Fundamentals Of Quantum Computing Part I Pradosh K Roy FIETE , C.Eng Professional Alumnus , Massachusetts Institute of Technology 1
1.Computational Complexity : NP Complete Class , BQP Class 2. Essential Matrix Algebra : Hermitian , Unitary , Normal Matrices 3. Classical versus Quantum World Registers and Two State Quantum Systems 4. Characteristics of Quantum Systems Superposition , Qubit , Born Normalization , Bloch Diagram Representation , Computational Basis Tensor Product , 2 Qubit Register , n Qubit Register , Problems and Solutions 5. Quantum Logic Gates and Quantum Circuits Pauli Spin Gates X , Y , Z ; Rotation Gate 𝑅 πœƒ Hadamard Gate , Bloch Diagram Representation 2 Qubit Gates : CNOT Gate , CH Gate Problems and Solutions 6. Matrix Representation of Serial and Parallel Operations 7. Elementary Arithmetic Operations. Selected References 2
1. Computational Complexity : NP Complete Class Complexity of a problem T(n)  Time required to solve it and measured in the number of elementary steps required by the algorithm . The complexity T(n) is a function of the size of the problem n. The kind of problems that computers can solve in a reasonable amount of time, even for large values of n, are those for which an algorithm exists that uses a number of steps governed by a polynomial e.g. an3 + bn2 +c . Leaving the low order terms such as bn2 and the constants in the above example , we say that the complexity of the algorithm is O(n3). β€œComputer scientists call such an algorithm efficient, and problems that can be solved by an efficient algorithm are said to be in the Complexity Class P, which stands for polynomial time” . 3
Computational Complexity : NP Complete Class However , there are problems for which the complexity increases exponentially with the problem size n e.g 2 𝑛, 3 𝑛….. This class known as Nondeterministic Polynomial (NP) contains a huge number of problems of practical interest in physical sciences, engineering, economics, and biological sciences. It may be noted that P problems are contained in NP Class, 𝑷 βŠ† 𝑡𝑷 . Hardest of the NP problems are known as NP Complete Class. Stephen Cook, An Overview of Computational Complexity , CACM Volume 26 Number 6 , June 1983 4
Linear -- O(n) , Quadratic -- O(n2) ,Cubic -- O(n3) Logarithmic -- O(log n) Exponential -- O(2n) Square root -- O( 𝑛) Exponential Class Logarithmic Class Polynomial Class Grover Algorithm Shor’s Algorithm Classical Integer Factoring 𝑂 [𝑒1.9 π‘™π‘œπ‘”π‘› 1 3 (loglog 𝑛) 2 3 ] Classical Dbase Search 5
Scot Aronson , The limits of Quantum , Scientific American , March 2008 6
Best Known Classical Algorithm 𝑢 [𝒆 𝟏.πŸ— π’π’π’ˆπ’ 𝟏 πŸ‘ (π’π’π’ˆ π’π’π’ˆ 𝒏) 𝟐 πŸ‘ Peter Shor’s Quantum Algorithm 𝑢 [(π₯𝐨𝐠 𝒏) 𝟐 (π₯𝐨𝐠 π₯𝐨𝐠 𝒏)(π₯𝐨𝐠 π₯𝐨𝐠 π₯𝐨𝐠 𝒏) Estimate the time difference for n=1000 A Simple Example : Integer Factoring Algorithm 7
2. Essential Matrix Algebra Rows : m Horizontal list of Scalars Columns : n Vertical list of Scalars 8 SeymourLipschutz,MarcLarsLipson,LinearAlgebra4thEdition, Schaum’sOutlineSeries,2009
Matrix Multiplication 9 Matrix Addition
10 Matrix Multiplication
11 Transpose of a Matrix
12
13 Special Real Square Matrices : Symmetric , Orthogonal , Normal
14
15
16 Let A be a complex matrixβ€”that is, a matrix with complex entries. Recall that if z = a+ jb is a complex number, then z =a-jb is its conjugate. The conjugate of a complex matrix A, written A* , is the matrix obtained from A by taking the conjugate of each entry in A. That is, if 𝐀 = π‘Žπ‘–π‘— then π΄βˆ— = 𝑏𝑖𝑗 π‘€β„Žπ‘’π‘Ÿπ‘’ 𝑏𝑖𝑗 = π‘Žπ‘–π‘— βˆ— The two operations of transpose and conjugation commute for any complex matrix A, and the special notation 𝑨 𝐻 is used for the conjugate transpose of A. That is 𝑨 𝐻 = π‘¨βˆ— 𝑇 = 𝑨 𝑇 βˆ— .It may be noted that if A is real , then 𝑨 𝐻 = 𝐴 𝑇 Complex Matrices
17 A complex matrix A is said to be Hermitian or skew-Hermitian according as to whether 𝑨 𝐻 = 𝑨 π‘œπ‘Ÿ 𝑨 𝐻 = βˆ’π‘¨ Thus 𝐀 = π‘Žπ‘–π‘— is Hermitian if and only if symmetric elements are conjugateβ€”that is, if each π‘Žπ‘–π‘—= π‘Žπ‘—π‘– βˆ— in which case each diagonal element π‘Žπ‘–π‘– must be real. Similarly, if A is skew-symmetric, then each diagonal element π‘Žπ‘–π‘– = 0 . A complex matrix A is Unitary if 𝑨 𝑯 π‘¨βˆ’πŸ = π‘¨βˆ’πŸ 𝑨 𝑯 = 𝑰 that is, if 𝑨 𝑯 = π‘¨βˆ’πŸ Thus, A must necessarily be square and invertible. We note that a complex matrix A is unitary if and only if its rows (columns) form an orthonormal set relative to the dot product of complex vectors. Unitary operators are important because they describe the time evolution of a quantum state. The Pauli operators are both Hermitian and Unitary.
18 A complex matrix A is said to be Normal if it commutes with 𝑨 𝐻 that is, if 𝑨𝑨 𝑯 = 𝐴 𝐻 𝑨 . Thus, A must be a square matrix. Hermitian and unitary operators are normal. Seymour Lipschutz, Marc Lars Lipson, Linear Algebra 4th Edition , Schaum’s Outline Series , 2009
19 2x2 Matrices Frequently Used in Quantum Computing Definition . The Pauli Matrices With respect to the computational basis , the matrix representation of the Pauli Matrices X , Y and Z are given by 𝑿 = 𝟎 𝟏 𝟏 𝟎 , 𝒀 = 𝟎 βˆ’π’Š π’Š 𝟎 , 𝒁 = 𝟏 𝟎 𝟎 βˆ’πŸ Definition . The 2x2 Identity Matrix 𝐈 = 𝟏 𝟎 𝟎 𝟏
Quantum Computation represents an important change of paradigm, where the concept of bit gets transformed into a quantum bit, or qubit, which affords for an enormous information storage and processing capacity. In this course, the basic concepts of Quantum Computation will be introduced at a conceptual level. 20 3. Classical vs Quantum World
Quantum Computation is becoming a viable alternative for High Complexity Problems, too hard to address in classical computation, with or without acceleration. Recently, IBM , Google has demonstrated that there are particular problems that can be solved efficiently on a quantum computer, while demanding prohibitively high resources in classical computation. 21 Classical vs Quantum World
22 Binary digit, the bit represents a logical state , having only one of two values . It may be physically implemented with a two-state device e.g. flip-flop circuit. These values are most commonly represented as either 0 or1, but other representations such as true/false, yes/no, +/βˆ’, or on/off are common. The correspondence between these values and the physical states of the underlying storage or device is a matter of convention, and different assignments may be used even within the same device or program Bits and Instruction Set Architectures
Registers are primitives used in hardware design that are also visible to the programmer when the computer is completed, so you can think of registers as the bricks of computer construction 23 Bits and Instruction Set Architectures The MIPS word is 32 bits long, so we can represent 232 different 32-bit patterns. It is natural to let these combinations represent the numbers from 0 to 𝟐 πŸ‘πŸ βˆ’ 𝟏
1. Instructionsarerepresentedasnumbers. 2. Programs are stored in memory to be read or written, just like data. These principles lead to the Von Neumann stored-program concept; One consequence of instructions as numbers is that programs are often shipped as files of binary numbers. The commercial implication is that computers can inherit ready-made software provided they are compatible with an existing instruction set. Such β€œbinary compatibility” often leads industry to align around a small number of instruction set architectures 24 Bits and Instruction Set Architectures
25 Bits and Instruction Set Architectures
26 Any two-level quantum system can form a qubit, and there are two predominant ways to form a qubit using the electronic states of an ion: 1. Two ground state Hyperfine levels (these are called "hyperfine qubits") 2. A Ground state level and an Excited level (these are called the "optical qubits") Qubits & Historical Two-State Atomic Systems
27
1. Wave-particle dualityβ€”A quantum object generally has both wave- and particle-like properties. While the evolution of the system follows a wave equation, any measurement of the system will return a value consistent with it being a particle 2. Superpositionβ€”A quantum system can exist in two or more states at once, referred to as a β€œsuperposition” of states or a β€œsuperposition state.” The wave function for such a superposition state can be described as a linear combination of the contributing states, with complex coefficients. These coefficients describe the magnitude and relative phases between the contributing states. 3. Coherenceβ€”When a quantum system’s state can be described by a set of complex numbers, one for each basis state of the system, the system state is said to be β€œcoherent.” Coherence is necessary for quantum phenomena such as quantum interference, superposition, and entanglement. Small interactions with the environment cause quantum systems to slowly decohere. The environmental interactions make even the complex coefficients for each state probabilistic. 4. Characteristics of Quantum Systems 28
4. Entanglementβ€”Entanglement is a special property of some (but not all) multi-particle superposition states, where measurement of the state of one particle collapses the state of the other particles, even if the particles are far apart with no apparent way to interact. This arises when the wave functions for different particles are not separable (in mathematical terms, when the wave function for the entire system cannot be written as a product of the wave functions for each particle). There is no classical analogue to this phenomenon. 5. Measurementβ€”Measurement of a quantum system fundamentally changes it. In the case where the measurement yields a well-defined value, the system is left in a state corresponding to the measured value. This is commonly referred to as β€œcollapsing the wave function.” Characteristics of Quantum Systems 29
30 5.111 Principles of Chemical Science https://ocw.mit.edu/courses/chemistry/5-111-principles-of-chemical-science-fall-2008/ Energy level diagram for the H atom : Optical Qubit
31 Consider a system with k distinguishable states [Energy level of Hydrogen Atom]. For example, the electron in an atom might be either in its ground state or one of kβˆ’1 excited states, each of progressively higher energy. As a classical system, we might use the state of this system to store a number between 0 and kβˆ’1. The superposition principle says that if a quantum system is allowed to be any one of number of different states then it can also be placed in a linear superposition of these states with complex coefficients. Thus the quantum state of the k-state system above is described by a sequence of k complex numbers π‘Ž0, π‘Ž1, … … … π‘Ž π‘˜βˆ’1. The superposition principle π‘Žπ‘— 𝑖𝑠 said to be the amplitude for the state j. We will require that the amplitudes are normalized so that sum of the amplitudes squared is one. It is natural to write the state of the system as a k dimensional vector π‘Ž0 π‘Ž1 . . . π‘Ž π‘˜βˆ’1 CS 294-2 Lecture 1 Introduction, Axioms, Bell Inequalities , Spring 2007 Umesh Vazirani , UC Berkeley,
32 This linear superposition |πœ“ > = 0 π‘˜βˆ’1 π‘Žπ‘—|𝑗 > is part of the private world of the electron. For us to know the electron’s state, we must make a measurement. Measuring |πœ“ > in the standard basis |0> , |1> yields with probability |π‘Žπ‘—|2 . One important aspect of the measurement process is that it alters the state of the quantum system: the effect of the measurement is that the new state is exactly the outcome of the measurement. i.e., if the outcome of the measurement is j, then following the measurement, the qubit is in state |j> . This implies that you cannot collect any additional information about the amplitudes π‘Žπ‘— by repeating the measurement. This property forms the basis of quantum cryptography where the presence of an eavesdropper necessarily alters the quantum state being transmitted. The Measurement Principle CS 294-2 Lecture 1 Introduction, Axioms, Bell Inequalities , Spring 2007 Umesh Vazirani , UC Berkeley,
33 This basic unit of information in quantum computing is called the qubit, which is short for quantum bit . While a qubit is going to look in some way superficially similar to a bit, it is fundamentally different which allows us to do information processing in new and interesting ways. Like a bit, a qubit can also be in one of two states. In the case of a qubit, for reasons that for the moment will seem utterly obscure, we label these two states by |0> and |1> In quantum theory an object enclosed using the notation | > can be called a state, a vector, or a ket
𝝍 > = 𝜢 𝟎 > + 𝜷 |𝟏 > While amplitudes 𝜢 𝒂𝒏𝒅 𝜷 are complex numbers , the probability of finding the system in the state |𝟎 > π’Šπ’” 𝜢 𝟐 and the probability of finding the system in the state |𝟏 > π’Šπ’” |𝜷 | 𝟐 . 𝜢 𝐚𝐧𝐝 𝜷 are constrained by the Max Born’s Normalization Condition : |𝜢 | 𝟐 + |𝜷 | 𝟐 = 𝟏 . The states |𝟎 > 𝒂𝒏𝒅 |𝟏 > can also be represented by the column vectors |𝟎 > = 𝟏 𝟎 |𝟏 > = 𝟎 𝟏 1 Qubit Register |πœ“ > 34 |𝜢| 𝟐 = πœΆβˆ— 𝜢 , |𝜷| 𝟐 = πœ·βˆ— 𝜷 𝝍 > = 𝜢 𝟎 > + 𝜷|𝟏 > = 𝜢 𝟏 𝟎 + 𝜷 𝟎 𝟏 = 𝜢 𝜷
The Dual Vector < πœ“| 35 In quantum physics < 𝝍| is sometimes called the dual vector If a ket is a column vector, the dual vector < 𝝍| is a row vector whose elements are the complex conjugates of the elements of the column vector. In other words, when working with column vectors, the Hermitian conjugate is computed in two steps: 1. Write the components of the vector as a row of numbers. 2. Take the complex conjugate of each element and arrange them in a row vector
36 |𝝍 >= π’Š 𝟐 |𝟎 > + βˆšπŸ‘ 𝟐 |𝟏 > The Column Vector Representation of this state is |𝝍 > = π’Š 𝟐 πŸ‘ 𝟐 The dual vector is found by computing the complex conjugate of each element and then arranging the result as a row vector. In this case < 𝝍| = βˆ’π’Š 𝟐 βˆšπŸ‘ 𝟐
37 Using the dual vector to find the inner product makes the calculation easy. The inner product or scalar product is calculated in the following way: < 𝒂|𝒃 > = 𝒂 𝟏 βˆ— 𝒂 𝟐 βˆ— … … . 𝒂 𝒏 βˆ— 𝒃 𝟏 𝒃 𝟐 . . . . 𝒃 𝒏 = 𝒂 𝟏 βˆ— 𝒃 𝟏 + 𝒂 𝟐 βˆ— 𝒃 𝟐 + β‹― … … … 𝒂 𝒏 βˆ— 𝒃 𝒏 = π’Š=𝟏 𝒏 π’‚π’Š βˆ— π’ƒπ’Š The Inner Product < πœ“|πœ“ >
Visual Representation of a Qubit : Bloch Sphere 38
39 Emily Grumbling and Mark Horowitz ; Quantum Computing: Progress and Prospects ; Washington, DC: The National Academies Press. 2019 ; Pp.272 When a qubit is in the state | ψ⟩ = | 0⟩, the result of measurement will be |0> with a probability of 100 percent , which is not unlike what happens with a classical bit. Similarly, measurement of a qubit in state | ψ⟩ = | 1⟩ will yield an outcome of |1> with a probability of 100 % For a qubit in a superposition state, the outcome is less simpleβ€”the outcome of measurement, even of a known state, cannot be predicted with certainty. For example , the superposition state |ψ> = 1/√2 |0> + 1/√2 |1> has an equal probability (50 percent) of yielding either outcome (probability being the square of the amplitude, or Β½). Repeated preparation and measurement of this state will yield a random sequence of outcomes approaching an equal incidence of each as the number of trials increases, as would a classical coin flip. Accordingly, this state can be thought of as a β€œquantum coin.” After measuring a certain value, the qubit is left in the state corresponding to that value. For example, if the outcome of measurement is 1, the post measurement qubit is in the state | ψ⟩ = | 1⟩, regardless of the state it was in prior to measurement. Measurement of a Qubit
1 Qubit Examples 40 Emily Grumbling and Mark Horowitz ; Quantum Computing: Progress and Prospects ; Washington, DC: The National Academies Press. 2019 ; Pp.272
41 For each of the following qubits , if a measurement is made what is the probability that we find the qubit in state |0> ? Problem 4.1
42 Example. The Pauli Operators are given by 𝑿 = 𝟎 𝟏 𝟏 𝟎 , 𝒀 = 𝟎 βˆ’π’Š π’Š 𝟎 , 𝒁 = 𝟏 𝟎 𝟎 βˆ’πŸ in the |0> , |1> basis. Find the action of these operators on the basis states by considering the column vector representations of |0> and |1>. Recall that the basis states are given by |𝟎 > = 𝟏 𝟎 𝒂𝒏𝒅 |𝟏 > = 𝟎 𝟏 It may be easily verified that 𝑿|𝟎 > = 𝟎 𝟏 𝟏 𝟎 𝟏 𝟎 = 𝟎 𝟏 = |𝟏 > 𝑿|𝟏 > = 𝟎 𝟏 𝟏 𝟎 𝟎 𝟏 = 𝟏 𝟎 = |𝟎 > 𝒀|𝟎 > = 𝟎 βˆ’π’Š π’Š 𝟎 𝟏 𝟎 = 𝟎 π’Š = π’Š|𝟏 > 𝒀|𝟏 > = 𝟎 βˆ’π’Š π’Š 𝟎 𝟎 𝟏 = βˆ’π’Š 𝟎 = βˆ’π’Š|𝟎 > 𝒁|𝟎 > = 𝟏 𝟎 𝟎 βˆ’πŸ 𝟏 𝟎 = 𝟏 𝟎 = |𝟎 > 𝒁|𝟏 > = 𝟏 𝟎 𝟎 βˆ’πŸ 𝟎 𝟏 = 𝟎 βˆ’πŸ = βˆ’|𝟏 >
43 Representing Composite States Let ||πœ‘ > ∈ 𝑯 𝟏 and |πœ’ > ∈ 𝑯 𝟐 be two vectors that belong to the Hilbert spaces used to construct H. We can construct a vector |πœ“ > ∈ 𝐻 using the tensor product in the following way: |𝝍 > = |𝝓 > |𝝌 >
44
A Two Qubit Register is the superposition of four states represented as Kronecker or Tensor Product among two qubits ( represented with the symbol ) as (𝜢 𝟏|𝟎 > + 𝜷 𝟏 𝟏 > βŠ— (𝜢 𝟐|𝟎 > + 𝜷 𝟐 𝟏 > = (𝜢 𝟏 𝜢 𝟐 |𝟎 > |𝟎 > + β‹― … … … requiring four complex constants to fully describe the quantum state. 2 Qubit Register |πœ“πœ‘ > : Tensor Product 45 𝛙 > = 𝐚 𝟎 𝟎𝟎 > + 𝐚 𝟏 𝟎𝟏 > + 𝐚 𝟐 𝟏𝟎 > + 𝐚 πŸ‘|𝟏𝟏 >
2 Qubit states : Tensor Product of 1 Qubit states 46
|𝟎𝟎 > = 1 0 0 0 , |𝟎𝟏 > = 0 1 0 0 , |𝟏𝟎 > = 0 0 1 0 , |𝟏𝟏 > = 0 0 0 1 2 Qubit Register : Representation as Column Vectors 47
48 If two qubit states are represented by Calculate the tensor product |π‘Ž > |𝑏 > Problem 4.2 McMahon, David M. , Quantum Computing Explained 2008 by John Wiley & Sons Inc ., New Jersey.
49 Solution 4.2 McMahon, David M. , Quantum Computing Explained 2008 by John Wiley & Sons Inc ., New Jersey.
50 Solution 4.2 McMahon, David M. , Quantum Computing Explained 2008 by John Wiley & Sons Inc ., New Jersey. 𝝍 > = 𝜢 𝟎 𝟎𝟎 > + 𝜢 𝟏 𝟎𝟏 > + 𝜢 𝟐 𝟏𝟎 > + 𝜢 πŸ‘|𝟏𝟏 > Verify that the sum of probabilities of the 2 qubit states is 1. Compare the result with the general expression for a 2 qubit register and find the coefficients 𝜢 𝟎 , 𝜢 𝟏, 𝜢 𝟐, 𝜢 πŸ‘
51
52 Consider 2 Quantum States |πœ“ > = 1 2 |0 > βˆ’ 𝑖 2 |1 > π‘Žπ‘›π‘‘ |πœ™ > = 1 2 |0 > + 𝑖 2 |1 > Calculate (i) πœ“ > πœ™ > ; 𝑖𝑖 < πœ“| < πœ™| 𝑖𝑖𝑖 𝑋 𝐼 πœ“ > πœ™ > ; (𝑖𝑣)𝑋 𝐼(< πœ“| < πœ™|) Problem 4.3 Homework C191 University of California , Berkeley
53 Solution 4.3 Homework C191 University of California , Berkeley
54 Solution 4.3 Homework C191 University of California , Berkeley
55 If |πœ“ > = 1 2 (|0 > |0 > βˆ’|0 > |1 > +|1 > |0 > βˆ’|1 > |1 > ) could it be written as a product state ? Problem 4.4 McMahon, David M. , Quantum Computing Explained 2008 by John Wiley & Sons Inc ., New Jersey.
56 If two states are not entangled, we say that they are a product state or separable. If |πœ“ > ∈ 𝑯 π‘Ž and |πœ‘ > ∈ 𝑯 𝑏 and |πœ’ > = |πœ“ > |πœ™ >, then |πœ’ > is a product state. Theorem. Let |πœ“ > = π‘Ž 𝑏 𝑐 𝑑 , the state is separable only if ad = bc 2 Qubit State : Entanglement
57 Bell States
58 A system of two qubits is in the state |00> . We operate on this state with HβŠ—H, where H is the Hadamard matrix. Is the state H βŠ—H |00> entangled? Problem 4.5 𝐻 = 1 √2 1 1 1 βˆ’1 , 𝐻 𝐻 = 1 √2 𝐻 𝐻 𝐻 βˆ’π» ,and |00 > = 1 0 0 0 , Hence This is also a product state
59 Emily Grumbling and Mark Horowitz ; Quantum Computing: Progress and Prospects ; Washington, DC: The National Academies Press. 2019 ; Pp.272
And a Three Qubit Register is the superposition of eight states πœ“ο¦ο£ > = 𝛼0 000 > + 𝛼1 001 > + 𝛼2 010 > + 𝛼3 011 > + 𝛼4 100 > + β‹― . . , Let’s consider a 3 qubit register with three pairs of amplitudes 𝛼𝑖, 𝛽𝑖 such as 1/√2 1/√2 1/√2 βˆ’1/√2 1/2 3/2 The above result means that the probabilities to represent the states |000> , ……. |111> are 1/16, 3/16, …… 3/16 respectively. Consequently a 3 qubit register contains the information of eight states. 3 Qubit Register : |πœ“ > |πœ‘ > |πœ’ > 60
|000 > = 1 0 0 0 0 0 0 0 , |001 > = 0 1 0 0 0 0 0 0 , |010 > = 0 0 1 0 0 0 0 0 , |011 > = 0 0 0 1 0 0 0 0 |100 > = 0 0 0 0 1 0 0 0 , |101 > = 0 0 0 0 0 1 0 0 , |110 > = 0 0 0 0 0 0 1 0 , |111 > = 0 0 0 0 0 0 0 1 3 Qubit Register : Representation as Column Vectors 61
3 Qubit Register : Representation as Column Vectors Quantum Registers are Straightforward Extension of Quantum Bits (qbits) 62
63 Let’s consider a 3 qubit register with three pairs of amplitudes πœΆπ’Š, πœ·π’Š such as 𝟏/√𝟐 𝟏/√𝟐 𝟏/√𝟐 βˆ’πŸ/√𝟐 𝟏/𝟐 πŸ‘/𝟐 Show that the 3 qubit register is represented by : Problem 4.6
64 The three pairs of amplitudes 𝛼𝑖, 𝛽𝑖 are 1/√2 1/√2 1/√2 βˆ’1/√2 1/2 3/2 The 1 qubit registers are |ψ> = 1/√2 |0> +1/√2 |1> |Ο•> =1/√2 |0> - 1/√2 |1> |Ο‡> = 1/( 2) |0> +(√3)/√2 |1> The 3 bit register is represented by |ψ> |Ο•> |Ο‡> = ( 1/√2 |0> +1/√2 |1> ) (1/√2 |0> -1/√2 |1>) (1/ 2|0> +(√3)/2 |1> ) Problem 4.6
This scheme could be generalised to n qubits whose general state can be any superposition of 2n different classical states , with amplitudes whose squared magnitudes sum to unity : |πœ“ > = 0≀π‘₯<2 𝑛 𝛼 π‘₯ |π‘₯ > 𝑛 ; 0≀π‘₯<2 𝑛 |𝛼 π‘₯| 2 = 1. In the context of quantum computation, the set of 2n classical states – all the possible Tensor Products of n individual qubit states |0 > π‘Žπ‘›π‘‘ |1 > – is called the computational basis n Qubit Register 65 A collection of n qubits is called a quantum register of size n.
66 Classically, if we put together a subsystem that stores k bits of information with one that stores l bits of information, the total capacity of the composite system is k+l bits. Or put another way, if k bits of information are required to describe the state of the first subsystem and l bits to describe the second, then k+l bits suffice to describe the composite system. From this viewpoint, the situation with quantum systems is extremely paradoxical. We need k complex numbers to describe the state of a k-level quantum system. Now consider a system that consists of a k-level subsystem and an l-level subsystem. To describe the composite system we need kl complex numbers The Significance of Tensor Products CS 294-2 Lecture 2 Hilbert Spaces, Tensor Products, Quantum Gates, Bell Sates , Spring 2007 Umesh Vazirani , UC Berkeley
67 If the state of the system was known to be a tensor product state|πœ™ > |πœ“ > then only k+l complex numbers would suffice. It follows that most states of the composite system are not tensor product states. They are entangled states. This brings up another question: one might wonder where nature finds the extra storage space when we put these two subsystems together. An extreme case of this phenomenon occurs when we consider an n qubit quantum system. The Hilbert space associated with this system is the n-fold tensor . Thus nature must β€œremember” of 2 𝑛 complex numbers to keep track of the state of an n qubit system. For modest values of n of a few hundred, 2 𝑛 is larger than estimates on the number of elementary particles in the Universe. This is the fundamental property of quantum systems that is used in quantum information processing. Finally, note that when we actually a measure an n-qubit quantum state, we see only an n-bit string - so we can recover from the system only n, rather than 2 𝑛 , bits of information. The Significance of Tensor Products CS 294-2 Lecture 2 Hilbert Spaces, Tensor Products, Quantum Gates, Bell States , Spring 2007 Umesh Vazirani , UC Berkeley
Tensor Product of Matrices 68
69 Example Find the Tensor Product of Pauli Matrices X and Z
70 Problem 4.7 McMahon, David M. , Quantum Computing Explained 2008 by John Wiley & Sons Inc ., New Jersey.
71 Solution 4.7
3 Level Quantum Systems : Qutrit Extending the scheme to three-levels , we can define a system where the basic unit of memory is called a qutrit. It has three basis states, |0⟩, |1⟩, and |2⟩.The state of the qutrit can be represented as a superposition in the form of a linear combination: |𝝍 > = 𝜢 𝟎 > + 𝜷 𝟏 > +𝜸 |𝟐 > With a normalization constraint 𝜢 𝟐 + 𝜷 𝟐 + 𝜸 𝟐 = 𝟏 A system containing n qutrits has πŸ‘ 𝒏 basis states ( as opposed to 𝟐 𝐧 states for qubits). 72
Multilevel Quantum Systems : Qudit Generalizing the scheme we can define qudit as a quantum unit of information, which may be in any of 𝑛 basis states |0⟩, |1⟩, |2⟩, . . . |𝑛 βˆ’ 1⟩ or in any superposition of those. |𝝍 > = 𝜢 𝟎 𝟎 > + 𝜢 𝟏 𝟏 > +𝜢 𝟐 𝟐 > + β‹― … 𝜢 𝒏 𝒏 βˆ’ 𝟏 > with a normalization constraint 𝜢 𝟎 𝟐 + 𝜢 𝟏 𝟐 + 𝜢 𝟐 𝟐 + β‹― … … . 𝜢 𝒏 𝟐 = 𝟏 The state of the qudit can also be generally represented as the following column matrix |𝝍 > = ( 𝜢 𝟎 , 𝜢 𝟏 , 𝜢 𝟐 , … … … . . 𝜢 𝒏) 𝑻 73
74 The expectation value of an operator is the mean or average value of that operator with respect to a given quantum state i.e. superposition state . In other words, we are asking the following question: If a quantum state |ψ> is prepared many times, and we measure a given operator A each time, what is the average of the measurement results? We write the expectation value as < 𝑨 > = < 𝝍 𝑨 𝝍 > The Expectation Value of an Operator
75 Problem 4.8 McMahon, David M. , Quantum Computing Explained 2008 by John Wiley & Sons Inc ., New Jersey.
76 Recalling X|0> = |1> and X|1> = |0> , we get Solution 4.7 McMahon, David M. , Quantum Computing Explained 2008 by John Wiley & Sons Inc ., New Jersey.
77 An operator acts on qutrit basis in the following way 𝐴|0 > = 1 > , 𝐴 1 > = 1/ 2( 0 > + 1 > , 𝐴 2 > = 0 Find <A> for the state πœ“ > = 1/2 0 > βˆ’π‘–/2|1 > + 1 2 |2 > Problem 4.9 McMahon, David M. , Quantum Computing Explained 2008 by John Wiley & Sons Inc ., New Jersey.
78 Solution 4.9 McMahon, David M. , Quantum Computing Explained 2008 by John Wiley & Sons Inc ., New Jersey.
In classical computing sets of logic gates are connected to construct digital circuits. Similarly quantum logic gates compute the output states from the input states where the inputs in general are superposition states. Mathematically, quantum gates are described by the Unitary Matrices, and their application is accomplished through multiplication of the respective matrix by the state vector . Since these unitary transformations are rotations in the Bloch Sphere then Q- gates are reversible gates. For 1-qubit we require a matrix of degree 2 i.e. a quantum gate acting on a single qubit will be 2x2 unitary matrix. A 2-qubit gate can be implemented with a 4x4 matrix. It is known that a handful of single-qubit gates and one two-qubit gate are sufficient to implement an arbitrary quantum algorithm. 5. Quantum Gates and Circuits 79
80
Quantum Gates Quantum gates are fundamentally Unitary Matrices, and their applications are accomplished through multiplication of the respective matrix by the state vector. Theorem 5.1 It is now mathematically established that a couple of single- qubit gates and one two-qubit gate are sufficient to implement an arbitrary quantum algorithm. Quantum Gates and Circuits 81
82 Quantum Circuit including a Quantum Register , input state |ψ> , information processing step U(t) and output , as a result of measuring or observing the sate of each qubit. Quantum Genetic Algorithms for Computer Scientists, Rafael Lahoz-Beltra , Computers 2016, 5, 24; doi:10.3390/computers5040024
𝑿 = 𝟎 𝟏 𝟏 𝟎 , 𝒀 = 𝟎 βˆ’ π’Š π’Š 𝟎 , 𝒁 = 𝟏 𝟎 𝟎 βˆ’ 𝟏 𝑿 = 𝑼 𝑡𝑢𝑻 = 𝟎 𝟏 𝟏 𝟎 So with respect to the standards or computational basis, the X matrix acts as a NOT operator 1 qubit Quantum Gates : Pauli Matrices 83
𝑍 = 1 0 0 βˆ’ 1 The Z operator is sometimes called the phase flip gate because it takes a qubit πœ“ > = 𝛼 0 > + 𝛽|1 > into a state πœ“β€² > = 𝛼 0 > βˆ’π›½|1 > This is easy to see using the matrix representation : 1 qubit Quantum Gate : Phase flip Gate 84
1 qubit Quantum Gate : Phase Gate 85
1 qubit Quantum Gate : Rotation Gate 86 The Pauli Matrices give rise to three useful classes of unitary matrices , when they are exponentiated , the rotation operator about x,y and z axes , defined by the equations 𝑅 π‘₯ πœƒ = π‘’βˆ’π‘–πœƒπ‘Ώ/2 = πΆπ‘œπ‘  πœƒ 2 𝐼 βˆ’ 𝑖𝑆𝑖𝑛 πœƒ 2 𝑋 = πΆπ‘œπ‘  πœƒ 2 βˆ’π‘–π‘†π‘–π‘› πœƒ 2 βˆ’π‘–π‘†π‘–π‘› πœƒ 2 πΆπ‘œπ‘  πœƒ 2 𝑅 𝑦 πœƒ = π‘’βˆ’π‘–πœƒπ’€/2 = πΆπ‘œπ‘  πœƒ 2 𝐼 βˆ’ 𝑖𝑆𝑖𝑛 πœƒ 2 π‘Œ = πΆπ‘œπ‘  πœƒ 2 βˆ’π‘†π‘–π‘› πœƒ 2 𝑆𝑖𝑛 πœƒ 2 πΆπ‘œπ‘  πœƒ 2 𝑅 𝑧 πœƒ = π‘’βˆ’π‘–πœƒπ’/2 = πΆπ‘œπ‘  πœƒ 2 𝐼 βˆ’ 𝑖𝑆𝑖𝑛 πœƒ 2 𝑍 = π‘’βˆ’π‘–πœƒ/2 0 0 𝑒 π‘–πœƒ/2
1 qubit Quantum Gate : Hadamard Gate 𝑯 = 𝟏/√𝟐 𝟏 𝟏 𝟏 βˆ’ 𝟏 , 𝑯|𝝍 > = 𝟏/ 𝟐 𝟏 𝟏 𝟏 βˆ’πŸ 𝜢 𝜷 87
1 qubit Quantum Gate : Hadamard Basis That is, the Hadamard gate has turned a state that, with respect to the standard or computational basis, had the probability |𝜢| 𝟐 of finding the system in the state |0 > and the probability |𝜷| 𝟐 of finding the system in the state |1 > into a state that has the probability |𝛼|2 of finding the system in the state | +> and the probability |𝛽|2 of finding the system in the state | βˆ’> . 𝑯|𝝍 > = 𝜢 |𝟎 > +|𝟏 > 𝟐 + 𝜷 |𝟎 > βˆ’ |𝟏 > √𝟐 Define | +> = 𝟏 𝟐 (|𝟎 > + 𝟏 > 𝒂𝒏𝒅 |βˆ’ > = 𝟏/ 𝟐(|𝟎 > βˆ’|𝟏 >) 88
𝑯|𝟎 > = 𝑯 𝟏 𝟎 = 𝟏 𝟐 |𝟎 > + 𝟏 𝟐 |𝟏 > = 𝟏/√𝟐 𝟏 𝟏 . Therefore, if we measure or observe the qubit state then we will have exactly 50% chance of seeing the state as either 0 or 1. One of the applications of Hadamard gate is the initialization of a quantum register. Generalizing the H gate multiplication by |0 > to an n-qubit register that stores the value |0 𝑛 > results in a superposition or mixed state 1 qubit Quantum Gate : Hadamard Gate 89
We can prepare n- qubits in the state |0 > and apply to each qubit in parallel its own H gate to produce an equal superposition state of all the qubits in the register 𝐻 𝑛 |0 > = 1/√2 𝑛 𝑗=0 2 π‘›βˆ’1 |𝑗 > 90
91
qubit transformation with a Hadamard Gate 92
Pauli Operators and their actions on 1 qubit 93
The Hadamard gate Representation of measurement in a quantum circuit Circuit Diagram H gate 94
2 Qubit Gate : Controlled NOT We have to do it with respect to the states |00> , |01> , |10> , and |11>. The matrix will be a 4Γ—4 matrix given by 95
2 Qubit Gate : Controlled NOT The action of CNOT Gate can be described in terms of the XOR Operation as follows |π‘Ž, 𝑏 > = |π‘Ž, π‘β¨π‘Ž > If the control qubit is |0> , nothing happens to the target qubit. If the control qubit is |1> , the NOT or X Matrix is applied to the target qubit. Prove the results using Matrix Multiplication 96
Two Qubit Gate : Controlled Hadamard Gate 97
2 Qubit Gate : Controlled Hadamard Gate Find the action of the CH Gate on the input states |01> and |11> 98
99 Problem 5.1 Find the action of CH Gate when the inputs are |01> and |11> McMahon, David M. , Quantum Computing Explained 2008 by John Wiley & Sons Inc ., New Jersey.
100 The states |01> and |11> may be written in the column vector representation as |01 > = 1 0 0 1 = 0 1 0 0 |11 > = 0 1 0 1 = 0 0 0 1 McMahon, David M. , Quantum Computing Explained 2008 by John Wiley & Sons Inc ., New Jersey.
101 𝐢𝐻|11 > = 1/ 2(|10 > βˆ’ 11 > McMahon, David M. , Quantum Computing Explained 2008 by John Wiley & Sons Inc ., New Jersey.
102 M. Roetteler and K.M. Svore, 2018, Quantum computing: Codebreaking and beyond, IEEE Security & Privacy 16(5):22-36. Commonly used 1-, 2-, and 3-qubit quantum gates
103 M. Roetteler and K.M. Svore, 2018, Quantum computing: Code breaking and beyond, IEEE Security & Privacy 16(5):22-36. Commonly used 1-, 2-, and 3-qubit quantum gates
104 6. Matrix Representation of Serial and Parallel Operations It is sometimes helpful to break down the Quantum Algorithms in terms of matrices. There are two basic rules in this context . The first is that if a Set of Operations is Performed in Series, then this is represented by a Matrix Product. We represent a set of operations performed in series (i.e., in time) by starting with the first operation on the left followed by subsequent operations moving to the right.
105 The matrix representation of the following sequence of operations is written down by multiplying the matrices in reverse order 𝒁𝑯𝑷 𝜽 π‘π‘Žπ‘› 𝑏𝑒 π‘‘π‘–π‘Žπ‘”π‘Ÿπ‘Žπ‘šπ‘Žπ‘‘π‘–π‘Žπ‘™π‘™π‘¦ π‘ β„Žπ‘œπ‘€π‘› π‘Žπ‘  Circuit Diagram for the application of a Phase Gate followed by Hadamard Gate and Z Gates
106 Explicitly we have 1 0 0 βˆ’1 1/√2 1 1 1 βˆ’1 1 0 0 𝑒 π‘–πœƒ = 1/√2 1 𝑒 π‘–πœƒ βˆ’1 𝑒 π‘–πœƒ (ii) When quantum operations are performed in parallel (same time) we compute the Tensor Product , for example Hadamard Gates in Parallel is represented by the following matrix
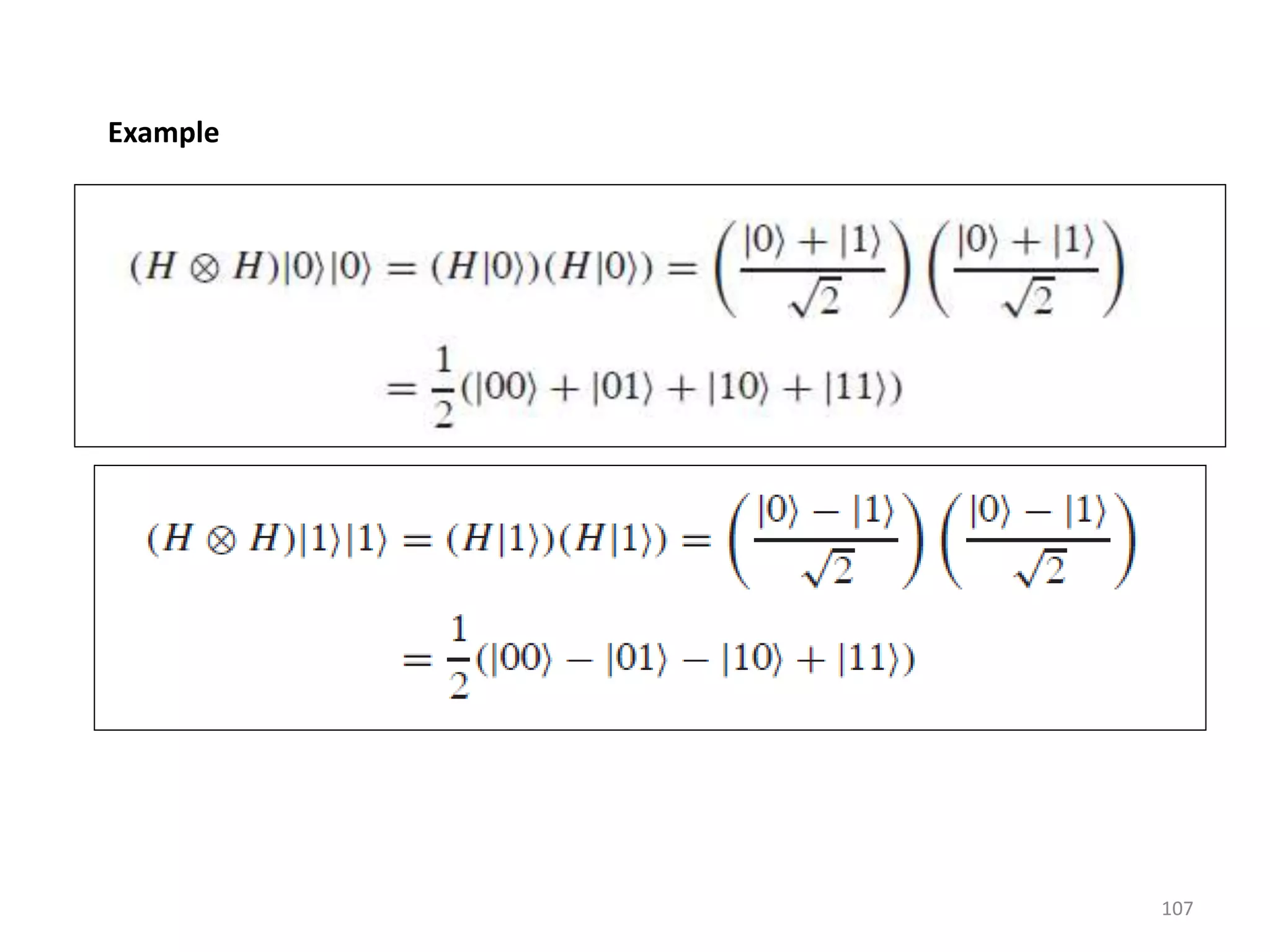
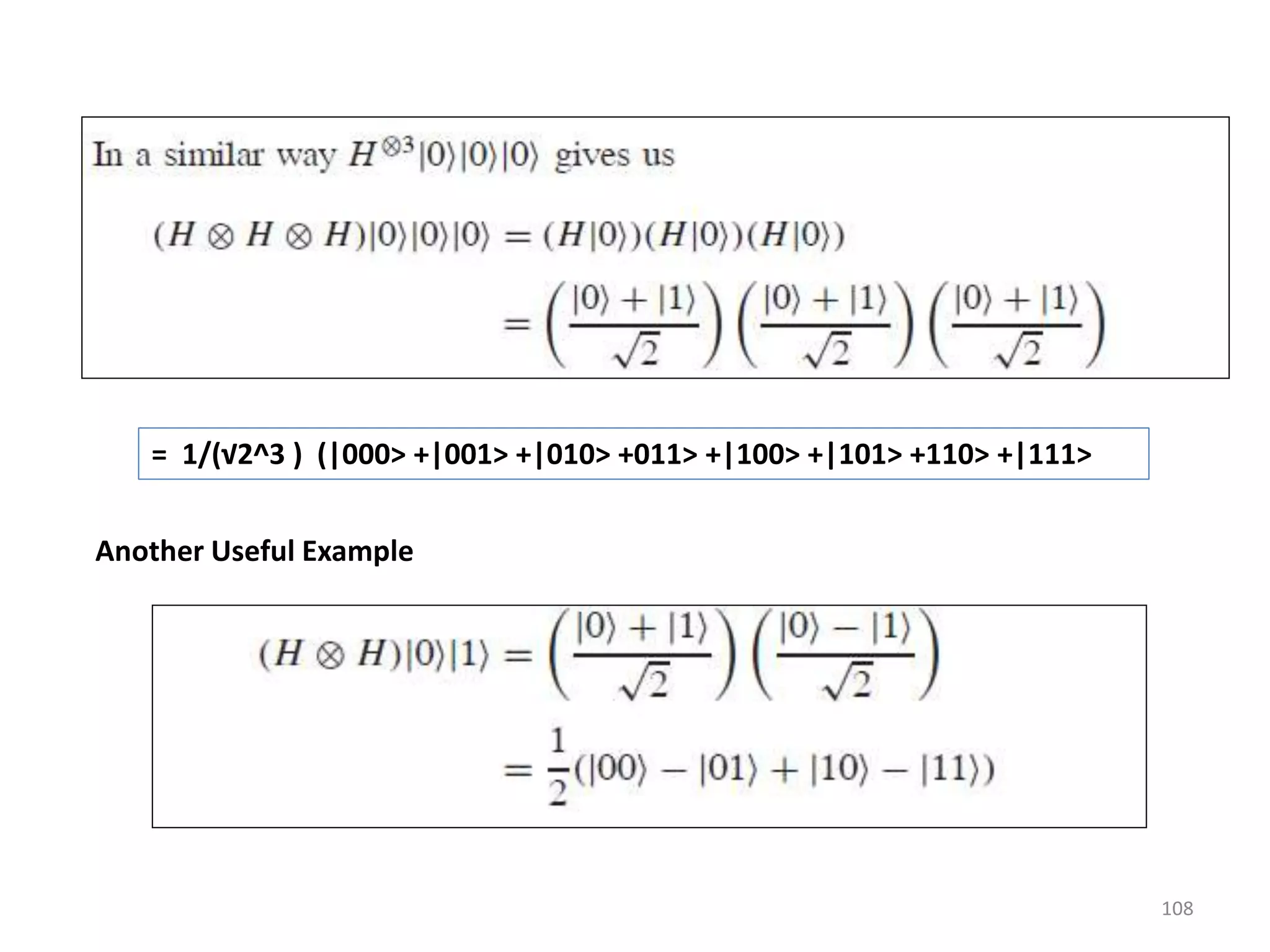
107 Example
108 = 1/(√2^3 ) (|000> +|001> +|010> +011> +|100> +|101> +110> +|111> Another Useful Example
109 Quantum Interference The application of a Hadamard gate to an arbitrary qubit is an example of quantum interference. Let’s recall 𝐻|πœ“ > , πœ“ > = 𝛼 0 > + 𝛽 |1 > 𝑯 = 𝟏/√𝟐 𝟏 𝟏 𝟏 βˆ’ 𝟏 , 𝑯|𝝍 > = 𝟏/ 𝟐 𝟏 𝟏 𝟏 βˆ’πŸ 𝜢 𝜷 Thus 𝐻 |πœ“ > = 𝛼+𝛽 2 |0 > + π›Όβˆ’π›½ 2 |1 > 𝑯 √𝟐 (|𝟎 > + 𝟏 > = |𝟎 > 𝒂𝒏𝒅 𝑯 𝟐 (|𝟎 > βˆ’ 𝟏 > = |𝟏 >
110 Hadamard gate transforms |ψ> β†’ |0 >. This is a manifestation of quantum interferenceβ€”mathematically this means the addition of probability amplitudes. There are two types of interference, positive interference in which probability amplitudes add constructively to increase or negative interference in which probability amplitudes add destructively to decrease. . 𝑯 = 𝟏/√𝟐 𝟏 𝟏 𝟏 βˆ’ 𝟏 , 𝑯|𝝍 > = 𝟏/ 𝟐 𝟏 𝟏 𝟏 βˆ’πŸ 𝜢 𝜷 Thus 𝐻 |πœ“ > = 𝛼+𝛽 2 |0 > + π›Όβˆ’π›½ 2 |1 > 𝑯 √𝟐 (|𝟎 > + 𝟏 > = |𝟎 > 𝒂𝒏𝒅 𝑯 𝟐 (|𝟎 > βˆ’ 𝟏 > = |𝟏 >
111 In the case of 𝐻 √2 (|0 > + 1 > = |0 > we have the following 1. Positive interference with regard to the basis state |0> . The two amplitudes add to increase the probability of finding |0> upon measurement. In fact in this case it goes to unity meaning we are certain to find |0>. 2. Negative interference where by the terms |1 > and βˆ’|1 >cancel. We go from a state where there was a 50% chance of finding 1 upon measurement to one where there is no chance of finding 1 upon measurement. Quantum interference plays an important role in the development of Quantum Algorithms.
112 Elementary Arithmetic Operations +/βˆ’ Step 1. We incorporate the two numbers that we wish to add/subtract in the angles of the rotation gates 𝑅 𝑦 πœƒ π‘Žπ‘›π‘‘ 𝑅 𝑦(πœ‘) , explicitly represented by 𝑹 𝑦 πœƒ = πΆπ‘œπ‘  πœƒ 2 βˆ’π‘†π‘–π‘› πœƒ 2 𝑆𝑖𝑛 πœƒ 2 πΆπ‘œπ‘  πœƒ 2 𝑹 𝑦 πœ‘ = πΆπ‘œπ‘  πœ‘ 2 βˆ’π‘†π‘–π‘› πœ‘ 2 𝑆𝑖𝑛 πœ‘ 2 πΆπ‘œπ‘  πœ‘ 2 Step 2. Prepare a state |𝝍 > 𝑔𝑖𝑣𝑒𝑛 𝑏𝑦 |𝝍 > = 𝑹 𝑦 πœƒ 𝑹 𝑦 πœ™ |𝟎 >
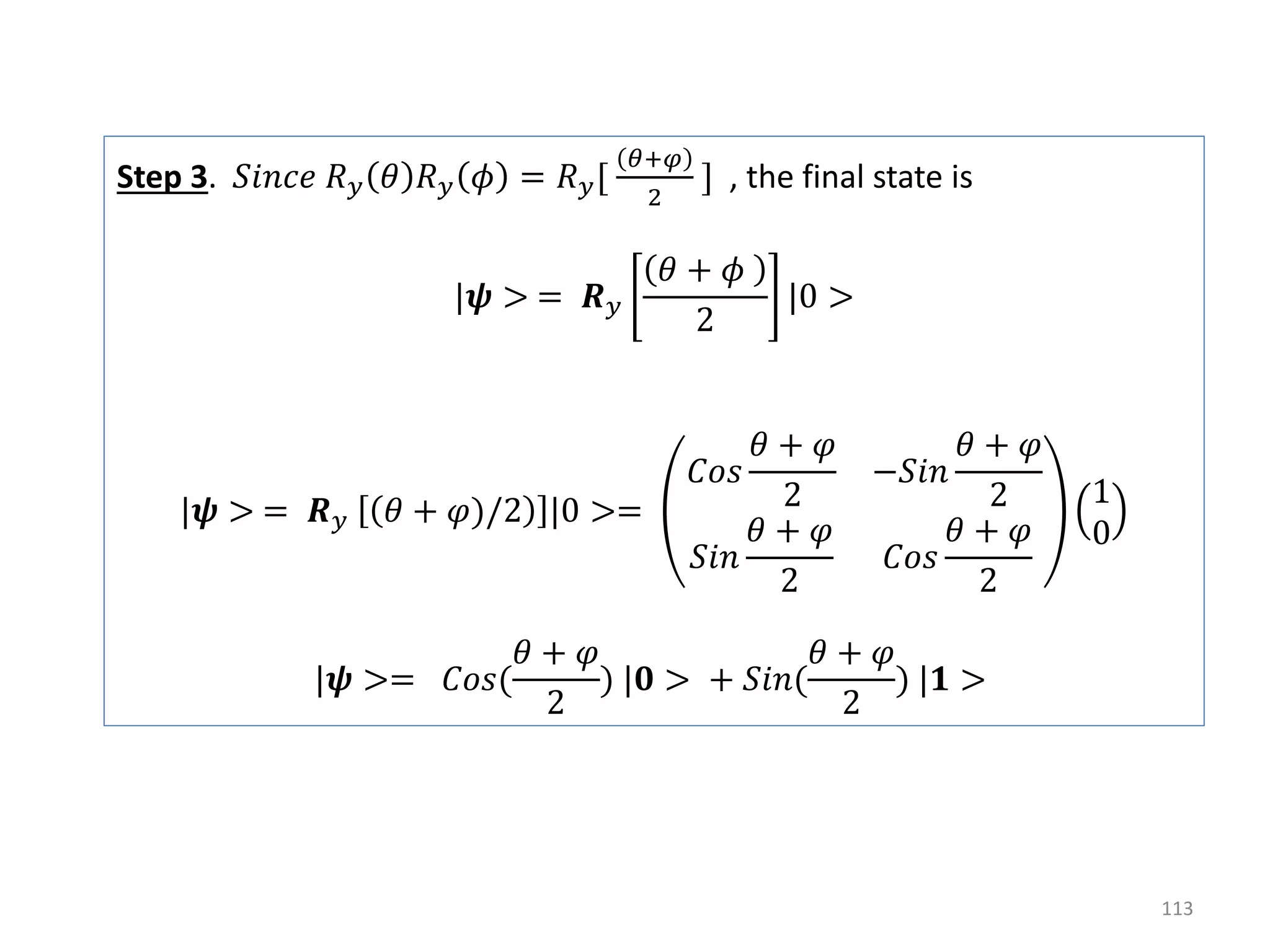
113 Step 3. 𝑆𝑖𝑛𝑐𝑒 𝑅 𝑦 πœƒ 𝑅 𝑦 πœ™ = 𝑅 𝑦[ πœƒ+πœ‘ 2 ] , the final state is |𝝍 > = 𝑹 𝑦 πœƒ + πœ™ 2 |0 > |𝝍 > = 𝑹 𝑦 πœƒ + πœ‘)/2 |0 >= πΆπ‘œπ‘  πœƒ + πœ‘ 2 βˆ’π‘†π‘–π‘› πœƒ + πœ‘ 2 𝑆𝑖𝑛 πœƒ + πœ‘ 2 πΆπ‘œπ‘  πœƒ + πœ‘ 2 1 0 |𝝍 >= πΆπ‘œπ‘ ( πœƒ + πœ‘ 2 ) |𝟎 > + 𝑆𝑖𝑛( πœƒ + πœ‘ 2 ) |𝟏 >
114 Step 4. The probability of finding the state πœ“ > π‘‘π‘œ 𝑏𝑒 𝑖𝑛 π‘ π‘‘π‘Žπ‘‘π‘’ 0 > is given by 𝑷|0 > = |πΆπ‘œπ‘  [ πœƒ + πœ‘ 2 ]| 2 πœƒ + πœ‘ = 2 πΆπ‘œπ‘ βˆ’1 βˆšπ‘·|0 > Thus by measuring the state |𝝍 > 𝑖𝑛 π‘‘β„Žπ‘’ computational basis |0> , |1> , we get P(|0>) from which we obtain the required sum 𝜽 + 𝝋 . Let’s add 0987 and 4589 . Since these two numbers can't fit into the allowable values of the angles πœƒ π‘Žπ‘›π‘‘ πœ‘ , we divide them by 10000 to get 0.0987 and 0.4589. Next with πœƒ = 0.0987 π‘Žπ‘›π‘‘ πœ‘ = 0.4589 , we apply them on initial state |0>. The resulting state is measured subsequently. P|0> = 0.92493 , our required sum is 0:0987 + 0:4589 = 2 πΆπ‘œπ‘ βˆ’1 0.92483 = 0.5550 . The resulting sum is 5550 although we expect it to be 5576. Try to Explore
115 The quantum circuit for addition of two numbers. The numbers to be added, 987 and 4589 here, are encoded into the angles of the Ry gates. The second Ry gate is followed by the measurement gate which measures the qubit in the z- basis to give the probability of finding the output state in |0> and |1> i.e., the values of P(|0>) and P(|1>) respectively. From these probabilities, we can calculate the sum of the two numbers. The quantum circuit for addition of two numbers
116 Elementary Arithmetic Operations Γ—/Γ· Step 1. We incorporate the two numbers that we wish to multiply in the angles of the rotation gates πœƒ = 2 π‘†π‘–π‘›βˆ’1 π‘š π‘Žπ‘›π‘‘ (πœ‘ = 2 π‘†π‘–π‘›βˆ’1 𝑛) , or π‘š = 𝑆𝑖𝑛 πœƒ 2 π‘Žπ‘›π‘‘ 𝑛 = 𝑆𝑖𝑛 πœ‘ 2 Step 2. We Prepare a state |πœ“ > by applying 𝑅 𝑦 πœƒ π‘Žπ‘›π‘‘ 𝑅 𝑦 πœ‘ gates separately on two qubits initialized in state |0> |𝝍 > = 𝑹 𝑦 πœƒ βŠ— 𝑹 𝑦 πœ™ |00 >
117 Elementary Arithmetic Operations Step 3. Recall that 𝑅 𝑦 πœ‘ = πΆπ‘œπ‘  πœ‘ 2 βˆ’π‘†π‘–π‘› πœ‘ 2 𝑆𝑖𝑛 πœ‘ 2 πΆπ‘œπ‘  πœ‘ 2 And |00 > = |0 > βŠ— |0 > We get 𝝍 > = 𝑹 𝑦 πœƒ βŠ— 𝑹 𝑦 πœ™ 00 > = 𝑹 𝑦 πœƒ |0 > βŠ— 𝑹 𝑦 πœ™ |0 > After a little algebraic manipulation we get |𝝍 > = π‘ͺ𝒐𝒔 𝜽 𝟐 π‘ͺ𝒐𝒔 𝝋 𝟐 |𝟎𝟎 > +π‘ͺ𝒐𝒔 𝜽 𝟐 π‘Ίπ’Šπ’ 𝝋 𝟐 |𝟎𝟏 > +π‘Ίπ’Šπ’ 𝜽 𝟐 π‘ͺ𝒐𝒔 𝝋 𝟐 |𝟏𝟎 > + π‘Ίπ’Šπ’ 𝜽 𝟐 π‘Ίπ’Šπ’ 𝝋 𝟐 |𝟏𝟏 >
118 Step 4. It is evident from the above that the probability for finding the state |πœ“ > π‘‘π‘œ 𝑏𝑒 𝑖𝑛 π‘‘β„Žπ‘’ π‘ π‘‘π‘Žπ‘‘π‘’ |11 > is 𝑃 11 > = |𝑆𝑖𝑛 πœƒ 2 𝑆𝑖𝑛 πœ‘ 2 | 2 𝑃 11 > = |π‘šπ‘›| 2 π‘šπ‘› = 𝑃(|11 >)
119 Let us multiply the two numbers 42.5 and 52.5 . Since these two numbers can not fit into the allowable values for the angles πœƒ = 2 π‘†π‘–π‘›βˆ’1 π‘š π‘Žπ‘›π‘‘ πœ‘ = 2 π‘ π‘–π‘›βˆ’1 𝑛 (which ranges between -2 and 2) we divide them by 100 to get 0.425 and 0.525. Then we take πœƒ = 2 π‘†π‘–π‘›βˆ’1 0.425 π‘Žπ‘›π‘‘ πœ‘ = 2 π‘ π‘–π‘›βˆ’1 0.525 .. Next, we accordingly construct Ry (0:877) and Ry (1:105) and apply them on an initial state |00>. We then measure the resulting state to find out the probability of getting state |11> using the measurement gate in z-basis. The resulting measurement outcome can be seen in P (|11>) =0.04993 (which is otherwise 4.993%). Hence, referring to step 4, we can find our required sum as 0.425 Γ— 0.525 = 0.049933 = 0.22345 We can see that the resulting multiplication is 2234.5 although we would expect it to be 2231.25.
120 Reference : A Novel Approach for Basic Arithmetic Operations in Quantum Computing Kanishk Bansal,Subhashish Barik, Bikash K. Behera, Amar Singh Rana, and Prasanta K. Panigrahi , https://www.researchgate.net/publication/340102586_A_Novel_Approach_for_Basic_Arithmetic_ Operations_in_Quantum_Computing The quantum circuit for multiplication of two numbers.
121 QFT and Shor’s Algorithm QFT for n=32 , How many qubit registers are required to implement n= 1024 point QFT ?
122 QFT and Shor’s Algorithm
123 Research Trends in Quantum Computing 1. Quantum and Post-Quantum Cryptography National Institute of Standards and Technology, 2018, β€œPost-Quantum Cryptography,” last modified May 29, 2018, http://csrc.nist.gov/groups/ST/post-quantum-crypto/ 2. Quantum Solver for Linear System of Equations : Aram Harrow MIT 3. Quantum Computational Complexity , Waltrous , Waterloo Canada 4.Superconducting Quantum Processor : William Oliver MIT Experimental 5.Quantum Support Vector Machine for big data classification. Physical review letters, 113(13):130503, 2014. MIT 6. Quantum Hopfield neural network , Seth Loyd MIT 2018 7. Quantum algorithms for supervised and unsupervised machine learning MIT 8. Quantum Genetic Algorithms Exeter UK ,Spain ,Italy ,Korea Convergence of Quantum GA : Quantum Schema Theorem 9. Quantum Programming Lagnuages and Compilers Princeton Chicago 10. Classical Homomorphic Encryption for Quantum Circuits UC Berkeley 11. Quantum Error Correcting Codes Caltech 12. https://www.ibm.com/blogs/research/2019/12/qiskit-openpulse/ Open Resource : IBM Q Experience
124 53 qubits processor
Trapped Ion Quantum Computer 125 Emily Grumbling and Mark Horowitz ; Quantum Computing: Progress and Prospects ; Washington, DC: The National Academies Press. 2019
126 Google has reached quantum supremacy – here's what it should do next Read more: https://www.newscientist.com/article/2217835-google-has-reached- quantum-supremacy-heres-what-it-should-do-next/#ixzz6Q4qoLc00 New Scientist 5th October , 2019
127 MIT Technology Review 2018 IBM's new 53-qubit quantum computer is the most powerful machine
128 Quantum supremacy is not universal - there will always be some tasks that classical computers will do better than quantum computers. The IBM and Google quantum computers are built in similar ways. Microsoft, DWave, Intel and IonQ have quantum computer ventures, with different designs.
129
Andrew Glassner , Quantum Computing, Part 1 , IEEE Computer Graphics and Applications , July’August 2001 Andrew Glassner , Quantum Computing, Part 2 , IEEE Computer Graphics and Applications , Sept./October 2001 Andrew Glassner , Quantum Computing, Part 3 , IEEE Computer Graphics and Applications , Nov./December, 2001 DMITRI MASLOV ,YUNSEONG NAM , JUNGSANG KIM , An Outlook for Quantum Computing , Vol. 107, No. 1 PROCEEDINGS OF THE IEEE . , January 2019 , Pp. 5-10 . Emily Grumbling and Mark Horowitz ; Quantum Computing: Progress and Prospects ; Washington, DC: The National Academies Press. 2019 ; Pp.272 https://doi.org/10.17226/25196 Aaronson,Scot , The Limits of Quantum , Scientific American , March 2008 , p. 62-69 ELEANOR RIEFFEL , WOLFGANG POLAK , An Introduction to Quantum Computing for Non-Physicists , ACM Computing Surveys, Vol. 32, No. 3, September 2000, pp. 300–335. SALONIK RESCH, ULYA R. KARPUZCU, Quantum Computing: An Overview Across the System Stack , 2919, https://arxiv.org/abs/1905.07240 Michael A Nielsen and Isaac L Chuang. Quantum computation and quantum information, Cambridge University Press , 2010 Peter Shor’s Web page at http://www.research.att.com/~shor/papers/ . L.K. Grover, β€œQuantum Mechanics Helps In Searching For A Needle In A Haystack,” Physical Review Letters, vol. 79, no.2, July 1997, pp. 325-328. L.K. Grover, A Framework for Fast Quantum Mechanical Algorithms, LANL 9711043, 1997. https://arxiv.org/abs/quant- ph/9711043 Artur Ekert, Patrick Hayden and Hitoshi Inamori , Basic concepts in quantum computation , https://arxiv.org/pdf/quant- ph/0011013.pdf John Preskill Lecture Notes , http://www.theory.caltech.edu/~preskill/ph229 McMahon, David (David M.) . Quantum Computing Explained 2008 by John Wiley & Sons Inc ., New Jersey. A Novel Approach for Basic Arithmetic Operations in Quantum Computing , Kanishk Bansal,Subhashish Barik, Bikash K. Behera, Amar Singh Rana, and Prasanta K. Panigrahi , https://www.researchgate.net/publication/340102586_A_Novel_Approach_for_Basic_Arithmetic_Operations_in_Quantum_Co mputing 130 Selected References

Fundamentals of quantum computing part i rev

  • 1.
    Fundamentals Of QuantumComputing Part I Pradosh K Roy FIETE , C.Eng Professional Alumnus , Massachusetts Institute of Technology 1
  • 2.
    1.Computational Complexity :NP Complete Class , BQP Class 2. Essential Matrix Algebra : Hermitian , Unitary , Normal Matrices 3. Classical versus Quantum World Registers and Two State Quantum Systems 4. Characteristics of Quantum Systems Superposition , Qubit , Born Normalization , Bloch Diagram Representation , Computational Basis Tensor Product , 2 Qubit Register , n Qubit Register , Problems and Solutions 5. Quantum Logic Gates and Quantum Circuits Pauli Spin Gates X , Y , Z ; Rotation Gate 𝑅 πœƒ Hadamard Gate , Bloch Diagram Representation 2 Qubit Gates : CNOT Gate , CH Gate Problems and Solutions 6. Matrix Representation of Serial and Parallel Operations 7. Elementary Arithmetic Operations. Selected References 2
  • 3.
    1. Computational Complexity: NP Complete Class Complexity of a problem T(n)  Time required to solve it and measured in the number of elementary steps required by the algorithm . The complexity T(n) is a function of the size of the problem n. The kind of problems that computers can solve in a reasonable amount of time, even for large values of n, are those for which an algorithm exists that uses a number of steps governed by a polynomial e.g. an3 + bn2 +c . Leaving the low order terms such as bn2 and the constants in the above example , we say that the complexity of the algorithm is O(n3). β€œComputer scientists call such an algorithm efficient, and problems that can be solved by an efficient algorithm are said to be in the Complexity Class P, which stands for polynomial time” . 3
  • 4.
    Computational Complexity :NP Complete Class However , there are problems for which the complexity increases exponentially with the problem size n e.g 2 𝑛, 3 𝑛….. This class known as Nondeterministic Polynomial (NP) contains a huge number of problems of practical interest in physical sciences, engineering, economics, and biological sciences. It may be noted that P problems are contained in NP Class, 𝑷 βŠ† 𝑡𝑷 . Hardest of the NP problems are known as NP Complete Class. Stephen Cook, An Overview of Computational Complexity , CACM Volume 26 Number 6 , June 1983 4
  • 5.
    Linear -- O(n), Quadratic -- O(n2) ,Cubic -- O(n3) Logarithmic -- O(log n) Exponential -- O(2n) Square root -- O( 𝑛) Exponential Class Logarithmic Class Polynomial Class Grover Algorithm Shor’s Algorithm Classical Integer Factoring 𝑂 [𝑒1.9 π‘™π‘œπ‘”π‘› 1 3 (loglog 𝑛) 2 3 ] Classical Dbase Search 5
  • 6.
    Scot Aronson ,The limits of Quantum , Scientific American , March 2008 6
  • 7.
    Best Known ClassicalAlgorithm 𝑢 [𝒆 𝟏.πŸ— π’π’π’ˆπ’ 𝟏 πŸ‘ (π’π’π’ˆ π’π’π’ˆ 𝒏) 𝟐 πŸ‘ Peter Shor’s Quantum Algorithm 𝑢 [(π₯𝐨𝐠 𝒏) 𝟐 (π₯𝐨𝐠 π₯𝐨𝐠 𝒏)(π₯𝐨𝐠 π₯𝐨𝐠 π₯𝐨𝐠 𝒏) Estimate the time difference for n=1000 A Simple Example : Integer Factoring Algorithm 7
  • 8.
    2. Essential MatrixAlgebra Rows : m Horizontal list of Scalars Columns : n Vertical list of Scalars 8 SeymourLipschutz,MarcLarsLipson,LinearAlgebra4thEdition, Schaum’sOutlineSeries,2009
  • 9.
  • 10.
  • 11.
  • 12.
  • 13.
    13 Special Real SquareMatrices : Symmetric , Orthogonal , Normal
  • 14.
  • 15.
  • 16.
    16 Let A bea complex matrixβ€”that is, a matrix with complex entries. Recall that if z = a+ jb is a complex number, then z =a-jb is its conjugate. The conjugate of a complex matrix A, written A* , is the matrix obtained from A by taking the conjugate of each entry in A. That is, if 𝐀 = π‘Žπ‘–π‘— then π΄βˆ— = 𝑏𝑖𝑗 π‘€β„Žπ‘’π‘Ÿπ‘’ 𝑏𝑖𝑗 = π‘Žπ‘–π‘— βˆ— The two operations of transpose and conjugation commute for any complex matrix A, and the special notation 𝑨 𝐻 is used for the conjugate transpose of A. That is 𝑨 𝐻 = π‘¨βˆ— 𝑇 = 𝑨 𝑇 βˆ— .It may be noted that if A is real , then 𝑨 𝐻 = 𝐴 𝑇 Complex Matrices
  • 17.
    17 A complex matrixA is said to be Hermitian or skew-Hermitian according as to whether 𝑨 𝐻 = 𝑨 π‘œπ‘Ÿ 𝑨 𝐻 = βˆ’π‘¨ Thus 𝐀 = π‘Žπ‘–π‘— is Hermitian if and only if symmetric elements are conjugateβ€”that is, if each π‘Žπ‘–π‘—= π‘Žπ‘—π‘– βˆ— in which case each diagonal element π‘Žπ‘–π‘– must be real. Similarly, if A is skew-symmetric, then each diagonal element π‘Žπ‘–π‘– = 0 . A complex matrix A is Unitary if 𝑨 𝑯 π‘¨βˆ’πŸ = π‘¨βˆ’πŸ 𝑨 𝑯 = 𝑰 that is, if 𝑨 𝑯 = π‘¨βˆ’πŸ Thus, A must necessarily be square and invertible. We note that a complex matrix A is unitary if and only if its rows (columns) form an orthonormal set relative to the dot product of complex vectors. Unitary operators are important because they describe the time evolution of a quantum state. The Pauli operators are both Hermitian and Unitary.
  • 18.
    18 A complex matrixA is said to be Normal if it commutes with 𝑨 𝐻 that is, if 𝑨𝑨 𝑯 = 𝐴 𝐻 𝑨 . Thus, A must be a square matrix. Hermitian and unitary operators are normal. Seymour Lipschutz, Marc Lars Lipson, Linear Algebra 4th Edition , Schaum’s Outline Series , 2009
  • 19.
    19 2x2 Matrices FrequentlyUsed in Quantum Computing Definition . The Pauli Matrices With respect to the computational basis , the matrix representation of the Pauli Matrices X , Y and Z are given by 𝑿 = 𝟎 𝟏 𝟏 𝟎 , 𝒀 = 𝟎 βˆ’π’Š π’Š 𝟎 , 𝒁 = 𝟏 𝟎 𝟎 βˆ’πŸ Definition . The 2x2 Identity Matrix 𝐈 = 𝟏 𝟎 𝟎 𝟏
  • 20.
    Quantum Computation representsan important change of paradigm, where the concept of bit gets transformed into a quantum bit, or qubit, which affords for an enormous information storage and processing capacity. In this course, the basic concepts of Quantum Computation will be introduced at a conceptual level. 20 3. Classical vs Quantum World
  • 21.
    Quantum Computation isbecoming a viable alternative for High Complexity Problems, too hard to address in classical computation, with or without acceleration. Recently, IBM , Google has demonstrated that there are particular problems that can be solved efficiently on a quantum computer, while demanding prohibitively high resources in classical computation. 21 Classical vs Quantum World
  • 22.
    22 Binary digit, thebit represents a logical state , having only one of two values . It may be physically implemented with a two-state device e.g. flip-flop circuit. These values are most commonly represented as either 0 or1, but other representations such as true/false, yes/no, +/βˆ’, or on/off are common. The correspondence between these values and the physical states of the underlying storage or device is a matter of convention, and different assignments may be used even within the same device or program Bits and Instruction Set Architectures
  • 23.
    Registers are primitivesused in hardware design that are also visible to the programmer when the computer is completed, so you can think of registers as the bricks of computer construction 23 Bits and Instruction Set Architectures The MIPS word is 32 bits long, so we can represent 232 different 32-bit patterns. It is natural to let these combinations represent the numbers from 0 to 𝟐 πŸ‘πŸ βˆ’ 𝟏
  • 24.
    1. Instructionsarerepresentedasnumbers. 2. Programsare stored in memory to be read or written, just like data. These principles lead to the Von Neumann stored-program concept; One consequence of instructions as numbers is that programs are often shipped as files of binary numbers. The commercial implication is that computers can inherit ready-made software provided they are compatible with an existing instruction set. Such β€œbinary compatibility” often leads industry to align around a small number of instruction set architectures 24 Bits and Instruction Set Architectures
  • 25.
    25 Bits and InstructionSet Architectures
  • 26.
    26 Any two-level quantumsystem can form a qubit, and there are two predominant ways to form a qubit using the electronic states of an ion: 1. Two ground state Hyperfine levels (these are called "hyperfine qubits") 2. A Ground state level and an Excited level (these are called the "optical qubits") Qubits & Historical Two-State Atomic Systems
  • 27.
  • 28.
    1. Wave-particle dualityβ€”Aquantum object generally has both wave- and particle-like properties. While the evolution of the system follows a wave equation, any measurement of the system will return a value consistent with it being a particle 2. Superpositionβ€”A quantum system can exist in two or more states at once, referred to as a β€œsuperposition” of states or a β€œsuperposition state.” The wave function for such a superposition state can be described as a linear combination of the contributing states, with complex coefficients. These coefficients describe the magnitude and relative phases between the contributing states. 3. Coherenceβ€”When a quantum system’s state can be described by a set of complex numbers, one for each basis state of the system, the system state is said to be β€œcoherent.” Coherence is necessary for quantum phenomena such as quantum interference, superposition, and entanglement. Small interactions with the environment cause quantum systems to slowly decohere. The environmental interactions make even the complex coefficients for each state probabilistic. 4. Characteristics of Quantum Systems 28
  • 29.
    4. Entanglementβ€”Entanglement isa special property of some (but not all) multi-particle superposition states, where measurement of the state of one particle collapses the state of the other particles, even if the particles are far apart with no apparent way to interact. This arises when the wave functions for different particles are not separable (in mathematical terms, when the wave function for the entire system cannot be written as a product of the wave functions for each particle). There is no classical analogue to this phenomenon. 5. Measurementβ€”Measurement of a quantum system fundamentally changes it. In the case where the measurement yields a well-defined value, the system is left in a state corresponding to the measured value. This is commonly referred to as β€œcollapsing the wave function.” Characteristics of Quantum Systems 29
  • 30.
    30 5.111 Principles ofChemical Science https://ocw.mit.edu/courses/chemistry/5-111-principles-of-chemical-science-fall-2008/ Energy level diagram for the H atom : Optical Qubit
  • 31.
    31 Consider a systemwith k distinguishable states [Energy level of Hydrogen Atom]. For example, the electron in an atom might be either in its ground state or one of kβˆ’1 excited states, each of progressively higher energy. As a classical system, we might use the state of this system to store a number between 0 and kβˆ’1. The superposition principle says that if a quantum system is allowed to be any one of number of different states then it can also be placed in a linear superposition of these states with complex coefficients. Thus the quantum state of the k-state system above is described by a sequence of k complex numbers π‘Ž0, π‘Ž1, … … … π‘Ž π‘˜βˆ’1. The superposition principle π‘Žπ‘— 𝑖𝑠 said to be the amplitude for the state j. We will require that the amplitudes are normalized so that sum of the amplitudes squared is one. It is natural to write the state of the system as a k dimensional vector π‘Ž0 π‘Ž1 . . . π‘Ž π‘˜βˆ’1 CS 294-2 Lecture 1 Introduction, Axioms, Bell Inequalities , Spring 2007 Umesh Vazirani , UC Berkeley,
  • 32.
    32 This linear superposition|πœ“ > = 0 π‘˜βˆ’1 π‘Žπ‘—|𝑗 > is part of the private world of the electron. For us to know the electron’s state, we must make a measurement. Measuring |πœ“ > in the standard basis |0> , |1> yields with probability |π‘Žπ‘—|2 . One important aspect of the measurement process is that it alters the state of the quantum system: the effect of the measurement is that the new state is exactly the outcome of the measurement. i.e., if the outcome of the measurement is j, then following the measurement, the qubit is in state |j> . This implies that you cannot collect any additional information about the amplitudes π‘Žπ‘— by repeating the measurement. This property forms the basis of quantum cryptography where the presence of an eavesdropper necessarily alters the quantum state being transmitted. The Measurement Principle CS 294-2 Lecture 1 Introduction, Axioms, Bell Inequalities , Spring 2007 Umesh Vazirani , UC Berkeley,
  • 33.
    33 This basic unitof information in quantum computing is called the qubit, which is short for quantum bit . While a qubit is going to look in some way superficially similar to a bit, it is fundamentally different which allows us to do information processing in new and interesting ways. Like a bit, a qubit can also be in one of two states. In the case of a qubit, for reasons that for the moment will seem utterly obscure, we label these two states by |0> and |1> In quantum theory an object enclosed using the notation | > can be called a state, a vector, or a ket
  • 34.
    𝝍 > =𝜢 𝟎 > + 𝜷 |𝟏 > While amplitudes 𝜢 𝒂𝒏𝒅 𝜷 are complex numbers , the probability of finding the system in the state |𝟎 > π’Šπ’” 𝜢 𝟐 and the probability of finding the system in the state |𝟏 > π’Šπ’” |𝜷 | 𝟐 . 𝜢 𝐚𝐧𝐝 𝜷 are constrained by the Max Born’s Normalization Condition : |𝜢 | 𝟐 + |𝜷 | 𝟐 = 𝟏 . The states |𝟎 > 𝒂𝒏𝒅 |𝟏 > can also be represented by the column vectors |𝟎 > = 𝟏 𝟎 |𝟏 > = 𝟎 𝟏 1 Qubit Register |πœ“ > 34 |𝜢| 𝟐 = πœΆβˆ— 𝜢 , |𝜷| 𝟐 = πœ·βˆ— 𝜷 𝝍 > = 𝜢 𝟎 > + 𝜷|𝟏 > = 𝜢 𝟏 𝟎 + 𝜷 𝟎 𝟏 = 𝜢 𝜷
  • 35.
    The Dual Vector< πœ“| 35 In quantum physics < 𝝍| is sometimes called the dual vector If a ket is a column vector, the dual vector < 𝝍| is a row vector whose elements are the complex conjugates of the elements of the column vector. In other words, when working with column vectors, the Hermitian conjugate is computed in two steps: 1. Write the components of the vector as a row of numbers. 2. Take the complex conjugate of each element and arrange them in a row vector
  • 36.
    36 |𝝍 >= π’Š 𝟐 |𝟎 >+ βˆšπŸ‘ 𝟐 |𝟏 > The Column Vector Representation of this state is |𝝍 > = π’Š 𝟐 πŸ‘ 𝟐 The dual vector is found by computing the complex conjugate of each element and then arranging the result as a row vector. In this case < 𝝍| = βˆ’π’Š 𝟐 βˆšπŸ‘ 𝟐
  • 37.
    37 Using the dualvector to find the inner product makes the calculation easy. The inner product or scalar product is calculated in the following way: < 𝒂|𝒃 > = 𝒂 𝟏 βˆ— 𝒂 𝟐 βˆ— … … . 𝒂 𝒏 βˆ— 𝒃 𝟏 𝒃 𝟐 . . . . 𝒃 𝒏 = 𝒂 𝟏 βˆ— 𝒃 𝟏 + 𝒂 𝟐 βˆ— 𝒃 𝟐 + β‹― … … … 𝒂 𝒏 βˆ— 𝒃 𝒏 = π’Š=𝟏 𝒏 π’‚π’Š βˆ— π’ƒπ’Š The Inner Product < πœ“|πœ“ >
  • 38.
    Visual Representation ofa Qubit : Bloch Sphere 38
  • 39.
    39 Emily Grumbling andMark Horowitz ; Quantum Computing: Progress and Prospects ; Washington, DC: The National Academies Press. 2019 ; Pp.272 When a qubit is in the state | ψ⟩ = | 0⟩, the result of measurement will be |0> with a probability of 100 percent , which is not unlike what happens with a classical bit. Similarly, measurement of a qubit in state | ψ⟩ = | 1⟩ will yield an outcome of |1> with a probability of 100 % For a qubit in a superposition state, the outcome is less simpleβ€”the outcome of measurement, even of a known state, cannot be predicted with certainty. For example , the superposition state |ψ> = 1/√2 |0> + 1/√2 |1> has an equal probability (50 percent) of yielding either outcome (probability being the square of the amplitude, or Β½). Repeated preparation and measurement of this state will yield a random sequence of outcomes approaching an equal incidence of each as the number of trials increases, as would a classical coin flip. Accordingly, this state can be thought of as a β€œquantum coin.” After measuring a certain value, the qubit is left in the state corresponding to that value. For example, if the outcome of measurement is 1, the post measurement qubit is in the state | ψ⟩ = | 1⟩, regardless of the state it was in prior to measurement. Measurement of a Qubit
  • 40.
    1 Qubit Examples 40 EmilyGrumbling and Mark Horowitz ; Quantum Computing: Progress and Prospects ; Washington, DC: The National Academies Press. 2019 ; Pp.272
  • 41.
    41 For each ofthe following qubits , if a measurement is made what is the probability that we find the qubit in state |0> ? Problem 4.1
  • 42.
    42 Example. The Pauli Operatorsare given by 𝑿 = 𝟎 𝟏 𝟏 𝟎 , 𝒀 = 𝟎 βˆ’π’Š π’Š 𝟎 , 𝒁 = 𝟏 𝟎 𝟎 βˆ’πŸ in the |0> , |1> basis. Find the action of these operators on the basis states by considering the column vector representations of |0> and |1>. Recall that the basis states are given by |𝟎 > = 𝟏 𝟎 𝒂𝒏𝒅 |𝟏 > = 𝟎 𝟏 It may be easily verified that 𝑿|𝟎 > = 𝟎 𝟏 𝟏 𝟎 𝟏 𝟎 = 𝟎 𝟏 = |𝟏 > 𝑿|𝟏 > = 𝟎 𝟏 𝟏 𝟎 𝟎 𝟏 = 𝟏 𝟎 = |𝟎 > 𝒀|𝟎 > = 𝟎 βˆ’π’Š π’Š 𝟎 𝟏 𝟎 = 𝟎 π’Š = π’Š|𝟏 > 𝒀|𝟏 > = 𝟎 βˆ’π’Š π’Š 𝟎 𝟎 𝟏 = βˆ’π’Š 𝟎 = βˆ’π’Š|𝟎 > 𝒁|𝟎 > = 𝟏 𝟎 𝟎 βˆ’πŸ 𝟏 𝟎 = 𝟏 𝟎 = |𝟎 > 𝒁|𝟏 > = 𝟏 𝟎 𝟎 βˆ’πŸ 𝟎 𝟏 = 𝟎 βˆ’πŸ = βˆ’|𝟏 >
  • 43.
    43 Representing Composite States Let||πœ‘ > ∈ 𝑯 𝟏 and |πœ’ > ∈ 𝑯 𝟐 be two vectors that belong to the Hilbert spaces used to construct H. We can construct a vector |πœ“ > ∈ 𝐻 using the tensor product in the following way: |𝝍 > = |𝝓 > |𝝌 >
  • 44.
  • 45.
    A Two QubitRegister is the superposition of four states represented as Kronecker or Tensor Product among two qubits ( represented with the symbol ) as (𝜢 𝟏|𝟎 > + 𝜷 𝟏 𝟏 > βŠ— (𝜢 𝟐|𝟎 > + 𝜷 𝟐 𝟏 > = (𝜢 𝟏 𝜢 𝟐 |𝟎 > |𝟎 > + β‹― … … … requiring four complex constants to fully describe the quantum state. 2 Qubit Register |πœ“πœ‘ > : Tensor Product 45 𝛙 > = 𝐚 𝟎 𝟎𝟎 > + 𝐚 𝟏 𝟎𝟏 > + 𝐚 𝟐 𝟏𝟎 > + 𝐚 πŸ‘|𝟏𝟏 >
  • 46.
    2 Qubit states: Tensor Product of 1 Qubit states 46
  • 47.
    |𝟎𝟎 > = 1 0 0 0 ,|𝟎𝟏 > = 0 1 0 0 , |𝟏𝟎 > = 0 0 1 0 , |𝟏𝟏 > = 0 0 0 1 2 Qubit Register : Representation as Column Vectors 47
  • 48.
    48 If two qubitstates are represented by Calculate the tensor product |π‘Ž > |𝑏 > Problem 4.2 McMahon, David M. , Quantum Computing Explained 2008 by John Wiley & Sons Inc ., New Jersey.
  • 49.
    49 Solution 4.2 McMahon, DavidM. , Quantum Computing Explained 2008 by John Wiley & Sons Inc ., New Jersey.
  • 50.
    50 Solution 4.2 McMahon, DavidM. , Quantum Computing Explained 2008 by John Wiley & Sons Inc ., New Jersey. 𝝍 > = 𝜢 𝟎 𝟎𝟎 > + 𝜢 𝟏 𝟎𝟏 > + 𝜢 𝟐 𝟏𝟎 > + 𝜢 πŸ‘|𝟏𝟏 > Verify that the sum of probabilities of the 2 qubit states is 1. Compare the result with the general expression for a 2 qubit register and find the coefficients 𝜢 𝟎 , 𝜢 𝟏, 𝜢 𝟐, 𝜢 πŸ‘
  • 51.
  • 52.
    52 Consider 2 QuantumStates |πœ“ > = 1 2 |0 > βˆ’ 𝑖 2 |1 > π‘Žπ‘›π‘‘ |πœ™ > = 1 2 |0 > + 𝑖 2 |1 > Calculate (i) πœ“ > πœ™ > ; 𝑖𝑖 < πœ“| < πœ™| 𝑖𝑖𝑖 𝑋 𝐼 πœ“ > πœ™ > ; (𝑖𝑣)𝑋 𝐼(< πœ“| < πœ™|) Problem 4.3 Homework C191 University of California , Berkeley
  • 53.
    53 Solution 4.3 Homework C191University of California , Berkeley
  • 54.
    54 Solution 4.3 Homework C191University of California , Berkeley
  • 55.
    55 If |πœ“ >= 1 2 (|0 > |0 > βˆ’|0 > |1 > +|1 > |0 > βˆ’|1 > |1 > ) could it be written as a product state ? Problem 4.4 McMahon, David M. , Quantum Computing Explained 2008 by John Wiley & Sons Inc ., New Jersey.
  • 56.
    56 If two statesare not entangled, we say that they are a product state or separable. If |πœ“ > ∈ 𝑯 π‘Ž and |πœ‘ > ∈ 𝑯 𝑏 and |πœ’ > = |πœ“ > |πœ™ >, then |πœ’ > is a product state. Theorem. Let |πœ“ > = π‘Ž 𝑏 𝑐 𝑑 , the state is separable only if ad = bc 2 Qubit State : Entanglement
  • 57.
  • 58.
    58 A system oftwo qubits is in the state |00> . We operate on this state with HβŠ—H, where H is the Hadamard matrix. Is the state H βŠ—H |00> entangled? Problem 4.5 𝐻 = 1 √2 1 1 1 βˆ’1 , 𝐻 𝐻 = 1 √2 𝐻 𝐻 𝐻 βˆ’π» ,and |00 > = 1 0 0 0 , Hence This is also a product state
  • 59.
    59 Emily Grumbling andMark Horowitz ; Quantum Computing: Progress and Prospects ; Washington, DC: The National Academies Press. 2019 ; Pp.272
  • 60.
    And a ThreeQubit Register is the superposition of eight states πœ“ο¦ο£ > = 𝛼0 000 > + 𝛼1 001 > + 𝛼2 010 > + 𝛼3 011 > + 𝛼4 100 > + β‹― . . , Let’s consider a 3 qubit register with three pairs of amplitudes 𝛼𝑖, 𝛽𝑖 such as 1/√2 1/√2 1/√2 βˆ’1/√2 1/2 3/2 The above result means that the probabilities to represent the states |000> , ……. |111> are 1/16, 3/16, …… 3/16 respectively. Consequently a 3 qubit register contains the information of eight states. 3 Qubit Register : |πœ“ > |πœ‘ > |πœ’ > 60
  • 61.
    |000 > = 1 0 0 0 0 0 0 0 ,|001 > = 0 1 0 0 0 0 0 0 , |010 > = 0 0 1 0 0 0 0 0 , |011 > = 0 0 0 1 0 0 0 0 |100 > = 0 0 0 0 1 0 0 0 , |101 > = 0 0 0 0 0 1 0 0 , |110 > = 0 0 0 0 0 0 1 0 , |111 > = 0 0 0 0 0 0 0 1 3 Qubit Register : Representation as Column Vectors 61
  • 62.
    3 Qubit Register: Representation as Column Vectors Quantum Registers are Straightforward Extension of Quantum Bits (qbits) 62
  • 63.
    63 Let’s consider a3 qubit register with three pairs of amplitudes πœΆπ’Š, πœ·π’Š such as 𝟏/√𝟐 𝟏/√𝟐 𝟏/√𝟐 βˆ’πŸ/√𝟐 𝟏/𝟐 πŸ‘/𝟐 Show that the 3 qubit register is represented by : Problem 4.6
  • 64.
    64 The three pairsof amplitudes 𝛼𝑖, 𝛽𝑖 are 1/√2 1/√2 1/√2 βˆ’1/√2 1/2 3/2 The 1 qubit registers are |ψ> = 1/√2 |0> +1/√2 |1> |Ο•> =1/√2 |0> - 1/√2 |1> |Ο‡> = 1/( 2) |0> +(√3)/√2 |1> The 3 bit register is represented by |ψ> |Ο•> |Ο‡> = ( 1/√2 |0> +1/√2 |1> ) (1/√2 |0> -1/√2 |1>) (1/ 2|0> +(√3)/2 |1> ) Problem 4.6
  • 65.
    This scheme couldbe generalised to n qubits whose general state can be any superposition of 2n different classical states , with amplitudes whose squared magnitudes sum to unity : |πœ“ > = 0≀π‘₯<2 𝑛 𝛼 π‘₯ |π‘₯ > 𝑛 ; 0≀π‘₯<2 𝑛 |𝛼 π‘₯| 2 = 1. In the context of quantum computation, the set of 2n classical states – all the possible Tensor Products of n individual qubit states |0 > π‘Žπ‘›π‘‘ |1 > – is called the computational basis n Qubit Register 65 A collection of n qubits is called a quantum register of size n.
  • 66.
    66 Classically, if weput together a subsystem that stores k bits of information with one that stores l bits of information, the total capacity of the composite system is k+l bits. Or put another way, if k bits of information are required to describe the state of the first subsystem and l bits to describe the second, then k+l bits suffice to describe the composite system. From this viewpoint, the situation with quantum systems is extremely paradoxical. We need k complex numbers to describe the state of a k-level quantum system. Now consider a system that consists of a k-level subsystem and an l-level subsystem. To describe the composite system we need kl complex numbers The Significance of Tensor Products CS 294-2 Lecture 2 Hilbert Spaces, Tensor Products, Quantum Gates, Bell Sates , Spring 2007 Umesh Vazirani , UC Berkeley
  • 67.
    67 If the stateof the system was known to be a tensor product state|πœ™ > |πœ“ > then only k+l complex numbers would suffice. It follows that most states of the composite system are not tensor product states. They are entangled states. This brings up another question: one might wonder where nature finds the extra storage space when we put these two subsystems together. An extreme case of this phenomenon occurs when we consider an n qubit quantum system. The Hilbert space associated with this system is the n-fold tensor . Thus nature must β€œremember” of 2 𝑛 complex numbers to keep track of the state of an n qubit system. For modest values of n of a few hundred, 2 𝑛 is larger than estimates on the number of elementary particles in the Universe. This is the fundamental property of quantum systems that is used in quantum information processing. Finally, note that when we actually a measure an n-qubit quantum state, we see only an n-bit string - so we can recover from the system only n, rather than 2 𝑛 , bits of information. The Significance of Tensor Products CS 294-2 Lecture 2 Hilbert Spaces, Tensor Products, Quantum Gates, Bell States , Spring 2007 Umesh Vazirani , UC Berkeley
  • 68.
    Tensor Product ofMatrices 68
  • 69.
    69 Example Find theTensor Product of Pauli Matrices X and Z
  • 70.
    70 Problem 4.7 McMahon, DavidM. , Quantum Computing Explained 2008 by John Wiley & Sons Inc ., New Jersey.
  • 71.
  • 72.
    3 Level QuantumSystems : Qutrit Extending the scheme to three-levels , we can define a system where the basic unit of memory is called a qutrit. It has three basis states, |0⟩, |1⟩, and |2⟩.The state of the qutrit can be represented as a superposition in the form of a linear combination: |𝝍 > = 𝜢 𝟎 > + 𝜷 𝟏 > +𝜸 |𝟐 > With a normalization constraint 𝜢 𝟐 + 𝜷 𝟐 + 𝜸 𝟐 = 𝟏 A system containing n qutrits has πŸ‘ 𝒏 basis states ( as opposed to 𝟐 𝐧 states for qubits). 72
  • 73.
    Multilevel Quantum Systems: Qudit Generalizing the scheme we can define qudit as a quantum unit of information, which may be in any of 𝑛 basis states |0⟩, |1⟩, |2⟩, . . . |𝑛 βˆ’ 1⟩ or in any superposition of those. |𝝍 > = 𝜢 𝟎 𝟎 > + 𝜢 𝟏 𝟏 > +𝜢 𝟐 𝟐 > + β‹― … 𝜢 𝒏 𝒏 βˆ’ 𝟏 > with a normalization constraint 𝜢 𝟎 𝟐 + 𝜢 𝟏 𝟐 + 𝜢 𝟐 𝟐 + β‹― … … . 𝜢 𝒏 𝟐 = 𝟏 The state of the qudit can also be generally represented as the following column matrix |𝝍 > = ( 𝜢 𝟎 , 𝜢 𝟏 , 𝜢 𝟐 , … … … . . 𝜢 𝒏) 𝑻 73
  • 74.
    74 The expectation valueof an operator is the mean or average value of that operator with respect to a given quantum state i.e. superposition state . In other words, we are asking the following question: If a quantum state |ψ> is prepared many times, and we measure a given operator A each time, what is the average of the measurement results? We write the expectation value as < 𝑨 > = < 𝝍 𝑨 𝝍 > The Expectation Value of an Operator
  • 75.
    75 Problem 4.8 McMahon, DavidM. , Quantum Computing Explained 2008 by John Wiley & Sons Inc ., New Jersey.
  • 76.
    76 Recalling X|0> =|1> and X|1> = |0> , we get Solution 4.7 McMahon, David M. , Quantum Computing Explained 2008 by John Wiley & Sons Inc ., New Jersey.
  • 77.
    77 An operator actson qutrit basis in the following way 𝐴|0 > = 1 > , 𝐴 1 > = 1/ 2( 0 > + 1 > , 𝐴 2 > = 0 Find <A> for the state πœ“ > = 1/2 0 > βˆ’π‘–/2|1 > + 1 2 |2 > Problem 4.9 McMahon, David M. , Quantum Computing Explained 2008 by John Wiley & Sons Inc ., New Jersey.
  • 78.
    78 Solution 4.9 McMahon, DavidM. , Quantum Computing Explained 2008 by John Wiley & Sons Inc ., New Jersey.
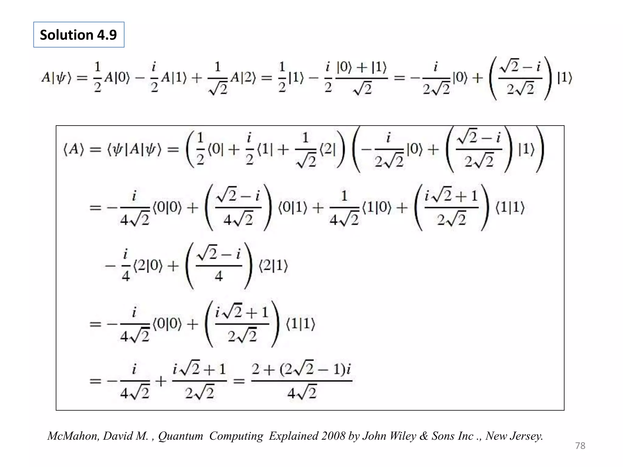
  • 79.
    In classical computingsets of logic gates are connected to construct digital circuits. Similarly quantum logic gates compute the output states from the input states where the inputs in general are superposition states. Mathematically, quantum gates are described by the Unitary Matrices, and their application is accomplished through multiplication of the respective matrix by the state vector . Since these unitary transformations are rotations in the Bloch Sphere then Q- gates are reversible gates. For 1-qubit we require a matrix of degree 2 i.e. a quantum gate acting on a single qubit will be 2x2 unitary matrix. A 2-qubit gate can be implemented with a 4x4 matrix. It is known that a handful of single-qubit gates and one two-qubit gate are sufficient to implement an arbitrary quantum algorithm. 5. Quantum Gates and Circuits 79
  • 80.
  • 81.
    Quantum Gates Quantum gatesare fundamentally Unitary Matrices, and their applications are accomplished through multiplication of the respective matrix by the state vector. Theorem 5.1 It is now mathematically established that a couple of single- qubit gates and one two-qubit gate are sufficient to implement an arbitrary quantum algorithm. Quantum Gates and Circuits 81
  • 82.
    82 Quantum Circuit includinga Quantum Register , input state |ψ> , information processing step U(t) and output , as a result of measuring or observing the sate of each qubit. Quantum Genetic Algorithms for Computer Scientists, Rafael Lahoz-Beltra , Computers 2016, 5, 24; doi:10.3390/computers5040024
  • 83.
    𝑿 = 𝟎 𝟏 𝟏𝟎 , 𝒀 = 𝟎 βˆ’ π’Š π’Š 𝟎 , 𝒁 = 𝟏 𝟎 𝟎 βˆ’ 𝟏 𝑿 = 𝑼 𝑡𝑢𝑻 = 𝟎 𝟏 𝟏 𝟎 So with respect to the standards or computational basis, the X matrix acts as a NOT operator 1 qubit Quantum Gates : Pauli Matrices 83
  • 84.
    𝑍 = 1 0 0βˆ’ 1 The Z operator is sometimes called the phase flip gate because it takes a qubit πœ“ > = 𝛼 0 > + 𝛽|1 > into a state πœ“β€² > = 𝛼 0 > βˆ’π›½|1 > This is easy to see using the matrix representation : 1 qubit Quantum Gate : Phase flip Gate 84
  • 85.
    1 qubit QuantumGate : Phase Gate 85
  • 86.
    1 qubit QuantumGate : Rotation Gate 86 The Pauli Matrices give rise to three useful classes of unitary matrices , when they are exponentiated , the rotation operator about x,y and z axes , defined by the equations 𝑅 π‘₯ πœƒ = π‘’βˆ’π‘–πœƒπ‘Ώ/2 = πΆπ‘œπ‘  πœƒ 2 𝐼 βˆ’ 𝑖𝑆𝑖𝑛 πœƒ 2 𝑋 = πΆπ‘œπ‘  πœƒ 2 βˆ’π‘–π‘†π‘–π‘› πœƒ 2 βˆ’π‘–π‘†π‘–π‘› πœƒ 2 πΆπ‘œπ‘  πœƒ 2 𝑅 𝑦 πœƒ = π‘’βˆ’π‘–πœƒπ’€/2 = πΆπ‘œπ‘  πœƒ 2 𝐼 βˆ’ 𝑖𝑆𝑖𝑛 πœƒ 2 π‘Œ = πΆπ‘œπ‘  πœƒ 2 βˆ’π‘†π‘–π‘› πœƒ 2 𝑆𝑖𝑛 πœƒ 2 πΆπ‘œπ‘  πœƒ 2 𝑅 𝑧 πœƒ = π‘’βˆ’π‘–πœƒπ’/2 = πΆπ‘œπ‘  πœƒ 2 𝐼 βˆ’ 𝑖𝑆𝑖𝑛 πœƒ 2 𝑍 = π‘’βˆ’π‘–πœƒ/2 0 0 𝑒 π‘–πœƒ/2
  • 87.
    1 qubit QuantumGate : Hadamard Gate 𝑯 = 𝟏/√𝟐 𝟏 𝟏 𝟏 βˆ’ 𝟏 , 𝑯|𝝍 > = 𝟏/ 𝟐 𝟏 𝟏 𝟏 βˆ’πŸ 𝜢 𝜷 87
  • 88.
    1 qubit QuantumGate : Hadamard Basis That is, the Hadamard gate has turned a state that, with respect to the standard or computational basis, had the probability |𝜢| 𝟐 of finding the system in the state |0 > and the probability |𝜷| 𝟐 of finding the system in the state |1 > into a state that has the probability |𝛼|2 of finding the system in the state | +> and the probability |𝛽|2 of finding the system in the state | βˆ’> . 𝑯|𝝍 > = 𝜢 |𝟎 > +|𝟏 > 𝟐 + 𝜷 |𝟎 > βˆ’ |𝟏 > √𝟐 Define | +> = 𝟏 𝟐 (|𝟎 > + 𝟏 > 𝒂𝒏𝒅 |βˆ’ > = 𝟏/ 𝟐(|𝟎 > βˆ’|𝟏 >) 88
  • 89.
    𝑯|𝟎 > =𝑯 𝟏 𝟎 = 𝟏 𝟐 |𝟎 > + 𝟏 𝟐 |𝟏 > = 𝟏/√𝟐 𝟏 𝟏 . Therefore, if we measure or observe the qubit state then we will have exactly 50% chance of seeing the state as either 0 or 1. One of the applications of Hadamard gate is the initialization of a quantum register. Generalizing the H gate multiplication by |0 > to an n-qubit register that stores the value |0 𝑛 > results in a superposition or mixed state 1 qubit Quantum Gate : Hadamard Gate 89
  • 90.
    We can preparen- qubits in the state |0 > and apply to each qubit in parallel its own H gate to produce an equal superposition state of all the qubits in the register 𝐻 𝑛 |0 > = 1/√2 𝑛 𝑗=0 2 π‘›βˆ’1 |𝑗 > 90
  • 91.
  • 92.
    qubit transformation witha Hadamard Gate 92
  • 93.
    Pauli Operators andtheir actions on 1 qubit 93
  • 94.
    The Hadamard gate Representationof measurement in a quantum circuit Circuit Diagram H gate 94
  • 95.
    2 Qubit Gate: Controlled NOT We have to do it with respect to the states |00> , |01> , |10> , and |11>. The matrix will be a 4Γ—4 matrix given by 95
  • 96.
    2 Qubit Gate: Controlled NOT The action of CNOT Gate can be described in terms of the XOR Operation as follows |π‘Ž, 𝑏 > = |π‘Ž, π‘β¨π‘Ž > If the control qubit is |0> , nothing happens to the target qubit. If the control qubit is |1> , the NOT or X Matrix is applied to the target qubit. Prove the results using Matrix Multiplication 96
  • 97.
    Two Qubit Gate: Controlled Hadamard Gate 97
  • 98.
    2 Qubit Gate: Controlled Hadamard Gate Find the action of the CH Gate on the input states |01> and |11> 98
  • 99.
    99 Problem 5.1 Find theaction of CH Gate when the inputs are |01> and |11> McMahon, David M. , Quantum Computing Explained 2008 by John Wiley & Sons Inc ., New Jersey.
  • 100.
    100 The states |01>and |11> may be written in the column vector representation as |01 > = 1 0 0 1 = 0 1 0 0 |11 > = 0 1 0 1 = 0 0 0 1 McMahon, David M. , Quantum Computing Explained 2008 by John Wiley & Sons Inc ., New Jersey.
  • 101.
    101 𝐢𝐻|11 > =1/ 2(|10 > βˆ’ 11 > McMahon, David M. , Quantum Computing Explained 2008 by John Wiley & Sons Inc ., New Jersey.
  • 102.
    102 M. Roetteler andK.M. Svore, 2018, Quantum computing: Codebreaking and beyond, IEEE Security & Privacy 16(5):22-36. Commonly used 1-, 2-, and 3-qubit quantum gates
  • 103.
    103 M. Roetteler andK.M. Svore, 2018, Quantum computing: Code breaking and beyond, IEEE Security & Privacy 16(5):22-36. Commonly used 1-, 2-, and 3-qubit quantum gates
  • 104.
    104 6. Matrix Representationof Serial and Parallel Operations It is sometimes helpful to break down the Quantum Algorithms in terms of matrices. There are two basic rules in this context . The first is that if a Set of Operations is Performed in Series, then this is represented by a Matrix Product. We represent a set of operations performed in series (i.e., in time) by starting with the first operation on the left followed by subsequent operations moving to the right.
  • 105.
    105 The matrix representationof the following sequence of operations is written down by multiplying the matrices in reverse order 𝒁𝑯𝑷 𝜽 π‘π‘Žπ‘› 𝑏𝑒 π‘‘π‘–π‘Žπ‘”π‘Ÿπ‘Žπ‘šπ‘Žπ‘‘π‘–π‘Žπ‘™π‘™π‘¦ π‘ β„Žπ‘œπ‘€π‘› π‘Žπ‘  Circuit Diagram for the application of a Phase Gate followed by Hadamard Gate and Z Gates
  • 106.
    106 Explicitly we have 10 0 βˆ’1 1/√2 1 1 1 βˆ’1 1 0 0 𝑒 π‘–πœƒ = 1/√2 1 𝑒 π‘–πœƒ βˆ’1 𝑒 π‘–πœƒ (ii) When quantum operations are performed in parallel (same time) we compute the Tensor Product , for example Hadamard Gates in Parallel is represented by the following matrix
  • 107.
  • 108.
    108 = 1/(√2^3 )(|000> +|001> +|010> +011> +|100> +|101> +110> +|111> Another Useful Example
  • 109.
    109 Quantum Interference The applicationof a Hadamard gate to an arbitrary qubit is an example of quantum interference. Let’s recall 𝐻|πœ“ > , πœ“ > = 𝛼 0 > + 𝛽 |1 > 𝑯 = 𝟏/√𝟐 𝟏 𝟏 𝟏 βˆ’ 𝟏 , 𝑯|𝝍 > = 𝟏/ 𝟐 𝟏 𝟏 𝟏 βˆ’πŸ 𝜢 𝜷 Thus 𝐻 |πœ“ > = 𝛼+𝛽 2 |0 > + π›Όβˆ’π›½ 2 |1 > 𝑯 √𝟐 (|𝟎 > + 𝟏 > = |𝟎 > 𝒂𝒏𝒅 𝑯 𝟐 (|𝟎 > βˆ’ 𝟏 > = |𝟏 >
  • 110.
    110 Hadamard gate transforms|ψ> β†’ |0 >. This is a manifestation of quantum interferenceβ€”mathematically this means the addition of probability amplitudes. There are two types of interference, positive interference in which probability amplitudes add constructively to increase or negative interference in which probability amplitudes add destructively to decrease. . 𝑯 = 𝟏/√𝟐 𝟏 𝟏 𝟏 βˆ’ 𝟏 , 𝑯|𝝍 > = 𝟏/ 𝟐 𝟏 𝟏 𝟏 βˆ’πŸ 𝜢 𝜷 Thus 𝐻 |πœ“ > = 𝛼+𝛽 2 |0 > + π›Όβˆ’π›½ 2 |1 > 𝑯 √𝟐 (|𝟎 > + 𝟏 > = |𝟎 > 𝒂𝒏𝒅 𝑯 𝟐 (|𝟎 > βˆ’ 𝟏 > = |𝟏 >
  • 111.
    111 In the caseof 𝐻 √2 (|0 > + 1 > = |0 > we have the following 1. Positive interference with regard to the basis state |0> . The two amplitudes add to increase the probability of finding |0> upon measurement. In fact in this case it goes to unity meaning we are certain to find |0>. 2. Negative interference where by the terms |1 > and βˆ’|1 >cancel. We go from a state where there was a 50% chance of finding 1 upon measurement to one where there is no chance of finding 1 upon measurement. Quantum interference plays an important role in the development of Quantum Algorithms.
  • 112.
    112 Elementary Arithmetic Operations+/βˆ’ Step 1. We incorporate the two numbers that we wish to add/subtract in the angles of the rotation gates 𝑅 𝑦 πœƒ π‘Žπ‘›π‘‘ 𝑅 𝑦(πœ‘) , explicitly represented by 𝑹 𝑦 πœƒ = πΆπ‘œπ‘  πœƒ 2 βˆ’π‘†π‘–π‘› πœƒ 2 𝑆𝑖𝑛 πœƒ 2 πΆπ‘œπ‘  πœƒ 2 𝑹 𝑦 πœ‘ = πΆπ‘œπ‘  πœ‘ 2 βˆ’π‘†π‘–π‘› πœ‘ 2 𝑆𝑖𝑛 πœ‘ 2 πΆπ‘œπ‘  πœ‘ 2 Step 2. Prepare a state |𝝍 > 𝑔𝑖𝑣𝑒𝑛 𝑏𝑦 |𝝍 > = 𝑹 𝑦 πœƒ 𝑹 𝑦 πœ™ |𝟎 >
  • 113.
    113 Step 3. 𝑆𝑖𝑛𝑐𝑒𝑅 𝑦 πœƒ 𝑅 𝑦 πœ™ = 𝑅 𝑦[ πœƒ+πœ‘ 2 ] , the final state is |𝝍 > = 𝑹 𝑦 πœƒ + πœ™ 2 |0 > |𝝍 > = 𝑹 𝑦 πœƒ + πœ‘)/2 |0 >= πΆπ‘œπ‘  πœƒ + πœ‘ 2 βˆ’π‘†π‘–π‘› πœƒ + πœ‘ 2 𝑆𝑖𝑛 πœƒ + πœ‘ 2 πΆπ‘œπ‘  πœƒ + πœ‘ 2 1 0 |𝝍 >= πΆπ‘œπ‘ ( πœƒ + πœ‘ 2 ) |𝟎 > + 𝑆𝑖𝑛( πœƒ + πœ‘ 2 ) |𝟏 >
  • 114.
    114 Step 4. Theprobability of finding the state πœ“ > π‘‘π‘œ 𝑏𝑒 𝑖𝑛 π‘ π‘‘π‘Žπ‘‘π‘’ 0 > is given by 𝑷|0 > = |πΆπ‘œπ‘  [ πœƒ + πœ‘ 2 ]| 2 πœƒ + πœ‘ = 2 πΆπ‘œπ‘ βˆ’1 βˆšπ‘·|0 > Thus by measuring the state |𝝍 > 𝑖𝑛 π‘‘β„Žπ‘’ computational basis |0> , |1> , we get P(|0>) from which we obtain the required sum 𝜽 + 𝝋 . Let’s add 0987 and 4589 . Since these two numbers can't fit into the allowable values of the angles πœƒ π‘Žπ‘›π‘‘ πœ‘ , we divide them by 10000 to get 0.0987 and 0.4589. Next with πœƒ = 0.0987 π‘Žπ‘›π‘‘ πœ‘ = 0.4589 , we apply them on initial state |0>. The resulting state is measured subsequently. P|0> = 0.92493 , our required sum is 0:0987 + 0:4589 = 2 πΆπ‘œπ‘ βˆ’1 0.92483 = 0.5550 . The resulting sum is 5550 although we expect it to be 5576. Try to Explore
  • 115.
    115 The quantum circuitfor addition of two numbers. The numbers to be added, 987 and 4589 here, are encoded into the angles of the Ry gates. The second Ry gate is followed by the measurement gate which measures the qubit in the z- basis to give the probability of finding the output state in |0> and |1> i.e., the values of P(|0>) and P(|1>) respectively. From these probabilities, we can calculate the sum of the two numbers. The quantum circuit for addition of two numbers
  • 116.
    116 Elementary Arithmetic OperationsΓ—/Γ· Step 1. We incorporate the two numbers that we wish to multiply in the angles of the rotation gates πœƒ = 2 π‘†π‘–π‘›βˆ’1 π‘š π‘Žπ‘›π‘‘ (πœ‘ = 2 π‘†π‘–π‘›βˆ’1 𝑛) , or π‘š = 𝑆𝑖𝑛 πœƒ 2 π‘Žπ‘›π‘‘ 𝑛 = 𝑆𝑖𝑛 πœ‘ 2 Step 2. We Prepare a state |πœ“ > by applying 𝑅 𝑦 πœƒ π‘Žπ‘›π‘‘ 𝑅 𝑦 πœ‘ gates separately on two qubits initialized in state |0> |𝝍 > = 𝑹 𝑦 πœƒ βŠ— 𝑹 𝑦 πœ™ |00 >
  • 117.
    117 Elementary Arithmetic Operations Step3. Recall that 𝑅 𝑦 πœ‘ = πΆπ‘œπ‘  πœ‘ 2 βˆ’π‘†π‘–π‘› πœ‘ 2 𝑆𝑖𝑛 πœ‘ 2 πΆπ‘œπ‘  πœ‘ 2 And |00 > = |0 > βŠ— |0 > We get 𝝍 > = 𝑹 𝑦 πœƒ βŠ— 𝑹 𝑦 πœ™ 00 > = 𝑹 𝑦 πœƒ |0 > βŠ— 𝑹 𝑦 πœ™ |0 > After a little algebraic manipulation we get |𝝍 > = π‘ͺ𝒐𝒔 𝜽 𝟐 π‘ͺ𝒐𝒔 𝝋 𝟐 |𝟎𝟎 > +π‘ͺ𝒐𝒔 𝜽 𝟐 π‘Ίπ’Šπ’ 𝝋 𝟐 |𝟎𝟏 > +π‘Ίπ’Šπ’ 𝜽 𝟐 π‘ͺ𝒐𝒔 𝝋 𝟐 |𝟏𝟎 > + π‘Ίπ’Šπ’ 𝜽 𝟐 π‘Ίπ’Šπ’ 𝝋 𝟐 |𝟏𝟏 >
  • 118.
    118 Step 4. Itis evident from the above that the probability for finding the state |πœ“ > π‘‘π‘œ 𝑏𝑒 𝑖𝑛 π‘‘β„Žπ‘’ π‘ π‘‘π‘Žπ‘‘π‘’ |11 > is 𝑃 11 > = |𝑆𝑖𝑛 πœƒ 2 𝑆𝑖𝑛 πœ‘ 2 | 2 𝑃 11 > = |π‘šπ‘›| 2 π‘šπ‘› = 𝑃(|11 >)
  • 119.
    119 Let us multiplythe two numbers 42.5 and 52.5 . Since these two numbers can not fit into the allowable values for the angles πœƒ = 2 π‘†π‘–π‘›βˆ’1 π‘š π‘Žπ‘›π‘‘ πœ‘ = 2 π‘ π‘–π‘›βˆ’1 𝑛 (which ranges between -2 and 2) we divide them by 100 to get 0.425 and 0.525. Then we take πœƒ = 2 π‘†π‘–π‘›βˆ’1 0.425 π‘Žπ‘›π‘‘ πœ‘ = 2 π‘ π‘–π‘›βˆ’1 0.525 .. Next, we accordingly construct Ry (0:877) and Ry (1:105) and apply them on an initial state |00>. We then measure the resulting state to find out the probability of getting state |11> using the measurement gate in z-basis. The resulting measurement outcome can be seen in P (|11>) =0.04993 (which is otherwise 4.993%). Hence, referring to step 4, we can find our required sum as 0.425 Γ— 0.525 = 0.049933 = 0.22345 We can see that the resulting multiplication is 2234.5 although we would expect it to be 2231.25.
  • 120.
    120 Reference : ANovel Approach for Basic Arithmetic Operations in Quantum Computing Kanishk Bansal,Subhashish Barik, Bikash K. Behera, Amar Singh Rana, and Prasanta K. Panigrahi , https://www.researchgate.net/publication/340102586_A_Novel_Approach_for_Basic_Arithmetic_ Operations_in_Quantum_Computing The quantum circuit for multiplication of two numbers.
  • 121.
    121 QFT and Shor’sAlgorithm QFT for n=32 , How many qubit registers are required to implement n= 1024 point QFT ?
  • 122.
  • 123.
    123 Research Trends inQuantum Computing 1. Quantum and Post-Quantum Cryptography National Institute of Standards and Technology, 2018, β€œPost-Quantum Cryptography,” last modified May 29, 2018, http://csrc.nist.gov/groups/ST/post-quantum-crypto/ 2. Quantum Solver for Linear System of Equations : Aram Harrow MIT 3. Quantum Computational Complexity , Waltrous , Waterloo Canada 4.Superconducting Quantum Processor : William Oliver MIT Experimental 5.Quantum Support Vector Machine for big data classification. Physical review letters, 113(13):130503, 2014. MIT 6. Quantum Hopfield neural network , Seth Loyd MIT 2018 7. Quantum algorithms for supervised and unsupervised machine learning MIT 8. Quantum Genetic Algorithms Exeter UK ,Spain ,Italy ,Korea Convergence of Quantum GA : Quantum Schema Theorem 9. Quantum Programming Lagnuages and Compilers Princeton Chicago 10. Classical Homomorphic Encryption for Quantum Circuits UC Berkeley 11. Quantum Error Correcting Codes Caltech 12. https://www.ibm.com/blogs/research/2019/12/qiskit-openpulse/ Open Resource : IBM Q Experience
  • 124.
  • 125.
    Trapped Ion QuantumComputer 125 Emily Grumbling and Mark Horowitz ; Quantum Computing: Progress and Prospects ; Washington, DC: The National Academies Press. 2019
  • 126.
    126 Google has reachedquantum supremacy – here's what it should do next Read more: https://www.newscientist.com/article/2217835-google-has-reached- quantum-supremacy-heres-what-it-should-do-next/#ixzz6Q4qoLc00 New Scientist 5th October , 2019
  • 127.
    127 MIT Technology Review2018 IBM's new 53-qubit quantum computer is the most powerful machine
  • 128.
    128 Quantum supremacy isnot universal - there will always be some tasks that classical computers will do better than quantum computers. The IBM and Google quantum computers are built in similar ways. Microsoft, DWave, Intel and IonQ have quantum computer ventures, with different designs.
  • 129.
  • 130.
    Andrew Glassner ,Quantum Computing, Part 1 , IEEE Computer Graphics and Applications , July’August 2001 Andrew Glassner , Quantum Computing, Part 2 , IEEE Computer Graphics and Applications , Sept./October 2001 Andrew Glassner , Quantum Computing, Part 3 , IEEE Computer Graphics and Applications , Nov./December, 2001 DMITRI MASLOV ,YUNSEONG NAM , JUNGSANG KIM , An Outlook for Quantum Computing , Vol. 107, No. 1 PROCEEDINGS OF THE IEEE . , January 2019 , Pp. 5-10 . Emily Grumbling and Mark Horowitz ; Quantum Computing: Progress and Prospects ; Washington, DC: The National Academies Press. 2019 ; Pp.272 https://doi.org/10.17226/25196 Aaronson,Scot , The Limits of Quantum , Scientific American , March 2008 , p. 62-69 ELEANOR RIEFFEL , WOLFGANG POLAK , An Introduction to Quantum Computing for Non-Physicists , ACM Computing Surveys, Vol. 32, No. 3, September 2000, pp. 300–335. SALONIK RESCH, ULYA R. KARPUZCU, Quantum Computing: An Overview Across the System Stack , 2919, https://arxiv.org/abs/1905.07240 Michael A Nielsen and Isaac L Chuang. Quantum computation and quantum information, Cambridge University Press , 2010 Peter Shor’s Web page at http://www.research.att.com/~shor/papers/ . L.K. Grover, β€œQuantum Mechanics Helps In Searching For A Needle In A Haystack,” Physical Review Letters, vol. 79, no.2, July 1997, pp. 325-328. L.K. Grover, A Framework for Fast Quantum Mechanical Algorithms, LANL 9711043, 1997. https://arxiv.org/abs/quant- ph/9711043 Artur Ekert, Patrick Hayden and Hitoshi Inamori , Basic concepts in quantum computation , https://arxiv.org/pdf/quant- ph/0011013.pdf John Preskill Lecture Notes , http://www.theory.caltech.edu/~preskill/ph229 McMahon, David (David M.) . Quantum Computing Explained 2008 by John Wiley & Sons Inc ., New Jersey. A Novel Approach for Basic Arithmetic Operations in Quantum Computing , Kanishk Bansal,Subhashish Barik, Bikash K. Behera, Amar Singh Rana, and Prasanta K. Panigrahi , https://www.researchgate.net/publication/340102586_A_Novel_Approach_for_Basic_Arithmetic_Operations_in_Quantum_Co mputing 130 Selected References