International Journal of Computer Networks & Communications (IJCNC) Vol.11, No.6, November 2019 DOI: 10.5121/ijcnc.2019.11606 91 MULTI-CLUSTER MULTI-CHANNEL SCHEDULING (MMS) ALGORITHM FOR MAXIMUM DATA COLLECTION WITH DELAY MINIMIZATION IN WSN A. Vijayalakshmi1 and P. Vanaja Ranjan2 1 Department of Electronics and Communication Engineering Vels Institute of Science, Technology and Advanced Studies (VISTAS), Chennai, India 2 Department of Electrical and Electronics Engineering, College of Engineering Anna University, Chennai. India ABSTRACT Interference during data transmission can cause performance degradation like packet collisions in Wireless Sensor Networks (WSNs). While multi-channels available in IEEE 802.15.4 protocol standard WSN technology can be exploited to reduce interference, allocating channel and channel switching algorithms can have a major impact on the performance of multi-channel communication. This paper presents an improved Fuzzy Logic based Cluster Formation and Cluster Head (CH) Selection algorithm with enhanced network lifetime for multi-cluster topology. The Multi-Cluster Multi-Channel Scheduling (MMS) algorithm proposed in this paper improves the data collection by minimizing the maximum interference and collision. The presented work has developed Cluster formation and cluster head (CH) selection algorithm and Interference-free data communication by proper channel scheduled. The extensive simulation and experimental outcomes prove that the proposed algorithm not only provides an interference-free transmission but also provides delay minimization and longevity of the network lifetime, which makes the presented algorithm suitable for energy-constrained wireless sensor networks. KEYWORDS Wireless Sensor Networks, Fuzzy Logic, Cluster Formation, Cluster Head, Channel Assignment, Channel Switching, Delay Minimization, Network Lifetime. 1. INTRODUCTION Wireless Sensor Networks (WSNs) typically have no fixed infrastructure like wired network and wireless sensor nodes have constrained resources and limited amount of energy sourses. Thus, the main constraint of designing a communication algorithm is to minimize the energy consumption of a node and to enhance the network lifetime. To achieve these goals, most researchers had designed energy-efficient protocols and algorithms [22]. One of the most popular strategies used for this purpose is clustering. The various clustering algorithms were presented by [1]. Clustering in WSNs can be considered as the actual partitioning of dynamic nodes in the distributed sensor network structure into several clusters discussed by [2] and energy efficient routing protocol for WSN based on fuzzy logic was discussed by [3]. Clusters of the nodes in the distributed sensor network structure are formed concerning their distance between each other. These nodes which are located within their radio transmission range, setup a bidirectional communication link between them. Typical clustering algorithms are known as single-hop clustering algorithms presented by [2] and multi-hop clustering algorithms presented by [4].
International Journal of Computer Networks & Communications (IJCNC) Vol.11, No.6, November 2019 92 In the large monitoring region, the wireless sensor nodes are deployed randomly. Moreover, the longevity of the network, the maximum coverage range, the availability of the services, connectivity and the scalability of the network are significant design goals to ensure the improvement in the network performance and provide services at every part of the deployment area [6] [5]. The performance improvement and the scalability of the network can be obtained by using two-tiered hierarchical architecture. The first level nodes are cluster member nodes and next level nodes are sink nodes. The cluster-based multi-channel system for improving the performance of wireless multi-sink sensor networks was discussed in [7] [25]. The cluster head in the network was considered as sink and the channel assignment also varied from CH to CH. The same frequency channel has been assigned to the alternate CHs. It reduces the interference but the algorithm proposed in this paper discusses how to get the maximum interference avoidance by proper channel assignment and channel switching strategy [31]. Nowadays the multichannel communication [30] is applied to various real-time applications such as under-water sensor applications [25], tactical surveillance, disaster warning, etc. The performance degradation of the wireless sensor network happens due to some serious problems like a collision. To avoid transmission collision, transmission scheduling algorithms were proposed in the underwater acoustic sensor network protocol by [8] and the multichannel MAC protocol for Under Water Sensor Network was designed by [9] and challenges discussed in [27]. The performance improvement and the scalability of the network can be obtained by using two- tiered hierarchical architecture. The first level nodes are cluster member nodes and next level nodes are sink nodes. The cluster-based multi-channel system for improving the performance of wireless multi-sink sensor networks discussed in [26]. The cluster head in the network was considered as sink and the channel assignment [24] also varied from CH to CH. The same frequency channel has been assigned to the alternate CHs. This channel assignment concept reduces the interference but the algorithm proposed in this paper is discussed how to get the maximum interference avoidance by proper channel assignment and channel switching strategy. Maximization of the data collection is the most vital motivation of the research. One way of maximizing data collection is the proper design of routing protocol which is discussed by [28] and [29]. Proper deployment of the network also maximizes the data collection. The fundamental concept of designing multichannel addresses the issue such as “which node can access which channel and when”. The proper channel utilization of single-transceiver sensor nodes and proper utilization of the available frequency band are a challenge for researchers. This paper focuses on how to utilize the frequency band of MAC with proper channel assignment algorithms and how to avoid channel interference by selecting appropriate channels. To address the issues in literature, this paper proposes the design of clustering protocol and multichannel switching algorithm. The first one is cluster formation and Cluster Head (CH) selection. This paper proposes a Fuzzy Logic based Cluster Head Selection Algorithm (FLCS) for the formation of Cluster and selection of Cluster Head. The main focus of FLCS is to form an optimal number of clusters and to develop the best CH selection algorithm, thereby, increase the lifetime of the network. The second one is Multichannel assignment and channel switching algorithm based multi-cluster network topology with static Sink (S) for achieving maximum data collection with minimum delay is also presented in this paper. The main contributions of the Multi-cluster Multi-channel Scheduling (MMS) algorithm are:  The cluster-based multi-sink topology and MMS algorithms with proper CH selection algorithm consider the criticality of the event which is also one of the criteria for CH selection. When the occurred event is more critical, the probability required for a node
International Journal of Computer Networks & Communications (IJCNC) Vol.11, No.6, November 2019 93 acting as CH is less in MMS and the highest priority is given during data transmission in MMS communication algorithm.  The cluster-based multi-sink topology and MMM algorithms are designed to meet the objectives of balancing throughput and timeliness. The algorithm has the features of load balancing by distributing the traffic among multiple channels in the network, thereby maximizing throughput.  The scalability has been achieved through MMM algorithm because of using multiple sinks. The other factors like throughput, packet delay is also been analyzed.  Fixed channel assignment and proper channel switching algorithm development for achieving less interference communication. 2. LITERATURE SURVEY The performance of cluster-based wireless sensor networks was analyzed and presented by [10]. The author analyzed the performance of the adaptive clustering protocol called Low Energy Adaptive Clustering Hierarchy (LEACH) protocol for the increased network lifetime and balanced energy among the nodes. The performance analysis of the LEACH protocol had been done by [10] and [11], based on the four different models such as continuous model, event- driven, observer-initiated model and hybrid model. These models were classified based on the application’s constraints. The phases of LEACH protocol such as set-up phase and steady-state phase were discussed. The CHs were elected only based on the residual energy and CH position was rotated among the nodes in a random manner. The Balanced Cost Cluster-Heads Selection Algorithm (BCSA) proposed by [12] is the modified LEACH clustering algorithm. This algorithm considered the remoteness of the nodes to the sink, and nodes residual energy were the main criteria for the cluster head selection. The BCSA is same as the LEACH except that BCSA used two parameters as criteria for the cluster head selection wherein LEACH considered only residual energy of the node. This algorithm has very little performance improvement than LEACH. The Fuzzy Relevance-based Cluster head selection Algorithm (FRCA) for mobile ad hoc networks was developed by [13]. In this algorithm, the fuzzy relevance was used to select a node as CH. The Fuzzy Relevance Degree (FRD) was included in the packet structure and these packets were transmitted by the nodes in the network with FRD for CH selection. The fuzzy value used for FRD was determined by the available power, distance, and mobility and ranges between 0 and 1 (0 1  ). The FRD was calculated based on the energy of a node in the network. The number of CH obtained in FRCA was higher and the analysis was compared with CBRP-Cluster Based Routing Protocol (Islam et al 2010). The main drawback of FRCA is more CH overhead maintenance costs. This is due to the higher number of CH selection. Fuzzy-logic-based clustering algorithm for WSN using an energy prediction approach called LEACH-ERE was discussed in [14] and [23]. The criteria for the selection of cluster head were based on two parameters such as residual energy (RE) and expected residual energy (ERE). The Fuzzy Inference System (FIS) was used for finding the chance of node being selected as CH candidate. The selection of a node to act as a CH candidate had been done only when it had more RE and more ERE. The routing protocol proposed by [15] addressed the issues such as channel assignment based on traffic load, channel switching, etc and also explained how to achieve the channel load balancing by a dynamic selection of routes based on the current traffic condition. The Distributed Information Sharing (DISH) approach discussed by [16] developed a protocol design in WSN. In this approach, the control information was shared between nodes thereby, more informed decision has been taken by the node. The Cooperative Asynchronous
International Journal of Computer Networks & Communications (IJCNC) Vol.11, No.6, November 2019 94 Multichannel MAC protocol called CAM-MAC was designed based on the DISH approach. The channel selection in the DISH was in a random manner. One more assumption used by the DISH is the node which always selects the most recently used data channel if other channels are busy with some other nodes. The role of multichannel communication to improve the performance of the wireless sensor networks was discussed by [17]. Multi-channel communication could decrease the effects of the interference factor and could improve the channel capacity. The author also identified the fundamental challenges such as channel switching; channel overlaps and channel coordination using multi-channel protocol. The coverage with connectivity properties in wireless sensor networks was addressed by [18]. The solution for the coverage problem during the sensor nodes deployment phase was discussed and presented in this literature. The strategy used for coverage problems was divided into three categories like force-based, grid-based and computational geometry based. The maximum coverage was achieved by using virtual repulsive and attractive forces in force-based and grid- based strategies. Due to this concept, the sensors were forced to move away or towards each other. The voronoi diagram was used in computational geometry based strategy for achieving coverage. 3. MMS TOPOLOGY CONSTRUCTION Wireless Sensor Networks (WSNs) are traditionally developed by deploying various types of devices that are configured to act as source node, router node, sink node, etc, and are randomly distributed over the monitored region. The topology creation and topology maintenance are the key issues discussed in the literature [19]. Figure 1 Cluster based Multi-Sink Topology The main focus of this paper is to develop the multi-cluster topology with maximum transmission coverage range and maximum data collection. The proposed topology includes various devices that are configured as Cluster Member (CM) or End Device (ED), Cluster Head (CH), Gateway node (GN), Sink (S) and Base Station (BS) or Coordinator (C). In topology construction, the initial topology is either reduced constructed topology or random deployment of nodes. When the topology is in a random manner, the administrator node has no control over the design of the network; for example, in some locations, nodes may be very densely deployed and very lightly deployed in some other locations. In densely deployed locations, number of redundant nodes are high. Hence, number of packet collisions and duplication of the information from similarly located nodes are high. These issues can be avoided by constructing proper network topology.
International Journal of Computer Networks & Communications (IJCNC) Vol.11, No.6, November 2019 95 This paper proposes the construction of cluster-based multi-sink network topology to withdraw these issues. The proposed cluster-based multi-sink topology is shown in Figure 1. Depending on the routing algorithm the sensor nodes in the network start sensing, transmitting or forwarding the packets regularly. Thus the selected nodes in the route consume energy. Some nodes will deplete energy completely after some time. In a multi-hop network, the nodes that are closer to the sink or BS spend more energy due to more packet forwarding than other nodes that are far away from the sink or BS. Therefore, the network must restore the network topology periodically to get connectivity, coverage, etc [20]. This paper focuses to develop the topology based on the clustering of nodes and maximum coverage range. The FLCS algorithm discusses the formation of clusters with maximum coverage range and proper selection of cluster heads. This paper proposes the event-driven based multichannel communication for network connectivity and network lifetime enhancement. The proposed MMS uses the fixed channel assignment strategy for the allocation of the operating frequency band for CH, CM, and Sink. The algorithm is developed and evaluated on the evaluation board of XB24-ZB with an ATmega32U microcontroller and IEEE 802.15.4 compliant transceiver. In the cluster-based multi-sink network shown in Figure 1, a fixed channel is allocated for the CH node and ED or CM node for transmission and reception. Similarly, the sink and BS (or C) operate on another channel. The GN node is the only node that switches the channel between the channel of CH and sink. The main criterion of the proposed algorithm during the channel assignment phase is that ‘Two adjacent Clusters should not be operated on the two adjacent channels’. This way of channel assignment strategy minimizes the effect of interference and decreases packet collisions. 4. FUZZY LOGIC BASED CLUSTER HEAD SELECTION 4.1. Input / Output Membership Function for FLCS Figure 2 Membership Function for Input Variables
International Journal of Computer Networks & Communications (IJCNC) Vol.11, No.6, November 2019 96 Figure 3. Membership Function for Probability of Node being a Cluster Head The proposed algorithm has used three input membership functions and one output membership function for selecting a node being a Cluster Head (CH). The input membership functions are Residual Energy (RE), Least Recently Selected (LRS) Number of neighbors (NN) and Criticality of the Event (Event) and the output membership function is Probability (P). Triangular membership functions are used for input and output variables and are shown in Figure 2 and Figure 3 respectively. The 3C’s algorithm concentrates on the selection of the appropriate node as CH for event-driven applications. For event-based applications, this algorithm considers criticality of the event (Event) which is also one of the input criteria in addition to the RE and LRS. Here criticality implies how the emergency is an Event and hence gets higher priority for CH selection. The linguistic variable used for Criticality of the event is very critical (VC), critical (C), less critical (LC), for RE is given by very high (VH), high (H), rather high (RH), medium (M), rather low (RL), low (L) and very low (VL) and the linguistic variables used for the other two input variables LRS(n) and NN(n) are high (H), medium (M) and low (L) respectively. The only fuzzy output variable is the probability of a CH candidate P. The membership function for the output variable, probability of a node being a CH is shown in Figure 3. The linguistic variables used for the output variable P is given by very high (VH), high (H), rather high (RH), medium (M), rather low (RL), low (L) and very low (VL). Based on these linguistic variables, the proposed algorithm selects the best CH candidate. The higher the probability shows the more chance for the node being a CH. 4.2.Fuzzy Logic based Cluster Head Selection Algorithm (FLCS) The pseudo-code of the improved clustering method is described as Fuzzy Logic based Cluster Head Selection Algorithm (FLCS). In every clustering round, each sensor node generates a random number between 0 and 1. If the random number for a particular node is bigger than the pre-defined threshold T, which is the percentage of the desired tentative CHs, the node becomes a CH candidate. Every node in the network broadcasts its Residual Energy (RE). Then, all the nodes calculate the Probability using the Fuzzy Inference System based on RE, LRS, NN, and criticality of the event and FLCS value is calculated using its probability and its neighbors’ residual energy. Once FLCS is calculated, the node broadcasts a Candidate-Message with FLCS value. This message means that the sensor node is a candidate for CH. Once a node advertises a Candidate- Message, it waits for Candidate-Messages from other nodes. After receiving the candidate messages from other nodes, the FLCS value of all the candidates is compared with each other. If FLCS value of itself is bigger than every FLCS values from other nodes, the sensor node broadcasts a CH-Message which means that the sensor node itself is elected as CH. If a node which is not a CH receives the CH-Message, the node selects the closest cluster head as its CH and sends a JOIN-REQ request to the cluster head. Thus clusters are formed with CHs.
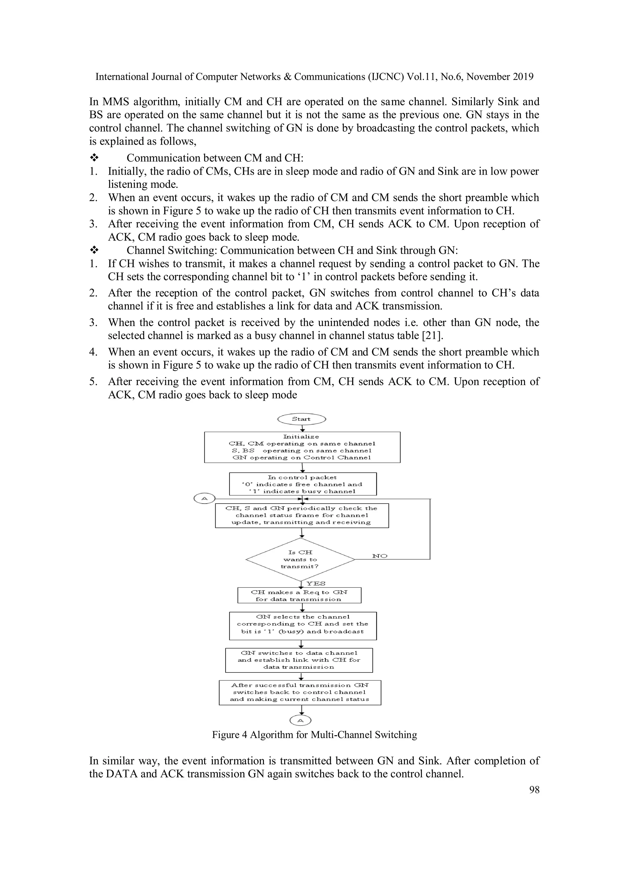
International Journal of Computer Networks & Communications (IJCNC) Vol.11, No.6, November 2019 97 Fuzzy Logic based Cluster Head Selection Algorithm (FLCS) Input: N- Network T-Threshold value to become a cluster head n-Node m-Number of nodes in the network Cost(n)-Probability of a node being a cluster head C-Number of clusters CHMAX- Maximum number of times a node ‘n’ has a chance of being a CH Output: CH node 1. Begin 2. CH(i)_count=0 3. if (rand(0,1) > T ) 4. Broadcast energy of a node ni ERE 5. Calculate using FIS based on RE, LRS, NN and Criticality 6. For ( i=1 to m) 7. 1 ( ( )) ( ) ( ) ( ( )) RE i i ik RE j j E n t FLCS n n E n t      8. 9. Broadcast the CH_CAND(ni) with FLCS(ni) value 10. If ( ( )iFLCS n == max( ( )jFLCS n | j=1,2,…… , m)) then begin 11. Broadcast CH_ADV(ni) 12. Receive REQ_JOIN (ni , nj) 13. ( ) ( ) { }jCH i CH i n 14. CH(i)_count+=1 15. Calculate available power 16. 17. If ( 18. Send NOT_CH 19. End 20. Else 21. Goto step 10 22. End 23. End 24. End 4.2.1. Channel Switching Algorithm The source node in the cluster network senses the information continuously. When an event occurs, it immediately communicates the event information to the CH without delay since both CM and CH are operated on the same frequency band. The event information is transmitted to the BS through the GN and sink node. In this algorithm, the Sink and BS also are operated on the same operating channel. GN is the gateway node between CH and sink node which switches the channel between the operating channel of CH and operating channel of sink. The MMS algorithm used for the multichannel communication is shown in Figure 4
International Journal of Computer Networks & Communications (IJCNC) Vol.11, No.6, November 2019 98 In MMS algorithm, initially CM and CH are operated on the same channel. Similarly Sink and BS are operated on the same channel but it is not the same as the previous one. GN stays in the control channel. The channel switching of GN is done by broadcasting the control packets, which is explained as follows,  Communication between CM and CH: 1. Initially, the radio of CMs, CHs are in sleep mode and radio of GN and Sink are in low power listening mode. 2. When an event occurs, it wakes up the radio of CM and CM sends the short preamble which is shown in Figure 5 to wake up the radio of CH then transmits event information to CH. 3. After receiving the event information from CM, CH sends ACK to CM. Upon reception of ACK, CM radio goes back to sleep mode.  Channel Switching: Communication between CH and Sink through GN: 1. If CH wishes to transmit, it makes a channel request by sending a control packet to GN. The CH sets the corresponding channel bit to ‘1’ in control packets before sending it. 2. After the reception of the control packet, GN switches from control channel to CH’s data channel if it is free and establishes a link for data and ACK transmission. 3. When the control packet is received by the unintended nodes i.e. other than GN node, the selected channel is marked as a busy channel in channel status table [21]. 4. When an event occurs, it wakes up the radio of CM and CM sends the short preamble which is shown in Figure 5 to wake up the radio of CH then transmits event information to CH. 5. After receiving the event information from CM, CH sends ACK to CM. Upon reception of ACK, CM radio goes back to sleep mode Figure 4 Algorithm for Multi-Channel Switching In similar way, the event information is transmitted between GN and Sink. After completion of the DATA and ACK transmission GN again switches back to the control channel.
International Journal of Computer Networks & Communications (IJCNC) Vol.11, No.6, November 2019 99 4.2.2. Control Frame Format for MMS The control frame format is shown Figure 6 is used as a control packet in the MMS algorithm for establishing the communication between CH, GN, and Sink. This format consists of MAC header, MAC payload, and MAC footer. The MAC header has Frame control, Data sequence number, and information of the destination. The Frame Control field indicates the type of the frame, pending frame an acknowledge request. The data sequence number is the serial number of the data. The address of the destination is indicated in the Destination Address information. The MAC payload has two fields such as command type and command payload. The type of the commands like Association Request, Association Response, Disassociation Notification, and Data request are indicated in the command type field. It is indicated with one octet. The command payload in the MAC payload field is the variable length field used. This algorithm uses the command payload field for controlling the channel activity and channel switching of GN. Among 16 channels of IEEE 802.15.4, the MMS algorithm uses only 8 channels from ‘Channel 14’ to ‘Channel 21’. This field is represented with two octets. The first octet is used to represent the channel status. Each bit in this field indicates the status of each channel. If it is ‘0’, the corresponding channel is ‘free’ channel and if it is ‘1’, the corresponding channel is ‘busy’ channel. Figure 5 Short Preambles to Wakeup CH Figure 6 Control/Command Frame Format The second octet is used to represent the criticality of the event. The level of criticality of the event is represented by using 01H to 0FH, in which 01H indicates the less critical event and FFH indicates the more critical event. When any two GN nodes are competing to establish a link with the sink node at the same time, the sink node establishes the link with one GN who is having more critical event. Thus the link is established based on the priority. The highest priority is given to the node having more critical event and the lowest priority is given to the node having less critical events. Like Cyclic Redundancy Check (CRC) the Frame check sequence is used in the MAC footer which is the last field with the length of two octets. 5. EXPERIMENTAL TESTBED FOR MMS The experimental testbed architecture shown in Figure 7 is developed using the Leonardo evaluation board with XB24-ZB and ATmega32U4 microcontroller and IEEE 802.15.4 compliant XBee transceiver. The specification used for the experimental testbed is shown in Table 1. The testbed consists of seven motes (nodes) with XBEE transceiver which is operating on 2.4GHz. These motes are configured as CH, GN, Sink, ED and as BS or C. The CH and ED of the testbed is configured with operating channel of ‘Channel 14’ and sink and BS or coordinator are configured with operating channel of ‘Channel 20’ The Gateway node is initially configured with control channel of ‘Channel 21’, and it switches the channel between ‘Channel 14’ and ‘Channel 20’ depending on the channel request.
International Journal of Computer Networks & Communications (IJCNC) Vol.11, No.6, November 2019 100 Table 1 Experimental Testbed Specification Types Specification Processor ATmega32u4 Flash Memory 32 KB Analog Input 12 pins Clock Speed 16 MHz ZIGBEE XBee series2 transceiver Operation Frequency 2.4 GHz Data Rate 250Kbps Indoor Range up to 40 m Outdoor Range up to 120 m Figure 7. Experiment on Networking with XBEE Series2 Architecture The channel assigned to CH, S and C is based on the fixed channel assignment. The semi- dynamic channel assignment is used for assigning three operating channels to GN. This means that the GN node has the capability of switching between operating channels. The CH makes a channel request to GN only when the event occurs. The CH either communicates to GN or C, depending on the criticality of the event and the availability of the GN channel. The occurred event is less critical or medium critical, the CH waits for the channel coordination with GN and then transmits the event information. Suppose the event is more critical and the channel of GN is busy, then the CH switches to the operating channel of ‘S’ and establishes the communication directly with the sink. The analysis of the channel switching is done through Perytons, a standard Network Protocol Analyzer, ver 4.0. It is the network analyzer capable of simultaneously capturing data from multiple channels. The 802.15.4 defines 16 possible communication channels in the 2.4 GHz ISM band. This analyzer captures all the IEEE 802.15.4 traffic in the 2.4GHz band simultaneously. The channel switching analysis of ‘GN’ between Channel 14 having an operating frequency of 2.415GHz and Channel 20 having an operating frequency of 2.445GHz is shown in Figure 8 and Figure 9 respectively. All the nodes in the network which are operating on the same channel and the link between nodes are analyzed through the network-view of Perytons analyzer.
International Journal of Computer Networks & Communications (IJCNC) Vol.11, No.6, November 2019 101 Figure 8 Channel Switching: Channel-14(2.415GHz) Figure 9 Channel Switching: Channel-20(2.445GHz) The network view of Channel 14 shown in Figure 8 has four nodes, in which three nodes are participating in the communication and one node is in an inactive state. The node with node-id ‘0013A200406FBE63’, ‘0013A200407947CE’, ‘0013A200406FD769’ and ‘0013A200406FEEF3’ are configured as GN1, Sink1, CH1 and CM. The CM node transmits the data to the CH1 node. The link with pink color shows the data transmission between CM and CH1. Once CH1 receives the data from the CM it makes a channel requests to GN1. The link is established between CH1 and GN1 after the reception of channel request from CH1 by GN1. The green line indicates the link establishment. The node with ID ‘0013A200406FBE63’ act as a GN node during channel 14, it establishes a link to the CH1. Similarly, Figure 9 shows the network view for Channel 20. Once GN1 node receives the data from CH1, it would be communicated to the sink node. Thus GN1 node switches the channel from ‘Channel 14’ to ‘Channel 20’ and establishes the communication. The pink nodes with green links indicate this communication establishment of GN1 to Sink1 during Channel 20. The active channel analysis of Channel 14 and Channel 20 are shown in 10 and Figure 11 respectively. From the active channel analysis the number of packets transmitted during Channel 14 is 19,880 and on channel 20 is 2,297. This shows that packet transmission during Channel 14 is higher than channel 20. Figure 10 Active Channel Analysis (Channel 14) Figure 11 Active Channel Analysis (Channel 20)
International Journal of Computer Networks & Communications (IJCNC) Vol.11, No.6, November 2019 102 6. PERFORMANCE ANALYSIS The simulations are carried out with 100 sensor nodes which are randomly deployed in a topographical area of dimension 300m x300m. The topographical area has a sensed transmission limit of 40m which is equal to 133 feet. The simulation parameter is listed in Table 2. There is only one static sink which is located at the centre of the network area. 6.1. Probability of CH Selection based on Criticality of the Event Figure 12 shows the surface view output of the probability of the node being elected as CH when the occurred event is very critical. The crisp value of the criticality of the event for very critical event used in FLCS algorithm is 9. When there is an occurrence of very critical event, the result shows that the probability of node being CH is less. This means that there is the possibility of more number of nodes in the network which becomes CH since the probability value required for node being CH is less for very critical event. In Figure 12, the yellow region shows the fuzzified probability of CH selection. Table 2 Simulation Parameters Parameter Values Topographical Area (meters) 300 x 300 Sink location (meters) Center of the area Number of Nodes 100, 400 Transmission Range 40 m(133 ft) Packet Size 100 bytes Initial battery level 1 Joule Energy for data aggregation 2 J/packet Energy consumption for radio Ee 20J/packet Energy consumption for amplifier 5nJ/packet MAC Protocol IEEE 802.15.4 Figure 12 Probability of CH Selection for Very Critical Event
International Journal of Computer Networks & Communications (IJCNC) Vol.11, No.6, November 2019 103 Figure 13 Probability of CH Selection for Medium Critical Event Figure 13 and Figure 14 show the surface view output of the probability of the node being selected as CH when the occurred event is medium critical and less critical respectively. The crisp value used for medium critical event is 6 and less critical event is 2. The output infers that more probability is required for a node to act as CH when there is a less critical event and medium probability, which means that the probability value is more than the probability of a critical event and less than the probability of a less critical event, is required for a medium critical event. The yellow region of Figure 13 and Figure 14 indicate the fuzzified probability value of CH selection for a less and medium critical events. From these outputs, it can be observed that the increase in yellow region indicates that the increase in the level of criticality of the event. Figure 14 Probability of CH Selection for Less Critical Event 6.2. Number of Alive Nodes Increases with Static Sink The energy consumption rate can directly influence the life-time of the sensor nodes as the depletion of battery resources which will eventually cause the failure of the nodes. The number of alive nodes as a function of level of participation in packet forwarding by changing the value of residual energy (RE) between 0.1J and 0.3J and the value of Least Recently Selected (LRS) is 4 and 6 with the constant value of the Number of Neighbours (NN) which is 5 and the sink is static as shown in Figure 15.
International Journal of Computer Networks & Communications (IJCNC) Vol.11, No.6, November 2019 104 Figure 15. Number of Alive Nodes Increases with Static sink for LRS =4 and LRS=6 The performance of the FLCS algorithm is compared with LEACH protocol which is the standard clustering protocol. From the results, it can be seen that in LEACH protocol, the number of nodes that are alive are almost equal to 100 which means the whole network is alive till 694th round, but in FLCS scheme it is found that the whole network is alive till 1256th round, 2352nd round and 3597th round for RE = 0.1J, 0.2J, 0.3J with static sink respectively. (Here level of transmission participation is termed as rounds). This Performance improvement is achieved only due to the selection criteria of FLCS. The FLCS algorithm uses three parameters such as RE, LRS, NN for cluster head selection. In LEACH, cluster head is elected based on the residual energy only and the next cluster head is elected only when the current CH’s residual energy (RE) is completely drained out. In FLCS, there is a threshold limit for residual energy (RE). Thereby, the elected CH node does not drain out, but it loses its CH position when it has the RE less than the threshold limit. Similarly, FLCS has threshold limit for the other two parameters also. Selected CH in FLCS does not drain out earlier than LEACH because it has residual energy even if it loses its CH position and it lives for longer time than LEACH. 6.3. Number of Alive Nodes Decreases with Mobile Sink The performance of the FLCS algorithm is also analyzed with a mobile sink. The number of alive nodes using a mobile sink with FLCS algorithm is shown in Figure 16. The FLCS algorithm with a mobile sink is also simulated with RE = 0.3J, 0.2J, 0.1J. The result shows that the whole network is alive only when number of rounds are less than 100 in all methods. The numbers of alive nodes decrease with the very fast rate when the numbers of rounds increase. This happens due to the mobility of the sink, even though the result shows that the FLCS algorithm with RE = 0.3J, LRS = 6 performs well as compared to other cases of FLCS and LEACH. Moreover, the mobile sink is also not suitable for event-driven monitoring applications, because of its mobility.
International Journal of Computer Networks & Communications (IJCNC) Vol.11, No.6, November 2019 105 Figure 16 Number of Alive Nodes Decreases with Mobile sink (LRS=4 and LRS=6) 6.4. Network Lifetime Enhancement by FLCS Algorithm Energy efficiency and network lifetime enhancement are the most important issue in WSN. Network lifetime is the time recorded when the first node of the network completely drains out of battery resources. The comparative results of FLCS algorithm with mobile sink and LEACH are presented in Figure 17. Figure 18 shows the comparison of simulation results of network lifetime of the standard LEACH protocol and FLCS algorithm with static sink. From the presented results, the time for drain out of the battery of the first node is earlier in LEACH protocol than the FLCS with static sink. The time for the first node to drain out its battery in FLCS algorithm with static sink occurs at 1234 seconds with RE = 0.3J and LRS = 6, at 1095 seconds with RE = 0.3J and LRS = 4. But in LEACH it occurs nearly 1026 seconds earlier and in FLCS with a mobile sink of 1013 seconds earlier. Therefore, FLCS algorithm with static sink achieves increased network lifetime than LEACH. The network lifetime achieved by the FLCS scheme using static sink shown in Figure 18 is nearly 86% more than that can be obtained by the standard algorithm and also nearly 84% more than FLCS with mobile sink as shown in Figure 17. The lifetime of the first battery drain out node in terms of the number of rounds for three different algorithms is listed in Table 3. This shows that the use of FLCS algorithm can improve energy efficiency and prolong the lifetime of the network. Table 3 Time for the First Node Drain Out of its Battery Energy Algorithms Lifetime of the first node drain of out its battery (sec) LEACH 168 FLCS with Mobile sink 189 Proposed FLCS with Static sink 1234
International Journal of Computer Networks & Communications (IJCNC) Vol.11, No.6, November 2019 106 Figure 17 Network Lifetime with FLCS Increases for Mobile Sink for LRS=6 than LRS=4 Figure 18 Network lifetime with FLCS increases more for Static sink for LRS = 4 and LRS = 6 6.5.Throughput Analysis for varying Number of Channels Figure 19 shows the throughput of the Multicluster Multichannel Scheduling (MMS) Algorithm. The throughput of MMS is compared with Min-Max and single channel algorithm by configuring the nodes with 8 channels. From the result, it can be observed that the MMS always exhibits better performance than the Min-Max and single channel, particularly for four and more channels. The MMS has achieved 9% more throughput than Min-Max and 38% more throughput than single channel. The throughput of the simulated MMS is higher than single channel and experimental MMS. This performance improvement is obtained because of fixed channel assignment with channel switching scheduled in MMS. When the number of channels is less, MMS shows a small improvement in the performance of the obtained throughput as compared to Min-Max. As the number of operating channels increases, the proposed algorithm shows a drastic performance improvement.
International Journal of Computer Networks & Communications (IJCNC) Vol.11, No.6, November 2019 107 Figure 19 Throughput Increase with Number of Channels 6.6. Impact of Increase in Number of Channel on Packet Delay Figure 20 and Figure 21 show the packet delay for different data rates with 4 channels and 8 channels respectively. Figure 20 shows that the maximum delay induced for a data rate of 200 kbps using 4 operating channels, under Min-Max method is 0.361 seconds while that under MMS is only 0.314 seconds (Experimental MMS), 0.265 seconds (Simulated MMS). The experimental MMS has a packet delay of 0.063sec higher than simulated MMS. As compared to single channel and Min-Max, the MMS algorithm has achieved 39% and 17% less delay. Figure 20 Multi-Channel Decreases Delay: Case Study 4 Channels From Figure 21, it has been observed that for a network operating with 8 channels the delay per packet is 0.295 seconds under Min-Max method, 0.169 seconds under experimental MMS algorithm and 0.110 seconds under simulated MMS algorithm for the data rate of 200kbps. The results show that the proposed MMS of channel allocation is more effective in terms of packet latency by distributing the load equally among the operating channels. From the result, it is proved that the increase in the number of operating channels will show improved timeliness. Timeliness is one of the important criteria for any critical event handling system
International Journal of Computer Networks & Communications (IJCNC) Vol.11, No.6, November 2019 108 Figure 21 Multi Channel Decreases Delay: Case Study 8 channels 7. CONCLUSION The deployment of the proposed cluster-based multi-sink network is developed with maximum coverage of the transmission range. The cluster-based multi-sink topology and MMS algorithm with proper CH selection algorithm discussed in this paper considers the criticality of the event which is also one of the criteria for CH selection. When the occurred event is more critical, the probability required for a node acting as CH is less in MMS and the highest priority is given during data transmission in MMS communication algorithm. These algorithms are designed to meet the objectives of balancing the delay minimization and timeliness. This algorithm has the features of load balancing by distributing the traffic among multiple channels in the network, thereby maximizing throughput with minimum delay. The FLCS always has optimal number CH for various values of probability of CH selection. The proposed algorithm is capable of adapting the selection criteria for Cluster Head selection and multi-channel communication dynamically based on the criticality of the event in the network. The simulation and experimental results demonstrate the effectiveness of the proposed approach with regards to the enhancement of the lifetime of wireless sensor networks with randomly scattered nodes. REFERENCES [1] Ameer Ahmed Abbasi & Mohamed Younis (2007), ‘A survey on clustering algorithms for wireless sensor networks’, Journal of Computer Communications, vol.30, no. 14, pp. 2826-2841. [2] Chinara, S & Rath, SK (2009), ‘A survey on one-hop clustering algorithms in mobile ad hoc networks’, Journal of Networks and System Management, vol.17, no. 1-2, pp. 183-207. [3] Iman ALMomani, M & Maha Saadeh, M (2011), ‘FEAR: Fuzzy-Based Energy Aware Routing Protocol for Wireless Sensor Networks’, International Journal of Communications, Network and System Sciences, vol. 4, no. 6, pp. 403-415. [4] Ohta, T, Inoue, S & Kakuda, Y (2003), ‘An adaptive multihop clustering science for highly mobile ad hoc networks’, Proceedings of the Sixth International Symposium on Autonomous Decentralized Systems, pp. 1-8. [5] Verdone, R, Dardari, D, Mazzini, G & Conti, A (2008), Wireless Sensor and Actuator Networks: Technologies, Analysis and Design, Academic Press. Available from: ebook3000. [January 28, 2008]. [6] Akyildiz, F, Weilian Su, Yogesh Sankarasubramaniam & Erdal Cayirci (2002), ‘A Survey on Sensor Networks’, IEEE Communications Magazine, vol. 40, no. 8, pp. 102-114. [7] Kone, CT, David, M & Lepage, F (2010), ‘Cluster-Based Multi-Channel System for improving Performance of Large-Scale Wireless Multi-Sink Sensor Networks’, Proceedings of the second International Conference on Future Computer and Communication, pp. 163-168.
International Journal of Computer Networks & Communications (IJCNC) Vol.11, No.6, November 2019 109 [8] Nguyen, TH, Shin, SY & Park, SH (2008), ‘Efficiency reservation MAC protocol for underwater acoustic sensor networks’, Proceedings of the fourth international IEEE conference on Networked Computing and Advanced Information Management, pp. 365–370. [9] Chih-Min Chao, Yao-Zong Wang & Ming-Wei Lu (2013), ‘Multiple-Rendezvous Multichannel MAC Protocol Design for Underwater Sensor Networks’, IEEE Transactions on Systems, Man, and Cybernetics: Systems, vol. 43, no. 1, pp. 128-138. [10] Vijayalakshmi, A, Arthi, K & Vanaja Ranjan, P (2013), ‘Network Lifetime Enhancement in Wireless Sensor Networks using Fuzzy logic based Clustering Algorithm’, International Journal of Soft Computing, vol. 8, no. 5, pp 321-326. [11] Heinzelman, WB, Chandrakasan, AP & Balakrishnan, H (2002), ‘An Application-Specific Protocol Architecture for Wireless Microsensor Networks’, IEEE Transactions on Wireless Communications, vol. 1, no. 4, pp 660-670. [12] Ouadoudi Zytoune, Youssef Fakhri & Driss Aboutajdine (2009), ‘A Balanced Cost Cluster-Heads Selection Algorithm for Wireless Sensor Networks’, International Journal of Electrical and Computer Engineering, vol. 4, no.1, pp 648-651. [13] Chongdeuk Lee & Taegwon Jeong (2011), ‘FRCA: A Fuzzy Relevance-based Cluster Head Selection Algorithm for Wireless Mobile Ad-Hoc Sensor Networks’, IEEE Sensors Journal, vol. 11, no. 5, pp 5383-5401. [14] Jin-Shyan Lee & Wei-Liang Cheng (2012), ‘Fuzzy-Logic-Based Clustering Approach for Wireless Sensor Networks using Energy Predication’, IEEE Sensors Journal, vol. 12, no. 9, pp 2891-2897. [15] Jungmin So & Nitin Vaidya, H (2007), ‘Load-Balancing Routing in Multichannel Hybrid Wireless Networks with Single Network Interface’, IEEE Transactions on Vehicular Technology, vol. 56, no. 1, pp 342-348. [16] Tie Luo, Mehul Motani & Vikram Srinivasan (2009), ‘Cooperative Asynchronous Multichannel MAC: Design, Analysis, and Implementation’, IEEE Transactions on Mobile Computing, vol. 8, no. 3, pp 338-352. [17] Ozlem Durmaz Incel (2011), ‘A survey on multi-channel communication in wireless sensor networks’, Elsevier Computer Networks, vol. 55, no. 13, pp 3081-3099. [18] Pallavi Sahu & Sunil Gupta, (2012), ‘Deployment Techniques in Wireless Sensor Networks’, International Journal of Soft Computing and Engineering, vol. 2, no. 3, pp 525-526. [19] Cheick Tidjane Kone, Michael David and Francis Lepage, (2011), “Multi-channel Clustering Algorithm for improving Performance of Large-Scale Wireless Multi-Sink Sensor Networks”, 6th International Wireless Communications and Mobile Computing Conference, IWCMC pp 1-15. [20] Fatemeh Mansour Kiaie, Ahmad Khanlari, (2013) “Coverage Problem in Heterogeneous Wireless Sensor Networks”, European Scientific Journal, vol.9, No.27, pp 81-96. [21] K. Arthi, A. Vijayalakshmi, P. Vanaja Ranjan, (2013), "Critical Event based Multichannel Process Control Monitoring Using WSN for Industrial Applications", Procedia Engineering. Vol. 64, pp 142- 148 [22] Lee, J., and W. Cheng, 2012), "A Fuzzy-Logic-Based Clustering Approach for Wireless Sensor Networks Using Energy Predication", IEEE Sensors Journal, vol. 12, no. 9, pp 2891 - 2897 [23] Zhang Jian-wu, Ji Ying-ying, Zhang Ji-ji, Yu Cheng-lei, (2008) "A Weighted Clustering Algorithm Based Routing Protocol in Wireless Sensor Networks", ISECS International Colloquium on Computing, Communication, Control, and Management. [24] Saifullah, Abusayeed, You Xu, Chenyang Lu, and Yixin Chen, (2014) "Distributed Channel Allocation Protocols for Wireless Sensor Networks", IEEE Transactions on Parallel and Distributed Systems, vol.25, no. 9, pp 2264 - 2274 [25] Madhuri Rao, Narendra Kumar Kamila. (2018) "Spider monkey optimisation based energy efficient clustering in heterogeneous underwater wireless sensor networks", International Journal of Ad Hoc and Ubiquitous Computing Vol.29 No.1/2, pp 50 – 63 [26] Oshri Naparstek, S. M. Zafaruddin, Amir Leshem & Eduard Jorswieck, (2019), ‘Distributed Energy Efficient Channel Allocation’, IEEE Transactions on Green Communications and Networking, pp. 1- 4 [27] Junhua Xing , Qi Li , Haixin Sun , Jie Qi , Zhenggen Zhu & Junfeng Wang , (2019) , ' Multi-Radio Multi-Channel Assignment Algorithm in Maritime Wireless Mesh Networks’, IEEE on Emerging Trends, Issues and Challenges in Underwater Acoustic Sensor Networks, vol. 7, pp. 85903-85912
International Journal of Computer Networks & Communications (IJCNC) Vol.11, No.6, November 2019 110 [28] Meirui Ren, Jianzhong Li, Longjiang Guo , Xiaokun Li & Wenbin Fan (2017), ‘Distributed Data Aggregation Scheduling In Multi-Channel And Multi-Power Wireless Sensor Networks’, IEEE on Big Data Analytics in Internet of Things and Cyber-Physical Systems”, vol. 5, pp. 27887-2786 [29] Taj Rahman , Xuanxia Yao & Gang Tao, (2018), ‘Consistent Data Collection And Assortment In The Progression Of Continuous Objects In IoT’, IEEE Access on Collaboration for Internet of Things, vol. 6, pp. 51875-51885. [30] Yusuke Shiga, KazumasaTakam (2017) “Development and Evaluation of a Contact Center Application System to Integrate Multiple Communication Channels Using WEBRTC”, International Journal of computer Networks and communications, vol.9, no.3, pp. 1-20. [31] Ishan Budhiraja, Sudhanshu Tyagi , Sudeep Tanwar, Neeraj Kumar & Nadra Guizani (2019), ‘Subchannel Assignment for SWIPT-NOMA based HetNet with Imperfect Channel State Information’, International Wireless Communications & Mobile Computing Conference (IWCMC). AUTHORS Vijayalakshmi Alagarsamy received her M.E. degree in Embedded System Technologies and Ph.D. degree from Anna University, Chennai, India. She is currently working as an Associate Professor in the Department of Electronics and Communication Engineering, Vels Institute of Science, Technology and Advanced Studies, Chennai. India. She has rich teaching and research experience of 19years. Seven research scholars are currently working under her guidance. Her areas of research interest include Wireless AdHoc and Sensor Network, Internet of Things, Deeplearning and embedded system design. She has published many journal publications and conference publications. P. Vanaja Ranjan, received the Ph.D. degree from the Anna University, Chennai, India. She is a Professor and Head of Embedded System Technologies, DEEE, Anna University; Chennai, India has rich teaching and research experience of 26 years. Fifteen Ph.D. scholars have completed their research under her guidance. Her areas of research interest include Wireless Sensor Network, DSP applied to embedded systems. She has published many journal publications and conference publications.

MULTI-CLUSTER MULTI-CHANNEL SCHEDULING (MMS) ALGORITHM FOR MAXIMUM DATA COLLECTION WITH DELAY MINIMIZATION IN WSN

  • 1.
    International Journal ofComputer Networks & Communications (IJCNC) Vol.11, No.6, November 2019 DOI: 10.5121/ijcnc.2019.11606 91 MULTI-CLUSTER MULTI-CHANNEL SCHEDULING (MMS) ALGORITHM FOR MAXIMUM DATA COLLECTION WITH DELAY MINIMIZATION IN WSN A. Vijayalakshmi1 and P. Vanaja Ranjan2 1 Department of Electronics and Communication Engineering Vels Institute of Science, Technology and Advanced Studies (VISTAS), Chennai, India 2 Department of Electrical and Electronics Engineering, College of Engineering Anna University, Chennai. India ABSTRACT Interference during data transmission can cause performance degradation like packet collisions in Wireless Sensor Networks (WSNs). While multi-channels available in IEEE 802.15.4 protocol standard WSN technology can be exploited to reduce interference, allocating channel and channel switching algorithms can have a major impact on the performance of multi-channel communication. This paper presents an improved Fuzzy Logic based Cluster Formation and Cluster Head (CH) Selection algorithm with enhanced network lifetime for multi-cluster topology. The Multi-Cluster Multi-Channel Scheduling (MMS) algorithm proposed in this paper improves the data collection by minimizing the maximum interference and collision. The presented work has developed Cluster formation and cluster head (CH) selection algorithm and Interference-free data communication by proper channel scheduled. The extensive simulation and experimental outcomes prove that the proposed algorithm not only provides an interference-free transmission but also provides delay minimization and longevity of the network lifetime, which makes the presented algorithm suitable for energy-constrained wireless sensor networks. KEYWORDS Wireless Sensor Networks, Fuzzy Logic, Cluster Formation, Cluster Head, Channel Assignment, Channel Switching, Delay Minimization, Network Lifetime. 1. INTRODUCTION Wireless Sensor Networks (WSNs) typically have no fixed infrastructure like wired network and wireless sensor nodes have constrained resources and limited amount of energy sourses. Thus, the main constraint of designing a communication algorithm is to minimize the energy consumption of a node and to enhance the network lifetime. To achieve these goals, most researchers had designed energy-efficient protocols and algorithms [22]. One of the most popular strategies used for this purpose is clustering. The various clustering algorithms were presented by [1]. Clustering in WSNs can be considered as the actual partitioning of dynamic nodes in the distributed sensor network structure into several clusters discussed by [2] and energy efficient routing protocol for WSN based on fuzzy logic was discussed by [3]. Clusters of the nodes in the distributed sensor network structure are formed concerning their distance between each other. These nodes which are located within their radio transmission range, setup a bidirectional communication link between them. Typical clustering algorithms are known as single-hop clustering algorithms presented by [2] and multi-hop clustering algorithms presented by [4].
  • 2.
    International Journal ofComputer Networks & Communications (IJCNC) Vol.11, No.6, November 2019 92 In the large monitoring region, the wireless sensor nodes are deployed randomly. Moreover, the longevity of the network, the maximum coverage range, the availability of the services, connectivity and the scalability of the network are significant design goals to ensure the improvement in the network performance and provide services at every part of the deployment area [6] [5]. The performance improvement and the scalability of the network can be obtained by using two-tiered hierarchical architecture. The first level nodes are cluster member nodes and next level nodes are sink nodes. The cluster-based multi-channel system for improving the performance of wireless multi-sink sensor networks was discussed in [7] [25]. The cluster head in the network was considered as sink and the channel assignment also varied from CH to CH. The same frequency channel has been assigned to the alternate CHs. It reduces the interference but the algorithm proposed in this paper discusses how to get the maximum interference avoidance by proper channel assignment and channel switching strategy [31]. Nowadays the multichannel communication [30] is applied to various real-time applications such as under-water sensor applications [25], tactical surveillance, disaster warning, etc. The performance degradation of the wireless sensor network happens due to some serious problems like a collision. To avoid transmission collision, transmission scheduling algorithms were proposed in the underwater acoustic sensor network protocol by [8] and the multichannel MAC protocol for Under Water Sensor Network was designed by [9] and challenges discussed in [27]. The performance improvement and the scalability of the network can be obtained by using two- tiered hierarchical architecture. The first level nodes are cluster member nodes and next level nodes are sink nodes. The cluster-based multi-channel system for improving the performance of wireless multi-sink sensor networks discussed in [26]. The cluster head in the network was considered as sink and the channel assignment [24] also varied from CH to CH. The same frequency channel has been assigned to the alternate CHs. This channel assignment concept reduces the interference but the algorithm proposed in this paper is discussed how to get the maximum interference avoidance by proper channel assignment and channel switching strategy. Maximization of the data collection is the most vital motivation of the research. One way of maximizing data collection is the proper design of routing protocol which is discussed by [28] and [29]. Proper deployment of the network also maximizes the data collection. The fundamental concept of designing multichannel addresses the issue such as “which node can access which channel and when”. The proper channel utilization of single-transceiver sensor nodes and proper utilization of the available frequency band are a challenge for researchers. This paper focuses on how to utilize the frequency band of MAC with proper channel assignment algorithms and how to avoid channel interference by selecting appropriate channels. To address the issues in literature, this paper proposes the design of clustering protocol and multichannel switching algorithm. The first one is cluster formation and Cluster Head (CH) selection. This paper proposes a Fuzzy Logic based Cluster Head Selection Algorithm (FLCS) for the formation of Cluster and selection of Cluster Head. The main focus of FLCS is to form an optimal number of clusters and to develop the best CH selection algorithm, thereby, increase the lifetime of the network. The second one is Multichannel assignment and channel switching algorithm based multi-cluster network topology with static Sink (S) for achieving maximum data collection with minimum delay is also presented in this paper. The main contributions of the Multi-cluster Multi-channel Scheduling (MMS) algorithm are:  The cluster-based multi-sink topology and MMS algorithms with proper CH selection algorithm consider the criticality of the event which is also one of the criteria for CH selection. When the occurred event is more critical, the probability required for a node
  • 3.
    International Journal ofComputer Networks & Communications (IJCNC) Vol.11, No.6, November 2019 93 acting as CH is less in MMS and the highest priority is given during data transmission in MMS communication algorithm.  The cluster-based multi-sink topology and MMM algorithms are designed to meet the objectives of balancing throughput and timeliness. The algorithm has the features of load balancing by distributing the traffic among multiple channels in the network, thereby maximizing throughput.  The scalability has been achieved through MMM algorithm because of using multiple sinks. The other factors like throughput, packet delay is also been analyzed.  Fixed channel assignment and proper channel switching algorithm development for achieving less interference communication. 2. LITERATURE SURVEY The performance of cluster-based wireless sensor networks was analyzed and presented by [10]. The author analyzed the performance of the adaptive clustering protocol called Low Energy Adaptive Clustering Hierarchy (LEACH) protocol for the increased network lifetime and balanced energy among the nodes. The performance analysis of the LEACH protocol had been done by [10] and [11], based on the four different models such as continuous model, event- driven, observer-initiated model and hybrid model. These models were classified based on the application’s constraints. The phases of LEACH protocol such as set-up phase and steady-state phase were discussed. The CHs were elected only based on the residual energy and CH position was rotated among the nodes in a random manner. The Balanced Cost Cluster-Heads Selection Algorithm (BCSA) proposed by [12] is the modified LEACH clustering algorithm. This algorithm considered the remoteness of the nodes to the sink, and nodes residual energy were the main criteria for the cluster head selection. The BCSA is same as the LEACH except that BCSA used two parameters as criteria for the cluster head selection wherein LEACH considered only residual energy of the node. This algorithm has very little performance improvement than LEACH. The Fuzzy Relevance-based Cluster head selection Algorithm (FRCA) for mobile ad hoc networks was developed by [13]. In this algorithm, the fuzzy relevance was used to select a node as CH. The Fuzzy Relevance Degree (FRD) was included in the packet structure and these packets were transmitted by the nodes in the network with FRD for CH selection. The fuzzy value used for FRD was determined by the available power, distance, and mobility and ranges between 0 and 1 (0 1  ). The FRD was calculated based on the energy of a node in the network. The number of CH obtained in FRCA was higher and the analysis was compared with CBRP-Cluster Based Routing Protocol (Islam et al 2010). The main drawback of FRCA is more CH overhead maintenance costs. This is due to the higher number of CH selection. Fuzzy-logic-based clustering algorithm for WSN using an energy prediction approach called LEACH-ERE was discussed in [14] and [23]. The criteria for the selection of cluster head were based on two parameters such as residual energy (RE) and expected residual energy (ERE). The Fuzzy Inference System (FIS) was used for finding the chance of node being selected as CH candidate. The selection of a node to act as a CH candidate had been done only when it had more RE and more ERE. The routing protocol proposed by [15] addressed the issues such as channel assignment based on traffic load, channel switching, etc and also explained how to achieve the channel load balancing by a dynamic selection of routes based on the current traffic condition. The Distributed Information Sharing (DISH) approach discussed by [16] developed a protocol design in WSN. In this approach, the control information was shared between nodes thereby, more informed decision has been taken by the node. The Cooperative Asynchronous
  • 4.
    International Journal ofComputer Networks & Communications (IJCNC) Vol.11, No.6, November 2019 94 Multichannel MAC protocol called CAM-MAC was designed based on the DISH approach. The channel selection in the DISH was in a random manner. One more assumption used by the DISH is the node which always selects the most recently used data channel if other channels are busy with some other nodes. The role of multichannel communication to improve the performance of the wireless sensor networks was discussed by [17]. Multi-channel communication could decrease the effects of the interference factor and could improve the channel capacity. The author also identified the fundamental challenges such as channel switching; channel overlaps and channel coordination using multi-channel protocol. The coverage with connectivity properties in wireless sensor networks was addressed by [18]. The solution for the coverage problem during the sensor nodes deployment phase was discussed and presented in this literature. The strategy used for coverage problems was divided into three categories like force-based, grid-based and computational geometry based. The maximum coverage was achieved by using virtual repulsive and attractive forces in force-based and grid- based strategies. Due to this concept, the sensors were forced to move away or towards each other. The voronoi diagram was used in computational geometry based strategy for achieving coverage. 3. MMS TOPOLOGY CONSTRUCTION Wireless Sensor Networks (WSNs) are traditionally developed by deploying various types of devices that are configured to act as source node, router node, sink node, etc, and are randomly distributed over the monitored region. The topology creation and topology maintenance are the key issues discussed in the literature [19]. Figure 1 Cluster based Multi-Sink Topology The main focus of this paper is to develop the multi-cluster topology with maximum transmission coverage range and maximum data collection. The proposed topology includes various devices that are configured as Cluster Member (CM) or End Device (ED), Cluster Head (CH), Gateway node (GN), Sink (S) and Base Station (BS) or Coordinator (C). In topology construction, the initial topology is either reduced constructed topology or random deployment of nodes. When the topology is in a random manner, the administrator node has no control over the design of the network; for example, in some locations, nodes may be very densely deployed and very lightly deployed in some other locations. In densely deployed locations, number of redundant nodes are high. Hence, number of packet collisions and duplication of the information from similarly located nodes are high. These issues can be avoided by constructing proper network topology.
  • 5.
    International Journal ofComputer Networks & Communications (IJCNC) Vol.11, No.6, November 2019 95 This paper proposes the construction of cluster-based multi-sink network topology to withdraw these issues. The proposed cluster-based multi-sink topology is shown in Figure 1. Depending on the routing algorithm the sensor nodes in the network start sensing, transmitting or forwarding the packets regularly. Thus the selected nodes in the route consume energy. Some nodes will deplete energy completely after some time. In a multi-hop network, the nodes that are closer to the sink or BS spend more energy due to more packet forwarding than other nodes that are far away from the sink or BS. Therefore, the network must restore the network topology periodically to get connectivity, coverage, etc [20]. This paper focuses to develop the topology based on the clustering of nodes and maximum coverage range. The FLCS algorithm discusses the formation of clusters with maximum coverage range and proper selection of cluster heads. This paper proposes the event-driven based multichannel communication for network connectivity and network lifetime enhancement. The proposed MMS uses the fixed channel assignment strategy for the allocation of the operating frequency band for CH, CM, and Sink. The algorithm is developed and evaluated on the evaluation board of XB24-ZB with an ATmega32U microcontroller and IEEE 802.15.4 compliant transceiver. In the cluster-based multi-sink network shown in Figure 1, a fixed channel is allocated for the CH node and ED or CM node for transmission and reception. Similarly, the sink and BS (or C) operate on another channel. The GN node is the only node that switches the channel between the channel of CH and sink. The main criterion of the proposed algorithm during the channel assignment phase is that ‘Two adjacent Clusters should not be operated on the two adjacent channels’. This way of channel assignment strategy minimizes the effect of interference and decreases packet collisions. 4. FUZZY LOGIC BASED CLUSTER HEAD SELECTION 4.1. Input / Output Membership Function for FLCS Figure 2 Membership Function for Input Variables
  • 6.
    International Journal ofComputer Networks & Communications (IJCNC) Vol.11, No.6, November 2019 96 Figure 3. Membership Function for Probability of Node being a Cluster Head The proposed algorithm has used three input membership functions and one output membership function for selecting a node being a Cluster Head (CH). The input membership functions are Residual Energy (RE), Least Recently Selected (LRS) Number of neighbors (NN) and Criticality of the Event (Event) and the output membership function is Probability (P). Triangular membership functions are used for input and output variables and are shown in Figure 2 and Figure 3 respectively. The 3C’s algorithm concentrates on the selection of the appropriate node as CH for event-driven applications. For event-based applications, this algorithm considers criticality of the event (Event) which is also one of the input criteria in addition to the RE and LRS. Here criticality implies how the emergency is an Event and hence gets higher priority for CH selection. The linguistic variable used for Criticality of the event is very critical (VC), critical (C), less critical (LC), for RE is given by very high (VH), high (H), rather high (RH), medium (M), rather low (RL), low (L) and very low (VL) and the linguistic variables used for the other two input variables LRS(n) and NN(n) are high (H), medium (M) and low (L) respectively. The only fuzzy output variable is the probability of a CH candidate P. The membership function for the output variable, probability of a node being a CH is shown in Figure 3. The linguistic variables used for the output variable P is given by very high (VH), high (H), rather high (RH), medium (M), rather low (RL), low (L) and very low (VL). Based on these linguistic variables, the proposed algorithm selects the best CH candidate. The higher the probability shows the more chance for the node being a CH. 4.2.Fuzzy Logic based Cluster Head Selection Algorithm (FLCS) The pseudo-code of the improved clustering method is described as Fuzzy Logic based Cluster Head Selection Algorithm (FLCS). In every clustering round, each sensor node generates a random number between 0 and 1. If the random number for a particular node is bigger than the pre-defined threshold T, which is the percentage of the desired tentative CHs, the node becomes a CH candidate. Every node in the network broadcasts its Residual Energy (RE). Then, all the nodes calculate the Probability using the Fuzzy Inference System based on RE, LRS, NN, and criticality of the event and FLCS value is calculated using its probability and its neighbors’ residual energy. Once FLCS is calculated, the node broadcasts a Candidate-Message with FLCS value. This message means that the sensor node is a candidate for CH. Once a node advertises a Candidate- Message, it waits for Candidate-Messages from other nodes. After receiving the candidate messages from other nodes, the FLCS value of all the candidates is compared with each other. If FLCS value of itself is bigger than every FLCS values from other nodes, the sensor node broadcasts a CH-Message which means that the sensor node itself is elected as CH. If a node which is not a CH receives the CH-Message, the node selects the closest cluster head as its CH and sends a JOIN-REQ request to the cluster head. Thus clusters are formed with CHs.
  • 7.
    International Journal ofComputer Networks & Communications (IJCNC) Vol.11, No.6, November 2019 97 Fuzzy Logic based Cluster Head Selection Algorithm (FLCS) Input: N- Network T-Threshold value to become a cluster head n-Node m-Number of nodes in the network Cost(n)-Probability of a node being a cluster head C-Number of clusters CHMAX- Maximum number of times a node ‘n’ has a chance of being a CH Output: CH node 1. Begin 2. CH(i)_count=0 3. if (rand(0,1) > T ) 4. Broadcast energy of a node ni ERE 5. Calculate using FIS based on RE, LRS, NN and Criticality 6. For ( i=1 to m) 7. 1 ( ( )) ( ) ( ) ( ( )) RE i i ik RE j j E n t FLCS n n E n t      8. 9. Broadcast the CH_CAND(ni) with FLCS(ni) value 10. If ( ( )iFLCS n == max( ( )jFLCS n | j=1,2,…… , m)) then begin 11. Broadcast CH_ADV(ni) 12. Receive REQ_JOIN (ni , nj) 13. ( ) ( ) { }jCH i CH i n 14. CH(i)_count+=1 15. Calculate available power 16. 17. If ( 18. Send NOT_CH 19. End 20. Else 21. Goto step 10 22. End 23. End 24. End 4.2.1. Channel Switching Algorithm The source node in the cluster network senses the information continuously. When an event occurs, it immediately communicates the event information to the CH without delay since both CM and CH are operated on the same frequency band. The event information is transmitted to the BS through the GN and sink node. In this algorithm, the Sink and BS also are operated on the same operating channel. GN is the gateway node between CH and sink node which switches the channel between the operating channel of CH and operating channel of sink. The MMS algorithm used for the multichannel communication is shown in Figure 4
  • 8.
    International Journal ofComputer Networks & Communications (IJCNC) Vol.11, No.6, November 2019 98 In MMS algorithm, initially CM and CH are operated on the same channel. Similarly Sink and BS are operated on the same channel but it is not the same as the previous one. GN stays in the control channel. The channel switching of GN is done by broadcasting the control packets, which is explained as follows,  Communication between CM and CH: 1. Initially, the radio of CMs, CHs are in sleep mode and radio of GN and Sink are in low power listening mode. 2. When an event occurs, it wakes up the radio of CM and CM sends the short preamble which is shown in Figure 5 to wake up the radio of CH then transmits event information to CH. 3. After receiving the event information from CM, CH sends ACK to CM. Upon reception of ACK, CM radio goes back to sleep mode.  Channel Switching: Communication between CH and Sink through GN: 1. If CH wishes to transmit, it makes a channel request by sending a control packet to GN. The CH sets the corresponding channel bit to ‘1’ in control packets before sending it. 2. After the reception of the control packet, GN switches from control channel to CH’s data channel if it is free and establishes a link for data and ACK transmission. 3. When the control packet is received by the unintended nodes i.e. other than GN node, the selected channel is marked as a busy channel in channel status table [21]. 4. When an event occurs, it wakes up the radio of CM and CM sends the short preamble which is shown in Figure 5 to wake up the radio of CH then transmits event information to CH. 5. After receiving the event information from CM, CH sends ACK to CM. Upon reception of ACK, CM radio goes back to sleep mode Figure 4 Algorithm for Multi-Channel Switching In similar way, the event information is transmitted between GN and Sink. After completion of the DATA and ACK transmission GN again switches back to the control channel.
  • 9.
    International Journal ofComputer Networks & Communications (IJCNC) Vol.11, No.6, November 2019 99 4.2.2. Control Frame Format for MMS The control frame format is shown Figure 6 is used as a control packet in the MMS algorithm for establishing the communication between CH, GN, and Sink. This format consists of MAC header, MAC payload, and MAC footer. The MAC header has Frame control, Data sequence number, and information of the destination. The Frame Control field indicates the type of the frame, pending frame an acknowledge request. The data sequence number is the serial number of the data. The address of the destination is indicated in the Destination Address information. The MAC payload has two fields such as command type and command payload. The type of the commands like Association Request, Association Response, Disassociation Notification, and Data request are indicated in the command type field. It is indicated with one octet. The command payload in the MAC payload field is the variable length field used. This algorithm uses the command payload field for controlling the channel activity and channel switching of GN. Among 16 channels of IEEE 802.15.4, the MMS algorithm uses only 8 channels from ‘Channel 14’ to ‘Channel 21’. This field is represented with two octets. The first octet is used to represent the channel status. Each bit in this field indicates the status of each channel. If it is ‘0’, the corresponding channel is ‘free’ channel and if it is ‘1’, the corresponding channel is ‘busy’ channel. Figure 5 Short Preambles to Wakeup CH Figure 6 Control/Command Frame Format The second octet is used to represent the criticality of the event. The level of criticality of the event is represented by using 01H to 0FH, in which 01H indicates the less critical event and FFH indicates the more critical event. When any two GN nodes are competing to establish a link with the sink node at the same time, the sink node establishes the link with one GN who is having more critical event. Thus the link is established based on the priority. The highest priority is given to the node having more critical event and the lowest priority is given to the node having less critical events. Like Cyclic Redundancy Check (CRC) the Frame check sequence is used in the MAC footer which is the last field with the length of two octets. 5. EXPERIMENTAL TESTBED FOR MMS The experimental testbed architecture shown in Figure 7 is developed using the Leonardo evaluation board with XB24-ZB and ATmega32U4 microcontroller and IEEE 802.15.4 compliant XBee transceiver. The specification used for the experimental testbed is shown in Table 1. The testbed consists of seven motes (nodes) with XBEE transceiver which is operating on 2.4GHz. These motes are configured as CH, GN, Sink, ED and as BS or C. The CH and ED of the testbed is configured with operating channel of ‘Channel 14’ and sink and BS or coordinator are configured with operating channel of ‘Channel 20’ The Gateway node is initially configured with control channel of ‘Channel 21’, and it switches the channel between ‘Channel 14’ and ‘Channel 20’ depending on the channel request.
  • 10.
    International Journal ofComputer Networks & Communications (IJCNC) Vol.11, No.6, November 2019 100 Table 1 Experimental Testbed Specification Types Specification Processor ATmega32u4 Flash Memory 32 KB Analog Input 12 pins Clock Speed 16 MHz ZIGBEE XBee series2 transceiver Operation Frequency 2.4 GHz Data Rate 250Kbps Indoor Range up to 40 m Outdoor Range up to 120 m Figure 7. Experiment on Networking with XBEE Series2 Architecture The channel assigned to CH, S and C is based on the fixed channel assignment. The semi- dynamic channel assignment is used for assigning three operating channels to GN. This means that the GN node has the capability of switching between operating channels. The CH makes a channel request to GN only when the event occurs. The CH either communicates to GN or C, depending on the criticality of the event and the availability of the GN channel. The occurred event is less critical or medium critical, the CH waits for the channel coordination with GN and then transmits the event information. Suppose the event is more critical and the channel of GN is busy, then the CH switches to the operating channel of ‘S’ and establishes the communication directly with the sink. The analysis of the channel switching is done through Perytons, a standard Network Protocol Analyzer, ver 4.0. It is the network analyzer capable of simultaneously capturing data from multiple channels. The 802.15.4 defines 16 possible communication channels in the 2.4 GHz ISM band. This analyzer captures all the IEEE 802.15.4 traffic in the 2.4GHz band simultaneously. The channel switching analysis of ‘GN’ between Channel 14 having an operating frequency of 2.415GHz and Channel 20 having an operating frequency of 2.445GHz is shown in Figure 8 and Figure 9 respectively. All the nodes in the network which are operating on the same channel and the link between nodes are analyzed through the network-view of Perytons analyzer.
  • 11.
    International Journal ofComputer Networks & Communications (IJCNC) Vol.11, No.6, November 2019 101 Figure 8 Channel Switching: Channel-14(2.415GHz) Figure 9 Channel Switching: Channel-20(2.445GHz) The network view of Channel 14 shown in Figure 8 has four nodes, in which three nodes are participating in the communication and one node is in an inactive state. The node with node-id ‘0013A200406FBE63’, ‘0013A200407947CE’, ‘0013A200406FD769’ and ‘0013A200406FEEF3’ are configured as GN1, Sink1, CH1 and CM. The CM node transmits the data to the CH1 node. The link with pink color shows the data transmission between CM and CH1. Once CH1 receives the data from the CM it makes a channel requests to GN1. The link is established between CH1 and GN1 after the reception of channel request from CH1 by GN1. The green line indicates the link establishment. The node with ID ‘0013A200406FBE63’ act as a GN node during channel 14, it establishes a link to the CH1. Similarly, Figure 9 shows the network view for Channel 20. Once GN1 node receives the data from CH1, it would be communicated to the sink node. Thus GN1 node switches the channel from ‘Channel 14’ to ‘Channel 20’ and establishes the communication. The pink nodes with green links indicate this communication establishment of GN1 to Sink1 during Channel 20. The active channel analysis of Channel 14 and Channel 20 are shown in 10 and Figure 11 respectively. From the active channel analysis the number of packets transmitted during Channel 14 is 19,880 and on channel 20 is 2,297. This shows that packet transmission during Channel 14 is higher than channel 20. Figure 10 Active Channel Analysis (Channel 14) Figure 11 Active Channel Analysis (Channel 20)
  • 12.
    International Journal ofComputer Networks & Communications (IJCNC) Vol.11, No.6, November 2019 102 6. PERFORMANCE ANALYSIS The simulations are carried out with 100 sensor nodes which are randomly deployed in a topographical area of dimension 300m x300m. The topographical area has a sensed transmission limit of 40m which is equal to 133 feet. The simulation parameter is listed in Table 2. There is only one static sink which is located at the centre of the network area. 6.1. Probability of CH Selection based on Criticality of the Event Figure 12 shows the surface view output of the probability of the node being elected as CH when the occurred event is very critical. The crisp value of the criticality of the event for very critical event used in FLCS algorithm is 9. When there is an occurrence of very critical event, the result shows that the probability of node being CH is less. This means that there is the possibility of more number of nodes in the network which becomes CH since the probability value required for node being CH is less for very critical event. In Figure 12, the yellow region shows the fuzzified probability of CH selection. Table 2 Simulation Parameters Parameter Values Topographical Area (meters) 300 x 300 Sink location (meters) Center of the area Number of Nodes 100, 400 Transmission Range 40 m(133 ft) Packet Size 100 bytes Initial battery level 1 Joule Energy for data aggregation 2 J/packet Energy consumption for radio Ee 20J/packet Energy consumption for amplifier 5nJ/packet MAC Protocol IEEE 802.15.4 Figure 12 Probability of CH Selection for Very Critical Event
  • 13.
    International Journal ofComputer Networks & Communications (IJCNC) Vol.11, No.6, November 2019 103 Figure 13 Probability of CH Selection for Medium Critical Event Figure 13 and Figure 14 show the surface view output of the probability of the node being selected as CH when the occurred event is medium critical and less critical respectively. The crisp value used for medium critical event is 6 and less critical event is 2. The output infers that more probability is required for a node to act as CH when there is a less critical event and medium probability, which means that the probability value is more than the probability of a critical event and less than the probability of a less critical event, is required for a medium critical event. The yellow region of Figure 13 and Figure 14 indicate the fuzzified probability value of CH selection for a less and medium critical events. From these outputs, it can be observed that the increase in yellow region indicates that the increase in the level of criticality of the event. Figure 14 Probability of CH Selection for Less Critical Event 6.2. Number of Alive Nodes Increases with Static Sink The energy consumption rate can directly influence the life-time of the sensor nodes as the depletion of battery resources which will eventually cause the failure of the nodes. The number of alive nodes as a function of level of participation in packet forwarding by changing the value of residual energy (RE) between 0.1J and 0.3J and the value of Least Recently Selected (LRS) is 4 and 6 with the constant value of the Number of Neighbours (NN) which is 5 and the sink is static as shown in Figure 15.
  • 14.
    International Journal ofComputer Networks & Communications (IJCNC) Vol.11, No.6, November 2019 104 Figure 15. Number of Alive Nodes Increases with Static sink for LRS =4 and LRS=6 The performance of the FLCS algorithm is compared with LEACH protocol which is the standard clustering protocol. From the results, it can be seen that in LEACH protocol, the number of nodes that are alive are almost equal to 100 which means the whole network is alive till 694th round, but in FLCS scheme it is found that the whole network is alive till 1256th round, 2352nd round and 3597th round for RE = 0.1J, 0.2J, 0.3J with static sink respectively. (Here level of transmission participation is termed as rounds). This Performance improvement is achieved only due to the selection criteria of FLCS. The FLCS algorithm uses three parameters such as RE, LRS, NN for cluster head selection. In LEACH, cluster head is elected based on the residual energy only and the next cluster head is elected only when the current CH’s residual energy (RE) is completely drained out. In FLCS, there is a threshold limit for residual energy (RE). Thereby, the elected CH node does not drain out, but it loses its CH position when it has the RE less than the threshold limit. Similarly, FLCS has threshold limit for the other two parameters also. Selected CH in FLCS does not drain out earlier than LEACH because it has residual energy even if it loses its CH position and it lives for longer time than LEACH. 6.3. Number of Alive Nodes Decreases with Mobile Sink The performance of the FLCS algorithm is also analyzed with a mobile sink. The number of alive nodes using a mobile sink with FLCS algorithm is shown in Figure 16. The FLCS algorithm with a mobile sink is also simulated with RE = 0.3J, 0.2J, 0.1J. The result shows that the whole network is alive only when number of rounds are less than 100 in all methods. The numbers of alive nodes decrease with the very fast rate when the numbers of rounds increase. This happens due to the mobility of the sink, even though the result shows that the FLCS algorithm with RE = 0.3J, LRS = 6 performs well as compared to other cases of FLCS and LEACH. Moreover, the mobile sink is also not suitable for event-driven monitoring applications, because of its mobility.
  • 15.
    International Journal ofComputer Networks & Communications (IJCNC) Vol.11, No.6, November 2019 105 Figure 16 Number of Alive Nodes Decreases with Mobile sink (LRS=4 and LRS=6) 6.4. Network Lifetime Enhancement by FLCS Algorithm Energy efficiency and network lifetime enhancement are the most important issue in WSN. Network lifetime is the time recorded when the first node of the network completely drains out of battery resources. The comparative results of FLCS algorithm with mobile sink and LEACH are presented in Figure 17. Figure 18 shows the comparison of simulation results of network lifetime of the standard LEACH protocol and FLCS algorithm with static sink. From the presented results, the time for drain out of the battery of the first node is earlier in LEACH protocol than the FLCS with static sink. The time for the first node to drain out its battery in FLCS algorithm with static sink occurs at 1234 seconds with RE = 0.3J and LRS = 6, at 1095 seconds with RE = 0.3J and LRS = 4. But in LEACH it occurs nearly 1026 seconds earlier and in FLCS with a mobile sink of 1013 seconds earlier. Therefore, FLCS algorithm with static sink achieves increased network lifetime than LEACH. The network lifetime achieved by the FLCS scheme using static sink shown in Figure 18 is nearly 86% more than that can be obtained by the standard algorithm and also nearly 84% more than FLCS with mobile sink as shown in Figure 17. The lifetime of the first battery drain out node in terms of the number of rounds for three different algorithms is listed in Table 3. This shows that the use of FLCS algorithm can improve energy efficiency and prolong the lifetime of the network. Table 3 Time for the First Node Drain Out of its Battery Energy Algorithms Lifetime of the first node drain of out its battery (sec) LEACH 168 FLCS with Mobile sink 189 Proposed FLCS with Static sink 1234
  • 16.
    International Journal ofComputer Networks & Communications (IJCNC) Vol.11, No.6, November 2019 106 Figure 17 Network Lifetime with FLCS Increases for Mobile Sink for LRS=6 than LRS=4 Figure 18 Network lifetime with FLCS increases more for Static sink for LRS = 4 and LRS = 6 6.5.Throughput Analysis for varying Number of Channels Figure 19 shows the throughput of the Multicluster Multichannel Scheduling (MMS) Algorithm. The throughput of MMS is compared with Min-Max and single channel algorithm by configuring the nodes with 8 channels. From the result, it can be observed that the MMS always exhibits better performance than the Min-Max and single channel, particularly for four and more channels. The MMS has achieved 9% more throughput than Min-Max and 38% more throughput than single channel. The throughput of the simulated MMS is higher than single channel and experimental MMS. This performance improvement is obtained because of fixed channel assignment with channel switching scheduled in MMS. When the number of channels is less, MMS shows a small improvement in the performance of the obtained throughput as compared to Min-Max. As the number of operating channels increases, the proposed algorithm shows a drastic performance improvement.
  • 17.
    International Journal ofComputer Networks & Communications (IJCNC) Vol.11, No.6, November 2019 107 Figure 19 Throughput Increase with Number of Channels 6.6. Impact of Increase in Number of Channel on Packet Delay Figure 20 and Figure 21 show the packet delay for different data rates with 4 channels and 8 channels respectively. Figure 20 shows that the maximum delay induced for a data rate of 200 kbps using 4 operating channels, under Min-Max method is 0.361 seconds while that under MMS is only 0.314 seconds (Experimental MMS), 0.265 seconds (Simulated MMS). The experimental MMS has a packet delay of 0.063sec higher than simulated MMS. As compared to single channel and Min-Max, the MMS algorithm has achieved 39% and 17% less delay. Figure 20 Multi-Channel Decreases Delay: Case Study 4 Channels From Figure 21, it has been observed that for a network operating with 8 channels the delay per packet is 0.295 seconds under Min-Max method, 0.169 seconds under experimental MMS algorithm and 0.110 seconds under simulated MMS algorithm for the data rate of 200kbps. The results show that the proposed MMS of channel allocation is more effective in terms of packet latency by distributing the load equally among the operating channels. From the result, it is proved that the increase in the number of operating channels will show improved timeliness. Timeliness is one of the important criteria for any critical event handling system
  • 18.
    International Journal ofComputer Networks & Communications (IJCNC) Vol.11, No.6, November 2019 108 Figure 21 Multi Channel Decreases Delay: Case Study 8 channels 7. CONCLUSION The deployment of the proposed cluster-based multi-sink network is developed with maximum coverage of the transmission range. The cluster-based multi-sink topology and MMS algorithm with proper CH selection algorithm discussed in this paper considers the criticality of the event which is also one of the criteria for CH selection. When the occurred event is more critical, the probability required for a node acting as CH is less in MMS and the highest priority is given during data transmission in MMS communication algorithm. These algorithms are designed to meet the objectives of balancing the delay minimization and timeliness. This algorithm has the features of load balancing by distributing the traffic among multiple channels in the network, thereby maximizing throughput with minimum delay. The FLCS always has optimal number CH for various values of probability of CH selection. The proposed algorithm is capable of adapting the selection criteria for Cluster Head selection and multi-channel communication dynamically based on the criticality of the event in the network. The simulation and experimental results demonstrate the effectiveness of the proposed approach with regards to the enhancement of the lifetime of wireless sensor networks with randomly scattered nodes. REFERENCES [1] Ameer Ahmed Abbasi & Mohamed Younis (2007), ‘A survey on clustering algorithms for wireless sensor networks’, Journal of Computer Communications, vol.30, no. 14, pp. 2826-2841. [2] Chinara, S & Rath, SK (2009), ‘A survey on one-hop clustering algorithms in mobile ad hoc networks’, Journal of Networks and System Management, vol.17, no. 1-2, pp. 183-207. [3] Iman ALMomani, M & Maha Saadeh, M (2011), ‘FEAR: Fuzzy-Based Energy Aware Routing Protocol for Wireless Sensor Networks’, International Journal of Communications, Network and System Sciences, vol. 4, no. 6, pp. 403-415. [4] Ohta, T, Inoue, S & Kakuda, Y (2003), ‘An adaptive multihop clustering science for highly mobile ad hoc networks’, Proceedings of the Sixth International Symposium on Autonomous Decentralized Systems, pp. 1-8. [5] Verdone, R, Dardari, D, Mazzini, G & Conti, A (2008), Wireless Sensor and Actuator Networks: Technologies, Analysis and Design, Academic Press. Available from: ebook3000. [January 28, 2008]. [6] Akyildiz, F, Weilian Su, Yogesh Sankarasubramaniam & Erdal Cayirci (2002), ‘A Survey on Sensor Networks’, IEEE Communications Magazine, vol. 40, no. 8, pp. 102-114. [7] Kone, CT, David, M & Lepage, F (2010), ‘Cluster-Based Multi-Channel System for improving Performance of Large-Scale Wireless Multi-Sink Sensor Networks’, Proceedings of the second International Conference on Future Computer and Communication, pp. 163-168.
  • 19.
    International Journal ofComputer Networks & Communications (IJCNC) Vol.11, No.6, November 2019 109 [8] Nguyen, TH, Shin, SY & Park, SH (2008), ‘Efficiency reservation MAC protocol for underwater acoustic sensor networks’, Proceedings of the fourth international IEEE conference on Networked Computing and Advanced Information Management, pp. 365–370. [9] Chih-Min Chao, Yao-Zong Wang & Ming-Wei Lu (2013), ‘Multiple-Rendezvous Multichannel MAC Protocol Design for Underwater Sensor Networks’, IEEE Transactions on Systems, Man, and Cybernetics: Systems, vol. 43, no. 1, pp. 128-138. [10] Vijayalakshmi, A, Arthi, K & Vanaja Ranjan, P (2013), ‘Network Lifetime Enhancement in Wireless Sensor Networks using Fuzzy logic based Clustering Algorithm’, International Journal of Soft Computing, vol. 8, no. 5, pp 321-326. [11] Heinzelman, WB, Chandrakasan, AP & Balakrishnan, H (2002), ‘An Application-Specific Protocol Architecture for Wireless Microsensor Networks’, IEEE Transactions on Wireless Communications, vol. 1, no. 4, pp 660-670. [12] Ouadoudi Zytoune, Youssef Fakhri & Driss Aboutajdine (2009), ‘A Balanced Cost Cluster-Heads Selection Algorithm for Wireless Sensor Networks’, International Journal of Electrical and Computer Engineering, vol. 4, no.1, pp 648-651. [13] Chongdeuk Lee & Taegwon Jeong (2011), ‘FRCA: A Fuzzy Relevance-based Cluster Head Selection Algorithm for Wireless Mobile Ad-Hoc Sensor Networks’, IEEE Sensors Journal, vol. 11, no. 5, pp 5383-5401. [14] Jin-Shyan Lee & Wei-Liang Cheng (2012), ‘Fuzzy-Logic-Based Clustering Approach for Wireless Sensor Networks using Energy Predication’, IEEE Sensors Journal, vol. 12, no. 9, pp 2891-2897. [15] Jungmin So & Nitin Vaidya, H (2007), ‘Load-Balancing Routing in Multichannel Hybrid Wireless Networks with Single Network Interface’, IEEE Transactions on Vehicular Technology, vol. 56, no. 1, pp 342-348. [16] Tie Luo, Mehul Motani & Vikram Srinivasan (2009), ‘Cooperative Asynchronous Multichannel MAC: Design, Analysis, and Implementation’, IEEE Transactions on Mobile Computing, vol. 8, no. 3, pp 338-352. [17] Ozlem Durmaz Incel (2011), ‘A survey on multi-channel communication in wireless sensor networks’, Elsevier Computer Networks, vol. 55, no. 13, pp 3081-3099. [18] Pallavi Sahu & Sunil Gupta, (2012), ‘Deployment Techniques in Wireless Sensor Networks’, International Journal of Soft Computing and Engineering, vol. 2, no. 3, pp 525-526. [19] Cheick Tidjane Kone, Michael David and Francis Lepage, (2011), “Multi-channel Clustering Algorithm for improving Performance of Large-Scale Wireless Multi-Sink Sensor Networks”, 6th International Wireless Communications and Mobile Computing Conference, IWCMC pp 1-15. [20] Fatemeh Mansour Kiaie, Ahmad Khanlari, (2013) “Coverage Problem in Heterogeneous Wireless Sensor Networks”, European Scientific Journal, vol.9, No.27, pp 81-96. [21] K. Arthi, A. Vijayalakshmi, P. Vanaja Ranjan, (2013), "Critical Event based Multichannel Process Control Monitoring Using WSN for Industrial Applications", Procedia Engineering. Vol. 64, pp 142- 148 [22] Lee, J., and W. Cheng, 2012), "A Fuzzy-Logic-Based Clustering Approach for Wireless Sensor Networks Using Energy Predication", IEEE Sensors Journal, vol. 12, no. 9, pp 2891 - 2897 [23] Zhang Jian-wu, Ji Ying-ying, Zhang Ji-ji, Yu Cheng-lei, (2008) "A Weighted Clustering Algorithm Based Routing Protocol in Wireless Sensor Networks", ISECS International Colloquium on Computing, Communication, Control, and Management. [24] Saifullah, Abusayeed, You Xu, Chenyang Lu, and Yixin Chen, (2014) "Distributed Channel Allocation Protocols for Wireless Sensor Networks", IEEE Transactions on Parallel and Distributed Systems, vol.25, no. 9, pp 2264 - 2274 [25] Madhuri Rao, Narendra Kumar Kamila. (2018) "Spider monkey optimisation based energy efficient clustering in heterogeneous underwater wireless sensor networks", International Journal of Ad Hoc and Ubiquitous Computing Vol.29 No.1/2, pp 50 – 63 [26] Oshri Naparstek, S. M. Zafaruddin, Amir Leshem & Eduard Jorswieck, (2019), ‘Distributed Energy Efficient Channel Allocation’, IEEE Transactions on Green Communications and Networking, pp. 1- 4 [27] Junhua Xing , Qi Li , Haixin Sun , Jie Qi , Zhenggen Zhu & Junfeng Wang , (2019) , ' Multi-Radio Multi-Channel Assignment Algorithm in Maritime Wireless Mesh Networks’, IEEE on Emerging Trends, Issues and Challenges in Underwater Acoustic Sensor Networks, vol. 7, pp. 85903-85912
  • 20.
    International Journal ofComputer Networks & Communications (IJCNC) Vol.11, No.6, November 2019 110 [28] Meirui Ren, Jianzhong Li, Longjiang Guo , Xiaokun Li & Wenbin Fan (2017), ‘Distributed Data Aggregation Scheduling In Multi-Channel And Multi-Power Wireless Sensor Networks’, IEEE on Big Data Analytics in Internet of Things and Cyber-Physical Systems”, vol. 5, pp. 27887-2786 [29] Taj Rahman , Xuanxia Yao & Gang Tao, (2018), ‘Consistent Data Collection And Assortment In The Progression Of Continuous Objects In IoT’, IEEE Access on Collaboration for Internet of Things, vol. 6, pp. 51875-51885. [30] Yusuke Shiga, KazumasaTakam (2017) “Development and Evaluation of a Contact Center Application System to Integrate Multiple Communication Channels Using WEBRTC”, International Journal of computer Networks and communications, vol.9, no.3, pp. 1-20. [31] Ishan Budhiraja, Sudhanshu Tyagi , Sudeep Tanwar, Neeraj Kumar & Nadra Guizani (2019), ‘Subchannel Assignment for SWIPT-NOMA based HetNet with Imperfect Channel State Information’, International Wireless Communications & Mobile Computing Conference (IWCMC). AUTHORS Vijayalakshmi Alagarsamy received her M.E. degree in Embedded System Technologies and Ph.D. degree from Anna University, Chennai, India. She is currently working as an Associate Professor in the Department of Electronics and Communication Engineering, Vels Institute of Science, Technology and Advanced Studies, Chennai. India. She has rich teaching and research experience of 19years. Seven research scholars are currently working under her guidance. Her areas of research interest include Wireless AdHoc and Sensor Network, Internet of Things, Deeplearning and embedded system design. She has published many journal publications and conference publications. P. Vanaja Ranjan, received the Ph.D. degree from the Anna University, Chennai, India. She is a Professor and Head of Embedded System Technologies, DEEE, Anna University; Chennai, India has rich teaching and research experience of 26 years. Fifteen Ph.D. scholars have completed their research under her guidance. Her areas of research interest include Wireless Sensor Network, DSP applied to embedded systems. She has published many journal publications and conference publications.