Introduction to Java Programming 1.1 Introduction to Object Oriented Programming and Java 1.1 Concept of OOPS Object-oriented programming (OOP) is a programming paradigm that represents concepts as "objects" that have data fields (attributes that describe the object) and associated procedures known as methods. Objects, which are usually instances of classes, are used to interact with one another to design applications and computer programs. Objects Instance of class Attribute         + Methods Object An object is basic run time entities in an object oriented system. Object should be matched closely with the real world objects. Object is used to invoke data and functions which handle data. Objects can communicate with each other using messages. Programming problem is analyzed in terms of object in object oriented system. Object is the instance of the class. Object has unique identifier, state and behavior. They may be a person, a place, a bank account etc… Student Name Roll No Marks Result() Object Data Method Real-world objects share two characteristics: They all have state and behavior. Dogs have state (name, color, breed and hungry) and behavior (barking, fetching, wagging tail). Bicycles also have state (current gear, current pedal cadence, and current speed) and behavior (changing gear, changing pedal cadence, applying brakes). Identifying the state and behavior for real-world objects is a great way to begin thinking in terms of object-oriented programming. For each object that you see, ask yourself two questions: "What possible states can this object be in?" and "What possible behavior can this object perform?” The real-
1.2 Java Programming Paradigms world objects vary in complexity; your desktop lamp may have only two possible states (on and off) and two possible behaviors (turn on, turn off), but your desktop radio might have additional states (on, off, current volume, current station) and behavior (turn on, turn off, increase volume, decrease volume, seek, scan, and tune). These real-world observations all translate into the world of object-oriented programming. Software objects are conceptually similar to real-world objects: they too consist of state and related behavior. An object stores its state in fields (variables in some programming languages) and exposes its behavior through methods (functions in some programming languages). Figure 1.1 Software Object. By attributing state (current speed, current pedal cadence, and current gear) and providing methods for changing that state, the object remains in control of how the outside world is allowed to use it. For example, if the bicycle only has 6 gears, a method to change gears could reject any value that is less than 1 or greater than 6. Consider a bicycle, for example: Figure 1.2 A bicycle modeled as a software object.
Introduction to Java Programming 1.3 Bundling code into individual software objects provides a number of benefits, including: 1. Modularity: The source code for an object can be written and maintained independently of the source code for other objects. Once created, an object can be easily passed around inside the system. 2. Information-hiding: By interacting only with an object's methods, the details of its internal implementation remain hidden from the outside world 3. Code re-use: If an object already exists (perhaps written by another software developer), you can use that object in your program. This allows specialists to implement/test/debug complex, task-specific objects, which you can then trust to run in your own code. 4. Pluggability and debugging ease: If a particular object turns out to be problematic, you can simply remove it from your application and plug in a different object as its replacement. This is analogous to fixing mechanical problems in the real world. If a bolt breaks, you replace it, not the entire machine. Classes        Class forms the basis in object oriented system. Class is a user defined data types to create objects. Object is the variable of type class. Class can be considered as a template which defines the structure of the object. Class is defined as the blueprint for an object. Class serves as a plan or a template. Collection of object is called a class. Object 1 Object 2 Class Object 3 Data Abstraction The techniques refer to the act of representing the essential features to the user without including the background details is known as Data Abstraction. Both the data and function can be abstracted in class data type. Classes use the concept of abstraction and defined as a list of abstract and are
1.4 Java Programming Paradigms defined as a list of abstract attributes such as size, weight and cost and methods the operate on these attributes. Example A well-known example for abstraction is a car. We drive cars without knowing the internal details about how the engine works and how the car stops on applying brakes. Here abstraction provided to us like brakes, steering, etc. and we interact with them. As a driver he can know the essential details but he cannot know the implementation details. X Implementation details Essential details User Encapsulation The process of combining data and functions together into a single entity is called as Encapsulation Data X Other Functions Functions Encapsulation is a technique used for hiding the properties and behaviors of an object and allowing outside access only as appropriate, this is also known as data hiding. It prevents other objects from directly altering or accessing the properties or methods of the encapsulated object.
Introduction to Java Programming 1.5 Inheritance Inheritance is the process of creating a new class from existing class. A subclass inherits all the properties of a base class, in addition to this; it can add its own features (properties and behavior). Transport Road Transport Bus Motor Bike Air Transport Water Transport Aero plane Boat The existing classes are called base classes and the inherited (or) newly created classes are called derived classes. Example: cars, scooters, planes and ship all have an engine and a speedometer. These are the characteristics of vehicles. Each subclass has its own characteristics feature, (i.e.) motorcycles have disk braking system, while planes have hydraulic braking system. A car can run only on the surface, while a plane can run in air and a ship sails over water. Advantage of inheritance is code reusability. Because when a class inherits another class, it has all properties of the base class and it adds some new properties of its own. Abstract Class  Classes from which objects cannot be instantiated with new operator are called abstract classes.  Each abstract class contains one or more abstract methods.  In a class if there exit any method with no implementation (i.e. method body) is known as abstract method. Polymorphism Polymorphism means the ability to take more than one form. It can be defined as the same thing being used in different forms. An operation may exhibit different behavior in different instances
1.6 Java Programming Paradigms The behavior depends upon the types of data used in the operation. For example, consider the operation of addition. For two numbers, the operation will generate a sum. If the operation is strings, then the operation produce a third string by concatenation. Shape Draw Circle Object Draw (Circle) Box Object Draw (Box) Triangle Object Draw (Triangle) Polymorphism plays an important role in allowing objects having different internal structures to share the same external interface. This means that a general class of operations may be accessed in the manner even though specific actions associated with each operation may differ. Polymorphism is extensively used in implementing inheritance. There are two types of polymorphism: compile time and run time polymorphism. Run time polymorphism is also known as dynamic binding or late binding is used to determine which method to invoke at runtime. Run time polymorphism is implemented in overriding. Compile time polymorphism is implemented by overloading. Overloading have the same name, but different lists and different definitions. Message Communication (methods and messages)  Objects in object oriented system can communicate with each other using messages. Procedure call Object 1 Object 2 Arguments The process of programming in an object oriented language, therefore, involves the following basic step 1. Creating classes that define objects and their behavior.
Introduction to Java Programming 1.7 2. Creating object from definitions. 3. Establishing communication among objects Object 1 Object 2 Object 5 Object 4 Object 3 Figure 1.3 Network of Objects communicating between them. Sending Object Message Method() Receiving object Figure 1.4 Message triggers a method  Messages passing between objects are necessary to simulate the real world object.  Message is passed by calling the procedures (methods) of the object with information (arguments).  Message passing consists of object name, method name with arguments. 1.2 Benefits of OOPS  Through inheritance, we can eliminate redundant code and extend the use of existing classes.  The principle of data hiding helps the programmer to build secure programs that cannot be invaded by code in other parts of the programs.  It is possible to map objects in the problem domain to those in the program.  Object-oriented system can be easily upgraded from small to large system.  Message passing techniques for communication between objects makes the interface descriptions with external systems much simpler.  Software complexity can be easily managed.
1.8 Java Programming Paradigms 1.3 Applications o Real Time System o Simulation and modeling o Object oriented modeling o Hypertext and hypermedia o Artificial and Expert System o Neural networks o Parallel programming o CAD/CAM System o Office automation system Introduction to Java 1.4 History of Java In 1991, James Gosling, Mike Sheridan and Patrick Naughton initiated the java language project. First it was named as Oak. Since this name was registered by some other company, later it was changed to java. Java is a general purpose, concurrent, class based, object oriented computer programming language developed by Sun Microsystem. Java was designed for the development of software for consumer electronic devise like TVs, VCRs and other electronic machines. In 1996, Java Development Kit (JDK) 1.0 was released. Java was originally developed by James Gosling at Sun Microsystem(which is now a subsidiary of Oracle Corporation) and released in 1995. Naming of Java James Gosling with his team members were consuming a lot of coffee while developing this language. Good quantity of coffee was supplied from a place called Java Island. Hence they fixed the name of the language as Java. The symbol for java language is cup and saucer. Java version release  JDK Alpha and Beta (1995)  JDK 1.0 (January 23, 1996)  JDK 1.1 (February 19, 1997)  J2SE 1.2 (December 8, 1998)  J2SE 1.3 (May 8, 2000)  J2SE 1.4 (February 6, 2002)  J2SE 5.0 (September 30, 2004)  Java SE 6 (December 11, 2006)  Java 6 updates  Java SE 7 (July 28, 2011)  Java 7 updates
Introduction to Java Programming 1.9 1.5 Java Features i) Simple Understanding the basic concepts of java is easier, because it inherits the C/C++ syntax and many of the object oriented features of C++, so it is easy to learn and use java. Java omits many rarely used, poorly understood, confusing features of C++. ii) Object Oriented  Java is pure object oriented programming language. In object oriented, objects are characterized by state and behavior. Everything in java is object oriented. All program code and data are belongs to the particular object and classes.  An extensive class library available in the core language package.  In java, object oriented feature is most popular language because it support code reusability, mainability etc.,  Oops concept in java includes object, class, data abstract and encapsulation, inheritance, polymorphism and message passing. iii) Compiler and Interpreter 1 Source Code Compiler Byte Code 2 Machine Code    Interpreter Figure 1.5 Compiler and interpreter Usually a computer language is either compiler (or) interpreter. Java has both these approaches thus making java a two stage system. First stage the java program (Source code) was compiled and byte code was created. This byte code was not machine code. Therefore, second stage, java interpreter generates machine code from byte code that can be directly executed by the machine that is running the java program. iv) Platform Independent and Portable Java is platform independent and portable because after compiling the java source code, byte code (.class) files are created. This byte code can be executed in any operating system machine. This is done by JVM.
1.10 Java Programming Paradigms Java Source Code (.java) Compiler (javac) Byte Code(.class) Linux Interpreter Mac Interpreter Machine Code Machine Code Machine Code Windows Computer Linux Computer Windows Interpreter Mac Computer Figure1.6 Java Platform Independent v) Distributed System  Distributed applications are created in java program by using RMI (Remote Method Invocation) concept.  Java was designed for use on network.  Java can be transmitted over internet by using HTTP and FTP protocol.  Java applications can open and access remote objects on internet, as they can do in a local system.  In distributed system, resources are shared. vi) Multithreading Process o Java allows multiple-threads to execute concurrently. That is a program can be divided into several threads and each threads can be executed concurrently or in parallel with the other threads. o A thread is a light weight process. o Multithreading increases CPU efficiency. o A real world example for multithreading is computer. While we are listening to music at the same time we can write in a word document and download some files. vii) Dynamic ◊ Java is more dynamic language than C & C++. ◊ Java programs carry with them substantial amounts of run time type information that is used to verify and resolve accesses to objects at run time.
Introduction to Java Programming 1.11 ◊ Libraries can freely add new methods and instance variables without any effect on their client. viii) High Performance Interpretation of byte codes performance was slow in the early versions. But updated version of java virtual machines uses adaptive and just-in-time compilation techniques speed up the performance. ix) Robust and secure Java provides strict compile time error checking and run time error checking. It incorpate concept of exception handling which capture series of errors. Eliminate any risks of crashing the system. x) Secure With Java's secure feature it enables to develop virus-free, tamper-free systems. Authentication techniques are based on public-key encryption. 1.6 Structure of Java Program A java program may contain many classes of which only one class defines a main method. Classes contain data member and methods that operate on the data members of the class. Methods may contain data type declarations and executable statements. Documentation Section Package Statement import Statement interface Statement class Definition Suggested Optional Optional Optional Atleast one class main Method { Only one main ---method } Figure 1.7 Structure of a Java Program Documentation Section It is a set of comment line giving the name of the program, the author and other details, which the programmer would like to refer. Comments must explain why and what of classes and how of algorithms. Comments can be given by the following  // This is one line commands  /** This is multiple line comments. This is used for generate automatically. */
1.12 Java Programming Paradigms Package The first statement in java source code file is package statement. This statement declares a package name and informs the compiler that the classes defined here belongs to this package. Ex:package travel; Inside this package we can declare class, methods and variables. If this package has public declaration of classes, methods and variable then it can be accessed from anywhere. Package statement is optional statement. import statement Next to package statement is import statement. Two import statements 1) System import (built in) Example import java.io.*; import java.awt.*; 2) User import (package created by the user) import travelpackage.*; This statement instructs the interpreter to load the test class contained in the package travelpackage. import travelpackage.*; // *(star) represents it will load all the classes, methods and variable in the package. Import statement is optional statement. interface statement An interface is like a class but include a group of method declaration, and method definition (coding) will be in the subclass. Multiple inheritances were not supported in java. So we implement the multiple inheritance using interfaces keyword. Example of declaring interface interface interfacename; class definitions Java program may contain multiple class definitions, in a single program for execution any one of the class must contain main() method. These classes are used to map the objects of real world problems. Example of class declaration class classname { // coding }
Introduction to Java Programming 1.13 main method Every program has main method where the execution is started. This is essential part of a java program. A simple java program may contain only this part. The main method creates objects of various classes and establishes communications between them. On reaching the end of the main, the program terminates and the control passes back to the operating system. 1.7 Creating a Simple Java Program Write a simple java program in a notepad or in java text editor. Create a class name SimpleProgram that contains only main method and prints a message “Welcome to Java Programming Paradigms”. Simple Java Program class SimpleProgram { public static void main(String[] args) { System.out.println(“Welcome to Java Programming Paradigms”); } } Program 1.1 Simple java program To compile: javac SimpleProgram.java To run (or) execute: java SimpleProgram Output Welcome to Java Programming Paradigms Let us explain the program line by line and understand the unique features that contain java program. And how to compile and execute the java program. Class Declaration The first line class SimpleProgram {….} declares the classname as SimpleProgram in java. A class code starts with { and ends with a}. public static void main(String args[]) o public is an access specifier that is visible to all, so other classes can make access of this class. o static is a keyword it is used before the main() method, so while executing the class file, the main() method is called automatically without creating an object. o void is a keyword, that is not a return type. o main() the execution starts from the main method. In a java source file there should be only one main() method. o String args[] the main method has the parameter names args[] as string array.
1.14 Java Programming Paradigms System.out.println(“Welcome to Java Programming Paradigms”); The println statement will print the statement i.e. given in “…” and allow next print statement to print in new line. If you use the statement system.out.print(“Welcome to Java Programming Paradigms”); The print statement will print the statement i.e. given in “…” and allow next print statement to print in same line. SetPath If the java source file is not in (java bin) location then we need to set path for the file before compiling and executing a java program. To set path: set path=“C:Program Filesjavajdk1.6.0_07bin” This “C:Program Filesjavajdk1.6.0_07bin” may change according to your java installed location and version based. Compile While compiling a java file. It should be compiled with the file name. For example if the file name is firstprogram.java Then the compile statement must be javac firstprogram.java If the class name is declared as public then the class name and the file name should be same, if the file is compiled successfully we will get a .class file Executing If we get a .class file, then we can executing a java file, it should be executed with the main method classname. For example if the main method class name is SimpleProgram, Execution statement is like java SimpleProgram.java 1.8 Java Virtual Machine Java Virtual Machine (JVM) is the heart of entire Java program execution process. First of all, the .java program is converted into a .class file consisting of byte code instructions by the java compiler at the time of compilation. Remember, this java compiler is outside the JVM. This (.class) file is given to the JVM. The figure 1.2 shows the architecture of Java Virtual Machine. In JVM, there is a module (or program) called class loader sub system, which performs the following instructions: · First of all, it loads the .class file into memory. · Then it verifies whether all byte code instructions are proper or not. If it finds any instruction suspicious, the execution is rejected immediately. If the byte instructions are proper, then it allocates necessary memory to
Introduction to Java Programming 1.15 execute the program. This memory is divided into 5 parts, called run time data areas, which contain the data and results while running the program. These areas are as follows:  Method area Method area is the memory block, which stores the class code, code of the variables and code of the methods in the Java program.  Heap This is the area where objects are created. Whenever JVM loads a class, method and heap areas are immediately created in it.  Java Stacks Method code is stored on Method area. But while running a method, it needs some more memory to store the data and results. This memory is allotted on Java Stacks. So, Java Stacks are memory area where Java methods are executed. While executing methods, a separate frame will be created in the Java Stack, where the method is executed. JVM uses a separate thread (or process) to execute each method.  PC(Program Counter) Method code is stored on Method area. But while running a method, it needs some more memory to store the data and results. This memory is allotted on Java Stacks. So, Java Stacks are memory area where Java methods are executed. While executing methods, a separate frame will be created in the Java Stack, where the method is executed. JVM uses a separate thread (or process) to execute each method.  Native Method Stacks Java methods are executed on Java Stacks. Similarly, native methods (for example C/C++ functions) are executed on Native method stacks. To execute the native methods, generally native method libraries (for example C/C++ header files) are required. These header files are located and connected to JVM by a program, called Native method interface. Execution Engine contains interpreter and JIT compiler which translates the byte code instructions into machine language which are executed by the microprocessor. Hot spot (loops/iterations) is the area in .class file i.e. executed by JIT compiler. JVM will identify the Hot spots in the .class files and it will give it to JIT compiler where the normal instructions and statements of Java program are executed by the Java interpreter. Review Questions Part- A (2 marks) 1) What is object oriented programming? 2) Define the terms.
1.16 Java Programming Paradigms i) object ii) classes iii) data abstraction iv) encapsulation v) inheritance vi) polymorphism vii) methods and messages. 3) What is java? 4) What are the principal concepts of OOPS? 5) Distinguish between the following terms i) Objects and Classes ii) Data abstraction and encapsulation iii) Inheritance and Polymorphism 6) List the applications of java. 7) What are the advantages of java? 8) List the features of java. 9) Why java is called platform independent language? 10) Give the structure of java. 11) Write a simple program for java. 12) What is java virtual machine? Part-B 1) 2) 3) 4) 5) Explain OOPS concept in detail. List the features of java and explain them in detail. Explain the structure of java. Write a simple java program and explain each line in detail. Explain java virtual machine.

Java Programming Paradigms Chapter 1

  • 1.
    Introduction to JavaProgramming 1.1 Introduction to Object Oriented Programming and Java 1.1 Concept of OOPS Object-oriented programming (OOP) is a programming paradigm that represents concepts as "objects" that have data fields (attributes that describe the object) and associated procedures known as methods. Objects, which are usually instances of classes, are used to interact with one another to design applications and computer programs. Objects Instance of class Attribute         + Methods Object An object is basic run time entities in an object oriented system. Object should be matched closely with the real world objects. Object is used to invoke data and functions which handle data. Objects can communicate with each other using messages. Programming problem is analyzed in terms of object in object oriented system. Object is the instance of the class. Object has unique identifier, state and behavior. They may be a person, a place, a bank account etc… Student Name Roll No Marks Result() Object Data Method Real-world objects share two characteristics: They all have state and behavior. Dogs have state (name, color, breed and hungry) and behavior (barking, fetching, wagging tail). Bicycles also have state (current gear, current pedal cadence, and current speed) and behavior (changing gear, changing pedal cadence, applying brakes). Identifying the state and behavior for real-world objects is a great way to begin thinking in terms of object-oriented programming. For each object that you see, ask yourself two questions: "What possible states can this object be in?" and "What possible behavior can this object perform?” The real-
  • 2.
    1.2 Java ProgrammingParadigms world objects vary in complexity; your desktop lamp may have only two possible states (on and off) and two possible behaviors (turn on, turn off), but your desktop radio might have additional states (on, off, current volume, current station) and behavior (turn on, turn off, increase volume, decrease volume, seek, scan, and tune). These real-world observations all translate into the world of object-oriented programming. Software objects are conceptually similar to real-world objects: they too consist of state and related behavior. An object stores its state in fields (variables in some programming languages) and exposes its behavior through methods (functions in some programming languages). Figure 1.1 Software Object. By attributing state (current speed, current pedal cadence, and current gear) and providing methods for changing that state, the object remains in control of how the outside world is allowed to use it. For example, if the bicycle only has 6 gears, a method to change gears could reject any value that is less than 1 or greater than 6. Consider a bicycle, for example: Figure 1.2 A bicycle modeled as a software object.
  • 3.
    Introduction to JavaProgramming 1.3 Bundling code into individual software objects provides a number of benefits, including: 1. Modularity: The source code for an object can be written and maintained independently of the source code for other objects. Once created, an object can be easily passed around inside the system. 2. Information-hiding: By interacting only with an object's methods, the details of its internal implementation remain hidden from the outside world 3. Code re-use: If an object already exists (perhaps written by another software developer), you can use that object in your program. This allows specialists to implement/test/debug complex, task-specific objects, which you can then trust to run in your own code. 4. Pluggability and debugging ease: If a particular object turns out to be problematic, you can simply remove it from your application and plug in a different object as its replacement. This is analogous to fixing mechanical problems in the real world. If a bolt breaks, you replace it, not the entire machine. Classes        Class forms the basis in object oriented system. Class is a user defined data types to create objects. Object is the variable of type class. Class can be considered as a template which defines the structure of the object. Class is defined as the blueprint for an object. Class serves as a plan or a template. Collection of object is called a class. Object 1 Object 2 Class Object 3 Data Abstraction The techniques refer to the act of representing the essential features to the user without including the background details is known as Data Abstraction. Both the data and function can be abstracted in class data type. Classes use the concept of abstraction and defined as a list of abstract and are
  • 4.
    1.4 Java ProgrammingParadigms defined as a list of abstract attributes such as size, weight and cost and methods the operate on these attributes. Example A well-known example for abstraction is a car. We drive cars without knowing the internal details about how the engine works and how the car stops on applying brakes. Here abstraction provided to us like brakes, steering, etc. and we interact with them. As a driver he can know the essential details but he cannot know the implementation details. X Implementation details Essential details User Encapsulation The process of combining data and functions together into a single entity is called as Encapsulation Data X Other Functions Functions Encapsulation is a technique used for hiding the properties and behaviors of an object and allowing outside access only as appropriate, this is also known as data hiding. It prevents other objects from directly altering or accessing the properties or methods of the encapsulated object.
  • 5.
    Introduction to JavaProgramming 1.5 Inheritance Inheritance is the process of creating a new class from existing class. A subclass inherits all the properties of a base class, in addition to this; it can add its own features (properties and behavior). Transport Road Transport Bus Motor Bike Air Transport Water Transport Aero plane Boat The existing classes are called base classes and the inherited (or) newly created classes are called derived classes. Example: cars, scooters, planes and ship all have an engine and a speedometer. These are the characteristics of vehicles. Each subclass has its own characteristics feature, (i.e.) motorcycles have disk braking system, while planes have hydraulic braking system. A car can run only on the surface, while a plane can run in air and a ship sails over water. Advantage of inheritance is code reusability. Because when a class inherits another class, it has all properties of the base class and it adds some new properties of its own. Abstract Class  Classes from which objects cannot be instantiated with new operator are called abstract classes.  Each abstract class contains one or more abstract methods.  In a class if there exit any method with no implementation (i.e. method body) is known as abstract method. Polymorphism Polymorphism means the ability to take more than one form. It can be defined as the same thing being used in different forms. An operation may exhibit different behavior in different instances
  • 6.
    1.6 Java ProgrammingParadigms The behavior depends upon the types of data used in the operation. For example, consider the operation of addition. For two numbers, the operation will generate a sum. If the operation is strings, then the operation produce a third string by concatenation. Shape Draw Circle Object Draw (Circle) Box Object Draw (Box) Triangle Object Draw (Triangle) Polymorphism plays an important role in allowing objects having different internal structures to share the same external interface. This means that a general class of operations may be accessed in the manner even though specific actions associated with each operation may differ. Polymorphism is extensively used in implementing inheritance. There are two types of polymorphism: compile time and run time polymorphism. Run time polymorphism is also known as dynamic binding or late binding is used to determine which method to invoke at runtime. Run time polymorphism is implemented in overriding. Compile time polymorphism is implemented by overloading. Overloading have the same name, but different lists and different definitions. Message Communication (methods and messages)  Objects in object oriented system can communicate with each other using messages. Procedure call Object 1 Object 2 Arguments The process of programming in an object oriented language, therefore, involves the following basic step 1. Creating classes that define objects and their behavior.
  • 7.
    Introduction to JavaProgramming 1.7 2. Creating object from definitions. 3. Establishing communication among objects Object 1 Object 2 Object 5 Object 4 Object 3 Figure 1.3 Network of Objects communicating between them. Sending Object Message Method() Receiving object Figure 1.4 Message triggers a method  Messages passing between objects are necessary to simulate the real world object.  Message is passed by calling the procedures (methods) of the object with information (arguments).  Message passing consists of object name, method name with arguments. 1.2 Benefits of OOPS  Through inheritance, we can eliminate redundant code and extend the use of existing classes.  The principle of data hiding helps the programmer to build secure programs that cannot be invaded by code in other parts of the programs.  It is possible to map objects in the problem domain to those in the program.  Object-oriented system can be easily upgraded from small to large system.  Message passing techniques for communication between objects makes the interface descriptions with external systems much simpler.  Software complexity can be easily managed.
  • 8.
    1.8 Java ProgrammingParadigms 1.3 Applications o Real Time System o Simulation and modeling o Object oriented modeling o Hypertext and hypermedia o Artificial and Expert System o Neural networks o Parallel programming o CAD/CAM System o Office automation system Introduction to Java 1.4 History of Java In 1991, James Gosling, Mike Sheridan and Patrick Naughton initiated the java language project. First it was named as Oak. Since this name was registered by some other company, later it was changed to java. Java is a general purpose, concurrent, class based, object oriented computer programming language developed by Sun Microsystem. Java was designed for the development of software for consumer electronic devise like TVs, VCRs and other electronic machines. In 1996, Java Development Kit (JDK) 1.0 was released. Java was originally developed by James Gosling at Sun Microsystem(which is now a subsidiary of Oracle Corporation) and released in 1995. Naming of Java James Gosling with his team members were consuming a lot of coffee while developing this language. Good quantity of coffee was supplied from a place called Java Island. Hence they fixed the name of the language as Java. The symbol for java language is cup and saucer. Java version release  JDK Alpha and Beta (1995)  JDK 1.0 (January 23, 1996)  JDK 1.1 (February 19, 1997)  J2SE 1.2 (December 8, 1998)  J2SE 1.3 (May 8, 2000)  J2SE 1.4 (February 6, 2002)  J2SE 5.0 (September 30, 2004)  Java SE 6 (December 11, 2006)  Java 6 updates  Java SE 7 (July 28, 2011)  Java 7 updates
  • 9.
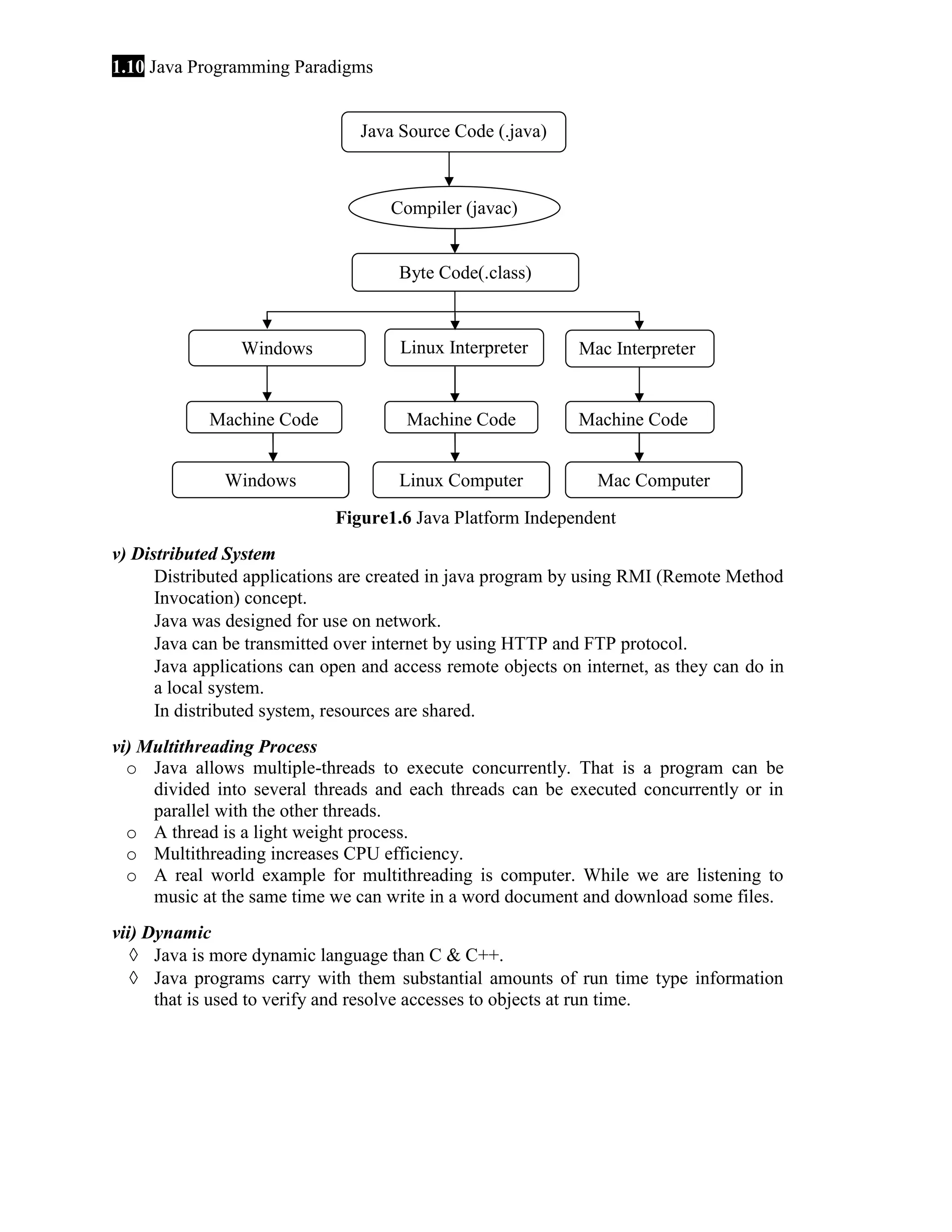
    Introduction to JavaProgramming 1.9 1.5 Java Features i) Simple Understanding the basic concepts of java is easier, because it inherits the C/C++ syntax and many of the object oriented features of C++, so it is easy to learn and use java. Java omits many rarely used, poorly understood, confusing features of C++. ii) Object Oriented  Java is pure object oriented programming language. In object oriented, objects are characterized by state and behavior. Everything in java is object oriented. All program code and data are belongs to the particular object and classes.  An extensive class library available in the core language package.  In java, object oriented feature is most popular language because it support code reusability, mainability etc.,  Oops concept in java includes object, class, data abstract and encapsulation, inheritance, polymorphism and message passing. iii) Compiler and Interpreter 1 Source Code Compiler Byte Code 2 Machine Code    Interpreter Figure 1.5 Compiler and interpreter Usually a computer language is either compiler (or) interpreter. Java has both these approaches thus making java a two stage system. First stage the java program (Source code) was compiled and byte code was created. This byte code was not machine code. Therefore, second stage, java interpreter generates machine code from byte code that can be directly executed by the machine that is running the java program. iv) Platform Independent and Portable Java is platform independent and portable because after compiling the java source code, byte code (.class) files are created. This byte code can be executed in any operating system machine. This is done by JVM.
  • 10.
    1.10 Java ProgrammingParadigms Java Source Code (.java) Compiler (javac) Byte Code(.class) Linux Interpreter Mac Interpreter Machine Code Machine Code Machine Code Windows Computer Linux Computer Windows Interpreter Mac Computer Figure1.6 Java Platform Independent v) Distributed System  Distributed applications are created in java program by using RMI (Remote Method Invocation) concept.  Java was designed for use on network.  Java can be transmitted over internet by using HTTP and FTP protocol.  Java applications can open and access remote objects on internet, as they can do in a local system.  In distributed system, resources are shared. vi) Multithreading Process o Java allows multiple-threads to execute concurrently. That is a program can be divided into several threads and each threads can be executed concurrently or in parallel with the other threads. o A thread is a light weight process. o Multithreading increases CPU efficiency. o A real world example for multithreading is computer. While we are listening to music at the same time we can write in a word document and download some files. vii) Dynamic ◊ Java is more dynamic language than C & C++. ◊ Java programs carry with them substantial amounts of run time type information that is used to verify and resolve accesses to objects at run time.
  • 11.
    Introduction to JavaProgramming 1.11 ◊ Libraries can freely add new methods and instance variables without any effect on their client. viii) High Performance Interpretation of byte codes performance was slow in the early versions. But updated version of java virtual machines uses adaptive and just-in-time compilation techniques speed up the performance. ix) Robust and secure Java provides strict compile time error checking and run time error checking. It incorpate concept of exception handling which capture series of errors. Eliminate any risks of crashing the system. x) Secure With Java's secure feature it enables to develop virus-free, tamper-free systems. Authentication techniques are based on public-key encryption. 1.6 Structure of Java Program A java program may contain many classes of which only one class defines a main method. Classes contain data member and methods that operate on the data members of the class. Methods may contain data type declarations and executable statements. Documentation Section Package Statement import Statement interface Statement class Definition Suggested Optional Optional Optional Atleast one class main Method { Only one main ---method } Figure 1.7 Structure of a Java Program Documentation Section It is a set of comment line giving the name of the program, the author and other details, which the programmer would like to refer. Comments must explain why and what of classes and how of algorithms. Comments can be given by the following  // This is one line commands  /** This is multiple line comments. This is used for generate automatically. */
  • 12.
    1.12 Java ProgrammingParadigms Package The first statement in java source code file is package statement. This statement declares a package name and informs the compiler that the classes defined here belongs to this package. Ex:package travel; Inside this package we can declare class, methods and variables. If this package has public declaration of classes, methods and variable then it can be accessed from anywhere. Package statement is optional statement. import statement Next to package statement is import statement. Two import statements 1) System import (built in) Example import java.io.*; import java.awt.*; 2) User import (package created by the user) import travelpackage.*; This statement instructs the interpreter to load the test class contained in the package travelpackage. import travelpackage.*; // *(star) represents it will load all the classes, methods and variable in the package. Import statement is optional statement. interface statement An interface is like a class but include a group of method declaration, and method definition (coding) will be in the subclass. Multiple inheritances were not supported in java. So we implement the multiple inheritance using interfaces keyword. Example of declaring interface interface interfacename; class definitions Java program may contain multiple class definitions, in a single program for execution any one of the class must contain main() method. These classes are used to map the objects of real world problems. Example of class declaration class classname { // coding }
  • 13.
    Introduction to JavaProgramming 1.13 main method Every program has main method where the execution is started. This is essential part of a java program. A simple java program may contain only this part. The main method creates objects of various classes and establishes communications between them. On reaching the end of the main, the program terminates and the control passes back to the operating system. 1.7 Creating a Simple Java Program Write a simple java program in a notepad or in java text editor. Create a class name SimpleProgram that contains only main method and prints a message “Welcome to Java Programming Paradigms”. Simple Java Program class SimpleProgram { public static void main(String[] args) { System.out.println(“Welcome to Java Programming Paradigms”); } } Program 1.1 Simple java program To compile: javac SimpleProgram.java To run (or) execute: java SimpleProgram Output Welcome to Java Programming Paradigms Let us explain the program line by line and understand the unique features that contain java program. And how to compile and execute the java program. Class Declaration The first line class SimpleProgram {….} declares the classname as SimpleProgram in java. A class code starts with { and ends with a}. public static void main(String args[]) o public is an access specifier that is visible to all, so other classes can make access of this class. o static is a keyword it is used before the main() method, so while executing the class file, the main() method is called automatically without creating an object. o void is a keyword, that is not a return type. o main() the execution starts from the main method. In a java source file there should be only one main() method. o String args[] the main method has the parameter names args[] as string array.
  • 14.
    1.14 Java ProgrammingParadigms System.out.println(“Welcome to Java Programming Paradigms”); The println statement will print the statement i.e. given in “…” and allow next print statement to print in new line. If you use the statement system.out.print(“Welcome to Java Programming Paradigms”); The print statement will print the statement i.e. given in “…” and allow next print statement to print in same line. SetPath If the java source file is not in (java bin) location then we need to set path for the file before compiling and executing a java program. To set path: set path=“C:Program Filesjavajdk1.6.0_07bin” This “C:Program Filesjavajdk1.6.0_07bin” may change according to your java installed location and version based. Compile While compiling a java file. It should be compiled with the file name. For example if the file name is firstprogram.java Then the compile statement must be javac firstprogram.java If the class name is declared as public then the class name and the file name should be same, if the file is compiled successfully we will get a .class file Executing If we get a .class file, then we can executing a java file, it should be executed with the main method classname. For example if the main method class name is SimpleProgram, Execution statement is like java SimpleProgram.java 1.8 Java Virtual Machine Java Virtual Machine (JVM) is the heart of entire Java program execution process. First of all, the .java program is converted into a .class file consisting of byte code instructions by the java compiler at the time of compilation. Remember, this java compiler is outside the JVM. This (.class) file is given to the JVM. The figure 1.2 shows the architecture of Java Virtual Machine. In JVM, there is a module (or program) called class loader sub system, which performs the following instructions: · First of all, it loads the .class file into memory. · Then it verifies whether all byte code instructions are proper or not. If it finds any instruction suspicious, the execution is rejected immediately. If the byte instructions are proper, then it allocates necessary memory to
  • 15.
    Introduction to JavaProgramming 1.15 execute the program. This memory is divided into 5 parts, called run time data areas, which contain the data and results while running the program. These areas are as follows:  Method area Method area is the memory block, which stores the class code, code of the variables and code of the methods in the Java program.  Heap This is the area where objects are created. Whenever JVM loads a class, method and heap areas are immediately created in it.  Java Stacks Method code is stored on Method area. But while running a method, it needs some more memory to store the data and results. This memory is allotted on Java Stacks. So, Java Stacks are memory area where Java methods are executed. While executing methods, a separate frame will be created in the Java Stack, where the method is executed. JVM uses a separate thread (or process) to execute each method.  PC(Program Counter) Method code is stored on Method area. But while running a method, it needs some more memory to store the data and results. This memory is allotted on Java Stacks. So, Java Stacks are memory area where Java methods are executed. While executing methods, a separate frame will be created in the Java Stack, where the method is executed. JVM uses a separate thread (or process) to execute each method.  Native Method Stacks Java methods are executed on Java Stacks. Similarly, native methods (for example C/C++ functions) are executed on Native method stacks. To execute the native methods, generally native method libraries (for example C/C++ header files) are required. These header files are located and connected to JVM by a program, called Native method interface. Execution Engine contains interpreter and JIT compiler which translates the byte code instructions into machine language which are executed by the microprocessor. Hot spot (loops/iterations) is the area in .class file i.e. executed by JIT compiler. JVM will identify the Hot spots in the .class files and it will give it to JIT compiler where the normal instructions and statements of Java program are executed by the Java interpreter. Review Questions Part- A (2 marks) 1) What is object oriented programming? 2) Define the terms.
  • 16.
    1.16 Java ProgrammingParadigms i) object ii) classes iii) data abstraction iv) encapsulation v) inheritance vi) polymorphism vii) methods and messages. 3) What is java? 4) What are the principal concepts of OOPS? 5) Distinguish between the following terms i) Objects and Classes ii) Data abstraction and encapsulation iii) Inheritance and Polymorphism 6) List the applications of java. 7) What are the advantages of java? 8) List the features of java. 9) Why java is called platform independent language? 10) Give the structure of java. 11) Write a simple program for java. 12) What is java virtual machine? Part-B 1) 2) 3) 4) 5) Explain OOPS concept in detail. List the features of java and explain them in detail. Explain the structure of java. Write a simple java program and explain each line in detail. Explain java virtual machine.