Bulletin of Electrical Engineering and Informatics Vol. 7, No. 3, September 2018, pp. 458~464 ISSN: 2302-9285, DOI: 10.11591/eei.v7i3.1278  458 Journal homepage: http://journal.portalgaruda.org/index.php/EEI/index Dynamic Economic Dispatch Assessment Using Particle Swarm Optimization Technique Muhammad Murtadha Othman1 , Mohd Affendi Ismail Salim2 , Ismail Musirin3 , Nur Ashida Salim4 , Mohammad Lutfi Othman5 1,2,3,4 Faculty of Electrical Engineering, Universiti Teknologi MARA, 40450 Shah Alam, Selangor, Malaysia 5 Centre for Advanced Power and Energy Research and Department of Electrical and Electronics Engineering, Faculty of Engineering, Universiti Putra Malaysia, 43400 UPM Serdang, Selangor, Malaysia Article Info ABSTRACT Article history: Received May 12, 2018 Revised Jul 20, 2018 Accepted Aug 11, 2018 This paper presents the application of Particle Swarm Optimization (PSO) technique for solving the Dynamic Economic Dispatch (DED) problem. The DED is one of the main functions in power system planning in order to obtain optimum power system operation and control. It determines the optimal operation of generating units at every predicted load demands over a certain period of time. The optimum operation of generating units is obtained by referring to the minimum total generation cost while the system is operating within its limits. The DED based PSO technique is tested on a 9- bus system containing of three generator bus, six load bus and twelve transmission lines. Keywords: Dynamic Economic Dispatch (DED) Particle Swarm Optimization (PSO) technique Copyright © 2018 Institute of Advanced Engineering and Science. All rights reserved. Corresponding Author: Muhammad Murtadha Othman, Faculty of Electrical Engineering, Universiti Teknologi MARA, 40450 Shah Alam, Selangor, Malaysia. Email: mamat505my@yahoo.com 1. INTRODUCTION DED is used to determine the optimal schedule of generating outputs on-line so as to meet the load demand at the minimum operating cost under various system and operating constraints over the entire dispatch periods. DED is an extension of the conventional economic dispatch problem that takes into consideration the limits on the ramp rate of generating units to maintain the life of generation equipment. The ramp rate constraints distinguish the DED problem from the traditional, static Economic Dispatch (ED) [1],[2]. In general, the DED is solved by discretization of the entire dispatch period into a number of small time periods. Therefore, the static economic dispatch in each dispatch period is solved subject to the power balance constraints and generator operating limits. Previous efforts on solving static ED problems have employed various mathematical programming methods and optimization techniques. These conventional methods include the lambda-iteration method, the base point and participation factors method, the gradient method and dynamic programming (DP) [3]. Unfortunately, for generating units with non-linear characteristics, such as prohibited operating zones, ramp rate limits, and non-convex cost functions, the conventional methods can hardly to obtain the optimal solution. Furthermore, for a large-scale mixed-generating system, the conventional method has oscillatory problem resulting in a local minimum solution or a longer solution time [4]. In order to make numerical methods more convenient in solving non-convex DED problems, artificial intelligent techniques, such as the gradient-type Hopfield neural networks, have been employed to
BEEI ISSN: 2302-9285  Dynamic Economic Dispatch Assessment Using Particle Swarm... (Muhammad Murtadha Othman) 459 solve DED problems for units with ramping rate limit and spinning reserve constraint [5]. However, an unsuitable transfer function adopted in the Hopfield model may suffer from excessive numerical iterations, resulting in huge calculations [6]. In the past decade, the global optimization techniques known as genetic algorithms (GA), simulated annealing (SA), tabu search (TS), and evolutionary programming (EP), which are the forms of probabilistic heuristic algorithm, have been successfully used to overcome the non-convexity problems of the constrained ED [7],[8]. The GA method has usually better efficiency than the SA method because the GA has parallel search techniques, which emulate natural genetic operations. Due to its high potential for global optimization, GA has received great attention in solving DED problems. Therefore, PSO based economic dispatch algorithm has been reported and it has been shown that the algorithm is capable of finding the global or near global optimum solutions for large optimization problems. This paper presents an application of PSO technique to solve the DED problem in a power system. A 9 bus system containing of three generator bus, six load bus and twelve transmission lines is used as case study to show the effectiveness of the PSO technique over DED. The DED is determined by referring to the best minimum of total generation cost. The best minimum of total generation cost is determined by gbest value produced from PSO. 2. DED METHODOLOGY The objective function of dynamic economic dispatch (DED) is to schedule the outputs economically over a certain period of time under various system and operational constraints. The problem is formulated as follows:  = = = T t N i it it t P F F 1 1 ) ( (1) where; Ft: total operating cost over the whole dispatch period. T: number of hours in the time horizon. N: number generating units. Fit (Pit): fuel cost in terms of its real power output, Pit , at time, t. The thermal plant can be expressed as input-output models where the input is the electric power output of each unit and the output is the fuel cost. The quadratic fuel cost function is given as follows: 2 ) ( it i it i i it it P c P b a P F + + = (2) where; 𝑎𝑖 , 𝑏𝑖, 𝑐𝑖 : fuel cost coefficients of the ith generator. The objective function of DED is acquired by fulfilling the equality constraint of real power balance and inequality constraint of real power operating given in Equations 3 and 4, respectively. Lt Dt N i it P P P + =  =1 (3) where; Dt P : forecasted total power demand at time, t. Lt P : transmission loss at time, t. max min it it it P P P   (4) where; min it P : minimum real power output of generator i that can supply at time, t. max it P : maximum real power output of generator i that can supply at time, t. 2.1. Representation of Particle Positions In an initial process of PSO that is k=1 the positions or components (generating units) for each particle is randomly initialized within the feasible range such a way that it should satisfy the constraint given by Equation 4. In every jth particle ( t j X , ), there are N, total number of generators at every time interval, t. The arrangement of generator’s components or positions for each particle, j, is shown in Equation 5.
 ISSN: 2302-9285 BEEI, Vol. 7, No. 3, September 2018 : 458 – 464 460               = NT N N T T j S S S S S S S S S X        2 1 2 22 21 1 12 11 (5) where; it P = it S : component or position of a particle, which is the real power output of, ith , generating unit at time interval, t. j : number of particles. The best particle, j X , is selected which gives a minimum value of generation cost function given by Equation 1. This shows that the best, j X , is referred to as, gbest, of all particles in the current iteration. 2.2. PSO Technique Kennedy et al. [9]-[11] has mentioned that the PSO is basically developed through simulation of bird flocking in two-dimension space. The position of each particle is represented by XY co-ordinate. The velocity is expressed by Vx (the velocity of X axis) and Vy (the velocity of Y axis). Modification of the particle position is realized by position and velocity information. Bird flocking optimizes a certain objective function. Each particle knows its best value so far (pbest) and its XY position. This information is analogous to personal experiences of each particle. Moreover, each particle knows the best value so far in the group (gbest) among pbests. This information is analogous to knowledge of how the other agents around them have performed. Now, each agent tries to modify its position using the information, such as, the current positions (x, y), the current velocities (Vx,Vy), the distance between the current position and pbesti and the distance between the current position and gbest. These modifications can be represented by the concept of velocity. Velocity of each particle can be modified by the following equation: ) ( ) ( 2 2 1 1 1 k i k i i k i k i S gbest rand c S pbest rand c wV V − + − + = + (6) The following weighting function usually utilized in Equation 1. iter iter w w w w       − − = max min max max ) ( (7) where; max w : maximum inertia weight min w : minimum inertia weight max iter : maximum iteration number iter : current iteration number Using the Equation 7, a certain velocity, which gradually gets close to pbest and gbest can be calculated. The current position (searching point in the solution space) can be modified by the following equation. 1 1 + + + = k i k i k i V S S (8) where; k i V : velocity of particle j at iteration k. 1 + k i V : velocity of particle j at iteration k+1. w: inertia weight factor. 1 c : constant weighting factor related to pbest. 2 c : constant weighting factor related to gbest. 1 rand : random number between 0 and 1. 2 rand : random number between 0 and 1. k i S : current position of particle j at iteration k. 1 + k i S : current position of particle j at iteration k+1. i pbest : best position of particle j.
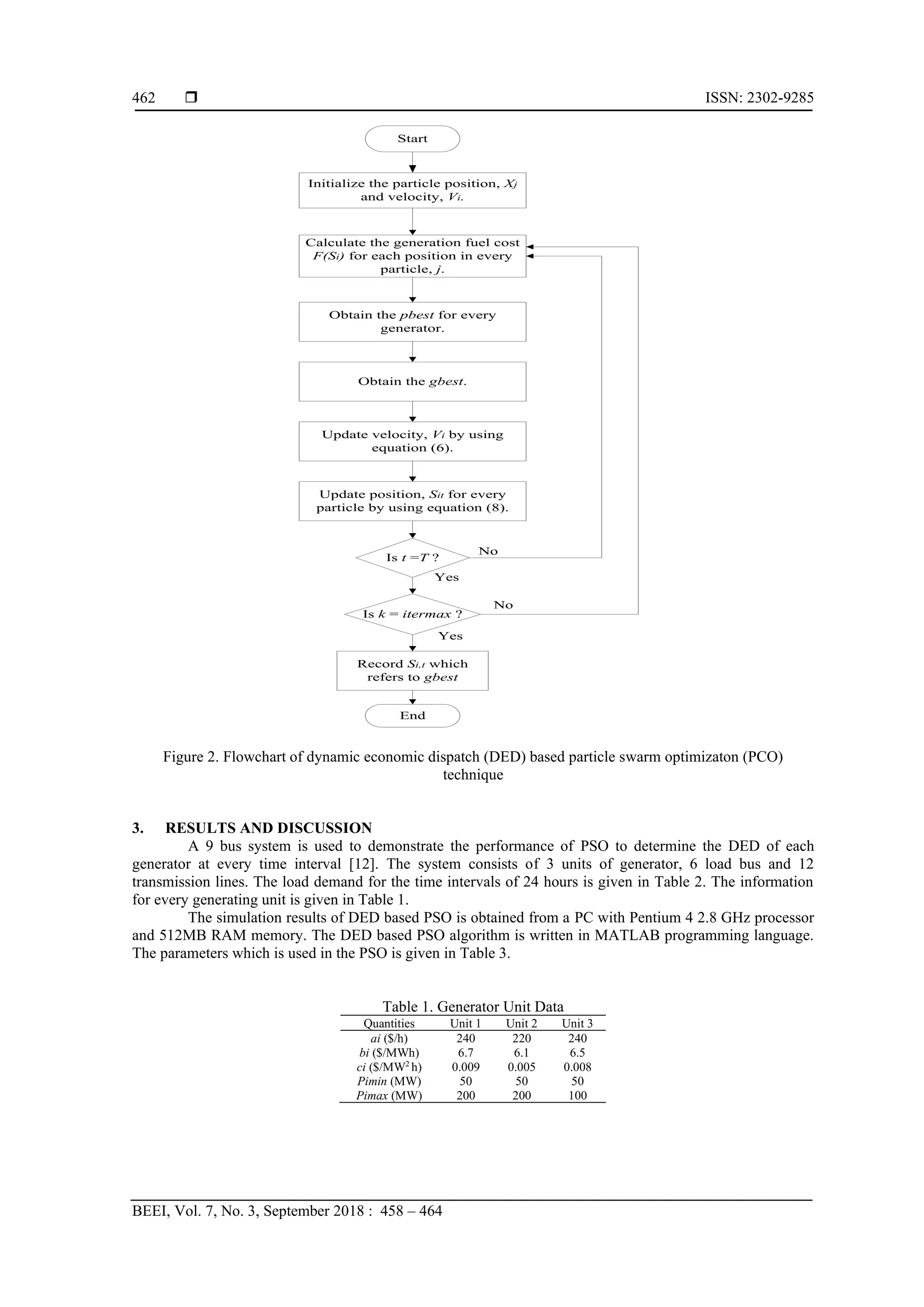
BEEI ISSN: 2302-9285  Dynamic Economic Dispatch Assessment Using Particle Swarm... (Muhammad Murtadha Othman) 461 gbest : best particle. The basic procedure of PSO is presented in term of flow chart shown in Figure 1. Start Generation of initial conditions or positions of each particle, Update new velocity, by using equation (6). Update new position, by using equation (8). Is k = itermax ? Yes No 1 + k i V 1 + k i S End t j X , Figure 1. Flowchart of PSO procedure 2.3. DED based PSO Technique The procedures of PSO technique that used for solving the DED for every time interval are explained as follows: a. Initialize the particle, j X and velocity, i V . The velocity, i V should be in the range of [Vmax,Vmin] and each particle should satisfy the constraint given by Equation 4. b. Calculate the generation fuel cost F( i S ) for each position or generator, i S in every particle, j. c. Obtain the pbest for every generator which refers to the minimum generation fuel cost. d. Obtain the gbest which refers to a particle with minimum amount of total fuel cost. e. Update i V by using Equation 6. If i V < min i V then, i V = min i V . On the other hand, if i V > max i V then, i V = max i V . f. Update it S for every particle by using Equation 8. Check whether each generator’s output is within its operating limit. If i S < min i S then, i S = min i S . Besides that, if i S > max i S then, i S = max i S . g. Go to the next time interval, t. Repeat procedure b) – f) until t=T. h. Repeat procedure b) – g) until k=itermax. i. Record the t i S , which refers to gbest. The procedures of PSO technique that used for solving the DED for every time interval are presented in term of flow chart shown in Figure 2.
 ISSN: 2302-9285 BEEI, Vol. 7, No. 3, September 2018 : 458 – 464 462 Initialize the particle position, Xj and velocity, Vi. Calculate the generation fuel cost F(Si) for each position in every particle, j. Obtain the pbest for every generator. Obtain the gbest. Update velocity, Vi by using equation (6). Is t =T ? Is k = itermax ? Update position, Sit for every particle by using equation (8). No Yes Start Yes No End Record Si,t which refers to gbest Figure 2. Flowchart of dynamic economic dispatch (DED) based particle swarm optimizaton (PCO) technique 3. RESULTS AND DISCUSSION A 9 bus system is used to demonstrate the performance of PSO to determine the DED of each generator at every time interval [12]. The system consists of 3 units of generator, 6 load bus and 12 transmission lines. The load demand for the time intervals of 24 hours is given in Table 2. The information for every generating unit is given in Table 1. The simulation results of DED based PSO is obtained from a PC with Pentium 4 2.8 GHz processor and 512MB RAM memory. The DED based PSO algorithm is written in MATLAB programming language. The parameters which is used in the PSO is given in Table 3. Table 1. Generator Unit Data Quantities Unit 1 Unit 2 Unit 3 ai ($/h) 240 220 240 bi ($/MWh) 6.7 6.1 6.5 ci ($/MW2 h) 0.009 0.005 0.008 Pimin (MW) 50 50 50 Pimax (MW) 200 200 100
BEEI ISSN: 2302-9285  Dynamic Economic Dispatch Assessment Using Particle Swarm... (Muhammad Murtadha Othman) 463 Table 2. Load Demand for 24 Hours Time (h) Load (MW) Time (h) Load (MW) 1 185 13 263 2 174 14 263 3 166 15 257 4 163 16 260 5 163 17 274 6 166 18 277 7 205 19 277 8 238 20 266 9 263 21 252 10 266 22 230 11 266 23 202 12 263 24 174 Table 3. PSO Parameters Particle, m 3 Maximum iteration, itermax 300 Maximum velocity, Vmax 20 Minimum velocity, Vmin -20 Maximum inertia weight, Wmax 0.9 Minimum inertia weight, Wmin 0.4 1 c 1.4 2 c 1.4 The MW for every generating unit is represented by P1, P2 and P3. The MW optimal generating units for every time interval are given in Table 4. As shown in the Table 4, the optimal total cost function for one day is $61,024. Maximum of the optimal total cost function has been recorded at 3rd hour that is $3461.4. Besides that, minimum of the optimal total cost function has been recorded at 21st hour that is $1868.8. The MW optimal generating unit for each hour satisfies the system constraint which is given by Equation 4. Table 4. MW Optimal Generating Unit for 24 Hours Number of hour P1 (MW) P2 (MW) P3 (MW) Cost ($/h), ) ( it it P F 1 56.4611 176.0581 87.9029 2644.8 2 60.5929 113.5555 76.8837 2124.5 3 188.0138 54.1272 80.3242 3461.4 4 77.7955 168.3587 60.0683 2880 5 77.8623 120.4124 60.8799 2860.8 6 124.6537 126.6526 73.4685 2254 7 138.3174 141.0948 77.6490 2659 8 85.6192 180.0280 51.1691 3097.9 9 149.6275 80.0374 74.0888 2096.9 10 60.0764 144.8219 78.6349 2205.9 11 98.8939 170.5141 68.0518 2413.6 12 99.0865 122.2892 67.1286 2818 13 84.7880 116.2985 73.5884 2382.4 14 56.2278 148.8529 50.0000 3052.3 15 171.0245 88.2155 77.7500 2342.2 16 59.4741 115.6919 66.7755 2330.5 17 72.7171 80.2540 66.8461 2792.3 18 50.0000 147.4034 72.7955 2836.2 19 75.9820 138.0081 69.0557 2066.7 20 63.3240 100.6265 60.3924 2429.1 21 102.2622 135.2888 75.8194 1868.8 22 113.4904 92.6163 95.5837 1903.4 23 69.0953 103.0837 74.0524 2573.5 24 93.8275 141.8791 77.7489 2930.1 Total Cost ($/h), Ft 61,024 Table 5. Computing Time and Total Generation Cost Technique Total Generation Cost ($/h) Computing Time (s) PSO 61,024.00 37.12
 ISSN: 2302-9285 BEEI, Vol. 7, No. 3, September 2018 : 458 – 464 464 4. CONCLUSION Dynamic economic dispatch is a complex optimization problem whose importance may increase as competition in power generation intensifies. The DED planning must perform the optimal generation dispatch among the operating units to satisfy the system load demand, spinning reserve capacity, and practical operation constraints of generators. PSO is a recent tool for solving complex optimization problems, being attracted by the researchers in various diverse fields. It was also effectively used in solving complex problems in the power system field. It is faster in finding quality solution compared to any evolutionary computation technique but finds it difficult while exploring complex functions. It leads to premature convergence and also has a poor fine tuning of the final solution. The PSO algorithm has been demonstrated to have superior features, including high-quality solution and good computation efficiency. The results showed that the proposed PSO method was indeed capable of obtaining higher quality solution efficiently in constrained DED problems. ACKNOWLEDGEMENT The authors would like to acknowledge the Institute of Research Management & Innovation (IRMI), UiTM Shah Alam, Selangor, Malaysia for the financial support of this research. This research is supported by IRMI under the BESTARI Research Grant Scheme with project code: 600-IRMI/DANA 5/3/BESTARI (119/2018). REFERENCES [1] Zou D., et al., “Solving the Dynamic Economic Dispatch by a Memory-Based Global Differential Evolution and a Repair Technique of Constraint Handling,” Energy, vol. 147, pp. 59-80, 2018. [2] Ding T. and Bie Z., “Parallel Augmented Lagrangian Relaxation for Dynamic Economic Dispatch Using Diagonal Quadratic Approximation Method,” IEEE Transactions on Power Systems, vol/issue: 32(2), pp. 1115-1126, 2018. [3] Asvany T., et al., “To Solve Economic Dispatch Problem Using Cooperative Particle Swarm Optimization Algorithm,” IIOAB Journal, vol/issue: 8(2), pp. 191-198, 2017. [4] Yare Y., “Intelligent Power System Operation in an Uncertain Environment,” PhD Thesis. Missouri University of Science and Technology, 2010. [5] Belhachem R., et al., “A Survey on Non Convex Dynamic Economic Dispatch Optimization Using Artificial Intelligence Techniques,” Acta Electrotehnica, vol. 54, 2013. [6] Benhamida F., et al., “Dynamic Economic Dispatch Solution with Practical Constraints Using a Recurrent Neural Network,” Przegląd Elektrotechniczny, vol/issue: 87(8), pp. 149-153, 2011. [7] Adarsh B. R., et al., “Economic Dispatch Using Chaotic Bat Algorithm,” Energy, vol. 96, pp. 666-675, 2016. [8] Kamboj V. K., et al., “Solution of Non-Convex Economic Load Dispatch Problem for Small-Scale Power Systems Using Ant Lion Optimizer,” Neural Computing and Applications, vol/issue: 28(8), pp. 2181-2192, 2017. [9] Kennedy J. and Eberhart R., “Particle Swarm Optimization,” IEEE International Conference on Neural Networks (ICNN’95). Perth, Australia, vol. IV, pp. 1942-1948, 1995. [10] Kennedy J. and Eberhart R., “Swarm Intelligence,” Morgan Kaufmann Publishers, 2001. [11] Kennedy J. and Eberhart R., “A Discrete Binary Version of the Particle Swarm Optimization Algorithm,” IEEE International Conference on Systems, Man and Cybernetic (SMC’97). Orlando, Florida, USA, pp. 4104-4109, 1997. [12] Saadat H., “Power System Analysis,” Third Edition. PSA Publishing, 2010.

Dynamic Economic Dispatch Assessment Using Particle Swarm Optimization Technique

  • 1.
    Bulletin of ElectricalEngineering and Informatics Vol. 7, No. 3, September 2018, pp. 458~464 ISSN: 2302-9285, DOI: 10.11591/eei.v7i3.1278  458 Journal homepage: http://journal.portalgaruda.org/index.php/EEI/index Dynamic Economic Dispatch Assessment Using Particle Swarm Optimization Technique Muhammad Murtadha Othman1 , Mohd Affendi Ismail Salim2 , Ismail Musirin3 , Nur Ashida Salim4 , Mohammad Lutfi Othman5 1,2,3,4 Faculty of Electrical Engineering, Universiti Teknologi MARA, 40450 Shah Alam, Selangor, Malaysia 5 Centre for Advanced Power and Energy Research and Department of Electrical and Electronics Engineering, Faculty of Engineering, Universiti Putra Malaysia, 43400 UPM Serdang, Selangor, Malaysia Article Info ABSTRACT Article history: Received May 12, 2018 Revised Jul 20, 2018 Accepted Aug 11, 2018 This paper presents the application of Particle Swarm Optimization (PSO) technique for solving the Dynamic Economic Dispatch (DED) problem. The DED is one of the main functions in power system planning in order to obtain optimum power system operation and control. It determines the optimal operation of generating units at every predicted load demands over a certain period of time. The optimum operation of generating units is obtained by referring to the minimum total generation cost while the system is operating within its limits. The DED based PSO technique is tested on a 9- bus system containing of three generator bus, six load bus and twelve transmission lines. Keywords: Dynamic Economic Dispatch (DED) Particle Swarm Optimization (PSO) technique Copyright © 2018 Institute of Advanced Engineering and Science. All rights reserved. Corresponding Author: Muhammad Murtadha Othman, Faculty of Electrical Engineering, Universiti Teknologi MARA, 40450 Shah Alam, Selangor, Malaysia. Email: mamat505my@yahoo.com 1. INTRODUCTION DED is used to determine the optimal schedule of generating outputs on-line so as to meet the load demand at the minimum operating cost under various system and operating constraints over the entire dispatch periods. DED is an extension of the conventional economic dispatch problem that takes into consideration the limits on the ramp rate of generating units to maintain the life of generation equipment. The ramp rate constraints distinguish the DED problem from the traditional, static Economic Dispatch (ED) [1],[2]. In general, the DED is solved by discretization of the entire dispatch period into a number of small time periods. Therefore, the static economic dispatch in each dispatch period is solved subject to the power balance constraints and generator operating limits. Previous efforts on solving static ED problems have employed various mathematical programming methods and optimization techniques. These conventional methods include the lambda-iteration method, the base point and participation factors method, the gradient method and dynamic programming (DP) [3]. Unfortunately, for generating units with non-linear characteristics, such as prohibited operating zones, ramp rate limits, and non-convex cost functions, the conventional methods can hardly to obtain the optimal solution. Furthermore, for a large-scale mixed-generating system, the conventional method has oscillatory problem resulting in a local minimum solution or a longer solution time [4]. In order to make numerical methods more convenient in solving non-convex DED problems, artificial intelligent techniques, such as the gradient-type Hopfield neural networks, have been employed to
  • 2.
    BEEI ISSN: 2302-9285 Dynamic Economic Dispatch Assessment Using Particle Swarm... (Muhammad Murtadha Othman) 459 solve DED problems for units with ramping rate limit and spinning reserve constraint [5]. However, an unsuitable transfer function adopted in the Hopfield model may suffer from excessive numerical iterations, resulting in huge calculations [6]. In the past decade, the global optimization techniques known as genetic algorithms (GA), simulated annealing (SA), tabu search (TS), and evolutionary programming (EP), which are the forms of probabilistic heuristic algorithm, have been successfully used to overcome the non-convexity problems of the constrained ED [7],[8]. The GA method has usually better efficiency than the SA method because the GA has parallel search techniques, which emulate natural genetic operations. Due to its high potential for global optimization, GA has received great attention in solving DED problems. Therefore, PSO based economic dispatch algorithm has been reported and it has been shown that the algorithm is capable of finding the global or near global optimum solutions for large optimization problems. This paper presents an application of PSO technique to solve the DED problem in a power system. A 9 bus system containing of three generator bus, six load bus and twelve transmission lines is used as case study to show the effectiveness of the PSO technique over DED. The DED is determined by referring to the best minimum of total generation cost. The best minimum of total generation cost is determined by gbest value produced from PSO. 2. DED METHODOLOGY The objective function of dynamic economic dispatch (DED) is to schedule the outputs economically over a certain period of time under various system and operational constraints. The problem is formulated as follows:  = = = T t N i it it t P F F 1 1 ) ( (1) where; Ft: total operating cost over the whole dispatch period. T: number of hours in the time horizon. N: number generating units. Fit (Pit): fuel cost in terms of its real power output, Pit , at time, t. The thermal plant can be expressed as input-output models where the input is the electric power output of each unit and the output is the fuel cost. The quadratic fuel cost function is given as follows: 2 ) ( it i it i i it it P c P b a P F + + = (2) where; 𝑎𝑖 , 𝑏𝑖, 𝑐𝑖 : fuel cost coefficients of the ith generator. The objective function of DED is acquired by fulfilling the equality constraint of real power balance and inequality constraint of real power operating given in Equations 3 and 4, respectively. Lt Dt N i it P P P + =  =1 (3) where; Dt P : forecasted total power demand at time, t. Lt P : transmission loss at time, t. max min it it it P P P   (4) where; min it P : minimum real power output of generator i that can supply at time, t. max it P : maximum real power output of generator i that can supply at time, t. 2.1. Representation of Particle Positions In an initial process of PSO that is k=1 the positions or components (generating units) for each particle is randomly initialized within the feasible range such a way that it should satisfy the constraint given by Equation 4. In every jth particle ( t j X , ), there are N, total number of generators at every time interval, t. The arrangement of generator’s components or positions for each particle, j, is shown in Equation 5.
  • 3.
     ISSN: 2302-9285 BEEI,Vol. 7, No. 3, September 2018 : 458 – 464 460               = NT N N T T j S S S S S S S S S X        2 1 2 22 21 1 12 11 (5) where; it P = it S : component or position of a particle, which is the real power output of, ith , generating unit at time interval, t. j : number of particles. The best particle, j X , is selected which gives a minimum value of generation cost function given by Equation 1. This shows that the best, j X , is referred to as, gbest, of all particles in the current iteration. 2.2. PSO Technique Kennedy et al. [9]-[11] has mentioned that the PSO is basically developed through simulation of bird flocking in two-dimension space. The position of each particle is represented by XY co-ordinate. The velocity is expressed by Vx (the velocity of X axis) and Vy (the velocity of Y axis). Modification of the particle position is realized by position and velocity information. Bird flocking optimizes a certain objective function. Each particle knows its best value so far (pbest) and its XY position. This information is analogous to personal experiences of each particle. Moreover, each particle knows the best value so far in the group (gbest) among pbests. This information is analogous to knowledge of how the other agents around them have performed. Now, each agent tries to modify its position using the information, such as, the current positions (x, y), the current velocities (Vx,Vy), the distance between the current position and pbesti and the distance between the current position and gbest. These modifications can be represented by the concept of velocity. Velocity of each particle can be modified by the following equation: ) ( ) ( 2 2 1 1 1 k i k i i k i k i S gbest rand c S pbest rand c wV V − + − + = + (6) The following weighting function usually utilized in Equation 1. iter iter w w w w       − − = max min max max ) ( (7) where; max w : maximum inertia weight min w : minimum inertia weight max iter : maximum iteration number iter : current iteration number Using the Equation 7, a certain velocity, which gradually gets close to pbest and gbest can be calculated. The current position (searching point in the solution space) can be modified by the following equation. 1 1 + + + = k i k i k i V S S (8) where; k i V : velocity of particle j at iteration k. 1 + k i V : velocity of particle j at iteration k+1. w: inertia weight factor. 1 c : constant weighting factor related to pbest. 2 c : constant weighting factor related to gbest. 1 rand : random number between 0 and 1. 2 rand : random number between 0 and 1. k i S : current position of particle j at iteration k. 1 + k i S : current position of particle j at iteration k+1. i pbest : best position of particle j.
  • 4.
    BEEI ISSN: 2302-9285 Dynamic Economic Dispatch Assessment Using Particle Swarm... (Muhammad Murtadha Othman) 461 gbest : best particle. The basic procedure of PSO is presented in term of flow chart shown in Figure 1. Start Generation of initial conditions or positions of each particle, Update new velocity, by using equation (6). Update new position, by using equation (8). Is k = itermax ? Yes No 1 + k i V 1 + k i S End t j X , Figure 1. Flowchart of PSO procedure 2.3. DED based PSO Technique The procedures of PSO technique that used for solving the DED for every time interval are explained as follows: a. Initialize the particle, j X and velocity, i V . The velocity, i V should be in the range of [Vmax,Vmin] and each particle should satisfy the constraint given by Equation 4. b. Calculate the generation fuel cost F( i S ) for each position or generator, i S in every particle, j. c. Obtain the pbest for every generator which refers to the minimum generation fuel cost. d. Obtain the gbest which refers to a particle with minimum amount of total fuel cost. e. Update i V by using Equation 6. If i V < min i V then, i V = min i V . On the other hand, if i V > max i V then, i V = max i V . f. Update it S for every particle by using Equation 8. Check whether each generator’s output is within its operating limit. If i S < min i S then, i S = min i S . Besides that, if i S > max i S then, i S = max i S . g. Go to the next time interval, t. Repeat procedure b) – f) until t=T. h. Repeat procedure b) – g) until k=itermax. i. Record the t i S , which refers to gbest. The procedures of PSO technique that used for solving the DED for every time interval are presented in term of flow chart shown in Figure 2.
  • 5.
     ISSN: 2302-9285 BEEI,Vol. 7, No. 3, September 2018 : 458 – 464 462 Initialize the particle position, Xj and velocity, Vi. Calculate the generation fuel cost F(Si) for each position in every particle, j. Obtain the pbest for every generator. Obtain the gbest. Update velocity, Vi by using equation (6). Is t =T ? Is k = itermax ? Update position, Sit for every particle by using equation (8). No Yes Start Yes No End Record Si,t which refers to gbest Figure 2. Flowchart of dynamic economic dispatch (DED) based particle swarm optimizaton (PCO) technique 3. RESULTS AND DISCUSSION A 9 bus system is used to demonstrate the performance of PSO to determine the DED of each generator at every time interval [12]. The system consists of 3 units of generator, 6 load bus and 12 transmission lines. The load demand for the time intervals of 24 hours is given in Table 2. The information for every generating unit is given in Table 1. The simulation results of DED based PSO is obtained from a PC with Pentium 4 2.8 GHz processor and 512MB RAM memory. The DED based PSO algorithm is written in MATLAB programming language. The parameters which is used in the PSO is given in Table 3. Table 1. Generator Unit Data Quantities Unit 1 Unit 2 Unit 3 ai ($/h) 240 220 240 bi ($/MWh) 6.7 6.1 6.5 ci ($/MW2 h) 0.009 0.005 0.008 Pimin (MW) 50 50 50 Pimax (MW) 200 200 100
  • 6.
    BEEI ISSN: 2302-9285 Dynamic Economic Dispatch Assessment Using Particle Swarm... (Muhammad Murtadha Othman) 463 Table 2. Load Demand for 24 Hours Time (h) Load (MW) Time (h) Load (MW) 1 185 13 263 2 174 14 263 3 166 15 257 4 163 16 260 5 163 17 274 6 166 18 277 7 205 19 277 8 238 20 266 9 263 21 252 10 266 22 230 11 266 23 202 12 263 24 174 Table 3. PSO Parameters Particle, m 3 Maximum iteration, itermax 300 Maximum velocity, Vmax 20 Minimum velocity, Vmin -20 Maximum inertia weight, Wmax 0.9 Minimum inertia weight, Wmin 0.4 1 c 1.4 2 c 1.4 The MW for every generating unit is represented by P1, P2 and P3. The MW optimal generating units for every time interval are given in Table 4. As shown in the Table 4, the optimal total cost function for one day is $61,024. Maximum of the optimal total cost function has been recorded at 3rd hour that is $3461.4. Besides that, minimum of the optimal total cost function has been recorded at 21st hour that is $1868.8. The MW optimal generating unit for each hour satisfies the system constraint which is given by Equation 4. Table 4. MW Optimal Generating Unit for 24 Hours Number of hour P1 (MW) P2 (MW) P3 (MW) Cost ($/h), ) ( it it P F 1 56.4611 176.0581 87.9029 2644.8 2 60.5929 113.5555 76.8837 2124.5 3 188.0138 54.1272 80.3242 3461.4 4 77.7955 168.3587 60.0683 2880 5 77.8623 120.4124 60.8799 2860.8 6 124.6537 126.6526 73.4685 2254 7 138.3174 141.0948 77.6490 2659 8 85.6192 180.0280 51.1691 3097.9 9 149.6275 80.0374 74.0888 2096.9 10 60.0764 144.8219 78.6349 2205.9 11 98.8939 170.5141 68.0518 2413.6 12 99.0865 122.2892 67.1286 2818 13 84.7880 116.2985 73.5884 2382.4 14 56.2278 148.8529 50.0000 3052.3 15 171.0245 88.2155 77.7500 2342.2 16 59.4741 115.6919 66.7755 2330.5 17 72.7171 80.2540 66.8461 2792.3 18 50.0000 147.4034 72.7955 2836.2 19 75.9820 138.0081 69.0557 2066.7 20 63.3240 100.6265 60.3924 2429.1 21 102.2622 135.2888 75.8194 1868.8 22 113.4904 92.6163 95.5837 1903.4 23 69.0953 103.0837 74.0524 2573.5 24 93.8275 141.8791 77.7489 2930.1 Total Cost ($/h), Ft 61,024 Table 5. Computing Time and Total Generation Cost Technique Total Generation Cost ($/h) Computing Time (s) PSO 61,024.00 37.12
  • 7.
     ISSN: 2302-9285 BEEI,Vol. 7, No. 3, September 2018 : 458 – 464 464 4. CONCLUSION Dynamic economic dispatch is a complex optimization problem whose importance may increase as competition in power generation intensifies. The DED planning must perform the optimal generation dispatch among the operating units to satisfy the system load demand, spinning reserve capacity, and practical operation constraints of generators. PSO is a recent tool for solving complex optimization problems, being attracted by the researchers in various diverse fields. It was also effectively used in solving complex problems in the power system field. It is faster in finding quality solution compared to any evolutionary computation technique but finds it difficult while exploring complex functions. It leads to premature convergence and also has a poor fine tuning of the final solution. The PSO algorithm has been demonstrated to have superior features, including high-quality solution and good computation efficiency. The results showed that the proposed PSO method was indeed capable of obtaining higher quality solution efficiently in constrained DED problems. ACKNOWLEDGEMENT The authors would like to acknowledge the Institute of Research Management & Innovation (IRMI), UiTM Shah Alam, Selangor, Malaysia for the financial support of this research. This research is supported by IRMI under the BESTARI Research Grant Scheme with project code: 600-IRMI/DANA 5/3/BESTARI (119/2018). REFERENCES [1] Zou D., et al., “Solving the Dynamic Economic Dispatch by a Memory-Based Global Differential Evolution and a Repair Technique of Constraint Handling,” Energy, vol. 147, pp. 59-80, 2018. [2] Ding T. and Bie Z., “Parallel Augmented Lagrangian Relaxation for Dynamic Economic Dispatch Using Diagonal Quadratic Approximation Method,” IEEE Transactions on Power Systems, vol/issue: 32(2), pp. 1115-1126, 2018. [3] Asvany T., et al., “To Solve Economic Dispatch Problem Using Cooperative Particle Swarm Optimization Algorithm,” IIOAB Journal, vol/issue: 8(2), pp. 191-198, 2017. [4] Yare Y., “Intelligent Power System Operation in an Uncertain Environment,” PhD Thesis. Missouri University of Science and Technology, 2010. [5] Belhachem R., et al., “A Survey on Non Convex Dynamic Economic Dispatch Optimization Using Artificial Intelligence Techniques,” Acta Electrotehnica, vol. 54, 2013. [6] Benhamida F., et al., “Dynamic Economic Dispatch Solution with Practical Constraints Using a Recurrent Neural Network,” Przegląd Elektrotechniczny, vol/issue: 87(8), pp. 149-153, 2011. [7] Adarsh B. R., et al., “Economic Dispatch Using Chaotic Bat Algorithm,” Energy, vol. 96, pp. 666-675, 2016. [8] Kamboj V. K., et al., “Solution of Non-Convex Economic Load Dispatch Problem for Small-Scale Power Systems Using Ant Lion Optimizer,” Neural Computing and Applications, vol/issue: 28(8), pp. 2181-2192, 2017. [9] Kennedy J. and Eberhart R., “Particle Swarm Optimization,” IEEE International Conference on Neural Networks (ICNN’95). Perth, Australia, vol. IV, pp. 1942-1948, 1995. [10] Kennedy J. and Eberhart R., “Swarm Intelligence,” Morgan Kaufmann Publishers, 2001. [11] Kennedy J. and Eberhart R., “A Discrete Binary Version of the Particle Swarm Optimization Algorithm,” IEEE International Conference on Systems, Man and Cybernetic (SMC’97). Orlando, Florida, USA, pp. 4104-4109, 1997. [12] Saadat H., “Power System Analysis,” Third Edition. PSA Publishing, 2010.