankAccount("Peter", 1000); Console.WriteLine(ba); ba.Deposit(100); Console.WriteLine("Balance: {0}", ba.Balance); ba.Withdraw(300); Console.WriteLine("Balance: {0}", ba.Balance); ba.Deposit(100); Console.WriteLine("Balance: {0}", ba.Balance); } } Program 18.3 A client program. Above we have discussed getting of instance variables in objects. In the BankAccount class we have seen how to access to the balance instance variable via a getter in the property Balance. Technically, it is also possible to change the value of the balance instance variable by a setter. Conceptually, we would rather prefer to update the bank accounts by use of the methods Deposit and WithDraw. Nevertheless, here is the Balance property with both a getter and a setter. public decimal Balance { get {return balance;} set {balance = value;} } The setter is activated in an assignment like b.Balance = expression; The important thing to notice is that the property Balance is located at the left-hand side of the assignment operator. The value of expression is bound to the pseudo variable value in the property, and as it appears in the setter, the value of value is assigned to the instance variable balance. Properties can also be used for getting and setting fields of struct values. In addition, properties can be used to get and set static variables in both classes and structs.
  • 144.
    138 This ends theessential examples of the Balance property of class BankAccount. In the web version of the material we provide yet another variation of the Balance property in class BankAccount. In this example, we enforce a strict alternation between getting and setting the balance of a bank account. Please consult the web edition for details. This ends our discussion of the exotic variation of class BankAccount. Exercise 5.1. A funny BankAccount In this exercises we provide a version of class BankAccount with a "funny version" of the Balance property. You should access the exercise via the web version, in order to get access to the source programs involved. Study the Balance property of the funny version of class BankAccount. Explain the behaviour of the given client of the funny BankAccount. Next test-run the program and confirm your understanding of the two classes. Please notice how difficult it is to follow the details when properties - like Balance in the given version of class BankAccount - do not pass data directly to and from the instance variables. 18.2. Properties: Class Point with polar coordinates Lecture 5 - slide 8 We will now look at another very realistic example of properties in C#. The example in Program 18.8 is a continuation of the Point examples in Program 11.2. Originally, and for illustrative purposes, in Program 11.2 we programmed a simple point with public access to its x and y coordinates. We never do that again. The x and y coordinates used in Program 18.8 are called rectangular coordinates because they delineate a rectangle between the point and (0,0). In the class Point in Program 18.8 we have changed the data representation to polar coordinates. In the paper version of the material we show only selected parts of the class. (We have, in particular, eliminated a set of static methods that convert between rectangular and polar coordinates). In the web version the full class definition is included. Using polar coordinates, a point is represented as a radius and an angle. In addition, and as emphasized with purple in Program 18.8 we have programmed four properties, which access the polar and the rectangular coordinates of a point. The properties Angle and Radius are, of course, trivial, because they just access the underlying private instance variables. The properties X and Y require some coordinate transformations. We have programmed all the necessary coordinate transformations in static private methods of class Point. In the web edition of the material these methods are shown at the bottom of class Point. 1 2 3 4 5 // A versatile version of class Point with Rotation and internal methods // for rectangular and polar coordinates. using System;
  • 145.
    139 6 7 8 9 10 11 12 13 14 15 16 17 18 19 20 21 22 23 24 25 26 27 28 29 30 31 32 33 34 35 36 public class Point{ public enum PointRepresentation {Polar, Rectangular} private double r, a; // Polar data representation public Point(double x, double y){ r = RadiusGivenXy(x,y); a = AngleGivenXy(x,y); } public double X { get {return XGivenRadiusAngle(r,a);} } public double Y { get {return YGivenRadiusAngle(r,a);} } public double Radius { get {return r;} } public double Angle{ get {return a;} } // Some constructors and methods are not shown } Program 18.8 Class Point with polar data representation. Exercise 5.2. Point setters In the Point class on the accompanying slide we have shown how to program getter properties in the class Point. Extend the four properties with setters as well. The new version of this class will support mutable points. Write a small client program that demonstrates the use of the setter properties. Hint: Please be aware that the revised class should allow us to get and set the rectangular and polar coordinates (x, y, angle, radius) of a point independent of each other. You should first consider what it means to do so. 18.3. Automatic Properties Lecture 5 - slide 9 Many of the properties that we write are trivial in the sense that they just get or set a single instance variable. It is tedious to write such trivial properties. It may be possible to ask the programming environment to help with creation of trivial properties. Alternatively in C# 3.0, it is possible for the compiler to generate the trivial properties automatically from short descriptions.
  • 146.
    140 Let us studyan example, which extends the initial bank account example from Program 18.1. The example is shown in Program 18.9 and the translation done by the compiler is shown in Program 18.10. 1 2 3 4 5 6 7 8 9 10 11 12 13 14 15 16 17 18 19 using System; public class BankAccount{ // automatic generation of private instance variables public BankAccount(string owner, decimal balance){ this.Owner = owner; this.Balance = balance; } public string Owner {get; set;} public decimal Balance {get; set;} public override string ToString(){ return Owner + "'s account holds " + Balance + " kroner"; } } Program 18.9 Class BankAccount with two automatic properties. Based on the formulations in line 12 and 14, the compiler generates the "real properties" shown below in line 13-21 of Program 18.10. As an additional and important observation, it is no longer necessary to define the private instance variables. The compiler generates the private "backing" instance variables automatically. In terms of the example, the lines 5-6 in Program 18.10 are generated automatically. As a consequence of automatically generated instance variables, the instance variables cannot be accessed in the class. The names of the instance variables are unknown, and therefore they cannot be used at all! Instead, the programmer of the class accesses the hidden instance variables through the properties. As an example, the owner and balance are accessed via the properties Owner and Balance in line 17 of the ToString method in Program 18.9. 1 2 3 4 5 6 7 8 9 10 11 12 13 14 15 16 17 18 19 20 21 using System; public class BankAccount{ private string _owner; private decimal _balance; public BankAccount(string owner, decimal balance){ _owner = owner; _balance = balance; } public string Owner { get {return _owner;} set {_owner = value;} } public decimal Balance { get {return _balance;} set {_balance = value;} }
  • 147.
    141 22 23 24 25 26 public override stringToString(){ return Owner + "'s account holds " + Balance + " kroner"; } } Program 18.10 An equivalent BankAccount class without automatic properties. Because properties, internally in a class, play the role of instance variables, it is hardly meaningful to have an automatic property with a getter and no setter. The reason is that the underlying instance variable cannot be initialized - simple because its name is not available. Similarly, an automatic property with a setter, but not getter, would not make sense, because we would not be able to access the underlying instance variable. Therefore the compiler enforces that an automatic property has both a getter and a setter. It is possible, however, to limit the visibility of either the getter or setter (but not both). As an example, the following definition of the Balance property public string Balance {get; private set;} provides for public reading, but only writing from within the class. In class BankAccount, this is probably what we want. It is OK to access the balance from outside, but we the account to be updated by use of either the Deposit method or the Withdraw method. Finally, let us observe that the syntax of automatic properties is similar to the syntax used for abstract properties, see Section 30.3. Automatic properties: Reflections and recommendations. FOCUS BOX 18.1FOCUS BOX 18.1FOCUS BOX 18.1FOCUS BOX 18.1 I recommend that you use automatic properties with some care! It is worth emphasizing that a class almost always encapsulates some state - instance variables - some of which can be accessed by properties. It feels strange that we can program in a way - with automatic properties - without ever declaring the instance variables explicitly. And it feels strange that we never, from within the class, refers to the instance variables. Automatic properties are useful in the early life of a class, where we allows for direct (one-to-one) access to the instance variables via methods or properties. In an early version of the class Point of Section 11.6, this was the case. (We actually started with public instance variables, but this mistake is taken care of in Exercise 3.3). Later on, we may internally invent a more sophisticated data representation - or we may change our mind with respect to the data representation. In the Point class we went from a rectangular representation to a polar representation. The data representation details should always be a private and internal concern of the class. When this change happens we have to introduce instance variables, exactly as described in Section 11.8. When doing so we have to get rid of the automatic properties. The introduction of instance variables and the substitution of the automatic properties with 'real properties' represent internal changes to the Point class. The clients of Point will not be affected by these changes. This is the point! In the rest of the lifetime of class Point, it is unlikely that automatic properties will be 'part of the story'. Automatic properties contribute to a C# 3.0 convenience layer on top of already existing means of expressions.
  • 148.
    142 18.4. Object Initializationvia Properties Lecture 5 - slide 10 In this section we will see that property setters in C#3.0 can be used for initialization purposes in the slipstream of constructors. The properties that we use for such purposes can be automatic properties, as discussed in Section 18.3. Let us again look at a simple BankAccount class, see Program 18.11. The class has two automatic properties, backed by two instance variables, which we cannot access. In addition, the class has two constructors, cf. Section 12.4. 1 2 3 4 5 6 7 8 9 10 11 12 13 14 15 16 17 18 19 20 21 22 using System; public class BankAccount{ // automatic generation of private instance variables public BankAccount(): this("NN") { } public BankAccount(string owner){ this.Balance = 0; this.Owner = owner; } public string Owner {get; set;} public decimal Balance {get; set;} public override string ToString(){ return Owner + "'s account holds " + Balance + " kroner"; } } Program 18.11 Class BankAccount - with two constructors. Below, in Program 18.12 we make an instance of class BankAccount in line 6. As emphasized in purple the owner and balance is initialized by a so-called object initializer, in curly brackets, right after new BankAccount. The initializer refers the setter of the automatic properties Owner and Balance. All together we have made a new bank account by use of the parameterless constructor. The initialization is done by the setters of the Owner and the Balance properties. In line 7 of Program 18.12 we make another instance of class BankAccount, where Owner is initialized via the actual parameter "Bill" passed to the constructor, and the balance is initialized via an object initializer in curly brackets.
  • 149.
    143 1 2 3 4 5 6 7 8 9 10 11 12 13 14 using System; public classClient { public static void Main(){ BankAccount ba1 = new BankAccount{Owner = "James", Balance = 250}, ba2 = new BankAccount("Bill"){Balance = 1200}; Console.WriteLine(ba1); Console.WriteLine(ba2); } } Program 18.12 A client of class BankAccount with an object initializer. The compiler translates line 6 of Program 18.12 to line 6-8 in Program 18.13. Similarly, line 7 of Program 18.12 is translated to line 10-11 in Program 18.13. 1 2 3 4 5 6 7 8 9 10 11 12 13 14 15 16 17 using System; public class Client { public static void Main(){ BankAccount ba1 = new BankAccount(); ba1.Owner = "James"; ba1.Balance = 250; BankAccount ba2 = new BankAccount("Bill"); ba2.Balance = 1200; Console.WriteLine(ba1); Console.WriteLine(ba2); } } Program 18.13 An equivalent client of class BankAccount without object initializers. Let us, finally, elaborate the example with the purpose of demonstrating nested object initializers. In Program 18.14 we show the classes BankAccount and Person. As can be seen, an instance of class BankAccount refers to an owner which is an instance of class Person. It turns out to be crucial for the example that the Owner of a BankAccount refers to a Person object (more specifically, that it is not a null reference). 1 2 3 4 5 6 7 8 9 10 11 using System; public class BankAccount{ public BankAccount(){ this.Balance = 0; this.Owner = new Person(); } public Person Owner {get; set;} public decimal Balance {get; set;}
  • 150.
    144 12 13 14 15 16 17 18 19 20 21 22 23 24 25 public override stringToString(){ return Owner + "'s account holds " + Balance + " kroner"; } } public class Person { public string FirstName {get; set;} public string LastName {get; set;} public override string ToString(){ return FirstName + " " + LastName; } } Program 18.14 Class BankAccount and class Person. In the Client class, see Program 18.15 we make two BankAccounts , ba1 and ba2. The initializers, emphasized in line 7-9 and 12-14, initialize the Owner of a BankAccount with nested object initializers. Notice that there is no new operator in front of {FirstName = ..., LastName = ...}. The Person object already exists. In this example, it is instantiated in line 7 of Program 18.14 together with the BankAccount. 1 2 3 4 5 6 7 8 9 10 11 12 13 14 15 16 17 18 19 20 using System; public class Client { public static void Main(){ BankAccount ba1 = new BankAccount{ Owner = {FirstName = "James", LastName = "Madsen"}, Balance = 250}, ba2 = new BankAccount{ Owner = {FirstName = "Bill", LastName = "Jensen"}, Balance = 500}; Console.WriteLine(ba1); Console.WriteLine(ba2); } } Program 18.15 A client of class BankAccount with nested object initializers. The use of property names (setters) in object initializers gives the effect of keyword parameters. Keyword parameters refer to a formal parameter name in the actual parameter list. Keyword parameters can be given in any order, as a contrast to positional parameters, which must given in the order dictated by the formal parameter list. In addition, the caller of an abstraction that accepts keyword parameters can choose not to pass certain keyword parameters. In that case, defaults will apply. In case of C#, such default values can be defined within the body of the constructors.
  • 151.
    145 18.5. Summary ofproperties in C# Lecture 5 - slide 11 The syntax of property declarations is shown in Syntax 18.1. Both the get part and the set part are optional. Syntactically, the signature a property declaration is like a method declaration without formal parameters. As can be seen, the syntax of a property body is very different from the syntax of a method body. modifiers return-type property-name{ get {body-of-get} set {body-of-set} } Syntax 18.1 The syntax of a C# property. Here we show both the getter and setter. At least one of them must be present. The following summarizes the characteristics of properties in C#: • Provides for either read-only, write-only, or read-write access • Both instance and class (static) properties make sense • Property setting appears on the left of an assignment, and in ++ and -- • Trivial properties can be defined "automatically" • Properties should be fast and without unnecessary side-effects The following observations about property naming reflect a given coding style. A coding style is not enforced by the compiler. A C# property will often have the same name as a private data member The name of the property is capitalized - the name of the data member is not
  • 152.
  • 153.
    147 19. Indexers From anotational point of view it is often attractive to access the data, encapsulated in a class or struct, via conventional array notation. Indexers are targeted to provide array notation on class instances and struct values. Indexers can be understood as a specialized kind of properties, see Chapter 18. Both indexers and properties are classified as operations in this material, together with methods and other similar abstractions. 19.1. Indexers in C# Lecture 5 - slide 13 Indexers allow access to data in an object with use of array notation The important benefit of indexers is the notation they make available to their clients. Let us assume that v is a variable that holds a reference to an object obj. With use of methods we can access data in obj with v.method(parameters). In Chapter 18 we introduced properties and the property access notation v.property. We will now introduce the notation v[i], where i typically (but not necessarily) is some integer (index) value. We will start with an artificial ABC example in Program 19.1 which tells how to define an indexer in a class that encapsulates three instance variables d, e, and f. The indexer is used in a client class in Program 19.2. The example introduces the indexer abstraction, but it is not a typical use of an indexer. As it can be seen in Program 19.1 an indexer must be named "this". Like a property, it has a getter and a setter part. The getter is activated when we encounter an expression a[i], where a is a variable of type A. The body of the getter determines the value of a[i]. The setter is activated when we encounter an assignment like a[i] = expression. The value of expression is bound to the implicit parameter named value. The body of the setter determines the effect on the instance variables in obj upon execution of a[i] = expression. In Program 19.1 a[1] accesses the instance variable d, a[2] accesses the instance variable e, and a[3] accesses the instance variable f. This is not a typical arrangement, however. Most often, indexers are used to access members of a data collection. 1 2 3 4 5 6 7 8 9 10 using System; public class A { private double d, e, f; public A(double v){ d = e = f = v; } public double this [int i]{
  • 154.
    148 11 12 13 14 15 16 17 18 19 20 21 22 23 24 25 26 27 28 29 30 31 32 33 get { switch (i){ case1: {return d;} case 2: {return e;} case 3: {return f;} default: throw new Exception("Error"); } } set { switch (i){ case 1: {d = value; break;} case 2: {e = value; break;} case 3: {f = value; break;} default: throw new Exception("Error"); } } } public override string ToString(){ return "A: " + d + ", " + e + ", " + f; } } Program 19.1 A Class A with an indexer. Program 19.2 shows the indexer from Program 19.1 in action. First, in line 9, we illustrate the three setters, where a[i] occurs at the left-hand side of the assignment symbol. Following that, in line 11, we illustrate two getters. The output of Program 19.2 is shown in Listing 19.3 (only on web). 1 2 3 4 5 6 7 8 9 10 11 12 13 14 15 16 using System; class B { public static void Main(){ A a = new A(5); double d; a[1] = 6; a[2] = 7.0; a[3] = 8.0; d = a[1] + a[2]; Console.WriteLine("a: {0}, d: {1}", a, d); } } Program 19.2 A client of A which uses the indexer of A. As an additional example of indexers we will study the class BitArray. This example is only present in the web-version of the material. 19.2. Associative Arrays Lecture 5 - slide 14 In Section 19.1 we showed how to index an object with a single integer index. In this section we will demonstrate that the indexing value can have an arbitrary type. Thus, the type of obj in a[obj] can be an arbitrary type in C#, for instance a type we program ourselves.
  • 155.
    149 An associative arrayis an array which allows indexing by means of arbitrary objects, not just integers An associative arrays maps a set of objects (the indexing objects, keys) to another set of objects (the element objects). In Program 19.6 we illustrate how to index instances of class A with strings instead of integers. If you understood Program 19.1 and Program 19.2 it will also be easy to understand Program 19.6 and Program 19.7. Notice in this context that C#, very conveniently, allows switch control structures to switch on strings. The program output is shown in Listing 19.8 (only on web). 1 2 3 4 5 6 7 8 9 10 11 12 13 14 15 16 17 18 19 20 21 22 23 24 25 26 27 28 29 30 31 32 33 using System; public class A { private double d, e, f; public A(double v){ d = e = f = v; } public double this [string str]{ get { switch (str){ case "d": {return d;} case "e": {return e;} case "f": {return f;} default: throw new Exception("Error"); } } set { switch (str){ case "d": {d = value; break;} case "e": {e = value; break;} case "f": {f = value; break;} default: throw new Exception("Error"); } } } public override string ToString(){ return "A: " + d + ", " + e + ", " + f; } } Program 19.6 The class A indexed by a string. 1 2 3 4 5 6 7 8 9 10 11 12 13 14 15 using System; class B { public static void Main(){ A a = new A(5); double d; a["d"] = 6; a["e"] = 7.0; a["f"] = 8.0; d = a["e"] + a["f"]; // corresponds to d = a.d + a.e // in case d and e had been public Console.WriteLine("a: {0}, d: {1}", a, d); }
  • 156.
    150 16 } Program 19.7A client of A which uses the string indexing of A. We have seen that it makes sense to index with strings, and more generally with an arbitrary instance of a class. In fact, it is possible to base the indexing on two or more objects. This is, of course, important if we index multi-dimensional data structures. Associative arrays are in C# implemented by means of hashtables in dictionaries In the lecture about collections, see Chapter 46, we will see how to make use so-called dictionaries (typically implemented as hash tables) for efficient data structures that map a set of objects to another set of objects. Indexers, as discussed in this section chapter, provide a convenient surface notation to deal with such dictionaries. In Section 46.2 the indexer prescribed by the generic interface IDictionary<K,V> accesses objects of type V via an index of type K. 19.3. Summary of indexers in C# Lecture 5 - slide 15 Here follows a syntax diagram of indexers: modifiers return-type this[formal-parameter-list] get {body-of-get} set {body-of-set} } Syntax 19.1 The syntax of a C# indexer It is similar to the syntax diagram of properties, as shown in Syntax 18.1 The main characteristics of indexers are as follows: • Provide for indexed read-only, write-only, or read-write access to data in objects • Indexers can only be instance members - not static • The indexing can be based on one, two or more formal parameters • Indexers can be overloaded • Indexers should be without unnecessary side-effects • Indexers should be fast
  • 157.
    151 20. Methods Methods arethe most important kind of operations in C#. Methods are more fundamental than properties and indexers. We would be able to do object-oriented programming without properties and indexers (by implementing all properties and indexers as methods), but not without methods. In Java, for instance, there are methods but no properties and no indexers. A method is a procedure or a function, which is part of a class. Methods (are supposed to) access (operate on) the data, which are encapsulated by the class. Methods should be devoted to nontrivial operations. Trivial operations that just read or write individual instance variables should in C# be programmed as properties. We have already in Section 11.9 and Section 11.11 studied the fundamentals of methods in an object- oriented programming language. In these sections we made the distinction between instance methods and class methods. Stated briefly, instance methods operate on instance variables (and perhaps class variables as well). Class methods (called static methods in C#) can only operate on class variables (static variables in C#). When we do object-oriented programming we organize most data in instances of classes (objects) and in values of struct types. We only use class related data (in static variables) to a lesser degree. Therefore instance methods are more important to us than class methods. In the rest of this chapter we will therefore focus on instance methods. This chapter is long because we have to cover a number of different parameter passing modes. If you only need a basic understanding of methods and the most frequently used parameter passing mode - call-by-value parameters - you should read until (and including) Section 20.4 and afterwards proceed to Chapter 21. 20.1. Local variables in methods Lecture 5 - slide 18 Local variables of a method are declared in the statements part of the block relative to Syntax 20.1. Local variables are short lived; They only exists during the activation of the method. modifiers return-type method-name(formal-parameter-list){ statements } Syntax 20.1 The syntax of a method in C# You should notice the difference between local variables and parameters, which we discuss below in Section 20.2. Parameters are passed and initialized when the method is activated. The initial value comes from an actual parameter. Local variables are introduced in the statements part (the body) of the method, and as explained below they may - or may not - be initialized explicitly. You should also notice the difference between local variables and instance variables of a class. A local variable only exists in a single call of the method. An instance variable exists during the lifetime of an object. Local variables
  • 158.
    152 • May bedeclared anywhere in the block • Not necessarily in the initial part of the block • Can be initialized by an initializer • Can alternatively be declared without an initializer • No default value is assigned to a local variable • Different from instance and class variables which are given default values • The compiler will complain if a local variable is referred without prior assignment In the program below we contrast instance variables of the class InitDemo with local variables in the method Operation of InitDemo. The purple instance variables are implicitly initialized to their default values. The blue local variables in Operations are not. The program does not compile. In line 18 and 19 the compiler will complain about use of unassigned local variables. 1 2 3 4 5 6 7 8 9 10 11 12 13 14 15 16 17 18 19 20 21 22 23 24 25 26 27 using System; class InitDemo{ private int intInstanceVar; private bool boolInstanceVar; public void Operation(){ int intLocalVar; bool boolLocalVar; Console.WriteLine("intInstanceVar: {0}. boolInstanceVar: {1}", intInstanceVar, boolInstanceVar); // Compile time errors: Console.WriteLine("intLocalVar: {0}. boolLocalVar: {1}", intLocalVar, boolLocalVar); } public static void Main(){ new InitDemo().Operation(); } } Program 20.1 Local variables and instance variables - initialization and default values. In C#, Java and similar languages there is no such thing as a global variable. This is often a problem for programmers who are used to pass data around via global variables. If you really, really need a global variable in C#, the best option is to use a class (static) variable in one of your top-level classes. In general, however, it is a better alternative to pass data around via parameters (such as parameters to constructors). 20.2. Parameters Lecture 5 - slide 19 As a natural counterpart to Syntax 18.1 (of properties) and Syntax 19.1 (of indexers) we have shown the syntactical form of a method in Syntax 20.1. The syntactical characteristic of methods, in contrast to
  • 159.
    153 properties and indexers,is the formal parameters in ordinary, soft parentheses: (...). Even a method with no parameters must have an empty pair of parentheses ( ) - in both the method definition and in the method activation. Properties have no formal parameters, and indexers have formal parameters in brackets: [...]. We will now discuss parameter passing in general. The following introduces formal parameters and actual parameters. Actual parameters occur in a call. Formal parameters occur in the method declaration. In general, actual parameters are expressions which are evaluated to arguments. Depending on the kind of parameters, the arguments are somehow associated with the formal parameters. C# offers several different parameter passing modes: • Value parameters • The default parameter passing mode, without use of a modifier • Reference parameters • Specified with the ref modifier • Output parameters • Specified with the out modifier • Parameter arrays • Value parameters specified with the params modifier Far the majority of the parameters in a C# program are passed by value. Thus, the use of value parameters is the most important parameter passing technique for you to understand. Value parameters are discussed in Section 20.3 - Section 20.5. Reference and output parameters are closely related to each other, and they are only rarely used in object- oriented C# programs. Output parameter can be seen as a restricted version of reference parameters. Reference parameters stem from variable parameters (var parameters) in Pascal. Reference parameters are discussed in Section 20.6 and out parameters are discussed in Section 20.7. Parameter arrays cover the idea that a number of actual value parameters (of the same type) are collected into an array. In this way, parameter arrays provide for a more sophisticated correspondence between the arguments and the formal parameters. C# parameter arrays are discussed in Section 20.9. It is, in general, an issue how a given actual parameter (or argument) is related to a formal parameter. This is called parameter correspondence. With value, ref and out parameter we use positional parameter correspondence. This is simple. The first formal parameter is related to the first actual parameter, the second to the second, etc. With parameter arrays, a number of actual parameters - all remaining actual parameters - correspond to a single formal parameter. In general, there are other parameter correspondences, most notable keyword parameters, where the name of the formal parameter is used together with the actual parameter. Keyword parameters are not used directly in C#. But as we have seen in Section 18.4 a kind of keyword parameters is used when properties are used for object initialization in the context of the new operator. In Section 6.9 - Program 6.20 - we have shown a program example that illustrate multiple parameter passing modes in C#. If you wish the ultra short description of parameter passing in C# you can read Section 6.9 instead of Section 20.3 - Section 20.9.
  • 160.
    154 20.3. Value Parameters Lecture5 - slide 20 Value parameters are used for input to methods When the story should told briefly, call-by-value parameters (or just value parameters) are used for input to methods. The output from a method is handled via the value returned from the method - via use of return. This simple version of the story is true for the majority of the methods we write in our classes. But as we will see already in Section 20.4 it is also possible to handle some kinds of output via references to objects passed as value parameters. Value parameter passing works in the following way: • A formal parameter corresponds to a local variable • A formal parameter is initialized by the corresponding argument (the value of the actual parameter expression) • A copy of the argument is bound to the formal parameter • Implicit conversions may take place • A formal parameter is assignable, but with no effect outside the method We have already seen many examples of value parameters. In case you want to review typical examples, please consult the Move method of class Point in Program 11.2, the Withdraw and Deposit methods of class BankAccount in Program 11.8, and the AgeAsOf method in class Person in Program 16.10. 20.4. Passing references as value parameters Lecture 5 - slide 21 Care must be taken if we pass references as value parameters Most of the data we deal with in object-oriented C# programs are represented as instances of classes - as objects. This implies that such data are accessed by references. Again and again we pass such references as value parameters to methods. Therefore we must understand - in details - what happens. Here is the short version of the story. Let us assume that send the message DayDifference to a Date object with another Date object as parameter: someDate.DayDifference(otherDate) Date is a class, and therefore both someDate and otherDate hold references to Date objects. It is possible for the DayDifference method to mutate the Date object referred by otherDate, despite the fact that the parameter of DayDifference is a value parameter. It is not, however, possible for DayDifference to modify value of the variable (actual parameter) otherDate as such.
  • 161.
    155 In the web-versionwe present the source program behind the example is great details. The insight obtained in this section is summarized as follows. In case a reference is passed as an argument to a value parameter, the referenced object can be modified through the formal parameter Exercise 5.3. Passing references as ref parameters It is recommended that you use the web edition of the material when you solve this exercise. The web edition has direct links to the class source files, which you should use as the starting point. In the Date and Person classes of the corresponding slide we pass a reference as a value parameter to method DayDifference in class Date. Be sure to understand this. Read about ref parameters later in this lecture. Assume in this exercise that the formal parameter other in Date.DayDifference is passed by reference (as a C# ref parameter). Similarly, the actual parameter dateOfBirth to DayDifference should (of course) be passed by reference (using the keyword ref in front of the actual parameter). What will be the difference caused by this program modification. Test-drive the program with a suitable client to verify your answer. 20.5. Passing structs as value parameters Lecture 5 - slide 22 This section is parallel to Section 20.4. In this section we pass a struct value (as opposed to an instance of a class) as a value parameter. Our finding is that a struct value (the birthday value of type Date) cannot be mutated from the DayDifference method of struct Date. If we assume that Date is a struct instead of a class, the expression someDate.DayDifference(otherDate) passes a copy of otherDate to DayDifference. The copy is discarded when we return from DayDifference. If DayDifference mutates the value of its parameter, only the local copy is affected. The value of otherDate is not! In the web-version we will discuss the same example as in the web-version of Section 20.4. Notice the following observation. There is a good fit between use of value types and call-by-value parameter passing
  • 162.
    156 If you wishthe best possible fit (and no surprises) you should use value parameters with value types. The use of struct Date instead of class Date also alleviates the privacy leak problem, as pointed out in Section 16.5. See also Exercise 4.3. Exercise 5.4. Passing struct values as ref parameters This exercise corresponds to the similar exercise on the previous slide. In the Date struct and the Person class of this slide we pass a struct value as a value parameter to the method DayDifference. Assume in this exercise that the formal parameter other in Date.DayDifference is passed by reference (a C# ref parameter). Similarly, the actual parameter dateOfBirth to DayDifference should (of course) be passed by reference (using the keyword ref in front of the actual parameter). What will be the difference caused by this program modification. You should compare with the version on on the slide. Test-drive the program with a suitable client to verify your answer. 20.6. Reference Parameters Lecture 5 - slide 23 In C, call-by-reference parameters are obtained by passing pointers as value parameters. Reference parameters in C# are not the same as call-by-reference parameters in C. Reference parameters in C# are modeled after var parameters in Pascal. Stated briefly, a formal reference parameter in C# is an alias of the corresponding actual parameter. Therefore, the actual parameter must be a variable. Reference parameters can be used for both input to and output from methods Reference parameters can be used to establish alternative names (aliases) of already existing variables. The alternative names are used as formal parameters. Once established, such parameters can be used for both input and output purposes relative to a method call. The established aliases exist until the method returns to its caller. If we - in C# - only are interested in using reference parameters for output purposes we should use out parameters, see Section 20.7. Reference parameters work in the following way: • The corresponding argument must be a variable, and it must have a value • The types of the formal parameter and the argument must be identical • The formal parameter becomes another name (an alias) of the argument
  • 163.
    157 • The actualparameter must be prefixed with the keyword ref In the first item it is stated that an actual reference parameter (which is a variable) must have a value before it is passed. In C#, this is called definite assignment. As described in the fourth item, and as a novel contribution of C#, it is necessary to mark both formal and actual parameter with the ref keyword. In most other languages, only the formal parameter is marked. This may seem to be a little detail, but it implies that it is easy to spot reference parameters in a method calling form. This is very useful. We show an example of reference parameters in Program 20.10: Swapping the values of two variables. This is the example used over and over, when reference parameters are explained. 1 2 3 4 5 6 7 8 9 10 11 12 13 14 15 16 17 18 19 20 21 22 23 24 25 26 27 28 using System; public class A{ private int a, b, c; public A(){ a = 1; b = 2; c = 3; } public void Swap(ref int v1, ref int v2){ int temp; temp = v1; v1 = v2; v2 = temp; } public override string ToString(){ return String.Format("{0} {1} {2}", a, b, c); } public void Go(){ Console.WriteLine("{0}", this); Swap(ref a, ref b); Swap(ref b, ref c); Console.WriteLine("{0}", this); } public static void Main(){ new A().Go(); } } Program 20.10 The class A with a Swap method. In Program 20.10 we instantiate the class itself (class A) in the Main method. We send the parameterless message Go to this object. Hereby we take the transition from a "static situation" to an "object situation". Without this transition it would not have been possible to use the instance variables a, b, and c in class A. (They should instead have been static variables). The Go method pattern illustrated here is inspired from [Bishop04]. 1 2 1 2 3 2 3 1 Listing 20.11 Output of class A with Swap.
  • 164.
    158 It seems naturalto support more than just value parameters in an ambitious, real-world programming language. But it is worth a consideration how much - and in which situations - to use it. We will discuss this in some details in Section 20.8. 20.7. Output Parameters Lecture 5 - slide 24 Output parameters in C# are reference parameters used only for output purposes. Output parameters are used for output from methods. The method is supposed to assign values to output parameters. Here follows the detailed rules of output parameter passing: • The corresponding argument must be a variable • The corresponding argument needs not to have a value on beforehand • The formal parameter should/must be assigned by the method • The formal parameter becomes another name (an alias) of the argument • The types of the formal parameter and the argument must be identical • The actual parameter must be prefixed with the keyword out Notice the second item: It is not necessary that the actual parameter has a value before the call. In fact, the purpose of the out parameter is exactly to (re)initialize the actual out parameters. The method must ensure that the output parameter has a value (is definitely assigned) when it returns. In Program 20.12 DoAdd returns the sum of the parameters v1, v2, and v3 in the last parameter v. The corresponding actual parameter r is initialized by the call to DoAdd in line 21 of Program 20.12. I wrote DoAdd to demonstrate output parameters. Had it not been for this purpose, I would have returned the sum from DoAdd. In that way DoAdd should be called as result = DoAdd(v1, v2, v3). In this case I would de- emphasize the imperative nature by calling it just Add. These changes describe a transition from an imperative to a more functional programming style. 1 2 3 4 5 6 7 8 9 10 11 12 13 14 15 16 17 18 using System; public class A{ private int a, b, c; private int r; public A(){ a = 1; b = 2; c = 3; } public void DoAdd(int v1, int v2, int v3, out int v){ v = v1 + v2 + v3; } public override string ToString(){ return String.Format("{0} {1} {2}. {3}", a, b, c, r); }
  • 165.
    159 19 20 21 22 23 24 25 26 27 28 public void Go(){ Console.WriteLine("{0}",this); DoAdd(a, b, c, out r); Console.WriteLine("{0}", this); } public static void Main(){ new A().Go(); } } Program 20.12 The class A with a DoAdd method. 1 2 1 2 3. 0 1 2 3. 6 Listing 20.13 Output of class A with DoAdd. In Program 20.14 of Section 20.9 we show a variant of Program 20.12, which allows for an arbitrary number of actual parameters. This variant of the program is introduced with the purpose of illustrating parameter arrays. 20.8. Use of ref and out parameters in OOP Lecture 5 - slide 25 It is interesting to wonder about the fit between object-oriented programming and the use of reference parameters. Therefore the following question is relevant. How useful are reference and output parameters in object-oriented programming? Output parameters are useful in case we program a method which need to produce two or more pieces of output. In such a situation, we face the following possibilities: • Use a number of out parameters • Mutate objects passed by value parameters • Aggregate the pieces of output in an object and return it • Assign the output to instance variables which subsequently can be accessed by the caller Let us first face the first item. If a (public) method needs to pass back (to its caller) more than one piece of output, which are only loosely related to each other, it may be the best solution to use one or more out parameters for these. It should be considered to pass one of the results back via return. In a language with ref and out parameters it is confusing to pass results out of method via references passed by value (call-by-value). Use a ref or an out parameter! If the pieces of output are related - if they together form a concept - it may be reasonable to aggregate the pieces of output in a new struct or a new class. An instance of the new type can then be returned via return.
  • 166.
    160 Assignment of multiplepieces of output to instance variables in the enclosing class, and subsequent access of these via properties, may compromise the original idea of the class to which the method belongs. It may also pollute the class. Therefore, it should be avoided. ref and out parameters are relatively rare in the C# standard libraries In summary, we see that there are several alternatives to the use of reference and output parameters in an object-oriented context. Reference (ref) and output (out) parameters are only used in very few methods in the .NET framework libraries. In general, it seems to be the case that reference parameters and output parameters are not central to object-oriented programming. 20.9. Parameter Arrays Lecture 5 - slide 26 In the previous sections we have discussed various parameter passing techniques. They were all related to the meaning of the formal parameter relative to the corresponding actual parameter (and the argument derived from the actual parameter). In this section we will concentrate on the parameter correspondence mechanism. In the parameter passing discussed until now there has been a one-to-one correspondence between formal parameters and actual parameters. In this section we will study a parameter passing technique where zero, one, or more actual parameters correspond to a single formal parameter. A parameter array is a formal parameter of array type which can absorb zero, one or more actual parameters A formal parameter list in C# starts with a number of value/reference/output parameters for which there must exist corresponding actual parameters in a method activation. Following these parameters there can be a single parameter array, which collects all remaining arguments in an array. With parameter arrays, there can be arbitrary many actual parameters following the 'ordinary parameters', but not arbitrary few. There must always be so many actual parameters that all the 'required' formal parameters (before a possible parameter arrays) are associated. The following rules pertain to use of parameter arrays in C#: • Elements of a parameter array are passed by value • A parameter array must be the last parameter in the formal parameter list • The formal parameter must be a single dimensional array • Arguments that follow ordinary value, ref and out parameters are put into a newly allocated array object • Arguments are implicitly converted to the element type of the array
  • 167.
    161 It is easiestto understand parameter arrays from an example, such as Program 20.14. This is a variant of Program 20.12, which we have already discussed in Section 20.7. The DoAdd method takes one required parameter (which is an output parameter). As the actual out parameter in line 24, 27, and 30 we use the instance variable r. Following this parameter comes the parameter array called iv (for input values). All actual parameters after the first one must be of type int, and they are collected and inserted into an integer array, and made available to DoAdd as the int array iv. In Program 20.14 the DoAdd messages to the current object add various combinations of the instance variables a, b, and c together. The result is assigned to the out parameter of DoAdd. 1 2 3 4 5 6 7 8 9 10 11 12 13 14 15 16 17 18 19 20 21 22 23 24 25 26 27 28 29 30 31 32 33 34 35 36 37 using System; public class A{ private int a, b, c; private int r; public A(){ a = 1; b = 2; c = 3; } public void DoAdd(out int v, params int[] iv){ v = 0; foreach(int i in iv) v += i; } public override string ToString(){ return String.Format("{0} {1} {2}. {3}", a, b, c, r); } public void Go(){ Console.WriteLine("{0}", this); DoAdd(out r, a, b, c); Console.WriteLine("{0}", this); DoAdd(out r, a, b, c, a, b, c); Console.WriteLine("{0}", this); DoAdd(out r); Console.WriteLine("{0}", this); } public static void Main(){ new A().Go(); } } Program 20.14 The class A with a DoAdd method - both out and params. The output of Program 20.14 is shown in Listing 20.15. We have emphasized the value of r after each DoAdd message. Be sure that you are able to understand the parameter passing details. 1 2 3 4 1 2 3. 0 1 2 3. 6 1 2 3. 12 1 2 3. 0 Listing 20.15 Output of class A with DoAdd - both out and params.
  • 168.
    162 The type constrainton the actual parameters can be 'removed' by having a formal parameter array of type Object[]. When we studied nullable types in Section 14.9 we encountered the IntSequence class. In line 5 of Program 14.17 you can see a parameter array of the constructor. Please notice the flexibility it gives in the construction of new IntSequence objects. See also Program 14.19 where IntSequence is instantiated with use of the mentioned constructor. 20.10. Extension Methods Lecture 5 - slide 27 In C#3.0 an extension method defines an instance method in an existing class without altering the definition of the class. The use of extension methods is convenient if you do not have access to the source code of the class, in which we want to have a new instance method. Let us look at an example in order to illustrate the mechanisms behind the class extension. We use Program 11.3 as the starting point. In line 26-31 of Program 11.3 it can be observed that we have inlined calculation of distances between pairs of points. It would embellish the program if we had called p.DistanceTo(q) instead of Math.Sqrt((p.x - q.x) * (p.x - q.x) + (p.y - q.y) * (p.y - q.y)); to find the distance between to points p and q. We will now assume that the instance method DistanceTo can be used on an instance of class Point. Program 20.16 below shows the embellishment of Program 11.3. 1 2 3 4 5 6 7 8 9 10 11 12 13 14 15 16 17 18 19 20 21 22 23 24 25 26 27 28 // A client of Point that instantiates three points and calculates // the circumference of the implied triangle. using System; public class Application{ public static void Main(){ Point p1 = PromptPoint("Enter first point"), p2 = PromptPoint("Enter second point"), p3 = PromptPoint("Enter third point"); double p1p2Dist = p1.DistanceTo(p2), p2p3Dist = p2.DistanceTo(p3), p3p1Dist = p3.DistanceTo(p1); double circumference = p1p2Dist + p2p3Dist + p3p1Dist; Console.WriteLine("Circumference: {0} {1} {2}: {3}", p1, p2, p3, circumference); } public static Point PromptPoint(string prompt){ Console.WriteLine(prompt); double x = double.Parse(Console.ReadLine()), y = double.Parse(Console.ReadLine()); return new Point(x,y, Point.PointRepresentation.Rectangular);
  • 169.
    163 29 30 31 } } Program 20.16 AClient of class Point which uses an extension method DistanceTo. It is possible to extend class Point with the instance method DistanceTo without altering the source code of class Point. In a static class, such as in class PointExtensions shown below in Program 20.17, we define the DistanceTo method. It is defined as a static method with a first parameter prefixed with the keyword this. The C#3.0 compiler is able to translate an expression like q.DistanceTo(q) to PointExtensions.DistanceTo(p,q). This is the noteworthy "trick" behind extension methods. 1 2 3 4 5 6 7 8 9 10 using System; public static class PointExtensions{ public static double DistanceTo(this Point p1, Point p2){ return Math.Sqrt((p1.X - p2.X) * (p1.X - p2.X) + (p1.Y - p2.Y) * (p1.Y - p2.Y)); } } Program 20.17 The static class PointExtensions. In summary, an extension method • extends the type of the first parameter • is defined as a static method with a this modifier on the first parameter • must be defined in a static class • cannot access private instance variables in the extended class • is called by - behind the scene - translating to a call of the static method Exercise 5.5. Extending struct Double At the accompanying page we have seen how class Point can be extended externally with the method DistanceTo. This is an extension method. If you study the method DistanceTo you will see that we use the squareroot function Math.Sqrt, defined statically in class Math. And we could/should have used a similar Square function had it been available. It is remarkable that C# 3.0 allows us to extend the structs behind the primitive types, such as Double and Int32. Write a static class that extends struct Double with the two extension methods Sqrt and Square. Afterwards, rewrite the method DistanceTo such that it makes use of the new instance methods in struct Double.
  • 170.
    164 20.11. Methods versusProperties versus Indexers Lecture 5 - slide 28 Here at the end of the chapter about methods we will summarize some rule of thumbs for choosing between properties, indexers and methods in a class: • Properties • For reading and extracting of individual instance/class variables • For writing and assigning individual instance/class variables • For other kinds of data access that does not involve time consuming computations • Indexers • Like properties • Used when it is natural to access data by indexes - array notation - instead of simple names • Used as surface notation for associative arrays • Methods • For all other operations that encapsulate calculations on the data of the class 20.12. References [Bishop04] Judith Bishop and Nigel Horspool, C# Concisely. Pearson. Addison Wesley, 2004.
  • 171.
    165 21. Overloaded Operators Inthis section we will see how we can use the operators of the C# language on instances of our own classes, or on values of our own structs. 21.1. Why operator overloading? Lecture 6 - slide 2 In this section we will describe how to program operations that can be called in expressions that make use of the conventional operators (such as +, &, >>, and !) of C#. Thus, in a client of a class C, we will provide for notation such as aC1 + aC2 * aC3 instead of aC1.Plus(aC2.Mult(aC3)) or (with use of class methods) C.Plus(aC1, C.Mult(aC2,aC3)). Use of operators provides for substantial notational convenience in certain classes When operator notation is natural for objects or values of type C, clients of C can often be programmed with a more dense and readable notation. The example in Program 21.1 (only on web) provides additional motivation. The class OperatorsOrNot, (see Program 21.1 on the web) together with a class MyInt (see Program 21.2 on the web) motivate the use of operators in the context of a complete class. 21.2. Overloadable operators in C# Lecture 6 - slide 3 We have already once studied the operator table of C#, see Section 6.7. In Table 21.1 below we show a version of the operator table of C# (with operator priority and associativity) in which we have emphasized all the operators that can be overloaded in C#.
  • 172.
    166 Level Category OperatorsAssociativity 14 Primary x.y f(x) a[x] x++ x-- new typeof checked unchecked default delegate left to right 13 Unary + - ! ~ ++x --x (T)x true false sizeof left to right 12 Multiplicative * / % left to right 11 Additive + - left to right 10 Shift << >> left to right 9 Relational and Type testing < <= > >= is as left to right 8 Equality == != left to right 7 Logical/bitwise And & left to right 6 Logical/bitwise Xor ^ left to right 5 Logical/bitwise Or | left to right 4 Conditional And && left to right 3 Conditional Or || left to right 2 Conditional ?: right to left 1 Assignment = *= /= %= += - = <<= >>= &= ^= |= ?? => right to left Table 21.1 The operator priority table of C#. The operators that can be overloaded directly are emphasized. All the gray operators in Table 21.1 cannot be overloaded directly. Many of them can, however, be overloaded indirectly, or defined by other means. We will now discuss how this can be done. A notation similar to a[x] (array indexing) can be obtained by use of indexers, see Chapter 19. The conditional (short circuited) operators && and || can be overloaded indirectly by overloading the operators & and |. In addition, the operators called true and false must also be provided. true(x) tells if x counts as boolean true. false(x) tells if x counts as boolean false. (Notice that x belongs to the type - class or struct - in which we have defined the operators). The operators && and || are defined by the following equivalences: • x && y is equivalent to false(x) ? x : (x & y) • x || y is equivalent to true(x) ? x : (x | y) Thus, when x && y is encountered we first evaluate the expression false(x). If the value is true, x is returned. If it is false, y is also evaluated, and the value of x && y becomes x & y. A similar explanation applies for x || y.
  • 173.
    167 You can definethe unary true and false operators in your own classes, and hereby control if the object is considered to be true or false in some boolean contexts. If you define one of them, you will also have to define the other. Recall that an expression of the form a ? b : c uses the conditional operator ?: with the meaning if a then b else c. All the assignment operators, apart from the basic assignment operator =, are implicitly overloadable. As an example, the assignment operator *= is implicitly overloaded when we explicitly overload the multiplication operator *. The type cast operator (T)x can in reality also be overloaded. In a given class C you can define explicit and/or implicit conversion operators that converts to and from C. We will see an example of an explicit type conversion in Program 21.3. 21.3. An example of overloaded operators: Interval Lecture 6 - slide 4 We will now study the type Interval. This type allows us to represent and operate on intervals of integers. The Interval type makes a good case for illustration of overloaded operators. We program all interval operations in a functional style. We want intervals to be non-mutable, and the type is therefore programmed as a struct. An interval is characterized by two integer end points from and to. The interval [from - to] denotes the interval that starts in from and goes to to. The notation [from - to] is an informal notation which we use to explain the the idea of intervals. In a C# program, the interval [from - to] is denoted by the expression new Interval( from,to). Notice that from is not necessarily less than to. The following are concrete examples: [1 - 5] represents the sequence 1, 2, 3, 4, and 5. [5 - 1] represents the sequence 5, 4, 3, 2, and 1. These two sequences are different. In Program 21.3 we see the struct Interval. The private instance variables from and to represent the interval in a simple and straightforward way, and the constructor is also simple. Just after the constructor there are two properties, From and To, that access the end points of the interval. In this version of the type it is not possible to construct an empty interval. We have already dealt with this weakness in Section 16.4 (see Program 16.7 versus Program 16.8) in the context of factory methods. After the two properties we have highlighted a number of overloaded operators. These are our main interest in this section. Notice the syntax for definition of the operators. There are two definitions of the + operator. One of the form anInterval + i and one of the form i + anInterval. Both have the same meaning, namely addition of i to both end-points. Thus [1 - 5] + 3 and 3 + [1 - 5] are both equal to the interval [4 - 8]. In similar ways we define multiplication of intervals and integers. We also define subtraction of an integer from an interval (but not the other way around). The shift operators << and >> provide nice notations for moving one of the end-points of an interval. Thus, [1 - 5] >> 3 is equal to the interval [1 - 8]. Finally, the unary prefix operator ! reverses an interval (internally, by making an interval with swapped end- points). Thus, ![1 - 5] is equal to the interval [5 - 1]. The private class IntervalEnumerator (shown only in the web version) and the method GetEnumerator make it possible to traverse an interval in a convenient way with use of foreach. Interval traversal is what
  • 174.
    168 makes intervals useful.This is illustrated in Program 21.4. We will, in great details, discuss IntervalEnumerator later in this material, see Section 31.6 - in particular Program 31.9. 1 2 3 4 5 6 7 8 9 10 11 12 13 14 15 16 17 18 19 20 21 22 23 24 25 26 27 28 29 30 31 32 33 34 35 36 37 38 39 40 41 42 43 44 45 46 47 48 49 50 51 52 53 54 55 56 57 58 59 60 61 using System; using System.Collections; public struct Interval{ private readonly int from, to; public Interval(int from, int to){ this.from = from; this.to = to; } public int From{ get {return from;} } public int To{ get {return to;} } public int Length{ get {return Math.Abs(to - from) + 1;} } public static Interval operator +(Interval i, int j){ return new Interval(i.From + j, i.To + j); } public static Interval operator +(int j, Interval i){ return new Interval(i.From + j, i.To + j); } public static Interval operator >>(Interval i, int j){ return new Interval(i.From, i.To + j); } public static Interval operator <<(Interval i, int j){ return new Interval(i.From + j, i.To); } public static Interval operator *(Interval i, int j){ return new Interval(i.From * j, i.To * j); } public static Interval operator *(int j, Interval i){ return new Interval(i.From * j, i.To * j); } public static Interval operator -(Interval i, int j){ return new Interval(i.From - j, i.To - j); } public static Interval operator !(Interval i){ return new Interval(i.To, i.From); } public static explicit operator int[] (Interval i){ int[] res = new int[i.Length]; for (int j = 0; j < i.Length; j++) res[j] = i[j]; return res; }
  • 175.
    169 62 63 64 65 66 67 68 69 70 71 private class IntervalEnumerator:IEnumerator{ // Details not shown in this version } public IEnumerator GetEnumerator (){ return new IntervalEnumerator(this); } } Program 21.3 The struct Interval. Take a look at Program 21.4 in which we use intervals. Based on the constructed intervals iv1 and iv2 we write expressions that involve intervals. These are all highlighted in Program 21.4. Let me explain the expression !(3 + !iv2 * 2). When we evaluate this expression we adhere to normal precedence rules and normal association rules of the operators. We cannot change these rules. Therefore, we first evaluate !iv2, which is [5 - 2]. Next we evaluate !iv2 * 2, which is [10 - 4]. To this interval we add 3. This gives the interval [13 - 7]. Finally we reverse this interval. The final value is [7 - 13]. Also emphasized in Program 21.3 we show iv3[0] and iv3[iv3.Length-1]. These expressions use interval indexers. In Exercise 6.1 it is an exercise to program this indexer.Emphasized with blue in Program 21.3 and Program 21.4 we show how to program and use an explicit type cast from Interval to int[].You should follow the evaluations of all highlighted expressions in Program 21.4 and compare your results with the program output in Listing 21.5. 1 2 3 4 5 6 7 8 9 10 11 12 13 14 15 16 17 18 19 20 21 22 23 24 25 26 27 28 29 30 31 32 using System; public class app { public static void Main(){ Interval iv1 = new Interval(17,14), iv2 = new Interval(2,5), iv3; foreach(int k in !(3 + iv1 - 2)){ Console.Write("{0,4}", k); } Console.WriteLine(); foreach(int k in !(3 + !iv2 * 2)){ Console.Write("{0,4}", k); } Console.WriteLine(); iv3 = !(3 + !iv2 * 3) >> 2 ; Console.WriteLine("First and last in iv3: {0}, {1}", iv3[0], iv3[iv3.Length-1]); int[] arr = (int[])iv3; foreach(int j in arr){ Console.Write("{0,4}", j); } } } Program 21.4 A client program of struct Interval.
  • 176.
    170 1 2 3 4 15 16 1718 7 8 9 10 11 12 13 First and last in iv3: 9, 20 9 10 11 12 13 14 15 16 17 18 19 20 Listing 21.5 Output from the interval application. In Program 21.6 we show yet another example of programming overloaded operators. We overload ==, !=, <, and >. This example brings us back to the playing card class which we have discussed already in Program 12.7 of Section 12.6 and Program 14.3 of Section 14.3. Emphasized with colors in Program 21.6 we show operators that compare two cards. Notice, as above, that the operator definitions always are static. Also notice that if we define == we also have to define != . The == operator is defined via the Equals methods, which is redefined in class Card such that it provides value comparison of Card instances. If we redefine Equals we must also redefine GetHashCode. All together, a lot of work! Similarly, if we define <= we have also have to define >= . Please notice that our redefinition of Equals in Program 21.6 is too simple for a real-life program. In Section 28.16 we will see the general pattern for redefinition of the Equals instance method. 1 2 3 4 5 6 7 8 9 10 11 12 13 14 15 16 17 18 19 20 21 22 23 24 25 26 27 28 29 30 31 32 33 34 35 36 37 38 39 40 using System; public enum CardSuite { Spades, Hearts, Clubs, Diamonds }; public enum CardValue { Ace = 1, Two = 2, Three = 3, Four = 4, Five = 5, Six = 6, Seven = 7, Eight = 8, Nine = 9, Ten = 10, Jack = 11, Queen = 12, King = 13}; public class Card{ private CardSuite suite; private CardValue value; // Some methods are not shown in this version public override bool Equals(Object other){ return (this.suite == ((Card)other).suite) && (this.value == ((Card)other).value); } public override int GetHashCode(){ return (int)suite ^ (int)value; } public static bool operator ==(Card c1, Card c2){ return c1.Equals(c2); } public static bool operator !=(Card c1, Card c2){ return !(c1.Equals(c2)); } public static bool operator <(Card c1, Card c2){ bool res; if (c1.suite < c2.suite) res = true; else if (c1.suite == c2.suite) res = (c1.value < c2.value); else res = false; return res;
  • 177.
    171 41 42 43 44 45 46 } public static booloperator >(Card c1, Card c2){ return !(c1 < c2) && !(c1 == c2); } } Program 21.6 The class PlayingCard with relational operators. The details left out in line 14 of Program 21.6 can be seen in the web-version of the paper. Exercise 6.1. Interval indexer It is recommended that you use the web edition of the material when you solve this exercise. The web edition has direct links to the class source files, which you should use as the starting point. The Interval type represents an oriented interval [from - to] of integers. We use the Interval example to illustrate the overloading of operators. If you have not already done so, read about the idea behind the struct Interval in the course teaching material. In the client of struct Interval we use an indexer to access elements of the interval. For some interval i, the expression i[0] should access the from-value of i, and i[i.Length-1] should access the to-value of i. Where, precisely, is the indexer used in the given client class? Add the indexer to the struct Interval (getter only) which accesses element number j (0 <= j <= i.Length) of an interval i. Hint: Be careful to take the orientation of the interval into account. Does it make sense to program a setter of this indexer? Exercise 6.2. An interval overlap operation It is recommended that you use the web edition of the material when you solve this exercise. The web edition has direct links to the class source files, which you should use as the starting point. In this exercise we continue our work on struct Interval, which we have used to illustrate overloaded operators in C#. Add an Interal operation that finds the overlap between two intervals. Your starting point should be the struct Interval. In the version of struct Interval, provided as starting point for this exercise, intervals may be empty. Please analyze the possible overlappings between two intervals. There are several cases that need consideration. The fact that Interval is oriented may turn out to be a complicating factor in the solution. Feel free to ignore the orientation of intervals in your solution to this exercise. Which kind of operation will you chose for the overlapping operation in C# (method, property, indexer,
  • 178.
    172 operator)? Before you programthe operation in C# you should design the signature of the operation. Program the operation in C#, and test your solution in an Interval client program. You may chose to revise the Interval client program from the teaching material. 21.4. Some details of operator overloading Lecture 6 - slide 5 Below we summarize the syntax of operator definition, which overloads a predefined operators symbol. public static return-type operator symbol(formal-par-list){ body-of-operator } Syntax 21.1 The C# syntax for definition of an overloaded operator. There are many detailed rules that must be observed when we overload the predefined operator symbols. Some of them were mentioned in Section 21.3. Others are brought up below. • Operators must be public and static • One or two formal parameters must occur, corresponding to unary and binary operators • At least one of the parameters must be of the type to which the operator belongs • Only value parameters apply • Some operators must be defined in pairs (either none or both): • == and != < and > <= and >= • The special unary boolean operators true and false define when an object is playing the role as true or false in relation to the conditional logical operators • Overloading the binary operator op causes automatic overloading of the assignment operator op= This concludes our coverage of operator overloading. Notice that we have not discussed all details of this subject. You should consult a C# reference manual for full coverage.
  • 179.
    173 22. Delegates In thischapter we will discuss the concept of delegates. Seen in relation to similar, previous object-oriented programming languages (such as Java and C++) this is a new topic. The inspiration comes from functional programming where functions are first class values. If x is a first class value x can be passed as parameter, x can be returned from functions, and x can be part of data structures. With the introduction of delegates, methods become first class values in C#. We will explore this "exciting world be new opportunities" in the next few sections. 22.1. Delegates in C# Lecture 6 - slide 7 The idea of a delegate in a nutshell is as follows: A delegate is a type the values of which consist of methods Delegates allow us to work with variables and parameters that contain methods Thus, a delegate in C# defines a type, in the same way as a class defines a type. A delegate reflects the signature of a set of methods, not including the method names, however. A delegate is a reference type in C#. It means that values of a delegate type are accessed via references, in the same way as an object of a class always is accessed via a reference. In particular, null is a possible delegate value. In Program 22.1 NummericFunction is the name of a new type. This is the type of functions that accept a double and returns a double. The static method PrintTableOfFunction takes a NummericFunction f as first parameter. PrintTableOfFunction prints a table of f values within a given range [from,to] and with a given granularity, step. In the Main method we show a number of activations of PrintTableOfFunction. The first three activations generate tables of the well-known functions log, sinus, and abs. Notice that these functions belong to the NummericFunction delegate, because they are all are functions from double to double. The last activation generates a table of the method Cubic, as we have defined it in Program 22.1. It is again crucial that Cubic is a function from double to double. If Cubic had another signature, such as int -> int or double x double -> double, it would not fit with the NumericFunction delegate. 1 2 3 4 5 6 7 8 9 10 11 12 13 14 15 16 17 18 using System; public class Application { public delegate double NumericFunction(double d); public static void PrintTableOfFunction(NumericFunction f, string fname, double from, double to, double step){ double d; for(d = from; d <= to; d += step){ Console.WriteLine("{0,10}({1,-4:F3}) = {2}", fname, d, f(d)); } Console.WriteLine(); }
  • 180.
    174 19 20 21 22 23 24 25 26 27 28 29 30 31 32 33 34 35 public static doubleCubic(double d){ return d*d*d; } public static void Main(){ PrintTableOfFunction(Math.Log, "log", 0.1, 5, 0.1); PrintTableOfFunction(Math.Sin, "sin", 0.0, 2 * Math.PI, 0.1); PrintTableOfFunction(Math.Abs, "abs", -1.0, 1.0, 0.1); PrintTableOfFunction(Cubic, "cubic", 1.0, 5.0, 0.5); // Equivalent to previous: PrintTableOfFunction(delegate (double d){return d*d*d;}, "cubic", 1.0, 5.0, 0.5); } } Program 22.1 A Delegate of simple numeric functions. In line 31 of Program 22.1 notice the anonymous function delegate (double d){return d*d*d;} The function has no name - it is anonymous. The function is equivalent with the method Cubic in line 20-22, apart from the fact that it has no name. It is noteworthy that we on the fly are able to write an expression the value of which is a method that belongs to the delegate type NumericFunction. In C#3.0 the notation for anonymous functions has been streamlined to that of lambda expressions. We will touch on this topic in Section 22.4. We outline the output of Program 22.1 in Listing 22.2 (only on web). We do not show all the output lines, however. Things get even more interesting in Program 22.3. The function to watch is Compose. It accepts, as input parameters two numeric functions f and g, and it returns (another) numeric function. The idea is to return the function f o g. This is the function that returns f(g(x)) when it is given x as input. Notice the expression Compose(Cubic, Minus3) in Main. This is a function that we pass as input to the PrintTableOfFunction, which we already have discussed. In order to examine the function Compose(Cubic, Minus3) we watch the program output in Listing 22.4. Please verify for yourself that Compose(Cubic, Minus3) is the function which subtracts 3 from its input, and thereafter calculates the cubic function on that (reduced) number. 1 2 3 4 5 6 7 8 9 10 11 12 13 14 15 16 17 using System; public class Application { public delegate double NumericFunction(double d); public static NumericFunction Compose (NumericFunction f, NumericFunction g){ return delegate(double d){return f(g(d));}; } public static void PrintTableOfFunction (NumericFunction f, string fname, double from, double to, double step){ double d; for(d = from; d <= to; d += step){
  • 181.
    175 18 19 20 21 22 23 24 25 26 27 28 29 30 31 32 33 34 35 36 37 38 39 40 41 42 43 44 45 Console.WriteLine("{0,35}({1,-4:F3}) = {2}",fname, d, f(d)); } Console.WriteLine(); } public static double Square(double d){ return d*d; } public static double Cubic(double d){ return d*d*d; } public static double Minus3(double d){ return d-3; } public static void Main(){ PrintTableOfFunction(Compose(Cubic, Minus3), "Cubic of Minus3", 0.0, 5.0, 1.0); PrintTableOfFunction( Compose(Square, delegate(double d){ return d > 2 ? -d : 0;}), "Square of if d>2 then -d else 0", 0.0, 5.0, 1.0); } } Program 22.3 The static method Compose in class Application. 1 2 3 4 5 6 7 8 9 10 11 12 13 Cubic of Minus3(0,000) = -27 Cubic of Minus3(1,000) = -8 Cubic of Minus3(2,000) = -1 Cubic of Minus3(3,000) = 0 Cubic of Minus3(4,000) = 1 Cubic of Minus3(5,000) = 8 Square of if d>2 then -d else 0(0,000) = 0 Square of if d>2 then -d else 0(1,000) = 0 Square of if d>2 then -d else 0(2,000) = 0 Square of if d>2 then -d else 0(3,000) = 9 Square of if d>2 then -d else 0(4,000) = 16 Square of if d>2 then -d else 0(5,000) = 25 Listing 22.4 Output from the Compose delegate program. What we have shown above gives you the flavor of functional programming. In functional programming we often generate new functions based on existing functions, like we did with use of Compose. Delegates make it possible to approach the functional programming style Methods can be passed as parameters to, and returned as results from other methods Exercise 6.3. Finding and sorting elements in an array In this exercise we will work with searching and sorting in arrays. To be concrete, we work on an array of type Point, where Point is the type we have been programming in earlier exercises.
  • 182.
    176 Via this exerciseyou are supposed to learn how to pass a delegate to a method such as Find and Sort. The purpose of passing a delegate to Find is to specify which point we are looking for. Make an array of Point objects. You can, for instance, use this version of class Point. You can also use a version that you wrote as solution to one of the previous exercises. Use the static method System.Array.Find to locate the first point in the array that satisfies the condition: The sum of the x and y coordinates is (very close to) zero The solution involves the programming of an appropriate delegate in C#. The delegate must be a Point predicate: a method that takes a Point as parameter and returns a boolean value. Next, in this exercise, sort the list of points by use of one of the static Sort methods in System.Array. Take a look at the Sort methods in System.Array. There is an overwhelming amount of these! We will use the one that takes a Comparison delegate, Comparison<T>, as the second parameter. Please find this method in your documentation browser. Why do we need to pass a Comparison predicate to the Sort method? Comparison<Point> is a delegate that compares two points, say p1 and p2. Pass an actual delegate parameter to Sort in which p1 <= p2 if and only if p1.X + p1.Y <= p2.X + p2.Y Please notice that a comparsion between p1 and p2 must return an integer. A negative integer means that p1 is less than p2. Zero means that p1 is equal to p2. A positive integer means that p1 is greater than p2. Test run you program. Is your Point array sorted in the way you excepts? Exercise 6.4. How local are local variables and formal parameters? When we run the following program using System; public class Application { public delegate double NumericFunction(double d); static double factor = 4.0; public static NumericFunction MakeMultiplier(double factor){ return delegate(double input){return input * factor;}; } public static void Main(){ NumericFunction f = MakeMultiplier(3.0); double input = 5.0; Console.WriteLine("factor = {0}", factor); Console.WriteLine("input = {0}", input); Console.WriteLine("f is a generated function which multiplies its input with factor"); Console.WriteLine("f(input) = input * factor = {0}", f(input)); } }
  • 183.
    177 we get thisoutput factor = 4 input = 5 f is a generated function which multiplies its input with factor f(input) = input * factor = 15 Explain! 22.2. Delegates that contain instance methods Lecture 6 - slide 8 The delegates in Section 22.1 contained static methods. Static methods are activated without a receiving object. When we put an instance method m into a delegate object, we need to find a way to provide the receiver object of m. We can, in principle, provide this object as part of the activation of the delegate, or we can aggregate it together with the method itself. In C# the latter solution has been chosen. In Section 22.1 we show a relatively trivial class Messenger. A messenger object stores a message of type Message. Message is a delegate, shown in purple. The DoSend method calls the method in the delegate. 1 2 3 4 5 6 7 8 9 10 11 12 13 14 15 16 17 18 19 20 21 22 23 using System; public delegate void Message(string txt); public class Messenger{ private string sender; private Message message; public Messenger(string sender){ this.sender = sender; message = null; } public Messenger(string sender, Message aMessage){ this.sender = sender; message = aMessage; } public void DoSend(){ message("Message from " + sender); } } Program 22.5 A Messenger class and a Message delegate. The class A is even more trivial. It just holds some state and an instance method called MethodA. 1 2 3 4 5 using System; public class A{ private int state;
  • 184.
    178 6 7 8 9 10 11 12 13 14 public A(int i){ state= i; } public void MethodA(string s){ Console.WriteLine("A: {0}, {1}", state, s); } } Program 22.6 A very simple class A with an instance method MethodA. In the class Application we create some instances of class A. The class Application is shown in Program 22.7. For now we only use one of the instances of A. We pass a2.MethodA to the Message (delegate) parameter of the Messenger constructor. With this we package both the object referred to by a2 and the method MethodA together, and it now forms part of the state of the new Message object. When the message object receives the DoSend message it activates its delegate. From the output in Listing 22.8 we see that it is in fact the instance method AMethod in the object a2 (with state equal to 2), which is called via the delegate. 1 2 3 4 5 6 7 8 9 10 11 12 13 14 15 using System; public class Application{ public static void Main(){ A a1 = new A(1), a2 = new A(2), a3 = new A(3); Messenger m = new Messenger("CS at AAU", a2.MethodA); m.DoSend(); } } Program 22.7 An Application class which accesses an instance method in class A. 1 A: 2, Message from CS at AAU Listing 22.8 Output from Main of class Application. So now we have seen that a delegate may contain an object, which consists of a receiver together with a method to be activated on the receiver. In Section 22.3 below we will see that this is not the whole story. A delegate may in fact contain a list of such receiver/method pairs. 22.3. Multivalued delegates Lecture 6 - slide 9 The class Messenger in Program 22.9 is an extension of class Messenger in Program 22.5. The body of the method InstallMessage shows that it is possible to add a method to a delegate. Behind the scene, a delegate is a list of methods (and, if necessary, receiver objects). The + operator has been overloaded to work on
  • 185.
    179 delegates. It addsa method to a delegate. Similarly, the - operator has been overloaded to remove a method from a delegate. 1 2 3 4 5 6 7 8 9 10 11 12 13 14 15 16 17 18 19 20 21 22 23 24 25 26 27 28 29 30 31 using System; public delegate void Message(string txt); public class Messenger{ private string sender; private Message message; public Messenger(string sender){ this.sender = sender; message = null; } public Messenger(string sender, Message aMessage){ this.sender = sender; message = aMessage; } public void InstallMessage(Message mes){ this.message += mes; } public void UnInstallMessage(Message mes){ this.message -= mes; } public void DoSend(){ message("Message from " + sender); } } Program 22.9 Install and UnInstall message methods in the Messenger class. The class A, which is used in Program 22.10, can be seen in Program 22.6. In the class Application in Program 22.10 instantiates a number of A objects and a single Messenger object. The idea is to add and remove instance methods to the Messenger object, and to activate the methods in the Messenger object via the DoSend method in line 28-31 of Program 22.9. In line 11 of Program 22.10 we install a1.MethodA in m, which already (from the Messenger construction) contains a2.AMethod. In the program output in Listing 22.11 this is revealed in the first two output lines. Next we install a3.AMethod twice in m. At this point in time the delegate in m contains four methods. This is seen in the middle section of Listing 22.11. Finally, we uninstall a3.AMethod and a1.Amethod, leaving two methods in the delegate. This is shown in the last section of output in Listing 22.11.
  • 186.
    180 1 2 3 4 5 6 7 8 9 10 11 12 13 14 15 16 17 18 19 20 21 22 23 24 using System; public classApplication{ public static void Main(){ A a1 = new A(1), a2 = new A(2), a3 = new A(3); Messenger m = new Messenger("CS at AAU", a2.MethodA); m.InstallMessage(a1.MethodA); m.DoSend(); Console.WriteLine(); m.InstallMessage(a3.MethodA); m.InstallMessage(a3.MethodA); m.DoSend(); Console.WriteLine(); m.UnInstallMessage(a3.MethodA); m.UnInstallMessage(a1.MethodA); m.DoSend(); } } Program 22.10 An Application class. 1 2 3 4 5 6 7 8 9 10 A: 2, Message from CS at AAU A: 1, Message from CS at AAU A: 2, Message from CS at AAU A: 1, Message from CS at AAU A: 3, Message from CS at AAU A: 3, Message from CS at AAU A: 2, Message from CS at AAU A: 3, Message from CS at AAU Listing 22.11 Output from Main of class Application. 22.4. Lambda Expressions Lecture 6 - slide 10 A lambda expression is a value in a delegate type. Delegates were introduced in Section 22.1. The notation of lambda expression adds some extra convenience to the notation of delegates. Instead of the syntax delegate(formal-parameters){body} lambda expressions use the syntax formal-parameters => body. => is an operator in the language, see Section 6.7. It is not necessary to give the types of the formal parameters in a lambda expression. In addition, the body of a lambda expression may be an expression. In a delegate, the body must be a statement block (a command). By the way, why is it called lambda expressions? Lambda λ is a Greek letter, like alpha α and beta α. The notion of lambda expressions come from a branch of mathematics called lambda calculus. In lambda calculus lambda expressions, such as λx. x+1, is used as a notation for functions. The particular function λx. x+1 adds one to its argument x. Lambda expression were brought into early functional programming language, most notably Lisp. Since then, "lambda expression" has been the name of those expressions which evaluate to function values.
  • 187.
    181 In Program 22.12below we make list of five equivalent functions. The first one - line 12 - uses C# delegate notation, as already introduced in Section 22.1. The last one - line 16 - is a lambda expression written as concise as possible. The three in between - line 13, 14, and 15 - illustrate the notational transition from delegate notation to lambda notation. 1 2 3 4 5 6 7 8 9 10 11 12 13 14 15 16 17 18 19 20 21 22 23 using System; using System.Collections.Generic; class Program{ public delegate double NumericFunction(double d); public static void Main(){ NumericFunction[] equivalentFunctions = new NumericFunction[]{ delegate (double d){return d*d*d;}, (double d) => {return d*d*d;}, (double d) => d*d*d, (d) => d*d*d, d => d*d*d }; foreach(NumericFunction nf in equivalentFunctions) Console.WriteLine("NumericFunction({0}) = {1}", 5, nf(5)); } } Program 22.12 Five equivalent functions - from anonymous method expressions to lambda expressions. In Program 22.12 notice that we are able to organize five functions in a data structure, here an array. I line 19-12 we traverse the list of functions in a foreach control structure. Each function is bound to the local name nf, and nf(5) calls a given function on the number 5. In Listing 22.13 (only on web) we show the output of Listing 22.13. As expected, all five calls nf(5) return the number 125. The items below summarize lambda expressions in relation to delegates in C#: • The body can be a statement block or an expression • Uses the operator => which has low priority and is right associative • May involve implicit inference of parameter types • Lambda expressions serve as syntactic sugar for a delegate expression
  • 188.
  • 189.
    183 23. Events The eventconcept is central in event-driven programming. Programs with graphical user interfaces are event-driven. With the purpose of discussing events we will see a simple example of a graphical user interface at the end of this chapter. 23.1. Events Lecture 6 - slide 12 In a program, an event contains some actions that must be carried out when the event is triggered In command-driven programming, the computer prompts the user for input. When the user is prompted the program stops and waits a given program location. When a command is issued by the user, the program is continued at the mentioned location. The program will analyze the command and carry out an appropriate action. In event-driven programming the program reacts on what happens on the elements of the user interface, or more generally, what happens on some selected state of the program. When a given event is triggered the actions that are associated with this particular event are carried out. Inversion of control Don't call us - we call you The "Don't call us - we call you" idea is due to the observation that the operations called by the event mechanism is not activated explicitly by our own program. The operations triggered by events are called by the system, such as the graphical user interface framework. This is sometimes referred to as inversion of control. Below, we compare operations (such as methods) and events. • Event • Belongs to a class • Contains one or more operations, which are called when the event is triggered. • The operations in the event are called implicitly • Operation • Belongs to a class • Is called explicitly - directly or indirectly - by other operations In the following sections we will describe the event mechanism in C#. Fortunately, we have already made the preparations for this in Chapter 22, because an event can be modelled as a variable of a delegate type.
  • 190.
    184 23.2. Events inC# Lecture 6 - slide 13 In C# an event in some class C is a variable of a delegate type in C. Like classes, delegates are reference types. This implies that an event holds a reference to an instance of a delegate. The delegate is allocated on the heap. From inside some class, an event is a variable of a delegate type. From outside a class, it is only possible to add to or remove from an event. Events are intended to provide notifications, typically in relation to graphical user interfaces. The following restrictions apply to events, compared to variables of delegate types: • An event can only be activated from within the class to which the event belongs • From outside the class it is only possible to add (with +=) or subtract (with -=) operations to an event. • It is not possible to 'reset' the event with an ordinary assignment In the System namespace there exists a generic delegate called EventHandler<TEVentArgs>, which is recommended for event handling in the .NET framework. Thus, instead of programming your own delegate types of your events, it is recommended to use a delegate constructed from EventHandler<TEVentArgs>. The EventHandler delegate takes two arguments: The object which generated the event and an object which describes the event as such. The latter is assumed to be a subclass of the pre-existing class EventArgs. For more information about EventHandler<TEVentArgs> consult the documentation of the generic EventHandler delegate. For details on generic delegates (type parameterized delegates) see Section 43.2. 23.3. Examples of events Lecture 6 - slide 14 In this section we will see examples of programs that make use of events. First, in Program 23.1 we elaborate the Die class, which we have met several times before, see Section 10.1 , Section 12.5 , and Section 16.3. In Program 23.1 the Toss operation of the Die class triggers a particular event in case it tosses two sixes in a row, see line 30-31. 1 2 3 4 5 6 7 8 9 using System; using System.Collections.Generic; public delegate void Notifier(string message); public class Die { private int numberOfEyes; private Random randomNumberSupplier;
  • 191.
    185 10 11 12 13 14 15 16 17 18 19 20 21 22 23 24 25 26 27 28 29 30 31 32 33 34 35 36 37 38 39 40 41 42 43 44 45 private int maxNumberOfEyes; privateList<int> history; public event Notifier twoSixesInARow; public int NumberOfEyes{ get {return numberOfEyes;} } public Die (): this(6){} public Die (int maxNumberOfEyes){ randomNumberSupplier = new Random(unchecked((int)DateTime.Now.Ticks)); this.maxNumberOfEyes = maxNumberOfEyes; numberOfEyes = randomNumberSupplier.Next(1, maxNumberOfEyes + 1); history = new List<int>(); history.Add(numberOfEyes); } public void Toss (){ numberOfEyes = randomNumberSupplier.Next(1,maxNumberOfEyes + 1); history.Add(numberOfEyes); if (DoWeHaveTwoSixesInARow(history)) twoSixesInARow("Two sixes in a row"); } private bool DoWeHaveTwoSixesInARow(List<int> history){ int histLength = history.Count; return histLength >= 2 && history[histLength-1] == 6 && history[histLength-2] == 6; } public override String ToString(){ return String.Format("Die[{0}]: {1}", maxNumberOfEyes, NumberOfEyes); } } Program 23.1 The die class with history and dieNotifier. In Program 23.1 Notifier is a delegate. Thus, Notifier is a type. twoSixesInARow is an event - analogous to an instance variable - of type Notifier. Alternatively, we could have used the predefined EventHandler delegate (see Section 23.2) instead of Notifier. The event twoSixesInARow is public, and therefore we can add operations to this event from clients of Die objects. In line 9-11 of the class diceApp, shown in Program 23.2, we add an anonymous delegate to d1.twoSixesInARow, which reports the two sixes on the console. Notice the keyword "event", used in declaration of variables of delegate types for event purposes. It is tempting to think of "event" as a modifier, which gives a slightly special semantics to a Notifier delegate. Technically in C#, however, event is not a modifier. The keyword event signals that we use a strictly controlled variable of delegate type. From outside the class, which contains the event, only addition and removal of methods/delegates are possible. The addition and removal can, inside the class, be controlled by so-called event accessors add and remove, which in several respect resemble get and set of properties. We will, however, not dwell on these features of C# in this material. The predicate (boolean method) DoWeHaveTwoSixesInARow in line 35-40 of Program 23.1 in class Die determines if the die has shown two sixes in a row. This is based on the extra history instance variable.
  • 192.
    186 Finally, the Tossoperation may trigger the twoSixesInARow in line 31-32 of Program 23.1. The event is triggered in case the history tells that we have seen two sixes in a row. 1 2 3 4 5 6 7 8 9 10 11 12 13 14 15 16 17 18 19 20 using System; class diceApp { public static void Main(){ Die d1 = new Die(); d1.twoSixesInARow += delegate (string mes){ Console.WriteLine(mes); }; for(int i = 1; i < 100; i++){ d1.Toss(); Console.WriteLine("{0}: {1}", i, d1.NumberOfEyes); } } } Program 23.2 A client of die that reports 'two sixes in a row' via an event. In Program 23.3 we show the (abbreviated) output of Program 23.2. The "two sixes in a row" reporting turns out to be reported in between the two sixes. This is because the event is triggered by Toss, before Toss returns the last 6 value. 1 2 3 4 5 6 7 8 9 10 11 12 13 14 15 16 17 18 19 20 21 1: 6 2: 4 ... 32: 3 33: 6 Two sixes in a row 34: 6 Two sixes in a row 35: 6 ... 66: 2 67: 6 Two sixes in a row 68: 6 69: 2 70: 4 ... 97: 6 Two sixes in a row 98: 6 99: 3 Program 23.3 Possible program output of the die application (abbreviated). We will now turn to a another example in an entirely different domain, see Program 23.4. This program constructs a graphical user interface with two buttons and a textbox, see Figure 23.1. If the user pushes the Click Me button, this is reported in the textbox. If the user pushes the Erase button, the text in the textbox is deleted.
  • 193.
    187 Figure 23.1 Agraphical user interface with two buttons and a textbox. 1 2 3 4 5 6 7 8 9 10 11 12 13 14 15 16 17 18 19 20 21 22 23 24 25 26 27 28 29 30 31 32 33 34 35 36 37 38 39 40 41 42 43 44 45 46 47 48 49 using System; using System.Windows.Forms; using System.Drawing; // In System: // public delegate void EventHandler (Object sender, EventArgs e) public class Window: Form{ private Button b1, b2; private TextBox tb; // Constructor public Window (){ this.Size=new Size(150,200); b1 = new Button(); b1.Text="Click Me"; b1.Size=new Size(100,25); b1.Location = new Point(25,25); b1.BackColor = Color.Yellow; b1.Click += ClickHandler; // Alternatively: // b1.Click+=new EventHandler(ClickHandler); b2 = new Button(); b2.Text="Erase"; b2.Size=new Size(100,25); b2.Location = new Point(25,55); b2.BackColor=Color.Green; b2.Click += EraseHandler; // Alternatively: // b2.Click+=new EventHandler(EraseHandler); tb = new TextBox(); tb.Location = new Point(25,100); tb.Size=new Size(100,25); tb.BackColor=Color.White; tb.ReadOnly=true; tb.RightToLeft=RightToLeft.Yes; this.Controls.Add(b1); this.Controls.Add(b2); this.Controls.Add(tb); } // Event handler: private void ClickHandler(object obj, EventArgs ea) { tb.Text = "You clicked me"; }
  • 194.
    188 50 51 52 53 54 55 56 57 58 59 60 61 62 63 64 // Event handler: privatevoid EraseHandler(object obj, EventArgs ea) { tb.Text = ""; } } class ButtonTest{ public static void Main(){ Window win = new Window(); Application.Run(win); } } Program 23.4 A Window with two buttons and a textbox. The program makes use of the already existing delegate type System.EventHandler. Operations in this delegate accept an Object and an EventArg parameter, and they return nothing (void). The constructor of the class Window (which inherits from Form - a built-in class) dominates the program. In this constructor the window, aggregated by two buttons and a textbox, is built. As emphasized in Program 23.4 we add handlers to the events b1.Click and b2.Click. We could have instantiated EventHandler explicitly, as shown in the comments, but the notion b1.Click += ClickHandler and b2.Click += EraseHandler is shorter and more elegant. The two private instance methods ClickHandler and EraseHandler serve as event handlers. Notice that they conform to the signature of the EventHandler. (The signature is characterized by the parameter types and the return type). Exercise 6.5. Additional Die events In this exercise we add yet another method to the existing event i class Die, and we add another event to Die. In the Die event example, we have a public event called twoSixesInARow which is triggered if a die shows two sixes in a row. In the sample client program we add an anonymous method to this event which reports the string parameter of the event on standard output. Add yet another method to the twoSixesInARow event which counts the number of times 'two sixes in a row' appear. For this purpose we need - quite naturally - an integer variable for counting. Where should this variable be located relative to the 'counting method': Will you place the variable inside the new method, inside the Die class, or inside the client class of the Die? Add a similar event called fullHouse, of the same type Notifier, which is triggered if the Die tosses a full house. A full house means (inspired from the rules of Yahtzee) two tosses of one kind and three tosses of another kind - in a row. For instance, the toss sequence 5 6 5 6 5 leads to a full house. Similarly, the 1 4 4 4 1 leads to a full house. The toss sequence 5 1 6 6 6 6 5 does not contain a full house sequence, and the toss sequence 6 6 6 6 6 is not a full house. Be sure to test-drive the program and watch for triggering of both events.
  • 195.
    189 24. Patterns andTechniques In this section we will discuss the Observer design pattern. We have already introduced the idea of design patterns in Chapter 16 and we have studied one such pattern, Singleton, in Section 16.3 24.1. The observer design pattern Lecture 6 - slide 17 The Observer is often used to ensure a loose coupling between an application and its user interface In general, Observer can be used whenever a set of observer objects need to be informed about state changes in a subject object Imagine that a weather service object collects information about temperature, rainfall, and air pressure. When the weather conditions change significantly, a number of weather watcher objects - temperature watchers, rain watchers, general news watchers (newspapers and television stations) will have to be updated. See Figure 24.1. Figure 24.1 The subject (weather service object) to the left and its three observers (weather watcher objects) to the right. The Weather Service Object get its information various sensors. The following questions are relevant: 1. Do the weather service object know about the detailed needs of the weather watcher objects? 2. How do we associate weather watcher objects with the weather service object? In most naive solutions, the weather service object forwards relevant sensor observations to the weather watcher objects. The weather service object sends individual and customized messages to each weather watcher object with weather update information which is relevant for the receiver. Thus, the weather service object knows a lot about the individual needs of the watcher objects. This may work for the first two, three, or four watchers, but this approach becomes very problematic if there are many watchers: Every time a new watcher shows up we must change the weather service object. Now let us face the second issue. In the naive solution, the weather service object will often hard wire the knowledge about watchers in the program. This is probably OK for one, two or three watchers, but it is - of course - tedious in case there are hundreds of watchers.
  • 196.
    190 There is anoteworthy a solution to the problem outlined above. It is described as a design pattern, because it addresses a non-trivial solution to a frequently occurring problem. The design pattern is know as Observer. The key ideas are: 1. Watcher objects subscribe to updates from the service object. 2. The service object broadcasts notifications about changes to watchers. 3. The watcher object may request details from the service object if they need to. Below, in Program 24.1 and Program 24.2, we show the general idea/template of the Observer pattern. 1 2 3 4 5 6 7 8 9 10 11 12 13 14 15 16 17 18 19 20 21 22 23 24 25 26 27 28 29 using System.Collections; namespace Templates.Observer { public class Subject { // Subject instance variables private ArrayList observers = new ArrayList(); public void Attach(Observer o){ observers.Add(o); } public void Detach(Observer o){ observers.Remove(o); } public void Notify(){ foreach(Observer o in observers) o.Update(); } public SubjectState GetState(){ return new SubjectState(); } } public class SubjectState { // Selected state of the subject } } Program 24.1 Template of the Subject class. The weather service object corresponds to an instance of class Subject in Program 24.1 and the watcher objects correspond to observers, as shown in Program 24.2. In Program 24.3 we illustrate how the Observer and Subject classes can be used in a client program. The programs are compilable C# programs, without any substance, however. In an appendix - Section 58.2 - we show the weather service program and how it uses the Observer pattern. 1 2 3 4 5 6 7 8 9 10 11 12 using System.Collections; namespace Templates.Observer { public class Observer { private Subject mySubject; public Observer (Subject s){ mySubject = s; } public void Update(){
  • 197.
    191 13 14 15 16 17 18 19 20 21 22 // ... SubjectState state= mySubject.GetState(); // if (the state is interesting){ // react on state change // } } } } Program 24.2 A templates of the Observer class. In Program 24.3 we see that two observers, o1 and o2, are attached to the subject object (line 10 and 11). The third observer o3 is not yet attached. o1 and o2 hereby subscribe to updates from the subject object. Let us now assume that a mutation of the state in the subject object triggers a need for updating the observers. The following happens: 1. The subject sends a Notify message to itself. (In Program 24.3 the client of Subject and Observer sends the Notify message. This is an artificial and non-typical situation). 2. Notify updates each of the attached observers, by sending the parameterless Update message. This happens in line 18 of Program 24.1 . 3. The Update method in the Observer class asks (if necessary) what really happened in the Subject This is done by sending the message GetState back to the subject , see line 13 of Program 24.2 . Individual observers may request different information from the Subject . Some observers may not need to get additional information from the subject, and these observers will therefore not send a GetState message. 4. GetState returns the relevant information to the observer. The observer does whatever it finds necessary to update itself based on its new knowledge. 1 2 3 4 5 6 7 8 9 10 11 12 13 14 15 16 using Templates.Observer; class Client { public static void Main(){ Subject subj = new Subject(); Observer o1 = new Observer(subj), o2 = new Observer(subj), o3 = new Observer(subj); subj.Attach(o1); // o1 subscribes to updates from subj. subj.Attach(o2); // o2 subscribes to updates from subj. subj.Notify(); // Following some state changes in subj // notify observers. } } Program 24.3 Application of the Subject and Observer classes. You should consult the appendix - Section 58.1 (only on web) - for a more realistic scenario in terms of the weather service and watchers.
  • 198.
    192 24.2. Observer withDelegates and Events Lecture 6 - slide 19 The Observer idea, as described in Section 24.1 can be implemented conveniently by use of events. We introduced events in Chapter 23. According to Observer, the subject has a list of observers which will have to notified when the state of the subject is updated. We can can represent the list of observers as an event. Recall from Section 23.2 that an event can contain a number of methods (all of which share a common signature described by a delegate type). Each observer adds a method to the event of the subject object. The subject notifies the observers by triggering the event. In Program 24.4 we show a template of the Subject class, corresponding to Program 24.1 in Section 24.1. The event is declared in line 9. The delegate type of the event is shown in line 4. Notice that the subscription methods AddNotifier and RemoveNotifier simply adds or subtracts a method to the event. Upon notification - see line 20 in the Notify method - the subject triggers the event. For illustrative purposes - and in order to stay compatible with the setup in Program 24.4, we pass an instance of the subject state to the observer, see line 20 of Program 24.4. In this way there is no need for the observer to ask for it afterwards. 1 2 3 4 5 6 7 8 9 10 11 12 13 14 15 16 17 18 19 20 21 22 23 24 25 26 27 using System.Collections; namespace Templates.Observer { public delegate void Notification(SubjectState ss); public class Subject { // Subject instance variable private event Notification observerNotifier; public void AddNotifier(Notification n){ observerNotifier += n; } public void RemoveNotifier(Notification n){ observerNotifier -= n; } public void Notify(){ observerNotifier(new SubjectState()); } } public class SubjectState { // Selected state of the subject } } Program 24.4 Template of the Subject class. 1 2 3 4 5 6 7 8 9 10 11 using System.Collections; namespace Templates.Observer { public class Observer { public Observer (){ // ... } public void Update(SubjectState ss){ // if (the state ss is interesting){
  • 199.
    193 12 13 14 15 16 17 // react onstate change // } } } } Program 24.5 Template of the Observer class. In line 10-11 of Program 24.6 we see that the two observers o1 and o2 add their Update (instance) methods to the subject. This will add these methods to the event. The Update method of the Observer class is seen in line 10-14 of Program 24.5. 1 2 3 4 5 6 7 8 9 10 11 12 13 14 15 using Templates.Observer; class Client { public static void Main(){ Subject subj = new Subject(); Observer o1 = new Observer(), o2 = new Observer(), o3 = new Observer(); subj.AddNotifier(o1.Update); subj.AddNotifier(o2.Update); subj.Notify(); } } Program 24.6 Application of the Subject and Observer classes. In an appendix - Section 58.2 - we show a version of the weather center and weather watcher program programmed with events.
  • 200.
  • 201.
    195 25. Specialization ofClasses In this section the topic is inheritance. Inheritance represents an organization of classes in which one class, say B, is defined on top of another class, say A. Class B inherits the members of class A, and in addition B can define its own members. Use of inheritance makes it possible to reuse the data and operations of a class A in several so-called subclasses, such as B, C, and D, without coping these data and operations in the source code. Thus, if we modify class A we have also implicitly modified B, C and D. There are several different views and understandings of inheritance, most dominantly specialization and extension. But also words such as subtyping and subclassing are used. We start our coverage by studying the idea of specialization. 25.1. Specialization of Classes Lecture 7 - slide 2 The idea of specialization was introduced in Section 3.4 when we studied concepts and phenomena. In Section 3.4 we defined a specialization as a more narrow concept than its generalization. We will, in this chapter, use the inspiration from specialization of concepts to introduce specialization of classes. Classes are regarded as types, and specializations as subtypes Specialization facilitates definition of new classes from existing classes on a sound conceptual basis With specialization we nominate a subset of the objects in a type as a subtype. The objects in the subset are chosen such that they have "something in common". Typically, the objects in the subset are constrained in a certain way that set them apart from the surrounding set of objects. We often illustrate the generalization/specialization relationship between classes or types in a tree/graph structure. See Figure 25.1. The arrow from B to A means that B is a specialization of A . Later we will use the same notation for the extended understanding that B inherits from A. Figure 25.1 The class B is a specialization of class A Below - in the dark blue definition box - we give a slightly more realistic and concrete definition of specialization. The idea of subsetting is reflected in the first element of the definition. The second element is, in reality a consequence of the subsetting. The last element stresses that some operations in the specialization can be redefined to take advantage of the properties that unite the objects/values in the specialization.
  • 202.
    196 If a classB is a specialization of a class A then • The instances of B is a subset of the instances of A • Operations and variables in A are also present in B • Some operations from A may be redefined in B 25.2. The extension of class specialization Lecture 7 - slide 3 In Section 3.1 we defined the extension of a concept as the collection of phenomena that is covered by the concept. In this section we will also define the extension of a class, namely as the set of objects which are instances of the class or type. We will now take a look at the extension of a specialized class/type. The subsetting idea from Section 25.1 can now be formulated with reference to the extension of the class. The extension of a specialized class B is a subset of the extension of the generalized class A The relationships between the extension of A and B can be illustrated as follows, using the well-known notation of wenn diagrams. Figure 25.2 The extension of a class A is narrowed when the class is specialized to B Let us now introduce the is-a relation between the two classes A and B: • A B-object is an A-object • There is a is-a relation between class A and B The is-a relation characterizes specialization. We may even formulate an "is-a test" that tests if B is a specialization of A. The is-a relation can be seen as contrast to the has-a relation, which is connected to aggregation, see Section 3.3. The is-a relation forms a contrast to the has-a relation The is-a relation characterizes specialization The has-a relation characterizes aggregation
  • 203.
    197 We will bemore concrete with the is-a relation and the is-a test when we encounter examples in the forthcoming sections. 25.3. Example: Bank Accounts Lecture 7 - slide 4 In Figure 25.3 we give three classes that specialize the class BankAccount. Figure 25.3 A specialization hierarchy of bank accounts The is-a test confirms that there is a generalization-specialization relationship between BankAccount and CheckAccount: The statement "CheckAccount is a BankAccount" captures - very satisfactory - the relationships between the two classes. The statement "BankAccount is a CheckAccount" is not correct, because we can imagine bank accounts which are not related to checks at all. As a contrast, the has-a test fails: It is against our intuition that "a CheckAccount has a BankAccount". Similarly, it is not the case that "BankAccount has a CheckAccount". Thus, the relationship between the classes BankAccount and CheckAccount is not connected to aggregation/decomposition. In Figure 25.4 we show a possible constellation of extensions of the bank account classes. As hinted in the illustration, the specialized bank accounts overlap in such a way that there can exist a bank account which is both a CheckAccount, a SavingsAccount, and a LotteryAccount. An overlapping like in Figure 25.4 is the prerequisite for (conceptually sound) multiple specialization, see Section 27.5. Figure 25.4 Possible extensions of the bank account classes 25.4. Example: Bank Accounts in C# Lecture 7 - slide 5 In this section we show some concrete C# bank account classes, corresponding to the classes introduced in Figure 25.3.
  • 204.
    198 The BankAccount classin Program 25.1 is similar to the class introduced earlier in Program 11.5. We need, however, to prepare for specialization/inheritance in a couple of ways. We briefly mention these preparations here. The detailed treatment will be done in the following sections. First, we use protected instance variables instead of private instance variables. This allows the instance variables to be seen in the specialized bank account classes. See Section 27.3 for details. Next, we use the virtual modifier for the methods that are introduced in class BankAccount. This allows these methods to be redefined in the specialized bank account classes. See Section 28.9. 1 2 3 4 5 6 7 8 9 10 11 12 13 14 15 16 17 18 19 20 21 22 23 24 25 26 27 28 29 30 31 32 33 34 35 36 37 38 39 using System; public class BankAccount { protected double interestRate; protected string owner; protected decimal balance; public BankAccount(string o, decimal b, double ir) { this.interestRate = ir; this.owner = o; this.balance = b; } public BankAccount(string o, double ir): this(o, 0.0M, ir) { } public virtual decimal Balance { get {return balance;} } public virtual void Withdraw (decimal amount) { balance -= amount; } public virtual void Deposit (decimal amount) { balance += amount; } public virtual void AddInterests() { balance += balance * (Decimal)interestRate; } public override string ToString() { return owner + "'s account holds " + + balance + " kroner"; } } Program 25.1 The base class BankAccount. The CheckAccount class shown in Program 25.2 redefines (overrides) the Withdraw method. This gives a special meaning to money withdrawal from a CheckAccount object. The method ToString is is also redefined (overridden) in class CheckAccount, in the same way as it was overridden in class BankAccount relative to its superclass (Object), see Program 25.1. Notice also the two constructors of class CheckAccount. They both delegate the construction work to BankAccount constructors via the base keyword. See Section 28.4 for details on constructors. This is similar to the delegation from one constructor to another in the same class, by use of this, as discussed in Section 12.4.
  • 205.
    199 1 2 3 4 5 6 7 8 9 10 11 12 13 14 15 16 17 18 19 20 21 22 23 using System; public classCheckAccount: BankAccount { public CheckAccount(string o, double ir): base(o, 0.0M, ir) { } public CheckAccount(string o, decimal b, double ir): base(o, b, ir) { } public override void Withdraw (decimal amount) { balance -= amount; if (amount < balance) interestRate = -0.10; } public override string ToString() { return owner + "'s check account holds " + + balance + " kroner"; } } Program 25.2 The class CheckAccount. The class SavingsAccount follow the same pattern as class CheckAccount. Notice that we also in class SavingsAccount redefine (override) the AddInterests method. 1 2 3 4 5 6 7 8 9 10 11 12 13 14 15 16 17 18 19 20 21 22 23 24 25 26 27 28 29 using System; public class SavingsAccount: BankAccount { public SavingsAccount(string o, double ir): base(o, 0.0M, ir) { } public SavingsAccount(string o, decimal b, double ir): base(o, b, ir) { } public override void Withdraw (decimal amount) { if (amount < balance) balance -= amount; else throw new Exception("Cannot withdraw"); } public override void AddInterests() { balance = balance + balance * (decimal)interestRate - 100.0M; } public override string ToString() { return owner + "'s savings account holds " + + balance + " kroner"; } } Program 25.3 The class SavingsAccount.
  • 206.
    200 In the classLotteryAccount the method AddInterests is redefined (overridden). The idea behind a lottery account is that a few lucky accounts get a substantial amount of interests, whereas the majority of the accounts get no interests at all. This is provided for by the private instance variable lottery, which refers to a Lottery object. In the web-version of the material we show a definition of the Lottery class, which we program as a Singleton. 1 2 3 4 5 6 7 8 9 10 11 12 13 14 15 16 17 18 19 20 using System; public class LotteryAccount: BankAccount { private static Lottery lottery = Lottery.Instance(20); public LotteryAccount(string o, decimal b): base(o, b, 0.0) { } public override void AddInterests() { int luckyNumber = lottery.DrawLotteryNumber; balance = balance + lottery.AmountWon(luckyNumber); } public override string ToString() { return owner + "'s lottery account holds " + + balance + " kroner"; } } Program 25.4 The class LotteryAccount. 25.5. Example: Geometric Shapes Lecture 7 - slide 6 In this section we show another example of specialization. The tree in Figure 25.5 illustrates a number of specializations of polygons. In the left branch of the tree we see the traditional and complete hierarchy of triangle types. In the right branch we show the most important specializations of quadrangles. Trapezoids are assumed to have exactly one pair of parallel sides, and as such trapezoids and parallelograms are disjoint. Figure 25.5 A specialization hierarchy of polygons The polygon type hierarchy is a typical specialization hierarchy, because it fully complies with the definition of specialization from Section 25.1. The subset relationship is easy to verify. All operations defined at the polygon level are also available and meaningful on the specialized levels. In addition it makes sense to redefine many of the operations to obtain more accurate formula behind the calculations.
  • 207.
    201 Overall, the deeperwe come in the hierarchy, the more constraints apply. This is a typical characteristic of a real and pure generalization/specialization class hierarchy. 25.6. Specialization of classes Lecture 7 - slide 7 We will now summarize the idea of class specialization. Objects of specialized classes • fulfill stronger conditions (constraints) than objects of generalized classes • obey stronger class invariants • have simpler and more accurate operations than objects of generalized classes Specialization of classes in pure form do not occur very often. Specialization in combination with extension is much more typical. As noticed in Section 25.4 the hierarchy of polygons is real and pure example of specialization hierarchy. The bank account hierarchy in Figure 25.3 is not as pure as the polygon hierarchy. The bank account hierarchy is - in the starting point - a specialization hierarchy, but the specialized classes are likely to be extended with operations, which do not make sense in the BankAccount class. Class extension is the topic in Chapter 26. 25.7. The Principle of Substitution Lecture 7 - slide 8 The principle of substitution is described by Timothy Budd in section 8.3 of in his book An Introduction to Object-oriented Programming [Budd02]. The principle of substitution describes an ideal, which not always is in harmony with our practical and everyday programming experience. This corresponds to our observation that pure specialization only rarely is found in real-life programs. If B is a subclass of A, it is possible to substitute an given instance of B in place of an instance of A without observable effect As an example, consider the class hierarchy of polygons in Figure 25.5. Imagine that we have the following scene: Polygon p = new Polygon(...); RightTriangle tr = new RightTriangle(...); /* Rest of program */ It is now possible to substitute the polygon object with the triangle object in the "rest of the program". This is possible because the triangle possesses all the general properties (area, circumference, etc) of the polygon. At least, the compiler will not complain, and the executing program will not halt. Notice, however, that the
  • 208.
    202 substitution is onlyneutral to the actual meaning of the execution program if the replaced polygon actually happens to be the appropriate right triangle! Notice that the opposite substitution does not always work. Thus, we cannot substitute a triangle with a general polygon (for instance a square). Most programs would break immediately if that was attempted. The reason is that a square does not, in general, possess the same properties as a triangle. The ideas behind the principle of substitution are related to virtual methods (Section 28.14) and to dynamic binding (Section 28.11). 25.8. References [Budd02] Timothy Budd, An Introduction to Object-Oriented Programming, third edition. Pearson. Addison Wesley, 2002.
  • 209.
    203 26. Extension ofClasses Extension of classes is a more pragmatic concept than specialization of classes. Specialization of classes is directly based on - and inspired from - specialization of concepts, as discussed in Section 3.4. Extension of classes is a much more practical idea. In the previous chapter (Chapter 25) we discussed specialization of classes. In this section we discuss class extension. In C# both class specialization and class extension will be dealt with by class inheritance, see Chapter 27. 26.1. Extension of Classes Lecture 7 - slide 10 Classes can both be regarded as types and modules. Class extension is a program transport and program reusability mechanism. As the name suggests, class extension is concerned with adding something to a class. We can add both variables and operations. We are not constrained in any way (by ideals of specialization or substitution) so we can in principle add whatever we want. However, we still want to have coherent and cohesive classes. We want classes focused on a single idea, where all data and operations are related to this idea. Our classes should be used as types for declaration of variables, and it should make sense to make instances of the classes. Thus, we do not want to treat classes are general purposes modules (in the sense of boxing modularity, see Section 2.3). These considerations lead us to the following definition of class extension. If class B is an extension of class A then • B may add new variables and operations to A • Operations and variables in A are also present in B • B-objects are not necessarily conceptually related to A-objects 26.2. An example of simple extension Lecture 7 - slide 11 In this section we will look at a typical example of class extension, which distinguishes itself from specialization as seen in Chapter 25. Below, in Program 26.1 we show the class Point2D. It is a variant of one the Point types we have studied in Section 11.6, Section 14.3, and Section 18.2. The variant programmed below implements mutable points. This is seen in line 19, which assigns to the state of a Point object.
  • 210.
    204 1 2 3 4 5 6 7 8 9 10 11 12 13 14 15 16 17 18 19 20 21 22 23 24 25 using System; public classPoint2D { private double x, y; public Point2D(double x, double y){ this.x = x; this.y = y; } public double X{ get {return x;} } public double Y{ get {return y;} } public void Move(double dx, double dy){ x += dx; y += dy; } public override string ToString(){ return "Point2D: " + "(" + x + ", " + y + ")" + "."; } } Program 26.1 The class Point2D. In Program 26.2 we extend the class Point2D with an extra coordinate, z, and hereby we get the class Point3D. 1 2 3 4 5 6 7 8 9 10 11 12 13 14 15 16 17 18 19 20 21 22 23 24 using System; public class Point3D: Point2D { private double z; public Point3D(double x, double y, double z): base(x,y){ this.z = z; } public double Z{ get {return z;} } public void Move(double dx, double dy, double dz){ base.Move(dx, dy); z += dz; } public override string ToString(){ return "Point3D: " + "(" + X + ", " + Y + ", " + Z + ")" + "."; } } Program 26.2 The class Point3D which extends class Point3d. Notice that Move in Point3D does not conflict with Move in Point2D. The reason is that the two methods are separated by the types of their formal parameters. The two Move operations in Point3D and Point2D are
  • 211.
    205 (statically) overloaded. Thusrelative to the discussion in Section 28.9 it is not necessary to supply a new modifier of Move in Point3D. We also show how to use Point2D and Point3D in a client class, see Program 26.3. The output of the client program is shown in Listing 26.4. 1 2 3 4 5 6 7 8 9 10 11 12 13 14 15 16 17 18 using System; public class Application{ public static void Main(){ Point2D p1 = new Point2D(1.1, 2.2), p2 = new Point2D(3.3, 4.4); Point3D q1 = new Point3D(1.1, 2.2, 3.3), q2 = new Point3D(4.4, 5.5, 6.6); p2.Move(1.0, 2.0); q2.Move(1.0, 2.0, 3.0); Console.WriteLine("{0} {1}", p1, p2); Console.WriteLine("{0} {1}", q1, q2); } } Program 26.3 A client of the classes Point2D and Point3d. 1 2 Point2D: (1,1, 2,2). Point2D: (4,3, 6,4). Point3D: (1,1, 2,2, 3,3). Point3D: (5,4, 7,5, 9,6). Listing 26.4 The output from the Client program. The important observations about the extension Point3D of Point2D can be stated as follows: • A 3D point is not a 2D point • Thus, Point3D is not a specialization of Point2D • The principle of substitution does not apply • The set of 2D point objects is disjoint from the set of 3D points The is-a test (see Section 25.2) fails on the class Point3D in relation to class Point2D. The "has-a test" also fails. It is not true that a 3 dimensional point has a 2 dimensional point as one its parts. Just look at the class Point3D! But - in reality - the "has-a test" is closer to success than the "is-a test". Exercise 7.1 researches an implementation of class Point3D in terms of a Point2dD part. It is interesting to wonder if the principle of substitution applies, see Section 25.7. Can we substitute instances of Point3D in place of instances of Point2D without observable effects? Due to the independence and orthogonality of the three dimensions the principle of substitution is almost applicable. But the Move operation, as redefined in class Point3D, causes problems. The Move operation in class Point2D does an incomplete move when applied on a 3D point. And as noticed, Move in class Point3D is not a redefinition of Move from class Point2D. There are two different Move operations available on an instance of class Point3D. This is a mess! In the last item it is stated that extensions (see Section 3.1) of class Point2D and class Point3D are disjoint (non-overlapping). Conceptually, there is no overlap between the set of two-dimensional points and the set of
  • 212.
    206 three-dimensional points! Thisis probably - in a nutshell - the best in indication of the difference between the Point2D/Point3D example and - say - the BankAccount examples from Section 25.3 . The class Point2D was a convenient starting point of the class Point3D We have reused some data and operations from class Point2D in class Point3D Exercise 7.1. Point3D: A client or a subclass of Point2D? The purpose of this exercise is to sharpen your understanding of the difference between "being a client of class C" and "being af subclass of class C". The class Point3D extends Point2D by means of inheritance. As an alternative, the class Point3D may be implemented as a client of Point2D. In more practical terms this means that the class Point3D has an instance variable of type Point2D. Now implement Point3D as a client of Point2D - such that a 3D point has a 2D point as a part. Be sure that the class Point3D has the same interface as the version of class Point3D from the course material. Evaluate the difference between "being a client of" an "extending" class Point2D. Which of the solutions do you prefer? 26.3. The intension of class extensions Lecture 7 - slide 12 In Section 25.2 we realized that the essential characteristics of specialization is the narrowing of the class extension, see Figure 25.2. Above, in Section 26.2, we realized the the class extension of an extended class (such as Point3D) typically is disjoint from the class extension of the parent class (such as Point2D). In this section we emphasize the similar, clear-cut characteristics of class extension, namely the enlargement of the class intension. This is illustrated in Figure 26.1. The intension of a class extension B is a superset of the intension of the original class A Please be aware of possible confusion related to our terminology. We discuss class "extension" in this section, and we refer to the "intension" and "extension" (related to concepts, as discussed in Section 3.1). The two meanings of "extension" should be kept apart. They are used with entirely different meanings.
  • 213.
    207 Figure 26.1 Theintension of a class A is blown up when the class is extended to B It is, in general, not possible to characterize the extension of B in relation to the extension of A Often, the extension of A does not overlap with the extension of B
  • 214.
  • 215.
    209 27. Inheritance inGeneral After we have discussed class specialization in Chapter 25 and class extension in Chapter 26 we will now turn our interest towards inheritance. Inheritance is a mechanism in an object-oriented programming language mechanism that supports both class specialization and class extension. This section is about inheritance in general. Inheritance in C# is the topic of Chapter 28. 27.1. Inheritance Lecture 7 - slide 14 When a number of classes inherit from each other a class graph is formed. If, for instance, both class B and C inherit from class A we get the graph structure in Figure 27.1. Later in this section, in Section 27.4, we will discuss which class graphs that make sense. If a class B inherits the variables and operations from another class, A, we say that B is a subclass of A. Thus, in Figure 27.1 both B and C are subclasses of A. A is said to be a superclass of B and C. Figure 27.1 Two classes B and C that inherit from class A In the class graph shown in Figure 27.1 the edges are oriented from subclasses to superclasses. In other words, the arrows in the figure point at the common superclass. In Figure 27.1 the members (variables and operations) of class A are also variables in class B and C, just as though the variables and operations were defined explicitly in both class B and C. In addition, class B and C can define variables and operations of their own. The inherited members from class A are not necessarily visible in class B and C, see Section 27.3. In essence, inheritance is a mechanisms that brings a number of variables and operations from the superclass to the subclasses. Alternatively, we could copy the variables and operations from class A and paste them into class B and class C. This would, roughly, give the same result, but this approach is not attractive, and it should always be avoided. If we duplicate parts of our program it is difficult to maintain the program, because future program modifications must be carried out two or more places (both in class A, and in the duplications in class B and C). We always go for solutions that avoid such duplication of source program fragments. When we run a program we make instances of our classes A, B and C. B and C have some data and operations that come from A (via inheritance). In addition, B and C have variables and operations of their own. Despite of this, an instance of class B is one single object, without any A part and B part. Thus, in an instance of class B the variables and operations of class A have been merged with the variables and operations from class B. In an instance of B there are very few traces left of the fact that class B actually inherits from class A. The observations from above are summarized below. The situation described above, and illustrated in Figure 27.1
  • 216.
    210 • Organizes theclasses in a hierarchy • Provides for some degree of specialization and/or extension of A • At program development time, data and operations of A can be reused in B and C without copying and without any duplication in the source program • At runtime, instances of class B and C are whole objects, without A parts 27.2. Interfaces between clients and subclasses Lecture 7 - slide 15 The client interface of a class (say class A in Figure 27.2) is defined by the public members. This has been discussed in Section 11.1. In Figure 27.2 the client interface of class A is shown as number 1. The client interface of a class B (which is a subclass of class A) is extended in comparison with the client interface of class A itself. The client interface of class B basically includes the client interface of class A, and some extra definitions given directly in class B. The client interface of class B is shown as number 3 in Figure 27.2. When inheritance is introduced, there is an additional kind of interface to take care of, namely the interfaces between a class and its subclasses. We call it the subclass interface. Interface number 2 in Figure 27.2 consists of all variables and operations in class A which are visible and hereby applicable in class B. Similarly, the interface numbered 4 is the interface between class B and its subclasses. Figure 27.2 Interfaces between A, B, their client classes, and their subclasses 1. The client interface of A 2. The subclass interface between A and its subclass B 3. The client interface of B 4. The subclass interface between B and potential subclasses of B
  • 217.
    211 27.3. Visibility andInheritance Lecture 7 - slide 16 Most object-oriented programming languages distinguish between private, protected and public variables and operations. Below we provide a general overview of these kinds of visibility. • Private • Visibility limited to the class itself. • Instances of a given class can see each others private data and operations • Protected • Visibility is limited to the class itself and to its subclasses • Public • No visibility limitations In Section 28.6 we refine the description of the visibility modifiers relative to C#. 27.4. Class hierarchies and Inheritance Lecture 7 - slide 17 When a number of classes inherit from each other a class graph is defined. Class graphs were introduced in Section 27.1. Below we show different shapes of class graphs, and we indicate (by means of color and text) which of them that make sense. Figure 27.3 Different graph structures among classes A tree-structured graph, as shown to the left in Figure 27.3 makes sense in all object-oriented programming languages. In Java and C# we can only construct tree structured class graphs. This is called single- inheritance because a class can at most have a single superclass. Multiple inheritance is known from several object-oriented programming language, such as C++, Eiffel, and CLOS. Compared with single inheritance, multiple inheritance complicates the meaning of an object- oriented program. The nature of these complications will be discussed in Section 27.5. Repeated inheritance is allowed more rarely. Eiffel allows it, however. It can be used to facilitate replication of superclass variables in subclasses.
  • 218.
    212 Cyclic class graphs,as shown to the right in Figure 27.3 are never allowed. 27.5. Multiple inheritance Lecture 7 - slide 18 In this section we dwell a little on multiple inheritance. Both relative to class specialization (see Chapter 25) and class extension (see Chapter 26) it can be argued that multiple inheritance is useful: • Specialization of two or more classes • Example: An isosceles right triangle is a isosceles triangle and it is a right triangle • Example: There may exists a bank account which is a checking account and it is a savings account • Extensions of two or more classes • "Program transport" from multiple superclasses In Figure 25.4 the overlapping extensions of the classes CheckAccount, SavingsAccount and LotteryAccount indicate that there may exist a single object, which is a CheckAccount, a SavingsAccount, and a LotteryAccount. When we in Section 26.2 discussed the extension of class Point2D to class Point3D it could have been the case that it was useful to extend class Point3D from an additional superclass as well. Let us now briefly argue why multiple inheritance is difficult to deal with. In Figure 27.4 we have sketched a situation where class C inherits from both class A and class B. Both A and B have a variable or an operation named x. The question is now which x we get when we refer to x in C (for instance via C.x if x is static). Figure 27.4 Class B is a subclass of class A In general, the following problems and challenges can be identified: • The name clash problem: Does x in C refer to the x in A or the x in B? • The combination problem: Can x in A and x in B combined to a single x in C? • The selection problem: Do we have means in C to select either x in A or x in B? • The replication problem: Is there one or two x pieces in C? Notice that some of these problems and challenges are slightly overlapping.
  • 219.
    213 This ends thegeneral discussion of inheritance. The next chapter is also about inheritance, as it relates to C#. The discussions of multiple inheritance is brought up again, in Chapter 31, in the context of interfaces.
  • 220.
  • 221.
    215 28. Inheritance inC# In Chapter 27 we discussed inheritance in general. In this section we will be more specific about class inheritance in C#. The current section is long, not least because it covers important details about virtual methods and polymorphism. 28.1. Class Inheritance in C# Lecture 7 - slide 21 When we define a class, say class-name, we can give the name of the superclass, super-class-name, of the class. The syntax of this is shown in Chapter 27. In some contexts, a superclass is also called a base class. class-modifier class class-name: super-class-name{ declarations } Syntax 28.1 A C# class defined as a subclass of given superclass We see that the superclass name is given after the colon. There is no keyword involved (like extends in Java). If a class implements interfaces, see Chapter 31, the names of these interfaces are also listed after the colon. The superclass name must be given before the names of interfaces. If we do not give a superclass name after the colon, it is equivalent to writing : Object. In other words, a class, which does not specify an explicit superclass, inherits from class Object. We discuss class Object in Section 28.2 and Section 28.3. In Program 28.1 below we show a class B which inherits from class A. Notice that Program 28.1 uses C# syntax, and that the figure shows full class definitions. Notice also that the set of member is empty in both class A and B. As before, we use the graphical notation in Figure 28.1 for this situation. 1 2 3 class A {} class B: A {} Program 28.1 A class A and its subclass B. Figure 28.1 The class B inherits from class A B is said to be a subclass of A, and A a superclass of B. A is also called the base class of B. 28.2. The top of the class hierarchy Lecture 7 - slide 22 As discussed in Section 27.4 a set of classes define a class hierarchy. The top/root of the class hierarchy is the class called Object. More precisely, the only class which does not have an edge to a superclass in the
  • 222.
    216 class graph iscalled Object. In C# the class Object resides in the System namespace. The type object is an alias for System.Object. Due to inheritance the methods in class Objects are available in all types in C#, including value types. We enumerate these methods in Section 28.3. Figure 28.2 The overall type hierarchy in C# The left branch of Figure 28.2 corresponds to the reference types of C#. Reference types were discussed in Chapter 13. The right branch of Figure 28.2 corresponds to the value types, which we have discussed in Chapter 14. All pre-existing library classes, and the classes we define in our own programs, are reference types. We have also emphasized that strings (as represented by class String) and arrays (as represented by class Array) are reference types. Notice that the dotted box "Reference types" is imaginary and non-existing. (We have added it for matters of symmetry, and for improved conceptual overview). The role of class Array is clarified in Section 47.1. The class ValueType is the base type of all value types. Its subclass Enum is a base type of all enumeration types. It is a little confusing that these two classes are used as superclasses of structs, in particular because structs cannot inherit from other structs or classes. This can be seen as a special-purpose organization, made by the C# language designers. We cannot, as programmers, replicate such organizations in our own programs. The classes Object, ValueType and Enum contain methods, which are available in the more specialized value types (defined by structs) of C#. 28.3. Methods in the class Object in C# Lecture 7 - slide 23 We will now review the methods in class Object. Due to the type organization discussed in Section 28.2 these methods can be used uniformly in all classes and in all structs.
  • 223.
    217 • Public methodsin class Object • Equals: • obj1.Equals(obj2) - Instance method • Object.Equals(obj1, obj2) - Static method • Object.ReferenceEquals(obj1,obj2) - Static method • obj.GetHashCode() • obj.GetType() • obj.ToString() • Protected methods in class Object • obj.Finalize() • obj.MemberwiseClone() There are three equality methods in class Object. All three of them have been discussed in Section 13.5. The instance methods Equals is the one we often redefine in case we need a shallow equality operation in one of our classes. See Section 28.16 for details. The static method, also named Equals, is slightly more applicable because it can also compare objects/values and null values. The static method ReferenceEquals is - at least in the starting point - equivalent to the == operator. The instance method GetHashCode produces an integer value which can be used for indexing purposes in hashtables. In order to obtain efficient implementations, GetHashCode often use some of the bit-wise operators, such as shifting and bit-wise exclusive or. (See Program 28.29 for an example). It must be ensured that if o1.Equals(o2) then o1.GetHashCode() has the same value as o2.GetHashCode(). The instance method ToString is well-known. We have seen it in numerous types, for instance in the very first Die class we wrote in Program 10.1. We implement and override this method in most of our classes. ToString is implicitly called whenever we need some text string representation of an object obj, typically in the context of an output statement such Console.WriteLine("{0}", obj). If the parameterless ToString method of class Object is not sufficient for our formatting purposes, we can implement the ToString method of the interface IFormattable, see Section 31.7. The method Finalize is not used in C#. Instead, destructors are used. Destructors help release resources just before garbage collection is carried out. We do not discuss destructors in this material. MemberwiseClone is a protected method which does bit per bit copying of an object (shallow copying, see Section 13.4 ). MemberwiseClone can be used in subclasses of Object (in all classes and structs), but MemberwiseClone cannot be used from clients because it is not public. In Section 32.7 we will see how to make cloning available in the client interface; This involves implementation of the interface ICloneable (see Section 31.4) and delegation to MemberwiseClone from the Clone method prescribed by ICloneable. 28.4. Inheritance and Constructors Lecture 7 - slide 24 Constructors in C# were introduced in Section 12.4 as a means for initializing objects, cf. Section 12.3. It is recommended to review the basic rules for definition of constructors in Section 12.4.
  • 224.
    218 As the onlykind of members, constructors are not inherited. This is because a constructor is only useful in the class to which it belongs. In terms of the BankAccount class hierarchy shown in Figure 25.3, the BankAccount constructor is not directly useful as an inherited member of the class CheckAccount: It would not be natural to apply a BankAccount constructor on a CheckAccount object. On the other hand, the BankAccount constructor typically does part of the work of a CheckAccount constructor. Therefore it is useful for the CheckAccount constructor to call the BankAccount constructor. This is indeed possible in C#. So the statement that "constructors are not inherited" should be taken with a grain of salt. A superclass constructor can be seen and activated in a subclass constructor. Here follows the overall guidelines for constructors in class hierarchy: • Each class in a class hierarchy should have its own constructor(s) • The constructor of class C cooperates with constructors in superclasses of C to initialize a new instance of C • A constructor in a subclass will always, implicitly or explicitly, call a constructor in its superclass As recommended in Section 12.4 you should always program the necessary constructors in each of your classes. As explained and motivated in Section 12.4 it is not possible in C# to mix a parameterless default constructor and the constructors with parameters that you program yourself. You can, however, program your own parameterless constructor and a number of constructors with parameters. In the same way as two or more constructors in a given class typically cooperate (delegate work to each other using the special this(...) syntax) the constructors of a class C and the constructors of the base class of C cooperate. If a constructor in class C does not explicitly call base(...) in its superclass, it implicitly calls the parameterless constructor in the superclass. In that case, such a parameterless constructor must exist, and it must be non-private. We will return to the BankAccount class hierarchy from Section 25.4 and emphasize the constructors in the classes that are involved. In Program 28.2 we see the root bank account class, BankAccount. It has two constructors, where the second is defined by means of the first. Notice the use of the this(...) notation outside the body of the constructor in line 16. 1 2 3 4 5 6 7 8 9 10 11 12 13 14 15 16 17 18 using System; public class BankAccount { protected double interestRate; protected string owner; protected decimal balance; public BankAccount(string o, decimal b, double ir) { this.interestRate = ir; this.owner = o; this.balance = b; } public BankAccount(string o, double ir): this(o, 0.0M, ir) { }
  • 225.
    219 19 20 21 22 23 24 25 26 27 28 29 30 31 32 33 34 35 36 37 38 39 public virtual decimalBalance { get {return balance;} } public virtual void Withdraw (decimal amount) { balance -= amount; } public virtual void Deposit (decimal amount) { balance += amount; } public virtual void AddInterests() { balance += balance * (Decimal)interestRate; } public override string ToString() { return owner + "'s account holds " + + balance + " kroner"; } } Program 28.2 Constructors in class BankAccount. The two constructors of the class CheckAccount, shown in Program 28.3, both delegate part of the initialization work to the first constructor in class BankAccount. Again, this is done via the special notation base(...) outside the body of the constructor. Notice that bodies of both constructors in CheckAccount are empty. It is interesting to ask why the designers of C# have decided on the special way of delegating work between constructors in C#. Alternatively, one constructor could chose to delegate work to another constructor inside the bodies. The rationale behind the C# design is most probably, that the designers insist on a particular initialization order. This will be discussed in Section 28.5. 1 2 3 4 5 6 7 8 9 10 11 12 13 14 15 16 17 18 19 20 21 22 23 using System; public class CheckAccount: BankAccount { public CheckAccount(string o, double ir): base(o, 0.0M, ir) { } public CheckAccount(string o, decimal b, double ir): base(o, b, ir) { } public override void Withdraw (decimal amount) { balance -= amount; if (amount < balance) interestRate = -0.10; } public override string ToString() { return owner + "'s check account holds " + + balance + " kroner"; } } Program 28.3 Constructors in class CheckAccount.
  • 226.
    220 In the web-versionof the material we also show the classes SavingsAccount and LotteryAccount, see Program 28.4 and Program 28.5 respectively. 28.5. Constructors and initialization order Lecture 7 - slide 25 We speculated about the motives behind the special syntax of constructor delegation in the previous section. A constructor in a subclass must - either implicitly or explicitly - activate a constructor in a superclass. In that way a chain of constructors are executed when an object is initialized. The chain of constructors will be called from the most general to the least general. The following initializations take place when a new C object is made with new C(...): • Instance variables in C are initialized (field initializers) • Instance variables in superclasses are initialized - most specialized first • Constructors of the superclasses are executed - most general first • The constructor body of C is executed Notice that initializers are executed first, from most specific to most general. Next the constructors are called in the opposite direction. Let us illustrate this by means of concrete example in Program 28.6, Program 28.7 and Program 28.8 where class C inherits from class B, which in turn inherit from class A. The slightly artificial class Init, shown in Program 28.9 contains a static "tracing method" which returns a given init value, val. More importantly, for our interests, it tells us about the initialization. In that way we can see the initialization order on the standard output stream. The tiny application class, containing the static Main method, is shown in Program 28.10. The output in Listing 28.11 reveals - as expected - that all initializers are executed before the constructors. First in class C, next in B, and finally in A. After execution of the initializers the constructors are executed. First the A constructors, then the B constructor, and finally the C constructor. 1 2 3 4 5 6 7 8 9 10 using System; public class C: B { private int varC1 = Init.InitMe(1, "varC1, initializer in class C"), varC2; public C (){ varC2 = Init.InitMe(4, "VarC2, constructor body C"); } } Program 28.6 Initializers and constructors of class C. 1 2 3 4 5 6 7 using System; public class B: A { private int varB1 = Init.InitMe(1, "varB1, initializer in class B"), varB2; public B (){
  • 227.
    221 8 9 10 varB2 = Init.InitMe(4,"VarB2, constructor body B"); } } Program 28.7 Initializers and constructors of class B. 1 2 3 4 5 6 7 8 9 10 using System; public class A { private int varA1 = Init.InitMe(1, "varA1, initializer in class A"), varA2; public A (){ varA2 = Init.InitMe(4, "VarA2, constructor body A"); } } Program 28.8 Initializers and constructors of class A. 1 2 3 4 5 6 7 8 9 10 using System; public class Init{ public static int InitMe(int val, string who){ Console.WriteLine(who); return val; } } Program 28.9 The class Init and the method InitMe. 1 2 3 4 5 6 7 8 using System; class App{ public static void Main(){ C c = new C(); } } Program 28.10 A program that instantiates and initializes class C. 1 2 3 4 5 6 varC1, initializer in class C varB1, initializer in class B varA1, initializer in class A VarA2, constructor body A VarB2, constructor body B VarC2, constructor body C Listing 28.11 The output that reveals the initialization order. 28.6. Visibility modifiers in C# Lecture 7 - slide 27 Visibility control is a key issue in object-oriented programming. The general discussion about visibility appears in Section 11.3, Section 11.4 and Section 11.5. The C# specific discussion is briefly touched on in Section 11.7. We gave overview of visibility in namespaces and types in Section 11.16. In this lecture we have briefly described the issue in general in Section 27.3.
  • 228.
    222 Basically, we mustdistinguish between visibility of types in assemblies and visibility of members in types: • Visibility of a type (e.g. a class) in an assembly • internal: The type is not visible from outside the assembly • public: The type is visible outside the assembly • Visibility of members in type (e.g., methods in classes) • private: Accessible only in the containing type • protected: Accessible in the containing type and in subtypes • internal: Accessible in the assembly • protected internal: Accessible in the assembly and in the containing type and its subtypes • public: Accessible whenever the enclosing type is accessible The issue of inheritance and visibility of private members is addressed in Exercise 7.2. Internal visibility is related to assemblies, not namespaces. Assemblies are produced by the compiler, and represented as either -.dll or -.exe files. It is possible to have a type which is invisible outside the assembly, into which it is compiled. It is, of course, also possible to have types which are visible outside the assembly. This is the mere purpose of having libraries. Per default - if you do not write any modifier - top- level types are internal in their assembly. The ultimate visibility of members of a class, quite naturally, depends on the visibility of the surrounding type in the assembly. Members of classes (variables, methods, properties, etc) can also have internal visibility. Protected members are visible in direct and indirect subclasses. You can think of protected members as members visible from classes in the inheritance family. We could call it family visibility. It is - as noticed above - possible to combine internal and protected visibility. The default visibility of members in types is private. It was a major point in Chapter 11 that data should be private within its class. With the introduction of inheritance we may chose to define data as protected members. Protected data is convenient, at least from a short-term consideration, because superclass data then can be seen from subclasses. But having protected data in class C implies that knowledge of the data representation is spread from class C to all direct and indirect subclasses of C. Thus, a larger part of the program is vulnerable if/when the data representation is changed. (Recall the discussion about representation independence from Section 11.6). Therefore we may decide to keep data private, and to access superclass data via public or protected operations. It is worth a serious consideration is you should allow protected data in the classes of your next programming project. Related to inheritance we should also notice that a redefined member in a subclass should be at least as visible as the member in the superclass, which it replaces. It is possible to introduce visibility inconsistencies. This has been discussed in great details in Section 11.16. Exercise 7.2. Private Visibility and inheritance Take a look at the classes shown below: using System; public class A{ private int i = 7;
  • 229.
    223 protected int F(intj){ return i + j; } } public class B : A{ public void G(){ Console.WriteLine("i: {0}", i); Console.WriteLine("F(5): {0}", F(5)); } } public class Client { public static void Main(){ B b = new B(); b.G(); } } Answer the following questions before you run the program: 1. Does the instance of B, created in Main in Client, have an instance variable i? 2. Is the first call to Console.WriteLine in G legal? 3. Is the second call to Console.WriteLine in G legal? Run the program and confirm your answers. Exercise 7.3. Internal Visibility The purpose of this exercise is to get some experience with the visibility modifier called internal. Take a look at the slide to which this exercise belongs. In this exercise, it is recommended to activate the compiler from a command prompt. Make a namespace N with two classes P and I: • P should be public. P should have a static public member p and a static internal member i. • I should be internal. I should also have a static public member p and a static internal member i. Compile the classes in the namespace N to a single assembly, for instance located in the file x.dll. Demonstrate that the class I can be used in class P. Also demonstrate that P.i can be seen and used in class P. After this, program a class A, which attempts to use the classes P and I from x.dll. Arrange that class A is compiled separately, to a file y.dll. Answer the following questions about class A: 1. Can you declare variables of type P in class A? 2. Can you declare variables of type I in class A? 3. Can you access P.i and and P.p in A? 4. Can you access I.i and and I.p in A?
  • 230.
    224 Finally, arrange thatclass A is compiled together with N.P and N.I to a single assembly, say y.dll. Does this alternative organization affect the answers to the questions asked above? 28.7. Inheritance of methods, properties, and indexers Lecture 7 - slide 28 All members apart from constructors are inherited. In particular we notice that operations (methods, properties, and indexers) are inherited. Methods, properties, and indexers are inherited Here follows some basic observations about inheritance of operations: • Methods, properties, and indexers can be redefined in two different senses: • Same names and signatures in super- and subclass, closely related meanings (virtual, override) • Same names and signatures in super- and subclass, two entirely different meanings (new) • A method M in a subclass B can refer to a method M in a superclass A • base.M(...) • Cooperation, also known as method combination The distinctions between virtual/override and new is detailed in Section 28.9. The subject of the second item is method combination, which we will discuss in more details in Chapter 29. Operators are inherited. A redefined operator in a subclass will be an entirely new operator. Operators (see Chapter 21) are static. The choice of operator is fully determined at compile time. Operators can be overloaded. There are rules, which constrain the types of formal parameters of operators, see Section 21.4. All this implies that two identically named operators in two classes, one of which inherits from the other, can be distinguished from each other already at compile-time. 28.8. Inheritance of methods: Example. Lecture 7 - slide 29 We will now carefully explore a concrete example that involves class inheritance. We stick to the bank account classes, as introduced in Section 25.4 where we discussed class specialization. In Program 28.12, Program 28.13, and Program 28.14 we emphasize the relevant aspects of inheritance with colors. 1 2 3 4 5 using System; public class BankAccount { protected double interestRate;
  • 231.
    225 6 7 8 9 10 11 12 13 14 15 16 17 18 19 20 21 22 23 24 25 26 27 28 29 30 31 32 33 34 35 36 37 38 39 protected string owner; protecteddecimal balance; public BankAccount(string o, decimal b, double ir) { this.interestRate = ir; this.owner = o; this.balance = b; } public BankAccount(string o, double ir): this(o, 0.0M, ir) { } public virtual decimal Balance { get {return balance;} } public virtual void Withdraw (decimal amount) { balance -= amount; } public virtual void Deposit (decimal amount) { balance += amount; } public virtual void AddInterests() { balance += balance * (Decimal)interestRate; } public override string ToString() { return owner + "'s account holds " + + balance + " kroner"; } } Program 28.12 The base class BankAccount. In Program 28.12 the data a protected, not private. This is an easy solution, but not necessarily the best solution, because the program area that uses the three instance variables of class BankAccount now becomes much larger. This has already been discussed in Section 28.6. In addition the properties and methods are declared as virtual. As we will see in Section 28.14 this implies that we can redefine the operations in subclasses of BankAccount, such that the run-time types of bank accounts (the dynamic types) determine the actual operations carried out. 1 2 3 4 5 6 7 8 9 10 11 12 13 14 15 16 17 18 using System; public class CheckAccount: BankAccount { // Instance variables of BankAccount are inherited public CheckAccount(string o, double ir): base(o, 0.0M, ir) { } public CheckAccount(string o, decimal b, double ir): base(o, b, ir) { } // Method Balance is inherited // Method Deposit is inherited // Method AddInterests is inherited
  • 232.
    226 19 20 21 22 23 24 25 26 27 28 29 public override voidWithdraw (decimal amount) { base.Withdraw(amount); if (amount < balance) interestRate = -0.10; } public override string ToString() { return owner + "'s check account holds " + + balance + " kroner"; } } Program 28.13 The class CheckAccount. In class CheckAccount in Program 28.13 the instance variables of class BankAccount and the operations Balance, Deposit, and AddInterests are inherited. Thus, these operations from BankAccount can simply be (re)used on CheckAccount objects. The method Withdraw is redefined. Notice that Withdraw calls base.Withdraw, the Withdraw method in class BankAccount. This is (imperative) method combination, see Section 29.1. As we will see in Section 28.9 the modifier override is crucial. The method ToString overrides the similar method in BankAccount, which in turn override the similar method from class Object. In the web-version of the material we also show subclasses SavingsAccount and LotteryAccount. Exercise 7.4. A subclass of LotteryAccount On the slide, to which this exercise belongs, we have emphasized inheritance of methods and properties in the bank account class hierarchy. From the web-version of the material there is direct access to the necessary pieces of program. The LotteryAccount uses an instance of a Lottery object for adding interests. Under some lucky circumstances, the owner of a LotteryAccount will get a substantial amount of interests. In most cases, however, no interests will be added. There exists a single file which contains the classes BankAccount, CheckAccount, SavingsAccount, Lottery, together with a sample client class. Program a specialization of the LotteryAccount, called LotteyPlusAccount, with the following redefinitions of Deposit and Withdraw. • The Deposit method doubles the deposited amount in case you draw a winning lottery number upon deposit. If you are not lucky, Deposit works as in LottoryAccount, but an administrative fee of 15 kroner will be withdrawn from your LotteryPlusAccount. • The Withdraw method returns the withdrawn amount without actually deducting it from the LotteryPlusAccount if you draw a winning lottery number upon withdrawal. If you are not lucky, Withdraw works as in LottoryAccount, and an additional administrative fee of 50 kroner will be withdrawn from the account as well. Notice that the Deposit and Withdraw methods in LotteryPlusAccount should combine with the method in LotteryAccount (method combination). Thus, use the Deposit and Withdraw methods from LotteryAccount as much as possible when you program the LotteryPlusAccount.
  • 233.
    227 Test-drive the classLotteryPlusAccount from a sample client class. 28.9. Overriding and Hiding in C# Lecture 7 - slide 30 Let us now carefully explore the situation where a method M appears in both class A and its subclass B. Thus, the situation is as outlined in Program 28.16. 1 2 3 4 5 6 7 class A { public void M(){} } class B: A{ public void M(){} } Program 28.16 Two methods M in classes A and B, where B inherits from A. Let us already now reveal that Program 28.16 is illegal in C#. The compiler will complain (with a warning). We will need to add some modifiers in front of the method definitions. There are basically two different situations that make sense: • Intended redefinition: B.M is intended to redefine A.M - such that B.M is used on B instances • A.M must be declared as virtual • B.M must be declared to override A.M • Accidental redefinition: The programmer of class B is not aware of A.M • B.M must declare that it is not related to A.M - using the new modifier Intended redefinition is - by far - the most typical situation. We prepare for intended redefinition by declaring the method as virtual in the most general superclass. This causes the method to be virtual in all subclasses. Each subclass that redefines the method must override it. This pattern paves the road for dynamic binding, see Section 28.10. Intended redefinition appears frequently in almost all object-oriented programs. We have already seen it several times in the bank account classes in Program 28.12 - Program 28.15. Accidental redefinition is much more rare. Instead of declaring M.B as new it is better to give M in B another name. The new modifier should only be used in situations where renaming is not possible nor desirable. 28.10. Polymorphism. Static and dynamic types Lecture 7 - slide 31 In this section we define the concepts of polymorphism and dynamic binding. In order to be precise about dynamic binding we also define the meaning of static and dynamic types of variables and parameters.
  • 234.
    228 Polymorphism stands forthe idea that a variable can refer to objects of several different types The static type of a variable is the type of variable, as declared The dynamic type of a variable is type of object to which the variable refers Dynamic binding is in effect if the dynamic type of a variable v determines the operation activated by v.op(...) 'Poly' means 'many' and 'morph' means 'form'. Thus, polymorphism is related to the idea of 'having many forms' or 'having many types'. In the literature, polymorphism is often associated with procedures or functions that can accept parameters of several types. This is called parametric polymorphism. More basically (and as advocated by, for instance, Bertrand Meyer [Meyer88] ), polymorphism can be related to variables. A polymorphic variable or parameter can (at run-time) take values of more than one type. This is called data polymorphism. A concrete and detailed discussion of dynamic and static types, based on an example, is found in Section 28.11, which is the next section of this material. Use of the modifiers virtual and override, as discussed in Section 28.9 is synonymous with dynamic binding. We have much more to say about dynamic binding later in this material, more specifically in Section 28.14 and Section 28.15. Polymorphism and good use of dynamic binding is one of the "OOP crown jewels" in relation to inheritance. It means that you should attempt to design your programs such that they take advantage of polymorphism and dynamic binding. For a practical illustration, please compare Program 28.26 and Program 28.27 in Section 28.15. 28.11. Static and dynamic types in C# Lecture 7 - slide 32 Before we can continue our discussion of virtual methods (dynamic binding) we will give examples of static and dynamic types of variables. We now apply the definitions from Section 28.10 to the scene in Program 28.17 shown below. As it appears, the class B inherits from class A. In the client of A and B the variable x is declared of type A, and the variable y is declared of type B. In other words, the static type of x is A and the static type of y is B. Next, in line 10 and 11, we instantiate class A and B. Thus, at the position of line 12, the variable x refers to an object of type A, and the variable y refers to an object of type B. Therefore, at the position of line 12, the dynamic type of x is A and the dynamic type of y is B. The assignment x = y in line 13 implies that x (as well as y) now refer to a B object. This is possible due polymorphism. Recall that a B object is an A object. You can read about the is-a relation in Section 25.2. Line 15 causes a compile-time error. The variable y, of static type B, cannot refer an object of type A. An instance of class A is not a B object. Finally, in line 17, we assign x to y. Recall, that just before line 17 x and y refer to the same B object. Thus, the assignment y = x is harmless in the given situation. Nevertheless, it is illegal! From a general and
  • 235.
    229 conservative point ofview, the danger is that the variable y of static type B can be assigned to refer to an object of type A. This would be illegal, because an A object is (still) not a B object. 1 2 3 4 5 6 7 8 9 10 11 12 13 14 15 16 17 18 19 20 class A {} class B: A{} class Client{ public static void Main (){ // // Static type Dynamic type A x; // A - B y; // B - x = new A(); // A A TRIVIAL y = new B(); // B B TRIVIAL x = y; // A B OK - TYPICAL y = new A(); // B A Compile time ERROR // Cannot implicitly convert type 'A' to 'B'. y = x; // B B Compile time ERROR ! // Cannot implicitly convert type 'A' to 'B'. } } Program 28.17 Illustration of static and dynamic types. We will now, in Program 28.18 remedy one of the problems that we encountered above in Program 28.17. In line 16 the assignment y = x succeed if we cast the object, referred to by x, to a B-object. You should think of the cast as a way to assure the compiler that x, at the given point in time, actually refers to a B-object. In line 15 we attempt a similar cast of the object returned by the expression new A(). (This is an attempted downcast, see Section 28.17). As indicated, this causes a run-time error. It is not possible to convert an A object to a B object. 1 2 3 4 5 6 7 8 9 10 11 12 13 14 15 16 17 18 class A {} class B: A{} class Client{ public static void Main (){ // // Static type Dynamic type A x; // A - B y; // B - x = new A(); // A A TRIVIAL y = new B(); // B B TRIVIAL x = y; // A B OK - TYPICAL y = (B)new A(); // B A RUNTIME ERROR y = (B)x; // B B NOW OK } } Program 28.18 Corrections of the errors in the illustration of static and dynamic types. With a good understanding of static and dynamic types of variables you can jump directly to Section 28.14. If you read linearly you will in Section 28.12 and in Section 28.13 encounter the means of expressions in C# for doing type testing and type conversion.
  • 236.
    230 28.12. Type testand type conversion in C# Lecture 7 - slide 33 It is possible to test if the dynamic type of a variable v is of type C, and there are two ways to convert (cast) one class type to another The following gives an overview of the possibilities. • v is C • True if the variable v is of dynamic type C • Also true if the variable v is of dynamic type D, where D is a subtype of C As it appears from level 9 of Table 6.1 is an operator in C#. - The explanation of the is operator above is not fully accurate. The expression in the item above is true if v successfully can be converted to the type C by a reference conversion, a boxing conversion, or an unboxing conversion. It is - every now and then - useful to test the dynamic type of a variable (or expression) by use of the is operator. Notice however, that in many contexts it is unnecessary to do so explicitly. Use of a virtual method (dynamic binding) encompasses an implicit test of the dynamic type of an expression. Such a test is therefore an implicit branching point in a program. In other words, passing a message to an object selects an appropriate method on basis of the type of the receiver object. You should always consider twice if it is really necessary to discriminate with use of the is operator. If your program contains a lot of instance tests (using the is operator) you may not have understood the idea of virtual methods! The following to forms of type conversion (casting) is supported in C#: • (C)v • Convert the static type of v to C in the given expression • Only possible if the dynamic type of v is C , or a subtype of C • If not, an InvalidCastException is thrown • v as C • Non-fatal variant of (C)v • Thus, convert the static type of v to C in the given expression • Returns null if the dynamic type of v is not C, or a subtype of C The first, (C)v, is know as casting. If C is a class, casting is a way to adjust the static type of a variable or expression. The latter alternative, v as C, is equivalent to (C)v provided that no exceptions are thrown. If (C)v throws an exception, the expression v as C returns null. Above we have assumed that C is a reference type (a class for instance). It also makes sense to use (T)v where T is value type (such as a struct). In this case a value of the type is converted to another type. We have touched on explicitly programmed type conversions in Section 21.2. See an example in Program 21.3. Casting of a value of value type may change the actual bits behind the value. The casting of a reference, as discussed above, does not change the "bits behind the reference".
  • 237.
    231 as is anoperator in the same way as is, see level 9 of Table 6.1. Notice also, at level 13 of the table, that casting is an operator in C#. The typeof operator can be applied on a typename to obtain the corresponding object of class Type The Object.GetType instance method returns an object of class Type that represents the run- time type of the receiver. Examples of casting, and examples of the as and is operators, are given next in Section 28.13. 28.13. Examples of type test and type conversion Lecture 7 - slide 34 In the web-version of the material, this section contains concrete examples that show how to use the is, as, and typecasting operators. The examples are relatively large, and the explanations quite detailed; Therefore they have been left out of the paper edition. Exercise 7.5. Static and dynamic types Type conversion with v as T was illustrated with a program on the accompanying slide. The output of the program was confusing and misleading. We want to report the static types of the expressions ba1 as BankAccount, ba1 as CheckAccount, etc. If you access this exercise from the web-version there will be direct links to the appropriate pieces of program. Explain the output of the program. You can examine the classes BankAccount, CheckAccount, SavingsAccount and LotteryAccount, if you need it. Modify the program such that the static type of the expressions bai as BanktypeAccount is reported. Instead of baRes1 = ba1 as BankAccount; Report(baRes1); you should activate some method on the expression ba1 as BankAccount which reveals its static type. In order to do so, it is allowed to add extra methods to the bank account classes. 28.14. Virtual methods in C# Lecture 7 - slide 35 This section continues our discussion of dynamic binding and virtual methods from Section 28.10. We will make good use of the notion of static type and dynamic type, as introduced in Section 28.11.
  • 238.
    232 First of allnotice that virtual methods that are overridden in subclasses rely on dynamic binding, as defined in Section 28.10. Also notice that everything we tell about virtual methods also holds for virtual properties and virtual indexers. The ABC example in Program 28.24 shows two classes, A and B, together with a Client class. B is a subclass of A. The class A holds the methods M, N, O, and P which are redefined somehow in the subclass B. The compiler issues a warning in line 11 because we have a method M in both class A and class B. Similarly, a warning is issued in line 13 because we have a method O in class B as well as a virtual method O in class A. The warnings tells you that you should either use the modifier override or new when you redefine methods in class B. M in class B is said to hide M in class A. Similarly, O in class B hides O in class A. The overriding of N in line 12 (in class B) of the virtual method N in line 5 (from class A) is very typical. Below, in the client program, we explain the consequences of this setup. Please notice this pattern. Object- oriented programmers use it again and again. It is so common that it is the default setup in Java! The method P in line 14 of class B is declared as new. P in class B hides P in class A. The use of new suppresses the warnings we get for method M and for method O. The use of new has nothing to do with class instantiation. Declaring P as new in B states an accidental name clash between methods in the class hierarchy. P in A and P in B can co-exist, but they are not intended to be related in the same way as N in A and N in B. 1 2 3 4 5 6 7 8 9 10 11 12 13 14 15 16 17 18 19 20 21 22 23 24 25 26 27 using System; class A { public void M( ){Console.WriteLine("M in A");} public virtual void N( ){Console.WriteLine("N in A");} public virtual void O( ){Console.WriteLine("O in A");} public void P( ){Console.WriteLine("P in A");} } class B: A{ public void M( ){Console.WriteLine("M in B");} // warning public override void N( ){Console.WriteLine("N in B");} public void O( ){Console.WriteLine("O in B");} // warning public new void P( ){Console.WriteLine("P in B");} } class Client { public static void Main(){ A aa = new A( ), // aa has static type A, and dynamic type A ab = new B( ); // ab has static type A, and dynamic type B B b = new B( ); // b has static type B, and dynamic type B aa.N( ); ab.N( ); b.N( ); // The dynamic type controls Console.WriteLine( ); aa.P( ); ab.P( ); b.P( ); // The static type controls } } Program 28.24 An illustration of virtual and new methods in class A and B. The Client class in Program 28.24 brings objects of class A and B in play. The variable aa refers an A object. The variable ab refers a B object. And finally, the variable b refers a B object as well.
  • 239.
    233 The most noteworthycases are emphasized in blue. When we call a virtual method N, the dynamic type of the receiving object controls which method to call. Thus in line 23, aa.N() calls the N method in class A, and ab.N() calls the N method in class B. In both cases we dispatch on an object referred from variables of static type A. The dynamic type of the variable controls the dispatching. In line 25, the expression aa.P() calls the P method in class A, and (most important in this example) ab.P() also class the P method in class A. In both cases the static type of the variables aa and ab control the dispatching. Please consult the program output in Listing 28.25 to confirm these results. 1 2 3 4 5 6 7 N in A N in B N in B P in A P in A P in B Listing 28.25 Output from the program that illustrates virtual and new methods. Virtual methods use dynamic binding Properties and indexers can be virtual in the same way as methods Let us finally draw the attention to the case where a virtual method M is overridden along a long chain of classes, say A, B, C, D, E, F, G, and H that inherit from each other (B inherits from A, C from B, etc). In the middle of this chain, let us say in class E, the method M is defined as new virtual instead of being overridden. This changes almost everything! It is easy to miss the new virtual method among all the overridden methods. If a variable v of static type A, B, C, or D refers to an object of type H, then v.M() refers to M in D (the level just below the new virtual method). If v is of static type E, F, or G then v.M() refers to M in class H. 28.15. Practical use of virtual methods in C# Lecture 7 - slide 36 Having survived the ABC example from the previous section, we will now look at a real-life example of virtual methods. We will program a client class of different types of bank account classes, and we will see how the AddInterests method benefits from being virtual. The bank account classes, used below, were introduced in Section 25.4 in the context of our discussion of specialization. Please take a look at the way the AddInterests methods are defined in Program 25.1, Program 25.3, and Program 25.4. The class CheckAccount inherits the AddInterests method of class BankAccount. SavingsAccount and LotteryAccount override AddInterests. Notice that the definition of the AddInterests methods follow the pattern of the methods named N in Program 28.24.
  • 240.
    234 1 2 3 4 5 6 7 8 9 10 11 12 13 14 15 16 17 18 19 20 21 22 23 24 using System; public classAccountClient{ public static void Main(){ BankAccount[] accounts = new BankAccount[5]{ new CheckAccount("Per",1000.0M, 0.03), new SavingsAccount("Poul",1000.0M, 0.03), new CheckAccount("Kurt",1000.0M, 0.03), new LotteryAccount("Bent",1000.0M), new LotteryAccount("Lone",1000.0M) }; foreach(BankAccount ba in accounts){ ba.AddInterests(); } foreach(BankAccount ba in accounts){ Console.WriteLine("{0}", ba); } } } Program 28.26 Use of virtual bank account methods. The Main method of the AccountClient class in Program 28.27 declares an array of type BankAccount, see line 6. Due to polymorphism (see Section 28.10) it is possible to initialize the array with different types of BankAccount objects, see line 7-13. We add interests to all accounts in the array in line 15-17. This is done in a foreach loop. The expression ba.AddInterests() calls the most specialized interest adding method in the BankAccount class hierarchy on ba. The dynamic type of ba determines which AddInterests method to call. If, for instance, ba refers to a LotteryAccount, the AddInterests method of class LotteryAccount is used. Please notice that this is indeed the expected result: The type of the receiver object obj controls the interpretation of messages to obj. And further, the most specialized method relative to the type of the receiver is called. Let us - for a moment - assume that we do not have access to virtual methods and dynamic binding. In Program 28.27 we have rewritten Program 28.26 in such a way that we explicitly control the type dispatching. This is the part of Program 28.27 emphasized in purple. Thus, the purple parts of Program 28.26 and Program 28.27 are equivalent. Which version do you prefer? Imagine that many more bank account types were involved, and find out how valuable virtual methods can be for your future programs. 1 2 3 4 5 6 7 8 9 10 11 12 using System; public class AccountClient{ public static void Main(){ BankAccount[] accounts = new BankAccount[5]{ new CheckAccount("Per",1000.0M, 0.03), new SavingsAccount("Poul",1000.0M, 0.03), new CheckAccount("Kurt",1000.0M, 0.03), new LotteryAccount("Bent",1000.0M), new LotteryAccount("Lone",1000.0M)
  • 241.
    235 13 14 15 16 17 18 19 20 21 22 23 24 25 26 27 28 29 30 31 }; foreach(BankAccount ba inaccounts){ if (ba is CheckAccount) ((CheckAccount)ba).AddInterests(); else if (ba is SavingsAccount) ((SavingsAccount)ba).AddInterests(); else if (ba is LotteryAccount) ((LotteryAccount)ba).AddInterests(); else if (ba is BankAccount) ((BankAccount)ba).AddInterests(); } foreach(BankAccount ba in accounts){ Console.WriteLine("{0}", ba); } } } Program 28.27 Adding interests without use of dynamic binding - AddInterest is not virtual. Notice that for the purpose of Program 28.27 we have modified the bank account classes such that AddInterests is not virtual any more. Notice also, in line 22, that the last check of ba is against BankAccount. The check against BankAccount must be the last branch of the if-else chain because all the bank accounts b in the example satisfy the predicate b is BankAccount. The outputs of Program 28.26 and Program 28.27 are identical, and they are shown in Listing 28.28. As it turns out, we were not lucky enough to get interests out of our lottery accounts. 1 2 3 4 5 Per's check account holds 1030,000 kroner Poul's savings account holds 930,000 kroner Kurt's check account holds 1030,000 kroner Bent's lottery account holds 1000,0 kroner Lone's lottery account holds 1000,0 kroner Listing 28.28 Output from the bank account programs. The use of virtual methods - and dynamic binding - covers a lot of type dispatching which in naive programs are expressed with if-else chains 28.16. Overriding the Equals method in a class Lecture 7 - slide 37 The Equals instance method in class Object is a virtual method, see Section 28.3. The Equals method is intended to be redefined (overridden) in subclasses of class Object. The circumstances for redefining Equals have been discussed in Focus box 13.1. It is tricky to do a correct overriding of the virtual Equals method in class Object Below we summarize the issues involved when redefining Equals in one of our own classes.
  • 242.
    236 • Cases todeal with when redefining the Equals method: • Comparison with null (false) • Comparison with an object of a different type (false) • Comparison with ReferenceEquals (true) • Comparison of fields in two objects of the same type • Other rules when redefining Equals: • Must not lead to errors (no exceptions thrown) • The implemented equality should be reflexive, symmetric and transitive • Additional work: • GetHashCode should also be redefined in accordance with Equals • If o1.Equals(o2) then o1.GetHashCode() == o2.GetHashCode() • If you overload the == operator • Also overload != • Make sure that o1 == o2 and o1.Equals(o2) return the same result We illustrate the rules in Program 28.29, where we override the Equals method in class BankAccount. 1 2 3 4 5 6 7 8 9 10 11 12 13 14 15 16 17 18 19 20 21 22 23 24 25 26 27 28 29 30 31 32 33 34 35 36 37 38 39 40 41 using System; using System.Collections; public class BankAccount { private double interestRate; private string owner; private decimal balance; private long accountNumber; private static long nextAccountNumber = 0; private static ArrayList accounts = new ArrayList(); public BankAccount(string owner): this(owner, 0.0) { } public BankAccount(string owner, double interestRate) { nextAccountNumber++; accounts.Add(this); this.accountNumber = nextAccountNumber; this.interestRate = interestRate; this.owner = owner; this.balance = 0.0M; } public override bool Equals(Object obj){ if (obj == null) return false; else if (this.GetType() != obj.GetType()) return false; else if (ReferenceEquals(this, obj)) return true; else if (this.accountNumber == ((BankAccount)obj).accountNumber) return true; else return false; } public override int GetHashCode(){ return (int)accountNumber ^ (int)(accountNumber >> 32); // XOR of low orders and high orders bits of accountNumber // According to GetHashCode API recommendation.
  • 243.
    237 42 43 44 45 46 } /* Some methodsare not included in this version */ } Program 28.29 Equals and GetHashCode Methods in class BankAccount. Please follow the pattern in Program 28.29 when you have to redefine Equals in your future classes. 28.17. Upcasting and downcasting in C# Lecture 7 - slide 38 Upcasting and downcasting are common words in the literature about object-oriented programming. We have already used these words earlier in this material, see for instance Program 28.21. Upcasting converts an object of a specialized type to a more general type Downcasting converts an object from a general type to a more specialized type Figure 28.3 A specialization hierarchy of bank accounts Relative to Figure 28.3 we declare two BankAccount and two LotteryAccount variables in Program 28.30. After line 4 ba2 refers to a BankAccount object, and la2 refers to a LotteryAccount object. The assignment in line 6 reflects an upcasting. ba1 is allowed to refer to a LotteryAccount, because - conceptually - a LotteryAccount is a BankAccount. In line 7, we attempt to assign ba2 to la1. This is an attempted downcasting. This is statically invalid, and the compiler will always complain. Notice that in some cases the assignment la1 = ba2 is legal, namely when ba2 refers to a LotteryAccount object. In order to make the compiler happy, you should write la1 = (LotteryAccount)ba2. In line 9 we attempt to do the downcasting discussed above, but it fails at run-time. The reason is - of course - that ba2 refers to a BankAccount object, and not to a LotteryAccount object. After having executed line 6, ba1 refers to a LotteryAccount object. Thus, in line 11 we can assign la1 to the reference in ba1. Again, this is a downcasting. As noticed above, the downcasting is necessary to calm the compiler.
  • 244.
    238 1 2 3 4 5 6 7 8 9 10 11 12 BankAccount ba1, ba2 =new BankAccount("John", 250.0M, 0.01); LotteryAccount la1, la2 = new LotteryAccount("Bent", 100.0M); ba1 = la2; // upcasting - OK // la1 = ba2; // downcasting - Illegal // discovered at compile time // la1 = (LotteryAccount)ba2; // downcasting - Illegal // discovered at run time la1 = (LotteryAccount)ba1; // downcasting - OK // ba1 already refers to a LotteryAccount Program 28.30 An illustration of upcasting and downcasting. Upcasting and downcasting reflect different views on a given object The object is not 'physically changed' due to upcasting or downcasting The general rules of upcasting and downcasting in class hierarchies in C# can be expresses as follows: • Upcasting: • Can occur implicitly during assignment and parameter passing • A natural consequence of polymorphism and the is-a relation • Can always take place • Downcasting: • Must be done explicitly by use of type casting • Can not always take place 28.18. Inheritance and Variables Lecture 7 - slide 40 We have focused a lot on methods in the previous sections. We will now summarize how variables are inherited. Variables (fields) are inherited Variables cannot be virtual Variables are inherited. Thus a variable v in a superclass A is present in a subclass B. This is even the case if v is private in class A, see Exercise 7.2. What happens if a variable v is present in both a superclass and a subclass? A variable can be redefined in the following sense:
  • 245.
    239 • Same namein super- and subclass: two entirely different meanings (new) We illustrate this situation in the ABC example of Program 28.31. Both class A and B have an int variable v. This can be called accidental redefinition, and this is handled in the program by marking v in class B with the modifier new. Now, in the client class App, we make some A and B objects. In line 17-23 we see that the static type of a variable determines which version of v is accessed. Notice in particular the expression anotherA.v. If variable access had been virtual, anotherA.v would return the value 5. Now we need to adjust the static type explicitly with a type cast (see Section 28.12) to obtain a reference to B.v. This is illustrated in line 21. 1 2 3 4 5 6 7 8 9 10 11 12 13 14 15 16 17 18 19 20 21 22 23 24 25 using System; public class A{ public int v = 1; } public class B: A{ public new int v = 5; } public class App{ public static void Main(){ // Static type Dynamic type A anA = new A(), // A A anotherA = new B(); // A B B aB = new B(); // B B Console.WriteLine( "{0}", anA.v // 1 + anotherA.v // 1 + ((B)anotherA).v // 5 + aB.v // 5 ); } } Program 28.31 An illustration of "non-virtual variable access". We do not normally use public instance variables! The idea of private instance variables and representation independence was discussed in Section 11.6. 28.19. References [Meyer88] Bertrand Meyer, Object-oriented software construction. Prentice Hall, 1988.
  • 246.
  • 247.
    241 29. Method Combination Inthis section we will primarily study method combination. Secondarily we will touch on a more specialized, related problem called parameter variance. 29.1. Method Combination Lecture 8 - slide 2 If two or more methods, of the same name, located different places in a class hierarchy, cooperate to solve some problem we talk about method combination. A typical (and minimal) scene is outlined in Figure 29.1. Class B is a subclass of A, and in both classes there is a method named Op. Both Op methods have the same signature. Figure 29.1 Class B is a subclass of class A Overall, and in general, there are several ways for Op in class A and B to cooperate. We can, for instance, imagine that whenever a B-object receives an Op message, both operations are called automatically. We can also imagine that Op in class A is called explicitly by Op in class B, or the other way around. Along the lines outlined above, we summarize two different method combination ideas. The first is known as imperative method combination, and the second is known as declarative method combination. • Programmatic (imperative) control of the combination of Op methods • Superclass controlled: The Op method in class A controls the activation of Op in class B • Subclass controlled: The Op method in class B controls the activation of Op in class A • Imperative method combination • An overall (declarative) pattern controls the mutual cooperation among Op methods • A.Op does not call B.Op - B.Op does not call A.Op. • A separate abstraction controls how Op methods in different classes are combined • Declarative method combination Mainstream object-oriented programming languages, including C#, support imperative method combination. Most of them support the variant that we call subclass-controlled, imperative method combination. Beta [Kristensen87] is an example of programming language with superclass-controlled, imperative method combination. CLOS [Steele90, Keene89] is one of the few examples of programming languages with declarative method combination. (The interested reader can consult Chapter 28 of [Steele90] to learn much more about declarative method combination in CLOS. )
  • 248.
    242 C# supports subclasscontrolled, imperative method combination via use of the notation base.Op(...) The notion base.Op(...) has been discussed in Section 28.7 and it has been illustrated in Program 26.2 (line 17), Program 28.13 (line 20), and Program 28.14 (line 20). 29.2. Parameter Variance Lecture 8 - slide 3 We will continue the discussion of the scene outlined in Figure 29.1, now refined in Figure 29.2 shown below. The question is how the parameters of Op in class A and B vary in relation the variation of type A and type B. Figure 29.2 Class B is a subclass of class A, and T is a subclass of S. In Program 29.1 we create an object of the specialized class B (in line 2), and we assign it to a variable of static type A (line 5) This is possible due to polymorphism. In line 6 we send the Op message to the B object. We assume that Op is virtual, and therefore we expect that Op in class B is called. So far so good. The thing to notice is that Op takes a single parameter. If we pass an instance of class S to B.Op we may be in deep trouble. A problem occur if B.Op applies some operation from class T on the S object. 1 2 3 4 5 6 7 A aref; B bref = new B(); S sref = new S(); aref = bref; // aref is of static type A and dynamic type B aref.Op(sref); // B.Op is called with an S-object as parameter. // What if an operation from T is activated on the S-object? Program 29.1 An illustration of the problems with covariance. In Program 29.2 (only on web) in the web-edition we show a complete C# program which illustrates the problem. The story told about the scene in Program 29.1 and Program 29.2 (only on web) turns out to be flawed in relation to C#! I could have told you the reason, but I will not do so right away. You should rather take a look at Exercise 8.1 and learn the lesson the hard way. (When access is granted to the exercise solutions, you will be able to get my explanation).
  • 249.
    243 It turns outthat parameter variance is not really a relevant topic in C#... 29.3. Covariance and Contravariance Lecture 8 - slide 4 The situation encountered in Figure 29.2 of Section 29.2 is called covariance, because the types S and T (as occurring in the parameters of Op in class A and B) vary the same way as classes A and B. (The parameter type T of Op in class B is a subclass of the parameter type S of Op in class A; The class B is a subclass of class A; Therefore we say that T and S vary the same way as A and B. ) • Covariance: The parameters S and T vary the same way as A and B As a contrast, the situation in Figure 29.3 below is called contravariance, because - in this variant of the scene - S and T vary in the opposite way as A and B. Please compare carefully Figure 29.2 with Figure 29.3. • Contravariance: The parameters S and T vary the opposite way as A and B Figure 29.3 Class B is a subclass of class A, and the parameter class S is a subclass of T. As we will see in Exercise 8.1 the distinction between covariance and contravariance is less relevant in C#. However, covariance and contravariance show up in other contexts of C#. See Section 42.6. Exercise 8.1. Parameter variance First, be sure you understand the co-variance problem stated above. Why is it problematic to execute aref.Op(sref)in the class Client? The parameter variance problem, and the distinction between covariance and contravariance, is not really a topic in C#. The program with the classes A/B/S/T on the previous page compiles and runs without problems. Explain why!
  • 250.
    244 29.4. References [Keene89] SonyaE. Keene, Object-Oriented Programming in Common Lisp. Addison-Wesley Publishing Company, 1989. [Steele90] Guy L. Steele, Common Lisp, the language, 2nd Edition. Digital Press, 1990. [Kristensen87] Bent Bruun Kristensen, Ole Lehrmann Madsen, Birger Møller-Pedersen and Kristen Nygaard, "The BETA Programming Language". In Research Directions in Object- Oriented Programming, The MIT Press, 1987. Bruce Shriver and Peter Wegner (editors)
  • 251.
    245 30. Abstract Classes- Sealed Classes This chapter is about abstract classes. At the end of the chapter we also touch on sealed classes. Relative to our interests, sealed classes are less important than abstract classes. 30.1. Abstract Classes Lecture 8 - slide 6 When we program in the object-oriented paradigm it is important to work out concepts as general as possible. Programming at a general level promotes reusability (see Section 2.4). In object-oriented programming languages we organize classes in hierarchies. The classes closest to the root are the most general classes. Take, as an example, the bank account class hierarchy in Section 25.3, where the class BankAccount is more general than CheckAccount, SavingsAccount, etc. It is worth noticing, however, that we were able to fully implement all operations in the most general class, BankAccount. In the rest of this chapter we will study even more general classes, for which we cannot (or will not) implement all the operations. The non-implemented operations are stated as declarations of intent at the most general level. These declarations of intent should be realized in less general subclasses. Abstract classes are used for concepts that we cannot or will not implement in full details Here follows our definition of an abstract class and an abstract operation. An abstract class is a class with one or more abstract operations An abstract operation is specially marked operation with a name and with formal parameters, but without a body An abstract class • may announce a number of abstract operations, which must be supplied in subclasses • cannot be instantiated • is intended to be completed/finished in a subclass We will sometimes use the term concrete class for a class which is not abstract. You should be aware that the definition of an abstract class, as given below, is not 100% accurate in relation to C#. In C# a class can be abstract without announcing abstract operations. More about that in Section 30.2 below, where we discuss abstract classes in C#. The fact that an abstract class cannot be instantiated is the most tangible, operational consequence of working with abstract classes. Many OOP programmers tend to think of the abstract modifier as a mark, to be associated with those classes, he or she does not wish to instantiate. Surely, this is a consequence, but it is not the essential idea behind abstract classes.
  • 252.
    246 30.2. Abstract classesand abstract methods in C# Lecture 8 - slide 7 We will first study an example of an abstract class. We pick an abstract stack. (This is indeed a very popular example class in many contexts. We have tried to avoid it, but here it fits nicely). The abstract class Stack, shown in Program 30.1, is remarkable of two reasons: 1. There is no data representation in the class (no instance variables). 2. There is a fully implemented operation in the class, despite the fact that the class has no data for the operation to work on. The blue parts of Program 30.1 are the abstract operations. These operations make up the classical stack operations Push, Pop, and Top together with Full, Empty, and Size. (Notice that Top, Full, Empty and Size are announced as properties, cf. Section 30.3). The abstract operations have signatures (method heads), but no body blocks. In a real-life version of the program we would certainly have supplied documentation comments with some additional explanations of the roles of the abstract operations in the class. The purple part represents a fully implemented, "normal" method, called ToggleTop. This method swaps the order of the two top-most elements of the stack (if available). Notice that ToggleTop can be implemented solely in terms of the Push, Pop, Top and Size. In other words, it is not necessary for the implementation of ToggleTop to know details of the concrete data representation of stacks.
  • 253.
    247 1 2 3 4 5 6 7 8 9 10 11 12 13 14 15 16 17 18 19 20 21 22 23 24 25 26 27 28 29 30 31 32 using System; public abstractclass Stack{ abstract public void Push(Object el); abstract public void Pop(); abstract public Object Top{ get;} abstract public bool Full{ get;} abstract public bool Empty{ get;} abstract public int Size{ get;} public void ToggleTop(){ if (Size >= 2){ Object topEl1 = Top; Pop(); Object topEl2 = Top; Pop(); Push(topEl1); Push(topEl2); } } public override String ToString(){ return String.Format("Stack[{0}]", Size ); } } Program 30.1 An abstract class Stack - without data representation - with a non-abstract ToggleTop method. In Program 30.1 the method ToString is also an example of a fully implemented method, which relies on an abstract method, namely Size. It is left as an exercise to implement a non-abstract subclass of the abstract stack, see Exercise 8.3. Let us state some more detailed - a perhaps slightly surprising - observations about abstract classes and abstract operations. Each of them will be discussed below. • Abstract classes • can be derived from a non-abstract class • do not need not to have abstract members • can have constructors • Abstract methods • are implicitly virtual In relative rare situations an abstract class can inherit from a non-abstract class. Notice, however, that even abstract classes inherit (at least implicitly) from class Object, which is a non-abstract class in C#. (In principle, it would make good sense for the designers of C# to implement class Object as abstract class. But they did not! We only rarely make instances of class Object).
  • 254.
    248 The next observationis about fully implemented classes, which we mark as being abstract. As discussed above, the purpose of this marking is to prevent instantiation of the class. You may ask if it makes sense to have constructors in a class which never is instantiated. The answer is yes, because the data encapsulated in an abstract class A should be initialized when a concrete subclass of A is instantiated. Due to the rules of constructor cooperation, see Section 28.4 and Section 28.5, a constructor of class A will be activated. If no constructor is present in A, this falls back on the parameter-less default constructor. Finally, we observe that the abstract methods are implicitly virtual. This is natural, because such a method has to be (re)defined in a subclass. In C# it is not allowed explicitly to write "virtual abstract" in front of an abstract method. Let us also observe, that an abstract method M cannot be private. This is because M need to be visible in the classes that override M. Exercise 8.2. Course and Project classes In the earlier exercise about courses and projects (found in the lecture about classes) we programmed the classes BooleanCourse, GradedCourse, and Project. Revise and reorganize your solution (or the model solution) such that BooleanCourse and GradedCourse have a common abstract superclass called Course. Be sure to implement the method Passed as an abstract method in class Course. In the Main method (of the client class of Course and Project) you should demonstrate that both boolean courses and graded courses can be referred to by variables of static type Course. Exercise 8.3. A specialization of Stack On the slide to which this exercise belongs, we have shown an abstract class Stack. It is noteworthy that the abstract Stack is programmed without any instance variables (that is, without any data representation of the stack). Notice also that we have been able to program a single non-abstract method ToggleTop, which uses the abstract methods Top, Pop, and Push. Make a non-abstract specialization of Stack, and decide on a reasonable data representation of the stack. In this exercise it is OK to ignore exception/error handling. You can, for instance, assume that the capacity of the stack is unlimited; That popping an empty stack an empty stack does nothing; And that the top of an empty stack returns the string "Not Possible". In a later lecture we will revisit this exercise in order to introduce exception handling. Exception handling is relevant when we work on full or empty stacks. Write a client of your stack class, and demonstrate the use of the inherited method ToggleTop. If you want, you can also adapt my stack client class which is easily available to you in the web-edition of this material.
  • 255.
    249 30.3. Abstract Properties Lecture8 - slide 8 Properties were introduced in Chapter 18. Recall that properties allow us to get and set data of a class through getter and setter abstractions. From an application point of view, properties are used in the same way as variables - both on the left and right hand sides of assignments. Underneath, a property is realized as two methods - one "getter" and one "setter". Properties can be abstract in the same way as methods. It means that we can announce a number of properties which must be fully defined in subclasses. We will in Program 30.2 study an example of abstract properties, namely in a Point class called AbstractPoint, which can be accessed both in a rectangular (x, y) and a polar (r, a) way. r and a means radius and angle respectively. There is no data (variables) in class AbstractPoint. We announce X, Y, R and A as abstract properties. These are emphasized using purple color. All of these are announced as both getters and setters. Notice the get; set; syntax. We could alternatively announce these as only getters, or as only setters. We notice that the syntax of abstract properties is similar to the syntax used for automatic properties, see Section 18.3. Following the abstract properties comes three noteworthy methods Move, Rotate and ToString. They are shown in blue. They all use make heavy use the abstract properties. The assignment X += dx in Move, for instance, expands to X = X + dx. It first uses the getter of the X property on the right hand side of the assignment. Next, it uses the X setter on the left hand side. In Program 30.2 we only know that the X getter and the X setter exist. The actual implementation details will be found in a subclass. In the web-edition of this material, we show a version of class AbstractPoint with four additional protected, static methods which are useful for the implementation of the subclasses. 1 2 3 4 5 6 7 8 9 10 11 12 13 14 15 16 17 18 19 20 21 22 23 24 25 26 27 28 29 30 31 32 using System; abstract public class AbstractPoint { public enum PointRepresentation {Polar, Rectangular} // We have not yet decided on the data representation of Point public abstract double X { get ; set ; } public abstract double Y { get ; set ; } public abstract double R { get ; set ; } public abstract double A { get ; set ; } public void Move(double dx, double dy){ X += dx; Y += dy; }
  • 256.
    250 33 34 35 36 37 38 39 40 41 public void Rotate(doubleangle){ A += angle; } public override string ToString(){ return "(" + X + ", " + Y + ")" + " " + "[r:" + R + ", a:" + A + "] "; } } Program 30.2 The abstract class Point with four abstract properties. In Program 30.3 we see a subclass of AbstractPoint. It is called Point. It happens to represent points the polar way. But this is an internal (private) detail of class Point. Class Point is a non-abstract class, and therefore we program a constructor, which is emphasized in black. The constructor is a little unconventional, because the first parameter allows us to specify if parameter two and three means x, y or radius, angle. It is desirable if this could be done more elegantly. (It can! Use of static factory methods, see Section 16.4, is better). Notice that PointRepresentation is an enumeration type defined in line 5 of Program 30.2. Emphasized in purple we show the actual implementation of the X and Y properties. Let us look at X. The getter of X is called whenever X is used as a right-hand side value. It calculates the x-coordinate of a point from the radius and the angle. The setter of X is called when X is used in left-hand side context, such as X = e. The value of expression e is bound to the pseudo variable value. The setter calculates new radius and angle values which are assigned to the instance variables of class Point. Emphasized in blue we show the implementation of the R and A properties. These are trivial compared to the X and Y properties, because we happen to represent points in the polar way. 1 2 3 4 5 6 7 8 9 10 11 12 13 14 15 16 17 18 19 20 21 22 23 24 25 26 27 28 using System; public class Point: AbstractPoint { // Polar representation of points: private double radius, angle; // radius, angle // Point constructor: public Point(PointRepresentation pr, double n1, double n2){ if (pr == PointRepresentation.Polar){ radius = n1; angle = n2; } else if (pr == PointRepresentation.Rectangular){ radius = RadiusGivenXy(n1, n2); angle = AngleGivenXy(n1, n2); } else { throw new Exception("Should not happen"); } } public override double X { get { return XGivenRadiusAngle(radius, angle);} set { double yBefore = YGivenRadiusAngle(radius, angle); angle = AngleGivenXy(value, yBefore); radius = RadiusGivenXy(value, yBefore); }
  • 257.
    251 29 30 31 32 33 34 35 36 37 38 39 40 41 42 43 44 45 46 47 48 49 50 51 52 53 54 55 } public override doubleY { get { return YGivenRadiusAngle(radius, angle);} set { double xBefore = XGivenRadiusAngle(radius, angle); angle = AngleGivenXy(xBefore, value); radius = RadiusGivenXy(xBefore, value); } } public override double R { get { return radius;} set { radius = value;} } public override double A { get { return angle;} set { angle = value;} } } Program 30.3 A non-abstract specialization of class Point (with private polar representation). In the web-edition we show a client of AbstractPoint and Point, which is similar to Program 11.3 from Section 11.6. It shows how to manipulate instances of class Point via its abstract interface. Let us summarize what we have learned from the examples in Program 30.2, Program 30.3, and Program 30.4 (only on web). First and foremost, we have seen an abstract class in which we are able to implement useful functionality (Move, Rotate, and ToString) at a high level of abstraction. The implementation details in the mentioned methods rely on abstract properties, which are implemented in subclasses. We have also seen a sample subclass that implements the four abstract properties. 30.4. Sealed Classes and Sealed Methods Lecture 8 - slide 9 We will now briefly, as the very last part of this chapter, describe sealed classes and sealed methods. A sealed class C prevents the use of C as base class of other classes • Sealed classes • Cannot be inherited by other classes • Sealed methods • Cannot be redefined and overridden in a subclass • The modifier sealed must be used together with override
  • 258.
    252 Sealed classes arerelated to static classes, see Section 11.12, in the sense that none of them can be subclassed. However, static classes are more restrictive because a static class cannot have instance members, a static class cannot be used as a type, and a static class cannot be instantiated. Sealed classes and methods correspond to final classes and final methods in Java. In some sense, abstract and sealed classes represent opposite concepts. At least this holds in the following sense: A sealed class cannot be subclassed; An abstract class must be subclassed in order to be useful. If a class is abstract it does not make sense that it is sealed. And the other way around, if a class is sealed it does not make sense that it, in addition, is abstract. Notice that it does not make sense either to have virtual methods in a sealed class. A sealed class is not required to have sealed methods. Moreover, a class with a sealed method does not itself need to be sealed. Finally, notice, that in C# a method cannot be sealed without also being overridden. Thus, the sealed modifier always occurs as an "extra modifier" of override. The intention of sealed methods is to prevent further overriding of virtual methods.
  • 259.
    253 31. Interfaces Interfaces forma natural continuation of abstract classes, as discussed in Chapter 30. In this chapter we will first introduce the interface concept. Then follows an example, which illustrates the power of interfaces. Finally, we review the use of interfaces in the C# libraries. 31.1. Interfaces Lecture 8 - slide 11 An interface announces a number of operations in terms of their signatures (names and parameters). An interface does not implement any of the announced operations. An interface only declares an intent, which eventually will be realized by a class or a struct. A class or struct can implement an arbitrary number of interfaces. Inheritance of multiple classes may be problematic in case the same variable or (fully defined) operation is inherited from several superclasses, see Section 27.5. Inheritance of the same intent from multiple interfaces is less problematic. In a nutshell, this explains one of the reasons behind having interfaces in C# and Java, instead of having multiple class- inheritance, like in for instance C++ and Eiffel. An interface can inherit an arbitrary number of other interfaces. This makes it convenient to organize a small set of inter-dependent operations in a single interfaces, which then can be combined (per inheritance) with several other interfaces, classes or structs. An interface corresponds to a class where all operations are abstract, and where no variables are declared. In Section 30.1 we argued that abstract classes are useful as general, high-level program contributions. This is therefore also the case for interfaces. An interface describes signatures of operations, but it does not implement any of them Here follows the most important characteristics of interfaces: • Classes and structs can implement one or more interfaces • An interface can be used as a type, just like classes • Variables and parameters can be declared of interface types • Interfaces can be organized in multiple inheritance hierarchies Let us dwell on the observation that an interface serves as a type. We already know that classes and structs can be used as types. It means that we can have variables and parameters declared as class or struct types. The observation from above states that interfaces can be used the same way. Thus, it is possible to declare variables and parameters of an interface type. But wait a moment! It is not possible to instantiate an interface. So which values can be assigned to variables of an interface type? The answer is that objects or values of class of struct types, which implement the interface, can be assigned to variables of the interface type. This gives a considerable flexibility in the type system, because arbitrary types in this way can be made compatible, by letting them implement the same interface(s). We will see an example of that in Section 31.3.
  • 260.
    254 Exercise 8.4. Theinterface ITaxable For the purpose of this exercise you are given a couple of very simple classes called Bus and House. Class Bus specializes the class Vehicle. Class House specializes the class FixedProperty. The mentioned classes can easily be accessed from the web-edition of the material.. First in this exercise, program an interface ITaxable with a parameterless operation TaxValue. The operation should return a decimal number. Next, program variations of class House and class Bus which implement the interface ITaxable. Feel free to invent the concrete taxation of houses and busses. Notice that both class House and Bus have a superclass, namely FixedProperty and Vehicle, respectively. Therefore it is essential that taxation is introduced via an interface. Demonstrate that taxable house objects and taxable bus objects can be used together as objects of type ITaxable. 31.2. Interfaces in C# Lecture 8 - slide 12 Let us now be more specific about interfaces in C#. The operations, described in a C# interface, can be methods, properties, indexers, or events. Both classes, structs and interfaces can implement one or more interfaces Interfaces can contain signatures of methods, properties, indexers, and events The syntax involved in definition of C# interfaces is summarized in Syntax 31.1. The first few lines describe the structure of an interface as such. The remaining part of Syntax 31.1 outlines the descriptions of interface methods, properties, indexers and events respectively. modifiers interface interface-name : base-interfaces { method-descriptions property-descriptions indexer-descriptions event-descriptions } return-type method-name(formal-parameter-list); return-type property-name{ get; set; } return-type this[formal-parameter-list]{ get; set; }
  • 261.
    255 event delegate-type event-name; Syntax31.1 The syntax of a C# interface, together with the syntaxes of method, property, indexer, and event descriptions in an interface 31.3. Examples of Interfaces Lecture 8 - slide 13 Earlier in this material we have programmed dice and playing cards, see Program 10.1 and Program 12.7. Do the concepts behind these classes have something in common? Well - they are both used in a wide variety of games. This observation causes us to define an interface, IGameObject, which is intended to capture some common properties of dice, playing cards, and other similar types. Both class Die and class Card should implement the interface IGameObject. As a matter of C# coding style, all interfaces start with a capital 'I' letter. This convention makes it obvious if a type is defined by an interface. This naming convention is convenient in C#, because classes and interface occur together in the inheritance clause of a class. (Both the superclass and the interfaces occur after a colon, the class first, cf. Syntax 28.1). In this respect, C# is different from Java. In Java, interfaces and classes are marked with the keywords extends and implements respectively in the inheritance clause of a class. Two or more unrelated classes can be used together if they implement the same interface 1 2 3 4 5 6 7 8 9 10 11 12 public enum GameObjectMedium {Paper, Plastic, Electronic} public interface IGameObject{ int GameValue{ get; } GameObjectMedium Medium{ get; } } Program 31.1 The interface IGameObject. The IGameObject interface in Program 31.1 prescribes two named properties: GameValue and Medium. Thus, classes that implement the IGameObject must define these two properties. Notice, however, that no semantic constraints on GameValue or Medium are supplied. (It means that no meaning is prescribed). Thus, classes that implement the interface IGameObject are, in principle, free to supply arbitrary bodies of GameValue and Medium. This can be seen as a weakness. In Chapter 50 we will see how to remedy this by specifying the semantics of operations in terms of preconditions and postconditions. Notice also that there are no visibility modifiers of the operations GameValue and Medium in the interface shown above. All operations are implicitly public. Below, in Program 31.2, we show a version of class Die, which implements the interface IGameObject. In line 3 it is stated that class Die implements the interface. The actual implementations of the two operations are shown in the bottom part of Program 31.2 (from line 33 to 44). Most interesting, the GameValue of a die is the current number of eyes.
  • 262.
    256 1 2 3 4 5 6 7 8 9 10 11 12 13 14 15 16 17 18 19 20 21 22 23 24 25 26 27 28 29 30 31 32 33 34 35 36 37 38 39 40 41 42 43 44 45 46 using System; public classDie: IGameObject { private int numberOfEyes; private Random randomNumberSupplier; private readonly int maxNumberOfEyes; public Die (): this(6){} public Die (int maxNumberOfEyes){ randomNumberSupplier = new Random(unchecked((int)DateTime.Now.Ticks)); this.maxNumberOfEyes = maxNumberOfEyes; numberOfEyes = NewTossHowManyEyes(); } public void Toss (){ numberOfEyes = NewTossHowManyEyes(); } private int NewTossHowManyEyes (){ return randomNumberSupplier.Next(1,maxNumberOfEyes + 1); } public int NumberOfEyes() { return numberOfEyes; } public override String ToString(){ return String.Format("Die[{0}]: {1}", maxNumberOfEyes, numberOfEyes); } public int GameValue{ get{ return numberOfEyes; } } public GameObjectMedium Medium{ get{ return GameObjectMedium.Plastic; } } } Program 31.2 The class Die which implements IGameObject. In Program 31.3 we show a version of class Card, which implements our interface. The GameValue of a card is, quite naturally, the card value. 1 2 3 4 5 6 7 8 9 10 11 using System; public class Card: IGameObject{ public enum CardSuite { spades, hearts, clubs, diamonds }; public enum CardValue { two = 2, three = 3, four = 4, five = 5, six = 6, seven = 7, eight = 8, nine = 9, ten = 10, jack = 11, queen = 12, king = 13, ace = 14 }; private CardSuite suite; private CardValue value;
  • 263.
    257 12 13 14 15 16 17 18 19 20 21 22 23 24 25 26 27 28 29 30 31 32 33 34 35 36 37 38 39 public Card(CardSuite suite,CardValue value){ this.suite = suite; this.value = value; } public CardSuite Suite{ get { return this.suite; } } public CardValue Value{ get { return this.value; } } public override String ToString(){ return String.Format("Suite:{0}, Value:{1}", suite, value); } public int GameValue{ get { return (int)(this.value); } } public GameObjectMedium Medium{ get{ return GameObjectMedium.Paper; } } } Program 31.3 The class Card which implements IGameObject. Below, in Program 31.4 we have written a program that works on game objects of type IGameObject. In order to be concrete - and somewhat realistic - we make an IGameObject array with three die objecs and three card objects. In the bottom part of the program we exercise the common operations of dice and playing cards, as prescribed by the interface IGameObject. The output of the program is shown in Listing 31.5. 1 2 3 4 5 6 7 8 9 10 11 12 13 14 15 16 17 18 19 20 21 22 23 using System; using System.Collections.Generic; class Client{ public static void Main(){ Die d1 = new Die(), d2 = new Die(10), d3 = new Die(18); Card c1 = new Card(Card.CardSuite.spades, Card.CardValue.queen), c2 = new Card(Card.CardSuite.clubs, Card.CardValue.four), c3 = new Card(Card.CardSuite.diamonds, Card.CardValue.ace); IGameObject[] gameObjects = {d1, d2, d3, c1, c2, c3}; foreach(IGameObject gao in gameObjects){ Console.WriteLine("{0}: {1} {2}", gao, gao.GameValue, gao.Medium); } } } Program 31.4 A sample Client program of Die and Card. 1 Die[6]: 5: 5 Plastic
  • 264.
    258 2 3 4 5 6 Die[10]: 9: 9Plastic Die[18]: 15: 15 Plastic Suite:spades, Value:queen: 12 Paper Suite:clubs, Value:four: 4 Paper Suite:diamonds, Value:ace: 14 Paper Listing 31.5 Output from the sample Client program of Die and Card. Above, both Die (see Program 31.2) and Card (see Program 31.3) are classes. We have in Exercise 4.2 noticed that it would be natural to implement the type Card as a struct, because a playing card - in contrast to a die - is immutable. The client class shown in Program 31.4 will survive if we program Card as a struct, and it will produce the same output as shown in Listing 31.5. Recall in this context that interfaces in C# are reference types, see Section 13.3. When a variable of static type IGameObject is assigned to a value of struct type Card, the card value is boxed. Boxing is described in Section 14.8. In the example above, where both the types Die and Card are implemented as classes, IGameObject could as well have been implemented as an abstract superclass. This is the theme in Exercise 8.5. Exercise 8.5. An abstract GameObject class On the slide, to which this exercise belongs, we have written an interface IGameObject which is implemented by both class Die and class Card. Restructure this program such that class Die and class Card both inherit an abstract class GameObject. You should write the class GameObject. The client program should survive this restructuring. (You may, however, need to change the name of the type IGameObject to GameObject). Compile and run the given client program with your classes. 31.4. Interfaces from the C# Libraries Lecture 8 - slide 14 The C# library contains a number of important interfaces which are used frequently in many C# programs In this section we will discuss some important interfaces from the C# libraries. First, we give an itemized overview, and in the sections following this one more details will be provided. • IComparable • An interface that prescribes a CompareTo method • Used to support general sorting and searching methods • IEnumerable • An interface that prescribes a method for accessing an enumerator • IEnumerator • An interface that prescribes methods for traversal of data collections • Supports the underlying machinery of the foreach control structure • IDisposable
  • 265.
    259 • An interfacethat prescribes a Dispose method • Used for deletion of resources that cannot be deleted by the garbage collector • Supports the C# using control structure • ICloneable • An interface that prescribes a Clone method • IFormattable • An interface that prescribes an extended ToString method IComparable is touched on in Section 31.5, primarily via an exercise. In Section 31.6 we focus on the interfaces IEnumerable and IEnumerator and their roles in the realization of foreach loops. Type parameterized versions of these interfaces are discussed in Section 45.2. The interfaces IDisposable is discussed in the context of IO in Section 37.5. ICloneable is discussed in a later chapter, see Section 32.7. All the interfaces mentioned above can be thought of as flavors that can be added to many different classes. 31.5. Sample use of IComparable Lecture 8 - slide 15 Object of classes that implement IComparable can be sorted by a method such as Array.Sort In many contexts it is important to be able to state that two objects or values, say x and y of a particular type T, can be compared to each other. Thus, we may be curious to know if x < y, y < x, or if x = y. But what does x < y, y > x, and x = y mean if, for instance type T is BankAccount or a Die? The way we approach this problem is to arrange that the type T (a class or a struct) implements the interface IComparable. In that way, the implementation of T must include the method CompareTo, which can be used in the following way: x.CompareTo(y) In the tradition of, for instance, the string comparison function strcmp in the C standard library string.h the expression x.CompareTo(y) returns a negative integer result if x is considered less than y, a positive integer if x is considered greater than y, and integer zero if x and y are considered to be equal. The interface IComparable is reproduced in Program 31.6. This shows you how simple it is. Don't use this or a similar definition. Use the interface IComparable as predefined in the System namespace. 1 2 3 4 5 using System; public interface IComparable{ int CompareTo(Object other); } Program 31.6 A reproduction of the interface IComparable.
  • 266.
    260 The parameter ofCompareTo is of type Object. This is irritating because we will almost certainly want the parameter to be of the same type as the class, which implements Icomparable. When you solve Exercise 8.6 you will experience this. There is actually two versions of the interface IComparable in the C# libraries. The one similar to Program 31.6 and a type parameterized version, which constrains the parameter of the CompareTo method to a given type T. We have more say about these two interfaces in Section 42.8. It is also worthwhile to point out the interface IEquatable, which simply prescribes an Equals method. The interface IEqualityComparer is a cousin interface which in addition to Equals also prescribes GetHashCode. In some sense IEquatable and IEqualityComparer are more fundamental than IComparable. It turns out that IEquatable only exists as a type parameterized (generic) interface. Exercise 8.6. Comparable Dice In this exercise we will arrange that two dice can be compared to each other. The result of die1.CompareTo(die2) is an integer. If the integer is negative, die1 is considered less than die2; If zero, die1 is considered equal to die2; And if positive, die1 is considered greater than die2. When two dice can be compared to each other, it is possible sort an array of dice with the standard Sort method in C#. Program a version of class Die which implements the interface System.IComparable. Consult the documentation of the (overloaded) static method System.Array.Sort and locate the Sort method which relies on IComparable elements. Make an array of dice and sort them by use of the Sort method. 31.6. Sample use of IEnumerator and IEnumerable Lecture 8 - slide 16 In this section we will study the interfaces called IEnumerator and IEnumerable. The interface IEnumerator is central to the design pattern called Iterator, which we will discuss in the context of collections, see Section 48.1. As already mentioned above, the interface IEnumerator also prescribes the operations behind the foreach control structure. 1 2 3 4 5 6 7 8 9 10 11 using System; public interface IEnumerator{ Object Current{ get; } bool MoveNext(); void Reset(); } Program 31.7 A reproduction of the interface IEnumerator.
  • 267.
    261 We have reproducedIEnumerator from the System.Collections namespace in Program 31.7. The operations Current, MoveNext, and Reset are used to traverse a collection of data. Hidden behind the interface should be some simple bookkeeping which allows us to keep track of the current element, and which element is next. You can think of this as a cursor, which step by step is moved through the collection. The property Current returns the element pointed out by the cursor. The method MoveNext advances the cursor, and it returns true if it has been possible to move the cursor. The method Reset moves the cursor to the first element, and it resets the bookkeeping variables. You are not allowed to modify the collection while it is traversed via a C# enumerator. Notice, in particular, that you are not allowed to delete the element obtained by Current during a traversal. In that respect, C# enumerators are more limited than the Iterator counterpart in Java which allows for exactly one deletion for each movement in the collection. It can also be argued that the IEnumerator interface is too narrow. It would be nice to have a boolean HasNext property. It could also be worthwhile to have an extended enumerator with a MovePrevious operation. Like it was the case for the interface Comparable, as discussed in Section 31.5, there is also a type parameterized version of IEnumerator. See Section 45.2 for additional details. 1 2 3 4 5 using System.Collections; public interface IEnumerable{ IEnumerator GetEnumerator(); } Program 31.8 A reproduction of the interface IEnumerable. The IEnumerable interface, as reproduced in Program 31.8, only prescribes a single method called GetEnumerator. This method is intended to return an object (value), the class (struct) of which implements the IEnumerator interface. Thus, if a type implements the IEnumerable interface, it can deliver an iterator/enumerator object via use of the operation GetEnumerator. As mentioned above, the foreach control structure is implemented by means of enumerators. The foreach form foreach(ElementType e in collection) statement is roughly equivalent with IEnumerator en = collection.GetEnumerator(); while (en.MoveNext()){ ElementType e = (ElementType) en.Current(); statement; } The type of the collection is assumed to implement the interface IEnumerable. Additional fine details should be taken into consideration. Please consult section 15.8.4 of the C# Language Specification [ECMA-334] or [Hejlsberg06] for the full story. We will now present a realistic example that uses IEnumerator and IEnumerable. We return to the Interval type, which we first met when we discussed overloaded operators in Section 21.3. The original Interval struct appeared in Program 21.3. Recall that an interval, such as [5 - 10] is different from [10 -5]. The former represents the sequence 5, 6, 7, 8, 9, 10 while the latter represents 10, 9, 8, 7, 6, 5. In the version we show in Program 31.9 we have elided the operators from Program 21.3.
  • 268.
    262 The enumerator functionalityis programmed in a private, local class called IntervalEnumerator, starting at line 39. This class implements the interface IEnumerator. The class IntervalEnumerator has a reference to the surrounding interval. (The reference to the surrounding object is provided via the constructor in line 44 and 68). It also has the instance variable idx, which represents of the cursor. Per convention, the value -1 represents an interval which has been reset. The property Current is now able to calculate and return a value from the interval. Notice that we have to distinguish between rising and falling intervals in the conditional expression in line 50-52. Both MoveNext and Reset are easy to understand if you have followed the details until this point. The method GetEnumerator (line 67-69), which is prescribed by the interface, IEnumerable (see line 4), just returns an instance of the private class IntervalEnumerator discussed above. Notice that we in line 68 pass this (the current instance of the Interval) to the IntervalEnumerator object. We show how to make simple traversals of intervals in Program 31.10. 1 2 3 4 5 6 7 8 9 10 11 12 13 14 15 16 17 18 19 20 21 22 23 24 25 26 27 28 29 30 31 32 33 34 35 36 37 38 39 40 41 42 43 44 45 46 using System; using System.Collections; public struct Interval: IEnumerable{ private readonly int from, to; public Interval(int from, int to){ this.from = from; this.to = to; } public int From{ get {return from;} } public int To{ get {return to;} } public int Length{ get {return Math.Abs(to - from) + 1;} } public int this[int i]{ get {if (from <= to){ if (i >= 0 && i <= Math.Abs(from-to)) return from + i; else throw new Exception("Error"); } else if (from > to){ if (i >= 0 && i <= Math.Abs(from-to)) return from - i; else throw new Exception("Error"); } else throw new Exception("Should not happen"); } } // Overloaded operators have been hidden in this version private class IntervalEnumerator: IEnumerator{ private readonly Interval interval; private int idx; public IntervalEnumerator (Interval i){ this.interval = i; idx = -1; // position enumerator outside range
  • 269.
    263 47 48 49 50 51 52 53 54 55 56 57 58 59 60 61 62 63 64 65 66 67 68 69 70 71 } public Object Current{ get{return (interval.From < interval.To) ? interval.From + idx : interval.From - idx;} } public bool MoveNext (){ if ( idx < Math.Abs(interval.To - interval.From)) {idx++; return true;} else {return false;} } public void Reset(){ idx = -1; } } public IEnumerator GetEnumerator (){ return new IntervalEnumerator(this); } } Program 31.9 IEnumerator in the type Interval. While we are here, we will discuss the nested, local class IntervalEnumerator of class Interval a little more careful. Why is it necessary to pass a reference to the enclosing Interval in line 68? Or, in other words, why can't we access the from and to Interval instance variables in line 6 from the nested class? The reason is that an IntervalEnumerator object is not a 'subobject' of an Interval object. An IntervalEnumerator object is not really part of the enclosing Interval object. The IntervalEnumerator can, however, access (both public and private) class variables (static variables) of class Interval. We could as well have placed the class IntervalEnumerator outside the class Interval, simply as a sibling class of Interval. But class IntervalEnumerator would just pollute the enclosing namespace. The IntervalEnumerator is only relevant inside the interval. Therefore we place it as a member of class Interval. By making it private we, furthermore, prevent clients of class Interval to access it. Nested classes are, in general, a more advanced topic. It has, in part, something to do with scoping rules in relation to the outer classes, and in relation to superclasses. Java is more sophisticated than C# in its support of nested classes. In java, an inner class I in the surrounding class C is a nested class for which instances of I is connected to (is part of) a particular instance of C. See also our discussion of Java in relation to C# in Section 7.3. 1 2 3 4 5 6 7 8 9 10 11 12 13 using System; using System.Collections; public class app { public static void Main(){ Interval iv1 = new Interval(14,17); foreach(int k in iv1){ Console.Write("{0,4}", k); } Console.WriteLine();
  • 270.
    264 14 15 16 17 18 19 20 21 22 IEnumerator e =iv1.GetEnumerator(); while (e.MoveNext()){ Console.Write("{0,4}", (int)e.Current); } Console.WriteLine(); } } Program 31.10 Iteration with and without foreach based on the enumerator. 31.7. Sample use of IFormattable Lecture 8 - slide 17 The IFormattable interface prescribes a ToString method of two parameters. As such, the ToString method of IFormattable is different from the well-known ToString method of class Object, which is parameterless, see Section 28.3. Both methods produce a text string. The new ToString method is used when we need more control of the textual result. Here follows a reproduction of IFormattable from the System namespace. 1 2 3 4 5 using System; public interface IFormattable{ string ToString(string format, IFormatProvider formatProvider); } Program 31.11 A reproduction of the interface IFormattable. We can characterize the ToString method in the following way: • The first parameter is typically a single letter formatting string, and the other is an IFormatProvider • The IformatProvider can provide culture sensible information. • ToString from Object typically calls ToString(null, null) The first parameter of ToString is typically a string with a single character. For simple types as well as DateTime, a number of predefined formatting strings are defined. We have seen an example in Section 6.10. For the types we program we can define our own formatting letters. This is known as custom formatting. Below, in Program 31.12 we will show how to program custom formatting of a playing card struct. The second parameter of ToString is of type IFormatProvider, which is another interface from the System namespace. An object of type IFormatProvider typically provides culture sensible formatting information. For simple types and for DateTime, a format provider represents details such as the currency symbol, the decimal point symbol, or time-related formatting symbols. If the second parameter is null, the object bound to CultureInfo.CurrentCulture should be used as the default format provider.
  • 271.
    265 Below we showhow to program custom formatting of struct Card, which we first met in the context of structs in Section 14.3. Notice that struct Card implements Iformattable. The details in the two Tostring methods should be easy to understand. 1 2 3 4 5 6 7 8 9 10 11 12 13 14 15 16 17 18 19 20 21 22 23 24 25 26 27 28 29 30 31 32 33 34 35 36 37 38 39 40 41 42 43 44 45 46 47 48 49 using System; public enum CardSuite:byte {Spades, Hearts, Clubs, Diamonds }; public enum CardValue: byte {Ace = 1, Two = 2, Three = 3, Four = 4, Five = 5, Six = 6, Seven = 7, Eight = 8, Nine = 9, Ten = 10, Jack = 11, Queen = 12, King = 13}; public struct Card: IFormattable{ private CardSuite suite; private CardValue value; public Card(CardSuite suite, CardValue value){ this.suite = suite; this.value = value; } // Card methods and properties here... public System.Drawing.Color Color (){ System.Drawing.Color result; if (suite == CardSuite.Spades || suite == CardSuite.Clubs) result = System.Drawing.Color.Black; else result = System.Drawing.Color.Red; return result; } public override String ToString(){ return this.ToString(null, null); } public String ToString(string format, IFormatProvider fp){ if (format == null || format == "G" || format == "L") return String.Format("Card Suite: {0}, Value: {1}, Color: {2}", suite, value, Color().ToString()); else if (format == "S") return String.Format("Card {0}: {1}", suite, (int)value); else if (format == "V") return String.Format("Card value: {0}", value); else throw new FormatException( String.Format("Invalid format: {0}", format)); } } Program 31.12 The struct Card that implements IFormattable. In Program 31.13 we show how to make use of custom formatting of playing card objects. The resulting output can be seen in Listing 31.14.
  • 272.
    266 1 2 3 4 5 6 7 8 9 10 11 12 13 14 15 16 17 18 19 using System; class CardClient{ publicstatic void Main(){ Card c1 = new Card(CardSuite.Hearts, CardValue.Eight), c2 = new Card(CardSuite.Diamonds, CardValue.King); Console.WriteLine("c1 is a {0}", c1); Console.WriteLine("c1 is a {0:S}", c1); Console.WriteLine(); Console.WriteLine("c2 is a {0:S}", c2); Console.WriteLine("c2 is a {0:L}", c2); Console.WriteLine("c2 is a {0:V}", c2); } } Program 31.13 A client of Card which applies formatting of cards. 1 2 3 4 5 6 c1 is a Card Suite: Hearts, Value: Eight, Color: Color [Red] c1 is a Card Hearts: 8 c2 is a Card Diamonds: 13 c2 is a Card Suite: Diamonds, Value: King, Color: Color [Red] c2 is a Card value: King Listing 31.14 Output from the client program. 31.8. Explicit Interface Member Implementations Lecture 8 - slide 18 Interfaces give rise to multiple inheritance, and therefore we need to be able to deal with the challenges of multiple inheritance. These have already been discussed in Section 27.5. The problems, as well as the C# solution, can be summarized in the following way: If a member of an interface collides with a member of a class, the member of the interface can be implemented as an explicit interface member Explicit interface members can also be used to implement several interfaces with colliding members The programs shown below illustrate the problem and the solution. The class Card, in Program 31.15 has a Value property. The interface IGameObject in Program 31.16 also prescribes a Value property. (It is similar to the interface of Program 31.1 which we have encountered earlier in this chapter). When class Card implements IGameObject in Program 31.17 the new version of class Card will need to distinguish between its own Value property and the Value property it implements because of the interface IGameObject. How can this be done?
  • 273.
    267 The solution tothe problem is called explicit interface member implementation. In line 30-32 of Program 31.17, emphasized in purple, we use the IgameObject.Value syntax to make it clear that here we implement the Value property from IGameObject. This is an explicit interface implementation. In the client classes of class Card we need access to both Value operations. In order to access the explicit interface implementation of Value from the Card variable cs (declared in line 6) we need to cast cs to the interface IGameObject. This is illustrated in line 14 of Program 31.18. The output of Program 31.18 in Listing 31.19 reveals that everything works as expected. 1 2 3 4 5 6 7 8 9 10 11 12 13 14 15 16 17 18 19 20 21 22 23 24 25 26 27 28 29 using System; public class Card{ public enum CardSuite { spades, hearts, clubs, diamonds }; public enum CardValue { two = 2, three = 3, four = 4, five = 5, six = 6, seven = 7, eight = 8, nine = 9, ten = 10, jack = 11, queen = 12, king = 13, ace = 14 }; private CardSuite suite; private CardValue value; public Card(CardSuite suite, CardValue value){ this.suite = suite; this.value = value; } public CardSuite Suite{ get { return this.suite; } } public CardValue Value{ get { return this.value; } } public override String ToString(){ return String.Format("Suite:{0}, Value:{1}", suite, value); } } Program 31.15 The class Playing card with a property Value. 1 2 3 4 5 6 7 8 9 10 11 12 public enum GameObjectMedium {Paper, Plastic, Electronic} public interface IGameObject{ int Value{ get; } GameObjectMedium Medium{ get; } } Program 31.16 The Interface IGameObject with a conflicting Value property.
  • 274.
    268 1 2 3 4 5 6 7 8 9 10 11 12 13 14 15 16 17 18 19 20 21 22 23 24 25 26 27 28 29 30 31 32 33 34 35 36 37 38 39 using System; public classCard: IGameObject{ public enum CardSuite { spades, hearts, clubs, diamonds }; public enum CardValue { two = 2, three = 3, four = 4, five = 5, six = 6, seven = 7, eight = 8, nine = 9, ten = 10, jack = 11, queen = 12, king = 13, ace = 14 }; private CardSuite suite; private CardValue value; public Card(CardSuite suite, CardValue value){ this.suite = suite; this.value = value; } public CardSuite Suite{ get { return this.suite; } } public CardValue Value{ get { return this.value; } } public override String ToString(){ return String.Format("Suite:{0}, Value:{1}", suite, value); } int IGameObject.Value{ get { return (int)(this.value); } } public GameObjectMedium Medium{ get{ return GameObjectMedium.Paper; } } } Program 31.17 A class Card which implements IGameObject. 1 2 3 4 5 6 7 8 9 10 11 12 13 14 15 16 using System; class Client{ public static void Main(){ Card cs = new Card(Card.CardSuite.spades, Card.CardValue.queen); // Use of Value from Card Console.WriteLine(cs.Value); // Must cast to use the implementation of // Value from IGameObject Console.WriteLine(((IGameObject)cs).Value); } } Program 31.18 Sample use of class Card in a Client class.
  • 275.
    269 1 2 queen 12 Listing 31.19 Outputof Card Client. In some situations, an explicit interface implementation can also be used to "hide" an operation that we are forced to implement because the interface requests it. We will meet an example in Section 45.14, where we want to make it difficult to use the Add operation on a linked list. Another example is presented in the context of dictionaries in Section 46.3. 31.9. References [Hejlsberg06] Anders Hejlsberg, Scott Wiltamuth and Peter Golde, The C# Programming Language. Addison-Wesley, 2006. [Ecma-334] "The C# Language Specification", June 2005. ECMA-334.
  • 276.
  • 277.
    271 32. Patterns andTechniques This chapter is the last one in our second lecture about inheritance. The chapter is about patterns and programming techniques related to inheritance. Similar chapters appeared in Chapter 16 and Chapter 24 for classes/objects and for operations respectively. 32.1. The Composite design pattern Lecture 8 - slide 20 The Composite design pattern, which we are about to study, is probably the most frequently occurring GOF design pattern at all. Most real-life programs that we write benefit from it. Recall from Section 16.2 that the GOF design patterns are the ones described in the original design pattern book [Gamma96]. A Composite deals with hierarchical structures of objects. In more practical terms, the pattern deals with tree-tructures whose nodes are objects. The main idea behind the pattern is to provide a uniform interface to both leaves and inner nodes in the tree. From a client point of view, it is easy to operate on the nodes of a Composite. The reason is that all participating objects share the interface provided by the abstract Component class. Figure 32.1 A template of the class structure in the Composite design pattern. In Figure 32.1 we show the three classes that - at the principled level - make up a Composite: The abstract class Component and its two subclasses Leaf and Composite. The important things to notice are: • The diagram in Figure 32.1 is a class diagram, not an object diagram. • Clients access both Leaf nodes and Composite nodes (inner nodes in the tree) via the interface provided by the abstract class Component . • The Composite (inner) node aggregates one or more Components , either Leaf nodes or (recursively) other Composite nodes. This makes up the tree structure. It is important the you are able to grasp the idea that the aggregation in Figure 32.1 gives rise to a recursive tree structure of objects. In the following sections we will study an example of a composite design pattern which allows us to represent songs of notes and pauses. In appendix Section 58.3 we discuss another example, involving a sequence of numbers and the type Interval. The tree structure may be non-mutable and built via constructors Alternatively, the tree structure may be mutable, and built via Add and Remove operations
  • 278.
    272 32.2. A CompositeExample: Music Elements Lecture 8 - slide 21 The example in this section stems from the mini project programming (MIP) exam of January 2008 [mip- jan-08]. Imagine that we are interested in a representation of music in terms of notes and pauses. Such a representation can - in a natural way - be described as a Composite, see Figure 32.2. In this composite structure, both a Note and a Pause are MusicElements. A SequentialMusicElement consists of a number of MusicElements, such as Notes, Pauses, and other MusicElements. The immediate constituents of a SequentialMusicElement are played sequentially, one after the other. A ParallelMusicElement is composed similar to SequentialMusicElement. The immediate constituents of a ParallelMusicElement are played at the same time, however. Figure 32.2 The class diagram of Music Elements As we will see in Program 32.3 a Note is characterized by a duration, value, volume, and instrument. A Pause is characterized by a duration. As such, it may make sense to have a common superclass of Note and Pause. In the same way, it may be considered to have a common superclass of SequentialMusicElement and ParallelMusicElement which captures their common aggregation of MusicElements. A number of different operations can be applied uniformly on all MusicElements: Play, Transpose, TimeStretch, NewInstrument, Fade, etc. Below, in Program 32.3 we program the operations Linearize, Duration, and Transpose. The Linearize operations transforms a music element to a sequence of lower- level objects which represent MIDI events. A sequence of MIDI events can be played on most computers. In this way, Linearize becomes the indirect Play operation. 32.3. An application of Music Elements Lecture 8 - slide 22 As we already realized in Section 32.1 the objects in a Composite are organized in a tree structure. In Figure 32.3 we show an example of a SequentialMusicElement. When we play the SequentialMusicElement in Figure 32.3 we will first hear note N1. After N1 comes a pause P followed by the notes N2 and N3. Following N3 we will hear N4, N5 and N6 which are all played simultaneously. As such, N4-N6 may form a musical chord. In the web edition of the material we link to a MIDI file of a structure similar to Figure 32.3 [midi-sample].
  • 279.
    273 Figure 32.3 Apossible tree of objects which represent various music elements. Nodes named Ni are Note instances, and the node named P is a Pause instance Below, in Program 32.1 we show a program that creates a SequentialMusicElement similar to the tree- structure drawn in Figure 32.3 The program relies on the auxiliary class Song. The class Song and another supporting class TimedNote are available to interested readers [song-and-timednote-classes]. Using these two classes it is easy to generate MIDI files from MusicElement objects. 1 2 3 4 5 6 7 8 9 10 11 12 13 14 15 16 17 18 19 20 21 public class Application{ public static void Main(){ MusicElement someMusic = SequentialMusicElement.MakeSequentialMusicElement( SequentialMusicElement.MakeSequentialMusicElement( new Note(60, 480), new Pause(480), new Note(64, 480), new Note(60, 480)), ParallelMusicElement.MakeParallelMusicElement( new Note(60, 960), new Note(64, 960), new Note(67, 960) )); Song aSong = new Song(someMusic.Linearize(0)); aSong.WriteStandardMidiFile("song.mid"); } } Program 32.1 An application of some MusicElement objects. 32.4. Implementation of MusicElement classes Lecture 8 - slide 23 In this section we show an implementation of the MusicElement classes of Figure 32.2. The classes give rise to non-mutable objects, along the lines of the discussion in Section 12.5. We start by showing the abstract class MusicElement, see Program 32.2. It announces the property Duration, the method Transpose, and the method Linearize. Other of the mentioned music-related operations are not included here. As you probably expect, Duration returns the total length of a MusicElement. Transpose changes the value (the pitch) of a MusicElement. Linearize transforms a MusicElement to an array of (lower-level) TimeNote objects [song-and-timednote-classes].
  • 280.
    274 1 2 3 4 5 6 7 8 9 10 public abstract classMusicElement{ public abstract int Duration{ get; } public abstract MusicElement Transpose(int levels); public abstract TimedNote[] Linearize(int startTime); } Program 32.2 The abstract class MusicElement. The class Note is shown next, see Program 32.3. Note encapsulates the note value, duration, volume, and instrument (see line 5-8). Following two constructors, we see the property Duration which simply returns the value of the instance variable duration. The method Linearize carries out the transformation of the Note to a singular array of TimedNote. The Transpose method adds to the value of the Note. The shown activation of ByteBetween enforces that the value is between 0 and 127. 1 2 3 4 5 6 7 8 9 10 11 12 13 14 15 16 17 18 19 20 21 22 23 24 25 26 27 28 29 30 31 32 33 34 35 36 37 38 39 using System; public class Note: MusicElement{ private byte value; private int duration; private byte volume; private Instrument instrument; public Note(byte value, int duration, byte volume, Instrument instrument){ this.value = value; this.duration = duration; this.volume = volume; this.instrument = instrument; } public Note(byte value, int duration): this(value, duration, 64, Instrument.Piano){ } public override int Duration{ get{ return duration; } } public override TimedNote[] Linearize(int startTime){ TimedNote[] result = new TimedNote[1]; result[0] = new TimedNote(startTime, value, duration, volume, instrument); return result; } public override MusicElement Transpose(int levels){ return new Note(Util.ByteBetween(value + levels, 0, 127), duration, volume, instrument); } } Program 32.3 The class Note. The class Pause shown in Program 32.4 is almost trivial.
  • 281.
    275 1 2 3 4 5 6 7 8 9 10 11 12 13 14 15 16 17 18 19 20 21 22 23 24 using System; public classPause: MusicElement{ private int duration; public Pause(int duration){ this.duration = duration; } public override int Duration{ get{ return duration; } } public override TimedNote[] Linearize(int startTime){ return new TimedNote[0]; } public override MusicElement Transpose(int levels){ return new Pause(this.Duration); } } Program 32.4 The class Pause. The class SequentialMusicElement represents the sequence of MusicElements as a list of type List<T>. Besides the constructor, SequentialMusicElement offers a factory method for convenient creation of an instance. Factory methods have been discussed in Section 16.4. Program 32.1 shows how the factory method can be applied. Duration adds the duration of the MusicElement parts together. Notice that this may cause recursive addition. Likewise, Transpose carries out recursive transpositions of the MusicElement parts. 1 2 3 4 5 6 7 8 9 10 11 12 13 14 15 16 17 18 19 20 21 22 23 24 25 26 27 28 29 30 using System; using System.Collections.Generic; public class SequentialMusicElement: MusicElement{ private List<MusicElement> elements; public SequentialMusicElement(MusicElement[] elements){ this.elements = new List<MusicElement>(elements); } // Factory method: public static MusicElement MakeSequentialMusicElement(params MusicElement[] elements){ return new SequentialMusicElement(elements); } public override TimedNote[] Linearize(int startTime){ int time = startTime; List<TimedNote> result = new List<TimedNote>(); foreach(MusicElement me in elements){ result.AddRange(me.Linearize(time)); time = time + me.Duration; } return result.ToArray(); } public override int Duration{ get{
  • 282.
    276 31 32 33 34 35 36 37 38 39 40 41 42 43 44 45 46 47 48 49 int result =0; foreach(MusicElement me in elements){ result += me.Duration; } return result; } } public override MusicElement Transpose(int levels){ List<MusicElement> transposedElements = new List<MusicElement>(); foreach(MusicElement me in elements) transposedElements.Add(me.Transpose(levels)); return new SequentialMusicElement(transposedElements.ToArray()); } } Program 32.5 The class SequentialMusicElement. The class ParallelMusicElement resembles SequentialMusicElement a lot. Notice, however, the different implementation of Duration in line 29-39. 1 2 3 4 5 6 7 8 9 10 11 12 13 14 15 16 17 18 19 20 21 22 23 24 25 26 27 28 29 30 31 32 33 34 35 36 37 38 using System; using System.Collections.Generic; public class ParallelMusicElement: MusicElement{ private List<MusicElement> elements; public ParallelMusicElement(MusicElement[] elements){ this.elements = new List<MusicElement>(elements); } // Factory method: public static MusicElement MakeParallelMusicElement(params MusicElement[] elements){ return new ParallelMusicElement(elements); } public override TimedNote[] Linearize(int startTime){ int time = startTime; List<TimedNote> result = new List<TimedNote>(); foreach(MusicElement me in elements){ result.AddRange(me.Linearize(time)); time = startTime; } return result.ToArray(); } public override int Duration{ get{ int result = 0; foreach(MusicElement me in elements){ result = Math.Max(result, me.Duration); } return result; }
  • 283.
    277 39 40 41 42 43 44 45 46 47 48 49 } public override MusicElementTranspose(int levels){ List<MusicElement> transposedElements = new List<MusicElement>(); foreach(MusicElement me in elements) transposedElements.Add(me.Transpose(levels)); return new ParallelMusicElement(transposedElements.ToArray()); } } Program 32.6 The class ParallelMusicElement. This completes our discussion of the MusicElement composite. The important things to pick up from the example are: 1. The tree structure of objects defined by the subclasses of MusicElement . 2. The uniform interface of music-related operations provided to clients of MusicElement . As stressed in Section 32.1 these are the primary merits of Composite. In Section 58.3 of the appendix we present an additional and similar example of a composite which involves an Interval. Interval is the type we encountered in Section 21.3 when we discussed operator overloading. 32.5. A Composite Example: A GUI Lecture 8 - slide 27 We will study yet another example of a Composite design pattern. A graphical user interface (GUI) is composed of a number of forms, such as buttons and textboxes. The classes behind these forms make up a Composite design pattern. Figure 32.4 A Form (Window) with two buttons, a textbox, and a panel. We construct the simple GUI depicted in Figure 32.4. The actual hierarchy of objects involved are shown in Figure 32.5. Thus, the GUI is composed of three buttons (yellow, green, and blue) and two textboxes (white and grey). The blue button and the grey textbox are aggregated into a so-called panel (which has red background in Figure 32.4).
  • 284.
    278 Figure 32.5 Thetree of objects behind the graphical user interface. These objects represents a composite design pattern in an executing program. The Form class hierarchy of .NET and C# is very large. A small extract is shown in Figure 32.6. Apart from class Component, all classes are from the namespace System.Windows.Forms. There are two Composites in Figure 32.6. The first one is (object) rooted by class Form, which may aggregate an arbitrary number of Windows form objects. The class Form represents a window. The class Control is the superclass of GUI elements that displays information on the screen. There are approximate 25 immediate and direct subclasses of class Control. In reality the classes TextBox, Button, and Panel are all indirect subclasses of Control. The other Composite is, symmetrically, (object) rooted by Panel, which like Form may aggregate an arbitrary number of Form objects. Class Pane is intended for grouping of a collection of controls. Figure 32.6 An extract of the Windows Form classes for GUI building. We see two Composites among these classes. Below, in Figure 32.6 we show how to construct the form object tree shown in Figure 32.5, which gives rise to the GUI of Figure 32.4. We program a class which we name Window. Our Window class inherits from class Form. Thus, our Window is a Form. Shown in blue we highlight instantiation of GUI elements. Shown in purple we highlight the actual construction of the tree structure of Figure 32.5. The Controls property of a Form, referred in line 60 - 67, give access to a collection of controls, of type ControlCollection. As it appears in line 23 and 31, we also add a couple of event handlers, programmed as private methods from line 70 - 83. We have discussed event handlers in Chapter 23. The associated event handlers just acknowledge when we click on of the three buttons of the GUI. 1 2 3 4 5 6 7 8 9 10 11 using System; using System.Windows.Forms; using System.Drawing; // In System: // public delegate void EventHandler (Object sender, EventArgs e) public class Window: Form{ Button b1, b2, paBt; Panel pa;
  • 285.
    279 12 13 14 15 16 17 18 19 20 21 22 23 24 25 26 27 28 29 30 31 32 33 34 35 36 37 38 39 40 41 42 43 44 45 46 47 48 49 50 51 52 53 54 55 56 57 58 59 60 61 62 63 64 65 66 67 68 69 70 71 72 73 74 75 76 TextBox tb, paTb; //Constructor public Window (){ this.Size=new Size(150,300); b1 = new Button(); b1.Text="Click Me"; b1.Size=new Size(100,25); b1.Location = new Point(25,25); b1.BackColor = Color.Yellow; b1.Click += ClickHandler; // Alternatively: // b1.Click+=new EventHandler(ClickHandler); b2 = new Button(); b2.Text="Erase"; b2.Size=new Size(100,25); b2.Location = new Point(25,55); b2.BackColor=Color.Green; b2.Click += EraseHandler; // Alternatively: // b2.Click+=new EventHandler(EraseHandler); tb = new TextBox(); tb.Location = new Point(25,100); tb.Size=new Size(100,25); tb.BackColor=Color.White; tb.ReadOnly=true; tb.RightToLeft=RightToLeft.Yes; pa = new Panel(); pa.Location = new Point(25,150); pa.Size=new Size(100, 75); pa.BackColor=Color.Red; paBt = new Button(); paBt.Text="A"; paBt.Location = new Point(10,10); paBt.Size=new Size(25,25); paBt.BackColor=Color.Blue; paBt.Click += PanelButtonClickHandler; paTb = new TextBox(); paTb.Location = new Point(10,40); paTb.Size=new Size(50,25); paTb.BackColor=Color.Gray; paTb.ReadOnly=true; paTb.RightToLeft=RightToLeft.Yes; this.Controls.Add(b1); this.Controls.Add(b2); this.Controls.Add(tb); pa.Controls.Add(paBt); pa.Controls.Add(paTb); this.Controls.Add(pa); } // Eventhandler: private void ClickHandler(object obj, EventArgs ea) { tb.Text = "You clicked me"; } // Eventhandler: private void PanelButtonClickHandler(object obj, EventArgs ea) {
  • 286.
    280 77 78 79 80 81 82 83 84 85 86 87 88 89 90 91 92 93 94 paTb.Text += "A"; } //Eventhandler: private void EraseHandler(object obj, EventArgs ea) { tb.Text = ""; } } class ButtonTest{ public static void Main(){ Window win = new Window(); Application.Run(win); } } Program 32.7 A program that builds a sample composite graphical user interface. 32.6. Cloning Lecture 8 - slide 30 We briefly discussed copying of objects in Section 13.4 of the lecture about classes and objects. In this section we will continue this discussion. First we will distinguish between different types of object copying. Later, in Section 32.7, we will see how to enable the pre-existing MemberwiseClone operation to client classes. Instead of the word "copy" we often use the word "clone": Cloning creates a copy of an existing object There are different kinds of cloning, distinguished by the copying depth: • Shallow cloning: • Instance variables of value type: Copied bit-by-bit • Instance variables of reference types: • The reference is copied • The object pointed at by the reference is not copied • Deep cloning: • Like shallow cloning • But objects referred by references are copied recursively Shallow cloning is the variant supported by the MemberwiseClone operation in Section 32.7. Only a single object is copied. Deep cloning copies a network of objects, and it may, in general, involve many objects.
  • 287.
    281 Recall that cloningis only relevant for instances of classes, for which reference semantics apply (see Chapter 13). Values of structs obey value semantics, and as such struct values are (shallow) copied by assignments and by parameter passing. See Chapter 14 for additional details. 32.7. Cloning in C# Lecture 8 - slide 31 Shallow cloning is supported "internally" by any object in a C# program execution. The reason is that any object inherit from class Object in which the protected method MemberwiseClone implements shallow cloning. (See Section 28.3 for an overview of the methods in class Object ). Recall from Section 27.3 that a protected method of a class C is visible in C and in the subclasses of c, but not in clients of C. In this section we will see how we can unleash the protected MemberwiseClone operation as a public operation of an arbitrary class. Below, in Program 32.8 we show how to implement a cloneable Point class. First, notice that Point implements the interface ICloneable, which prescribes a single method called Clone. We have already in Section 31.4 seen ICloneable in the context of other flavoring interfaces from the C# libraries. The public method Clone of class Point, shown in purple, delegates its work to the protected method MemberwiseClone. In other words, our Clone methods send a MemberwiseClone message to the current Point object. MemberWiseClone makes the bitwise, shallow copy of the point, and it returns it. Notice that from a static point of view, the returned object is of type Object. As we will see below, this will typically imply a need to cast the returned object to a Point. Although a Clone method typically delegates its work to MemberwiseClone, it is not necessary to do so. Clone may, alternatively, use a constructor and appropriate object mutations in order to produce the copy, which makes sense for the class in question (which is class Point in the example shown below). 1 2 3 4 5 6 7 8 9 10 11 12 13 14 15 16 17 18 19 20 21 22 23 24 25 26 using System; public class Point: ICloneable { private double x, y; public Point(double x, double y){ this.x = x; this.y = y; } public double X { get {return x;} set {x = value;} } public double Y { get {return y;} set {y = value;} } public Point move(double dx, double dy){ Point result = (Point)MemberwiseClone(); // cloning from within Point is OK. result.x = x + dx; result.y = y + dy; return result; }
  • 288.
    282 27 28 29 30 31 32 33 34 35 36 // public Clonemethod that delegates the work of // the protected method MemberwiseClone(); public Object Clone(){ return MemberwiseClone(); } public override string ToString(){ return "Point: " + "(" + x + "," + y + ")" + "."; } } Program 32.8 A cloneable class Point. In Program 32.9 we show how a client of class Point uses the implemented Clone operation. Notice the casting, and notice that the subexpression p1.Clone() is evaluated before the casting. (A possible misconception would be that (Point)p1 is evaluated first). The evaluation order is due to the precedence of the cast operator in relation to the precedence of the dot operator, see Table 6.1. 1 2 3 4 5 6 7 8 9 10 11 12 13 14 using System; public class Application{ public static void Main(){ Point p1 = new Point(1.1, 2.2), p2, p3; p2 = (Point)p1.Clone(); // First p1.Clone(), then cast to Point. p3 = p1.move(3.3, 4.4); Console.WriteLine("{0} {1} {2}", p1, p2, p3); } } Program 32.9 A sample client of class Point. It may be tempting to circumvent the ICloneable interface, the implementation of our own clone operation, and delegation to MemberwiseClone. This temptation is illustrated in Program 32.10. The compiler will find out, and it tells that we cannot just call MemberwiseClone, because it is not a public operation. Why make life so difficult? Why not support shallow copying of all objects in an easy way, by making MemberwiseClone public in class Object? The reason is that the designers of the programming language (C#, and Java as well) have decided that the programmer of a class should make an explicit decision about which objects should be cloneable. There are almost certainly some classes for which we do not want copying of instances, singletons (see Section 16.3 ) for instance. There are also some classes in which we do not want the standard bitwise copying provided by MemberwiseClone. Such classes should behave like Program 32.8 shown above, but instead of delegating the cloning to MemberwiseClone, the copy operation should be programmed in the Clone method to suit the desired copying semantics. 1 2 3 4 5 6 7 8 using System; public class Application{ public static void Main(){ Point p1 = new Point(1.1, 2.2), p2, p3;
  • 289.
    283 9 10 11 12 13 14 15 16 17 18 p2 = (Point)p1.MemberwiseClone(); //Compile-time error. // Cannot access protected member 'object.MemberwiseClone()' // via a qualifier of type 'Point' p3 = p1.move(3.3, 4.4); Console.WriteLine("{0} {1} {2}", p1, p2, p3); } } Program 32.10 Illegal cloning with MemberwiseClone. 32.8. Cloning versus use of copy constructors Lecture 8 - slide 32 In Section 32.7 we found out that cloning of class instances - on purpose - is rather cumbersome in C#. Therefore we have earlier recommended the use of copy constructors as an alternative means. See Section 12.5 for details and for an example. In this section we will evaluate and exemplify the power of copying by cloning (as in Section 32.7) relative to copying by use of copy constructors. In a nutshell, the insight can be summarized in this way: Cloning with obj.Clone() is more powerful than use of copy constructors, because obj.Clone() may exploit polymorphism and dynamic binding In order to illustrate the differences between cloning (by use of the clone method) and copying (by use of a copy constructor) we will again use the class Point. Below, in Section 32.7 we show a version similar to Program 32.8 but now with an additional copy constructor (line 12 - 14). 1 2 3 4 5 6 7 8 9 10 11 12 13 14 15 16 17 18 19 20 21 22 23 using System; using System.Drawing; public class Point: ICloneable { protected double x, y; public Point(double x, double y){ this.x = x; this.y = y; } // Copy constructor public Point(Point p){ this.x = p.x; this.y = p.y; } public virtual double X { get {return x;} set {x = value;} } public virtual double Y { get {return y;} set {y = value;}
  • 290.
    284 24 25 26 27 28 29 30 31 32 33 34 35 36 37 38 39 40 41 42 } public virtual Pointmove(double dx, double dy){ Point result = (Point)MemberwiseClone(); // cloning from within Point is OK. result.x = x + dx; result.y = y + dy; return result; } // public Clone method that delegates the work of // the protected method MemberwiseClone(); public virtual Object Clone(){ return MemberwiseClone(); } public override string ToString(){ return "Point: " + "(" + x + "," + y + ")" + "."; } } Program 32.11 A cloneable class Point. We also show a subclass of Point called ColorPoint, see Program 32.12. It adds a color instance variable to the instance variables inherited from class Point, and it has its own copy constructor in line 10 - 13. 1 2 3 4 5 6 7 8 9 10 11 12 13 14 15 16 17 18 19 20 public class ColorPoint: Point{ protected Color color; public ColorPoint(double x, double y, Color c): base(x,y){ this.color = c; } // Copy constructor public ColorPoint(ColorPoint cp): base(cp.x,cp.y){ this.color = cp.color; } // Clone method is inherited public override string ToString(){ return "ColorPoint: " + "(" + x + "," + y + ")" + ":" + color; } } Program 32.12 A cloneable class ColorPoint. In the Color and ColorPoint client program, shown below in Program 32.13, you should focus on the list pointList, as declared in line 14. We add two Point objects and two ColorPoint objects to pointList in line 17 - 20. Next, in the foreach loop starting at line 23 we clone each of the four points in the list, and we add the cloned points to the initially empty list clonedPointList. The elements in clonedPointList are printed at the end of the program. The output - see Listing 32.14 - reveals that the cloning is successful. We end up having two Point instances and two ColorPoint instances in clonedPointList. 1 2 3 4 5 6 using System; using System.Drawing; using System.Collections.Generic; public class Application{
  • 291.
    285 7 8 9 10 11 12 13 14 15 16 17 18 19 20 21 22 23 24 25 26 27 28 29 30 31 public static voidMain(){ Point p1 = new Point(1.1, 2.2), p2 = new Point(3.3, 4.4); ColorPoint cp1 = new ColorPoint(5.5, 6.6, Color.Red), cp2 = new ColorPoint(7.7, 8.8, Color.Blue); List<Point> pointList = new List<Point>(), clonedPointList = new List<Point>(); pointList.Add(p1); pointList.Add(cp1); pointList.Add(p2); pointList.Add(cp2); // Clone the points in pointList and add them to clonedPointList: foreach(Point p in pointList){ clonedPointList.Add((Point)(p.Clone())); } foreach(Point p in clonedPointList) Console.WriteLine("{0}", p); } } Program 32.13 Polymorphic Cloning of Points. 1 2 3 4 Point: (1,1,2,2). ColorPoint: (5,5,6,6):Color [Red] Point: (3,3,4,4). ColorPoint: (7,7,8,8):Color [Blue] Listing 32.14 Output of both polymorphic and non- polymorphic cloning. Let us now attempt to replicate the functionality of Program 32.13 with use of copy constructors, see Program 32.15. The attempt, shown in Program 32.15 in line 24 - 26 fails, because the activation of the copy constructors deliver Point objects, even if a ColorPoint object is passed as input. Instead we must perform explicit type dispatch, as shown in line 29-34. Clearly, constructors cannot exhibit virtual behavior. The solution in Program 32.13 based on the Point and ColorPoint classes in Program 32.11 and Program 32.12 works because the Clone method in Program 32.11 (line 35 - 37) is inherited by ColorPoint. As already explained, the inherited method delegates its work to MemberwiseClone, which always copies its receiver. Thus, if MemberwiseClone is activated on a ColorPoint object it copies a ColorPoint object. 1 2 3 4 5 6 7 8 9 10 11 12 13 14 15 16 using System; using System.Drawing; using System.Collections.Generic; public class Application{ public static void Main(){ Point p1 = new Point(1.1, 2.2), p2 = new Point(3.3, 4.4); ColorPoint cp1 = new ColorPoint(5.5, 6.6, Color.Red), cp2 = new ColorPoint(7.7, 8.8, Color.Blue); List<Point> pointList = new List<Point>(), clonedPointList = new List<Point>();
  • 292.
    286 17 18 19 20 21 22 23 24 25 26 27 28 29 30 31 32 33 34 35 36 37 38 39 40 pointList.Add(p1); pointList.Add(cp1); pointList.Add(p2); pointList.Add(cp2); // Cannot copyColorPoint objects with copy constructor of Point. // Compiles and runs, but gives wrong result. // foreach(Point p in pointList){ // clonedPointList.Add(new Point(p)); // } // Explicit type dispatch: foreach(Point p in pointList){ if (p is ColorPoint) clonedPointList.Add(new ColorPoint((ColorPoint)p)); else if (p is Point) clonedPointList.Add(new Point(p)); } foreach(Point p in clonedPointList) Console.WriteLine("{0}", p); } } Program 32.15 Non-polymorphic Cloning of Points - with use of copy constructors. 32.9. The fragile base class problem Lecture 8 - slide 33 As the next part of this Pattern and Techniques chapter we will study the so-called fragile base class problem. The problem can be summarized in this way: If all methods are virtual it is possible to introduce erroneous dynamic bindings This can happen if a new method in a superclass is given the same name as a dangerous method in a subclass The program in Program 32.16 is a principled ABC example. B is a subclass of A, and B has a dangerous method M2. As a dangerous method, clients of class B must be fully aware that M2 is called, because it can have serious consequences. (A possible serious consequence may be to erase the entire harddisk). As illustrated in the Client class, M2 can only be activated on a B object. 1 2 3 4 5 6 7 8 9 10 11 // Original program. No problems. using System; class A { public void M1(){ Console.WriteLine("Method 1"); } }
  • 293.
    287 12 13 14 15 16 17 18 19 20 21 22 23 24 25 26 27 28 29 30 class B: A{ public void M2(){ Console.WriteLine("Dangerous Method 2"); } } class Client{ public static void Main(){ A a = new B(); B b = new B(); a.M1(); // Nothing dangerous expected // a.M2(); // Compile-time error // 'A' does not contain a definition for 'M2' b.M2(); // Expects dangerous operation } } Program 32.16 The initial program. Let us now assume that we replace class A with a new version with the following changes: 1. A new virtual method M2 is added to A. 2. The existing method M1 in A now calls M2 This is shown in Program 32.17. We will, in addition, assume that all involved methods (M1 and M2) are virtual, and that M2 in B overrides M2 in A. In C# this is not a natural assumption, but in Java this is the default semantics (and the only possible semantics). It is purely accidental that the new method in class A has the same name as the dangerous method M2 in class B. In the Client class in Program 32.17 a.M1() will - unexpectedly - call the dangerous method M2 in class B, because the variable a has dynamic type B. Similarly, a.M2() calls M2 in B. The programmer, who wrote class A, expected that the expression a.M1() would call the sibling method M2 in class A! This could come as an unpleasant surprise. 1 2 3 4 5 6 7 8 9 10 11 12 13 14 15 16 17 // Dangerous program. // M2 is virtual in A and overridden in B. // Compiles and runs // Default Java semantics. using System; // New version of A class A { public void M1(){ Console.WriteLine("Method 1"); this.M2(); } // New method in this version. // Same name as the dangerous operation in subclass B
  • 294.
    288 18 19 20 21 22 23 24 25 26 27 28 29 30 31 32 33 34 35 36 37 38 39 40 41 42 43 44 45 46 47 public virtual voidM2(){ Console.WriteLine("M2 in new version of A"); } } class B: A { public override void M2(){ Console.WriteLine("Dangerous Method 2"); } } class Client{ public static void Main(){ A a = new B(); B b = new B(); a.M1(); // Nothing dangerous expected // Will, however, call the dangerous operation // because M2 is virtual. a.M2(); // Makes sense when M2 exists in class A. // Calls the dangerous method b.M2(); // Calls the dangerous method. // This is expected, however. } } Program 32.17 The revised version with method A.M2 being virtual. 1 2 3 4 Method 1 Dangerous Method 2 Dangerous Method 2 Dangerous Method 2 Listing 32.18 Output of revised program. If we, in C#, just add the M2 method to class A, and change M1 such that it calls M2, as shown in Program 32.19 (only on web) it is not possible to compile class B. The problem is that we have a method, named M2 in both class A and B. This is the problem that we have discussed in Section 28.9. The programmer should decide if M2 in B should be declared as new, or if it should override M2 from class A. In the latter case, M2 in A must be declared as virtual. If you want additional details about the fragile base class problem, the web-version of the paper contains two additional variants of Program 32.17. The fragile base class problem illustrates a danger of using virtual methods (dynamic binding) all over the place. In rare situations, as the one constructed in Program 32.17, it may lead to dangerous results. To summarize, the problem arises if a method in a subclass is unintentionally called instead of a method in a superclass. In C#, both the superclass and the subclass must specify if dynamic binding should take place. In the superclass the involved method must be virtual, and in the subclass the method must use the override modifier. Alternatively, we may opt for static binding, as in Program 32.20. As illustrated by Program 32.19 the C# programmer is likely to get a warning in case he or she approaches the fragile base class problem.
  • 295.
    289 32.10. Factory designpatterns Lecture 8 - slide 34 Instantiation of classes is done by the new operator (see Section 6.7) in cooperation with a constructor (see Section 12.4). Imagine that we need numerous instances of class C in a large program. This would lead to a situation where there appears may expressions of the form new C(...) in the program. Why can this be considered as a problem? One problem with many occurrences of new C(...) is if we - eventually - would like to instantiate another class, say a subclass of C. In this situation we would prefer to make one change at a single place in the program, instead of a spread of changes throughout the program. Another problem may occur if we need two or more constructors which we cannot easily distinguish by the formal parameters of the constructors. We have seen examples of such situations in Section 16.4. As yet another problem, we may wish to introduce good names for object instantiations, beyond the possibilities of constructors. Various uses of factory methods can be seen as solutions to the problems pointed out above. We will distinguish between the following variations of factory methods: • Factory methods implemented with class methods (static methods) in C, or in another class • The design pattern Factory Method which handles instantiation in instance methods of client subclasses • Relies on instance methods in class hierarchies with virtual methods • The design pattern Abstract Factory which is good for instantiation of product families • Relies on instance methods in class hierarchies with virtual methods As already pointed out, we have seen examples of static factory methods in Section 16.4. We will discuss the design pattern Factory Method below, in Section 32.11. In the current version of the material we do not discuss Abstract Factory. 32.11. The design pattern Factory Method Lecture 8 - slide 35 The Factory Method design pattern relies on virtual instance methods in a class hierarchy that take care of class instantiation. The Factory Method scene is shown diagrammatically in Figure 32.7 and programmatically in Program 32.22. The problem is how to facilitate instantiation of different types of Products (line 3-13 in Program 32.22) in SomeOperation (line 20) of class Creator. The Factory Method solution is to carry out the instantiation in overridden virtual methods in subclasses of class Creator. The actual instantiations take place in line 26 and 32 of Program 32.22. In SomeOperation, the highlighted call this.FactoryMethod() will either cause instantiation of ConcreteProduct_1 or ConcreteProduct_2, depending on the dynamic type of the creator.
  • 296.
    290 Subclasses of Creatordecide which Product to instantiate Figure 32.7 A template of the class structure in the Factory Method design pattern. 1 2 3 4 5 6 7 8 9 10 11 12 13 14 15 16 17 18 19 20 21 22 23 24 25 26 27 28 29 30 31 32 33 34 using System; public abstract class Product{ public Product(){} } public class ConcreteProduct_1: Product{ public ConcreteProduct_1(){} } public class ConcreteProduct_2: Product{ public ConcreteProduct_2(){} } public abstract class Creator{ public abstract Product FactoryMethod(); public void SomeOperation(){ Product product = FactoryMethod(); } } public class ConcreteCreator_1: Creator{ public override Product FactoryMethod(){ return new ConcreteProduct_1(); } } public class ConcreteCreator_2: Creator{ public override Product FactoryMethod(){ return new ConcreteProduct_2(); } } Program 32.22 Illustration of Factory Method in C#. Factory Method calls for a quite complicated scene of parallel class hierarchies. The key mechanism behind the pattern is the activation of a virtual method from a fully defined, non-abstract method in the (abstract) class Creator. In many contexts, Factory Method will be too complicated to set up. If, however, the major parts of the class hierarchies already have been established, the use of Factory Method allows for flexible variations of Product instantiations.
  • 297.
    291 32.12. The Visitordesign pattern Lecture 8 - slide 37 The Visitor design pattern is typically connected to the Composite design pattern, which we have discussed in Section 32.1. Recall that a Composite gives rise to a tree of objects, all of which expose a uniform client interface. The Visitor design pattern is about a particular organization of the operations that visit each node in such a tree. Relative to the Composite class diagram, shown in Figure 32.1, we will discuss two different organizations of the tree visiting operations: • The natural object-oriented solution: • One method per operation per Component class • The Visitor solution • All methods that pertain to a given operation are refactored and encapsulated in its own class The natural object-oriented solution, mentioned first, is the solution that falls out of the Composite design pattern. We will illustrate it in the context of the IntSequence Composite in Section 32.13. The Visitor solution is an alternative - and more complicated - organization which keeps all operations of a given traversal together. This is the solution of the Visitor design pattern. It will be exemplified in Section 32.15. 32.13. Natural object-oriented IntSequence traversals Lecture 8 - slide 38 We have studied the integer sequence composite in appendix Section 58.3. The class diagram of this particular Composite is shown in Figure 58.1. Please recapitulate the essence of the integer sequence idea from there. We will now discuss three different operations which need to visit each object in a integer sequence tree, such as the seven nodes of the tree shown in Figure 58.2. The operations are Max, Min, and Sum. Min and Max find the smallest/largest number in the tree respectively. Sum adds all numbers in the tree together. Below we show the Min, Max, and Sum operations in four classes IntSequence, IntSingular, IntInterval, and IntComposite. All of the operation need to traverse the tree structure. Inner nodes in the composite tree are represented as instances of the class IntCompSeq, as shown in Program 32.26. The operations Min, Max, and Sum are implemented recursively in this class. A Composite is a recursive data structure which in a natural way calls for recursive processing. All this is archetypical for a composite structure. 1 2 3 4 5 public abstract class IntSequence { public abstract int Min {get;} public abstract int Max {get;} public abstract int Sum(); } Program 32.23 The abstract class IntSequence.
  • 298.
    292 1 2 3 4 5 6 7 8 9 10 11 12 13 14 15 16 17 18 19 20 21 22 23 24 25 26 27 28 29 30 31 32 33 34 35 public class IntInterval:IntSequence{ private int from, to; public IntInterval(int from, int to){ this.from = from; this.to = to; } public int From{ get{return from;} } public int To{ get{return to;} } public override int Min{ get {return Math.Min(from,to);} } public override int Max{ get {return Math.Max(from,to);} } public override int Sum(){ int res = 0; int lower = Math.Min(from,to), upper = Math.Max(from,to); for (int i = lower; i <= upper; i++) res += i; return res; } } Program 32.24 The class IntInterval. 1 2 3 4 5 6 7 8 9 10 11 12 13 14 15 16 17 18 19 20 21 22 23 24 public class IntSingular: IntSequence{ private int it; public IntSingular(int it){ this.it = it; } public int TheInt{ get{return it;} } public override int Min{ get {return it;} } public override int Max{ get {return it;} } public override int Sum(){ return it; } } Program 32.25 The class IntSingular.
  • 299.
    293 1 2 3 4 5 6 7 8 9 10 11 12 13 14 15 16 17 18 19 20 21 22 23 24 25 26 27 28 29 public class IntCompSeq:IntSequence{ private IntSequence s1, s2; // Binary sequence: Exactly two subsequences. public IntCompSeq(IntSequence s1, IntSequence s2) { this.s1 = s1; this.s2 = s2; } public IntSequence First{ get{return s1;} } public IntSequence Second{ get{return s2;} } public override int Min{ get {return Math.Min(s1.Min, s2.Min);} } public override int Max{ get {return Math.Max(s1.Max, s2.Max);} } public override int Sum(){ return s1.Sum() + s2.Sum(); } } Program 32.26 The class IntCompSeq. In the web version of the material we show an integer sequence client which traverses a composite tree structure of integer sequences with use of the operations Min, Max, and Sum, see Program 32.27 (only on web). In Listing 32.28 (only on web) we also show the program output. The programming of Min, Max, and Sum in the integer sequence classes, as shown above, is natural object- oriented programming of the traversals. Each of the four involved classes has a Min, Max, and a Sum operation. The operations are located in the immediate neighborhood of the data on which they rely. Everything is fine. But the solution shown in this section is not a Visitor. In the next section we will discuss and motivate the transition from the natural object-oriented solution to a visitor. After that we will reorganize Min, Max and Sum as visitors. 32.14. Towards a Visitor solution Lecture 8 - slide 39 Before we study Visitors for integer sequence traversals we will discuss the transition from the natural object-oriented traversal to the Visitor design pattern. The main idea of Visitor is to organize all methods that take part in a particular traversal, in a single Visitor class. In our example from Section 32.13 it means that we will have MinVisitor, MaxVisitor, and SumVisitor class. All of these classes share a common Visitor interface.
  • 300.
    294 The following stepsare involved the transition from natural object-oriented visiting to the Visitor design pattern: • A Visitor interface and three concrete Visitor classes are defined • The Intsequence classes are refactored - the traversal methods are moved to the visitor classes • Accept methods are defined in the IntSequence classes. Accept takes a Visitor as parameter • Accept passes this to the visitor, which in turn may activate Accept on components From the web-version of the material we provide an SVG-animation that illustrates the transition. Try the accompanying SVG animation In the following section we will study an example. In the slipstream of the example we will explain and discuss additional details. The pros and cons of the Visitor solution are summarized in Section 32.16. 32.15. A Visitor example: IntSequence Lecture 8 - slide 40 Let us now reorganize the integer sequence traversals from Section 32.13 to a Visitor. We provide three different traversals: find minimum, find maximum, and calculate sum. This will give rise to three different visitor objects: a minimum visitor, a maximum visitor, and a sum visitor of types MinVisitor, MaxVisitor, and SumVisitor respectively. The three classes implement a common Visitor interface. Each of the visitors will have VisitIntInterval, VisitSingular, and VisitCompSeq methods. As a naming issue, we chose to use the name Visit for all of them. This choice relies on method overloading. With these considerations we are able to understand the Visitor interface shown in Program 32.29. 1 2 3 4 5 public interface Visitor{ int Visit (IntInterval iv); int Visit (IntSingular iv); int Visit (IntCompSeq iv); } Program 32.29 The Visitor Interface. The abstract superclass in the integer sequence Composite design pattern, which we presented in Program 32.23, can now be reduced to a single method, which takes a Visitor object as parameter. The method is usually called Accept. 1 2 3 public abstract class IntSequence { public abstract int Accept(Visitor v); } Program 32.30 The abstract class IntSequence. The idea behind the Accept method is to delegate the responsibility of a particular traversal to a given Visitor object. In the class IntInterval, shown below in Program 32.31, we see that Accept passes the
  • 301.
    295 current object (theIntInterval object) to the visitor. This is done in line 19. The same happens in Accept of IntSingular (line 14 of Program 32.32) and in Accept of IntCompSeq (line 19 of Program 32.33). 1 2 3 4 5 6 7 8 9 10 11 12 13 14 15 16 17 18 19 20 21 public class IntInterval: IntSequence{ private int from, to; public IntInterval(int from, int to){ this.from = from; this.to = to; } public int From{ get{return from;} } public int To{ get{return to;} } public override int Accept(Visitor v){ return v.Visit(this); } } Program 32.31 The class IntInterval. 1 2 3 4 5 6 7 8 9 10 11 12 13 14 15 16 public class IntSingular: IntSequence{ private int it; public IntSingular(int it){ this.it = it; } public int TheInt{ get{return it;} } public override int Accept(Visitor v){ return v.Visit(this); } } Program 32.32 The class IntSingular.
  • 302.
    296 1 2 3 4 5 6 7 8 9 10 11 12 13 14 15 16 17 18 19 20 21 public class IntCompSeq:IntSequence{ private IntSequence s1, s2; // Binary sequence: Exactly two subsequences. public IntCompSeq(IntSequence s1, IntSequence s2) { this.s1 = s1; this.s2 = s2; } public IntSequence First{ get{return s1;} } public IntSequence Second{ get{return s2;} } public override int Accept(Visitor v){ return v.Visit(this); } } Program 32.33 The class IntCompSeq. It is now time to program the visitor classes (the classes that implement the Visitor interface of Program 32.29). The Visit methods on intervals and singulars (the leafs in the composite tree) just extract information from the passed tree node. Thus, the Visit methods extract information from the objects that hold the essential information (this is the objects that provide the Accept methods). The Visit methods on the inner tree nodes (of type IntCompSeq) are more interesting. They call Accept methods on subtrees of the inner tree node. This is highlighted with blue color in Program 32.34, Program 32.35, and Program 32.36. 1 2 3 4 5 6 7 8 9 10 11 12 13 14 public class MinVisitor: Visitor{ public int Visit (IntInterval iv){ return Math.Min(iv.From, iv.To); } public int Visit (IntSingular iv){ return iv.TheInt; } public int Visit (IntCompSeq iv){ return Math.Min(iv.First.Accept(this), iv.Second.Accept(this)); } } Program 32.34 The class MinVisitor.
  • 303.
    297 1 2 3 4 5 6 7 8 9 10 11 12 13 14 public class MaxVisitor:Visitor{ public int Visit (IntInterval iv){ return Math.Max(iv.From, iv.To); } public int Visit (IntSingular iv){ return iv.TheInt; } public int Visit (IntCompSeq iv){ return Math.Max(iv.First.Accept(this), iv.Second.Accept(this)); } } Program 32.35 The class MaxVisitor. 1 2 3 4 5 6 7 8 9 10 11 12 13 14 15 16 17 18 19 20 public class SumVisitor: Visitor{ public int Visit (IntInterval iv){ int res = 0; int lower = Math.Min(iv.From,iv.To), upper = Math.Max(iv.From,iv.To); for (int i = lower; i <= upper; i++) res += i; return res; } public int Visit (IntSingular iv){ return iv.TheInt; } public int Visit (IntCompSeq iv){ return (iv.First.Accept(this) + iv.Second.Accept(this)); } } Program 32.36 The class SumVisitor. As it appears, each Accept method in the Composite calls a Visit method in a Visitor class, which in turn may call one or more Accept methods on a composite constituents. This leads to indirect recursion in between Accept methods and Visit methods. Compared with the natural object-oriented solution, which uses direct recursion, this is more complicated to understand. The indirect recursion, pointed out above, may also be understood as a simulation of double dispatching. First, we dispatch on the Visitor object and next we dispatch on an object from the composite tree structure. Most object-oriented programming language only allows single dispatching - corresponding to message passing via a virtual method. This can be generalized to multiple dispatching, where the dynamic type of several objects determine which method to activate. The object-oriented part of Common Lisp - CLOS [Keene89] - supports multiple dispatching. In Program 32.37 we show a client program with an integer sequence composite structure (line 7-15), three visitors (line 16-18), and sample activations of tree traversals (highlighted in line 21, 22, and 28). The output of the program is shown in Listing 32.38 (only on web).
  • 304.
    298 1 2 3 4 5 6 7 8 9 10 11 12 13 14 15 16 17 18 19 20 21 22 23 24 25 26 27 28 29 30 using System; class SeqApp{ public static void Main(){ IntSequence isq = new IntCompSeq( new IntCompSeq( new IntInterval(3,5), new IntSingular(-7) ), new IntCompSeq( new IntInterval(12,7), new IntCompSeq( new IntInterval(18,-18), new IntInterval(3,5) ))); Visitor min = new MinVisitor(); Visitor max = new MaxVisitor(); Visitor sum = new SumVisitor(); Console.WriteLine("Min: {0} Max: {1}", isq.Accept(min), isq.Accept(max)); // Alternative activation of Visit methods: // Console.WriteLine("Min: {0} Max: {1}", min.Visit((IntCompSeq)isq), // max.Visit((IntCompSeq)isq)); Console.WriteLine("Sum: {0}", isq.Accept(sum)); } } Program 32.37 A sample application of IntSequences and visitors. 32.16. Visitors - Pros and Cons Lecture 8 - slide 41 As it is already clear from our explanation of Visitor in Section 32.15 there are both advantages and disadvantages of this design pattern. We summarize the consequences of Visitor in the following items: • A new kind of traversal can be added without affecting the classes of the Composite • A Visitor encapsulates all methods related to a particular traversal • State related to a traversal can - in a natural way - be represented in the Visitor • If a new class is added to the Composite all Visitor classes are affected • The indirect recursion that involves Accept and the Visit methods is more complex than the direct recursion in the natural object-oriented solution Visitor is frequently used for processing of abstract syntax trees in compilation tools In case you are going to study compilers implemented the object-oriented way, you will most likely encounter Visitors for such tasks as type checking and code generation.
  • 305.
    299 32.17. References [Keene89] SonyaE. Keene, Object-Oriented Programming in Common Lisp. Addison-Wesley Publishing Company, 1989. [Gamma96] E. Gamma, R. Helm, R. Johnson and J. Vlissides, Design Patterns: Elements of Reusable Object-oriented Software. Addison Wesley, 1996. [Midi-sample] The generated MIDI file http://www.cs.aau.dk/~normark/oop-csharp/midi/song.mid [Mip-jan-08] MIP Exam January 2008 (In Danish) http://www.cs.aau.dk/~normark/oop-07/html/mip-jan-08/opgave.html [Song-and- timednote-classes] The auxiliary classes TimedNote and Song http://www.cs.aau.dk/~normark/oop-07/html/mip-jan-08/c-sharp/mip.cs [Factory-method] Wikipedia: Design pattern: Factory Method http://en.wikipedia.org/wiki/Factory_method [Abstract-factory] Wikipedia: Design pattern: Abstract Factory http://en.wikipedia.org/wiki/Abstract factory
  • 306.
  • 307.
    301 33. Fundamental Questionsabout Exception Handling With this chapter we start the lecture about exception handling. We could as well just use the word "error handling". Before we approach object-oriented exception handling we will in this chapter discuss error handling broadly and from several perspectives. In Chapter 34 we will discuss non-OO, conventional exception handling. In Chapter 35 we encounter object-oriented exception handling. Finally, in Chapter 36 we discuss exception handling in C#. Chapter 36 is the main chapter in the lecture about exception handling. 33.1. What is the motivation? Lecture 9 - slide 2 The following items summarize why we should care about error handling: • Understand the nature of errors • "An error is not just an error" • Prevent as many errors as possible in the final program • Automatically - via tools • Manually - in a distinguished testing effort • Make programs more robust • A program should be able to resist and survive unexpected situations 33.2. What is an error? Lecture 9 - slide 3 The word "error" is often used in an undifferentiated way. We will now distinguish between errors in the development process, errors in the source program, and errors in the executing program. • Errors in the design/implementation process • Due to a wrong decision at an early point in time - a mental flaw • Errors in the source program • Illegal use of the programming language • Erroneous implementation of an algorithm • Errors in the program execution - run time errors • Exceptions - followed by potential handling of the exceptions Errors in the development process may lead to errors in the source program. Errors in the source program may lead to errors in the running program
  • 308.
    302 33.3. What isnormal? What is exceptional? Lecture 9 - slide 4 I propose that we distinguish between "normal aspects" and "exceptional aspects" when we write a program. Without this distinction, many real-world programs will become unwieldy. The separation between normal aspects and exceptional aspects adds yet another dimension of structure to our programs. In many applications and libraries, the programming of the normal aspects leads to nice and well- proportional solution. When exceptional aspects (error handling) are brought in, the normal program aspects are polluted with error handling code. In some situations the normal program aspects are totally dominated by exceptional program aspects. This is exemplified in Section 34.2. Below we characterize the normal program aspects and the exceptional program aspects. • Normal program aspects • Situations anticipated and dealt with in the conventional program flow • Programmed with use of selective and iterative control structures • Exceptional program aspects • Situations anticipated, but not dealt with "in normal ways" by the programmer • Leads to an exception • Recoverable via exception handling. Or non-recoverable • Situations not anticipated by the programmer • Leads to an exception • Recoverable via exception handling. Or non-recoverable • Problems beyond the control of the program Let us assume that we program the following simple factorial function. Recall that "n factorial" = Factorial(n) = n! = n * (n -1) * ... * 1. public static long Factorial(int n){ if (n == 0) return 1; else return n * Factorial(n - 1); } The following problems may appear when we run the Factorial function: 1. Negative input : If n is negative an infinite recursion will appear. It results in a StackOverflowException . 2. Wrong type of input : In principle we could pass a string or a boolean to the function. In reality, the compiler will prevent us from running such a program, however. 3. Wrong type of multiplication : The operator my be redefined or overloaded to non-multiplication. 4. Numeric overflow of returned numbers : The type long cannot contain the result of 20! , but not 21! . 5. Memory problem : We may run out of RAM memory during the computation. 6. Loss of power : The power may be interrupted during the computation. 7. Machine failure : The computer may fail during the computation.
  • 309.
    303 8. Sun failure: The Sun may be extinguished during the computation. Problem 1 should be dealt with as a normal program aspects. As mentioned, the problem in item 2 is prevented by the analysis of the compiler. Problem 3 is, in a similar way, prevented by the compiler. Problem 4 is classified as an anticipated exceptional aspect. Problem 4 could, alternatively, be dealt with by use of another type than long, such a BigInteger which allows us to work with arbitrary large integers. (BigInteger is not part of the .Net 3.5 libraries, however). Problem 5 could also be foreseen as an anticipated exception. Problem 5, 7, and 8 are beyond the control of the program. In extremely critical applications it may, however, be considered to deal with (handle) problem 6 and 7. With use of normal control structures, a different (although a hypothetical) type BigInteger, and an iterative instead of a recursive algorithm we may rewrite the program to the following version: public static BigInteger Factorial(int n){ if (n >= 0){ BigInteger res = 1; for(int i = 1; i <= n; i++) res = res * i; return res; } else throw new ArgumentException("n must be non-negative"); } With this rewrite we have dealt with problem 1, 4, and 5. As an attractive alternative to the if-else, problem 1 could be dealt with by the precondition n >= 0 of the Factorial method, see Section 50.1. As it appears, we wish to distinguish between normal program aspects and exceptional program aspects via the programming language mechanisms used to deal with them. In C# and similar object-oriented languages, we have special means of expressions to deal with exceptions. The Factorial function shown above throws an exception in case of negative input. See Section 36.2 for details. Above, we distinguish between different degrees of exceptional aspects. As a programmer, you are probably aware of something that can go wrong in your program. Other errors come as surprises. Some error situations, both the expected and the surprising ones, should be dealt with such that the program execution survives. Others will lead to program termination. Controlled program termination, which allows for smooth program restart, will be an important theme in this lecture. 33.4. When are errors detected? Lecture 9 - slide 6 It is attractive to find errors as early as possible Our next question cares about the point in time where you - the program developer - realize the problem. It should be obvious that we wish to identify troubles as soon as possible. We identify the following error identification times.
  • 310.
    304 • During designand programming - Go for it. • During compilation - syntax errors or type errors - Attractive. • During testing - A lot of hard work. But necessary. • During execution and final use of the program • Handled errors - OK. But difficult. • Unhandled errors - A lot of frustration. If we are clever enough, we will design and program our software such that errors do not occur at all. However, all experience shows that this is not an easy endeavor. Still, it is good wisdom to care about errors and exception handling early in the development process. Problems that can be dealt with effectively at an early point in time will save a lot of time and frustrations in the latter phases of the development process. Static analysis of the program source files, as done by the front-end of the compiler, is important and effective for relatively early detection of errors. The more errors that can be detected by the compiler before program execution, the better. Handling of errors caught by the compiler requires very little work from the programmers. This is at least the case if we compare it with testing efforts, described next. Systematic test deals with sample execution of carefully prepared program fragments. The purpose of testing is to identify errors (see also Section 54.1). Testing activities are very time consuming, but all experience indicates that it is necessary. We devote a lecture, covered by Chapter 56 in this material, to testing. We will in particular focus on unit test of object-oriented programs. Software test is also known as validation in relation to the specification of the software. Alternatively, the program may be formally verified up against a specification. This goes in the direction of a mathematical proof, and an area known as model-checking. Finally, some errors may creep through to the end-use of the program. Some of these errors could and should perhaps have been dealt with at an earlier point in time. But there will remain some errors in this category. Some can be handled and therefore hidden behind the scene. A fair amount cannot be handled. Most of the discussion in this and the following three chapters are about (handled and unhandled) errors that show up in the program at execution time. 33.5. How are errors handled? Lecture 9 - slide 7 Assuming that we now know about the nature of errors and when they appear in the running program, it is interesting to discuss what to do about them. Here follows some possibilities.
  • 311.
    305 • Ignore • Falsealarm - Naive • Report • Write a message on the screen or in a log - Helpful for subsequent correction of the source program • Terminate • Stop the program execution in a controlled an gentle way - Save data, close connections • Repair • Recover from the error in the running program - Continue normal program execution when the problem is solved The first option - false alarm - is of course naive and unacceptable from a professional point of view. It is naive in the sense that shortly after we have ignored the error another error will most certainly occur. And what should then be done? The next option is to tell the end-user about the error. This is naive, almost in the same way as false alarm. But the reporting option is a very common reaction from the programmer: "If something goes wrong, just print a message on standard output, and hopefully the problem will vanish." At least, the user will be aware that something inappropriate has happened. The termination option is often the most viable approach, typically in combination with proper reporting. The philosophy behind this approach is that errors should be corrected when they appear. The sooner the better. The program termination should be controlled and gentle, such that it is possible to continue work when the problem has been solved. Data should be saved, and connections should be closed. It is bad enough that a program fails "today". It is even worse if it is impossible start the program "tomorrow" because of corrupted data. Repair and recovery at run-time is the ultimate approach. We all wish to use robust and stable software. Unfortunately, there are some problems that are very difficult to deal with by the running program. To mention a few, just think of broken network connections, full harddisks, and power failures. It is only in the most critical applications (medical, atomic energy, etc) that such severe problems are dealt with explicitly in the software that we construct. Needless to say, it is very costly to built software that takes such problems into account. 33.6. Where are errors handled? Lecture 9 - slide 8 The last fundamental question is about the place in the program where to handle errors. Should we go for local error handling, or for handling at a more remote place in the program.
  • 312.
    306 • Handle errorsat the place in the program where they occur • If possible, this is the easiest approach • Not always possible nor appropriate • Handle errors at another place • Along the calling chain • Separation of concerns If many errors are handled in the immediate proximity of the source of the error, chances are that a small and understandable program becomes large, unwieldy, and difficult understand. Separation of concerns is worth considering. One concern is the normal program aspects (see Section 33.3). Another concern is exception handling. The two concerns may be dealt with in different corners or the program. Propagation of errors from one place in a C# program to another will be discussed in Section 36.7 of this material.
  • 313.
    307 34. Conventional ExceptionHandling Before we approach exception handling in object-oriented programs we will briefly take a look at some conventional ways to deal with errors. You can, for instance, think of these as error handling techniques in C programming. 34.1. Exception Handling Approaches Lecture 9 - slide 10 One way to deal with errors is to bring the error condition to the attention of the user of the program. (See Section 33.5 ). Obviously, this is done in the hope that the user has a chance to react on the information he or she receives. Not all users can do so. If error messages are printed to streams (files) in conventional, text based user interfaces, it is typical to direct the information to the standard error stream instead of the standard output stream. • Printing error messages • Console.Out.WriteLine(...) or Console.Error.WriteLine(...) • Error messages on standard output are - in general - a bad idea We identify the following conventional exception handling approaches: • Returning error codes • Like in many C programs • In conflict with a functional programming style, where we need to return data • Set global error status variables • Almost never attractive • Raise and handle exceptions • A special language mechanism to raise an error • Rules for propagation of errors • Special language mechanisms for handling of errors When a function is used in imperative C programming, the value returned by the function can be used to signal an error condition to its caller. Many functions from the standard C library signal errors via the value returned from the function. Unfortunately, varying conventions are applied. In some functions, such as main, a non-zero value communicates a problem to the operating environment. In functions that return pointers (such as malloc) a NULL value typically indicates an error condition. In other functions, such as fgetc and fputc, the distinguished EOF (end of file) value is used as an error value. Other functions, such as mktime, use -1 as an error value. As an supplementing means, a global variable can be used for signaling more details about an error. In C programming, the variable errno from the standard library errno.h is often used. When a function returns an error value (as discussed above), the value of errno is set to a value that gives more details about the error. Some systems use errno as an index to an array of error messages.
  • 314.
    308 Use of errorreturn values and global error variables is not a good solution to the error handling problem. Therefore, most contemporary languages come with more sophisticated facilities for raising, propagating and handling exceptions. The C# error handling facilities are covered specifically in Section 36.2, Section 36.3, and Section 36.7. 34.2. Mixing normal and exceptional cases Lecture 9 - slide 11 Before we enter the area of object-oriented exception handling, and exception handling in C#, we will illustrate the danger of mixing "normal program aspects" and "exceptional program aspects". See also the discussion in Section 33.3. In Program 34.1 a small program, which copies a file into another file, is organized in the Main method in a C# program. The string array passed to Main is supposed to hold the names of the source and target files. Most readers will probably agree that the program fragment shown in Program 34.1 is relatively clear and straightforward. 1 2 3 4 5 6 7 8 9 10 11 12 13 14 15 16 17 18 19 20 using System; using System.IO; public class CopyApp { public static void Main(string[] args) { FileInfo inFile = new FileInfo(args[0]), outFile = new FileInfo(args[1]); FileStream inStr = inFile.OpenRead(), outStr = outFile.OpenWrite(); int c; do{ c = inStr.ReadByte(); if(c != -1) outStr.WriteByte((byte)c); } while (c != -1); inStr.Close(); outStr.Close(); } } Program 34.1 A file copy program. We will now care about possible issues that can go wrong in our file copy program. The result can be seen in Program 34.2, where all red aspects are oriented towards error handling. Some of the error handling issues are quite realistic. Others may be slightly exaggerated with the purpose of making our points.
  • 315.
    309 1 2 3 4 5 6 7 8 9 10 11 12 13 14 15 16 17 18 19 20 21 22 23 24 25 26 27 28 29 30 31 32 33 34 35 36 37 38 39 using System; using System.IO; publicclass CopyApp { public static void Main(string[] args) { FileInfo inFile; do { inFile = new FileInfo(args[0]); if (!inFile.Exists) args[0] = "some other input file name"; } while (!inFile.Exists); FileInfo outFile; do { outFile = new FileInfo(args[1]); if (outFile.Exists) args[1] = "some other output file name"; } while (outFile.Exists); FileStream inStr = inFile.OpenRead(), outStr = outFile.OpenWrite(); int c; do{ c = inStr.ReadByte(); if(c != -1) outStr.WriteByte((byte)c); if (StreamFull(outStr)) DreamCommand("Fix some extra room on the disk"); } while (c != -1); inStr.Close(); if (!FileClosed(inStr)) DreamCommand("Deal with input file which cannot be closed"); outStr.Close(); if (!FileClosed(outStr)) DreamCommand("Deal with output file which cannot be closed"); } } Program 34.2 A file copy program with excessive error handling. The line intervals 8-12 and 15-19 deal with non-existing/existing input/output files respectively. It is a problem if the input file is non-existing, and it may be problematic to overwrite an existing output file. Line 27-28 deals with memory problems, in case there is not enough room for the output file. The line intervals 32-33 and 36-37 address file closing problems. The methods DreamCommand, FileClosed, and StreamFull are imaginary abstractions, which are needed to complete and compile the version of the file copy program shown in Program 34.2. The important lesson to learn from the example above is that the original "normal file copying aspects" in Program 34.1 almost disappears in between the error handling aspects of Program 34.2.
  • 316.
  • 317.
    311 35. Object-oriented ExceptionHandling It may be asked if there is a solid link between object-oriented programming and exception handling. I see two solid object-oriented contributions to error handling. The contributions are (1) representation of an error as an object, and (2) classification of errors in class inheritance hierarchies. These contributions will be explained at an overall level in this chapter. In Chapter 36 we will address the same issues relative to C#. 35.1. Errors as Objects Lecture 9 - slide 13 An error is characterized by several pieces of information. It is attractive to keep these informations together. By keeping relevant error information together it becomes easier to propagate error information from one place in a program to another. Seen in this light, it is obvious that an error should be represented as an object. All relevant knowledge about an error is encapsulated in an object • Encapsulation of relevant error knowledge • Place of occurrence (class, method, line number) • Kind of error • Error message formulation • Call stack information • Transportation of the error • From the place of origin to the place of handling • Via a special throw mechanism in the language An error is an object. Objects are instances of classes. Therefore there will exist classes that describe common properties of errors. In the next section we will discuss the organization of these classes in a class hierarchy. 35.2. Classification of Errors Lecture 9 - slide 14 There are many kinds of errors: Fatal errors, non-fatal errors, system errors, application errors, arithmetic errors, IO errors, software errors, hardware errors, etc. It would be very helpful if we could bring order into this mess. In Section 35.1 we realized that a concrete error can be represented as an instance of a class, and consequently that we can deal with types of errors. Like other types, different types of errors can therefore be organized in type hierarchies. At the programming language level we can define a set of error/classes, and we can organize these in an inheritance hierarchy.
  • 318.
    312 Errors can beclassified and specialized by means of a class hierarchy Figure 35.1 shows an outline of type hierarchy for different kinds of errors. The concrete C# counterpart to this figure is discussed in Section 36.4. Figure 35.1 A sample error classification hierarchy As hinted by the introductory words of this section, there may be several different classifications of errors. The classification in Figure 35.1 only represents one such possibility. If multiple inheritance is available (see Section 27.4 and Section 27.5) multiple error classification schemes may coexist.
  • 319.
    313 36. Exceptions andException Handling in C# Chapter 33, Chapter 34, and Chapter 35 have provided a context for this chapter. Warmed up in this way, we will now discuss different aspects of exceptions and exception handling in C#. 36.1. Exceptions in a C# program Lecture 9 - slide 16 Let us start with an simple example. Several variants of the example will appear throughout this chapter. In Program 36.1 the int table, declared and instantiated in line 6, is accessed by the expression M(table, idx) in line 9. In M we happen to address a non-existing element in the table. Recall that an array of 6 elements holds the elements table[0].. . table[5]. Therefore the cell addressed by table[6] is non-existing. Consequently, the execution of M(table, idx) in line 9 causes an error (index out of range). This is a run- time error, because the error happens when the program is executing. You can see this as a contrast to compile-time errors, which are identified before the program starts. In C#, a run-time error is materialized as an exception, which is an instance of class Exception or one of its subclasses. After its creation the exception is thrown. Throwing an exception means that the exception object is brought to the attention of exception handlers (catchers, see Section 36.3) which have a chance to react on the error condition represented by the exception. In the example shown in Program 36.1 the thrown exception is not handled. 1 2 3 4 5 6 7 8 9 10 11 12 13 14 15 16 17 using System; class ExceptionDemo{ public static void Main(){ int[] table = new int[6]{10,11,12,13,14,15}; int idx = 6; M(table, idx); } public static void M(int[] table, int idx){ Console.WriteLine("Accessing element {0}: {1}", idx, table[idx]); } } Program 36.1 A C# program with an exception. The output of Program 36.1 is shown in Listing 36.2. The effect of the WriteLine command in line 13 never occurs, because the error happens before WriteLine takes effect. The output in Listing 36.2 is therefore produced exclusively by the unhandled exception. We can see that the exception is classified as an IndexOutOfRangeException, which is quite reasonable. We can also see the stack trace from the beginning of the program to the place where the exception is thrown: Main, M (read from bottom to top in Listing 36.2). 1 2 3 4 Unhandled Exception: System.IndexOutOfRangeException: Index was outside the bounds of the array. at ExceptionDemo.M(Int32[] table, Int32 idx) at ExceptionDemo.Main() Listing 36.2 Output from the C# program with an exception.
  • 320.
    314 36.2. The try-catchstatement C# Lecture 9 - slide 17 In Section 36.1 we illustrated an unhandled exception. The error occurred, the exception object was formed, it was propagated through the calling chain, but it was never reacted upon (handled). We will now introduce a new control structure, which allows us to handle exceptions, as materialized by objects of type Exception. Handling an exception imply in some situations that we attempt to recover from the error which is represented by the exception, such that the program execution can continue. In other situations the handling of the exception only involves a few repairs or state changes just before the program terminates. This is typically done to save data or to close connections such that the program can start again when the error in the source program has been corrected. The try-catch statement allows us handle certain exceptions instead of stopping the program The syntax of the new control structure is as shown below. try try-block catch (exception-type-1 name) catch-block-1 catch (exception-type-2 name) catch-block-2 ... Syntax 36.1 The syntax of try-catch statement C# try-block and catch-block-i are indeed block statements. It means that braces {...} are mandatory after try and after catch. Even if only a single action happens in try or catch, the action must be dressed as a block. Let us assume that we are interested in handling the exceptions that are caused by execution of some command c. This can be arranged by embedding c in a try-catch control structure. It can also be arranged if another command d, which directly or indirectly activates c, is embedded in a try-catch control structure. If an exception of a given type occurs, it can be handled in one of the matching catch clauses. A catch clause matches an exception object e, if the type of e is a subtype of exception-type-i (as given in one of the catch clauses). The matching of exceptions and catch clauses are attempted in the order provided by the catch clauses in the try control structure. Notice that each catch clause in addition specifies a name, to which the given exception object will be bound (in the scope of the handler). The names in catch clauses are similar to formal parameter names in methods. Syntax 36.1 does not reflect the whole truth. The names of exceptions, next to the exception types, may be missing. It is even possible to have a catch clause without specification of an exception type. There is also an optional finally clause, which we will discuss in Section 36.9.
  • 321.
    315 36.3. Handling exceptionsin C# Lecture 9 - slide 18 Now that we have introduced the try-catch control structure let us handle the exception in Program 36.1. In Program 36.3 - inside M - around the two activations of WriteLine, we introduce a try-catch construct. If an IndexOutOfRangeException occurs in the try part, the control will be transferred to the neighbor catch part in which we adjust the index (using the method AdjustIndex), and we print the result. The program now prints "We get element number 5: 15". Notice that once we have left the try part, due to an error, we will not come back to the try part again, even if we have repaired the problem. In Program 36.3 this means that the Console.WriteLine call in 16-17 is never executed. After having executed the catch clause in line 19-23, line 24 is executed next, and M returns to Main. 1 2 3 4 5 6 7 8 9 10 11 12 13 14 15 16 17 18 19 20 21 22 23 24 25 26 27 28 29 30 31 32 33 34 35 36 37 38 39 using System; class ExceptionDemo{ public static void Main(){ int[] table = new int[6]{10,11,12,13,14,15}; int idx = 6; M(table, idx); } public static void M(int[] table, int idx){ try{ Console.WriteLine("Accessing element {0}: {1}", idx, table[idx]); Console.WriteLine("Accessing element {0}: {1}", idx-1, table[idx-1]); } catch (IndexOutOfRangeException e){ int newIdx = AdjustIndex(idx,0,5); Console.WriteLine("We get element number {0}: {1}", newIdx, table[newIdx]); } Console.WriteLine("End of M"); } public static int AdjustIndex(int i, int low, int high){ int res; if (i < low) res = low; else if (i > high) res = high; else res = i; return res; } } Program 36.3 A C# program with a handled exception. In the example above we handled the exception in the immediate neighborhood of the offending statement. It is also possible to handle the exception at a more remote place in the program, but always along the path of activated, non-completed methods. We will illustrate this in Section 36.7.
  • 322.
    316 Exercise 9.1. Exceptionsin Convert.ToDouble The static methods in the static class System.Convert are able to convert values of one type to values of another type. Consult the documentation of System.Convert.ToDouble. There are several overloads of this method. Which exceptions can occur by converting a string to a double? Write a program which triggers these exceptions. Finally, supply handlers of the exceptions. The handlers should report the problem on standard output, rethrow the exception, and then continue. 36.4. The hierarchy of exceptions in C# Lecture 9 - slide 19 In this section we will take a concrete look at the classification of exceptions in C#. Our general discussion of this topic can be found in Section 35.2. The following shows an excerpt the Exception class tree in C#. The tree is shown by textual indentation. Thus, the classes ApplicationException and SystemException are sons (and subclasses) of Exception. • Exception • ApplicationException • Your own exception types • SystemException • ArgumentException • ArgumentNullException • ArgumentOutOfRangeException • DivideByZeroException • IndexOutOfRangeException • NullReferenceException • RankException • StackOverflowException • IOException • EndOfStreamException • FileNotFoundException • FileLoadException Notice first that the Exception class tree is not the whole story. There are many more exception classes in the C# libraries than shown above.
  • 323.
    317 Exceptions of typeSystemException are thrown by the common language runtime (the virtual machine) if some error condition occurs. System exceptions are nonfatal and recoverable. As a programmer, you are also welcome to throw a SystemException object (or more precisely, an object of one of the subclasses of SystemException) from a program, which you are writing. An ArgumentException can be thrown if a an operation receives an illegal argument. The programmer of the operation decides which arguments are legal and illegal. The two shown subclasses of ArgumentException reflect that the argument cannot be null and that the argument is outside its legal range respectively. The DivideByZeroException occurs if zero is used as a divisor in a division. The IndexOutOfRangeException occurs if an an array is accessed with an index, which is outside the legal bounds. The NullReferenceExceptions occurs in an expression like ref.name where ref is null instead of a reference to an object. The RankException occurs if an array with the wrong number of dimensions is passed to an operation. The StackOverflowException occurs if the memory space devoted to non- completed method calls is exhausted. The IOException (in the namespace System.IO) reflects different kinds of errors related to file input and file output. ApplicationExceptions are "thrown when a non-fatal application error occurs" (quote from MSDN). The common runtime system throws instances of SystemException, not ApplicationException. Originally, the exception classes that you program in your own code were intended to be subclasses of ApplicationException. In version 3.5 of the .NET framework, Microsoft recommends that your own exceptions are programmed as subclasses of Exception [exceptions-best-practices]. You are encouraged to identify and throw exceptions which are specializations of SystemException. By (re)using existing exception types, it becomes possible for the system, or for third-party program contributions, to catch the exceptions that you throw from your own code. Exercise 9.2. Exceptions in class Stack In the lecture about inheritance we specialized the abstract class Stack. Now introduce exception handling in your non-abstract specialization of Stack. I suggest that you refine your own solution to the previous exercise. It is also possible to refine my solution. More specifically, introduce one or more stack-related exception classes. The slide page "Raising and throwing exceptions in C#" tells you how to do it. Make sure to specialize the appropriate pre-existing exception class! Arrange that Push on a full stack and that Pop/Top on an empty stack throw one of the new exceptions. Also, in the abstract stack class, make sure that ToggleTop throws an exception if the stack is empty, or if the stack only contains a single element. Finally, in a sample client program such as this one, handle the exceptions that are thrown. In this exercises it is sufficient to report the errors on standard output.
  • 324.
    318 Exercise 9.3. Moreexceptions in class Stack In continuation of the previous exercise, we now wish to introduce the following somewhat unconventional handling of stack exceptions: • If you push an element on a full stack throw half of the elements away, and carry out the pushing. • If you pop/top an empty stack, push three dummy elements on the stack, and do the pop/top operation after this. With these ideas, most stack programs will be able to terminate normally (run to the end). I suggest that you introduce yet another specialization of the stack class, which specializes Push, Pop, and Top. The specialized stack operations should handle relevant stack-related exceptions, and delegate the real work to its superclass. Thus, in the specialized stack class, each stack operation, such as Push, you should embed base.push(el) in a try-catch control structure, which repairs the stack - as suggested above - in the catch clause. 36.5. The class System.Exception in C# Lecture 9 - slide 20 The class Exception is the common superclass of all exception classes, and therefore it holds all common data and operations of exceptions. In this section we will examine the class Exception in some details. • Constructors • Parameterless: Exception() • With an explanation: Exception(string) • With an explanation and an inner exception: Exception(string,Exception) • Properties • Message: A description of the problem (string) • StackTrace: The call chain from the point of throwing to the point of catching • InnerException: The exception that caused the current exception • Data: A dictionary of key/value pairs. • For communication in between functions along the exception propagation chain. • Others... Exception is a class (and instances of class Exception represents a concrete error). Therefore there exists constructors of class Exceptions, which (as usual) are used for initialization of a newly allocated Exception object. (See Section 12.4 for a general discussion of constructors).
  • 325.
    319 The most usefulconstructor in class Exception takes a string, which holds an intuitive explanation of the problem. This string will appear on the screen, if a thrown exception remains unhandled. The third constructor, of the form Exception(string,Exception), involves an inner exception. Inner exceptions will be discussed in Section 36.11. As outlined above, an exception has an interface of properties (see Chapter 18) that give access to the data, which are encapsulated by the Exception object. You can access the message (originally provided as input to the constructor), the stack trace, a possible inner exception, and data in terms of a key-value dictionary (used to keep track of additional data that needs to travel together with the exception). For general information about dictionaries, see Chapter 46. 36.6. Handling more than one type of exception in C# Lecture 9 - slide 21 We now continue the example from Section 36.3. In this section we will see how to handle multiple types of exceptions in a single try-catch statement. The scene of Program 36.4 is similar to the scene in Program 36.3. In the catch clauses of the try-catch control structure we handle NullReferenceException and DivideByZeroException. On purpose, we do not yet handle IndexOutOfRangeException. Just wait a moment... 1 2 3 4 5 6 7 8 9 10 11 12 13 14 15 16 17 18 19 20 21 22 23 24 25 26 27 using System; class ExceptionDemo{ public static void Main(){ int[] table = new int[6]{10,11,12,13,14,15}; int idx = 6; M(table, idx); } public static void M(int[] table, int idx){ try{ Console.WriteLine("Accessing element {0}: {1}", idx, table[idx]); } catch (NullReferenceException){ Console.WriteLine("A null reference exception"); throw; // rethrowing the exception } catch (DivideByZeroException){ Console.WriteLine("Divide by zero"); throw; // rethrowing the exception } } } Program 36.4 A C# program with an exception handling attempt - not a success. When we run the program in Program 36.4 the two handlers do not match the exception that occurs (the IndexOutOfRangeException exception). Therefore the exception remains unhandled, and the program stops with the output shown in Listing 36.5.
  • 326.
    320 Notice that wedo not provide names of the exceptions in the catch clauses in Program 36.4. We could do so. But because the names are not used they would cause the compiler to issue warnings. While we are here, let us dwell on the two catch clauses that actually appear in the try-catch statement in Program 36.4. The null reference exception describes the problem of executing r.f in state where r refers to null. The divide by zero exception describes the problem of executing a/b in state where b is zero. The catch clauses report the problems, but they do not handle them. Instead, both catch clauses rethrow the exceptions. This is done by throw in line 19 and 23. By rethrowing the exceptions, an outer exception handler (surrounding the try catch) or exception handlers along the dynamic calling chain will have a chance to make a repair. Reporting the exception is a typical temptation of the programmer. But the reporting itself does not solve the problem! Therefore you should rethrow the exception in order to let another part of the program have to chance to make an effective repair. Rethrowing of exceptions is discussed in Section 36.10. 1 2 3 4 5 Unhandled Exception: System.IndexOutOfRangeException: Index was outside the bounds of the array. at ExceptionDemo.M(Int32[] table, Int32 idx) at ExceptionDemo.Main() Listing 36.5 Output from the C# program with an unhandled exception. It was really too bad that we did not hit the IndexOutOfRangeException exception in Program 36.4. In Program 36.6 we will make a better job. We extend the catch clauses with two new entries. We add the IndexOutOfRangeException and we add the root exception class Exception. Notice that the more general exception classes should always occur at the rear end of the list of catch clauses. The reason is that the catch clauses are consulted in the order they appear. (If the Exception catcher was the first one, none of the other would ever have a chance to take effect). In the concrete example, the IndexOutOfRangeException clause is the first that matches the thrown exception. (Notice that newly added Exception clause also matches, but we never get that far). Therefore we get the output shown in Listing 36.7. 1 2 3 4 5 6 7 8 9 10 11 12 13 14 15 16 17 18 19 20 21 22 23 using System; class ExceptionDemo{ public static void Main(){ int[] table = new int[6]{10,11,12,13,14,15}; int idx = 6; M(table, idx); } public static void M(int[] table, int idx){ try{ Console.WriteLine("Accessing element {0}: {1}", idx, table[idx]); } catch (NullReferenceException){ Console.WriteLine("A null reference exception"); throw; // rethrowing the exception } catch (DivideByZeroException){ Console.WriteLine("Divide by zero"); throw; // rethrowing the exception
  • 327.
    321 24 25 26 27 28 29 30 31 32 33 34 35 36 37 } catch (IndexOutOfRangeException){ int newIdx= AdjustIndex(idx,0,5); Console.WriteLine("We get element number {0}: {1}", newIdx, table[newIdx]); } catch (Exception){ Console.WriteLine("We cannot deal with the problem"); throw; // rethrowing the exception } } } Program 36.6 A C# program with an exception handling attempt - now successful. 1 We get element number 5: 15 Listing 36.7 Output from the C# program with a handled exception. Handle specialized exceptions before general exceptions 36.7. Propagation of exceptions in C# Lecture 9 - slide 22 In the examples shown until now (see Program 36.3, Program 36.4, and Program 36.6) we have handled exceptions close to the place where they are thrown. This is not necessary. We can propagate an exception object to another part of the program, along the chain of the incomplete method activations. In Program 36.8 there is a try-catch statement in M and (as a new thing) also in Main. The local catchers in M do not handle the actual exception (which still is of type index out of range). The handlers in Main do! When the error occurs in M, the local exception handlers all have a chance of handling it. They do not! Therefore the exception is propagated to the caller, which is Main. Due to the propagation of the exception, line 34 of M is never executed. The catchers around the activation of M in Main have a relevant clause that deals with IndexOutOfRangeException. It handles the problem by use of the static method AdjustIndex. After having executed the catch clause in Main, the command after try-catch in Main is executed (line 17). The output of Program 36.8 is shown in Listing 36.9. 1 2 3 4 5 6 7 8 9 10 11 12 13 14 15 16 17 using System; class ExceptionDemo{ public static void Main(){ int[] table = new int[6]{10,11,12,13,14,15}; int idx = 6; try{ M(table, idx); } catch (IndexOutOfRangeException){ int newIdx = AdjustIndex(idx,0,5); Console.WriteLine("We get element number {0}: {1}", newIdx, table[newIdx]); } Console.WriteLine("End of Main");
  • 328.
    322 18 19 20 21 22 23 24 25 26 27 28 29 30 31 32 33 34 35 36 37 } public static voidM(int[] table, int idx){ try{ Console.WriteLine("Accessing element {0}: {1}", idx, table[idx]); } catch (NullReferenceException){ Console.WriteLine("A null reference exception"); throw; // rethrowing the exception } catch (DivideByZeroException){ Console.WriteLine("Dividing by zero"); throw; // rethrowing the exception } Console.WriteLine("End of M"); } } Program 36.8 A C# program with simple propagation of exception handling. 1 2 We get element number 5: 15 End of Main Listing 36.9 Output from the C# program simple propagation. In order to illustrate a longer error propagation chain, we now in Program 36.10 introduce the calling chain Main → M → N → P 1 2 3 4 5 6 7 8 9 10 11 12 13 14 15 16 17 18 19 20 21 22 23 24 25 26 27 28 29 30 31 using System; class ExceptionDemo{ public static void Main(){ int[] table = new int[6]{10,11,12,13,14,15}; int idx = 6; Console.WriteLine("Main"); try{ M(table, idx); } catch (IndexOutOfRangeException){ M(table, AdjustIndex(idx,0,5)); } } public static void M(int[] table, int idx){ Console.WriteLine("M(table,{0})", idx); N(table,idx); } public static void N(int[] table, int idx){ Console.WriteLine("N(table,{0})", idx); P(table,idx); } public static void P(int[] table, int idx){ Console.WriteLine("P(table,{0})", idx); Console.WriteLine("Accessing element {0}: {1}", idx, table[idx]);
  • 329.
    323 32 33 34 } } Program 36.10 AC# program with deeper exception propagation chain. The error occurs in P, and it is handled in Main. Here is what happens when the expression M(table, idx) in line 11 is executed: 1. The method M calls method N , N calls P , and in P an exception is thrown. 2. The error is propagated back from P to Main via N and M , because there are no (relevant) handlers in P , N or M . 3. The exception is handled in Main , and as part of the handling M is called again: M(table, AdjustIndex(idx,0,5)) . 4. As above, M calls N , N calls P , and P calls WriteLine . Now no errors occur. Due to the tracing calls of WriteLine in Main, M, N, and P the output shown in Listing 36.11, in part, confirms the story told about. To obtain the full confirmation, consult Exercise 9.4. 1 2 3 4 5 6 7 8 Main M(table,6) N(table,6) P(table,6) M(table,5) N(table,5) P(table,5) Accessing element 5: 15 Listing 36.11 Output from the C# program deeper exception propagation. Notice the yo-yo effect caused by the error deep in the calling chain. Exercise 9.4. Revealing the propagation of exceptions We have written a program that reveals how exceptions are propagated. In the program output, we see that the calling chain is Main, M, N, P. The program output does not, however, reveal that the chain is followed in reverse order in an attempt to find an appropriate exception handler. Revise the program with handlers in M, N, and P that touch the exception without actually handling it. The handlers should reveal, on standard output, that P, N, and M are passed in an attempt to locate a relevant exception handler. Rethrow the exception in each case.
  • 330.
    324 36.8. Raising andthrowing exceptions in C# Lecture 9 - slide 23 The IndexOutOfRangeException, which we have worked with in the previous sections, was raised by the system, as part of an illegal array indexing. We will now show how to explicitly raise an exception in our own program. We will also see how to define our own subclass of class ApplicationException. The syntax of throw appears in in Syntax 36.2 and a simple example is shown next in Program 36.12. Notice the athletic metaphor behind throwing and catching. throw exception-object Syntax 36.2 The syntax of exception throwing in C# 1 2 3 ... throw new MyException("Description of problem"); ... Program 36.12 A throw statement in C#. It is simple to define the class MyException as subclass of ApplicationException, which in turn is a subclass of Exception, see Section 36.4. Notice the convention that our own exception classes are subclasses of ApplicationException. 1 2 3 4 5 class MyException: ApplicationException{ public MyException(String problem): base(problem){ } } Program 36.13 Definition of the exception class. It is recommended to adhere to a coding style where the suffixes (endings) of exception class names are "...Exception". 36.9. Try-catch with a finally clause Lecture 9 - slide 24 A try-catch control structure can be ended with an optional finally clause. Thus, we really deal with a try- catch-finally control structure. In this section we will study the finally clause. The syntax of try-catch-finally, shown in Syntax 36.3, is a natural extension of the try-catch control structure illustrated in Syntax 36.1. try-block, catch-block, and finally-block are all block statements. As explained in Section 36.2 is means that braces {...} are mandatory after try, catch, and finally.
  • 331.
    325 try try-block catch (exception-type name) catch-block ... finally finally-block Syntax36.3 The syntax of the try-catch-finally statement C# At least one catch or finally clause must appear in a try statement. The finally clause will be executed in all cases, both in case of errors, in case of error-free execution of try part, and in cases where the control is passed out of try by means of a jumping command. We will now, in Program 36.14 study an example of a try-catch-finally statement. Main of Program 36.14 arranges that M is called (in line 30) for each value in the enumeration type Control (line 6). Inside the static method M we illustrate a number of possible ways out of M: 1. If reason is Returning , M calls return . 2. If reason is Jumping , M calls goto which brings the control outside try-catch-finally. 3. If reason is Continue , continue forces the for loop to the next iteration, which is non-existing. The call of continue leaves the try-catch-finally abruptly. 4. If reason is Breaking , break breaks out of the for loop, and try-catch-finally is left abruptly. 5. If reason is Throwing , an Exception is thrown. The exception is "handled" locally. 6. If reason is 5, the expression (Control)i does not hit a value in the Control enumeration type. This causes execution and termination of the try clause, in particular the execution of WriteLine in line 17. 1 2 3 4 5 6 7 8 9 10 11 12 13 14 15 16 17 18 19 20 21 22 23 24 25 using System; class FinallyDemo{ internal enum Control {Returning, Jumping, Continuing, Breaking, Throwing, Normal} public static void M(Control reason){ for(int i = 1; i <= 1; i++) // a single iteration try{ Console.WriteLine("nEnter try: {0}", reason); if (reason == Control.Returning) return; else if (reason == Control.Jumping) goto finish; else if (reason == Control.Continuing) continue; else if (reason == Control.Breaking) break; else if (reason == Control.Throwing) throw new Exception(); Console.WriteLine("Inside try"); } catch(Exception){ Console.WriteLine("Inside catch"); } finally{ Console.WriteLine("Inside finally"); } finish: return;
  • 332.
    326 26 27 28 29 30 31 32 } public static voidMain(){ for(int i = 0; i <= 5; i++) M((Control)i); } } Program 36.14 Illustration of try-catch-finally. The outcome of the example in Program 36.14 can be seen in the program output in Listing 36.15. So please take a careful look at it. 1 2 3 4 5 6 7 8 9 10 11 12 13 14 15 16 17 18 19 Enter try: Returning Inside finally Enter try: Jumping Inside finally Enter try: Continuing Inside finally Enter try: Breaking Inside finally Enter try: Throwing Inside catch Inside finally Enter try: Normal Inside try Inside finally Listing 36.15 Output from the try-catch-finally program. As it appears, the finally clause is executed in each of the six cases enumerated above. Thus, it is not possible to bypass a finally clause of a try-catch-finally control structure. The finally clause is executed independent of the way we execute and leave the try clause. You should place code in finally clauses of try-catch-finally or try-finally which should be executed in all cases, both in case or "normal execution", in case of errors, and in case of exit-attempts via jumping commands. 36.10. Rethrowing an exception Lecture 9 - slide 25 We will now study the idea of rethrowing an exception. We have already encountered and discussed exception rethrowing in Section 36.6 (see Program 36.4). • Rethrowing • Preserving information about the original exception, and the call chain • Usually recommended
  • 333.
    327 In Program 36.16we illustrate rethrowing by means of the standard example of this chapter. The situation is as follows: 1. Main calls M , M calls N , N calls P . 2. In P an IndexOutOfRangeException exception is thrown as usual. 3. On its way back the calling chain, the exception is caught in N . But N regrets, and rethrows the exception. 4. The exception is passed unhandled through M and Main . 1 2 3 4 5 6 7 8 9 10 11 12 13 14 15 16 17 18 19 20 21 22 23 24 25 26 27 28 29 30 31 32 33 34 using System; class ExceptionDemo{ public static void Main(){ Console.WriteLine("Main"); int[] table = new int[6]{10,11,12,13,14,15}; int idx = 6; M(table, idx); } public static void M(int[] table, int idx){ Console.WriteLine("M(table,{0})", idx); N(table,idx); } public static void N(int[] table, int idx){ Console.WriteLine("N(table,{0})", idx); try{ P(table,idx); } catch (IndexOutOfRangeException e){ // Will not/cannot handle exception here. // Rethrow original exception. throw; } } public static void P(int[] table, int idx){ Console.WriteLine("P(table,{0})", idx); Console.WriteLine("Accessing element {0}: {1}", idx, table[idx]); } } Program 36.16 Rethrowing an exception. The output of Program 36.16 is shown in Listing 36.17. From the stack trace in Listing 36.17 it does not appear that the static method N actually has touched (and "smelled to") the exception. This is a main point of this example.
  • 334.
    328 1 2 3 4 5 6 7 8 9 10 11 12 Main M(table,6) N(table,6) P(table,6) Unhandled Exception: System.IndexOutOfRangeException: Index wasoutside the bounds of the array. at ExceptionDemo.P(Int32[] table, Int32 idx) at ExceptionDemo.N(Int32[] table, Int32 idx) at ExceptionDemo.M(Int32[] table, Int32 idx) at ExceptionDemo.Main() Listing 36.17 Output from the program that rethrows an exception. Touching, but not handling the exception An outer handler will see the original exception 36.11. Raising an exception in an exception handler Lecture 9 - slide 26 We will now study an alternative to rethrowing, as discussed and illustrated in Program 36.16. • Raising and throwing a new exception • Use this approach if you, of some reason, want to hide the original exception • Security, simplicity, ... • Consider propagation of the inner exception In Program 36.18 we show a program similar to the program discussed in the previous section. Instead of rethrowing the exception in N, we throw a new instance of IndexOutOfRangeException. As can be seen in Listing 36.19 this affects the stack trace. From the outside, we can no longer see that the problem occurred in P. 1 2 3 4 5 6 7 8 9 10 11 12 13 14 15 16 17 using System; class ExceptionDemo{ public static void Main(){ int[] table = new int[6]{10,11,12,13,14,15}; int idx = 6; M(table, idx); } public static void M(int[] table, int idx){ Console.WriteLine("M(table,{0})", idx); N(table,idx); } public static void N(int[] table, int idx){ Console.WriteLine("N(table,{0})", idx);
  • 335.
    329 18 19 20 21 22 23 24 25 26 27 28 29 30 31 32 try{ P(table,idx); } catch (IndexOutOfRangeException e){ //Will not/can no handle here. Raise new exception. throw new IndexOutOfRangeException("Index out of range"); } } public static void P(int[] table, int idx){ Console.WriteLine("P(table,{0})", idx); Console.WriteLine("Accessing element {0}: {1}", idx, table[idx]); } } Program 36.18 Raising and throwing a new exception. 1 2 3 4 5 6 7 8 9 M(table,6) N(table,6) P(table,6) Unhandled Exception: System.IndexOutOfRangeException: Index out of range at ExceptionDemo.N(Int32[] table, Int32 idx) at ExceptionDemo.M(Int32[] table, Int32 idx) at ExceptionDemo.Main() Listing 36.19 Output from the program that raises a new exception. As a final option, we may wish to reflect, in relation to the client, that the problem actually occurred in P. This can be done by passing an inner exception to the new exception, as constructed in line 24 of Program 36.20. Notice the effect this has on the stack trace in Listing 36.21. 1 2 3 4 5 6 7 8 9 10 11 12 13 14 15 16 17 18 19 20 21 22 23 24 25 26 27 28 29 using System; class ExceptionDemo{ public static void Main(){ int[] table = new int[6]{10,11,12,13,14,15}; int idx = 6; M(table, idx); } public static void M(int[] table, int idx){ Console.WriteLine("M(table,{0})", idx); N(table,idx); } public static void N(int[] table, int idx){ Console.WriteLine("N(table,{0})", idx); try{ P(table,idx); } catch (IndexOutOfRangeException e){ // Will not/cannot handle exception here. // Raise new exception with propagation of inner exception. throw new IndexOutOfRangeException("Index out of range", e); } } public static void P(int[] table, int idx){ Console.WriteLine("P(table,{0})", idx);
  • 336.
    330 30 31 32 33 Console.WriteLine("Accessing element {0}:{1}", idx, table[idx]); } } Program 36.20 Raising and throwing a new exception, propagating original inner exception. 1 2 3 4 5 6 7 8 9 10 11 12 13 M(table,6) N(table,6) P(table,6) Unhandled Exception: System.IndexOutOfRangeException: Index out of range ---> System.IndexOutOfRangeException: Index was outside the bounds of the array. at ExceptionDemo.P(Int32[] table, Int32 idx) at ExceptionDemo.N(Int32[] table, Int32 idx) --- End of inner exception stack trace --- at ExceptionDemo.N(Int32[] table, Int32 idx) at ExceptionDemo.M(Int32[] table, Int32 idx) at ExceptionDemo.Main() Listing 36.21 Output from the program that raises a new exception, with inner exception.
  • 337.
    331 36.12. Recommendations aboutexception handling Lecture 9 - slide 29 We are now almost done with exception handling. We will now formulate a few recommendations that are related to exception handling. • Control flow • Do not use throw and try-catch as iterative or conditional control structures • Normal control flow should be done with normal control structures • Efficiency • It is time consuming to throw an exception • It is more efficient to deal with the problem as a normal program aspect - if possible • Naming • Suffix names of exception classes with "Exception" • Exception class hierarchy • Your own exception classes should be subclasses of ApplicationException • Or alternatively (as of a more recent recommendation) of Exception. • Exception classes • Prefer predefined exception classes instead of programming your own exception classes • Consider specialization of existing and specific exception classes • Catching • Do not catch exceptions for which there is no cure • Leave such exceptions to earlier (outer) parts of the call-chain • Burying • Avoid empty handler exceptions - exception burrying • If you touch an exception without handling it, always rethrow it 36.13. References [Exceptions-best- practices] Best practices for handling exceptions (MSDN) http://msdn.microsoft.com/en-us/library/seyhszts.aspx
  • 338.
  • 339.
    333 37. Streams We arenow about to start the first chapter in the lecture about Input and Output (IO). Traditionally, IO deals with transfer of data to/from secondary storage, most notably disks. IO also covers the transmission of data to/from networks. In this and the following chapters we will study the classes that are related to input and output. This includes file and directory classes. At the abstract level, the Stream class is the most important class in the IO landscape. Therefore we choose to start the IO story with an exploration of streams, and an understanding of the Stream class in C#. This includes several Stream subclasses and several client classes of Stream. The clients we have in mind are the so-called reader and writer classes. 37.1. The Stream Concept Lecture 10 - slide 2 A stream is an abstract concept. A stream is a connection between a program and a storage/network. Essentially, we can read data from the stream into a program, or we can write data from a program to the stream. This understanding of a stream is illustrated in Figure 37.1. Figure 37.1 Reading from and writing to a stream A stream is a flow of data from a program to a backing store, or from a backing store to a program The program can either write to a stream, or read from a stream. Stream and stream processing includes the following: • Reading from or writing to files in secondary memory (disk) • Reading from or writing to primary memory (RAM) • Connection to the Internet • Socket connection between two programs The second item (reading and writing to/from primary memory) seems to be special compared to the others. Sometimes it may be attractive to have files in primary memory, and therefore it is natural that we should be able to use stream operation to access such files as well. In other situations, we wish to use internal data structures as sources or destinations of streams. It is, for instance, typical that we wish to read and write data from/to strings. We will see how this can be done in Section 37.14.
  • 340.
    334 37.2. The abstractclass Stream in C# Lecture 10 - slide 3 The Stream class in C# is an abstract class (see Section 30.1). It belongs to the System.IO namespace, together with a lot other IO related types. The abstract Stream class provides a generic view on different kinds of sources and destinations, and it isolates client classes from the operating system details of these. The Stream class supports both synchronous and asynchronous IO operations. Client classes that invoke a synchronous operation wait until the operation is completed before they can initiate other operations or actions. Use of a synchronous operation is not a problem if the operation is fast. Many IO operations on secondary storage are, however, very slow seen relative to the speed of the operations on primary storage. Therefore it may in some circumstances be attractive to initiate an IO operation, do something else, and consult the result of the IO operation at a later point in time. In order to provide for this, the Stream class supports the asynchronous IO operations BeginRead and BeginWrite. In the current version of the material we do not cover the asynchronous operations. Let us now look at the most important operations on streams. The italic names refer to abstract methods. The abstract methods will be implemented in non-abstract subclasses of Stream. • int Read (byte[] buf, int pos, int len) • int ReadByte() • void Write (byte[] buf, int pos, int len) • void WriteByte(byte b) • bool CanRead • bool CanWrite • bool CanSeek • long Length • void Seek (long offset, SeekOrigin org) • void Flush () • void Close() In order to use Read you should allocate a byte array and pass (a reference to) this array as the first parameter of Read. The call Read(buf, p, lgt) reads at most lgt bytes, and stores them in buf[p] ... buf[p+lgt-1]. Read returns the actual number of characters read, which can be less than lgt. Write works in a similar way. We assume that a number of bytes are stored in an existing byte array called buf. The call Write(buf, p, lgt) writes lgt bytes, buf[p] ... buf[p+lgt-1], to the stream. As you can see, only ReadByte and WriteByte are non-abstract methods. ReadByte returns the integer value of the byte being read, or -1 in case that the end of the stream has bee encountered. The two operations ReadByte and WriteByte rely on Read and Write. Internally, ReadByte calls Read on a one-byte array, it accesses this byte, and it returns this byte. WriteByte works in a similar way. Based on these informations, it is not surprising that it is recommended to redefine ReadByte and WriteByte in specialized Stream classes. The default implementations of ReadByte and WriteByte are simply too inefficient. The redefinitions should be able to profit from internal buffering. The explanations of Read in relation to ReadByte (and Write in relation to WriteByte) may seem a little surprising. Why not have ReadByte as an abstract method, and Read as a non-abstract method, which once and for all is implemented in class Stream by multiple calls of ReadByte? Such a design seems to be ideal:
  • 341.
    335 The task ofimplementing ReadByte in subclasses is easy, and no subclass should ever need to implement Read. The reason behind the actual design of the abstract Stream class is - of course - efficiency. The basic read and write primitives of streams should provide for efficient reading and writing. It is typically inefficient to read a single byte from a file. On many types of hardware (such as harddisks) we always read many bytes at a time. The design of the read and write operations of stream take advantage of this observation. It is not possible to read, write, and seek in all streams. Therefore it is possible to query a stream for its actual capabilities. The boolean operations (properties) CanRead, CanWrite, CanSeek are used for such querying. The static field Null represents a stream without a backing store. Null is a public static field of type Stream in the abstract class Stream. If you, for some reason, wish to discard the data that you write, you can write it to Stream.Null. You can also read from Stream.Null; This will always give zero as result, however. 37.3. Subclasses of class Stream Lecture 10 - slide 5 The abstract class Stream is the superclass of a number of non-abstract classes. Below we list the most important of these. Like the class Stream, many of the subclasses of Stream belong to the System.IO namespace. • System.IO.FileStream • Provides a stream backed by a file from the operating system • System.IO.BufferedStream • Encapsulates buffering around another stream • System.IO.MemoryStream • Provides a stream backed by RAM memory • System.Net.Sockets.NetworkStream • Encapsulates a socket connection as a stream • System.IO.Compression.GZipStream • Provides stream access to compressed data • System.Security.Cryptography.CryptoStream • Write encrypts and Read decrypts • And others... We show example uses of class FileStream in Section 37.4 and Section 37.6. Please notice, however, that file IO is typically handled through one of the reader and writer classes, which behind the scene delegates the work to a Stream class. We have a lot more to say about the reader and writer classes later in this material. Section 37.9 will supply you with an overview of the reader and writer classes in C#. The class BufferedStream is intended to be used as a so-called decorator of another stream class. In Section 40.1 we discuss the Decorator design pattern. The concrete example of Decorator, which we will discuss in Section 40.2, involves compressed streams. Notice that it is not relevant to use buffering on FileStream, because it natively makes use of buffering.
  • 342.
    336 37.4. Example: Filestreams Lecture10 - slide 6 FileStream IO, as illustrated by the examples in this section, is used for binary input and output. It means that the FileStream operations transfer raw chuncks of bits between the program and the file. The bits are not interpreted. As a contrast, the reader and writer classes introduced in Section 37.9 interpret and transforms the raw binary data to values in C# types. Let us show a couple of very simple programs that write to and read from filestreams. Figure 37.1 writes bytes corresponding to the three characters 'O', 'O', and 'P' to the file myFile.bin. Notice that we do not write characters, but numbers that belong to the simple type byte. The file opening is done via construction of the FileStream object in Create mode. Create is a value in the enumeration type FileMode in the namespace System.IO. File closing is done by the Close method. 1 2 3 4 5 6 7 8 9 10 11 using System.IO; class ReadProg { static void Main() { Stream s = new FileStream("myFile.bin", FileMode.Create); s.WriteByte(79); // O 01001111 s.WriteByte(79); // O 01001111 s.WriteByte(80); // P 01010000 s.Close(); } } Program 37.1 A program that writes bytes corresponding to 'O' 'O' 'P' to a file stream. After having executed the program in Figure 37.1 the file myFile.bin exists. Program 37.2 reads it. We create a FileStream object in Open mode, and we read the individual bytes with use of the ReadByte method. In line 11 and 12 we illustrate what happens if we read beyond the end of the file. We see that ReadByte in that case returns -1. The number -1 is not a value in type byte, which supports the range 0..255. Therefore the type of the value returned by ReadByte is int. 1 2 3 4 5 6 7 8 9 10 11 12 13 14 15 16 17 using System; using System.IO; class WriteProg { static void Main() { Stream s = new FileStream("myFile.bin", FileMode.Open); int i, j, k, m, n; i = s.ReadByte(); // O 79 01001111 j = s.ReadByte(); // O 79 01001111 k = s.ReadByte(); // P 80 01010000 m = s.ReadByte(); // -1 EOF n = s.ReadByte(); // -1 EOF Console.WriteLine("{0} {1} {2} {3} {4}", i, j, k, m, n); s.Close(); } } Program 37.2 A program that reads the written file.
  • 343.
    337 37.5. The usingcontrol structure Lecture 10 - slide 7 The simple file reading and writing examples in Section 37.4 show that file opening (in terms of creating the FileStream object) and file closing (in terms of sending a Close message to the stream) appear in pairs. This inspires a new control structure which ensures that the file always is closed when we are done with it. The syntax of the using construct is explained below. using (type variable = initializer) body Syntax 37.1 The syntax of the using statement C# The meaning (semantics) of the using construct is the following: • In the scope of using, bind variable to the value of initializer • The type must implement the interface IDisposable • Execute body with the established name binding • At the end of body do variable.Dispose • The Dispose methods in the subclasses of Stream call Close We encountered the interface IDisposable when we studied the interfaces in the C# libraries, see Section 31.4. The interface IDisposable prescribes a single method, Dispose, which in general is supposed to release resources. The abstract class Stream implements IDisposable, and the Dispose method of class Stream calls the Stream Close method. Program 37.3 is a reimplementation of Program 37.1 that illustrates the using construct. Notice that we do not explicitly call Close in Program 37.3. 1 2 3 4 5 6 7 8 9 10 11 using System.IO; class ReadProg { static void Main() { using(Stream s = new FileStream("myFile.txt", FileMode.Create)){ s.WriteByte(79); // O 01001111 s.WriteByte(79); // O 01001111 s.WriteByte(80); // P 01010000 } } } Program 37.3 The simple write-program programmed with 'using'. The following fragment shows what is actually covered by a using construct. Most important, a try-finally construct is involved, see Section 36.9. The use of try-finally implies that Dispose will be called independent of the way we leave body. Even if we attempt to exit body with a jump or via an exception, Dispose will be called.
  • 344.
    338 1 2 3 4 5 6 7 8 9 10 11 12 13 14 15 16 // The usingstatement ... using (type variable = initializer) body // ... is equivalent to the following try-finally statement {type variable = initializer; try { body } finally { if (variable != null) ((IDisposable)variable).Dispose(); } } Program 37.4 The control structure 'using' defined by 'try- finally'. 37.6. More FileStream Examples Lecture 10 - slide 8 We will show yet another simple example of FileStreams, namely a static method that copies one file to another. 1 2 3 4 5 6 7 8 9 10 11 12 13 14 15 16 17 18 19 20 21 22 23 24 25 26 27 28 using System; using System.IO; public class CopyApp { public static void Main(string[] args) { FileCopy(args[0], args[1]); } public static void FileCopy(string fromFile, string toFile){ try{ using(FileStream fromStream = new FileStream(fromFile, FileMode.Open)){ using(FileStream toStream = new FileStream(toFile, FileMode.Create)){ int c; do{ c = fromStream.ReadByte(); if(c != -1) toStream.WriteByte((byte)c); } while (c != -1); } } } catch(FileNotFoundException e){ Console.WriteLine("File {0} not found: ", e.FileName); throw; }
  • 345.
    339 29 30 31 32 33 34 35 catch(Exception){ Console.WriteLine("Other file copyexception"); throw; } } } Program 37.5 A FileCopy method in a source file copy-file.cs - uses two FileStreams. Exercise 10.1. A variant of the file copy program The purpose of this exercise is to train the use of the Read method in class Stream, and subclasses of class Stream. Write a variant of the file copy program. Your program should copy the entire file into a byte array. Instead of the method ReadByte you should use the Read method, which reads a number of bytes into a byte array. (Please take careful look at the documentation of Read in class FileStream before you proceed). After this, write out the byte array to standard output such that you can make sure that the file is correctly read. Are you able to read the entire file with a single call to Read? Or do you prefer to read chunks of a certain (maximum) size? 37.7. The class Encoding Lecture 10 - slide 10 Before we study the reader and writer classes we will clarify one important topic, namely encodings. The problem is that a byte (as represented by a value of type byte) and a character (as represented as value of type char) are two different things. In the old days they were basically the same, or it was at least straightforward to convert one to the other. In old days there were at most 256 different characters available at a given point in time (corresponding to a straightforward encoding of a single character in a single byte). Today, the datatype char should be able to represent a wide variety of different characters that belong to different alphabets in different cultures. We still need to represent a character by means of a number of bytes, because a byte is a fundamental unit in most software and in most digital hardware. As a naive approach, we could go for the following solution: We want to be able to represent a maximum of, say, 200000 different characters. For this purpose we need log2(200000) bits, which is 18 bits. If we operate in units if 8 bits (= one byte) we see that we need at least 3 bytes per characters. Most likely, we will go for 4 bytes per character, because it fits much better with the word length of most computers. Thus, the byte size of a text will now be four times the size of an ASCII text. This is not acceptable because it would bloat the representation of text files on secondary disk storage. As of 2007, the Unicode standard defines more than 100000 different characters. Unicode organizes characters in a number of planes of up to 216 (= 65536) characters. The Basic Multilingual Plane - BMP - contains the most common characters.
  • 346.
    340 Encodings are inventedto solve the problem that we have outlined above. An encoding is a mapping between values of type character (a code point number between 0 and 200000 in our case) to a sequence of bytes. The naive approach outlined above represents a simple encoding, in which we need 4 bytes even for the original ASCII characters. It is attractive, however, if characters in the original, 7-bit ASCII alphabet can be encoded in a single byte. The price of that may very well be that some rarely used characters will need considerable more bytes for their encoding. Let us remind ourselves that in C#, the type char is represented as 16 bit entities (Unicode characters) and that a string is a sequence of values of type char. We have already touched on this in Section 6.1. At the time Unicode was designed, it was hypothesized that 16 bits was enough to to represent all characters in the world. As mentione above, this turned out not to be true. Therefore the type char in C# is not big enough to hold all Unicode characters. The remedy is to use multiple char values for representation of a single Unicode character. We see that history repeats itself... An encoding is a mapping between characters/strings and byte arrays An object of class System.Text.Encoding represents knowledge about a particular character encoding Let us now review the operations in class Encoding:, which is located in the namespace System.Text : • byte[] GetBytes(string) Instance method • byte[] GetBytes(char[]) Instance method • Encodes a string/char array to a byte array relative to the current encoding • char[] GetChars(byte[]) Instance method • Decodes a byte array to a char array relative to the current encoding • byte[] Convert(Encoding, Encoding, byte[]) Static method • Converts a byte array from one encoding (first parameter) to another encoding (second parameter) The method GetBytes implements the encoding in the direction of characters to byte sequences. In concrete terms, the method GetBytes transforms a String or an array of chars to a byte array. The inverse method, GetChars converts an array of bytes to the corresponding array of characters. On a given string str and for a given encoding e e.GetChars(e.GetBytes(str)) corresponds to str. For given encodings e1 and e2, and for some given byte array ba supposed to be encoded in e1, Convert(e1,e2,ba) is equivalent to e2.GetBytes(e1.GetChars(ba)). 37.8. Sample use of class Encoding Lecture 10 - slide 11 Now that we understand the idea behind encodings, let us play a little with them. In Program 37.6 we make a number different encodings, and we convert a given string to some of these encodings. We explain the details after the program.
  • 347.
    341 1 2 3 4 5 6 7 8 9 10 11 12 13 14 15 16 17 18 19 20 21 22 23 24 25 26 27 28 29 30 31 32 33 34 35 36 37 38 39 40 41 42 43 44 45 using System; using System.Text; /*Adapted from an example provided by Microsoft */ class ConvertExampleClass{ public static void Main(){ string unicodeStr = // "A æ u å æ ø i æ å" "A u00E6 u u00E5 u00E6 u00F8 i u00E6 u00E5"; // Different encodings. Encoding ascii = Encoding.ASCII, unicode = Encoding.Unicode, utf8 = Encoding.UTF8, isoLatin1 = Encoding.GetEncoding("iso-8859-1"); // Encodes the characters in a string to a byte array: byte[] unicodeBytes = unicode.GetBytes(unicodeStr), asciiBytes = ascii.GetBytes(unicodeStr), utf8Bytes = utf8.GetBytes(unicodeStr), isoLatin1Bytes = utf8.GetBytes(unicodeStr); // Convert from byte array in unicode to byte array in utf8: byte[] utf8BytesFromUnicode = Encoding.Convert(unicode, utf8, unicodeBytes); // Convert from byte array in utf8 to byte array in ascii: byte[] asciiBytesFromUtf8 = Encoding.Convert(utf8, ascii, utf8Bytes); // Decodes the bytes in byte arrays to a char array: char[] utf8Chars = utf8.GetChars(utf8BytesFromUnicode); char[] asciiChars = ascii.GetChars(asciiBytesFromUtf8); // Convert char[] to string: string utf8String = new string(utf8Chars), asciiString = new String(asciiChars); // Display the strings created before and after the conversion. Console.WriteLine("Original string: {0}", unicodeStr); Console.WriteLine("String via UTF-8: {0}", utf8String); Console.WriteLine("Original string: {0}", unicodeStr); Console.WriteLine("ASCII converted string: {0}", asciiString); } } Program 37.6 Sample encodings, conversions, and decodings of a string of Danish characters. In line 7 we declare a sample string, unicodeStr, which we initialize to a string with plenty of national Danish characters. We notate the string with escape notation udddd where d is a hexadecimal digit. We could, as well, have used the string constant in the comment at the end of line 7. In line 11-14 we make a number of instances of class Encoding. Some common Encoding objects can be accessed conveniently via static properties of class Encoding. The UTF-8 encoding can in that way be accessed with Encoding.UTF8. The static method GetEncoding accesses an encoding via the name of the encoding. (In order to get access to all supported encodings, the static method GetEncodings (plural) is useful). The ISO Latin 1 encoding is accessed via use with use of GetEncoding in line 14. In line 17-20 we convert the string unicodeStr to byte arrays in different encodings. For this purpose we use the instance method GetBytes.
  • 348.
    342 Next, in line22-28, we show how to use the static method Convert to convert a byte array in one encoding to a byte array in another encoding. In line 30-32 it is shown how to convert byte arrays in a particular encoding to a char array. It is done by the instance method GetChars. We most probably wish to obtain a string instead of a char array. For that purpose we just use an appropriate String constructor, as shown in line 34-36. In line 38-43 we display the values of utf8String and asciiString, and for comparison we also print the original unicodeStr. The printed result is shown in Listing 37.7. It is not surprising that the national Danish characters cannot be represented in the ASCII character set. The Danish characters are (ambiguously) translated to '?'. 1 2 3 4 Original string: A æ u å æ ø i æ å String via UTF-8: A æ u å æ ø i æ å Original string: A æ u å æ ø i æ å ASCII converted string: A ? u ? ? ? i ? ? Listing 37.7 Output from the Encoding program. Exercise 10.2. Finding the encoding of a given text file Make a UTF-8 text file with some words in Danish. Be sure to use plenty of special Danish characters. You may consider to write a simple C# program to create the file. You may also create the text file in another way. In this exercise you should avoid writing a byte order mark (BOM) in your UTF-8 text file. (A BOM in the UTF-8 text file may short circuit the decoding we are asking for later in the exercise). One way to avoid the BOM is to denote the UTF-8 encoding with new UTF8Encoding(), or equivalently new UTF8Encoding(false). You may want to consult the constructors in class UFT8Encoding for more information. Now write a C# program which systematically - in a loop - reads the text file six times with the following objects of type Encoding: ISO-8859-1, UTF-7, UTF-8, UTF-16 (Unicode), UTF32, and 7 bits ASCII. More concretely, I suggest you make a list of six encoding objects. For each encoding, open a TextReader and read the entire file (with ReadToEnd, for instance) with the current encoding. Echo the characters, which you read, to standard output. You should be able to recognize the correct, matching encoding (UTF-8) when you see it. 37.9. Readers and Writers in C# Lecture 10 - slide 9 In the rest of this chapter we will explore a family of so-called reader and writer classes. In most practical cases one or more of these classes are used for IO purposes instead of a Stream subclass, see Section 37.2. Table 37.1 provides an overview of the reader and writer classes. In the horizontal dimension we have input (readers) and output (writers). In the vertical dimension we distinguish between binary (bits structured as bytes) and text (char/string) IO.
  • 349.
    343 Input Output Text TextReader StreamReader StringReader TextWriter StreamWriter StringWriter Binary BinaryReaderBinaryWriter Table 37.1 An overview of Reader and Writer classes The class Stream and its subclasses are oriented towards input and output of bytes. In contrast, the reader and writer classes are able to deal with input and output of characters (values of type char) and values of other simple types. Thus, the reader and writer classes operate at a higher level of abstraction than the stream classes. In Section 37.3 we listed some important subclasses of class Stream. We will now discuss how the reader and writer classes in Table 37.1 are related to the stream classes. None of the classes in Table 37.1 inherit from class Stream. Rather, they delegate part of their work to a Stream class. Thus, the reader and writer classes aggregate (have a) Stream class together with other pieces of data. The class StreamReader, StreamWriter, BinaryReader, and BinaryWriter all have constructors that take a Stream class as parameter. In that way, it is possible to build such readers and writes on a Stream class. TextReader and TextWriter in Table 37.1 are abstract classes. Their subclasses StringReader and StringWriter are build on strings rather than on streams. We have more to say about StringReader and StringWriter in Section 37.14. In the following sections we will rather systematically describe the reader and writer classes in Table 37.1, and we will show examples of their use. 37.10. The class TextWriter Lecture 10 - slide 12 In this section we discuss the abstract class TextWriter, and not least its non-abstract subclass StreamWriter. We cover the sibling classes StringWriter and StringReader in Section 37.14. Most important, class TextWriter supports writing of text - characters and strings - via a chosen encoding. Encodings were discussed in Section 37.7. With use of class TextWriter it is also possible to write textual representations of simple types, such as int and double. We illustrate the use of class StreamWriter in Program 37.8. Recall from Table 37.1 that StreamWriter is a non-abstract subclass of class TextWriter. In Program 37.8 we write str and strEquiv (in line 9-10) to three different files. Both strings are identical, they contain a lot of Danish letters, but they are notated differently. It is the same string that we used in Program 37.6 for illustration of encodings. For each of the files we use a particular encoding (see Section 37.7). Notice that we in line 12, 16 and 20 use a StreamWriter constructor that takes a Stream and an encoding as parameters. There a six other constructors to chose from (see below). In line 24-26 we write the two strings to each of the three files. Try out the program, and read the three text files with your favorite text editor. Depending of the capabilities of your editor, you may or may not be able to read them all.
  • 350.
    344 1 2 3 4 5 6 7 8 9 10 11 12 13 14 15 16 17 18 19 20 21 22 23 24 25 26 27 28 29 30 31 32 33 using System; using System.IO; usingSystem.Text; public class TextWriterProg{ public static void Main(){ string str = "A æ u å æ ø i æ å", strEquiv = "A u00E6 u u00E5 u00E6 u00F8 i u00E6 u00E5"; TextWriter tw1 = new StreamWriter( // Iso-Latin-1 new FileStream("f-iso.txt", FileMode.Create), Encoding.GetEncoding("iso-8859-1")), tw2 = new StreamWriter( // UTF-8 new FileStream("f-utf8.txt", FileMode.Create), new UTF8Encoding()), tw3 = new StreamWriter( // UTF-16 new FileStream("f-utf16.txt", FileMode.Create), new UnicodeEncoding()); tw1.WriteLine(str); tw1.WriteLine(strEquiv); tw2.WriteLine(str); tw2.WriteLine(strEquiv); tw3.WriteLine(str); tw3.WriteLine(strEquiv); tw1.Close(); tw2.Close(); tw3.Close(); } } Program 37.8 Writing a text string using three different encodings with StreamWriters. You may wonder if knowledge about the applied encoding is somehow represented in the text file. The first few bytes in a text file created from a TextWriter may contain some information about the encoding. StreamWriter calls Encoding.GetPreamble() in order to get a byte array that represents knowledge about the encoding. This byte array is written in the beginning of the text file. This preamble is primarily used to determine the byte order of UTF-16 and UTF-32 encodings. (Two different byte orders are widely used on computers from different CPU manufacturers: Big-endian (most significant byte first) and little-endian (least significant byte first)). The preambles of the ASCII and the ISO Latin 1 encodings are empty. The next program, shown in Program 37.9, first creates a StreamWriter on a given file path (a text string) "simple-types.txt". The default encoding is used. (The default encoding is system/culture dependent. It can be accessed with the static property Encoding.Default). By use of the heavily overloaded Write method it writes an integer, a double, a decimal, and a boolean to the file. Next, from line 15-18, it writes a Point and a Die to a text file named "non-simple-types.txt". As expected, the ToString method is used on the Point and the Die objects. The contents of the two text files are shown in Listing 37.10 (only on web) and Listing 37.11 (only on web). 1 2 3 4 5 6 using System; using System.IO; public class TextSimpleTypes{ public static void Main(){
  • 351.
    345 7 8 9 10 11 12 13 14 15 16 17 18 19 20 21 using(TextWriter tw =new StreamWriter("simple-types.txt")){ tw.Write(5); tw.WriteLine(); tw.Write(5.5); tw.WriteLine(); tw.Write(5555M); tw.WriteLine(); tw.Write(5==6); tw.WriteLine(); } using(TextWriter twnst = new StreamWriter("non-simple-types.txt")){ twnst.Write(new Point(1,2)); twnst.WriteLine(); twnst.Write(new Die(6)); twnst.WriteLine(); } } } Program 37.9 Writing values of simple types and objects of our own classes. The following items summarize the operations in class StreamWriter: • 7 overloaded constructors • Parameters involved: File name, stream, encoding, buffer size • StreamWriter(String) • StreamWriter(Stream) • StreamWriter(Stream, Encoding) • others • 17/18 overloaded Write / WriteLine operations • Chars, strings, simple types. Formatted output • Encoding • A property that gets the encoding used for this TextWriter • NewLine • A property that gets/sets the applied newline string of this TextWriter • others Exercise 10.3. Die tossing - writing to text file Write a program that tosses a Die 1000 times, and writes the outcome of the tosses to a textfile. Use a TextWriter to accomplish the task. Write another program that reads the text file. Report the number of ones, twos, threes, fours, fives, and sixes. 37.11. The class TextReader Lecture 10 - slide 15 The class TextReader is an abstract class of which StreamReader is a non-abstract subclass. StreamReader is able to read characters from a byte stream relative to a given encoding. In most respects, the class TextReader is symmetric to class TextWriter. However, there are no Read counterparts to all the overloaded Write methods in TextWriter. We will come back to this observation below.
  • 352.
    346 Program 37.12 isa program that reads the text that was produced by Program 37.8. In Program 37.12 we create three TextReader object. They are all based on file stream objects and encodings similar to the ones used in Program 37.8. From each TextReader we read the two strings that we wrote in Program 37.8. It is hardly surprising that we get six instances of the strange string "A æ u å æ ø i æ å". In line 19-21 they are all written to standard output via use of Console.WriteLine. The last half part of Program 37.12 (from line 27) reads the three files as binary information (as raw bytes). The purpose of this reading is to exercise the actual contents of the three files. This is done by opening each of the files via FileStream objects, see Section 37.4. Recall that FileStream allows for binary reading (in terms of bytes) of a file. The function StreamReport (line 39-49) reads each byte of a given FileStream, and it prints these bytes on the console. The output in Listing 37.13 reveals - as expected - substantial differences between the actual, binary contents of the three files. Notice that the ISO Latin 1 file is the shortest, the UTF-8 file is in between, and the UTF-16 file is the longest. 1 2 3 4 5 6 7 8 9 10 11 12 13 14 15 16 17 18 19 20 21 22 23 24 25 26 27 28 29 30 31 32 33 34 35 36 37 38 39 40 41 42 43 44 45 46 47 using System; using System.IO; using System.Text; public class TextReaderProg{ public static void Main(){ TextReader tr1 = new StreamReader( new FileStream("f-iso.txt", FileMode.Open), Encoding.GetEncoding("iso-8859-1")), tr2 = new StreamReader( new FileStream("f-utf8.txt", FileMode.Open), new UTF8Encoding()), tr3 = new StreamReader( // UTF-16 new FileStream("f-utf16.txt", FileMode.Open), new UnicodeEncoding()); Console.WriteLine(tr1.ReadLine()); Console.WriteLine(tr1.ReadLine()); Console.WriteLine(tr2.ReadLine()); Console.WriteLine(tr2.ReadLine()); Console.WriteLine(tr3.ReadLine()); Console.WriteLine(tr3.ReadLine()); tr1.Close(); tr2.Close(); tr3.Close(); // Raw reading of the files to control the contents at byte level FileStream fs1 = new FileStream("f-iso.txt", FileMode.Open), fs2 = new FileStream("f-utf8.txt", FileMode.Open), fs3 = new FileStream("f-utf16.txt", FileMode.Open); StreamReport(fs1, "Iso Latin 1"); StreamReport(fs2, "UTF-8"); StreamReport(fs3, "UTF-16"); fs1.Close(); fs2.Close(); fs3.Close(); } public static void StreamReport(FileStream fs, string encoding){ Console.WriteLine(); Console.WriteLine(encoding); int ch, i = 0; do{ ch = fs.ReadByte(); if (ch != -1) Console.Write("{0,4}", ch);
  • 353.
    347 48 49 50 51 52 53 54 i++; if (i%10 ==0) Console.WriteLine(); } while (ch != -1); Console.WriteLine(); } } Program 37.12 Reading back the text strings encoded in three different ways, with StreamReader. 1 2 3 4 5 6 7 8 9 10 11 12 13 14 15 16 17 18 19 20 21 22 23 24 25 26 27 28 29 30 A æ u å æ ø i æ å A æ u å æ ø i æ å A æ u å æ ø i æ å A æ u å æ ø i æ å A æ u å æ ø i æ å A æ u å æ ø i æ å Iso Latin 1 65 32 230 32 117 32 229 32 230 32 248 32 105 32 230 32 229 13 10 65 32 230 32 117 32 229 32 230 32 248 32 105 32 230 32 229 13 10 UTF-8 65 32 195 166 32 117 32 195 165 32 195 166 32 195 184 32 105 32 195 166 32 195 165 13 10 65 32 195 166 32 117 32 195 165 32 195 166 32 195 184 32 105 32 195 166 32 195 165 13 10 UTF-16 255 254 65 0 32 0 230 0 32 0 117 0 32 0 229 0 32 0 230 0 32 0 248 0 32 0 105 0 32 0 230 0 32 0 229 0 13 0 10 0 65 0 32 0 230 0 32 0 117 0 32 0 229 0 32 0 230 0 32 0 248 0 32 0 105 0 32 0 230 0 32 0 229 0 13 0 10 0 Listing 37.13 Output from the program that reads back the strings encoded in three different ways. Below, in Program 37.14, we show a program that reads the values from the file "simple-types.txt", as written by Program 37.9. Notice that we read a line at a time using the ReadLine method of StreamReader. ReadLine returns a string, which we parse by the static Parse methods in the structs Int32, Double, Decimal, and Boolean respectively. There are no dedicated methods in class StreamReader for reading the textual representations of integers, doubles, decimals, booleans, etc. The output of Program 37.14 is shown in Listing 37.15 (only on web).
  • 354.
    348 1 2 3 4 5 6 7 8 9 10 11 12 13 14 15 16 17 18 using System; using System.IO; publicclass TextSimpleTypes{ public static void Main(){ using(TextReader twst = new StreamReader("simple-types.txt")){ int i = Int32.Parse(twst.ReadLine()); double d = Double.Parse(twst.ReadLine()); decimal m = Decimal.Parse(twst.ReadLine()); bool b = Boolean.Parse(twst.ReadLine()); Console.WriteLine("{0} n{1} n{2} n{3}", i, d, m, b); } } } Program 37.14 A program that reads line of text and parses them to values of simple types. As we did for class TextWriter in Section 37.10 we summarize the operations in class TextReader below: • 10 StreamReader constructors • Similar to the StreamWriter constructors • StreamReader(String) • StreamReader(Stream) • StreamReader(Stream, bool) • StreamReader(Stream, Encoding) • others • int Read() Reads a single character. Returns -1 if at end of file • int Read(char[], int, int) Returns the number of characters read • int Peek() • String ReadLine() • String ReadToEnd() • CurrentEncoding • A property that gets the encoding of this StreamReader The method Read reads a single character; It returns -1 if the file is positioned at the end of the file. The Read method that accepts three parameters is similar to the Stream method of the same name, see Section 37.2. As such, it reads a number of characters into an already allocated char array (which is passed as the first parameter of Read). Peek reads the next available character without advancing the file position. You can use the method to look a little ahead of the actual reading. As we have seen, ReadLine reads characters until an end of line character is encountered. Similarly, ReadToEnd reads the rest of stream - from the current position until the end of the file - and returns it as a string. ReadToEnd is often convenient if you wish to get access to a text file as a (potentially large) text string.
  • 355.
    349 37.12. The classBinaryWriter Lecture 10 - slide 18 In this section we will study a writer class which produces binary data. As such, a binary writer is similar to a FileStream used in write access mode, see Section 37.4. The justification of BinaryWriter is, however, that it supports a heavily overloaded Write method just like the class TextWriter did. The Write methods can be applied on most simple data types. The Write methods of BinaryWriter produce binary data, not characters. Encodings, see Section 37.7, played important roles for TextReader and TextWriter. Encodings only play a minimal role in BinaryWriter; Encodings are only used when we write characters to the binary file. Below, in Program 37.16 we show a program similar to Program 37.9. We write four values of different simple types to a file with use of a BinaryWriter. In comments of the program we show the expected number of bytes to be written. With use of a FileInfo object (see Section 38.1) we check our expectations in line 18-19. The output of the program is 29, as expected. 1 2 3 4 5 6 7 8 9 10 11 12 13 14 15 16 17 18 19 20 21 22 using System; using System.IO; public class BinaryWriteSimpleTypes{ public static void Main(){ string fn = "simple-types.bin"; using(BinaryWriter bw = new BinaryWriter( new FileStream(fn, FileMode.Create))){ bw.Write(5); // 4 bytes bw.Write(5.5); // 8 bytes bw.Write(5555M); // 16 bytes bw.Write(5==6); // 1 bytes } FileInfo fi = new FileInfo(fn); Console.WriteLine("Length of {0}: {1}", fn, fi.Length); } } Program 37.16 Use of a BinaryWriter to write some values of simple types. The following operations are supplied by BinaryWriter: • Two public constructors • BinaryWriter(Stream) • BinaryWriter(Stream, Encoding) • 18 overloaded Write operations • One for each simple type • Write(char), Write(char[]), and Write(char[], int, int) - use Encoding • Write(string) - use Encoding • Write(byte[]) and Write(byte[], int, int) • Seek(int offset, SeekOrigin origin) • others
  • 356.
    350 The second constructorallows for registration of an encoding, which is used if we write characters as binary data. The Write methods, which accepts an array as first parameter together with two integers as second and third parameters, write a section of the involved arrays. Exercise 10.4. Die tossing - writing to a binary file This exercise is a variant of the die tossing and file writing exercise based on text files. Modify the program to use a BinaryWriter and a BinaryReader. Take notice of the different sizes of the text file from the previous exercise and the binary file from this exercise. Explain your observations. 37.13. The class BinaryReader Lecture 10 - slide 20 The class BinaryReader is the natural counterpart to BinaryWriter. Both of them deal with input from and output to binary data (in contrast to text in some given encoding). The following program reads the binary file produced by Program 37.16. It produces the expected output, see Program 37.16 (only on web). 1 2 3 4 5 6 7 8 9 10 11 12 13 14 15 16 17 18 19 20 21 22 23 24 25 using System; using System.IO; public class BinaryReadSimpleTypes{ public static void Main(){ string fn = "simple-types.bin"; using(BinaryReader br = new BinaryReader( new FileStream(fn, FileMode.Open))){ int i = br.ReadInt32(); double d = br.ReadDouble(); decimal dm = br.ReadDecimal(); bool b = br.ReadBoolean(); Console.WriteLine("Integer i: {0}", i); Console.WriteLine("Double d: {0}", d); Console.WriteLine("Decimal dm: {0}", dm); Console.WriteLine("Boolean b: {0}", b); } } } Program 37.17 Use of a BinaryReader to write the values written by means of the BinaryWriter. The following gives an overview of the operations in the class BinaryReader:
  • 357.
    351 • Two publicconstructors • BinaryReader(Stream) • BinaryReader(Stream, Encoding) • 15 individually name Readtype operations • ReadBoolean, ReadChar, ReadByte, ReadDouble, ReadDecimal, ReadInt16, ... • Three overloaded Read operations • Read() and Read (char[] buffer, int index, int count) read characters - using Encoding • Read (bytes[] buffer, int index, int count) reads bytes The most noteworthy observation is that there exist a large number of specifically named operations (such as ReadInt32 and ReadDouble) through which it is possible to read the binary representations of values in simple types. 37.14. The classes StringReader and StringWriter Lecture 10 - slide 22 StringReader is a non-abstract subclass of TextReader. Similarly, StringWriter is a non-abstract subclass of TextWriter. Table 37.1 gives you an overview of these classes. The idea of StringReader is to use traditional stream/file input operations for string access, and to use traditional stream/file output operations for string mutation. Thus, relative to Figure 37.1 the source and destinations of reading and writing will be strings. A StringReader can be constructed on a string. A StringWriter, however, cannot be constructed on a string, because strings are non-mutable in C#, see Section 6.4. Therefore a StringWriter object is constructed on an instance of StringBuilder. In Program 37.19 we illustrate, in concrete terms, how to make a StringWriter on the StringBuilder referred by the variable sb (see line 9). In line 11-17 we iterate five times through the for loop, with increasing integer values in the variable i. In total, the textual representations of 20 simple values are written to the StringBuilder object. The content of the StringBuilder object is printed in line 19. The output of Program 37.19 is shown in Program 37.20 (only on web). 1 2 3 4 5 6 7 8 9 10 11 12 13 14 15 16 using System; using System.IO; using System.Text; public class TextSimpleTypes{ public static void Main(){ StringBuilder sb = new StringBuilder(); // A mutable string using(TextWriter tw = new StringWriter(sb)){ for (int i = 0; i < 5; i++){ tw.Write(5 * i); tw.WriteLine(); tw.Write(5.5 * i); tw.WriteLine(); tw.Write(5555M * i); tw.WriteLine(); tw.Write(5 * i == 6); tw.WriteLine();}
  • 358.
    352 17 18 19 20 21 22 } Console.WriteLine(sb); } } Program 37.19 AStringWriter program similar to the StreamReader program shown earlier. Symmetrically, we illustrate how to read from a string. In Program 37.21 we make a string str with broken lines in line 8-11. With use of a StringReader built on str we read an integer, a double, a decimal, and a boolean value. The output is shown in Program 37.22 (only on web). 1 2 3 4 5 6 7 8 9 10 11 12 13 14 15 16 17 18 19 20 21 22 23 using System; using System.IO; public class TextSimpleTypes{ public static void Main(){ string str = "5" + "n" + "5,5" + "n" + "5555,0" + "n" + "false"; using(TextReader tr = new StringReader(str)){ int i = Int32.Parse(tr.ReadLine()); double d = Double.Parse(tr.ReadLine()); decimal m = Decimal.Parse(tr.ReadLine()); bool b = Boolean.Parse(tr.ReadLine()); Console.WriteLine("{0} n{1} n{2} n{3}", i, d, m, b); } } } Program 37.21 A StringReader program. The use of StringWriter and StringReader objects for accessing the characters in strings is an attractive alternative to use of the native String and StringBuilder operations. It is, in particular, attractive and convenient that we can switch from a file source/destination to a string source/destination. In that way existing file manipulation programs may be used directly as string manipulation programs. The only necessary modification of the program is a replacement of a StreamReader with StringReader, or a replacement of StreamWriter with a StringWriter. Be sure to use the abstract classes TextReader and TextWriter as much as possible. You should only use StreamReader/StringReader and StreamWriter/StringWriter for instantiation purposes in the context of a constructor (such as line 11 of Program 37.19 and line 13 of Program 37.21).
  • 359.
    353 37.15. The Consoleclass Lecture 10 - slide 23 We have used static methods in the Console class in almost all our programs. It is now time to examine the Console class a little closer. In contrast to most other IO related classes, the Console class resides in the System namespace, and not in System.IO. The Console class encapsulates three streams: standard input, standard output, and standard error. The static property In, of type TextReader, represents standard input. The static properties Out and Error represent standard output and standard error respectively, and they are both of type TextWriter. Recall in this context that TextReader and TextWriter are both abstract classes, see Section 37.9. 1 2 3 4 5 6 7 8 9 10 11 12 13 14 15 16 17 18 19 20 21 22 23 24 25 26 27 28 29 30 31 32 33 34 35 using System; using System.IO; class App{ public static void Main(string[] args){ TextWriter standardOutput = Console.Out; StreamWriter myOut = null, myError = null; if (args.Length == 2) { Console.Out.WriteLine("Redirecting std output and error to files"); myOut = new StreamWriter(args[0]); Console.SetOut(myOut); myError = new StreamWriter(args[1]); Console.SetError(myError); } else { Console.Out.WriteLine("Keeping standard output and error unchanged"); } // Output from this section of the program may be redirected Console.Out.WriteLine("Text to std output - by Console.Out.WriteLine"); Console.WriteLine("Text to standard output - by Console.WriteLine(...)"); Console.Error.WriteLine("Error msg - by Console.Error.WriteLine(...)"); if (args.Length == 2) { myOut.Close(); myError.Close(); } Console.SetOut(standardOutput); Console.Out.WriteLine("Now we are back again"); Console.Out.WriteLine("Good Bye"); } } Program 37.23 A program that redirects standard output and standard error to a file. In the program shown above it is demonstrated how to control standard output and standard error. If we pass two program arguments (args in line 6) to Program 37.23 we redirect standard output and standard error to specific files (instances of StreamWriter) in line 13-17. That is the main point, which we wish to illustrate in Program 37.23. Below we supply an overview of the methods and properties of the Console class. The Console class is static. As such, all methods and properties in class Console are static. There will never be objects of type Console around. The Console class offers the following operations:
  • 360.
    354 • Access toand control of in, out, and error • Write, WriteLine, Read, and ReadLine methods • Shortcuts to out.Write, out.WriteLine, in.Read, and in.ReadLine • Many properties and methods that control the underlying buffer and window • Size, colors, and positions • Immediate, non-blocking input from the Console • The property KeyAvailable returns if a key is pressed (non-blocking) • ReadKey() returns info about the pressed key (blocking) • Other operations • Clear(), Beep(), and Beep(int, int) methods.
  • 361.
    355 38. Directories andFiles The previous chapter was about streams, and as such also about files. In this chapter we will deal with the properties of files beyond reading and writing. File copying, renaming, creation time, existence, and deletion represent a few of these. In addition to files we will also in this chapter discuss directories. 38.1. The File and FileInfo classes Lecture 10 - slide 26 Two overlapping file-related classes are available to the C# programmer: FileInfo and File. Both classes belong to the namespace System.IO. Objects of class FileInfo represents a single file, created on the basis of the name or path of the file (which is a string). The class File contains static methods for file manipulation. Class File is static, see Section 11.12, and as such there can be no instances of class File. If you intend to write object-oriented programs with file manipulation needs it is recommended that you represent files as instances of class FileInfo. Let us right away write a program which illustrates how to use instances of class FileInfo for representation of files. All aspects related to class FileInfo is shown in purple in Program 38.1. 1 2 3 4 5 6 7 8 9 10 11 12 13 14 15 16 17 18 19 20 21 22 23 24 25 26 27 28 29 30 31 32 33 34 35 36 37 using System; using System.IO; public class FileInfoDemo{ public static void Main(){ // Setting up file names string fileName = "file-info.cs", fileNameCopy = "file-info-copy.cs"; // Testing file existence FileInfo fi = new FileInfo(fileName); // this source file Console.WriteLine("{0} does {1} exist", fileName, fi.Exists ? "" : "not"); // Show file info properties: Console.WriteLine("DirectoryName: {0}", fi.DirectoryName); Console.WriteLine("FullName: {0}", fi.FullName); Console.WriteLine("Extension: {0}", fi.Extension); Console.WriteLine("Name: {0}", fi.Name); Console.WriteLine("Length: {0}", fi.Length); Console.WriteLine("CreationTime: {0}", fi.CreationTime); // Copy one file to another fi.CopyTo(fileNameCopy); FileInfo fiCopy = new FileInfo(fileNameCopy); // Does the copy exist? Console.WriteLine("{0} does {1} exist", fileNameCopy, fiCopy.Exists ? "" : "not"); // Delete the copy again fiCopy.Delete(); // Does the copy exist? Console.WriteLine("{0} does {1} exist", fileNameCopy, fiCopy.Exists ? "" : "not"); // !!??
  • 362.
    356 38 39 40 41 42 43 44 45 46 47 48 49 50 51 52 // Create newFileInfo object for the copy FileInfo fiCopy1 = new FileInfo(fileNameCopy); // Check if the copy exists? Console.WriteLine("{0} does {1} exist", fileNameCopy, fiCopy1.Exists ? "" : "not"); // Achieve a TextReader (StreamReader) from the file info object // and echo the lines in the file to standard output using(StreamReader sr = fi.OpenText()){ for (int i = 1; i <= 10; i++) Console.WriteLine(" " + sr.ReadLine()); } } } Program 38.1 A demonstration of the FileInfo class. In line 12 we create a FileInfo object on the source file of the C# program text shown in Program 38.1. In line 13-14 we report on the existence of this file in the file system. (We expect existence, of course). In line 16-22 we access various properties (in the sense of C# properties, see Chapter 18) of the FileInfo object. In line 25 we copy the file, and in line 30 we check the existence of the copy. In line 33 we delete the copy, and in line 37 we check the existence of copy again. Against our intuition, we find out that the copy of the file still exists after its deletion. (See next paragraph for an explanation). If, however, we establish a fresh FileInfo object on the path to the deleted file, we get the expected result. In line 45-50 we use the OpenText method of the FileInfo object to establish a TextReader on the file. Via a number of ReadLine activations in line 49 we demonstrate that we can read the contents of the file. The file existence problem described above occurs because the instance of class FileInfo and the state of the underlying file system become inconsistent. The instance method Refresh of class FileInfo can be used to update the FileInfo object from the information in the operating system. If you need trustworthy information about your files, you should always call the Refresh operation before you access any FileInfo attribute. If we call fiCopy.Refresh() in line 34, the problem observed in line 37 vanishes. The output of Program 38.1 is shown in Listing 38.2 (only on web). The following gives an overview of some selected operations in class FileInfo: • A single constructor • FileInfo(string) • Properties (getters) that access information about the current file • Examples: Length, Extension, Directory, Exists, LastAccessTime • Stream, reader, and writer factory methods: • Examples: Create, AppendText, CreateText, Open, OpenRead, OpenWrite, OpenText • Classical file manipulations • CopyTo, Delete, MoveTo, Replace • Others • Refresh, ... The parameter of the FileInfo constructor is an absolute or relative path to a file. The file path must be well-formed according to a set of rules described in the class documentation. As examples, the file paths "c:temp c:user" and " dir1dir2file.dat" are both malformed.
  • 363.
    357 We have alsowritten af version of Program 38.1 in which we use the static class File instead of FileInfo, see Program 38.3. We do not include this program, nor the listing of its output, in the paper edition of the material. We notice that the file existence frustrations in Program 38.1 (of the deleted file) do not appear when we use the static operations of the static class File. There is a substantial overlap between the instance methods of class FileInfo and the static methods in class File 38.2. The Directory and DirectoryInfo classes Lecture 10 - slide 28 The classes DirectoryInfo and Directory are natural directory counterparts of the classes FileInfo and File, as described in Section 38.1. In this section we will show an example use of class DirectoryInfo, and we will provide an overview of the members in the class. Like for files, an instance of class DirectoryInfo is intended to represent a given directory of the underlying file system. We recommend that you use the class DirectoryInfo, rather than the static class Directory, when you write object-oriented programs. It is worth noticing that the classes FileInfo and DirectoryInfo have a common abstract, superclass class FileSystemInfo. Here follows a short program that use an instance of class DirectoryInfo for representation of a given directory from the underlying operating system. 1 2 3 4 5 6 7 8 9 10 11 12 13 14 15 16 17 18 19 20 21 22 23 24 25 26 27 28 using System; using System.IO; public class DirectoryInfoDemo{ public static void Main(){ string fileName = "directory-info.cs"; // The current source file // Get the DirectoryInfo of the current directory // from the FileInfo of the current source file FileInfo fi = new FileInfo(fileName); // This source file DirectoryInfo di = fi.Directory; Console.WriteLine("File {0} is in directory n {1}", fi, di); // Get the files and directories in the parent directory. FileInfo[] files = di.Parent.GetFiles(); DirectoryInfo[] dirs = di.Parent.GetDirectories(); // Show the name of files and directories on the console Console.WriteLine("nListing directory {0}:", di.Parent.Name); foreach(DirectoryInfo d in dirs) Console.WriteLine(d.Name); foreach(FileInfo f in files) Console.WriteLine(f.Name); } } Program 38.5 A demonstration of the DirectoryInfo class.
  • 364.
    358 Like in Program38.3 the starting point in Program 38.5 is a FileInfo object that represents the source file shown in Program 38.5. Based on the FileInfo object, we create a DirectoryInfo object in line 12. This DirectoryInfo object represents the directory in which the actual source file resides. Let us call it the current directory . In line 17 we illustrate the Parent property and the GetFiles method; We create an array, files, of FileInfo object of the parent directory of the current directory. Thus, this array holds all files of the parent of current directory. Similarly, dirs declared in line 18 is assigned to hold all directories of the parent of current directory. We print these files and directories in line 20-25. The output of Program 38.5 (only on web) is shown in Listing 38.6 (only on web). A similar program, programmed with use of the static operations in class Directory, is shown in Program 38.7 (only on web). The following shows an overview of the instance properties and instance methods in class DirectoryInfo: • A single constructor • DirectoryInfo(string) • Properties (getters) that access information about the current directory • Examples: CreationTime, LastAccessTime, Exists, Name, FullName • Directory Navigation operations • Up: Parent, Root • Down: GetDirectories, GetFiles, GetFileSystemInfo (all overloaded) • Classical directory manipulations • Create, MoveTo, Delete • Others • Refresh, ... The constructor takes a directory path string as parameter. It is possible to create a DirectoryInfo object on a string that represents a non-existing directory path. Like file paths, the given directory path must be well- formed (according to rules stated in the class documentation). The downwards directory navigation operations GetDirectories, GetFiles, and GetFileSystemInfo are able to filter their results (with use of strings with wildcards, such as "temp*", which match all files/directories whose names start with "temp"). It is also possible to specify if the operations should access direct files/directories, or if they should access direct as well as indirect file/directories. As for File and FileInfo, there is substantial overlap between the classes Directory and DirectoryInfo
  • 365.
    359 39. Serialization In thismaterial we care about object-oriented programming. All our data are encapsulated in objects. When we deal with IO it is therefore natural to look for solutions that help us with output and input of objects. For each class C it is possible to decide a storage format. The storage format of class C tells which pieces of data in C instances to save on secondary storage. The details of the storage format need to be decided. This involves (1) which fields to store, (2) the sequence of fields in the stored representation, and (3) use of a binary or a textual representation. However, as long as we have pairs of WriteObject and ReadObject operations for which ReadObject(WriteObject(C-object)) is equivalent to C-object the details of the storage format are of secondary interest. Instances of class C may have references to instances of other classes, say D and E. In general, an instance of class C may be part of an object graph in which we find C-object, D-object, E-objects as well as objects of other types. We soon realize that the real problem is not how to store instances of C in isolation. Rather, the problem is how to store an object network in which C-objects take part (or in which a C-object is a root). People who have devised a storage format for a class C, who have written then WriteObject and ReadObject operations for class C, and who have dealt with the IO problem of object graphs quickly realize that the invented solutions generalizes to arbitrary classes. Thus, instead of solving the object IO problem again and again for specific classes, it is attractive to solve the problem at a general level, and make the solution available for arbitrary classes. This is exactly what serialization is about. The serialization problem has been solved by the implementers of C#. It is therefore easy for the C# programmer to save and retrieve objects via serialization. 39.1. Serialization Lecture 10 - slide 31 Serialization provides for input and output of a network of objects. Serialization is about object output, and deserialization is about object input. • Serialization • Writes an object o to a file • Also writes the objects referred from o • Deserialization • Reads a serialized file in order to reestablish the serialized object o • Also reestablishes the network of objects originally referred from o Serialization of objects is, in principle, simple to deal with from C#. There are, however, a couple of circumstances that complicate the matters: • The need to control or customize the serialization and the deserialization of objects of specific types. • The support of more than one C# technique to obtain the same serialization or deserialization effect. The need to control (customize) the details of serialization and deserialization is unavoidable, at least when the ideas should be applied on real-life examples.
  • 366.
    360 The support ofseveral different techniques for doing serialization is due to the development of C#. In C# 2.0 serialization relies almost exclusively on the use of serialization and deserialization attributes. In C# 1.0 it was also necessary to implement certain interfaces to control and customize the serialization. In this version of the material, we only describe serialization controlled by attributes. • Serialization and deserialization is supported via classes that implement the Iformatter interface: • BinaryFormatter and SoapFormatter • Methods in Iformatter: • Serialize and Deserialize In the following section we will discuss an example that uses BinaryFormatter. 39.2. Examples of Serialization in C# Lecture 10 - slide 32 Below we show the class Person and class Date, similar to the ones we used for illustration of privacy leaks in Section 16.5. Class Person in Program 39.1 encapsulates a name and two date objects: birth date and death date. For a person still alive, the death date refer to null. Redundantly, the age instance variable holds the age of the person. The Update method can be used to update the age variable. The Date class shown in Program 39.2 is a very simple implementation of a date class. (In the paper version of the material we only show an outline of the Date class. The complete version is available in the web version). The Person class relies on the Date. We use class Date for illustration of serialization; In real life you should always use the struct DateTime. The Date class encapsulates year, month, and day. In addition it holds a nameOfDay instance variable (with values such as Sunday or Monday), which is redundant. With appropriate calendar knowledge, the nameOfDay can be calculated from year, month, and day. The Person class needs age calculation, which is provided by the YearDiff method of class Date. Internally in class Date, YearDiff relies on the methods IsBefore and Equals. (Equals is defined according the standard recommendations, see Section 28.16. We have not, in this class, included a redefinition of GetHashCode and therefore we get a warning from the compiler when class Date is compiled. ) The redundancy is class Person and class Date is introduced on purpose, because it helps us illustrate the serialization control in Program 39.2. In most circumstances we would avoid such redundancy, at least in simple classes. The preparation of class Person and class Date for serialization is very simple. We mark both classes with the attribute [Serializable], see line 3 in both classes. As of now you can consider [Serializable] as some magic, special purpose notation. In reality [Serializable] represents application of an attribute. When we are done with serialization we have seen several uses of attributes, and therefore we will be motivated to understand the general ideas of attributes in C#. We discuss the general ideas behind attributes in Section 39.6. Please notice that in the paper version of this material most program examples have been abbreviated. The full details of all examples appear in the web version of the material.
  • 367.
    361 1 2 3 4 5 6 7 8 9 10 11 12 13 14 15 16 17 18 19 20 21 22 23 24 25 26 27 28 29 30 31 32 33 34 35 36 37 38 39 40 41 42 43 44 using System; [Serializable] public classPerson{ private string name; private int age; // Redundant private Date dateOfBirth, dateOfDeath; public Person (string name, Date dateOfBirth){ this.name = name; this.dateOfBirth = dateOfBirth; this.dateOfDeath = null; age = Date.Today.YearDiff(dateOfBirth); } public Date DateOfBirth { get {return new Date(dateOfBirth);} } public int Age{ get {return Alive ? age : dateOfDeath.YearDiff(dateOfBirth);} } public bool Alive{ get {return dateOfDeath == null;} } public void Died(Date d){ dateOfDeath = d; } public void Update(){ age = Date.Today.YearDiff(dateOfBirth); } public override string ToString(){ return "Person: " + name + " *" + dateOfBirth + (Alive ? "" : " +" + dateOfDeath) + " Age: " + age; } } Program 39.1 The Person class - Serializable. 1 2 3 4 5 6 7 8 9 10 11 12 13 14 15 16 17 18 19 using System; [Serializable] public class Date{ private ushort year; private byte month, day; private DayOfWeek nameOfDay; // Redundant public Date(int year, int month, int day){ this.year = (ushort)year; this.month = (byte)month; this.day = (byte)day; this.nameOfDay = (new DateTime(year, month, day)).DayOfWeek; } public Date(Date d){ this.year = d.year; this.month = d.month; this.day = d.day; this.nameOfDay = d.nameOfDay; }
  • 368.
    362 20 21 22 23 24 25 26 27 28 29 30 31 32 33 34 35 36 37 38 39 40 41 42 43 44 45 46 public int Year{get{returnyear;}} public int Month{get{return month;}} public int Day{get{return day;}} // return this minus other, as of usual birthday calculations. public int YearDiff(Date other){ // ... } public override bool Equals(Object obj){ // ... } // Is this date less than other date public bool IsBefore(Date other){ // ... } public static Date Today{ // ... } public override string ToString(){ return string.Format("{0} {1}.{2}.{3}", nameOfDay, day, month, year); } } Program 39.2 An outline of the Date class - Serializable. In Program 39.3 it is illustrated how to serialize and deserialize a graph of objects. The graph, which we serialize, consists of one Person and the two Date objects referred by the Person object. The serialization, which takes place in line 13-17, is done by sending the Serialize message to the BinaryFormatter object. The serialization relies on a binary stream, as represented by an instance of class FileStream, see Section 37.4. The deserialization, as done in line 24-28, will in most real-life settings be done in another program. In our example we reset the program state in line 19-22 before the deserialization. The actual deserialization is done by sending the Deserialize message to the BinaryFormatter object. As in the serialization, the file stream with the binary data, is passed as a parameter. 1 2 3 4 5 6 7 8 9 10 11 12 13 14 15 16 17 18 19 20 using System; using System.IO; using System.Runtime.Serialization; using System.Runtime.Serialization.Formatters.Binary; class Client{ public static void Main(){ Person p = new Person("Peter", new Date(1936, 5, 11)); p.Died(new Date(2007,5,10)); Console.WriteLine("{0}", p); using (FileStream strm = new FileStream("person.dat", FileMode.Create)){ IFormatter fmt = new BinaryFormatter(); fmt.Serialize(strm, p); } // ----------------------------------------------------------- p = null;
  • 369.
    363 21 22 23 24 25 26 27 28 29 30 31 32 33 Console.WriteLine("Reseting person"); // ----------------------------------------------------------- using(FileStream strm = new FileStream("person.dat", FileMode.Open)){ IFormatter fmt = new BinaryFormatter(); p = fmt.Deserialize(strm) as Person; } Console.WriteLine("{0}", p); } } Program 39.3 The Person client class - applies serialization and deserialization. The program output shown in Listing 39.4 tells that the Person object and the two Date objects have survived the serialization and deserialization processes. In between the two output lines in line 11 and line 30 of Program 39.3 the three objects have been transferred to and reestablished from the binary file. 1 2 3 Person: Peter *Monday 11.5.1936 +Thursday 10.5.2007 Age: 71 Reseting person Person: Peter *Monday 11.5.1936 +Thursday 10.5.2007 Age: 71 Listing 39.4 Output of the Person client class. Exercise 10.5. Serializing with an XML formatter In the programs shown on the accompanying slide we have used a binary formatter for serialization of Person and Date object. Modify the client program to use a so-called Soap formatter in the namespace System.Runtime.Serialization.Formatters.Soap. SOAP is an XML language intended for exchange of XML documents. SOAP is related to the discipline of web services in the area of Internet technology. After the serialization you should take a look at the file person.dat, which is written and read by the client program. 39.3. Custom Serialization Lecture 10 - slide 33 In the Person and Date classes, shown in Section 39.2, the redundant instance variables do not need to be serialized. In class Person, age does need to be serialized because it can be calculated from dateOfBirth and dateOfDeath. In class Date, nameOfDay does need to serialized because it can calculated from calendar knowledge. In relation to serialization and persistence, we say that these two instance variables are transient. It is sufficient to serialize the essential information, and to reestablish the values of the transient instance variables after deserialization. In Program 39.5 and Program 39.6 we show the serialization and the deserialization respectively. The serialization is controlled by marking some fields (instance variables) as [NonSerialized], see line 9 of Program 39.5 and line 9 of Program 39.6.
  • 370.
    364 The deserialization iscontrolled by a method marked with the attribute [OnDeserialized()], see line 21 of Program 39.5. This method is called when deserialization takes place. The method starting at line 21 of Program 39.5 assigns the redundant age variable of a Person object. 1 2 3 4 5 6 7 8 9 10 11 12 13 14 15 16 17 18 19 20 21 22 23 24 25 26 27 28 29 using System; using System.Runtime.Serialization; [Serializable] public class Person{ private string name; [NonSerialized()] private int age; private Date dateOfBirth, dateOfDeath; public Person (string name, Date dateOfBirth){ this.name = name; this.dateOfBirth = dateOfBirth; this.dateOfDeath = null; age = Date.Today.YearDiff(dateOfBirth); } [OnDeserialized()] internal void FixPersonAfterDeserializing( StreamingContext context){ age = Date.Today.YearDiff(dateOfBirth); } // ... } Program 39.5 The Person class - Serialization control with attributes. The Date class shown below in Program 39.6 follows the same pattern as the Person class of Program 39.5. 1 2 3 4 5 6 7 8 9 10 11 12 13 14 15 16 17 18 19 20 21 22 23 24 using System; using System.Runtime.Serialization; [Serializable] public class Date{ private ushort year; private byte month, day; [NonSerialized()] private DayOfWeek nameOfDay; public Date(int year, int month, int day){ this.year = (ushort)year; this.month = (byte)month; this.day = (byte)day; this.nameOfDay = (new DateTime(year, month, day)).DayOfWeek; } public Date(Date d){ this.year = d.year; this.month = d.month; this.day = d.day; this.nameOfDay = d.nameOfDay; } [OnDeserialized()]
  • 371.
    365 25 26 27 28 29 30 31 internal void FixDateAfterDeserializing( StreamingContextcontext){ nameOfDay = (new DateTime(year, month, day)).DayOfWeek; } // ... } Program 39.6 The Date class - Serialization control with attributes . 39.4. Considerations about Serialization Lecture 10 - slide 34 We want to raise a few additional issues about serialization: • Security • Encapsulated and private data is made available in files • Versioning • The private state of class C is changed • It may not be possible to read serialized objects of type C • Performance • Some claim that serialization is relatively slow 39.5. Serialization and Alternatives Lecture 10 - slide 35 As mentioned in the introduction of this chapter - Chapter 39 - serialization deals with input and output of objects and object graphs. It should be remembered, however, that there are alternatives to serialization. As summarized below, it is possible to program object IO at a low level (using binary of textual IO primitives from Chapter 37). At the other end of the spectrum it is possible us database technology. • Serialization • An easy way to save and restore objects in between program sessions • Useful in many projects where persistency is necessary, but not a key topic • Requires only little programming • Custom programmed file IO • Full control of object IO • May require a lot of programming • Objects in Relational Databases • Impedance mismatch: "Circular objects in retangular boxes" • Useful when the program handles large amounts of data • Useful if the data is accessed simultaneous from several programs • Not a topic in this course
  • 372.
    366 39.6. Attributes Lecture 10- slide 36 In our treatment of serialization we made extensive use of attributes, see for instance Section 39.3. In this section we will discuss attributes at a more general level, and independent of serialization. Attributes offer a mechanism that allows the programmer to extend the programming language in simple ways. Attributes allow the programmer to associate extra information (meta data) to selected and pre-defined constructs in C#. The constructs to which it is possible to attach attributes are assemblies, classes, structs, constructors, delegates, enumeration types, fields (variables), events, methods, parameters, properties, and returns. We all know that members of a class in C# have associated visibility modifiers, see Section 11.16. In case visibility modifiers were not part of C#, we could have used attributes as a way to extend the language with different kinds of member visibilities. Certain attributes can be accessed by the compiler, and hereby these attributes can affect the checking done by the compiler and the code generated by the compiler. Attributes can also be accessed at run-time. There are ways for the running program to access the attributes of given constructs, such that the attribute and attribute values can affect the program execution. Program 39.7 illustrates the use of the predefined Obsolete attribute. Being "obsolete" means "no longer in use". In line 3, the attribute is associated with class C. In line 9, another usage of the attribute is associated with method M in class D. 1 2 3 4 5 6 7 8 9 10 11 12 13 14 15 16 17 18 19 20 using System; [Obsolete("Use class D instead")] class C{ // ... } class D{ [Obsolete("Do not call this method.",true)] public void M(){ } } class E{ public static void Main(){ C c = new C(); D d = new D(); d.M(); } } Program 39.7 An obsolete class C, and a class D with an obsolete method M. The compiler is aware of the Obsolete attribute. When we compile Program 39.7 we can see the effect of the attribute, see Listing 39.8.
  • 373.
    367 1 2 3 4 5 6 7 8 >csc prog.cs Microsoft (R)Visual C# 2005 Compiler version 8.00.50727.42 for Microsoft (R) Windows (R) 2005 Framework version 2.0.50727 Copyright (C) Microsoft Corporation 2001-2005. All rights reserved. prog.cs(16,5): warning CS0618: 'C' is obsolete: 'Use class D instead' prog.cs(16,15): warning CS0618: 'C' is obsolete: 'Use class D instead' prog.cs(18,5): error CS0619: 'D.M()' is obsolete: 'Do not call this method.' Listing 39.8 Compiling class C, D, and E. C# comes with a lot of predefined attributes. Obsolete is one of them, and we encountered quite a few in Section 39.3 in the context of serialization. Unit testing frameworks for C# also heavily rely on attributes. It is also possible to define our own attributes. An attribute is defined as a class. Attributes defined in this way are subclasses of the class System.Attribute. As a naming convention, the names of all attribute classes should have "Attribute" as a suffix. Thus, an attribute X is defined by a class XAttribute, which inherits from the class System.Attribute. The attribute usage notation [X(a,b,c)] in front of some C# construct C causes an instance of class XAttribute, made with the appropriate three-parameter constructor, to be associated with C. In the attribute usage notation [X(a,b,c,d=e)] d refers to a property of class XAttribute. The property d must be read-write (both gettable and settable), see Section 18.5. Thus, as it appears, an attribute accepts both positional parameters and keyword parameters. Below, in Program 39.9 we have reproduced the class behind the Obsolete attribute. You should notice the three different constructors and the read/write property IsError. The attribute AttributeUsage attribute in 5-6 illustrates how attributes help define attributes. AttributeUsage define the constructs to which it possible to associate the MyObsolete attribute. The expression AttributeTargets.Method | AttributeTargets.Property denotes two values in the combined enumeration type AttributeTargets which carries a so-called flag attribute. Combined enumerations are discussed in Focus box 6.3. 1 2 3 4 5 6 7 8 9 10 11 12 13 14 15 16 17 18 19 20 21 22 23 24 25 26 27 28 29 // In part, reproduced from the book "C# to the Point" using System; [AttributeUsage(AttributeTargets.Method | AttributeTargets.Property)] public sealed class MyObsoleteAttribute: Attribute{ string message; bool isError; public string Message{ get { return message; } } public bool IsError{ get { return isError; } set { isError = value; } } public MyObsoleteAttribute(){ message = ""; isError = false; }
  • 374.
    368 30 31 32 33 34 35 36 37 38 public MyObsoleteAttribute(string msg){ message= msg; isError = false; } public MyObsoleteAttribute(string msg, bool error){ message = msg; isError = error; } } Program 39.9 A reproduction of class ObsoleteAttribute. In Program 39.10 we show a sample use of the attribute programmed in Program 39.9. The program does not compile because we attempt to associate the MyObsolete attribute to a class in line 3. As explained above, we have restricted MyObsolete to be connected with only methods and properties. 1 2 3 4 5 6 7 8 9 10 11 12 13 14 15 16 17 18 19 20 using System; [MyObsolete("Use class D instead")] class C{ // ... } class D{ [MyObsolete("Do not call this method.",IsError=true)] public void M(){ } } class E{ public static void Main(){ C c = new C(); D d = new D(); d.M(); } } Program 39.10 Sample usage of the reproduced class - causes a compilation error.
  • 375.
    369 40. Patterns andTechniques In relation to streams, which we discussed in Chapter 37 in the beginning of the IO lecture, it is relevant to bring up the Decorator design pattern. Therefore we conclude the IO lecture with a discussion of Decorator. 40.1. The Decorator Pattern Lecture 10 - slide 38 It is often necessary to extend an object of class C with extra capabilities. As an example, the Draw method of a Triangle class can be extended with the traditional angle and edge annotations for equally sized angles or edges. The typical way to solve the problem is to define a subclass of class C that extends C in the appropriate way. In this section we are primarily concerned with extensions of class C that do not affect the client interface of C. Therefore, the extensions we have in mind behave like specializations (see Chapter 25). The extensions we will deal with consist of adding additional code to the existing methods of C. The decorator design pattern allows us to extend a class dynamically, at run-time. Extension by use of inheritance, as discussed above, is static because it takes place at compile-time. The main idea behind Decorator is a chain of objects, along the line illustrated in Figure 40.1. A message from Client to an instance of ConcreteComponent is passed through two instances of ConcreteDecorator by means of delegation. In order to arrange such delegation, a ConcreteDecorator and a ConcreteComponent should implement a common interface. This is important because a ConcreteDecorator is used as a stand in for a ConcreteComponent. This arrangement can for instance be obtained by the class hierarchy shown in Figure 40.2. Figure 40.1 Two decorator objects of a ConcreteComponent object In Figure 40.2 the Decorators and the ConcreteComponent share a common, abstract superclass called Component. When a Client operate on a ConcreteComponent it should do so via the type Component. This facilitates the object organization of Figure 40.1, because a Decorator can act as a stand in for a ConcreteComponent. Figure 40.2 A template of the class structure in the Decorator design pattern.
  • 376.
    370 • Component: Definesthe common interface of participants in the Decorator pattern • Decorator: References another Component to which it delegates responsibilities The class diagram of Decorator is similar to Composite, see Section 32.1. In Figure 40.2 a Decorator is intended to aggregate (reference) a single Component. In Figure 32.1 a Composite typically aggregate two or more Components . Thus, a Composite typically gives rise to trees, whereas a Decorator gives rise to a linear lists. Decorator objects can be added and chained at run-time. A Client accesses the outer Component (typically a ConcreteDecorator), which delegates part of the work to another Component. While passing, it does part of the work itself. Use of Decorator can be seen as a dynamic alternative to static subclassing 40.2. The Decorator Pattern and Streams Lecture 10 - slide 40 The Decorator discussion above in Section 40.1 was abstract and general. It is not obvious how it relates to streams and IO. We will now introduce the stream decorators that drive our interest in the pattern. The following summarizes the stream classes that are involved. We build a compressed stream on a buffered stream on a file stream The compressed stream decorates the buffered stream The buffered stream decorates the file stream The idea behind the decoration of class FileStream (see Section 37.4) is to supply additional properties of the stream. The additional properties in our example are buffering and compression. Buffering may result in better performance because many read and write operations do not need to touch the harddisk as such. Use of compression means that the files become smaller. (Notice that class FileStream already apply buffering itself, and as such the buffer decoration is more of illustrative nature than of practical value). Figure 40.3 corresponds to Figure 40.1. Thus, Figure 40.3 shows objects, not classes. A FileStream object is decorated with buffering and compression. A Client program is able to operate on GZipStream (a compressed stream) as if it was a FileStream. Figure 40.3 Compression and buffering decoration of a FileStream
  • 377.
    371 In Program 40.1we read a FileStream into a buffer of type byte[]. This is done in line 11-16. In line 18-27 we establish the decorated FileStream (see the purple parts). In line 27 we write the buffer to the decorated stream. In line 29-32 we compare the size of the original file and the compressed file. We see the effect in Listing 40.2 when the program is applied on its own source file. 1 2 3 4 5 6 7 8 9 10 11 12 13 14 15 16 17 18 19 20 21 22 23 24 25 26 27 28 29 30 31 32 33 34 35 36 37 38 39 40 41 using System; using System.IO; using System.IO.Compression; public class CompressProg{ public static void Main(string[] args){ byte[] buffer; long originalLength; // Read a file, arg[0], into buffer using(Stream infile = new FileStream(args[0], FileMode.Open)){ buffer = new byte[infile.Length]; infile.Read(buffer, 0, buffer.Length); originalLength = infile.Length; } // Compress buffer to a GZipStream Stream compressedzipStream = new GZipStream( new BufferedStream( new FileStream( args[1], FileMode.Create), 128), CompressionMode.Compress); compressedzipStream.Write(buffer, 0, buffer.Length); compressedzipStream.Close(); // Report compression rate: Console.WriteLine("CompressionRate: {0}/{1}", MeasureFileLength(args[1]), originalLength); } public static long MeasureFileLength(string fileName){ using(Stream infile = new FileStream(fileName, FileMode.Open)) return infile.Length; } } Program 40.1 A program that compresses a file. 1 2 > compress compress.cs out CompressionRate: 545/1126 Listing 40.2 Sample application together with program output (compression rate). When Program 40.1 is executed, a compressed file is written. In Program 40.3 we show how to read this file back again. In line 11-17 we set up the decorated stream, very similar to Program 40.1. In line 21-28 we read the compressed file into the buffer, and finally in line 32-35 we write the buffer back to an uncompressed file.
  • 378.
    372 1 2 3 4 5 6 7 8 9 10 11 12 13 14 15 16 17 18 19 20 21 22 23 24 25 26 27 28 29 30 31 32 33 34 35 36 37 38 using System; using System.IO; usingSystem.IO.Compression; public class CompressProg{ public static void Main(string[] args){ byte[] buffer; const int LargeEnough = 10000; Stream compressedzipStream = new GZipStream( new BufferedStream( new FileStream( args[0], FileMode.Open), 128), CompressionMode.Decompress); buffer = new byte[LargeEnough]; // Read and decompress the compressed stream: int bytesRead = 0, bufferPtr = 0; do{ // Read chunks of 10 bytes per call of Read: bytesRead = compressedzipStream.Read(buffer, bufferPtr, 10); if (bytesRead != 0) bufferPtr += bytesRead; } while (bytesRead != 0); compressedzipStream.Close(); // Write contens of buffer to the output file using(Stream outfile = new FileStream(args[1], FileMode.Create)){ outfile.Write(buffer, 0, bufferPtr); } } } Program 40.3 The corresponding program that decompresses the file. With this we are done with the IO lecture.
  • 379.
    373 41. Motivation forGeneric Types This chapter starts the lecture about generics: Generic types and generic methods. With generics we are aiming at more general types (classes, structs, interfaces, etc). The measure that we will bring into use is type parametrization. This chapter is intended as motivation. Type parameterized types will be the topic of Chapter 42 and type parameterized methods will be treated in Chapter 43. 41.1. Operations on sets Lecture 11 - slide 2 In this chapter we decide to develop and use the class Set. We use the class Set as a motivating example. It is our goal, once and for all, to be able to write a class Set that supports all possible types of elements. It is the intention that the class Set can be used in any future program, in which there is a need for sets. It is noteworthy that .NET has not supported a mathematical set class until version 3.5. As of version 3.5, the class HashSet<T> supports sets, see also Section 45.1. Thus, at the time of writing this material, there was no set class available in the .NET Framework. The class Set should represent a mathematical set of items. We equip class Set with the usual and well-known set operations: • aSet.Member(element) • aSet.Insert(element) • aSet.Delete(element) • aSet.Count • aSet.Subset(anotherSet) • aSet.GetEnumerator() • aSet.Intersection(anotherSet) • aSet.Union(anotherSet) • aSet.Diff(anotherSet) The set operations Intersection, Union, and Diff are handled in Exercise 11.1. 41.2. The classes IntSet and StringSet Lecture 11 - slide 3 Let us imagine that we first encounter a need for sets of integers. This causes us (maybe somewhat narrow-minded) to write a class called IntSet. Our version of class IntSet is shown in Program
  • 380.
    374 41.1. The versionprovided in the paper version of the material is abbreviated to save some space. The version in the web version is complete with all details. 1 2 3 4 5 6 7 8 9 10 11 12 13 14 15 16 17 18 19 20 21 22 23 24 25 26 27 28 29 30 31 32 33 34 35 36 37 38 39 40 41 42 43 44 45 46 47 48 49 50 51 52 53 54 55 56 57 58 using System; using System.Collections; public class IntSet { private int capacity; private static int DefaultCapacity = 10; private int[] store; private int next; public IntSet(int capacity){ this.capacity = capacity; store = new int[capacity]; next = 0; // The next place to insert } public IntSet(): this(DefaultCapacity){ } public IntSet(int[] elements): this(elements.Length){ foreach(int el in elements) this.Insert(el); } // Copy constructor public IntSet(IntSet s): this(s.capacity){ foreach(int el in s) this.Insert(el); } public bool Member(int element){ for(int idx = 0; idx < next; idx++) if (element.Equals(store[idx])) return true; return false; } public void Insert(int element){ if (!this.Member(element)){ if (this.Full){ Console.WriteLine("[Resize to {0}]", capacity * 2); Array.Resize<int>(ref store, capacity * 2); capacity = capacity * 2; } store[next] = element; next++; } } public void Delete(int element){ bool found = false; int foundIdx = 0; for(int idx = 0; !found && (idx < next); idx++){ if (element.Equals(store[idx])){ found = true; foundIdx = idx; } } if (found){ // shift remaining elements left for(int idx = foundIdx+1; idx < next; idx++)
  • 381.
    375 59 60 61 62 63 64 65 66 67 store[idx-1] = store[idx]; store[next-1]= default(int ); next--; } } // Additional operations: Count, Subset, ToString, Full, and GetEnumerator } Program 41.1 The class IntSet. The class IntSet is an example of an everyday implementation of integer sets. We have not attempted to come up with a clever representation that allows for fast set operations. The IntSet class is good enough for small sets. If you are going to work on sets with many elements, you should use a set class of better quality. We chose to represent the elements in an integer array. We keep track of the position where to insert the next element (by use of the instance variable next). If there is not enough room in the array, we use the Array.Resize operation to make it larger. We delete elements from the set by shifting elements in the array 'to the left', in order to avoid wasted space. This approach is fairly expensive, but it is good enough for our purposes. The IntSet class is equipped with a GetEnumerator method, which returns an iterator. (We encountered iterators (enumerators) in the Interval class studied in Section 21.3. See also Section 31.6 for details on iterators. The GetEnumerator details are not shown in the paper version). The enumerator allows for traversal of all elements of the set with a foreach control structure. A set is only, in a minimal sense, dependent on the types of elements (in our case, the type int). It does not even matter if the type of elements is a value type or a reference type (see Section 14.1 and Section 13.1 respectively). We do, however, apply equality on the elements, via use of the Equals method. Nevertheless, the type int occurs many times in the class definition of IntSet. We have emphasized occurrences of int with color marks in Program 41.1. 1 2 3 4 5 6 7 8 9 10 11 12 13 14 15 16 17 18 19 20 21 using System; using System.Collections; class App{ public static void Main(){ IntSet s1 = new IntSet(), s2 = new IntSet(); s1.Insert(1); s1.Insert(2); s1.Insert(3); s1.Insert(4); s1.Insert(5); s1.Insert(6); s1.Insert(5); s1.Insert(6); s1.Insert(8); s1.Delete(3); s1.Delete(6); s1.Insert(9); s2.Insert(8); s2.Insert(9); Console.WriteLine("s1: {0}", s1); Console.WriteLine("s2: {0}", s2); // Exercises: // Console.WriteLine("{0}", s2.Intersection(s1));
  • 382.
    376 22 23 24 25 26 27 28 29 30 31 32 33 34 35 // Console.WriteLine("{0}", s2.Union(s1)); //Console.WriteLine("{0}", s2.Diff(s1)); if (s1.Subset(s2)) Console.WriteLine("s1 is a subset of s2"); else Console.WriteLine("s1 is not a subset of s2"); if (s2.Subset(s1)) Console.WriteLine("s2 is a subset of s1"); else Console.WriteLine("s2 is not a subset of s1"); } } Program 41.2 A client of IntSet. In Program 41.2 we see a sample application of class IntSet. We establish two empty integer sets s1 and s2, we insert some numbers into these, and we try out some of the set operations on them. The comment lines 20-23 make use of set operations which will be implemented in Exercise 11.1. The output of Program 41.2 confirms that s2 is a subset of s1. The program output is shown in Listing 41.3 (only on web). We will now assume that we, a couple of days after we have programmed class IntSet, realize a need of class StringSet. Too bad! Class StringSet is almost like IntSet. But instead of occurrences of int we have occurrences of string. We know how bad it is to copy the source text of IntSet to a new file called StringSet, and to globally replace 'int' with 'string'. When we need to modify the set class, all our modifications will have do be done twice! For illustrative purposes - and despite the observation just described - we have made the class StringSet, see Program 41.4 (only on web). We have also replicated the client program, in Program 41.5 (only on web) and the program output in Listing 41.6 (only on web). 41.3. The class ObjectSet Lecture 11 - slide 4 In Section 41.2 we learned the following lesson: There is an endless number of TypeSet classes. One for each Type. Each of them is similar to the others. We will now review the solution to the problem which was used in Java before version 1.5, and in C# before version 2. These are the versions of the two languages prior to the introduction of generics.
  • 383.
    377 The idea issimple: We implement a set class of element type Object. We call it ObjectSet. The type Object is the most general type in the type system (see Section 28.2). All other types inherit from the class Object. Below, in Program 41.7 we show the class ObjectSet. In the paper version, only an outline with a few constructors and methods is included. The web version shows the full definition of class ObjectSet. 1 2 3 4 5 6 7 8 9 10 11 12 13 14 15 16 17 18 19 20 21 22 23 24 25 26 27 28 29 30 31 32 33 34 35 36 37 38 39 40 using System; using System.Collections; public class ObjectSet { private int capacity; private static int DefaultCapacity = 10; private Object[] store; private int next; public ObjectSet(int capacity){ this.capacity = capacity; store = new Object[capacity]; next = 0; } // Other constructors public bool Member(Object element){ for(int idx = 0; idx < next; idx++) if (element.Equals(store[idx])) return true; return false; } public void Insert(Object element){ if (!this.Member(element)){ if (this.Full){ Console.WriteLine("[Resize to {0}]", capacity * 2); Array.Resize<Object>(ref store, capacity * 2); capacity = capacity * 2; } store[next] = element; next++; } } // Other methods } Program 41.7 An outline of the class ObjectSet. We can now write programs with a set of Die, a set of BankAccount, a set of int, etc. In Program 41.8 (only on web) we show a program, similar to Program 41.2, which illustrates sets of Die objects. (The class Die can be found in Section 10.1). The main problem with class ObjectSet is illustrated below in Program 41.10. In line 12-20 we make a set of dice (s1), a set of integers (s2), a set of strings (s3), and set of mixed objects (s4). Let
  • 384.
    378 us focus ons1. If we take a die out of s1 with the purpose of using a Die operation on it, we need to typecase the element to a Die. This is shown in line 23. From the compiler's point of view, all elements in the set s1 are instances of class Object. With the cast (Die)o in line 23, we guarantee that each element in the set is a Die. (If an integer or a playing card should sneak into the set, an exception will be thrown). - The output of the program is shown in Listing 41.11 (only on web). 1 2 3 4 5 6 7 8 9 10 11 12 13 14 15 16 17 18 19 20 21 22 23 24 25 26 27 28 29 30 using System; using System.Collections; class App{ public static void Main(){ Die d1 = new Die(6), d2 = new Die(10), d3 = new Die(16), d4 = new Die(8); int sum = 0; string netString = ""; ObjectSet s1 = new ObjectSet( // A set of dice new Die[]{d1, d2, d3, d4}), s2 = new ObjectSet( // A set of ints new Object[]{1, 2, 3, 4}), s3 = new ObjectSet( // A set of strings new string[]{"a", "b", "c", "d"}), s4 = new ObjectSet( // A set of mixed things... new Object[]{new Die(6), "a", 7}); foreach(Object o in s1){ ((Die)o).Toss(); Console.WriteLine("{0}", (Die)o); } // Some details have been left out } } Program 41.10 A client of ObjectSet - working with set of different types.
  • 385.
    379 41.4. Problems Lecture 11- slide 5 The classes IntSet, StringSet and ObjectSet suffer from both programming and type problems: • Problems with IntSet and StringSet • Tedious to write both versions: Copy and paste programming. • Error prone to maintain both versions • Problems with ObjectSet • Elements of the set must be downcasted in case we need to use some of their specialized operations • We can create an inhomogeneous set • A set of "apples" and "bananas" Generic types, to be introduced in the following chapter, offer a type safe alternative to ObjectSet, in which we are able to avoid type casting.
  • 386.
  • 387.
    381 42. Generic Types Generictypes are types that carry type parameters. Type parameterized classes will be of particular importance. The motivation for working with type parameterized classes was gained in Chapter 41. 42.1. The generic class Set<T> Lecture 11 - slide 7 Let us, right away, present the generic set class Set<T>. It is shown in Program 42.1. As usual, we show an abbreviated version of the class in the paper edition of the material. 1 2 3 4 5 6 7 8 9 10 11 12 13 14 15 16 17 18 19 20 21 22 23 24 25 26 27 28 29 30 31 32 33 34 35 36 37 38 39 40 41 42 43 using System; using System.Collections.Generic; using System.Collections; public class Set<T> { private int capacity; private static int DefaultCapacity = 10; private T[] store; private int next; public Set(int capacity){ this.capacity = capacity; store = new T[capacity]; next = 0; } public Set(): this(DefaultCapacity){ } public Set(T[] elements): this(elements.Length){ foreach(T el in elements) this.Insert(el); } // Copy constructor public Set(Set<T> s): this(s.capacity){ foreach(T el in s) this.Insert(el); } public bool Member(T element){ for(int idx = 0; idx < next; idx++) if (element.Equals(store[idx])) return true; return false; } public void Insert(T element){ if (!this.Member(element)){ if (this.Full){ Console.WriteLine("[Resize to {0}]", capacity * 2); Array.Resize<T>(ref store, capacity * 2); capacity = capacity * 2; }
  • 388.
    382 44 45 46 47 48 49 50 51 52 53 54 55 56 57 58 59 60 61 62 63 64 65 66 67 68 store[next] = element; next++; } } publicvoid Delete(T element){ bool found = false; int foundIdx = 0; for(int idx = 0; !found && (idx < next); idx++){ if (element.Equals(store[idx])){ found = true; foundIdx = idx; } } if (found){ // shift remaining elements left for(int idx = foundIdx+1; idx < next; idx++) store[idx-1] = store[idx]; store[next-1] = default(T); next--; } } // Additional operations: Count, Subset, ToString, Full, and GetEnumerator } Program 42.1 The class Set<T>. The advantage of class Set<T> over class ObjectSet becomes clear when we study a client of Set<T>. Please take a look at Program 42.2 and compare it with Program 41.10. We are able to work with both sets of value types, such as Set<int>, and sets of reference types, such as Set<Die>. When we take an element out of the set it is not necessary to cast it, as in Program 41.10. Notice that a foreach loop does not provide the best illustration of this aspect, because the type in foreach(type var in collection) is used implicitly for casting a value in collection to type. The only way to access elements in a set is to use its iterator. Please take a look at Exercise 11.2 if you wish to go deeper into this issue. 1 2 3 4 5 6 7 8 9 10 11 12 13 14 15 16 17 18 19 20 21 using System; using System.Collections; class App{ public static void Main(){ Die d1 = new Die(6), d2 = new Die(10), d3 = new Die(16), d4 = new Die(8); int sum = 0; string netString = ""; // Working with sets of dice: Set<Die> s1 = new Set<Die>( // A set of dice new Die[]{d1, d2, d3, d4}); foreach(Die d in s1){ d.Toss(); Console.WriteLine("{0}", d); }
  • 389.
    383 22 23 24 25 26 27 28 29 30 31 32 33 34 35 36 37 38 // Working withsets of ints Set<int> s2 = new Set<int>( // A set of ints new int[]{1, 2, 3, 4}); foreach(int i in s2) sum += i; Console.WriteLine("Sum: {0}", sum); // Working with sets of strings Set<string> s3 = new Set<string>( // A set of strings new string[]{"a", "b", "c", "d"}); foreach(string str in s3) netString += str; Console.WriteLine("Appended string: {0}", netString); } } Program 42.2 A client of Set<T> - working with sets of different types. The output of Program 42.2 is shown in Listing 42.3 (only on web). Exercise 11.1. Intersection, union, and difference: Operations on sets On the accompanying slide we have shown a generic class set<T>. Add the classical set operations intersection, union and set difference to the generic class set<T>. Test the new operations from a client program. Hint: The enumerator, that comes with the class set<T>, may be useful for the implementation of the requested set operations. Exercise 11.2. An element access operation on sets The only way to get access to an element from a set is via use of the enumerator (also known as the iterator) of the set. In this exercise we wish to change that. Invent some operation on the set that allows you to take out an existing element in the set. This corresponds to accessing a given item in an array or a list, for instance via an indexer: arr[i] and lst[j]. Notice in this context that there is no order between elements in the set. It is not natural to talk about "the first" or "the last" element in the set. Given the invented operation in Set<T> use it to illustrate that, for some concrete type T, no casting is necessary when elements are accessed from Set<T>
  • 390.
    384 42.2. Generic Types Lecture11 - slide 8 Let us now describe the general concepts behind Generic Types in C#. C# supports not only generic classes, but also generic structs (see Section 42.7), generic interfaces (see Section 42.8), and generic delegate types (see Section 43.2 ). Overall, we distinguish between templates and constructed types: • Templates • C<T> is not a type • C<T> is a template from which a type can be constructed • T is a formal type parameter • Constructed type • The type constructed from a template • C<int>, C<string>, and D<C<int>> • int, string, and C<int> are actual type parameters of C and D When we talk about a generic type we do it in the meaning of a template. The word "template" is appropriate, and in fact just to the point. But most C# writers do not use it, because the word "template" it used in C++ in a closely related, but slightly different meaning. A template in C++ is a type parameterized class, which is expanded at compile time. Each actual type parameter will create a new class, just like we would create it ourselves in a text editor. In C#, generic classes are able to share the class representation at run-time. For more details on these matters, consult for instance [Golding05]. As a possible coding style, it is often recommended to use capital, single letter names (such as S, T, and U) as formal type parameters. In that way it becomes easier to recognize templates, to spot formal type names in our programs, to keep templates apart from constructed types, and to avoid very name clauses of generic types. In situations where a type takes more than one formal type parameters, an alternative coding style calls for formal type parameter names like Tx and Ty, (such as TKey and TValue) where x and y describe the role of each of the formal type parameters. The ability to have generic types is known as parametric polymorphism 42.3. Constraints on Formal Type Parameters Lecture 11 - slide 9 Let us again consider our implementation of the generic class Set<T> in Program 42.1. Take a close look at the class, and find out if we make any assumptions about the formal type parameter T in Program 42.1. Will any type T really apply? Please consider this, before you proceed! In Set<T> it happens to be the case that we do not make any assumption of the type parameter T. This is typical for collection classes (which are classes that serve as element containers).
  • 391.
    385 It is possibleto express a number of constraints on a formal type parameter The more constraints on T, the more we can do on T-objects in the body of C<T> Sometimes we write a parameterized class, say C<T>, in which we wish to be able to make some concrete assumptions about the type parameter T. You may ask what we want to express. We could, for instance, want to express that 1. T is a value type, allowing for instance use of the type T? (nullable types, see Section 14.9 ) inside C<T> . 2. T is a reference type, allowing, for instance, the program fragment T v; v = null; inside C<T> . 3. T has a multiplicative operator * , allowing for expressions like T t1, t2; ... t1 * t2 ... in C<T> . 4. T has a method named M , that accepts a parameter which is also of type T . 5. T has a C# indexer of two integer parameters, allowing for T t; ... t[i, j] ... within C<T> . 6. T is a subclass of class BankAccount , allowing for the program fragment T ba; ba.AddInterests(); within C<T> . 7. T implements the interface IEnumerable , allowing foreach iterations based on T in C<T> , see Section 31.6 . 8. T is a type with a parameterless constructor, allowing the expression new T() in C<T> . It turns out that the constraints in 1, 2, 6, 7, and 8 can be expressed directly in C#. The constraints in 4 and 5 can be expressed indirectly in C#, whereas the constraint in 3 cannot be expressed in C#. Here follows a program fragment that illustrates the legal form of constraints on type parameters in generic types in C#. We define generic classes C, E, F, and G all of which are subclasses of class D. A and B are classes defined elsewhere. The constraints are colored in Program 42.4.
  • 392.
    386 1 2 3 4 5 6 7 8 9 10 11 12 13 14 15 16 17 18 19 20 class C<S,T>: D whereT: A, ICloneable where S: B { ... } class E<T>: D where T: class{ ... } class F<T>: D where T: struct{ ... } class G<T>: D where T: new(){ ... } Program 42.4 Illustrations of the various constraints on type parameters. The class C has formal type parameters S and T. The first constraint requires that T is A, or a subclass of A, and that it implements the interface IClonable. Thus, only class A or subclasses of A that implement IClonable can be used as actual parameter corresponding to T. The type parameter S must be B or a subclass of B. The class E has a formal type parameter T, which must be a class. In the same way, the class F has a formal type parameter T, which must be a struct. The class G has a formal type parameter T, which must have a parameterless constructor. As a consequence of the inheritance rules in C#, only a single class can be given in a constraint. Multiple interfaces can be given. A class should come before any interface. Thus, in line 2 of Program 42.4, where T is constrained by A, ICloneable, A can be a class, and everything after A in the constraint need to be interfaces. 42.4. Constraints: Strings of comparable elements Lecture 11 - slide 10 We will now program a generic class with constraints. We will make a class String<T> which generalizes System.String from C#. An instance of String<T> contains a sequence of T-values/ T-objects. In contrast, an instance of System.String contains a sequence of Unicode characters. With use of String<T> we can for instance make a string of integers, a string of bank accounts, and a string of dice.
  • 393.
    387 Old-fashioned character stringscan be ordered, because we have an ordering of characters. The ordering we have in mind is sometimes called lexicographic ordering, because it reflects the ordering of words in dictionaries and encyclopedia. We also wish to support ordering of our new generalized strings from String<T>. It can only be achieved if we provide an ordering of the values/objects in T. This is done by requiring that T implements the interface IComparable, which has a single method CompareTo. For details on IComparable and CompareTo, please consult Section 31.5. Now take a look at the definition of String<T> in Program 42.5. In line 3 we state that String<T> should implement the interface IComparable<String<T>>. It is important to understand that we hereby commit ourselves to implement a CompareTo method in String<T>. You may be confused about the interface IComparable, as discussed in Program 42.5 in contrast to IComparable<S>, which is used as IComparable<String<T>> in line 3 of Program 42.5. IComparable<S> is a generic interface. It is generic because this allows us to specify the parameter to the method CompareTo with better precision. We discuss the generic interface IComparable<S> in Section 42.8. There is an additional important detail in line 3 of Program 42.5, namely the constraint, which is colored. The constraint states that the type T must be IComparable itself (again using the generic version of the interface). In plain English it means that there must be a CompareTo method available on the type, which we provide as the actual type parameter of our new string class. Our plan is, of course, to use the CompareTo method of T to program the CompareTo method of String<T>. 1 2 3 4 5 6 7 8 9 10 11 12 13 14 15 16 17 18 19 20 21 22 23 24 25 26 27 28 29 30 using System; public class String<T>: IComparable<String<T>> where T: IComparable<T>{ private T[] content; public String(){ content = new T[0]; } public String(T e){ content = new T[]{e}; } public String(T e1, T e2){ content = new T[]{e1, e2}; } public String(T e1, T e2, T e3){ content = new T[]{e1, e2, e3}; } public int CompareTo(String<T> other){ int thisLength = this.content.Length, otherLength = other.content.Length; for (int i = 0; i < Math.Min(thisLength,otherLength); i++){ if (this.content[i].CompareTo(other.content[i]) < 0) return -1; else if (this.content[i].CompareTo(other.content[i]) > 0)
  • 394.
    388 31 32 33 34 35 36 37 38 39 40 41 42 43 44 45 46 47 48 49 50 51 return 1; } // longestpossible prefixes of this and other are pair-wise equal. if (thisLength < otherLength) return -1; else if (thisLength > otherLength) return 1; else return 0; } public override string ToString(){ string res = "["; for(int i = 0; i < content.Length;i++){ res += content[i]; if (i < content.Length - 1) res += ", "; } res += "]"; return res; } } Program 42.5 The generic class String<T>. In line 5 we see that a string of T-elements is represented as an array of T elements. This is a natural and straightforward choice. Next we see four constructors, which allows us to make strings of zero, one, two or three parameters. This is convenient, and good enough for toy usage. For real life use, we need a general constructor that accepts an array of T elements. The can most conveniently be made by use of parameter arrays, see Section 20.9. After the constructors, from line 23-39, we see our implementation of CompareTo. From an overall point of view we can observe that it uses CompareTo of type T, as discussed above. This is the blue aspects in line 28 and 30. It may be sufficient to make this observation for some readers. If you want to understand what goes on inside the method, read on. Recall that CompareTo must return a negative result if the current object is less than other, 0 if the current object is equal to other, and a positive result if the current object is greater than other. The for-loop in line 27 traverses the overlapping prefixes of two strings. Inside the loop we return a result, if it is possible to do so. If the for-loop terminates, the longest possible prefixes of the two string are equal to each other. The lengths of the two strings are now used to determine a result. If T is the type char, if the current string is "abcxy", and if other is "abcxyz", we compare "abcxy" with "abcxy" in the for loop. "abcxy" is shorter than "abcxyz", and therefore the result of the comparison -1. The method ToString starting in line 41 allows us to print instances of String<T> in the usual way. In Program 42.6 we see a client class of String<T>. We construct and compare strings of integers, strings of strings, strings of doubles, strings of booleans, and strings of dice. The dimmed method ReportCompare activates the String<T> operation CompareTo on pairs of such strings. ReportCompare is a generic method, and it will be "undimmed" and explained in Program 43.1. Take a look at the program output in Listing 42.7 and be sure that you can understand the results.
  • 395.
    389 1 2 3 4 5 6 7 8 9 10 11 12 13 14 15 16 17 18 19 20 21 22 23 24 25 using System; class StringApp{ publicstatic void Main(){ ReportCompare(new String<int>(1, 2), new String<int>(1)); ReportCompare(new String<string>("1", "2", "3"), new String<string>("1")); ReportCompare(new String<double>(0.5, 1.7, 3.0), new String<double>(1.0, 1.7, 3.0)); ReportCompare(new String<bool>(true, false), new String<bool>(false, true)); ReportCompare(new String<Die>(new Die(), new Die()), new String<Die>(new Die(), new Die())); } public static void ReportCompare<T>(String<T> s, String<T> t) where T: IComparable<T>{ Console.WriteLine("Result of comparing {0} and {1}: {2}", s, t, s.CompareTo(t)); } } Program 42.6 Illustrating Strings of different types. 1 2 3 4 5 Result of comparing [1, 2] and [1]: 1 Result of comparing [1, 2, 3] and [1]: 1 Result of comparing [0,5, 1,7, 3] and [1, 1,7, 3]: -1 Result of comparing [True, False] and [False, True]: 1 Result of comparing [[3], [6]] and [[3], [5]]: 1 Listing 42.7 Output from the String of different types program. Exercise 11.3. Comparable Pairs This exercise is inspired by an example in the book by Hansen and Sestoft: C# Precisely. Program a class ComparablePair<T,U> which implements the interface IComparable<ComparablePair<T,U>>. If you prefer, you can build the class ComparablePair<T,U> on top of class Pair<S,T> from an earlier exercise in this lecture. It is required that T and U are types that implement Icomparable<T> and Icomparable<U> respectively. How is that expressed in the class ComparablePair<T,U>? The generic class ComparablePair<T,U> should represent a pair (t,u) of values/objects where t is of type T and u is of type U. The generic class should have an appropriate constructor that initializes both parts of the pair. In addition, there should be properties that return each of the parts. Finally, the class should - of course - implement the operation CompareTo because it is prescribed by the interface System.IComparable<ComparablePair<T,U>>. Given two pairs p = (a,b) and q= (c,d). p is considered less than q if a is less than c. If a is equal to
  • 396.
    390 c then band d controls the ordering. This is similar to lexicographic ordering on strings. If needed, you may get useful inspiration from the Icomparable class String<T> on the accompanying slide. Be sure to test-drive your solution! 42.5. Another example of constraints Lecture 11 - slide 11 We will now illustrate the need for the class and struct constraints. We have already touched on these constraints in our discussion of Program 42.4. In Program 42.8 we have two generic classes C and D. Each of them have a single type parameter, T and U respectively. As shown with red color in line 7 and 15, the compiler complains. In line 7 we assign the value null to the variable f of type T. In line 15 we make a nullable type U? from U. (If you wish to be reminded about nullable types, consult Section 14.9). Before you go on, attempt to explain the error messages, which are shown as comments in Program 42.8. 1 2 3 4 5 6 7 8 9 10 11 12 13 14 15 16 /* Example from Hansen and Sestoft: C# Precisely */ class C<T>{ // Compiler Error message: // Cannot convert null to type parameter 'T' because it could // be a value type. Consider using 'default(T)' instead. T f = null; } class D<U>{ // Compiler Error message: // The type 'U' must be a non-nullable value type in order to use // it as parameter 'T' in the generic type or method // 'System.Nullable<T>' U? f; } Program 42.8 Two generic classes C and D - with compiler errors. In Program 42.9 we show new versions of C<T> and D<U>. Shown in purple we emphasize the constraints that are necessary for solving the problems. The instance variable f of type T in C<T> is assigned to null. This only makes sense if T is a reference type. Therefore the class constraint on T is necessary. The use of U? in D<U> only makes sense if U is a value type. (To understand this, you are referred to the discussion in Section 14.9). Value types in C# are provided by structs (see Section 6.6). The struct constraint on U is therefore the one to use.
  • 397.
    391 1 2 3 4 5 6 7 8 9 10 11 12 13 14 15 16 17 18 19 20 21 22 23 /* Example fromHansen and Sestoft: C# Precisely */ class C<T> where T: class{ T f = null; } class D<U> where U: struct{ U? f; } class Appl{ // Does NOT compile: C<double> c = new C<double>(); D<A> d = new D<A>(); // OK: C<A> c1 = new C<A>(); D<double> d1 = new D<double>(); } class A{} Program 42.9 Two generic classes C and D - with the necessary constraints. In line 11-21 we show clients of C<T> and D<U>. The compiler errors in line 14 and 15 are easy to explain. The type double is not a reference type, and A, which is programmed in line 23, is not a value type. Therefore double and A violate the constraints of C<T> and D<U>. In line 18 and 19 we switch the roles of double and A. Now everything is fine. 42.6. Variance Lecture 11 - slide 12 Consider the question asked in the following box. A CheckAccount is a BankAccount But is a Set<CheckAccount> a Set<BankAccount> ? You are encouraged to review our discussion of the is a relation in Section 25.2. The question is how Set<T> is varies when T varies. Variation in this context is specialization, cf. Chapter 25. Is Set<T> specialized when T is specialized? Take a look at Program 42.10. In line 7-14 we construct a number of bank accounts and check accounts, and we make a set of bank accounts (s1, in line 17) and a set of check accounts (s2, in line 18). In line 21 and 22 we populate the two sets. So far so good. Next, in line 25 (shown in purple) we play the polymorphism game as we have done many times earlier, for example in line
  • 398.
    392 13 of Program28.17. If Set<CheckAccount> is a Set<BankAccount> line 25 of Program 42.10 should be OK (just as line 13 of Program 28.17 is OK). The compiler does not like line 25, however. The reason is that Set<CheckAccount> is NOT a Set<BankAccount>. If we for a moment assume that Set<CheckAccount> is a Set<BankAccount> the rest of the program reveals the troubles. We insert a new BankAccount object in s1, and via the alias established in line 25, the new BankAccount object is also inserted into s2. When we in line 34-35 iterate through all the CheckAccount objects of the set s2, we encounter an instance of BankAccount. We cannot carry out a SomeCheckAccountOperation on an instance of BankAccount. 1 2 3 4 5 6 7 8 9 10 11 12 13 14 15 16 17 18 19 20 21 22 23 24 25 26 27 28 29 30 31 32 using System; class SetOfAccounts{ public static void Main(){ // Construct accounts: BankAccount ba1 = new BankAccount("John", 0.02), ba2 = new BankAccount("Anne", 0.02), ba3 = new BankAccount("Frank", 0.02); CheckAccount ca1 = new CheckAccount("Mike", 0.03), ca2 = new CheckAccount("Lene", 0.03), ca3 = new CheckAccount("Joan", 0.03); // Constructs empty sets of accounts: Set<BankAccount> s1 = new Set<BankAccount>(); Set<CheckAccount> s2 = new Set<CheckAccount>(); // Insert elements in the sets: s1.Insert(ba1); s1.Insert(ba2); s2.Insert(ca1); s2.Insert(ca2); // Establish s1 as an alias to s2 s1 = s2; // Compile-time error: // Cannot implicitly convert type 'Set<CheckAccount>' // to 'Set<BankAccount>' // Insert a BankAccount object into s1, // and via the alias also in s2 s1.Insert(new BankAccount("Bodil", 0.02));
  • 399.
    393 33 34 35 36 37 38 39 40 41 42 43 // Activates someCheckAccount operation on a BankAccount object foreach(CheckAccount ca in s2) ca.SomeCheckAccountOperation(); Console.WriteLine("Set of BankAccount: {0}", s1); Console.WriteLine("Set of CheckAccount: {0}", s2); } } Program 42.10 Sets of check accounts and bank accounts. The experimental insight obtained above is - perhaps - against our intuition. It can be argued that an instance of Set<CheckAccount> should be a valid stand in for an instance of Set<BankAccount>, as attempted in line 25. On the other hand, it can be asked if the extension of Set<CheckAccount> is a subset of Set<BankAccount>. (See Section 25.2 for a definition of extension). Or asked in this way: Is the set of set of check accounts a subset of a set of set of bank accounts? As designed in Section 25.3 the set of CheckAccounts is a subset of the set of BankAccount. But this does not imply that the set of set of CheckAccount is a subset of the set of set of BankAccount. A set of CheckAccount (understood as a single objects) is incompatible with a set of BankAccount (understood as a single object). Figure 42.1 A set of bank accounts and a set of check accounts In Program 42.10 we establish the scene illustrated in Figure 42.1. More precisely, the illustration shows the situation as of line 28 of Program 42.10. The problem is that we in line 31 add a new instance of BankAccount to s1, which refers to an instance of Set<CheckAccount>. Later in the program (line 35) this would cause "a minor explosion" if the program was allowed to reach this point . Thus, the real problem occurs if we mutate the set of check accounts that are referred from a variable of static type Set<BankAccount>. (See Section 28.10 for the definition of static type). In general, we distinguish between the following kinds of variances in between Set<T> and T:
  • 400.
    394 • Covariance • Theset types vary in the same way as the element types • Contravariance • The set types vary in the opposite way as the element types • Invariance • The set types are not affected by the variations of the element types If Program 42.10 could be compiled and executed without problems (if line 25 is considered OK), then we would have covariance between Set<T> and T In C# Set<T> is invariant in relation to T. We notice that the problem discussed above is similar to the parameter variance problem, which we discussed in Section 29.2. C# and Java do both agree on invariance in between Set<T> and T. But in contrast to C#, Java has a solution to the problem in terms of wildcard types. We realized above that Set<T> is not a generalization of all sets. In Java 1.5, a wildcard type written as Set<?> (a set of unknown) is a generalization of all sets. It is, however, not possible to mutate an object of static type Set<?>. If you are interested to known more about generics in Java, you should consult Gilad Bracha's tutorial "Generics in the Java Programming Language", [Bracha2004]. 42.7. Generic structs Lecture 11 - slide 13 It is possible to make type parameterized structs, similar to the type parameterized classes that we have seen in the previous sections. As an example we will see how we can define the generic struct Nullable<T> which defines the type behind the notation T? for an arbitrary value type T. Nullable types were discussed earlier in Section 14.9. Recall that nullable types enjoy particular compiler support, beyond the translation of T? to Nullable<T>. This includes support of lifted operators (operators that are extended to work on T? in addition to T) and support of the null value as such. 1 2 3 4 5 6 7 8 9 10 11 12 13 using System; public struct Nullable<T> where T : struct{ private T value; private bool hasValue; public Nullable(T value){ this.value = value; this.hasValue = true; }
  • 401.
    395 14 15 16 17 18 19 20 21 22 23 24 25 26 27 28 public bool HasValue{ get{ returnhasValue; } } public T Value{ get{ if(hasValue) return value; else throw new InvalidOperationException(); } } } Program 42.11 A partial reproduction of struct Nullable<T>. The generic struct Nullable<T> aggregates a value of type T and a boolean value. The boolean value is stored in the boolean instance variable hasValue. If nv is of type Nullable<T> for some value type T, and if the variable hasValue of nv is false, then nv is considered to have the value null. The compiler arranges that the assignment nv = null is translated to nv.hasValue = false. This is somehow done behind the scene because hasValue is private. 42.8. Generic interfaces: IComparable<T> Lecture 11 - slide 14 In this section we will take a look at the generic interface IComparable<T>. We have earlier in the material (Section 31.5) studied the non-generic interface Icomparable, see Program 31.6. If you review your solution to Exercise 8.6 you should be able to spot the weakness of a class ComparableDie, which implements IComparable. The weakness is that the parameter of the method CompareTo must have an Object as parameter. A method with the signature CompareTo(Die) does not implement the interface IComparable. (Due to static overloading of methods in C#, the methods CompareTo(Object) and CompareTo(Die) are two different methods, which just as well could have the signatures ObjectCompareTo(Object) and DieCompareTo(Die)). Thus, as given by the signature of CompareTo, we compare a Die and any possible object. In Program 42.12 we reproduce IComparable<T>. Program 42.12 corresponds to Program 31.6. (Do not use any of these - both interfaces are parts of the System namespace). As it appears, in the generic interface the parameter of CompareTo is of type T. This alleviates the problem of the non- generic interface IComparable.
  • 402.
    396 1 2 3 4 5 using System; public interfaceIComparable <T>{ int CompareTo(T other); } Program 42.12 A reproduction of the generic interface IComparable<T>. Below we show a version of class Die which implements the interface IComparable<Die>. You should notice that this allows us to use Die as formal parameter of the method CompareTo. 1 2 3 4 5 6 7 8 9 10 11 12 13 14 15 16 17 18 19 using System; public class Die: IComparable<Die> { private int numberOfEyes; private Random randomNumberSupplier; private const int maxNumberOfEyes = 6; public Die(){ randomNumberSupplier = Random.Instance(); numberOfEyes = NewTossHowManyEyes(); } public int CompareTo(Die other){ return this.numberOfEyes.CompareTo(other.numberOfEyes); } // Other Die methods } Program 42.13 A class Die that implements IComparable<T>. The implementation of the generic interface is more type safe and less clumsy than the implementation of the non-generic solution 42.9. Generic equality interfaces Lecture 11 - slide 15 Before reading this section you may want to remind yourself about the fundamental equality operations in C#, see Section 13.5. There exist a couple of generic interfaces which prescribes Equals operations. The most fundamental is IEquatable<T>, which prescribes a single Equals instance method. It may be attractive to implement IEquatable in certain structs, because it could avoid the need of boxing the struct value in order to make use of the inherited Equals method from class Object. IEqualityComparer<T> is similar, but it also supports a GetHasCode method. (Notice also that the signatures of the Equals methods are different in the two interfaces. IEquatable<T> prescribes x.Equals(y) whereas IEqualityComparer<T> prescribes Equals(x,y)).
  • 403.
    397 Below, in Program42.14 and Program 42.15 we show reproductions of the two interfaces. Notice again that the two interfaces are present in the namespaces System and System.Collections.Generic respectively. Use them from there if you need them. 1 2 3 4 5 using System; public interface IEquatable <T>{ bool Equals (T other); } Program 42.14 A reproduction of the generic interface IEquatable<T>. 1 2 3 4 5 6 using System; public interface IEqualityComparer <T>{ bool Equals (T x, T y); int GetHashCode (T x); } Program 42.15 A reproduction of the generic interface IEqualityComparer<T>. Several operations in generic collections, such as in List<T> in Section 45.9, need equality operations. The IndexOf method in List<T> is a concrete example, see Section 45.11. Using lst.IndexOf(el) we search for the element el in the list lst. Comparison of el with the elements of the list is done by the default equality comparer of the type T. The abstract generic class EqualityComparer<T> offers a static Default property. The Default property delivers the default equality comparer for type T. The abstract, generic class EqualityComparer<T> implements the interface IEqualityComparer<T>. Unfortunately the relations between the generic interfaces IEquatable<T> and IEqualityComparer<T>, the class EqualityComparer<T> and its subclasses are quite complicated. It seems to be the cases that these interfaces and classes have been patched several times, during the evolution of versions of the .Net libraries. The final landscape of types is therefore more complicated than it could have been desired. 42.10. Generic Classes and Inheritance Lecture 11 - slide 16 In this section we will clarify inheritance relative to generic classes. We will answer the following questions: Can a generic/non-generic class inherit from a non-generic/generic class? The legal and illegal subclassings are summarized below:
  • 404.
    398 • Legal subclassing •A generic subclass of a non-generic superclass • A generic subclass of a constructed superclass • A generic subclass of generic superclass • Illegal subclassing • A non-generic subclass of generic superclass You can refresh the terminology (generic class/constructed class) in Section 42.2. The rules are exemplified below. 1 2 3 4 5 6 7 8 9 10 11 12 13 14 15 16 17 18 19 20 21 22 23 24 using System; // A generic subclass of a non-generic superclass. class SomeGenericSet1<T>: IntSet{ // ... } // A generic subclass of a constructed superclass class SomeGenericSet2<T>: Set<int>{ // ... } // A generic subclass of a generic superclass // The most realistic case class SpecializedSet<T>: Set<T>{ // ... } // A non-generic subclass of a generic superclass // Illegal. Compile-time error: // The type or namespace name 'T' could not be found class Set: Set<T>{ // ... } Program 42.16 Possible and impossible subclasses of Set classes. From line 4 to 6 we are about to program a generic class SomeGenericSet1<T> based on a non- generic class IntSet. This particular task seems to be a difficult endeavor, but it is legal - in general - to use a non-generic class as a subclass of generic class. Next, from line 9 to 11, we are about to program a generic class SomeGenericSet2<T> based on a constructed class Set<int>. This is also OK. From line 15-17 we show the most realistic case. Here we program a generic class based on another generic class. In the specific example, we are about to specialize Set<T> to SpecializedSet<T>. The type parameter T of SpecializedSet<T> also becomes the type parameter of Set<T>. In general, it would also be allowed for SpecializedSet<T> to introduce additional type parameters, such as in SpecializedSet<T,S> : Set<T>.
  • 405.
    399 The case shownfrom line 22 to 24 is illegal, simply because T is not the name of any known type. In line 22, T is name of an actual type parameter, but T is not around! It is most likely that the programmer is confused about the roles of formal and actual type parameters, see Section 42.2. 42.11. References [Bracha2004] Gilad Bracha, "Generics in the Java Programming Language", July 2004. [Golding05] Tod Golding, Professional .NET 2.0 Generics. Wiley Publishing, Inc., 2005.
  • 406.
  • 407.
    401 43. Generic Methods Weare used to working with procedures, functions, and methods with parameters. Procedures, functions and methods are all known as abstractions. A parameter is like a variable that generalizes the abstraction. Each parameter of a procedure, a function, or a method is of a particular type. In this chapter we shall see how such types themselves can be passed as parameters to methods. When methods are parameterized with types, we talk about generic methods. 43.1. Generic Methods Lecture 11 - slide 18 In Section 42.2 we realized that a generic type (such as a generic class) is a template from which it is possible to construct a real class. In the same way, a generic method is template from which we can construct a real method. In C# and similar languages, all methods belong to classes. Some of these classes are generic, some are just simple, ordinary classes. We can have generic methods in both generic types, and in non- generic types. Our first example in Program 43.1 is the generic method ReportCompare in the non-generic class StringApp. ReportCompare is a method in the client class of String<T> which we encountered in Section 42.4. When we first met it, we where not interested in the details of it, so therefore it was dimmed in Program 42.6. Notice first that the method ReportCompare takes two ordinary parameters s and t. They are both of type String<T> for some given type T. The method is supposed to report the ordering of s relative to t via output written to the console. T is a (formal) type parameter of the method. Type parameters of methods are given in "triangular brackets" <...> in between the method name and the ordinary parameter list. It is highlighted with purple in Program 43.1. The formal type parameter of ReportCompare is passed on as an actual type parameter to our generic class String<T> from Section 42.4. If we look at our definition of the generic class String<T> in Program 42.5 we notice that T must implement Icomparable<T>. This is a constraint of T, identical to one of the constraints of type parameters of types, see Section 42.3. The only way to ensure this in Program 43.1 is to add the constraint to the generic method. This is the blue part, see line 15. Notice in line 7-11 of Program 43.1 that the actual type parameter of ReportCompare is not given explicitly. The actual type parameters of the five calls are conveniently inferred from the context. It is, however, possible to pass the actual type parameter explicitly. If we chose to do so, line 7 of Program 43.1 would be ReportCompare<int>(new String<int>(), new String<int>(1));
  • 408.
    402 The remaining aspectsof ReportMethod are simple and straightforward. 1 2 3 4 5 6 7 8 9 10 11 12 13 14 15 16 17 18 19 20 using System; class StringApp{ public static void Main(){ ReportCompare(new String<int>(), new String<int>(1)); ReportCompare(new String<int>(1), new String<int>(1)); ReportCompare(new String<int>(1,2,3), new String<int>(1)); ReportCompare(new String<int>(1), new String<int>(1,2,3)); ReportCompare(new String<int>(1,2,3), new String<int>(1,2,3)); } public static void ReportCompare<T>(String<T> s, String<T> t) where T: IComparable<T>{ Console.WriteLine("Result of comparing {0} and {1}: {2}", s, t, s.CompareTo(t)); } } Program 43.1 The generic method ReportCompare in the generic String programs. Let us now study an additional program example with generic methods. Program 43.2 contains a bubblesort method in line 5-11. Bubblesort sorts an array of element type T, where T is a type parameter of the method. The type parameter makes our bubblesort method more general, because it allow us to sort an array of arbitrary type T. The only requirement is, quite naturally, that objects/values of type type T should be comparable, such that we can ask if one value is less than or equal to another value. This is expressed by the Icomparable<T> constraint on T at the end of line 5. The implementation of bubblesort in Program 43.2 has no surprises. In a double for loop we compare and swap elements. Comparison is made possible because a[i] values are of type T that implements Icomparable<T>. Swapping of elements are done by the Swap method via use of C# ref parameters, see Section 20.6. Notice that Swap is also a generic method, because it can swap values/objects of arbitrary types. Be sure to notice the formal type parameter T of Swap in line 13. Finally we have the generic method ReportArray, (see line 18-21), which simply prints the values of the array to standard output. 1 2 3 4 5 6 7 8 9 10 11 12 using System; class SortDemo{ static void BubbleSort<T>(T[] a) where T: IComparable<T>{ int n = a.Length; for (int i = 0; i < n - 1; ++i) for (int j = n - 1; j > i; --j) if (a[j-1].CompareTo(a[j]) > 0) Swap(ref a[j-1], ref a[j]); }
  • 409.
    403 13 14 15 16 17 18 19 20 21 22 23 24 25 26 27 28 29 30 31 32 33 34 35 36 37 38 39 40 public static voidSwap<T>(ref T a, ref T b){ T temp; temp = a; a = b; b = temp; } public static void ReportArray<T>(T[] a){ foreach(T t in a) Console.Write("{0,4}", t); Console.WriteLine(); } public static void Main(){ double[] da = new double[]{5.7, 3.0, 6.9, -5,3, 0.3}; Die[] dia = new Die[]{new Die(), new Die(), new Die(), new Die(), new Die(), new Die()}; ReportArray(da); BubbleSort(da); ReportArray(da); Console.WriteLine(); ReportArray(dia); BubbleSort(dia); ReportArray(dia); Console.WriteLine(); // Equivalent: ReportArray(da); BubbleSort<double>(da); ReportArray(da); Console.WriteLine(); ReportArray(dia); BubbleSort<Die>(dia); ReportArray(dia); } } Program 43.2 A generic bubble sort program. In the Main method we make an array of doubles and an array of dice. Values of type double are comparable. We compile the program with a version of class Die that implements IComparable<T>, such as the Die class of Program 42.13. The calls of BubbleSort in line 29 and 31 do not supply an actual type parameter to BubbleSort<T>. The compiler is smart enough to infer the actual type parameter from the declared types of the variables da and dia respectively. In line 35 and 37 we show equivalent calls of BubbleSort to which we explicitly supply the actual type parameters double and Die. The output of Program 43.2 is shown in Listing 43.3 (only on web). 43.2. Generic Delegates Lecture 11 - slide 19 Delegates were introduced in Section 22.1. Recall from there that a delegate is a type of methods. In the previous section we learned about generic methods. It therefore not surprising that we also need to discuss generic delegates. In Program 22.3 we introduced a delegate NumericFunction, which covers all function from double to double. In the same program we also introduced Compose, which composes two numeric functions to a single numeric function. In mathematical notation, the composition of f and g is
  • 410.
    404 denoted f og, and it maps x to f(g(x)). We are now going to generalize the function Compose, such that it can be used on other functions of more general signatures. Let us assume that we work with two functions f and g of the following signatures: • g : T → U • f : U → S Thus, g maps a value of type T to a value of type U. f maps a value of type U to a value of type S. The composite function f o g therefore maps a value of type T to a value of type S via a value of type U: • f o g : T → S In line 6 of Program 43.4 we show a delegate called Function, which is a function type that maps a value of type S to values of type T. (It corresponds to NumericFunction in Program 22.3). In line 10-13 of Program 43.4 we show the function Compose, which we motivated above. Function is a generic delegate because it is type parameterized. Compose is a generic method, as discussed in Section 43.1. The generic method PrintTableOfFunction, shown in line 16-23, takes a Function f and an array inputValues of type S[], and it applies and prints f(s) on each element s of inputValues. 1 2 3 4 5 6 7 8 9 10 11 12 13 14 15 16 17 18 19 20 21 22 23 24 25 26 27 28 29 30 31 32 using System; public class CompositionDemo { // A function from S to T public delegate T Function <S,T>(S d); // The generic function for function composition // from T to S via U public static Function<T,S> Compose<T,U,S> (Function<U,S> f, Function<T,U> g){ return delegate(T d){return f(g(d));}; } // A generic PrintTable function public static void PrintTableOfFunction<S,T> (Function<S,T> f, string fname, S[] inputValues){ foreach(S s in inputValues) Console.WriteLine("{0,35}({1,-4:F3}) = {2}", fname, s, f(s)); Console.WriteLine(); } // DieFromInt: int -> Die public static Die DieFromInt(int i){ return new Die(i); } // Round: double -> int public static int Round(double d){ return (int)(Math.Round(d));
  • 411.
    405 33 34 35 36 37 38 39 40 41 42 43 44 45 46 47 48 } public static voidMain(){ double[] input = new double[25]; for(int i = 0; i < 25; i++) input[i] = (double) (i*2); // Compose(DieFromInt, Round): double -> Die // (via int) PrintTableOfFunction(Compose<double,int,Die>(DieFromInt, Round), "Die of double", input); } } Program 43.4 An example that involves other types than double. In line 43 of Main we compose the two functions DieFromInt and Round. They are both programmed explicitly, in line 26 and 31 respectively. The function Round maps a double to an int. The function DieFromInt maps an int to a Die. Thus, Compose(DieFromInt, Round) maps a double to a Die. Notice how we pass the three involved types double, int, and Die as actual type parameters to Compose in line 43. The version of class Die used in Program 43.4 can, for instance, be the class shown in Program 12.6. The parameter of the constructor determines the maximum number of eyes of the die. The output of Program 43.4 is shown in Listing 43.5 (only on web).
  • 412.
    406 43.3. Generic typesand methods - Pros and Cons Lecture 11 - slide 21 In this final section about generic types and methods we will briefly summarize the advantages and disadvantages of generics. • Advantages • Readability and Documentation • More precise indication of types. • Less downcasting from class Object • Type Checking • Better and more precise typechecking • Efficiency • There is a potential for more efficient programs • Less casting - fewer boxings • Disadvantages • Complexity • Yet another abstraction and parametrization-level on top of the existing This ends the general discussion of generics. In the lecture about collections, from Chapter 44 to Chapter 48, we will make heavy use of generic types.
  • 413.
    407 44. Collections -History and Overview This chapter is the first in our coverage of collections. Collections are used to organize and process a number of objects or values of the same type. In almost any real-life program, collections of objects or values play important roles. Collections fit nicely in our agenda of object-oriented programming. A collection holds a number of objects (of the same type), but a concrete collection is also itself an object. The commonalities of a number of collections objects are described by the type of the collection objects. In the following chapters we will encounter a number of different interfaces and classes, which represent collection types. Not surprisingly, generic types as discussed in Chapter 42, play an important role when we wish to deal with collections that are constrained to contain only objects of a particular element type. In the rest of this short introductory chapter we will briefly outline the historic development of collection programming. In the main part of the lecture, Chapter 45 and Chapter 46, we deal with two main categories of collections: Lists and Dictionaries. 44.1. A historic View on Collection Programming Lecture 12 - slide 2 We identify three stages or epochs related to the development of collections: • Native arrays and custom made lists • Fixed sized arrays - limited set of operations • Variable sized linked lists - direct pointer manipulation • First generation collection classes • Elements of type Object - Flexible sizing - Rich repertoire of operations • Type unsafe - Casting - Inhomogeneous collections • Second generation collection classes • The flexibility of the first generation collections remains • Type safe - Generic - Type parameterized - Homogeneous Arrays are fundamental in imperative programming, for instance in C. In older programs - or old-fashioned programs - many collections are dealt with by means of arrays. Many modern programs still use arrays for collections, either due to old habits or because of the inherent efficiency of array processing. The efficiency of arrays stems from the fact that the memory needed for the elements is allocated as a single consecutive area of fixed size. Another fundamental technique for dealing with collections is encountered in linked lists. In linked list one elements is connected to the next element by a pointer. The linking is done by use of pointers. In single- linked list, an element is linked to its successor. In double-linked list, an element is both linked to its successor and to its predecessor. Linked trees, such as binary trees, are also common. In some languages (such as C and Pascal) linked data structures require explicit pointer manipulation. Other languages (such as Lisp) hide the pointers behind the scene.
  • 414.
    408 First generation collectionclasses deemphasize the concrete representation of collections. Instead, the capabilities and interfaces (such as insertion, deletion, searching, conversion, etc) of collections are brought into focus. This reflects good and solid object-oriented thinking. Typical first-generation collection classes blur the distinction between (consecutive) arrays and (linked) lists. The concept of an ArrayList is seen both in early versions of Java and C#. Collection concepts are organized in type hierarchies: A List is a Collection and a Set is a Collection (see Section 25.2). The element type of collections is the most general type in the system, namely Object. As a consequence of this, it is hard to avoid collection of "pears" and "bananas" (inhomogeneous collections). Thus, type safeness must be dealt with at run-time. This is against the trend of static type checking and type safety. We will briefly review the first generation collection classes of C# in Chapter 47. The second (and current) generation of collections make use of generic types (type parameterized classes and interfaces), as discussed in Chapter 42. The weaknesses of the first generation collection classes have been the primary motivation for introduction all the complexity of genericity (see Chapter 41 where we motivated generic classes by a study of the class Set). With use of type parameterized classes we can statically express List<Banana> and List<Pear> and hereby eliminate the risk of type errors at run time. In the following chapters we will - with the exception of Chapter 47 - limit ourselves to study type parameterized collections.
  • 415.
    409 45. Generic Collectionsin C# In this chapter we will study different list interfaces and classes. 45.1. Overview of Generic Collections in C# Lecture 12 - slide 4 We start by showing a type hierarchy of list-related types. The white boxes in Figure 45.1 are interfaces and the grey boxes are classes. Figure 45.1 The class and interface inheritance tree related to Lists All interfaces and classes seen in Figure 45.1, apart from Stack<T> and Queue<T>, will be discussed in the forthcoming sections of the current chapter. The class System.Array (see Section 28.2 ) which conceptually is the superclass of all native array types in C#, also implements the generic interfaces IList<T>. Notice, however, that Array 's implementation of IList<T> is carried out by special means, and that it does not show up in the usual C# documentation. A more detailed discussion of the Array class is carried out in Section 47.1. Version 3.5 of the .NET Framework contains a class, HashSet<T>, that supports the mathematical set concept. As such, it is similar to the class Set<T>, which we used as example for introduction of generic types in Section 42.1. HashSet<T> is, however, much more efficient than Set<T>. 45.2. The Interface IEnumerable<T> Lecture 12 - slide 5 At the most general level of Figure 45.1 traversability is emphasized. This covers the ability to step through all elements of a collection. The interface IEnumerable<T> announces one parameterless method called GetEnumerator. The type parameter T is the type of the elements in the collection. • Operations in the interface IEnumerable<T>: • IEnumerator<T> GetEnumerator ( )
  • 416.
    410 As the nameindicates, GetEnumerator returns an enumerator, which offers the following interface: • Operations in the interface IEnumerator<T>: • T Current • bool MoveNext( ) • void Reset ( ) We have discussed the non-generic versions of both interfaces in Section 31.6. An IEnumerator object is used as the basis of traversal in a foreach loop. Without access to an IEnumerator object it would not be possible to traverse the elements of a collection in a foreach loop. You do not very often use the GetEnumerator operation explicitly in your own program, but you most probably rely on it implicitly! The reason is that many of your collections are traversed, from one end to the other, by use of foreach. The foreach control structure would not work without the operation GetEnumerator. As you can see from Figure 45.1 all of our collections implement the interface IEnumerable<T> and hereby they provide the operation GetEnumerator. It is worth noticing that an object of type IEnumerator<T> does not support removal of elements from the collection. In C# it is therefore not allowed to remove elements during traversal of a collection in a foreach loop. In the Java counterpart to IEnumerator<T> (called Iterator in Java), there is a remove method. The remove method can be called once for each step forward in the collection. remove is an optional operation in the Java Iterator interface. Consequently, removal of elements is not necessarily supported by all implementations of the Java Iterator interface. 45.3. The Interface ICollection<T> Lecture 12 - slide 6 At the next level of Figure 45.1 we encounter the ICollection<T> interface. It can be summarized as follows. • Operations in the interface ICollection<T>: • The operation prescribed in the superinterface IEnumerable<T> • bool Contains(T element) • void Add(T element) • bool Remove(T element) • void Clear() • void CopyTo(T[] targetArray, int startIndex) • int Count • bool IsReadOnly In addition to traversability, elements of type T can be added to and removed from objects of type ICollection<T>. At this level of abstraction, it is not specified where in the collection an element is added. As listed about, a few other operations are supported: Membership testing (Contains), resetting (Clear), copying of the collection to an array (CopyTo), and measuring of size (Count). Some collections cannot be
  • 417.
    411 mutated once theyhave been created. The IsReadOnly property allows us to find out if a given ICollection object is a read only collection. 45.4. The Interface IList<T> Lecture 12 - slide 7 At the next level of interfaces in Figure 45.1 we meet IList<T>. This interface prescribes random access to elements. • Operations in the interface IList<T>: • Those prescribed in the superinterfaces ICollection<T> and IEnumerable<T> • T this[int index] • int IndexOf(T element) • void Insert(int index, T element) • void RemoveAt(int index) In addition to ICollection<T>, the type IList<T> allows for indexed access to the T elements. The first mentioned operation (this) is an indexer, and IndexOf is its inverse operation. (See Chapter 19 for a general discussion of indexers). In addition, IList<T> has operations for inserting and removing elements at given index positions. 45.5. Overview of the class Collection<T> Lecture 12 - slide 8 We now encounter the first class in the collection hierarchy, namely Collection<T>. Most interfaces and classes discussed in this chapter belong to the namespace System.Collections.Generic, but of some odd reason the class Collection<T> belongs to System.Collections.ObjectModel. As can be seen from Figure 45.1 the generic class Collection<T> implements the generic interface IList<T>. As such it supports all the operations of the three interfaces we discussed in Section 45.2 - Section 45.4. As it appears from Figure 45.1 the generic class List<T> implements the same interface. It turns out that Collection<T> is a minimal class which implements the three interfaces, and not much more. As we will see in Section 45.9, List<T> has many more operations, most of which are not prescribed by the interfaces it implement. Basically, an instance of Collection<T> supports indexed access to its elements. Contrary to arrays, however, there is no limit on the number of elements in the collection. The generic class Collection<T> has another twist: It is well suited as a superclass for specialized (non-generic) collections. We will see why and how in Section 45.7. We will not summarize the public interface of Collection<T> in the paper version of material, because it is the sum of the interfaces of IEnumerable<T>, ICollection<T>, and IList<T>. You should, however notice the two constructors of Collection<T>, a parameterless constructor and a non-copying, "wrapping" constructor on an IList<T>.
  • 418.
    412 Collection initializers arenew in C# 3.0. Instead of initializing a collection via an IList, typically an array, such as in Collection<int> lst = new Collection<int>(new int[]{1, 2, 3, 4}); it is possible in C# 3.0 to make use of collection initializers: Collection<int> lst = new Collection{1, 2, 3, 4}; A collection initializer uses the Add method repeatedly to insert the elements within {...} into an empty list. Collection initializers are often used in concert with object initializers, see Section 18.4, to provide for smooth creation of collection of objects, which are instances of our own types. You may be interested to know details of the actual representation (data structure) used internally in the generic class Collection<T>. Is it an array? Is it a linked list? Or is it something else, such as a mix of arrays and lists, or a tree structure? Most likely, it is a resizeable array. Notice however that from an object- oriented programming point of view (implying encapsulation and visibility control) it is inappropriate to ask such a question. It is sufficient to know about the interface of Collection<T> together with the time complexities of the involved operations. (As an additional remark, the source code of the C# libraries written by Microsoft is not generally available for inspection. Therefore we cannot easily check the representation details of the class). The interface of Collection<T> includes details about the execution times of the operations of Collection<T> relative to the size of a collection. We deal with timing issues of the operations in the collection classes in Section 45.17. 45.6. Sample use of class Collection<T> Lecture 12 - slide 9 Let us now write a program that shows how to use the central operations in Collection<T>. In Program 45.1 we use an instance of the constructed class Collection<char>. Thus, we deal with a collection of character values. It is actually worth noticing that we in C# can deal with collections of value types (such as Collection<char>) as well as collections of reference types (such as Collection<Point>). 1 2 3 4 5 6 7 8 9 10 11 12 13 14 15 16 17 18 using System; using System.Collections.ObjectModel; using System.Collections.Generic; class BasicCollectionDemo{ public static void Main(){ // Initialization - use of a collection initializer. After that add 2 elements. IList<char> lst = new Collection<char>{'a', 'b', 'c'}; lst.Add('d'); lst.Add('e'); ReportList("Initial List", lst); // Mutate existing elements in the list: lst[0] = 'z'; lst[1]++; ReportList("lst[0] = 'z'; lst[1]++;", lst); // Insert and push towards the end:
  • 419.
    413 19 20 21 22 23 24 25 26 27 28 29 30 31 32 33 34 35 36 37 38 39 40 41 42 43 44 45 46 47 lst.Insert(0,'n'); ReportList("lst.Insert(0,'n');", lst); // Insertat end - with Insert: lst.Insert(lst.Count,'x'); // equivalent to lst.Add('x'); ReportList("lst.Insert(lst.Count,'x');", lst); // Remove element 0 and pull toward the beginning: lst.RemoveAt(0); ReportList("lst.RemoveAt(0);", lst); // Remove first occurrence of 'c': lst.Remove('c'); ReportList("lst.Remove('c');", lst); // Remove remaining elements: lst.Clear(); ReportList("lst.Clear(); ", lst); } public static void ReportList<T>(string explanation, IList<T> list){ Console.WriteLine(explanation); foreach(T el in list) Console.Write("{0, 3}", el); Console.WriteLine(); Console.WriteLine(); } } Program 45.1 Basic operations on a Collection of characters. The program shown above explains itself in the comments, and the program output in Listing 45.2 is also relatively self-contained. Notice the use of the collection initializer in line 9 of Program 45.1. As mentioned in Section 45.5 collection initializers have been introduced in C# 3.0. In earlier versions of C# it was necessary to initialize a collection by use or an array initializer (see the discussion of Program 6.7) via the second constructor mentioned above. 1 2 3 4 5 6 7 8 9 10 11 12 13 14 15 16 17 18 19 Initial List a b c d e lst[0] = 'z'; lst[1]++; z c c d e lst.Insert(0,'n'); n z c c d e lst.Insert(lst.Count,'x'); n z c c d e x lst.RemoveAt(0); z c c d e x lst.Remove('c'); z c d e x lst.Clear(); Listing 45.2 Output of the program with basic operations on a Collection of characters.
  • 420.
    414 We make thefollowing important observations about the operations in Collection<T>: • The indexer lst[idx] = expr mutates an existing element in the collection • The length of the collection is unchanged • The Insert operation splices a new element into the collection • Push subsequent elements towards the end of the collection • Makes the collection longer • The Remove and RemoveAt operations take elements out of the collections • Pull subsequent elements towards the beginning of the collection • Makes the collection shorter 45.7. Specialization of Collections Lecture 12 - slide 10 Let us now assume that we wish to make our own, specialized (non-generic) collection class of a particular type of objects. Below we will - for illustrative purposes - write a class called AnimalFarm which is intended to hold instances of class Animal. It is reasonable to program AnimalFarm as a subclass of an existing collection class. In this section we shall see that Collection<Animal> is a good choice of superclass of AnimalFarm. The class AnimalFarm depends on the class Animal. You are invited to take a look at class Animal via the accompanying slide . We do not include class Animal here because it does not add new insight to our interests in collection classes. The four operations of class AnimalFarm are shown below. 1 2 3 4 5 6 7 8 9 10 11 12 13 14 15 16 17 18 19 20 21 22 23 24 25 26 using System; using System.Collections.ObjectModel; public class AnimalFarm: Collection<Animal>{ protected override void InsertItem(int i, Animal a){ base.InsertItem(i,a); Console.WriteLine("**InsertItem: {0}, {1}", i, a); } protected override void SetItem(int i, Animal a){ base.SetItem(i,a); Console.WriteLine("**SetItem: {0}, {1}", i, a); } protected override void RemoveItem(int i){ base.RemoveItem(i); Console.WriteLine("**RemoveItem: {0}", i); } protected override void ClearItems(){ base.ClearItems(); Console.WriteLine("**ClearItems"); } } Program 45.3 A class AnimalFarm - a subclass of Collection<Animal> - testing protected members.
  • 421.
    415 It is importantto notice that the four highlighted operations in Program 45.3 are redefinitions of virtual, protected methods in Collection<Animal>. Each of the methods activate the similar method in the superclass (this is method combination). In addition, they reveal on standard output that the protected method has been called. A more realistic example of class AnimalFarm will be presented in Program 45.6. The four operations are not part of the client interface of class AnimalFarm. They are protected operations. The client interface of AnimalFarm is identical to the public operations inherited from Collection<Animal>. It means that we use the operations Add, Insert, Remove etc. on instances of class AnimalFarm. We should now understand the role of the four protected operations InsertItem, RemoveItem, SetItem, and ClearItems relative to the operations in the public client interface. Whenever an element is inserted into a collection, the protected method InsertItem is called. Both Add and Insert are programmed by use of InsertItem. Similarly, both Remove and RemoveAt are programmed by use of RemoveItem. And so on. We see that the major functionality behind the operations in Collection<T> is controlled by the four protected methods InsertItem, RemoveItem, SetItem, and ClearItems. 1 2 3 4 5 6 7 8 9 10 11 12 13 14 15 16 17 18 19 20 21 22 23 24 25 26 27 28 29 30 31 32 33 34 35 36 37 38 39 40 41 42 43 44 using System; using System.Collections.ObjectModel; class App{ public static void Main(){ AnimalFarm af = new AnimalFarm(); // Populating the farm with Add af.Add(new Animal("elephant")); af.Add(new Animal("giraffe")); af.Add(new Animal("tiger")); ReportList("Adding elephant, giraffe, and tiger with Add(...)", af); // Additional population with Insert af.Insert(0, new Animal("dog")); af.Insert(0, new Animal("cat")); ReportList("Inserting dog and cat at index 0 with Insert(0, ...)", af); // Mutate the animal farm: af[1] = new Animal("herring", AnimalGroup.Fish, Sex.Male); ReportList("After af[1] = herring", af); // Remove tiger af.Remove(new Animal("tiger")); ReportList("Removing tiger with Remove(...)", af); // Remove animal at index 2 af.RemoveAt(2); ReportList("Removing animal at index 2, with RemoveAt(2)", af); // Clear the farm af.Clear(); ReportList("Clear the farm with Clear()", af); } public static void ReportList<T>(string explanation, Collection<T> list){ Console.WriteLine(explanation); foreach(T el in list) Console.WriteLine("{0, 3}", el); Console.WriteLine(); Console.WriteLine(); } }
  • 422.
    416 Program 45.4 Asample client of AnimalFarm - revealing use of protected Collection<Animal> methods. Take a close look at the output of Program 45.4 in Listing 45.5. The output explains the program behavior. 1 2 3 4 5 6 7 8 9 10 11 12 13 14 15 16 17 18 19 20 21 22 23 24 25 26 27 28 29 30 31 32 33 34 35 36 37 38 39 40 41 42 43 44 45 **InsertItem: 0, Animal: elephant **InsertItem: 1, Animal: giraffe **InsertItem: 2, Animal: tiger Adding elephant, giraffe, and tiger with Add(...) Animal: elephant Animal: giraffe Animal: tiger **InsertItem: 0, Animal: dog **InsertItem: 0, Animal: cat Inserting dog and cat at index 0 with Insert(0, ...) Animal: cat Animal: dog Animal: elephant Animal: giraffe Animal: tiger **SetItem: 1, Animal: herring After af[1] = herring Animal: cat Animal: herring Animal: elephant Animal: giraffe Animal: tiger **RemoveItem: 4 Removing tiger with Remove(...) Animal: cat Animal: herring Animal: elephant Animal: giraffe **RemoveItem: 2 Removing animal at index 2, with RemoveAt(2) Animal: cat Animal: herring Animal: giraffe **ClearItems Clear the farm with Clear() Listing 45.5 Output from sample client of AnimalFarm.
  • 423.
    417 45.8. Specialization ofCollections - a realistic example Lecture 12 - slide 11 The protected methods in class AnimalFarm, as shown in Section 45.7, did only reveal if/when the protected methods were called by other methods. In this section we will show a more realistic example that redefines the four protected methods of Collection<T> in a more useful way. In the example we program the following semantics of the insertion and removal operations of class AnimalFarm: • If we add an animal, an additional animal of the opposite sex is also added. • Any animal removal or clearing of an animal farm is rejected. In addition, we add a GetGroup operation to AnimalFarm, which returns a collection (an sub animal farm) of all animals that belongs to a given group (such as all birds). The class Animal has not been changed, and it still available via accompanying slide. 1 2 3 4 5 6 7 8 9 10 11 12 13 14 15 16 17 18 19 20 21 22 23 24 25 26 27 28 29 30 31 32 33 34 35 using System; using System.Collections.ObjectModel; public class AnimalFarm: Collection<Animal>{ // Auto insert animal of opposite sex protected override void InsertItem(int i, Animal a){ if(a.Sex == Sex.Male){ base.InsertItem(i,a); base.InsertItem(i, new Animal(a.Name, a.Group, Sex.Female)); } else { base.InsertItem(i,a); base.InsertItem(i,new Animal(a.Name, a.Group, Sex.Male)); } } // Prevent removal protected override void RemoveItem(int i){ Console.WriteLine("[Removal denied]"); } // Prevent clearing protected override void ClearItems(){ Console.WriteLine("[Clearing denied]"); } // Return all male animals in a given group public AnimalFarm GetGroup(AnimalGroup g){ AnimalFarm res = new AnimalFarm(); foreach(Animal a in this) if (a.Group == g && a.Sex == Sex.Male) res.Add(a); return res; } } Program 45.6 The class AnimalFarm - a subclass of Collection<Animal>. Notice the way we implement the rejection in RemoveItem and ClearItems: We do not call the superclass operation.
  • 424.
    418 In Program 45.7(only on web) we show an AnimalFarm client program similar (but not not identical) to Program 45.4. The program output in Listing 45.8 (only on web) reveals the special semantics of the virtual, protected operations from Collection<T> - as redefined in Program 45.6. 45.9. Overview of the class List<T> Lecture 12 - slide 12 We are now going to study the generic class List<T>. As it appears from Figure 45.1 both List<T> and Collection<T> implement the same interface, namely IList<T>, see Section 45.4. But as already noticed, List<T> offers many more operations than Collection<T>. In the same style as in earlier sections, we provide an overview of the important operations of List<T>. • Constructors • List(), List(IEnumerable<T>), List(int) • Via a collection initializer: new List<T> {t1, t2, ..., tn} • Element access • this[int], GetRange(int, int) • Measurement • Count, Capacity • Element addition • Add(T), AddRange(IEnumerable<T>), Insert(int, T), InsertRange(int, IEnumerable<T>) • Element removal • Remove(T), RemoveAll(Predicate<T>), RemoveAt(int), RemoveRange(int, int), Clear() • Reorganization • Reverse(), Reverse(int, int), Sort(), Sort(Comparison<T>), Sort(IComparer<T>), Sort(int, int, IComparer<T>) • Searching • BinarySearch(T), BinarySearch(int, int, T, IComparer<T>), BinarySearch(T, IComparer<T>) • Find(Predicate<T>), FindAll(Predicate<T>), FindIndex(Predicate<T>), FindLast(Predicate<T>), FindLastIndex(Predicate<T>), IndexOf(T), LastIndexOf(T) • Boolean queries • Contains(T), Exists(Predicate<T>), TrueForAll(Predicate<T>) • Conversions • ConvertAll<TOutput>(Converter<T,TOutput>), CopyTo(T[]), Compared with Collection<T> the class List<T> offers sorting, searching, reversing, and conversion operations. List<T> also has a number of "range operations" which operate on a number of elements via a single operation. We also notice a number of higher-order operations: Operations that take a delegate value (a function) as parameter. ConvertAll is a generic method which is parameterized with the type TOutput. ConvertAll accepts a function of delegate type which converts from type T to TOutput.
  • 425.
    419 45.10. Sample useof class List<T> Lecture 12 - slide 13 In this and the following sections we will show how to use some of the operations in List<T>. We start with a basic example similar to Program 45.1 in which we work on a list of characters: List<char>. We insert a number of char values into a list, and we remove some values as well. The program appears in Program 45.9 and the self-explaining output can be seen in Listing 45.10 (only on web). Notice in particular how the range operations InsertRange (line 28) and RemoveRange (line 40) operate on the list. 1 2 3 4 5 6 7 8 9 10 11 12 13 14 15 16 17 18 19 20 21 22 23 24 25 26 27 28 29 30 31 32 33 34 35 36 37 38 39 40 41 42 43 44 45 46 47 48 49 50 51 using System; using System.Collections.Generic; /* Very similar to our illustration of class Collection<char> */ class BasicListDemo{ public static void Main(){ // List initialization and adding elements to the end of the list: List<char> lst = new List<char>{'a', 'b', 'c'}; lst.Add('d'); lst.Add('e'); ReportList("Initial List", lst); // Mutate existing elements in the list lst[0] = 'z'; lst[1]++; ReportList("lst[0] = 'z'; lst[1]++;", lst); // Insert and push towards the end lst.Insert(0,'n'); ReportList("lst.Insert(0,'n');", lst); // Insert at end - with Insert lst.Insert(lst.Count,'x'); // equivalent to lst.Add('x'); ReportList("lst.Insert(lst.Count,'x');", lst); // Insert a new list into existing list, at position 2. lst.InsertRange(2, new List<char>{'1', '2', '3', '4'}); ReportList("lst.InsertRange(2, new List<char>{'1', '2', '3', '4'});", lst); // Remove element 0 and push toward the beginning lst.RemoveAt(0); ReportList("lst.RemoveAt(0);", lst); // Remove first occurrence of 'c' lst.Remove('c'); ReportList("lst.Remove('c');", lst); // Remove 2 elements, starting at element 1 lst.RemoveRange(1, 2); ReportList("lst.RemoveRange(1, 2);", lst); // Remove all remaining digits lst.RemoveAll(delegate(char ch){return Char.IsDigit(ch);}); ReportList("lst.RemoveAll(delegate(char ch){return Char.IsDigit(ch);});", lst); // Test of all remaining characters are letters if (lst.TrueForAll(delegate(char ch){return Char.IsLetter(ch);})) Console.WriteLine("All characters in lst are letters"); else Console.WriteLine("NOT All characters in lst are letters"); }
  • 426.
    420 52 53 54 55 56 57 58 59 60 public static voidReportList<T>(string explanation, List<T> list){ Console.WriteLine(explanation); foreach(T el in list) Console.Write("{0, 3}", el); Console.WriteLine(); Console.WriteLine(); } } Program 45.9 Basic operations on a List of characters. 45.11. Sample use of the Find operations in List<T> Lecture 12 - slide 14 In this section we will illustrate how to use the search operations in List<T>. More specifically, we will apply the methods Find, FindAll and IndexOf on an instance of List<Point>, where Point is a type, such as defined by the struct in Program 14.12. The operations discussed in this section do all use linear search. It means that they work by looking at one element after the other, in a rather trivial way. As a contrast, we will look at binary search operations in Section 45.13, which searches in a "more advanced" way. In the program below - Program 45.11 - we declare a List<Point> in line 11, and we add six points to the list in line 13-16. In line 20 we shown how to use Find to locate the first point in the list whose x-coordinate is equal to 5. The same is shown in line 25. The difference between the two uses of Find is that the first relies on a delegate given on the fly: delegate(Point q){return (q.Getx() == 5);}, while the other relies on an existing static method FindX5 (defined in line 40 - 42). The approach shown in line 20 is, in my opinion, superior. In line 29 we show how to use the variant FindAll, which returns a Point list instead of just a single Point, as returned by Find. In line 36 we show how IndexOf can be used to find the index of a given Point in a Point list. It is worth asking how the Point parameter of IndexOf is compared with the points in Point list. The documentation states that the points are compared by use of the default equality comparer of the type T, which in our case is struct Point. We have discussed the default equality comparer in Section 42.9 in the slipstream of our coverage of the generic interfaces IEquatable<T> and IEqualityComparer<T>. We use the static method ReportList to show a Point list on standard output. We call ReportList several times in Program 45.11. The program output is shown in Listing 45.12. 1 2 3 4 5 6 7 8 9 10 11 12 13 14 15 16 using System; using System.Collections.Generic; class C{ public static void Main(){ System.Threading.Thread.CurrentThread.CurrentCulture = new System.Globalization.CultureInfo("en-US"); List<Point> pointLst = new List<Point>(); // Construct points and point list: pointLst.Add(new Point(0,0)); pointLst.Add(new Point(5, 9)); pointLst.Add(new Point(5,4)); pointLst.Add(new Point(7.1,-13)); pointLst.Add(new Point(5,-2)); pointLst.Add(new Point(14,-3.4));
  • 427.
    421 17 18 19 20 21 22 23 24 25 26 27 28 29 30 31 32 33 34 35 36 37 38 39 40 41 42 43 44 45 46 47 48 49 50 51 52 53 54 55 ReportList("Initial point list",pointLst); // Find first point in list with x coordinate 5 Point p = pointLst.Find(delegate(Point q){return (q.Getx() == 5);}); Console.WriteLine("Found with delegate predicate: {0}n", p); // Equivalent. Use predicate which is a static method p = pointLst.Find(new Predicate<Point>(FindX5)); Console.WriteLine("Found with static member predicate: {0}n", p); // Find all points in list with x coordinate 5 List<Point> resLst = new List<Point>(); resLst = pointLst.FindAll(delegate(Point q){return (q.Getx() == 5);}); ReportList("All points with x coordinate 5", resLst); // Find index of a given point in pointLst. // Notice that Point happens to be a struct - thus value comparison Point searchPoint = new Point(5,4); Console.WriteLine("Index of {0} {1}", searchPoint, pointLst.IndexOf(searchPoint)); } public static bool FindX5(Point p){ return p.Getx() == 5; } public static void ReportList<T>(string explanation,List<T> list){ Console.WriteLine(explanation); int cnt = 0; foreach(T el in list){ Console.Write("{0, 3}", el); cnt++; if (cnt%4 == 0) Console.WriteLine(); } if (cnt%4 != 0) Console.WriteLine(); Console.WriteLine(); } } Program 45.11 Sample uses of List.Find. 1 2 3 4 5 6 7 8 9 10 11 12 Initial point list Point:(0,0). Point:(5,9). Point:(5,4). Point:(7.1,-13). Point:(5,-2). Point:(14,-3.4). Found with delegate predicate: Point:(5,9). Found with static member predicate: Point:(5,9). All points with x coordinate 5 Point:(5,9). Point:(5,4). Point:(5,-2). Index of Point:(5,4). 2 Listing 45.12 Output from the Find program.
  • 428.
    422 45.12. Sample useof Sort in List<T> Lecture 12 - slide 15 As a client user of the generic class List<T> it is likely that you never need to write a sorting procedure! You are supposed to use one of the already existing Sort methods in List<T>. Sorting the elements in a collection of elements of type T depends on a less than or equal operation on T. If the type T is taken directly from the C# libraries, it may very well be the case that we can just use the default less than or equal operation of the type T. If T is one of our own types, we will have to supply an implementation of the comparison operation ourselves. This can be done by passing a delegate object to the Sort method. Below, in Program 45.13 we illustrate most of the four overloaded Sort operations in List<T>. The actual type parameter in the example, passed for T, is int. The program output (the lists before and after sorting) is shown in Listing 45.14 (only on web). 1 2 3 4 5 6 7 8 9 10 11 12 13 14 15 16 17 18 19 20 21 22 23 24 25 26 27 28 29 30 31 32 33 34 35 36 37 38 39 40 41 42 43 44 using System; using System.Collections.Generic; class C{ public static void Main(){ List<int> listOriginal = new List<int>{5, 3, 2, 7, -4, 0}, list; // Sorting by means of the default comparer of int: list = new List<int>(listOriginal); ReportList(list); list.Sort(); ReportList(list); Console.WriteLine(); // Equivalent - explicit notatation of the Comparer: list = new List<int>(listOriginal); ReportList(list); list.Sort(Comparer<int>.Default); ReportList(list); Console.WriteLine(); // Equivalent - explicit instantiation of an IntComparer: list = new List<int>(listOriginal); ReportList(list); list.Sort(new IntComparer()); ReportList(list); Console.WriteLine(); // Similar - use of a delegate value for comparison: list = new List<int>(listOriginal); ReportList(list); list.Sort(delegate(int x, int y){ if (x < y) return -1; else if (x == y) return 0; else return 1;}); ReportList(list); Console.WriteLine(); }
  • 429.
    423 45 46 47 48 49 50 51 52 53 54 55 56 57 58 59 60 61 public static voidReportList<T>(List<T> list){ foreach(T el in list) Console.Write("{0, 3}", el); Console.WriteLine(); } } public class IntComparer: Comparer<int>{ public override int Compare(int x, int y){ if (x < y) return -1; else if (x == y) return 0; else return 1; } } Program 45.13 Four different activations of the List.Sort method. Throughout Program 45.13 we do several sortings of listOriginal, as declared in line 8. In line 14 we rely the default comparer of type int. The default comparer is explained in the following way in the .NET framework documentation of List.Sort: This method uses the default comparer Comparer.Default for type T to determine the order of list elements. The Comparer.Default property checks whether type T implements the IComparable generic interface and uses that implementation, if available. If not, Comparer.Default checks whether type T implements the IComparable interface. If type T does not implement either interface, Comparer.Default throws an InvalidOperationException. The sorting done in line 21 is equivalent to line 14. In line 21 we show how to pass the default comparer of type int explicitly to the Sort method. Let us now assume the type int does not have a default comparer. In other words, we will have to implement the comparer ourselves. The call of Sort in line 28 passes a new IntComparer instance to Sort. The class IntComparer is programmed in line 53-61, at the bottom of Program 45.13. Notice that IntComparer is a subclass of Comparer<int>, which is an abstract class in the namespace System.Collections.Genericwith an abstract method named Compare. The generic class Comparer<T> is in many ways similar to the class EqualityComparer<T>, which we touched on in Section 42.9. Most important, both have a static Default property, which returns a comparer object. As a final resort that always works we can pass a comparer function to Sort. In C#, such a function is programmed as a delegate. (Delegates are discussed in Chapter 22). Line 35-40 shows how this can be done. Notice that the delegate we use is programmed on the fly. This style of programming is a reminiscence of functional programming. I find it much more natural to pass an ordering method instead of an object of a class with an ordering method. (The latter is a left over from older object-oriented programming languages in which the only way to pass a function F as parameter is via an object of a class in which F is an instance method). In general, I also prefer to be explicit about the ordering instead of relying on some default ordering which may turn out to surprise you. Let us summarize the lessons that we have learned from the example:
  • 430.
    424 • Some typeshave a default comparer which is used by List.Sort() • The default comparer of T can extracted by Comparer<T>.Default • An anonymous delegate comparer is attractive if the default comparer of the type does not exist, of if it is inappropriate. Exercise 12.1. Shuffle List Write a Shuffle operation that disorders the elements of a collection in a random fashion. A shuffle operation is useful in many context. There is no Shuffle operation in System.Collections.Generic.List<T>. In the similar Java libraries there is a shuffle method. In which class do you want to place the Shuffle operation? You may consider to make use of extension methods. You can decide on programming either a mutating or a non-mutating variant of the operation. Be sure to understand the difference between these two options. Test the Shuffle operation, for instance on List<Card>. The class Card (representing a playing card) is one of the classes we have seen earlier in the course. Exercise 12.2. Course and Project classes In the earlier exercise about courses and projects (found in the lecture about abstract classes and interfaces) we refined the program about BooleanCourse, GradedCourse, and Project. Revise your solution (or the model solution) such that the courses in the class Project are represented as a variable of type List<Course> instead of by use of four variables of type Course. Reimplement and simplify the method Passed in class Project. Take advantage of the new representation of the courses in a project, such that the "3 out of 4 rule" (see the original exercise) is implemented in a more natural way. 45.13. Sample use of BinarySearch in List<T> Lecture 12 - slide 16 The search operations discussed in Section 45.11 all implemented linear search processes. The search operations of this section implement binary search processes, which are much faster when applied on large collections. On collections of size n, linear search has - not surprisingly - time complexity O(n). Binary search has time complexity O(log n). When n is large, the difference between n and log n is dramatic. The BinarySearch operations in List<T> require, as a precondition, that the list is ordered before the search is performed. If necessary, the Sort operation (see Section 45.12) can be used to establish the ordering. You may ask why we should search for an element which we - in the starting point - is able to pass as input to the BinarySearch method. There is a couple of good answers. First, we may be interested to know if the element is present or not in the list. Second, it may also be possible to search for an incomplete object (by only comparing some selected fields in the Comparer method). Using this approach we are actually interested in finding the complete object, with all the data fields, in the collection.
  • 431.
    425 If the BinarySearchoperation finds an element in the list, the index of the element is returned. This is a non- negative integer. If the element is not found, a negative integer, say i, is returned. Below we will see that that -i (or more precisely the bitwise complement ~i) in that case is the position of the element, if it had been present in the list. 1 2 3 4 5 6 7 8 9 10 11 12 13 14 15 16 17 18 19 20 21 22 23 24 25 26 27 28 29 30 31 32 33 34 35 36 37 38 39 40 41 42 43 44 45 46 47 48 49 50 51 52 53 54 55 56 57 58 59 using System; using System.Collections.Generic; class BinarySearchDemo{ public static void Main(){ System.Threading.Thread.CurrentThread.CurrentCulture = new System.Globalization.CultureInfo("en-US"); List<Point> pointLst = new List<Point>(); // Point is a struct. // Construct points and point list: pointLst.Add(new Point(0,0)); pointLst.Add(new Point(5, 9)); pointLst.Add(new Point(5,4)); pointLst.Add(new Point(7.1,-13)); pointLst.Add(new Point(5,-2)); pointLst.Add(new Point(14,-3.4)); ReportList("The initial point list", pointLst); // Sort point list, using a specific point Comparer. // Notice the PointComparer: // Ordering according to sum of x and y coordinates IComparer<Point> pointComparer = new PointComparer(); pointLst.Sort(pointComparer); ReportList("The sorted point list", pointLst); int res; Point searchPoint; // Run-time error. // Failed to compare two elements in the array. // searchPoint = new Point(5,4); // res = pointLst.BinarySearch(searchPoint); // Console.WriteLine("BinarySearch for {0}: {1}", searchPoint, res); searchPoint = new Point(5,4); res = pointLst.BinarySearch(searchPoint, pointComparer); Console.WriteLine("BinarySearch for {0}: {1}", searchPoint, res); searchPoint = new Point(1,8); res = pointLst.BinarySearch(searchPoint, pointComparer); Console.WriteLine("BinarySearch for {0}: {1}", searchPoint, res); } public static void ReportList<T>(string explanation,List<T> list){ Console.WriteLine(explanation); int cnt = 0; foreach(T el in list){ Console.Write("{0, 3}", el); cnt++; if (cnt%4 == 0) Console.WriteLine(); } if (cnt%4 != 0) Console.WriteLine(); Console.WriteLine(); } } // Compare the sum of the x and y coordinates.
  • 432.
    426 60 61 62 63 64 65 66 67 68 69 70 71 // Somewhat non-traditional! publicclass PointComparer: Comparer<Point>{ public override int Compare(Point p1, Point p2){ double p1Sum = p1.Getx() + p1.Gety(); double p2Sum = p2.Getx() + p2.Gety(); if (p1Sum < p2Sum) return -1; else if (p1Sum == p2Sum) return 0; else return 1; } } Program 45.15 Sample uses of List.BinarySearch. Program 45.15 works on a list of points. Six points are created and inserted into a list in line 13-16. Next, in line 23, the list is sorted. As it appears from the Point comparer programmed in line 62-72, a point p is less than or equal to point q, if p.x + p.y <= q.x + q.y. You may think that this is odd, but it is our decision for this particular program example. In line 33 we attempt to activate binary searching by use of the default comparer. But such a comparer does not exist for class Point. This problem is revealed at run-time. In line 37 and 41 we search for the points (5,4) and (1,8) respectively. In both cases we expect to find the point (5,4), which happens to be located at place 3 in the sorted list. The output of the program, shown in Program 45.17 (only on web) confirms this. In the next program, Program 45.17 we illustrate what happens if we search for a non-existing point with BinarySearch. The class PointComparer and the generic method ReportList are not shown in the paper version of Program 45.17. Please consult Program 45.15 where they both appear. 1 2 3 4 5 6 7 8 9 10 11 12 13 14 15 16 17 18 19 20 21 22 23 24 25 26 27 28 29 using System; using System.Collections.Generic; class BinarySearchDemo{ public static void Main(){ System.Threading.Thread.CurrentThread.CurrentCulture = new System.Globalization.CultureInfo("en-US"); List<Point> pointLst = new List<Point>(); // Construct points and point list: pointLst.Add(new Point(0,0)); pointLst.Add(new Point(5, 9)); pointLst.Add(new Point(5,4)); pointLst.Add(new Point(7.1,-13)); pointLst.Add(new Point(5,-2)); pointLst.Add(new Point(14,-3.4)); ReportList("Initial point list", pointLst); // Sort point list, using a specific point Comparer: IComparer<Point> pointComparer = new PointComparer(); pointLst.Sort(pointComparer); ReportList("Sorted point list", pointLst); int res; Point searchPoint; searchPoint = new Point(1,1); res = pointLst.BinarySearch(searchPoint, pointComparer); Console.WriteLine("BinarySearch for {0}: {1}n", searchPoint, res);
  • 433.
    427 30 31 32 33 34 35 36 37 38 39 40 41 42 if (res <0){ // search point not found pointLst.Insert(~res, searchPoint); // Insert searchPoint such // that pointLst remains sorted Console.WriteLine("Inserting {0} at index {1}", searchPoint, ~res); ReportList("Point list after insertion", pointLst); } } // ReportList not shown } // Class PointComparer not shown Program 45.17 Searching for a non-existing Point. The scene of Program 45.17 is the same as that of Program 45.15. In line 28 we do binary searching, looking for the point (1,1). None of the points in the program have an "x plus y sum" of 2. Therefore, the point (1,1) is not located by BinarySearch. The BinarySearch method returns a negative ghost index. The ghost index is the bitwise complement of the index where to insert the point in such a way that the list will remain sorted. (Notice the bitwise complement operation ~ which turns 0 to 1 and 1 to 0 at the binary level). The program output reveals that position ~(-3) is the natural place of the point (1,1) to maintain the ordering of the list. Notice that the value of ~(-3) is 2, due the use of two's complement arithmetic. This explains the rationale of the negative values returned by BinarySearch. The output of Program 45.17 is shown in Listing 45.18 (only on web). Contrary to Sort, it is not possible to pass a delegate to BinarySearch. This seems to be a flaw in the design of the List<T> library. We have learned the following lessons about BinarySearch: • Binary search can only be done on sorted lists • In order to use binary search, we need - in general - to provide an explicit Comparer object • Binary search returns a (non-negative) integer if the element is found • The index of the located element • Binary search returns a negative integer if the element is not found • The complement of this number is a ghost index • The index of the element if it had been in the list 45.14. Overview of the class LinkedList<T> Lecture 12 - slide 17 The collections implemented by Collection<T> of Section 45.5 and List<T> of Section 45.9 were based on arrays. We will now turn our interest towards a list type, which is based on a linked representation. Below, in Figure 45.2 we show the object-structure of a double linked list.
  • 434.
    428 Figure 45.2 Adouble linked list where instances of LinkedListNode keep the list together The generic class LinkedList<T> relies on a "building block class" LinkedListNode<T>. We need to deal with instances of LinkedListNodes when we work with linked lists in C#. In other words, LinkedListNode is not just a class behind the scene - it is an important class for clients of LinkedListNode<T>. In Figure 45.2 the five rectangular nodes are instances of LinkedListNode<T> for some element type T. The circular, green nodes are instances of the element type T. We will study LinkedListNode<T> in Section 45.15 after we have surveyed the list operations in LinkedList<T>. As it can be seen from the class diagram of the list class in Figure 45.1, LinkedList<T> implements the interface ICollection<T>, see Section 45.3. Unlike Collection<T> and List<T>, LinkedList<T> does not implement indexed access, as of Ilist<T>. This is a natural choice because indexed access is not efficient in a linked representation. The following operations are available in LinkedList<T>: • Constructors • LinkedList(), LinkedList(IEnumerable<T>) • Accessors (properties) • First, Last, Count • Element addition • AddFirst(T), AddFirst(LinkedListNode<T>), AddLast(T), AddLast(LinkedListNode<T>), AddBefore(LinkedListNode<T>, T), AddBefore(LinkedListNode<T>, LinkedListNode<T>), AddAfter(LinkedListNode<T>, T), AddAfter(LinkedListNode<T>, LinkedListNode<T>), Add(T) • Element removal • Remove(T), Remove(LinkedListNode<T>), RemoveFirst(), RemoveLast(), Clear() • Searching • Find(T), FindLast(T) • Boolean queries • Contains(T) A linked list can be constructed as an empty collection or as a collection filled with elements from another collection, represented as an IEnumerable<T>, see Section 45.2. The First and Last properties access the first/last LinkedListNode in the double linked list. Count returns the number of elements in the list - not by counting them each time Count is referred - but via some bookkeeping information encapsulated in a linked list object. Thus, Count is an O(1) operation. Although LinkedList<T> implements the generic interface ICollection<T>, which has a method named Add, the Add operation is not readily available on linked lists. We will in Program 45.19 show that Add is present as an explicit interface implementation, see Section 31.8. Instead of Add, the designers of LinkedList<T> want us to use one of the AddRelative operations: AddFirst, AddLast, AddBefore, and AddAfter. None of these are prescribed by the interface ICollection<T>, however. Each of the AddRelative
  • 435.
    429 operations are overloadedin two variants, such that we can add an element of type T or an object of type LinkedListNode<T> (which in turn reference an object of type T). Using the Remove methods, it is possible to remove an element of type T or a specific instance of LinkedListNode<T>. Remove(T) is an O(n) operation; Remove(LinkedListNode<T>) is an O(1) operation. There are also parameter-less methods for removing the first/last element in the linked list. The time complexity of these are O(1). Finally there are linear search operations from either end of the list: Find and FindLast. The boolean Contains operation is similar to the Find operations. These operations all seem to rely on the Equals operation inherited from class Object. In that way Find, FindLast and Contains are more primitive (not as well-designed) as the similar methods in List<T>. (The documentation in the .NET libraries is silent about these details). 45.15. The class LinkedListNode<T> Lecture 12 - slide 18 As illustrated in Figure 45.2, instances of the generic class LinkedListNode<T> keep a linked list together. In the figure, the rectangular boxes are instances of LinkedListNode<T>. From the figure it appears that each instance of LinkedListNode<T> has three references: One to the left, one to the element, and one to the right. Actually, there is a fourth reference, namely to the linked list instance to which a given LinkedListNode object belongs. The class LinkedListNode<T> is sealed, generic class that represents a non-mutable node in a linked list A LinkedListNode can at most belong to a single linked list The members of LinkedListNode<T> are as follows: • A single constructor LinkedListNode(T) • Four properties • Next - getter • Previous - getter • List - getter • Value - getter and setter The properties Next and Previous access neighbor instances of LinkedListNode<T>. Value accesses the element of type T. List accesses the linked list to which the instance of LinkedListNode belongs. Next, Previous, and List are all getters. Value is both a getter and a setter. It is not possible to initialize or to mutate the fields behind the properties Next, Previous, and List via public interfaces. It is clearly the intention that the linked list - and only linked list - has authority to change these fields. If we programmed our own, special-purpose linked list class it would therefore not be easy to reuse the class LinkedListNode<T>. This is unfortunate.
  • 436.
    430 Related to thediscussion about the interface of LinkedListNode<T> we may ask how LinkedList is allowed to access the private/internal details of an instance of LinkedListNode. The best guess seems to be that the fields are internal. 45.16. Sample use of class LinkedList<T> Lecture 12 - slide 19 We will illustrate the use of LinkedList<T> and LinkedListNode<T> in Program 45.19. In line 8 we make a linked list of integers from an array. Notice the use of the LinkedList constructor LinkedList(IEnumerable<T>). In line 16 we attempt to add the integer 17 to the linked list. This is not possible, because the method Add is not easily available, see the discussion in Section 45.14. If we insist to use Add, it must be done as in line 20. Most likely, you should use one of the Add variants instead, for instance AddFirst or AddLast. 1 2 3 4 5 6 7 8 9 10 11 12 13 14 15 16 17 18 19 20 21 22 23 24 25 26 27 28 29 30 31 32 33 34 35 36 37 38 39 40 41 42 43 using System; using System.Collections.Generic; class LinkedListDemo{ public static void Main(){ LinkedList<int> lst = new LinkedList<int>( new int[]{5, 3, 2, 7, -4, 0}); ReportList("Initial LinkedList", lst); // Using Add. // Compile-time error: 'LinkedList<int>' does not contain a // definition for 'Add' // lst.Add(17); // ReportList("lst.Add(17);" lst); // Add is implemented as an explicit interface implementation ((ICollection<int>)lst).Add(17); ReportList("((ICollection<int>)lst).Add(17);", lst); // Using AddFirst and AddLast lst.AddFirst(-88); lst.AddLast(88); ReportList("lst.AddFirst(-88); lst.AddFirst(88);", lst); // Using Remove. lst.Remove(17); ReportList("lst.Remove(17);", lst); // Using RemoveFirst and RemoveLast lst.RemoveFirst(); lst.RemoveLast(); ReportList("lst.RemoveFirst(); lst.RemoveLast();", lst); // Using Clear lst.Clear(); ReportList("lst.Clear();", lst); } public static void ReportList<T>(string explanation, LinkedList<T> list){ Console.WriteLine(explanation);
  • 437.
    431 44 45 46 47 48 49 foreach(T el inlist) Console.Write("{0, 4}", el); Console.WriteLine(); Console.WriteLine(); } } Program 45.19 Basic operations on a LinkedList of integers. The output of Program 45.19 is shown in Listing 45.20. By studying Listing 45.20 you will learn additional details of the LinkedList operations. 1 2 3 4 5 6 7 8 9 10 11 12 13 14 15 16 Initial LinkedList 5 3 2 7 -4 0 ((ICollection<int>)lst).Add(17); 5 3 2 7 -4 0 17 lst.AddFirst(-88); lst.AddFirst(88); -88 5 3 2 7 -4 0 17 88 lst.Remove(17); -88 5 3 2 7 -4 0 88 lst.RemoveFirst(); lst.RemoveLast(); 5 3 2 7 -4 0 lst.Clear(); Listing 45.20 Output of the program with basic operations on a LinkedList. The LinkedList example in Program 45.19 did not show how to use LinkedListNodes together with LinkedList<T>. To make up for that we will in Program 45.21 concentrate on the use of LinkedList<T> and LinkedListNode<T> together. 1 2 3 4 5 6 7 8 9 10 11 12 13 14 15 16 17 18 19 20 21 22 23 24 25 using System; using System.Collections.Generic; class LinkedListNodeDemo{ public static void Main(){ LinkedList<int> lst = new LinkedList<int>( new int[]{5, 3, 2, 7, -4, 0}); ReportList("Initial LinkedList", lst); LinkedListNode<int> node1, node2, node; node1 = lst.First; node2 = lst.Last; // Run-time error. // The LinkedListNode is already in the list. // Error message: The LinkedList node belongs a LinkedList. /* lst.AddLast(node1); */ // Move first node to last node in list lst.Remove(node1); lst.AddLast(node1); ReportList("node1 = lst.First; lst.Remove(node1); lst.AddLast(node1);", lst); // Navigate in list via LinkedListNode objects
  • 438.
    432 26 27 28 29 30 31 32 33 34 35 36 37 38 39 40 41 42 43 44 45 46 47 48 49 50 51 node1 = lst.First; Console.WriteLine("Thirdelement in list: node1 = lst.First; node1.Next.Next.Value {0}n", node1.Next.Next.Value); // Add an integer after a LinkedListNode object lst.AddAfter(node1, 17); ReportList("lst.AddAfter(node1, 17);", lst); // Add a LinkedListNode object after another LinkedListNode object lst.AddAfter(node1, new LinkedListNode<int>(18)); ReportList("lst.AddAfter(node1, new LinkedListNode<int>(18));" , lst); // Navigate in LinkedListNode objects and add an int before a node: node = node1.Next.Next.Next; lst.AddBefore(node, 99); ReportList("node = node1.Next.Next.Next; lst.AddBefore(node, 99); " , lst); // Navigate in LinkedListNode objects and remove a node. node = node.Previous; lst.Remove(node); ReportList("node = node.Previous; lst.Remove(node);" , lst); } // Method ReportList not shown in this version. } Program 45.21 Basic operations on a LinkedList of integers - using LinkedListNodes. In line 8-9 we make the same initial integer list as in Program 45.19. In line 13-14 we see how to access to the first/last LinkedListNode objects of the list. In line 19 we attempt to add node1, which is the first LinkedListNode in lst, as the last node of the list. This fails because it could bring the linked list into an inconsistent state. (Recall in this context that a LinkedListNode knows the list to which it belongs). Instead, as shown in line 22, we should first remove node1 and then add node1 with AddLast. Please take a close look at the remaining addings, navigations, and removals in Program 45.21. As above, we show a self-explaining output of the program, see Listing 45.22.
  • 439.
    433 1 2 3 4 5 6 7 8 9 10 11 12 13 14 15 16 17 18 19 Initial LinkedList 5 32 7 -4 0 node1 = lst.First; lst.Remove(node1); lst.AddLast(node1); 3 2 7 -4 0 5 Third element in list: node1 = lst.First; node1.Next.Next.Value 7 lst.AddAfter(node1, 17); 3 17 2 7 -4 0 5 lst.AddAfter(node1, new LinkedListNode<int>(18)); 3 18 17 2 7 -4 0 5 node = node1.Next.Next.Next; lst.AddBefore(node, 99); 3 18 17 99 2 7 -4 0 5 node = node.Previous; lst.Remove(node); 3 18 17 2 7 -4 0 5 Listing 45.22 Output of the program with LinkedListNode operations on a LinkedList. 45.17. Time complexity overview: Collection classes Lecture 12 - slide 20 In this section we will discuss the efficiency of selected and important list operations in the three classes Collection<T>, List<T>, and LinkedList<T>. This is done by listing the time complexities of the operations in a table, see Table 45.1. If you are not comfortable with Big O notation, you can for instance consult Wikipedia [Big-O] or a book about algorithms and data structures. The time complexities of the list operations are most often supplied as part of the documentation of the operations. The choice of one list type in favor of another is often based on requirements to the time complexities of important operations. Therefore you should pay careful attention to the information about time complexities in the C# library documentation. Throughout the discussion we will assume that the lists contain n elements. It may be helpful to relate the table with the class diagram in Figure 45.1 from which it appears which interfaces to expect from the list classes.
  • 440.
    434 Operation Collection<T> List<T>LinkedList<T> this[i] O(1) O(1) - Count O(1) O(1) O(1) Add(e) O(1) or O(n) O(1) or O(n) O(1) Insert(i,e) O(n) O(n) - Remove(e) O(n) O(n) O(n) IndexOf(e) O(n) O(n) - Contains(e) O(n) O(n) O(n) BinarySearch(e) - O(log n) - Sort() - O(n log n) or O(n2 ) - AddBefore(lln) - - O(1) AddAfter(lln,e) - - O(1) Remove(lln) - - O(1) RemoveFirst() - - O(1) RemoveLast() - - O(1) Table 45.1 Time complexities of important operations in the classes Collection<T>, List<T>, and LinkedList<T>. As it can be seen in the class diagram of Figure 45.1 all three classes implement the ICollection<T> interface with the operations Count, Add, Remove, and Contains. Thus, these four operations appear for all classes in Table 45.1. Count is efficient for all lists, because it maintains an internal counter, the value of which can be returned by the Count property. Thus, independent of the length of a list, Count runs in constant time. For all three types of lists, Add(e) adds an element e (of type T) to the end of the list. This can be done in constant time, because all the three types of lists have direct access the rear end of the list. The time complexity O(1)/O(n) given for Collection<T> and List<T> reflects that under normal circumstances it takes only constant time to add an element to a Collection or a List. If however, the list is full it may need resizing, and in that case the run time is linear in n. Remove(e) and Contains(e), where e is of type T, will have to search for e in the list. This behavior is common for all three types of lists. Therefore the run times of Remove and Contains are O(n). The indexer this[i] is only available in the lists that implement Ilist<T>. Such lists are based on arrays, and therefore the runtime of the indexer is O(1). (Recall that in arrays it is possible to compute the location of an element with a given index; No searching, whatsoever, is involved). BinarySearch and Sort are operations in List<T>. Sort implements a Quicksort variant, and as such the worst possible time complexity is O(n2 ), but the expected time complexity is O(n log n). The runtime of BinarySearch is, as expected, O(log n). The bottom five operations in the table belong to LinkedList. The methods AddBefore, AddAfter, and Remove all work on a LinkedListNode, lln, and as such their runtimes do not depend on n. (Only a few
  • 441.
    435 references need tobe assigned. The number of pointer assignments do not depend on n). Thus, when applied on objects of type LinkedListNode the runtime of these three operations are O(1). RemoveFirst and RemoveLast are of time complexity O(1) because a linked list maintain direct references to both ends of the list. 45.18. Using Collections through Interfaces Lecture 12 - slide 21 We started this chapter with a discussion of list interfaces, and we will end the chapter in a similar way. It is, of course, necessary to use one of the collection classes (such as List<T>) when you need a collection in your program. The morale of this section is, however, that you should not use list classes more than necessary. In short, you should typically use List<T> or Collection<T> (for some type T) when you make a collection object. All other places you are better off using one of the interface types, such as IList<T>. The key observations can be summarized as follows. It is an advantage to use collections via interfaces instead of classes If possible, only use collection classes in instantiations, just after new This leads to programs with fewer bindings to concrete implementations of collections With this approach, it is easy to replace a collection class with another Thus, please consider the following when you use collections: Program against collection interfaces, not collection classes If the types of variables and parameters are given as interfaces it is easy, a later point in time, to change the representation of your collections (say, from Collection<T> to one of your own collections which implements Ilist<T>). Notice that if you, for instance, apply List<T> operations, which are not prescribed by one of the interfaces, you need to declare your list of type List<T> for some type T. Let us illustrate how this can be done in Program 45.23. The thing to notice is that the only place we refer to a list class (here Collection<Animal>() ) is in line 9: new Collection<Animal>. All other places, as emphasized with purple, we use the interface ICollection<Animal>. If we, tomorrow, wish to change the representation of the animal collection, the only place to modify is line 9. 1 2 3 4 5 6 7 8 9 10 11 12 using System; using System.Collections.Generic; using System.Collections.ObjectModel; class CollectionInterfaceDemo{ public static void Main(){ ICollection<Animal> lst = new Collection<Animal>(); // Add elements to the end of the empty list: lst.Add(new Animal("Cat")); lst.Add(new Animal("Dog", Sex.Female));
  • 442.
    436 13 14 15 16 17 18 19 20 21 22 23 24 25 26 27 28 29 30 31 32 33 34 35 36 37 38 39 40 41 42 43 44 45 46 47 48 49 50 51 52 53 54 55 56 57 lst.Add(new Animal("Mouse")); lst.Add(newAnimal("Rat")); lst.Add(new Animal("Mouse", Sex.Female)); lst.Add(new Animal("Rat")); lst.Add(new Animal("Herring", AnimalGroup.Fish, Sex.Female)); lst.Add(new Animal("Eagle", AnimalGroup.Bird, Sex.Male)); // Report in various ways on the animal collection: Print("Initial List", lst); ReportFemaleMale(lst); ReportGroup(lst); } public static void Print<T>(string explanation, ICollection<T> list){ Console.WriteLine(explanation); foreach(T el in list) Console.WriteLine("{0, 3}", el); Console.WriteLine(); Console.WriteLine(); } public static void ReportFemaleMale(ICollection<Animal> list){ int numberOfMales = 0, numberOfFemales = 0; foreach(Animal a in list) if (a.Sex == Sex.Male) numberOfMales++; else if (a.Sex == Sex.Female) numberOfFemales++; Console.WriteLine("Males: {0}, Females: {1}", numberOfMales, numberOfFemales); } public static void ReportGroup(ICollection<Animal> list){ int numberOfMammals = 0, numberOfBirds = 0, numberOfFish = 0; foreach(Animal a in list) if (a.Group == AnimalGroup.Mammal) numberOfMammals++; else if (a.Group == AnimalGroup.Bird) numberOfBirds++; else if (a.Group == AnimalGroup.Fish) numberOfFish++; Console.WriteLine("Mammals: {0}, Birds: {1}, Fish: {2}", numberOfMammals, numberOfBirds, numberOfFish); } } Program 45.23 A program based on ICollection<Animal> - with a Collection<Animal>. On the accompanying slide we show versions of Program 45.23, which are tightly bound to the class Collection<Animal>, and we show a version in which we have replaced Collection<Animal> with List<Animal>. 45.19. References [Big-O] Wikipedia: Big O Notation http://en.wikipedia.org/wiki/Big_O_notation
  • 443.
    437 46. Generic Dictionariesin C# In the same style as our coverage of lists in Chapter 45 we will in this chapter discuss generic interfaces and classes for dictionaries. This covers the high-level concept of associative arrays and the low-level concept of hash tables. 46.1. Overview of Generic Dictionaries in C# Lecture 12 - slide 24 A dictionary is a data structure that maps keys to values. A given key can have at most one value in the dictionary. In other words, the key of a key-value pair must be unique in the dictionary. A given value can be associated with many different keys. At the conceptual level, a dictionary can be understood as an associative array (see Section 19.2) or as a collection of key-value pairs. In principle the collection classes from Chapter 45 can be used as an underlying representation. It is, however, convenient to provide a specialized interface to dictionaries which sets them apart from collections in general. In addition we often need good performance (fast lookup), and therefore it is more than justified to have special support for dictionaries in the C# libraries. Figure 46.1 gives an overview of the generic interfaces and the generic classes of dictionaries. The figure is comparable with Figure 45.1 for collections. As such, the white boxes represent interfaces and the grey boxes represent classes. As it appears from Figure 46.1 we model dictionaries as IEnumerables (see Section 45.2) and ICollections (see Section 45.3) at the highest levels of abstractions. From the figure we can directly read that a dictionary is a ICollection of KeyValuePairs. (The is a relation is discussed in Section 25.2). Figure 46.1 The class and interface inheritance tree related to Dictionaries The symbol K stands for the type of keys, and the symbol V stands for the type of values. KeyValuePair<K,V> is a simple struct that aggregates a key and a value to a single object. Dictinonary<K,V> is implemented in terms of a hashtable that maps objects of type K to objects of type V. SortedDictinonary<K,V> relies on binary search trees. SortedList<K,V> is based on a sorted arrays. More details can be found in Section 46.5. In Section 46.6 we review the time complexities of the operations of the three dictionary classes shown above.
  • 444.
    438 46.2. The interfaceIDictionary<K,V> Lecture 12 - slide 25 From Figure 46.1 we see that the interface IDictionary<K,V> is a subinterface of ICollection<KeyValuePair<K,V>>. We gave an overview of the generic interface ICollection<T> in Section 45.3. Because of this subinterface relationships we know that it is possible to use the operations Contains, Add, Remove on objects of type KeyValuePair<K,V>. Notice, however, that these operations are rather inconvenient because the generic class KeyValuePair is involved. Instead of Add(new KeyValuePair(k,v)) we prefer another overload of Add, namely Add(k,v). The mentioned operations Contains, Add, and Remove on KeyValuePairs are available in the Dictionary classes of Figure 46.1, but they are degraded to explicit interface implementations (see Section 31.8). The following provides an overview of the operations in IDictionary<K,V>: • The operations prescribed in ICollection<KeyValuePair<K,V>> • The operations prescribed in IEnumerable<KeyValuePair<K,V>> • V this[K key] - both getter and setter; the setter adds or mutates • void Add(K key, V value) - only possible if key is not already present • bool Remove(K key) • bool ContainsKey(K key) • bool TryGetValue(K key, out V value) • ICollection<K>Keys - getter • ICollection<V>Values - getter V this[K key] is an indexer via which we can set and get a value of a given key by means of array notation (see Section 19.1). If dict is declared of type IDictionary<K,V> then the indexer notation allows us to express valVar = dict[someKey]; dict[someKey] = someValue; The first line accesses (gets/reads) the value associated with someKey. If no value is associated with someKey an KeyNotFoundException is thrown. The second line adds (sets/writes) an association between someKey and someValue to dict. If the association is already in the dictionary, the setter mutates the value associated with someKey. The operation Add(key,value) adds an association between key and value to the dictionary. If the key is already associated with (another) value in the dictionary an ArgumentException will be thrown. Remove(key) removes the association of key and its associated value. Via the value returned, the Remove operation signals if the removal was successful. Remove returns false if key is not present in the dictionary. ContainsKey(key) tells if key is present in the dictionary. The operation call TryGetValue(key, valueVar) accesses the value of key, and it passes the value via an output parameter (see Section 20.7). If no value is associated with key, the default value of type V (see Section 12.3) is passed back in the output parameter. This method is added of convenience. Alternatively, the indexer can be used in combination with ContainsKey.
  • 445.
    439 The properties Keysand Values return collections of the keys and the values of a dictionary. 46.3. Overview of the class Dictionary<K,V> Lecture 12 - slide 26 The generic class Dictionary<K,V> is based on hashtables. Dictionary<K,V> implements the interface IDictionary<K,V> as described in Section 46.2. Almost all methods and properties of Dictionary<K,V> are prescribed by the direct and indirect interfaces of the class. In the web version of the material we enumerate the most important operations of Dictionary<K,V>. As it appears from the discussion of dictionaries above, it is necessary that two keys can be compared for equality. The equality comparison can be provided in several different ways. It is possible to pass an EqualityComparer object to the Dictionary constructor. Alternatively, we fall back on the default equality comparer of the key type K. The property Comparer of class Dictionary<K,V> returns the comparer used for key comparison in the current dictionary. See also the discussion of equality comparison in Section 42.9. As already mentioned, a dictionary is implemented as a hash table. A hash table provides very fast access to the a value of a given key. Under normal circumstances - and with a good hash function - the run times of the access operations are constant (the run times do not depend on the size of the dictionary). Thus, the time complexity is O(1). Please consult Section 46.6 for more details on the efficiency of the dictionary operations. 46.4. Sample use of class Dictionary<K,V> Lecture 12 - slide 27 In this section we will illustrate the use of dictionaries with a simple example. We go for a dictionary that maps objects of type Person to objects of type BankAccount. Given a Person object (the key) we wish to have efficient access to the person's BankAccount (the value). The class Person is similar to Program 20.3. The class BankAccount is similar to Program 25.1. The exact versions of Person and BankAccount, as used in the dictionary example, can be accessed via the accompanying slide page, or via the program index of this lecture. 1 2 3 4 5 6 7 8 9 10 11 12 13 14 15 16 17 using System; using System.Collections.Generic; class DictionaryDemo{ public static void Main(){ IDictionary<Person, BankAccount> bankMap = new Dictionary<Person,BankAccount>(new PersonComparer()); // Make bank accounts and person objects BankAccount ba1 = new BankAccount("Kurt", 0.01), ba2 = new BankAccount("Maria", 0.02), ba3 = new BankAccount("Francoi", 0.03), ba4 = new BankAccount("Unknown", 0.04); Person p1 = new Person("Kurt"),
  • 446.
    440 18 19 20 21 22 23 24 25 26 27 28 29 30 31 32 33 34 35 36 37 38 39 40 41 42 43 44 45 46 47 48 49 50 51 52 53 54 55 56 57 58 59 60 61 62 63 64 65 66 67 68 69 70 71 72 73 74 75 76 77 78 79 80 81 82 p2 = newPerson("Maria"), p3 = new Person("Francoi"); ba1.Deposit(100); ba2.Deposit(200); ba3.Deposit(300); // Populate the bankMap: bankMap.Add(p1, ba1); bankMap.Add(p2, ba2); bankMap.Add(p3, ba3); ReportDictionary("Initial map", bankMap); // Print Kurt's entry in the map: Console.WriteLine("{0}n", bankMap[p1]); // Mutate Kurt's entry in the map bankMap[p1] = ba4; ReportDictionary("bankMap[p1] = ba4;", bankMap); // Mutate Maria's entry in the map. PersonComparer crucial! ba4.Deposit(400); bankMap[new Person("Maria")] = ba4; ReportDictionary("ba4.Deposit(400); bankMap[new Person("Maria")] = ba4;", bankMap); // Add p3 yet another time to the map // Run-time error: An item with the same key has already been added. /* bankMap.Add(p3, ba1); ReportDictionary("bankMap.Add(p3, ba1);", bankMap); */ // Try getting values of some given keys BankAccount ba1Res = null, ba2Res = null; bool res1 = false, res2 = false; res1 = bankMap.TryGetValue(p2, out ba1Res); res2 = bankMap.TryGetValue(new Person("Anders"), out ba2Res); Console.WriteLine("Account: {0}. Boolean result {1}", ba1Res, res1); Console.WriteLine("Account: {0}. Boolean result {1}", ba2Res, res2); Console.WriteLine(); // Remove an entry from the map bankMap.Remove(p1); ReportDictionary("bankMap.Remove(p1);", bankMap); // Remove another entry - works because of PersonComparer bankMap.Remove(new Person("Francoi")); ReportDictionary("bankMap.Remove(new Person("Francoi"));", bankMap); } public static void ReportDictionary<K, V>(string explanation, IDictionary<K,V> dict){ Console.WriteLine(explanation); foreach(KeyValuePair<K,V> kvp in dict) Console.WriteLine("{0}: {1}", kvp.Key, kvp.Value); Console.WriteLine(); } } public class PersonComparer: IEqualityComparer<Person>{ public bool Equals(Person p1, Person p2){ return (p1.Name == p2.Name); }
  • 447.
    441 83 84 85 public int GetHashCode(Personp){ return p.Name.GetHashCode(); } } Program 46.1 A program working with Dictionary<Person,BankAccount>. In line 8-9 we make the dictionary bankMap of type Dictionary<Person,BankAccount>. We pass an instance of class PersonComparer, see line 76-86, which implements IEqualityComparer<Person>. In line 11-19 we make sample BankAccount and Person objects, and in line 24-26 we populate the dictionary bankMap. In line 30 we see how to access the bank account of person p1 (Kurt). We use the provided indexer of the dictionary. In line 33 we mutate the bankMap: Kurt's bank account is changed from the one referenced by ba1 to the one referenced by ba4. In line 38 we mutate Maria's bank account in a similar way. Notice, however, that that the relative weak equality of Person objects (implemented in class PersonComparer) implies that the new person("Maria") in line 38 is equal to the person referenced by p2, and therefore line 38 mutates the dictionary entry for Maria. In line 43 we attempt add yet another entry for Francoi. This is illegal because there is already an entry for Francoi in the dictionary. If the comments around line 43 are removed, a run time error will occur. In line 52-53 we illustrate TryGetValue. First, in line 52, we attempt to access Maria's account. The out parameter baRes1 is assigned to Maria's account and true is returned from the method. In line 53 we attempt to access the account of a brand new Person object, which has no bank account in the dictionary. null is returned through ba2Res, and false is returned from the method. Finally, in line 58-64 we remove entries from the dictionary by use of the Remove method. First Kurt's entry is removed after which Francoi's entry is removed. The output of the program is shown in Listing 46.2 (only on web). Exercise 12.3. Switching from Dictionary to SortedDictionary The program on this slide instantiates a Dictionary<Person,BankAccount>. As recommended earlier in this lecture, we should work with the dictionary via a variable of the interface type IDictionary<K,V>. You are now asked to replace Dictionary<Person,BankAccount> with SortedDictionary<Person,BankAccount> in the above mentioned program. This causes a minor problem. Identify the problem, and fix it. Can you tell the difference between the output of the program on this slide and the output of your revised program? You can access the BankAccount and Person classes in the web version of the material.
  • 448.
    442 46.5. Notes aboutDictionary Classes Lecture 12 - slide 28 As can be seen from Figure 46.1 several different generic classes implement the IDictionary<K,V> interface. Dictionary<K,V>, as discussed in Section 46.3 and Section 46.4 is based on a hash table representation. SortedDictionary<K,V> is based on a binary tree, and (as the name signals) SortedList<K,V> is based on an array of key/value pairs, sorted by keys. The following provides an itemized overview of the three generic dictionary classes. • Class Dictionary<K,V> • Based on a hash table • Requires that the keys in type K can be compared by an Equals operation • Key values should not be mutated • The efficiency of class dictionary relies on a good hash function for the key type K • Consider overriding the method GetHashCode in class K • A dictionary is enumerated in terms of the struct KeyValuePair<K,V> • Class SortedDictionary<K,V> • Based on a binary search tree • Requires an IComparer for keys of type K - for ordering purposes • Provided when a sorted dictionary is constructed • Class SortedList<K,V> • Based on a sorted collection of key/value pairs • A resizeable array • Requires an IComparer for keys, just like SortedDictionary<K,V>. • Requires less memory than SortedDictionary<K,V>. When you have to chose between the three dictionary classes the most important concern is the different run time characteristics of the operations of the classes. The next section provides an overview of these.
  • 449.
    443 46.6. Time complexityoverview: Dictionary classes Lecture 12 - slide 29 We will now review the time complexities of the most important dictionary operations. This is done in the same way as we did for collections (lists) in Section 45.17. We will assume that we work on a dictionary that holds n entries of key/value pairs. Operation Dictionary<K,V> SortedDictionary<K,V> SortedList<K,V> this[key] O(1) O(log n) O(log n) or O(n) Add(key,value) O(1) or O(n) O(log n) O(n) Remove(key) O(1) O(log n) O(n) ContainsKey(key) O(1) O(log n) O(log n) ContainsValue(value) O(n) O(n) O(n) Table 46.1 Time complexities of important operations in the classes Dictionary<K,V>, SortedDictionary<K,V>, and SortedList<K,V>. As noticed in Section 46.5 an object of type Dictionary<K,V> is based on hash tables. Eventually, it will be necessary to enlarge the hashtable to hold new elements. It is good wisdom to enlarge the hashtable when it becomes half full. The O(1) or O(n) time complexity for Add reflects that a work proportional to n is needed when it becomes necessary to enlarge the hash table. Most operations on the binary tree representation of SortedDictionary<K,V> are logarithmic in n. The only exception (among the operations listed in the table) is ContainsValue, which in the worst case requires a full tree traversal. In SortedList<K,V> the indexer is efficient, O(log n) when an existing item is mutated. If use of the indexer causes addition of a new entry, the run time is the same as the run time of Add. Adding elements to a sorted list requires, in average, that half of the elements are pushed towards the end of the list in order to create free space for the new entry. This is an O(n) operation. Remove is symmetric, pulling elements towards the beginning of the list, and therefore also O(n). ContainsKey is efficient because we can do binary search on the sorted list. ContainsValue requires linear search, and therefore it is an O(n) operation. Given the table in Table 46.1 it is tempting to conclude that Dictionary<K,V> is the best of the three classes. Notice, however, that the difference between a constant run time c1 and c2 log(n) is not necessarily significant. If the constant c1 is large and the constant c2 is small, the binary tree may be an attractive alternative. Furthermore, we know that the hashtable will be slow when it is almost full. In that case more and more collisions can be expected. At some point in time the hash table will stop working if it is not resized. This is not an issue if we work with balanced binary trees. Finally, the hashtable depends critically on a good hash function, preferable programmed specifically for the key type K. This is not an issue if we use binary trees.
  • 450.
  • 451.
    445 47. Non-generic Collectionsin C# This is a short chapter in which we discuss the non-generic collection classes. You may encounter use of these classes in many older C# programs. In Section 44.1 these collection classes were called first generation collection classes. 47.1. The non-generic collection library in C# Lecture 12 - slide 31 The overview of the non-generic collection interfaces and classes in Figure 47.1 is a counterpart to the sum of Figure 45.1 and Figure 46.1. The white boxes represent interfaces and the grey boxes represent classes. Most classes and interfaces shown in Figure 46.1 belong to the namespace System.Collections. The non-generic collection classes store data of type Object As the most important characteristics, the elements of the lists are of type Object. Both keys and values of dictionaries are Objects. Without use of type parametrization, there are no means to constraint the data in collections to of a more specific type. Thus, if we for instance work with a collection of bank accounts, we cannot statically guarantee that all elements of the collection are bank accounts. We may accidentally insert an object of another type. We will find the error at runtime. Most likely, an exception will be raised when we try to cast an Object to BankAccount. Figure 47.1 The class and interface inheritance tree related to collections The IEnumerable, ICollection, IList and IDictionary interfaces of Figure 47.1 are natural counterparts to the generic interfaces IEnumerable<T>, ICollection<T>, IList<T> and IDictionary<K,V>. The class ArrayList corresponds to List<T>. As such, ArrayList is a class with a rich repertoire of operations for searching, sorting, and range operations. ArrayList is undoubtedly the most widely used collection class in C# 1.0 programs. The Array class shown next to ArrayList in Figure 47.1 deserves some special clarification. It belongs to the System namespace. You cannot instantiate class Array in your programs, because Array is an abstract class. And you cannot use Array as a superclass of one of your own classes. So, class Array seems pretty useless. At least it is fair to state the class Array is rather special compared to the other classes in Figure 47.1. Let us now explain the role of class Array. As mentioned earlier, see Section 28.2 , class Array acts as the superclass of all "native" array types in C#. (See the discussion of arrays in Section 6.4). Consequently, all
  • 452.
    446 the nice operationin System.Array can be used on all "native" arrays that you use in your C# programs. If, for instance, we have the array declarations int[] ia = new int[3]; string[] sa = new string[5,6]; BankAccount[] baa = new BankAccount[10]; the following are legal expressions ia.Length a.Rank Array.BinarySearch(ia, 5) Array.Find(sa, IsPalindrome) Array.Sort(baa) In the Array class, you should pay attention to the (overloaded) static method CreateInstance, which allows for programmatic creation on an arbitrary array. The Array instance methods GetValue and SetValue allow us to access elements in arbitrary arrays - independent of element type and rank. When we talk about "native arrays" in C# we refer to the array concept implemented in the language as such. The compiler provides special support for these native arrays. In contrast, generic and non-generic collections are provided via the class library. The C# compiler and the C# interpreter do not have particular knowledge or support of the collection classes. We could have written these classes ourselves! It is interesting to notice that the native arrays, as derived from class Array in Figure 47.1, are type safe. The type safeness of native arrays is due to the special support by the compiler, which allows for declaration of the element types of the arrays (see the examples of int, string, and BankAccount arrays above). The class HashTable in Figure 47.1 corresponds to the generic class Dictionary<K,V>, see Section 46.3 and Section 46.4). The class ListDictionary, which belongs to the namespace System.Collections.Specialized, has no natural generic counterpart. ListDictionary is based on linear search in an unordered collection of key/value pairs. ListDictionary should therefore only be used for small dictionaries. As the name suggests, class SortedList corresponds to SortedList<K,V>. Both rely on a (linear) list representation, sorted by keys. The class BitArray is - by nature - a non-generic collection class. The binary digit 1 is represented as boolean true, and the binary digit 0 is represented as boolean false. BitArray provides a compact representation of a bit arrays. In the context of indexers, see Program 19.4, we have earlier discussed a partial reproduction of the class BitArray. In addition to the types shown in Figure 47.1 there exist some specialized collections in the namespace System.Collections.Specialized. As an example, the class StringCollection is a collection of strings. The class CollectionBase in the namespace System.Collection is intended as the superclass of new, specialized collection classes. In the documentation of this class, an example shows how to define an Int16Collection as a subclass of CollectionBase. Needless to say, all these classes are obsolete relative to both C#2.0 and C#3.0. As of today, the classes may be necessary for backward compatibility, but, unfortunately, they also add to the complexity of the .NET class libraries.
  • 453.
    447 48. Patterns andTechniques In earlier parts of this material (Section 31.6 and Section 45.2) we have at length discussed enumerators in C#, including their relationship to foreach loops. In this section we first briefly rephrase this to the design pattern known as Iterator. Following that we will show how to implement iterators (enumerators) with use of yield return, which is a variant of the return statement. 48.1. The Iterator Design Pattern Lecture 12 - slide 34 The Iterator design pattern provides sequential access to an aggregated collection. At an overall level, an iterator • Provides for a smaller interface of the collection class • All members associated with traversals have been refactored to the iterator class • Makes it possible to have several simultaneous traversals • Does not reveal the internal representation of the collection As we have seen in Section 31.6 and Section 45.2, traversal of a collection requires a few related operations, such as Current, MoveNext, and Reset. We could imagine a slightly more advanced iterator which could move backwards as well. With use of iterators we have factored these operations out of the collection classes, and organized them in iterators (enumerators). With this refactoring, a collection can be asked to deliver an iterator: aCollection.GetEnumerator() Each iterator maintains the state, which is necessary to carry out a traversal of a collection. If we need two independent, simultaneous traversals we can ask for two iterators of the collections. This could, for instance be used to manage simultaneous iteration from both ends of a list. In more primitive collections, such as linked lists (see Section 45.14) it is necessary to reveal the object structure that keeps the list together. (In LinkedList<T> this relates to the details of LinkedListNode<T> instances). With use of iterators it is not necessary to reveal such details. An iterator is an encapsulated, abstract representation of some state that manages a traversal. The concrete representation of this state is not leaked to clients. This is very satisfactory in an object-oriented programming context. Iterators (enumerators) are typically used via foreach loops. As an alternative, it is of course also possible to use the operations in the IEnumerator interface directly to carry out traversals. Exercise 12.4 is a opportunity to train such a more direct use of iterators. Exercise 12.4. Explicit use of iterator - instead of using foreach
  • 454.
    448 In this programwe will make direct use of an iterator (an enumerator) instead of traversing with use of foreach. In the animal collection program, which we have seen earlier in this lecture, we traverse the animal collections several times with use of foreach. Replace each use of foreach with an application of an iterator. 48.2. Making iterators with yield return Lecture 12 - slide 35 In this section we will show how to use the special-purpose yield return statement to define iterators, or as they are called in C#, enumerators. First, we will program a very simple collection of up to three, fixed values. Next we will revisit the integer sequence enumeration, which can be found in Section 58.3. In Program 48.1 we will program a collection class, called GivenCollection, which just covers zero, one, two or three values of some arbitrary type T. As a simpleminded approach, we represent these T values with three instance variables of type T, and with three boolean variables which tells if the corresponding T values are present. As an invariant, the instance variables are filled from the lower end. It would be tempting to use the type T? instead of T, and the value null for a missing value. But this is not possible if T is class. It is important that the class GivenCollection implements the generic interface IEnumerable<T>. Because this interface, in turn, implements the non-generic IEnumerable, we must both define the generic and the non-generic GetEnumerator method. The latter must be defined as an explicit interface (see Section 31.8), in order not to conflict with the former. If we forget the non-generic GetEnumerator, we get a slightly misleading error message: 'GivenCollection<T>' does not implement interface member 'System.Collections.IEnumerable.GetEnumerator()'. 'GivenCollection<T>' is either static, not public, or has the wrong return type. This message can cause a lot of headache, because the real problem (the missing, non-generic GetEnumerator method) is slightly camouflaged in the error message. The implementation of the non-generic enumerator just delegates its work to the generic version. The implementation of the generic Enumerator method uses the yield return statement. Let us assume that an instance of GivenCollection<T> holds three T values (in first, second, and third). The three boolean variables firstDefined, secondDefined, and thirdDefined are all true. The GetEnumerator method has three yield return statements in sequence (see line 50-52). By means of these, GetEnumerator can return three values before it is done. This is entirely different from a normal method, which only returns once (after which it is done). The GetEnumerator in class GivenCollection acts as a coroutine in relation to its calling place (which is the foreach statement in the client program Program 48.2). A coroutine can resume execution at the place where execution stopped in an earlier call. A normal method always (re)starts from its first statement each time it is called.
  • 455.
    449 1 2 3 4 5 6 7 8 9 10 11 12 13 14 15 16 17 18 19 20 21 22 23 24 25 26 27 28 29 30 31 32 33 34 35 36 37 38 39 40 41 42 43 44 45 46 47 48 49 50 51 52 53 54 55 56 57 58 59 using System; using System.Collections.Generic; usingSystem.Collections; public class GivenCollection<T> : IEnumerable<T>{ private T first, second, third; private bool firstDefined, secondDefined, thirdDefined; public GivenCollection(){ this.firstDefined = false; this.secondDefined = false; this.thirdDefined = false; } public GivenCollection(T first){ this.first = first; this.firstDefined = true; this.secondDefined = false; this.thirdDefined = false; } public GivenCollection(T first, T second){ this.first = first; this.second = second; this.firstDefined = true; this.secondDefined = true; this.thirdDefined = false; } public GivenCollection(T first, T second, T third){ this.first = first; this.second = second; this.third = third; this.firstDefined = true; this.secondDefined = true; this.thirdDefined = true; } public int Count(){ int res; if (!firstDefined) res = 0; else if (!secondDefined) res = 1; else if (!thirdDefined) res = 2; else res = 3; return res; } public IEnumerator<T> GetEnumerator(){ if (firstDefined) yield return first; if (secondDefined) yield return second; // not else if (thirdDefined) yield return third; // not else } IEnumerator IEnumerable.GetEnumerator(){ return GetEnumerator(); } } Program 48.1 A collection of up to three instance variables of type T - with an iterator.
  • 456.
    450 In Program 48.2we show a simple program that instantiates a GivenCollection of the integers 7, 5, and 3. The foreach loop in line 11-12 traverses the three corresponding instance variables, and prints each of them. 1 2 3 4 5 6 7 8 9 10 11 12 13 14 15 16 17 using System; class Client{ public static void Main(){ GivenCollection<int> gc = new GivenCollection<int>(7,5,3); Console.WriteLine("Number of elements in givenCollection: {0}", gc.Count()); foreach(int i in gc){ // Output: 7 5 3 Console.WriteLine(i); } } } Program 48.2 A sample iteration of the three instance variable collection. Exercise 12.5. The iterator behind a yield Reprogram the iterator in class GivenCollection without using the yield return statement in the GetEnumerator method. Let us now revisit the integer enumeration classes of Section 58.3. The main point in our first discussion of these classes was the Composite design pattern, cf. Section 32.1, as illustrated in Figure 58.1 of Section 58.3. The three classes IntInterval, IntSingular, and IntCompSeq all inherit the abstract class IntSequece. You can examine the abstract class IntSequence in Program 58.9 in the appendix of this material. The three concrete subclasses were programmed in Program 58.10, Program 58.11, and Program 58.12. The GetEnumerator methods of IntInterval, IntSingular, and IntCompSeq are all emphasized below in Program 48.3, Program 48.4, and Program 48.5. Notice the use of yield return in all of them. In Program 48.3 the if-else of GetEnumerator in line 19-24 distinguishes between increasing and decreasing intervals. The GetEnumerator method of IntSingular is trivial. The GetEnumerator method of IntCompSeq in Program 48.5 is surprisingly simple - at least compared with the counterpart in Program 58.12. The two foreach statements (in sequence) in line 19-22 activate all the machinery, which we programmed manually in Program 58.12. This includes recursive access to enumerators of composite sequences. The simplicity of enumerators, programmed with yield return, is noteworthy compared to all the underlying stuff of explicitly programmed classes that implement the interface IEnumerator. Iterators (iterator blocks), programmed with yield return, are only allowed to appear in methods that implement an enumerator or an enumerable interface (such as IEnumerator or IEnumerator and their generic counterparts). Such methods are handled in a very special way by the compiler, and a number of restrictions apply to these methods. The compiler generates all the machinery, which we program ourselves when a class implements the enumerator or enumerable interfaces. Methods with iterator blocks that implement and enumerator or an enumerable interface return an enumerator object, on which the MoveNext
  • 457.
    451 can be calleda number of times. For more details on iterators please consult Section 10.14 in the C# 3.0 Language Specification [csharp-3-spec]. 1 2 3 4 5 6 7 8 9 10 11 12 13 14 15 16 17 18 19 20 21 22 23 24 25 26 27 public class IntInterval: IntSequence{ private int from, to; public IntInterval(int from, int to){ this.from = from; this.to = to; } public override int? Min{ get {return Math.Min(from,to);} } public override int? Max{ get {return Math.Max(from,to);} } public override IEnumerator GetEnumerator (){ if (from < to) for(int i = from; i <= to; i++) yield return i; else for(int i = from; i >= to; i--) yield return i; } } Program 48.3 The class IntInterval - Revisited. 1 2 3 4 5 6 7 8 9 10 11 12 13 14 15 16 17 18 19 20 public class IntSingular: IntSequence{ private int it; public IntSingular(int it){ this.it = it; } public override int? Min{ get {return it;} } public override int? Max{ get {return it;} } public override IEnumerator GetEnumerator(){ yield return it; } } Program 48.4 The class IntSingular - Revisited.
  • 458.
    452 1 2 3 4 5 6 7 8 9 10 11 12 13 14 15 16 17 18 19 20 21 22 23 24 25 public class IntCompSeq:IntSequence{ private IntSequence s1, s2; public IntCompSeq(IntSequence s1, IntSequence s2) { this.s1 = s1; this.s2 = s2; } public override int? Min{ get {return (s1.Min < s2.Min) ? s1.Min : s2.Min;} } public override int? Max{ get {return (s1.Max > s2.Max) ? s1.Max : s2.Max;} } public override IEnumerator GetEnumerator (){ foreach(int i in s1) yield return i; foreach(int i in s2) yield return i; } } Program 48.5 The class IntCompSeq - Revisited. In the web edition of the material we show a sample client program that contains a couple of IntSequences. 48.3. References [Csharp-3-spec] "The C# Language Specification 3.0",
  • 459.
    453 49. Correctness This isthe first chapter in the lecture about contracts and assertions. We all want to write correct programs. But what is correctness? Program correctness is always relative to something else. In this lecture we will discuss program correctness relative to a program specification. In Chapter 50, (the next chapter) we will take a closer look at a particular approach to program specification, on which the rest of this lecture will be based. 49.1. Software Qualities Lecture 13 - slide 2 Program correctness is one of several program qualities. A software quality is a positive property of program. There are many different software qualities that may be considered and promoted. In Table 49.1 we list a number of important program qualities. Quality Description Contrast Correct Satisfies expectations, intentions, or requirements Erroneous Robust Can resist unexpected events Fragile Reusable Can be used in several contexts Application specific Simple Avoids complicated solutions Complex Testable Constructed to ease revelation of errors - Understandable Mental manageability Cryptic Table 49.1 Different program qualities listed by name, description, and (for selected qualities) a contrasting, opposite quality Of all software qualities, correctness play a particular important role. Program correctness is in a league of its own. Who would care about robustness, reusability, and simplicity of an incorrect program?
  • 460.
    454 49.2. Correctness Lecture 13- slide 3 Software correctness is only rarely an absolute concept. Correctness should be seen relative to something else. We will distinguish between program correctness relative to • The programmers own, immediate comprehension • Not formulated - not documented - volatile - easily forgotten • Sometimes incomplete • A program specification • Formulated - written • Well-considered and agreed upon • Formal or informal • Part of the program At the time the program is written, it may be tempting to rely on the comprehension and specification in the mind of the programmer. It is not difficult to understand, however, that such a specification is volatile. The specification may slide away from the original understanding, or it may totally fade away. In a software house it may also easily be the case that the programmer is replaced. Of these reasons it is attractive to base correctness on written and formal specifications. In the following section we will discuss written and formal specifications that are based on mathematical grounds. 49.3. Specifications Lecture 13 - slide 4 We will introduce the following straightforward definition of a specification: A program specification is a definition of what a computer program is expected to do [Wikipedia]. What - not how. Notice that specifications answer what questions, not how questions. In the area of formal mathematically-oriented specifications, the following two variants are well-known: • Algebraic specifications • Equations that define how certain operations work on designated constructors • Axiomatic specifications • Logical expressions - assertions - associated with classes and operations • Often divided into invariants, preconditions, and postconditions
  • 461.
    455 We will firststudy an algebraic specification of a stack, see Program 49.1. We have already encountered this specification earlier in the material, namely in the context of our discussion of abstract data types in Section 1.5. From line 4-11 we declare the syntax of the operations that work on stacks. The operations are categorized as constructors, destructors, and selectors. As the name suggests, constructors are operations that constructs a stack. Both push and pop are functions that return a stack. This is different from the imperative stack procedures we experienced in Program 30.1, which mutate the stack without returning any value. An arbitrary stack can be constructed in terms of one or more constructors. Destructors are operations that work on stacks. (The term "destructor" may be slightly misleading). Any stack can be constructed without use of destructors. As an example, the expression pop(push(5, pop (push (6, push (7, new ()))))) is equivalent with push(7, new ()). The selectors extract information about the stack. 1 2 3 4 5 6 7 8 9 10 11 12 13 14 15 16 17 18 19 20 21 22 Type stack [int] declare constructors new () -> stack; push (int, stack) -> stack; destructors pop (stack) -> stack; selectors top (stack) -> int; isnew (stack) -> bool; for all i in int; s in stack; let pop (new()) = error; pop (push (i,s)) = s; top (new()) = error; top (push (i,s)) = i; isnew (new()) = true; isnew (push(i,s)) = false; end end stack. Program 49.1 An algebraic specification of a stack. The lines 12-21 define the meaning (also known as the semantics) of the stack. It tells us what the concept of a stack is all about. The idea is to define equations that express how each destructor and each selector work on expressions formulated in terms of constructors. The equation in line 16 specifies that it is an error to pop the empty stack. The equation in line 17 specifies that pop applied on stack s on which we have just pushed the integer i is equivalent with s. Please consider the remaining equations and make sure that you understand their meaning relative to your intuition of the stack concept. The specification in Program 49.1 tells us what a stack is. It is noteworthy that the specification in Program 49.1 defines the stack concept without any binding to a concrete representation of a stack. The specification gives very little input to the programmer about how to implement a stack with use of a list or an array, for instance. A good specification answers what questions, not how questions. If you wish to see other similar specifications of abstract datatypes, you may review our specifications of natural numbers and booleans in Program 1.9 and Program 1.10 respectively. Below, in Program 49.2 we show an axiomatic specification of a single function, namely the square root function. An axiomatic specification is formulated in terms of a precondition and a postcondition. The precondition specifies the prerequisite for activation of the square root function. It states that it is only
  • 462.
    456 possible to calculatethe square root of non-negative numbers. The precondition constrains the output of the function. In case of the square root function, the square of the result should be very close to the input. 1 2 3 4 5 sqrt(x: Real) -> Real precondition: x >= 0; postcondition: abs(result * result - x) <= 0.000001 Program 49.2 An axiomatic specification of the squareroot function. In the rest of this lecture we will study object-oriented programming, in which methods can be specified with preconditions and postconditions.
  • 463.
    457 50. Specification withpreconditions and postconditions As exemplified at the end of the previous chapter, preconditions and postconditions can be used to specify the meaning of a function. In this chapter we will study preconditions and postconditions in more details. 50.1. Logical expressions Lecture 13 - slide 6 Logical expressions and assertions form the basis of preconditions and postconditions. Consequently, we define the concepts of logical expressions and assertions before preconditions and postconditions: A logical expression is an expression of type boolean An assertion is a logical expression, which, if false, indicates an error [Foldoc] A precondition of an operation is an assertion which must be true just before the operation is called A postcondition of an operation is an assertion which must be true just after the operation has been completed We have worked with logical expressions numerous times during this course. Logical expressions are formed by relational, equational, conjunctional (and) and disjunctional (or) operators. You find these operators at level 3, 4, 8, and 9 in Table 6.1. Assertions are also used in the context of program testing. In Section 55.7 we surveyed a large collection of assertions, which are available in the NUnit testing tools for C#. As stated in Section 55.8, an assertion in a test case, which returns the value false, causes a failure. A failed testcase signals that the unit under test is incorrect. Assertions used in test cases are similar to assertions found in postconditions. We can now characterize a precondition in the following way: • A precondition states if it makes sense to call an operation • The precondition is a prerequisite for the activation The precondition is typically formulated in terms of the formal parameters of the operation. Similarly, a postcondition can be characterized as follows: • A postcondition states if the operation returns the desired result, or has the desired effect, relative to the given parameters that satisfy the precondition • The postcondition defines the meaning of the operation
  • 464.
    458 The postcondition ofa procedure or function F must be fulfilled if the precondition of F holds, and if F terminates (F runs to its completion). 50.2. Examples of preconditions and postconditions Lecture 13 - slide 7 We will now study preconditions and postconditions of the operations in a circular list. A circular list is a linked list, in the sense we discussed in Section 45.14. However, the circular list discussed in this section is only single-linked. The distinctive characteristics of a circular list are the following: 1. The last LinkedListNode is linked to the first LinkedListNode of the list 2. The CircularList object refers to the LinkedListNode of the last element instead of the LinkedListNode of the first element. We show a circular list with five elements in Figure 50.1. The idea of referring the last element instead of the first element from the CircularList object means that both the front and the rear of the list can be reached in constant time. In many context, this is a very useful property. Notice also, that it is possible to deal with double-linked circular lists as well. Figure 50.1 A circular list. The large yellow object represents the circular list as such. The circular green nodes represent the elements of the list. The rectangular nodes are instances of a class akin to LinkedListNode, which connect the constituents of the list together. Below we specify the operations of the circular list with preconditions and postconditions. The specification in Program 50.1 defines the meaning of operations of the yellow object in Figure 50.1. In the program listing, the preconditions are marked with keyword require, and shown in red. The postconditions are marked with the keyword ensure, and shown in blue. The names of the keywords stem from the object-oriented programming language Eiffel [Meyer97, Meyer92, Switzer93], which is strong in the area of assertions. Apart from that, the syntax used in Program 50.1 is C# and Java like. 1 2 3 4 5 6 7 8 9 10 11 12 class CircularList { // Construct an empty circular list public CircularList() require true; ensure Empty(); // Return my number of elements public int Size() require true; ensure size = CountElements() && noChange;
  • 465.
    459 13 14 15 16 17 18 19 20 21 22 23 24 25 26 27 28 29 30 31 32 33 34 35 36 37 38 39 40 41 42 43 44 45 46 // Insert elas a new first element public void InsertFirst(Object el) require !Full(); ensure !Empty() && IsCircular() && IsFirst(el); // Insert el as a new last element public void InsertLast(Object el) require !Full(); ensure !Empty() && IsCircular() && IsLast(el); // Delete my first element public void DeleteFirst() require !Empty(); ensure Empty() || (IsCircular() && IsFirst(old RetrieveSecond())); // Delete my last element public void DeleteLast() require !Empty(); ensure Empty() || (IsCircular() && isLast(old RetrieveButLast())); // Return the first element in the list Object RetrieveFirst() require !Empty(); ensure IsFirst(result) && noChange; // Return the last element in the list Object RetrieveLast() require !Empty(); ensure IsLast(result) && noChange; } Program 50.1 Circular list with preconditions and postconditions. The precondition true of the constructor says that there are no particular requirements to call the constructor. This is natural and typical. The postcondition of the constructor expresses that the constructor makes an empty circular list. The operation Size returns an integer corresponding to the counted number of elements in the list. CountElements is an operation, which counts the elements in the list. In a particular implementation of CircularList, the operation Size my return the value of a private instance variable which keeps track of the total number of elements in the list. nochange is a special assertion, which ensures that the state of the list has not changed due the execution of the Size operation. We see that the postcondition expresses the consistency between the value returned by Size, and the counted number of elements in the list. The operation InsertFirst is supposed to insert an element, to become the first element of the list (the one shown at the left hand side of Figure 50.1). The precondition expresses that the list must not be full before the insertion. The postcondition expresses that the list is not empty after the insertion, that it is still circular, and that el indeed is the first element of the list. The specification of the operation InsertLast is similar to InsertFirst. The operation DeleteFirst requires as a precondition a non-empty list. The postcondition of DeleteFirst expresses that the list either is empty or circular. If the list is non-empty (and therefore circular) after the deletion, the second element before the deletion must be the first element after the deletion. Notice the
  • 466.
    460 modifier old. Thevalue of Old(expression) is the value of expression, as evaluated in the state just before the current operation is executed. DeleteLast is symmetric to DeleteFirst. RetrieveFirst returns the first element of the list. The precondition of RetrieveFirst says that the list must be non-empty in order for this operation to make sense. The postcondition says that the result is indeed the first element, and that RetrieveFirst is a pure function (it does not mutate the state of the circular list). RetriveLast is symmetrical to RetrieveFirst. What about the operations Empty, Full, CountElements, IsCircular, IsFirst, IsLast, RetrieveSecond, and RetrieveButLast? They are intended to be auxiliary, public boolean operations in the circular list. In an implementation of CircularList we must implement these operations. They are supposed to be implemented as simple as possible, and they are not supposed to carry preconditions and postconditions. In order to be operational (meaning that the specification can be confirmed at run-time) these auxiliary operations be must be implemented. Nothing comes for free! In reality, we check the consistency between the operations listed in Program 50.1 and the auxiliary boolean operations. An inconsistency reveals an error in either the circular list operations, or in the auxiliary operations. The necessary auxiliary operations are typically much simpler than the circular list operations, and therefore an inconsistency most often will reveal an error in the way we have implemented a circular list operation. 50.3. An Assertion Language Lecture 13 - slide 8 We are now about to focus on the language in which we formulate the assertions (preconditions and postconditions). In the previous section we have studied examples, in which we have met several features in the assertion language. As it will appear, we are pragmatic with respect to the assertion language. The reason is that we allow programmed, boolean functions to be used in the assertion language. These boolean function are siblings to the functions that we are about to specify. It is an important goal that the preconditions and the postconditions should be checkable at program execution time. Thus, the it should be possible and realistic to evaluation the assertions at run-time. The following items characterize the assertions language:
  • 467.
    461 • Logical expressions- as in the programming language • Programmed assertions - via boolean functions of the programming language • Should be simple functions • Problems if there are errors in these • Universal ("for all...") and existential ("there exists...") quantifiers • Requires programming - iteration - traversal • It may be expensive to check assertions with quantifiers • Informal assertions, written in natural language • Cannot be checked • Much better than nothing • Special means of expression • old Expr - The value of the expression at the beginning of the operation • nochange - A simple way to state that the operation has not changed the state of the object Use of universal and existential quantifiers, known from mathematical formalisms, makes it hard to check the assertions. Therefore such means of expressions do not exist directly in the assertion language. If we wish to express for all ... or there exists ... it must be programmed explicitly in boolean functions. We may easily encounter elements of a specification that we cannot (or will no) check by programmed exceptions. It may be too expensive, or too complicated to program boolean functions which represent these elements. In such situations we may wish to fall back on informal assertions, similar to comments. 50.4. References [Switzer93] Robert Switzer, Eiffel and Introduction. Prentice Hall, 1993. [Meyer92] Bertrand Meyer, Eiffel the Language. Prentice Hall, 1992. [Meyer97] Bertrand Meyer, Object-oriented software construction, second edition. Prentice Hall, 1997.
  • 468.
  • 469.
    463 51. Responsibilities andContracts This section is about responsibilities and contracts, and their connection to preconditions and postconditions. Recall from Section 2.2 in the initial lecture that we already touched on responsibilities in the slipstream of the pizza delivery example, see Figure 2.1. At the end of the chapter, in Section 51.8 we briefly discuss Design by Contract, which broadens the scope for applicability of contracts in the development process. 51.1. Division of Responsibilities Lecture 13 - slide 10 A class encapsulates some description of state, and some operations. A subset of the operations make up the interface between the class and other classes. All together, the class manages a certain amount of responsibility. Internally, the class is responsible for keeping the state consistent and sound. Externally, the operations of the class are responsible for delimitation of the messages that they handle, and the quality of the work (results) the operations deliver. It is bad if a class is irresponsible. Class irresponsibility may occur if a pair classes both expect the other class to be responsible. It is also bad if a class is too responsible. A pair of over-responsible classes redundantly care about the same properties. This is not necessary, and it bloats the amount of program lines in the implementation of the classes. This leads us to the essence of this and the following sections, namely division of responsibilities. Let us first enumerate the consequences of well-defined and ill-defined division of responsibilities: • Without well-defined division of responsibilities • All classes accept a large responsibility • All program parts check all possible conditions (defensive programming) • Makes a large program even larger • With well-defined division of responsibilities • Operations can safely operate under given assumptions • It is well-defined which parts should check which conditions • Simplifies the program 51.2. The highly responsible program Lecture 13 - slide 11 Before we proceed to the role of preconditions and postconditions in relation to responsibility, we will study an example of an object-oriented program with two classes that altogether are over-responsible. We make our points with yet another version of class BankAccount, see Program 51.2, in relation to a client of class BankAccount, see Program 51.1. As you will realize below, the illustration of over-responsibility is slightly exaggerated in relation to a real-life program.
  • 470.
    464 The Main methodin Program 51.1 withdraws and deposits money on the bank account referred by the variable ba, which is declared and initialized in line 5. Before withdrawing money in line 8, Main checks the soundness of the account (with AccountOK), and it checks if there are enough money available. After the withdrawal Main checks if the account is still sound. It also deals with the situation where Main withdraws an amount of money, which is greater then the balance of the account. Similar observations apply to Deposit in line 19. 1 2 3 4 5 6 7 8 9 10 11 12 13 14 15 16 17 18 19 20 21 22 23 24 public class Client{ public static void Main(){ BankAccount ba = new BankAccount("Peter"); if (ba.AccountOK && ba.EnoughMoney(1000)) ba.WithDraw(1000); else WithdrawingProblems("..."); if (!ba.AccountOK) MajorProblem("..."); if (ba.Balance <= 0) BankAccountOverdrawn(ba); ... if (ba.AccountOK) ba.Deposit(1500); if (!ba.AccountOK) MajorProblem("..."); } } Program 51.1 Excerpt of highly responsible class Client of BankAccount. In class BankAccount below, the Withdraw method in line 9-16 check the soundness of the bank account, and it deals with insufficient funds, before the actual withdrawal takes place in line 15. The Deposit method in line 18-24 cares about the situation where clients deposit very large amounts. In such cases the bank account attempts to check if the money comes from illegal or criminal sources. 1 2 3 4 5 6 7 8 9 10 11 12 13 14 15 16 17 18 19 20 public class BankAccount { private double interestRate; private string owner; private double balance; // ... public void Withdraw (double amount) { if (!AccountOK) ComplainAboutNonValidAccount(); else if (!this.EnoughMoney(amount)) ComplainAboutMissingMoney(); else balance -= amount; } public void Deposit (double amount) { if (amount >= 10000000) CheckIfMoneyHaveBeenStolen();
  • 471.
    465 21 22 23 24 25 else if (!AccountOK) ComplainAboutNonValidAccount(); alsebalance += amount; } } Program 51.2 Excerpt of highly responsible class BankAccount. Seen altogether, the amount of code in Program 51.1 and Program 51.2 is much larger than desired. The checks that happen more than once should be eliminated. In addition, some of the responsibilities should be delegated to third party objects. 51.3. Responsibility division by pre and postconditions Lecture 13 - slide 12 Preconditions and postconditions can be used to divide the responsibility between classes in an object- oriented program. The idea is to make it the responsibility of particular objects to fulfill the precondition of a method, and to make it the responsibility of other objects to fulfill the postcondition of a method. The rules are as follows: • Fulfillment of the precondition • The responsibility of the caller • The responsibility of the client in an object-oriented program • Fulfillment of the postcondition • The responsibility of the called operation • The responsibility of the server in an object-oriented program Client and server are roles of objects relative to the message passing in between them. The client and server roles were discussed in Section 2.1. In some books, the server is called a supplier. Let us recall the precondition and the postcondition of the square root function sqrt, as shown in Program 49.2. A function that calls sqrt is responsible to pass a non-negative number to the function. If a negative number is passed, the square root function should do nothing at all to deal with it. If, on the other hand, a non-negative number is passed to sqrt, it is the responsibility of sqrt to deliver a result which fulfills the postcondition. Thus, the caller of sqrt should do nothing at all to check or rectify the result. Now we know who to blame if an assertion fails: Blame the caller if a precondition of an operation fails Blame the called operation if the postcondition of an operation fails
  • 472.
    466 51.4. Contracts Lecture 13- slide 13 In everyday life, a contract is an enforceable agreement between two (or more) parties. Often, contracts are regulated by law. In relation to programming in general, we define a contract in the following way: A contract expresses the mutual obligations in between parts of a program that cooperate about the solution of some problem In object-oriented programming it is natural that the program parts are classes. The preconditions and the postconditions of the public methods in a class together form a contract between the class and its clients. It can be a serious matter if a contract is broken. A broken contract is tantamount to an inconsistency between the specification and the program, and it is usually interpreted as an error in the program. The error is usually fatal. A broken contract should raise and throw an exception. Unless the exception is handled, the broken contract will cause the program to stop. 51.5. Everyday Contracts Lecture 13 - slide 14 Contracts are all around us in our everyday life When we do serious business in our everyday life, we are very much aware of contracts. When we accept a new job or when we buy a house, the mutual agreement is formulated in a contract. Below we list some additional everyday contracts: • Student and University • The student enrolls some course • The university offers a teacher, a room, supervision and other resources • Citizen and Tax office • The citizen does a tax return • The tax office calculates the taxes, and regulates the paid amount of money • Football player and Football club • The player promises to play 50 games per season • The football club pays 10.000.000 kroner to the player pr. month • Citizen and Insurance company • The insurance holder pays the insurance and promises to avoid insurance fraud • In case of a damage or accident, the insurance company pays compensation
  • 473.
    467 51.6. Contracts: Obligationsand Benefits Lecture 13 - slide 15 Contracts in object-oriented programs, specified by preconditions and postconditions of certain methods, express obligations and benefits. In Figure 51.1 we personalize the obligations and benefits of a client and server. In the context of Figure 51.1 the server is called a supplier. This terminology, as well as the syntax used in the illustration, come from the object-oriented programming language Eiffel [Meyer97, Meyer92, Switzer93]. Figure 51.1 A give-and-take situation involving a client and a server (supplier) class. The Client, shown to the right in Figure 51.1 must make an effort to arrange, that everything is prepared for calling opSupplier in the class Supplier. These efforts can be enjoyed by the supplier, because he can take for granted that required precondition of opSupplier is fulfilled. The roles are shifted with respect to the rest of the game. The supplier must make an effort to ensure that the postcondition of opSupplier is fulfilled when the operation terminates. This reflects the fact the operation has done the job, as agreed on in the contract. In return, the client can take for granted that the opposite party (the supplier) delivers an appropriate and correct result. The obligations and benefits of the contract can be summarized as follows: Obligation - May involve hard work Benefit - A delight. No work involved If you feel that the discussion in this section is too abstract, we will rephrase the essence in the next section relative to the squareroot function.
  • 474.
    468 51.7. Obligations andBenefits in Sqrt Lecture 13 - slide 16 In Program 49.2 of Section 49.3 we exemplified axiomatic specifications with a squareroot function. Let us, of convenience, rephrase the specification here. 1 2 3 4 5 sqrt(x: Real) -> Real precondition: x >= 0; postcondition: abs(result * result - x) <= 0.000001 Program 51.3 An axiomatic specification of the squareroot function. The obligations and benefits of sqrt, relative to its callers, are summarized in the following table: - Obligation Benefit Client Must pass a non-negative number Receives the squareroot of the input Server Returns a number r for which r * r = x Take for granted that x is non-negative Table 51.1 A tabular presentation of the obligations and benefits of the squareroot function (in a server role) and its callers (in a client role). Notice in particular the obligation of the client and the benefit of the server, as emphasized using the red color in the table. 51.8. Design by Contract Lecture 13 - slide 27 As presented in Section 51.4, a contract of a class is the sum of the assertions in the class. Thus, a contract is formed by concrete artifacts in the source program. As part of the Eiffel efforts [Meyer97, Meyer92, Switzer93], the use and benefits of contracts have been broadened such that contracts affects both design, implementation, and testing. The broad application of contract is known as Design by Contract (DBC). Design by Contract is a trademark of the company Eiffel Software, and as such it may be problematic to use the term, at least in commercial contexts. Design by ContractTM (DBC) represents the idea of designing and specifying programs by means of assertions The following summarizes the use of contracts in the different phases of the software development process, and beyond.
  • 475.
    469 • Design: Apragmatic approach to program specification • Documentation: Adds very important information to interface documentation of the classes • Implementation: Guides and constrains the actual programming • Verification: The program can be checked against the specification every time it is executed • Test: • Preconditions limit the testing work • The check of postconditions and class invariants do part of the testing work • End use: Trigger exception handling if assertions are violated The use of contracts for design purposes is central. The contract of a planned class serves as the specification of the class. We have discussed program specifications in Section 49.3 of this material. Interface documentation - as pioneered by JavaDoc - includes signatures of methods and informal explanations found in so-called documentation comments. It is very useful to include both preconditions, postconditions, and class invariants in such documentation. During program execution - both in the testing phase and in the end use phase - the actual state of the program execution can be compared with the assertions. As such, it is possible to verify the implementation against the specification at program run-time. If an inconsistency is discovered during testing, we have located an error. This is always a pleasure and a success. If an inconsistency is discovered during end use, an exception is thrown. This is clearly less successful. Exceptions have been treated in Chapter 33 - Chapter 36 of this material. 51.9. References [Switzer93] Robert Switzer, Eiffel and Introduction. Prentice Hall, 1993. [Meyer92] Bertrand Meyer, Eiffel the Language. Prentice Hall, 1992. [Meyer97] Bertrand Meyer, Object-oriented software construction, second edition. Prentice Hall, 1997.
  • 476.
  • 477.
    471 52. Class Invariants Inthis chapter we will study yet another kind of assertions called class invariants. The class invariant serves as a strengthening of both the preconditions and the postconditions of all operations in the class. As we will see in the first section of this chapter, a good class invariant makes it easier to formulate both preconditions and postconditions of the operations in the class. 52.1. General aspects of contracts Lecture 13 - slide 18 When we do computations in general, the values of the variables in the running programs are modified throughout the computation. In an object-oriented program the states of the involved objects will vary as the program execution progresses. This variation of the program state is not arbitrary, however. There is usually some rules that control and constrain the variations. Such rules can be formulated as invariants. An invariant describes some properties and relationships that remain constant (do not vary) during the execution of a program. A class invariant is an assertion that captures the properties and relationships, which remain stable throughout the life-time of instances of the class. A class invariant expresses properties of an object which are stable in between operations initiated via the public client interface The following characterizes a class invariant: • acts as a general strengthening of both the precondition and postcondition • expresses a "health criterion" of the object • must be fulfilled by the constructor • must be maintained by the public operations • must not necessarily be maintained by private and protected operations The class invariant is an assertion, which should be true at every stable point in time during the life of an object. In this context, a stable point in time is just after the completion of the constructor and in between executions of public operations on the class. At a stable point in time, the object is in rest - the object is not in the middle of being updated. The unstable points in time are, for instance, in the middle of the execution of a constructor, or in the middle of the execution of a public operation. In addition, a non-public operation may leave the object in a state, which does not satisfy the class invariant. The reason is that a public operation may need to activate several non-public operations, and it may need to carry out additional state changes (assignments) in order to reach a stable state that satisfies the class invariant. A non-public operation may be responsible for only a fraction of the updating of an object. You can think of the class invariant as a health criterion, which must be fulfilled by all objects in between operations. As a precondition of every public operation of the class, it can therefore be assumed that the class invariant holds. In addition, it can be assumed as a postcondition of every public operation that the class invariant holds. In this sense, the class invariant serves as a general strengthening of both the precondition and the postcondition of public operations in the class. The effective precondition is the formulated
  • 478.
    472 precondition in conjunctionwith the class invariant. Similarly, the effective postcondition is the formulated postcondition in conjunction with the class invariant. A class invariant expresses some constraints that must be true at every stable point in time during the life of an object Our primary interest in this chapter is class invariants. Invariants are, however, also useful and important in other contexts. 52.2. Everyday invariants Lecture 13 - slide 19 Before we proceed to a programming example, we will draw the attention to useful everyday invariants. • Coffee Machine • In between operations there is always at least one cup of coffee available • Toilet • In between "transactions" there is always at least 0.75 meter of toilet paper on the roll • Keys and wallet • In between using keys and/or wallet • During daytime: Keys and wallet are in the pocket • During nighttime: Keys are wallet are located on the bedside table or underneath the pillow The coffee machine invariant ensures that nobody will go for coffee in vain. If you happen to fill your jug with the last cup of coffee from the coffee pot, your operation on the coffee machine is not completed until you have brewed a new pot of coffee. The toilet paper invariant should be broadly appreciated. As a consequence of the invariant, the operation of emptying the toilet paper reel is not completed before you have found and mounted an extra, full reel of paper. The last everyday invariant is - in my experience - often broken by women and children, because they do not always wear practical cloth with pockets suitable for wallets and keys. As a consequence, these important items tend to be forgotten or misplaced, such that they are not available when needed. If the proposed key and wallet invariant is observed, you either use the key or wallet, or you will be confident where to find them. Adherence to invariants is the key to order in our daily lives
  • 479.
    473 52.3. An exampleof a class invariant Lecture 13 - slide 20 It is now time to study the invariant of the circular list. Recall that we introduced preconditions and postconditions of the circular list in Program 50.1 of Section 50.2. The class invariant of a circular lists expresses that the list is circular whenever it is non-empty. In Program 52.1 the invariant is formulated at the bottom of the program, in line 43-45. In the same way as the preconditions and postconditions, the class invariant involves subexpressions that are realized by programmed operations (empty, isCircular, and size) of the class. 1 2 3 4 5 6 7 8 9 10 11 12 13 14 15 16 17 18 19 20 21 22 23 24 25 26 27 28 29 30 31 32 33 34 35 36 37 38 39 40 41 42 43 44 45 46 class CircularList { // Construct an empty circular list public CircularList() require true; ensure empty(); // Return my number of elements public int size() require true; ensure (size = countElements) && noChange; // Insert el as a new first element public void insertFirst(Object el) require !full(); ensure !empty() && isFirst(el); // Insert el as a new last element public void insertLast(Object el) require !full(); ensure !empty() && isLast(el); // Delete my first element public void deleteFirst() require !empty(); ensure (empty() || isFirst(old retrieveSecond)); // Delete my last element public void deleteLast() require !empty(); ensure (empty() || isLast(old retrieveButLast())); // Return the first element in the list Object retrieveFirst() require !empty(); ensure isFirst(result) && noChange; // Return the last element in the list Object retrieveLast() require !empty(); ensure isLast(result) && noChange; invariant !empty() implies isCircular() and empty() implies (size() = 0); } Program 52.1 Circular list with a class invariant.
  • 480.
    474 If we compareProgram 52.1 with Program 50.1 it is worth noticing that the preconditions and postconditions become simpler and shorter, because they implicitly assumes that the class invariant is true. Thus, relative to (a slightly idealised version of) Program 50.1, the invariant is factored out of all preconditions and postconditions.
  • 481.
    475 53. Inheritance isSubcontracting In this chapter we will review inheritance - including specialization - in the light of contracts. Specialization was discussed in Chapter 25 and inheritance was discussed in Chapter 27. The concept of contracts was introduced in Chapter 51. Stated briefly, we understand a subclass as a subcontractor of its superclass. Being a subcontractor, it will not be possible to carry out arbitrary redefinitions of operations in a subclass, relative to the overridden operations in the superclass. 53.1. Inheritance and Contracts Lecture 13 - slide 22 The following question is of central importance to the discussion in this chapter. How do the assertions in a subclass relate to the similar assertions in the superclass? Figure 53.1 illustrates a class B which inherits from class A. Both class A and B have invariants. In addition, operations in class A that are redefined in class B have preconditions as well as postconditions. Figure 53.1 The relationship between inheritance and contracts The question from above can now to refined as follows: • How is the invariant in class B related to the invariant of class A? • How is the precondition of the operation op in class B related to the precondition of the overridden operation op from class A? • How is the postcondition of the operation op in class B related to the postcondition of the overridden operation op from class A? Each of the three questions are symbolized with a red question mark in Figure 53.1.
  • 482.
    476 53.2. Subcontracting Lecture 13- slide 23 Due to polymorphism, an instance of a subclass can act as a stand in for - or subcontractor of - an instance of the superclass. Consequently, the contract of the subclass must comply with the contract of the superclass. The contract of a subclass must therefore be a subcontract of the superclass' contract. This is closely related to the principle of substitution, which we discussed in Section 25.7. The notion of subcontracting is realized by enforcing particular requirements to preconditions, postconditions, and class invariants across class hierarchies. In order to understand inheritance as subcontracting, the following rules must apply for assertions in a subclass: • The precondition must not be stronger than the precondition in the superclass • The postcondition must not be weaker than the postcondition in the superclass • The class invariant must not be weaker than the invariant in the superclass As discussed in Section 50.1, a precondition of an operation states the prerequisites for calling the operation. If the precondition is evaluated to the value true, the operation can be called. It is the responsibility of the caller (the client) to fulfill the precondition. The postcondition of the operation states the meaning of the operation, in terms of requirements to the returned value and/or requirements to the effect of the operation. It is the responsibility of the operation itself (the server) to fulfill the postcondition. The postcondition must be true if the precondition is satisfied and if the operation terminates normally (without throwing an exception). If we assume that the precondition of a redefined operation in a subclass is stronger than the precondition of the original operation in the superclass, then the subclass cannot be used as a subcontractor of the superclass. Consequently, the preconditions of redefined operations in subclasses must be equal to or weaker than the preconditions of corresponding operations in superclasses. In case the postcondition of a redefined operation in a subclass is weaker than the postcondition of the operation in the superclass, the redefined operation does not solve the problem as promised by the contract in the superclass. Therefore, the postconditions of redefined operations must be equal to or stronger than the postconditions of corresponding operations in superclasses. The superclass has promised to solve some problem via the virtual operations. Redefined and overridden operations in subclasses are obliged to solve the problem under the same, or possible weaker conditions. This causes the weakening of preconditions. The job done by the redefined and overridden operations must be as least as good as promised in the superclass. This causes the strengthening of postconditions. The invariant of the superclass expresses requirements to instance variables in the superclass, at stable points in time. These instance variables are also present in subclasses, and the requirements to these persist in subclasses. Consequently, class invariants cannot be be weakened in subclasses. Relative to Figure 53.1 the formulated precondition pre-op2 in B.op serves as a weakening of pre-op1 of A.op. The effective precondition of B.op is pre-op1 or pre-op2. Similarly, the effective postcondition of B.op2 is post-op1 and post-op2. The use of the Eiffel keywords require else and ensure then signals this understanding. Operations in subclasses cannot arbitrarily redefine/override operations in superclasses
  • 483.
    477 In our discussionof redefinition of methods in Section 28.9 we came up with some technical and syntactical requirements to redefinitions. The contributions outlined above in terms of subcontracting constrain the meaning (the semantics) of redefined operations in subclasses in relation to the original operations in superclasses. This is very satisfactory! 53.3. Class invariants in the triangle class hierarchy Lecture 13 - slide 24 We studied the specialization hierarchy of polygons in Section 25.5. In Figure 53.1 below we revisit the five triangle classes. It is our interest to understand how the class invariants are strengthened in subclasses of the most general triangle class. Figure 53.2 The hierarchy of triangle classes. The root class represents the most general triangle. The son to the left represents an isosceles triangle (where to sides are of same lengths). The son to the right represents a right triangle, where one of the angles is 90 degrees. The triangle at the bottom left is an equilateral trianlge (where all three sides are of equal lengths). The triangle at the bottom right is both an isosceles triangle and a right triangle. The invariants of the five types of triangles can be described as follows: • Most general triangle: 3 angles, 3 edges Sum of angles: 180 degrees • Isosceles triangle Invariant of general triangle 2 edges of equal length • Equilateral triangle: Invariant of isosceles triangle 3 edges of equal length • Right triangle: Invariant of general triangle Pythagoras • Isosceles right triangle: Invariant of isosceles triangle Invariant of right triangle Notice that the italic contributions above describe the strengthenings relative to the invariant of the superclass.
  • 484.
    478 53.4. Assertions inAbstract classes Lecture 13 - slide 25 Abstract classes where discussed in Section 30.1. An abstract method in an abstract class defines the name and parameters of the method - and nothing more. The intended meaning of the method is an informal matter. In Chapter 30 we did not encounter any means to define or constrain the actual result or effect of abstract methods. In this section we will see how the meaning of an abstract method can be specified. In Program 30.1 we studied an abstract class Stack. Below, in Program 53.1 we show a version of the abstract stack with contractual elements - preconditions and postconditions. Possible future non-abstract subclasses of Stack will be subcontractors. It means that such subclasses will have to fulfill the contract of the abstract stack, in the way we have discussed in Section 53.2.
  • 485.
    479 1 2 3 4 5 6 7 8 9 10 11 12 13 14 15 16 17 18 19 20 21 22 23 24 25 26 27 28 29 30 31 32 33 34 35 36 37 38 39 40 41 42 43 44 45 46 47 48 49 50 51 52 using System; public abstractclass Stack{ abstract public void Push(Object el); require !full; ensure !empty && top() = el && size() = old size() + 1 && "all elements below el are unaffected"; abstract public void Pop(); require !empty(); ensure !full() && size() = old size() - 1 && "all elements remaining are unaffected"; abstract public Object Top require !empty(); ensure nochange && Top = "the most recently pushed element"; { get; } abstract public bool Full require true; ensure nochange && Full = (size() = capacity); { get; } abstract public bool Empty require true; ensure nochange && Empty = (size() = 0); { get;} abstract public int Size require true; ensure nochange && Size = "number of elements on stack"; { get;} public void ToggleTop() require size() >= 2; { if (Size >= 2){ Object topEl1 = Top; Pop(); Object topEl2 = Top; Pop(); Push(topEl1); Push(topEl2); } ensure size() = old size() && "top and element below top have been exchanged" && "all other elements are unaffected"; } public override String ToString(){ return("Stack"); } } Program 53.1 An abstract class with preconditions and postconditions. As we have seen before, require clauses are preconditions and ensure clauses are postconditions. Notice the use of old and nochange, which we introduced in Section 50.2. The "italic strings" represent informal preconditions. Alternatively, and more rigidly, we may consider to implement these parts of the assertions as private boolean functions. Notice, however, that it would be quite demanding to do so, at least compared with the remaining implementation efforts involved.