TELKOMNIKA Indonesian Journal of Electrical Engineering Vol.12, No.1, January 2014, pp. 261~ 268 DOI: http://dx.doi.org/10.11591/telkomnika.v12i1.3965  261 Received June 21, 2013; Revised August 13, 2013; Accepted September 16, 2013 MPPT for Photovoltaic System Using Multi-objective Improved Particle Swarm Optimization Algorithm Yuhong Zhao*1 , Xuecheng Zhao2 , Yunhui Zhang3 1 School of Electric Engineering, University of South China Hengyang, 421001, Hunan, China; PH./Fax: 0734-8282044 2 Mechanical and Electrical Engineering Department, Shaoyang Vocational and Technical College Shaoyang, 422000, Hunan, China; 3 Mechanical and Electrical Engineering Department, Shenzhen Polytechnic Shenzhen, 518057, Guangdong, China; *Corresponding author, e-mail: gsxl666@163.com 1 , ljzy666@163.com 2 , zhangyunhui1106@163.com 3 Abstract Making full use of abundant renewable solar energy through the development of photovoltaic (PV) technology is an effective means to solve the problems such as difficulty in electricity supply and energy shortages in remote rural areas. In order to improve the electricity generating efficiency of PV cells, it is necessary to track the maximum power point of PV array, which is difficult to make under partially shaded conditions due to the odds of the appearance of two or more local maximum power points., In this paper, a control algorithm of maximum power point tracking (MPPT) based on improved particle swarm optimization (IPSO) algorithm is presented for PV systems. Firstly, the current in maximum power point is searched with the IPSO algorithm, and then the real maximum power point is tracked through controlling the output current of PV array. The MPPT method based on IPSO algorithm is established and simulated with Matlab / Simulink, and meanwhile, the comparison between IPSO MPPT algorithm and traditional MPPT algorithm is also performed in this paper. It is proved through simulation and experimental results that the IPSO algorithm has good performances and very fast response even to partial shaded PV modules, , which ensures the stability of PV system. Keywords: photovoltaic system, maximum power point tracking, improved particle swarm optimization Copyright © 2014 Institute of Advanced Engineering and Science. All rights reserved. 1. Introduction Due to continuous growth of global energy demand and increasing concern about environmental issues, interests on using and developing renewable energy sources are growing.The solar energy is known to be one of the preferred renewable green energies, which is much cleaner and free from harmful production to environment compared with the conventional counterparts [1]. In this paper, improved MPPT algorithm for solar PV technology is researched to solve the difficulty in electricity consumption in remote rural areas. The solar cell is the core component of the solar photovoltaic system, and the power produced by a solar cell is dependent on the solar irradiation and the temperature of the solar cell. Its voltage shows the complex non-linear, which leads to the instability of the output power and the lower power generation efficiency. Therefore, how to achieve effective MPPT control and further improve the conversion efficiency of the PV array and make full use of its energy conversion has been an important topic of PV power generation system. At present, the common control methods both in domestic and foreign include perturbation and observation method, a constant voltage method, incremental conductance method, and so on [2]. Due to the partial obstructions such as surrounding buildings, trees, the part of PV array is partially covered with shadow, in which case, the PV array output characteristic shows multi-local maximum operating point and thus the conventional MPPT control algorithm will fail to track the real maximum power point. To solve this problem, an improved MPPT technique has been put forward by means of particle swarm optimization algorithm for Photovoltaic Grid Connected Generation system. The algorithm with a good performance in multi-objective optimization and multimodal function optimization is suitable for the shaded photovoltaic system [3], [4].
 ISSN: 2302-4046 TELKOMNIKA Vol. 12, No. 1, January 2014: 261 – 268 262 2. Improved Particle Swarm Optimization Algorithm Design 2.1. The Principle of the Particle Swarm Optimization Algorithm Particle swarm optimization (PSO) is an evolution computing technology based on swarm intelligence, which was proposed by Eberhart and Kennedy in 1995, and it is based on the simulation of the flock. The principle is described as follows: a flock of birds search food randomly in a region where there is only a piece of food. The most simple and effective strategy to find food is to search the area around the nearest bird from food, which constitutes one of the basic concepts of the PSO. Assuming that a community is composed of n particles in a D- dimensional search space, wherein xi is the position of i-th particle in D-dimension [5], [6].  1 2, , , 1,2,i i i idX X X X i n   (1) Fitness value can be calculated by substituting Xi into an objective function, and the pros and cons of Xi can be obtained according to the size of the fitness value. "Flying" velocity of the particle i is a D-dimensional vector, denoted as vi = (vi1, vi2... vid). Pi = (pi1, pi2, ⋯, pid,) is the best position of particle i searched, corresponding to the optimal solution particle i found by itself, which is the location of the best fitness value. Optimal position for the entire particle swarm search after the h-th iteration is Pigd = (Pi1, Pi2... Pid). By the above definition, the standard formula of PSO can be expressed as: ( 1) ( ) ( ) ( ) ( ) ( ) ( ) ( ) 1 1 2 2( ) ( )k k k k k k k k id id id id gd idV v c r p x c r p x      (2) ( 1) ( ) ( 1)k k k id id idx x V    (3) where i is the number of particles in the swarm; d represents the dth-dimension of particles; ω is the inertia weight coefficient; r1, r2 are the random values between [0, 1]; c1 called cognitive factor represents belief degree on experience, which can be used to adjust the step size of particles to fly towards the direction of its local best position; c2 known as the coefficient of social learning represents the belief degree on individuals around, which can be used to adjust the step size of particles to fly towards the direction of its global best position. The algorithm iteration termination condition is generally chosen as the maximum number of iterations or fitness value which satisfies the predetermined threshold value of the minimum fitness after searching the optimal location. PSO algorithm is easy to operate and simple for use with a fast convergence. However, the algorithm also has the following problems: 1) The particles are "flying" toward the direction of the optimal solution. However, if the inertia factor is large, it is difficult to obtain the optimal solution, and the search accuracy will reduce; 2) All the particles are "flying" toward the direction of the optimal solution, but the closer the optimal particle comes, the less its searching speed becomes. Particle swarm deprives the diversity of solutions between the particles, and thus the algorithm may converge to a local maximum without difficulty which is not always the same as the global maximum and fails to track the actual global maximum. 2.2. Improved Particle Swarm Optimization (IPSO) Algorithm Some modifications are proposed to improve the search algorithm: In the direction of the same velocity, new particles are classified according to different amplitudes. Global optimization is performed on particles with larger velocity amplitude, while local optimization is performed on the other particles. Individuals and global best position "extreme value" are selected to update the particle velocity. Large velocity amplitude which meets the particle global search requirements can prevent the algorithm from falling into local optimal and premature phenomenon, and small velocity amplitude which meets local search requirements can avoid the algorithm from overflying the optimal solution space, and then the optimum solution can be obtained faster. [4] Formula is shown as follows:
TELKOMNIKA ISSN: 2302-4046  MPPT for Photovoltaic System Using Multi-objective Improved Particle Swarm... (Yuhong Zhao) 263 ( 1) ( ) ( ) ( ) ( ) ( ) ( ) ( ) 1 1 2 2 ( 1) ( ) ( 1) ( ) (0) ( ) (0) ( ) ( ) ( ) ( ) , 1,2 , , 1,2 , k k k k k k k k id id id id gd id k k k id id id n id id n n id id id v v c p x c p x x x V v a n v n j x x v n j                        (4) where i is the number of particles; d represents the dth-dimension of particles; ω is the inertia weight coefficient; r1, r2 are the random values between [0, 1]; (0) idv is called the dth- dimensional reference velocity component of particle i ; ( )n idv ,n =1,2,…, j is called the dth- dimension search velocity component of particle i, j is called speed interval number; (0) idx is called the dth-dimension reference position component of particle i, ( )n idx ,n =1,2,…, j is called the dth- dimension search position component of particle i; idp is the best position of particle i that has ever found; the best location found in the group is called the global best position, recorded as gdp . a(n), n = 1, 2... j , called speed coefficient, is used to determine the relationship between the search speed and the reference speed. The method to determine the relationship between the search speed and the reference speed is to set a maximum speed maxv and a minimum speed minv . If (0) maxidv v , then a(n) search speed is small; if (0) minidv v , then a(n) search speed becomes large; if (0) min maxidv v v  , and when search speed is appropriate, a(n) to the search speed (0) idv of both sides becomes large or smaller?. Only in this way, enough solution space can be searched. Therefore, the formula is: (0) min (0) max (0) min max , ( ) / , 1 / id id id n v v a n n j v v n j v v v          (5) The study shows that the inertia factor ω has a significant impact on optimize performance of the algorithm. Large ω will improve the convergence rate of the algorithm. While ω is small, it will improve the convergence accuracy of the algorithm. According to formula (6), this paper proposed an inertia weight adaptive adjustment strategy. 1 1 ex p ( / ) 1 * i i i n i i a F n b D F         (6) Where: D is the particle dimension; n is the number of particles; ωi is the i-th particle inertia factor; Fi is the i-th particle fitness; a、b is the two adjustable parameters. We could adjust the inertia weight based on experience and combined simulation, the experiments show that the inertia weight adaptive adjustment strategy has a better effect for multi-peak function optimization. 2.3. MTTP has been Design using Improved Particle Swarm Optimization Algorithm In this paper, two blocks photovoltaic panels connected in series are used for example to analyze the process of algorithm design. The algorithm design principle of more blocks PV modules connected in series model is the same, that is, just change the number of relevant variables [7]. The program flowchart of the IPSO algorithm introduced in this paper is shown in Figure 1.
 ISSN: 2302-4046 TELKOMNIKA Vol. 12, No. 1, January 2014: 261 – 268 264 The specific procedure is as follows: ① Model transformation Multi-peak MPPT control model of photovoltaic system and PSO model are different, and the transformation relation is needed to build. The global optimal location is the maximum power output from two pieces of tandem photovoltaic module in the control object, and the speed of the particles is the output current of the tandem photovoltaic array in the control object. ② Initialization of the population parameter Population number and the number of these individuals in the group are initialized; evolution algebra is set; the parameters of the learning factor, the weighting coefficients and maximum speed are initialized; each particle's initial position and velocity of each particle are given in a random way ③ Calculation of the fitness value of each particle After various parameters have been initialized, the adaptation value of the objective function for each particle is calculated. The objective function is the total power output of the array, and the fitness function expression is: ( , 1)* ( , 2)*power V I Sun V I Sun I  (7) Where I is the output current of the PV array, V (I, Sun1) represents the output voltage of the photovoltaic cell module when the light intensity is Sun1 and the output current is I. Figure 1. Flowchart of the IPSO algorithm
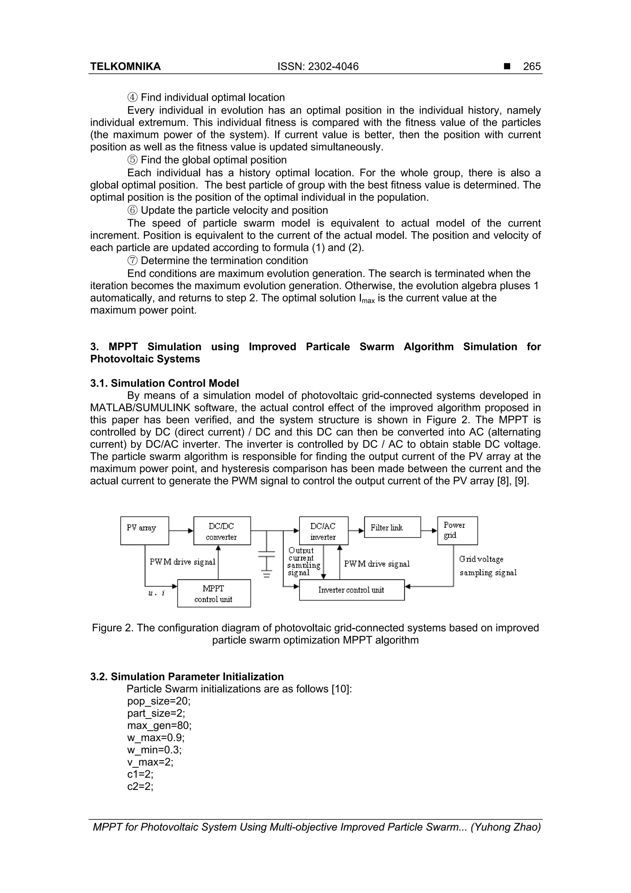
TELKOMNIKA ISSN: 2302-4046  MPPT for Photovoltaic System Using Multi-objective Improved Particle Swarm... (Yuhong Zhao) 265 ④ Find individual optimal location Every individual in evolution has an optimal position in the individual history, namely individual extremum. This individual fitness is compared with the fitness value of the particles (the maximum power of the system). If current value is better, then the position with current position as well as the fitness value is updated simultaneously. ⑤ Find the global optimal position Each individual has a history optimal location. For the whole group, there is also a global optimal position. The best particle of group with the best fitness value is determined. The optimal position is the position of the optimal individual in the population. ⑥ Update the particle velocity and position The speed of particle swarm model is equivalent to actual model of the current increment. Position is equivalent to the current of the actual model. The position and velocity of each particle are updated according to formula (1) and (2). ⑦ Determine the termination condition End conditions are maximum evolution generation. The search is terminated when the iteration becomes the maximum evolution generation. Otherwise, the evolution algebra pluses 1 automatically, and returns to step 2. The optimal solution Imax is the current value at the maximum power point. 3. MPPT Simulation using Improved Particale Swarm Algorithm Simulation for Photovoltaic Systems 3.1. Simulation Control Model By means of a simulation model of photovoltaic grid-connected systems developed in MATLAB/SUMULINK software, the actual control effect of the improved algorithm proposed in this paper has been verified, and the system structure is shown in Figure 2. The MPPT is controlled by DC (direct current) / DC and this DC can then be converted into AC (alternating current) by DC/AC inverter. The inverter is controlled by DC / AC to obtain stable DC voltage. The particle swarm algorithm is responsible for finding the output current of the PV array at the maximum power point, and hysteresis comparison has been made between the current and the actual current to generate the PWM signal to control the output current of the PV array [8], [9]. Figure 2. The configuration diagram of photovoltaic grid-connected systems based on improved particle swarm optimization MPPT algorithm 3.2. Simulation Parameter Initialization Particle Swarm initializations are as follows [10]: pop_size=20; part_size=2; max_gen=80; w_max=0.9; w_min=0.3; v_max=2; c1=2; c2=2;
 ISSN: 2302-4046 TELKOMNIKA Vol. 12, No. 1, January 2014: 261 – 268 266 Light intensity initializations are as follows: S1=S2=1KW/m2 S3=S4=0.8 KW/m2 Hysteresis loop width is set as follows: 0.01( ) ,- ( )on 0.01 off DC bus voltage is given as follows: 400V 3.3. Simulation Results The simulation results are shown in Figure 3, 4, 5. Figure 3 shows the variation curves of output voltage and current of the PV array with time. The system is stable at about 0.02s. Output voltage of the PV array is about 117.1V in steady state, and the fluctuation range of voltage is ±0.5V. Output current is stable at 7.2A, which is almost equal to the theoretical calculation value. The fluctuation range of current is ±0.04A. Figure 4 reflects the input voltage curve of the inverter under voltage feedback control, which is stable at 400V when the system is stable at 0.28s, and the fluctuation range of voltage value is ± 0.6V in steady state. Figure 5 shows the voltage and current waveforms in steady state. It can be seen that grid current and voltage vary with frequency and in phase (reference direction reverse) in steady state, and the electricity can be utilized with safety. Figure 3. The variation curves of the PV array output voltage and current with time Figure 4. Inverter DC voltage dynamic curve
TELKOMNIKA ISSN: 2302-4046  MPPT for Photovoltaic System Using Multi-objective Improved Particle Swarm... (Yuhong Zhao) 267 Figure 5. The variation curve of grid voltage and grid current with time The IPSO algorithm is superior to traditional algorithm due to its ability to search the global maximum, which can be applied in MPPT for the shaded PV system. In order to verify the superiority of the IPSO algorithm, a MPPT simulation of a PV power supply system with the proposed IPSO algorithm is implemented and compared with the results obtained from traditional incremental conductance algorithm. Figure 6. Power-time curve obtained by incremental conductance algorithm Figure 7. Power - time curve obtained by improved particle swarm algorithm Figure 6 and Figure 7 show the variation curves of the system power with time by using the improved particle swarm MPPT algorithm and conventional incremental conductance MPPT algorithm, respectively. It can be seen that the maximum power of 682 w obtained from the improved particle swarm MPPT algorithm is higher than that of 607 w obtained by the
 ISSN: 2302-4046 TELKOMNIKA Vol. 12, No. 1, January 2014: 261 – 268 268 incremental conductance method. The improved particle swarm algorithm can track the maximum power point in 0.03 s, but the time incremental conductance method spends is 0.13 s. In steady state, the fluctuation range of the power obtained from the incremental conductance algorithm is ±8W, but that from the IPSO algorithm is ±1W. It can be seen that the method can not only improve the tracking speed of MPPT, but also ensure the tracking accuracy. 4. Conclusion In remote areas far from the power grid where are abound with solar energy resources, electricity supply is severe,. Therefore, making full use of abundant solar energy resources realized by the development of photovoltaic grid technology is an effective means to solve the difficulties in rural electricity supply, energy shortages and other issues. This paper proposes a MPPT algorithm using improved particle swarm optimization algorithm for PV system, which can solve the problem that the traditional MPPT algorithm is liable to fall into the local optimal solution under partially shaded conditions. This paper has established a simulation model of the proposed algorithm. Simulated results have demonstrated the feasibility of the IPSO algorithm and the IPSO is suitable for MPPT in grid-connected PV systems. By comparing the traditional method with the IPSO method, the experiment has verified the advantages of the proposed IPSO algorithm: it has a faster dynamic response and better steady-state performance than the traditional algorithm, thus improving the efficiency of the photovoltaic power generation system. Acknowledgements This work was supported by the Scientific Research Fund of Hunan Provincial Science and Technology Programme (Project Number [2014FJ3157]) and Hengyang City Science and Technology Programme (Project Number [2013KJ31]). References [1] Aryuanto Soetedjo. Modeling of Maximum Power Point Tracking Controller for Solar Power System. TELKOMNIKA Indonesian Journal of Electrical Engineering. 2012; 10(3): 419-430. [2] Esram T, Chapman PL. Comparison of photovoltaic array maximum power point tracking techniques. IEEE Transactions on Energy Conversion l. 2007; 22(2): 439-449. [3] Ramaprabha R, Mathur BL. A comprehensive review and analysis of solar photovoltaic array configurations under partial shaded conditions. Int J Photo Energy. 2012; 28(2): 1-16. [4] Ramaprabha R, Mathur BL. Soft computing optimization techniques for solar photovoltaic arrays. ARPN J Eng Appl Sci. 2011; 6(10):70-5. [5] JL Fernández Martínez, E García Gonzalo. The PSO family: deduction, stochastic analysis and comparison. Swarm Intelligence. 2009; 3(4): 245-273. [6] Omkar SN, Mudigere D, Narayananaikg, et al. Vector evaluated particle swarm optimization formulti- objective design optimization of composite structures. Computers and Structures. 2008; 86(2): 1-14. [7] Hua C, Lin J. A modified tracking algorithm for maximum power tracking of solar array. Energy Conversion and Management. 2004; 45(6): 911-925. [8] Zhou Tianpei. MPPT Method of Wind Power Based on Improved Particle Swarm Optimization. TELKOMNIKA Indonesian Journal of Electrical Engineering. 2013; 11(6): 3206-3212. [9] Shimizu T, Wada K, Nakamura N. Fly back-type single-phase utility interactive inverter with power pulsation decoupling on the DC input for an AC photovoltaic module system. IEEE Trans. on Power Electronics. 2006; 21(5): 1264-1272. [10] Celik AN, Acikgoz N. Modeling and experimental verification of the operating current of mono- crystalline photovoltaic modules using four and five-parameter models. Applied Energy. 2007; 84(5): 11-25.

MPPT for Photovoltaic System Using Multi-objective Improved Particle Swarm Optimization Algorithm

  • 1.
    TELKOMNIKA Indonesian Journalof Electrical Engineering Vol.12, No.1, January 2014, pp. 261~ 268 DOI: http://dx.doi.org/10.11591/telkomnika.v12i1.3965  261 Received June 21, 2013; Revised August 13, 2013; Accepted September 16, 2013 MPPT for Photovoltaic System Using Multi-objective Improved Particle Swarm Optimization Algorithm Yuhong Zhao*1 , Xuecheng Zhao2 , Yunhui Zhang3 1 School of Electric Engineering, University of South China Hengyang, 421001, Hunan, China; PH./Fax: 0734-8282044 2 Mechanical and Electrical Engineering Department, Shaoyang Vocational and Technical College Shaoyang, 422000, Hunan, China; 3 Mechanical and Electrical Engineering Department, Shenzhen Polytechnic Shenzhen, 518057, Guangdong, China; *Corresponding author, e-mail: gsxl666@163.com 1 , ljzy666@163.com 2 , zhangyunhui1106@163.com 3 Abstract Making full use of abundant renewable solar energy through the development of photovoltaic (PV) technology is an effective means to solve the problems such as difficulty in electricity supply and energy shortages in remote rural areas. In order to improve the electricity generating efficiency of PV cells, it is necessary to track the maximum power point of PV array, which is difficult to make under partially shaded conditions due to the odds of the appearance of two or more local maximum power points., In this paper, a control algorithm of maximum power point tracking (MPPT) based on improved particle swarm optimization (IPSO) algorithm is presented for PV systems. Firstly, the current in maximum power point is searched with the IPSO algorithm, and then the real maximum power point is tracked through controlling the output current of PV array. The MPPT method based on IPSO algorithm is established and simulated with Matlab / Simulink, and meanwhile, the comparison between IPSO MPPT algorithm and traditional MPPT algorithm is also performed in this paper. It is proved through simulation and experimental results that the IPSO algorithm has good performances and very fast response even to partial shaded PV modules, , which ensures the stability of PV system. Keywords: photovoltaic system, maximum power point tracking, improved particle swarm optimization Copyright © 2014 Institute of Advanced Engineering and Science. All rights reserved. 1. Introduction Due to continuous growth of global energy demand and increasing concern about environmental issues, interests on using and developing renewable energy sources are growing.The solar energy is known to be one of the preferred renewable green energies, which is much cleaner and free from harmful production to environment compared with the conventional counterparts [1]. In this paper, improved MPPT algorithm for solar PV technology is researched to solve the difficulty in electricity consumption in remote rural areas. The solar cell is the core component of the solar photovoltaic system, and the power produced by a solar cell is dependent on the solar irradiation and the temperature of the solar cell. Its voltage shows the complex non-linear, which leads to the instability of the output power and the lower power generation efficiency. Therefore, how to achieve effective MPPT control and further improve the conversion efficiency of the PV array and make full use of its energy conversion has been an important topic of PV power generation system. At present, the common control methods both in domestic and foreign include perturbation and observation method, a constant voltage method, incremental conductance method, and so on [2]. Due to the partial obstructions such as surrounding buildings, trees, the part of PV array is partially covered with shadow, in which case, the PV array output characteristic shows multi-local maximum operating point and thus the conventional MPPT control algorithm will fail to track the real maximum power point. To solve this problem, an improved MPPT technique has been put forward by means of particle swarm optimization algorithm for Photovoltaic Grid Connected Generation system. The algorithm with a good performance in multi-objective optimization and multimodal function optimization is suitable for the shaded photovoltaic system [3], [4].
  • 2.
     ISSN: 2302-4046 TELKOMNIKAVol. 12, No. 1, January 2014: 261 – 268 262 2. Improved Particle Swarm Optimization Algorithm Design 2.1. The Principle of the Particle Swarm Optimization Algorithm Particle swarm optimization (PSO) is an evolution computing technology based on swarm intelligence, which was proposed by Eberhart and Kennedy in 1995, and it is based on the simulation of the flock. The principle is described as follows: a flock of birds search food randomly in a region where there is only a piece of food. The most simple and effective strategy to find food is to search the area around the nearest bird from food, which constitutes one of the basic concepts of the PSO. Assuming that a community is composed of n particles in a D- dimensional search space, wherein xi is the position of i-th particle in D-dimension [5], [6].  1 2, , , 1,2,i i i idX X X X i n   (1) Fitness value can be calculated by substituting Xi into an objective function, and the pros and cons of Xi can be obtained according to the size of the fitness value. "Flying" velocity of the particle i is a D-dimensional vector, denoted as vi = (vi1, vi2... vid). Pi = (pi1, pi2, ⋯, pid,) is the best position of particle i searched, corresponding to the optimal solution particle i found by itself, which is the location of the best fitness value. Optimal position for the entire particle swarm search after the h-th iteration is Pigd = (Pi1, Pi2... Pid). By the above definition, the standard formula of PSO can be expressed as: ( 1) ( ) ( ) ( ) ( ) ( ) ( ) ( ) 1 1 2 2( ) ( )k k k k k k k k id id id id gd idV v c r p x c r p x      (2) ( 1) ( ) ( 1)k k k id id idx x V    (3) where i is the number of particles in the swarm; d represents the dth-dimension of particles; ω is the inertia weight coefficient; r1, r2 are the random values between [0, 1]; c1 called cognitive factor represents belief degree on experience, which can be used to adjust the step size of particles to fly towards the direction of its local best position; c2 known as the coefficient of social learning represents the belief degree on individuals around, which can be used to adjust the step size of particles to fly towards the direction of its global best position. The algorithm iteration termination condition is generally chosen as the maximum number of iterations or fitness value which satisfies the predetermined threshold value of the minimum fitness after searching the optimal location. PSO algorithm is easy to operate and simple for use with a fast convergence. However, the algorithm also has the following problems: 1) The particles are "flying" toward the direction of the optimal solution. However, if the inertia factor is large, it is difficult to obtain the optimal solution, and the search accuracy will reduce; 2) All the particles are "flying" toward the direction of the optimal solution, but the closer the optimal particle comes, the less its searching speed becomes. Particle swarm deprives the diversity of solutions between the particles, and thus the algorithm may converge to a local maximum without difficulty which is not always the same as the global maximum and fails to track the actual global maximum. 2.2. Improved Particle Swarm Optimization (IPSO) Algorithm Some modifications are proposed to improve the search algorithm: In the direction of the same velocity, new particles are classified according to different amplitudes. Global optimization is performed on particles with larger velocity amplitude, while local optimization is performed on the other particles. Individuals and global best position "extreme value" are selected to update the particle velocity. Large velocity amplitude which meets the particle global search requirements can prevent the algorithm from falling into local optimal and premature phenomenon, and small velocity amplitude which meets local search requirements can avoid the algorithm from overflying the optimal solution space, and then the optimum solution can be obtained faster. [4] Formula is shown as follows:
  • 3.
    TELKOMNIKA ISSN: 2302-4046 MPPT for Photovoltaic System Using Multi-objective Improved Particle Swarm... (Yuhong Zhao) 263 ( 1) ( ) ( ) ( ) ( ) ( ) ( ) ( ) 1 1 2 2 ( 1) ( ) ( 1) ( ) (0) ( ) (0) ( ) ( ) ( ) ( ) , 1,2 , , 1,2 , k k k k k k k k id id id id gd id k k k id id id n id id n n id id id v v c p x c p x x x V v a n v n j x x v n j                        (4) where i is the number of particles; d represents the dth-dimension of particles; ω is the inertia weight coefficient; r1, r2 are the random values between [0, 1]; (0) idv is called the dth- dimensional reference velocity component of particle i ; ( )n idv ,n =1,2,…, j is called the dth- dimension search velocity component of particle i, j is called speed interval number; (0) idx is called the dth-dimension reference position component of particle i, ( )n idx ,n =1,2,…, j is called the dth- dimension search position component of particle i; idp is the best position of particle i that has ever found; the best location found in the group is called the global best position, recorded as gdp . a(n), n = 1, 2... j , called speed coefficient, is used to determine the relationship between the search speed and the reference speed. The method to determine the relationship between the search speed and the reference speed is to set a maximum speed maxv and a minimum speed minv . If (0) maxidv v , then a(n) search speed is small; if (0) minidv v , then a(n) search speed becomes large; if (0) min maxidv v v  , and when search speed is appropriate, a(n) to the search speed (0) idv of both sides becomes large or smaller?. Only in this way, enough solution space can be searched. Therefore, the formula is: (0) min (0) max (0) min max , ( ) / , 1 / id id id n v v a n n j v v n j v v v          (5) The study shows that the inertia factor ω has a significant impact on optimize performance of the algorithm. Large ω will improve the convergence rate of the algorithm. While ω is small, it will improve the convergence accuracy of the algorithm. According to formula (6), this paper proposed an inertia weight adaptive adjustment strategy. 1 1 ex p ( / ) 1 * i i i n i i a F n b D F         (6) Where: D is the particle dimension; n is the number of particles; ωi is the i-th particle inertia factor; Fi is the i-th particle fitness; a、b is the two adjustable parameters. We could adjust the inertia weight based on experience and combined simulation, the experiments show that the inertia weight adaptive adjustment strategy has a better effect for multi-peak function optimization. 2.3. MTTP has been Design using Improved Particle Swarm Optimization Algorithm In this paper, two blocks photovoltaic panels connected in series are used for example to analyze the process of algorithm design. The algorithm design principle of more blocks PV modules connected in series model is the same, that is, just change the number of relevant variables [7]. The program flowchart of the IPSO algorithm introduced in this paper is shown in Figure 1.
  • 4.
     ISSN: 2302-4046 TELKOMNIKAVol. 12, No. 1, January 2014: 261 – 268 264 The specific procedure is as follows: ① Model transformation Multi-peak MPPT control model of photovoltaic system and PSO model are different, and the transformation relation is needed to build. The global optimal location is the maximum power output from two pieces of tandem photovoltaic module in the control object, and the speed of the particles is the output current of the tandem photovoltaic array in the control object. ② Initialization of the population parameter Population number and the number of these individuals in the group are initialized; evolution algebra is set; the parameters of the learning factor, the weighting coefficients and maximum speed are initialized; each particle's initial position and velocity of each particle are given in a random way ③ Calculation of the fitness value of each particle After various parameters have been initialized, the adaptation value of the objective function for each particle is calculated. The objective function is the total power output of the array, and the fitness function expression is: ( , 1)* ( , 2)*power V I Sun V I Sun I  (7) Where I is the output current of the PV array, V (I, Sun1) represents the output voltage of the photovoltaic cell module when the light intensity is Sun1 and the output current is I. Figure 1. Flowchart of the IPSO algorithm
  • 5.
    TELKOMNIKA ISSN: 2302-4046 MPPT for Photovoltaic System Using Multi-objective Improved Particle Swarm... (Yuhong Zhao) 265 ④ Find individual optimal location Every individual in evolution has an optimal position in the individual history, namely individual extremum. This individual fitness is compared with the fitness value of the particles (the maximum power of the system). If current value is better, then the position with current position as well as the fitness value is updated simultaneously. ⑤ Find the global optimal position Each individual has a history optimal location. For the whole group, there is also a global optimal position. The best particle of group with the best fitness value is determined. The optimal position is the position of the optimal individual in the population. ⑥ Update the particle velocity and position The speed of particle swarm model is equivalent to actual model of the current increment. Position is equivalent to the current of the actual model. The position and velocity of each particle are updated according to formula (1) and (2). ⑦ Determine the termination condition End conditions are maximum evolution generation. The search is terminated when the iteration becomes the maximum evolution generation. Otherwise, the evolution algebra pluses 1 automatically, and returns to step 2. The optimal solution Imax is the current value at the maximum power point. 3. MPPT Simulation using Improved Particale Swarm Algorithm Simulation for Photovoltaic Systems 3.1. Simulation Control Model By means of a simulation model of photovoltaic grid-connected systems developed in MATLAB/SUMULINK software, the actual control effect of the improved algorithm proposed in this paper has been verified, and the system structure is shown in Figure 2. The MPPT is controlled by DC (direct current) / DC and this DC can then be converted into AC (alternating current) by DC/AC inverter. The inverter is controlled by DC / AC to obtain stable DC voltage. The particle swarm algorithm is responsible for finding the output current of the PV array at the maximum power point, and hysteresis comparison has been made between the current and the actual current to generate the PWM signal to control the output current of the PV array [8], [9]. Figure 2. The configuration diagram of photovoltaic grid-connected systems based on improved particle swarm optimization MPPT algorithm 3.2. Simulation Parameter Initialization Particle Swarm initializations are as follows [10]: pop_size=20; part_size=2; max_gen=80; w_max=0.9; w_min=0.3; v_max=2; c1=2; c2=2;
  • 6.
     ISSN: 2302-4046 TELKOMNIKAVol. 12, No. 1, January 2014: 261 – 268 266 Light intensity initializations are as follows: S1=S2=1KW/m2 S3=S4=0.8 KW/m2 Hysteresis loop width is set as follows: 0.01( ) ,- ( )on 0.01 off DC bus voltage is given as follows: 400V 3.3. Simulation Results The simulation results are shown in Figure 3, 4, 5. Figure 3 shows the variation curves of output voltage and current of the PV array with time. The system is stable at about 0.02s. Output voltage of the PV array is about 117.1V in steady state, and the fluctuation range of voltage is ±0.5V. Output current is stable at 7.2A, which is almost equal to the theoretical calculation value. The fluctuation range of current is ±0.04A. Figure 4 reflects the input voltage curve of the inverter under voltage feedback control, which is stable at 400V when the system is stable at 0.28s, and the fluctuation range of voltage value is ± 0.6V in steady state. Figure 5 shows the voltage and current waveforms in steady state. It can be seen that grid current and voltage vary with frequency and in phase (reference direction reverse) in steady state, and the electricity can be utilized with safety. Figure 3. The variation curves of the PV array output voltage and current with time Figure 4. Inverter DC voltage dynamic curve
  • 7.
    TELKOMNIKA ISSN: 2302-4046 MPPT for Photovoltaic System Using Multi-objective Improved Particle Swarm... (Yuhong Zhao) 267 Figure 5. The variation curve of grid voltage and grid current with time The IPSO algorithm is superior to traditional algorithm due to its ability to search the global maximum, which can be applied in MPPT for the shaded PV system. In order to verify the superiority of the IPSO algorithm, a MPPT simulation of a PV power supply system with the proposed IPSO algorithm is implemented and compared with the results obtained from traditional incremental conductance algorithm. Figure 6. Power-time curve obtained by incremental conductance algorithm Figure 7. Power - time curve obtained by improved particle swarm algorithm Figure 6 and Figure 7 show the variation curves of the system power with time by using the improved particle swarm MPPT algorithm and conventional incremental conductance MPPT algorithm, respectively. It can be seen that the maximum power of 682 w obtained from the improved particle swarm MPPT algorithm is higher than that of 607 w obtained by the
  • 8.
     ISSN: 2302-4046 TELKOMNIKAVol. 12, No. 1, January 2014: 261 – 268 268 incremental conductance method. The improved particle swarm algorithm can track the maximum power point in 0.03 s, but the time incremental conductance method spends is 0.13 s. In steady state, the fluctuation range of the power obtained from the incremental conductance algorithm is ±8W, but that from the IPSO algorithm is ±1W. It can be seen that the method can not only improve the tracking speed of MPPT, but also ensure the tracking accuracy. 4. Conclusion In remote areas far from the power grid where are abound with solar energy resources, electricity supply is severe,. Therefore, making full use of abundant solar energy resources realized by the development of photovoltaic grid technology is an effective means to solve the difficulties in rural electricity supply, energy shortages and other issues. This paper proposes a MPPT algorithm using improved particle swarm optimization algorithm for PV system, which can solve the problem that the traditional MPPT algorithm is liable to fall into the local optimal solution under partially shaded conditions. This paper has established a simulation model of the proposed algorithm. Simulated results have demonstrated the feasibility of the IPSO algorithm and the IPSO is suitable for MPPT in grid-connected PV systems. By comparing the traditional method with the IPSO method, the experiment has verified the advantages of the proposed IPSO algorithm: it has a faster dynamic response and better steady-state performance than the traditional algorithm, thus improving the efficiency of the photovoltaic power generation system. Acknowledgements This work was supported by the Scientific Research Fund of Hunan Provincial Science and Technology Programme (Project Number [2014FJ3157]) and Hengyang City Science and Technology Programme (Project Number [2013KJ31]). References [1] Aryuanto Soetedjo. Modeling of Maximum Power Point Tracking Controller for Solar Power System. TELKOMNIKA Indonesian Journal of Electrical Engineering. 2012; 10(3): 419-430. [2] Esram T, Chapman PL. Comparison of photovoltaic array maximum power point tracking techniques. IEEE Transactions on Energy Conversion l. 2007; 22(2): 439-449. [3] Ramaprabha R, Mathur BL. A comprehensive review and analysis of solar photovoltaic array configurations under partial shaded conditions. Int J Photo Energy. 2012; 28(2): 1-16. [4] Ramaprabha R, Mathur BL. Soft computing optimization techniques for solar photovoltaic arrays. ARPN J Eng Appl Sci. 2011; 6(10):70-5. [5] JL Fernández Martínez, E García Gonzalo. The PSO family: deduction, stochastic analysis and comparison. Swarm Intelligence. 2009; 3(4): 245-273. [6] Omkar SN, Mudigere D, Narayananaikg, et al. Vector evaluated particle swarm optimization formulti- objective design optimization of composite structures. Computers and Structures. 2008; 86(2): 1-14. [7] Hua C, Lin J. A modified tracking algorithm for maximum power tracking of solar array. Energy Conversion and Management. 2004; 45(6): 911-925. [8] Zhou Tianpei. MPPT Method of Wind Power Based on Improved Particle Swarm Optimization. TELKOMNIKA Indonesian Journal of Electrical Engineering. 2013; 11(6): 3206-3212. [9] Shimizu T, Wada K, Nakamura N. Fly back-type single-phase utility interactive inverter with power pulsation decoupling on the DC input for an AC photovoltaic module system. IEEE Trans. on Power Electronics. 2006; 21(5): 1264-1272. [10] Celik AN, Acikgoz N. Modeling and experimental verification of the operating current of mono- crystalline photovoltaic modules using four and five-parameter models. Applied Energy. 2007; 84(5): 11-25.