i AboutTheTutorial C is a general-purpose, procedural, imperative computer programming language developed in 1972 by Dennis M. Ritchie at the Bell Telephone Laboratories to develop the UNIX operating system. C is the most widely used computer language. It keeps fluctuating at number one scale of popularity along with Java programming language, which is also equally popular and most widely used among modern software programmers. Audience This tutorial is designed for software programmers with a need to understand the C programming language starting from scratch. This tutorial will give you enough understanding on C programming language from where you can take yourself to higher level of expertise. Prerequisites Before proceeding with this tutorial, you should have a basic understanding of Computer Programming terminologies. A basic understanding of any of the programming languages will help you in understanding the C programming concepts and move fast on the learning track. Copyright&Disclaimer  Copyright 2014 by Tutorials Point (I) Pvt. Ltd. All the content and graphics published in this e-book are the property of Tutorials Point (I) Pvt. Ltd. The user of this e-book is prohibited to reuse, retain, copy, distribute or republish any contents or a part of contents of this e-book in any manner without written consent of the publisher. We strive to update the contents of our website and tutorials as timely and as precisely as possible, however, the contents may contain inaccuracies or errors. Tutorials Point (I) Pvt. Ltd. provides no guarantee regarding the accuracy, timeliness or completeness of our website or its contents including this tutorial. If you discover any errors on our website or in this tutorial, please notify us at contact@tutorialspoint.com
ii TableofContents About The Tutorial.....................................................................................................................................i Audience....................................................................................................................................................i Prerequisites..............................................................................................................................................i Copyright & Disclaimer ..............................................................................................................................i Table of Contents......................................................................................................................................ii 1. OVERVIEW ..............................................................................................................................1 Facts about C ............................................................................................................................................1 Why Use C?...............................................................................................................................................1 C Programs................................................................................................................................................2 2. ENVIORNMENT SETUP ............................................................................................................3 Try it Option Online ..................................................................................................................................3 Local Environment Setup ..........................................................................................................................3 Text Editor................................................................................................................................................3 The C Compiler .........................................................................................................................................4 Installation on UNIX/Linux........................................................................................................................4 Installation on Mac OS..............................................................................................................................5 Installation on Windows ...........................................................................................................................5 3. PROGRAM STRUCTURE ...........................................................................................................6 Hello World Example ................................................................................................................................6 Compile and Execute C Program ...............................................................................................................7 4. BASIC SYNTAX .........................................................................................................................8 Tokens in C................................................................................................................................................8 Semicolons................................................................................................................................................8 Comments ................................................................................................................................................8 Identifiers .................................................................................................................................................9
iii Keywords..................................................................................................................................................9 Whitespace in C ......................................................................................................................................10 5. DATA TYPES...........................................................................................................................11 Integer Types ..........................................................................................................................................11 Floating-Point Types ...............................................................................................................................13 The void Type..........................................................................................................................................14 6. VARIABLES.............................................................................................................................15 Variable Definition in C ...........................................................................................................................15 Variable Declaration in C.........................................................................................................................16 Lvalues and Rvalues in C .........................................................................................................................18 7. CONSTANTS AND LITERALS ...................................................................................................19 Integer Literals........................................................................................................................................19 Floating-point Literals .............................................................................................................................20 Character Constants................................................................................................................................20 String Literals..........................................................................................................................................21 Defining Constants..................................................................................................................................22 The #define Preprocessor ......................................................................................................................22 The const Keyword.................................................................................................................................23 8. STORAGE CLASSES.................................................................................................................24 The auto Storage Class............................................................................................................................24 The register Storage Class .......................................................................................................................24 The static Storage Class...........................................................................................................................25 The extern Storage Class.........................................................................................................................26 9. OPERATORS...........................................................................................................................28 Arithmetic Operators..............................................................................................................................28 Relational Operators...............................................................................................................................30
iv Logical Operators....................................................................................................................................32 Bitwise Operators ...................................................................................................................................34 Assignment Operators ............................................................................................................................37 Misc Operators ↦ sizeof & ternary .........................................................................................................40 Operators Precedence in C......................................................................................................................41 10. DECISION MAKING ..............................................................................................................45 if Statement............................................................................................................................................46 if…else Statement...................................................................................................................................48 if...else if...else Statement ......................................................................................................................49 Nested if Statements ..............................................................................................................................51 switch Statement....................................................................................................................................53 Nested switch Statements ......................................................................................................................55 The ? : Operator:.....................................................................................................................................57 11. LOOPS.................................................................................................................................58 while Loop ..............................................................................................................................................59 for Loop ..................................................................................................................................................61 do…while Loop .......................................................................................................................................63 Nested Loops ..........................................................................................................................................65 Loop Control Statements ........................................................................................................................67 break Statement.....................................................................................................................................68 continue Statement ................................................................................................................................70 goto Statement.......................................................................................................................................72 The Infinite Loop.....................................................................................................................................74 12. FUNCTIONS.........................................................................................................................76 Defining a Function.................................................................................................................................76 Function Declarations .............................................................................................................................77
v Calling a Function....................................................................................................................................78 Function Arguments................................................................................................................................79 Call by Value ...........................................................................................................................................80 Call by Reference ....................................................................................................................................81 13. SCOPE RULES.......................................................................................................................84 Local Variables........................................................................................................................................84 Global Variables......................................................................................................................................85 Formal Parameters .................................................................................................................................86 Initializing Local and Global Variables.....................................................................................................87 14. ARRAYS ...............................................................................................................................89 Declaring Arrays......................................................................................................................................89 Initializing Arrays ....................................................................................................................................89 Accessing Array Elements .......................................................................................................................90 Arrays in Detail .......................................................................................................................................91 Multidimensional Arrays ........................................................................................................................92 Two-dimensional Arrays.........................................................................................................................92 Initializing Two-Dimensional Arrays.......................................................................................................93 Accessing Two-Dimensional Array Elements..........................................................................................93 Passing Arrays to Functions....................................................................................................................94 Return Array from a Function ................................................................................................................96 Pointer to an Array.................................................................................................................................99 15. POINTERS..........................................................................................................................101 What are Pointers? ...............................................................................................................................101 How to Use Pointers?............................................................................................................................102 NULL Pointers ......................................................................................................................................103 Pointers in Detail ..................................................................................................................................104 Pointer Arithmetic................................................................................................................................104 Incrementing a Pointer.........................................................................................................................105
vi Decrementing a Pointer .......................................................................................................................106 Pointer Comparisons............................................................................................................................107 Array of Pointers ..................................................................................................................................108 Pointer to Pointer.................................................................................................................................111 Passing Pointers to Functions ..............................................................................................................112 Return Pointer from Functions ............................................................................................................114 16. STRINGS ............................................................................................................................117 17. STRUCTURES.....................................................................................................................120 Defining a Structure..............................................................................................................................120 Accessing Structure Members...............................................................................................................121 Structures as Function Arguments ........................................................................................................122 Pointers to Structures ...........................................................................................................................124 Bit Fields ...............................................................................................................................................126 18. UNIONS.............................................................................................................................128 Defining a Union ...................................................................................................................................128 Accessing Union Members....................................................................................................................129 19. BIT FIELDS .........................................................................................................................132 Bit Field Declaration..............................................................................................................................133 20. TYPEDEF............................................................................................................................136 typedef vs #define ................................................................................................................................137 21. INPUT AND OUTPUT..........................................................................................................139 The Standard Files.................................................................................................................................139 The getchar() and putchar() Functions ..................................................................................................139 The gets() and puts() Functions.............................................................................................................140 The scanf() and printf() Functions .........................................................................................................141 22. FILE I/O..............................................................................................................................143
vii Opening Files ........................................................................................................................................143 Closing a File .........................................................................................................................................144 Writing a File.........................................................................................................................................144 Reading a File........................................................................................................................................145 Binary I/O Functions .............................................................................................................................146 23. PREPROCESSORS...............................................................................................................147 Preprocessors Examples........................................................................................................................148 Predefined Macros................................................................................................................................148 Preprocessor Operators........................................................................................................................150 The Macro Continuation () Operator..................................................................................................150 The Stringize (#) Operator....................................................................................................................150 The Token Pasting (##) Operator .........................................................................................................150 The Defined() Operator........................................................................................................................151 Parameterized Macros..........................................................................................................................152 24. HEADER FILES....................................................................................................................153 Include Syntax.......................................................................................................................................153 Include Operation.................................................................................................................................153 Once-Only Headers...............................................................................................................................154 Computed Includes ...............................................................................................................................155 25. TYPE CASTING ...................................................................................................................156 Integer Promotion ................................................................................................................................157 Usual Arithmetic Conversion.................................................................................................................157 26. ERROR HANDLING.............................................................................................................160 errno, perror(), and strerror() ...............................................................................................................160 Divide by Zero Errors.............................................................................................................................161 Program Exit Status...............................................................................................................................162
viii 27. RECURSION .......................................................................................................................164 Number Factorial..................................................................................................................................164 Fibonacci Series ....................................................................................................................................165 28. VARIABLE ARGUMENTS.....................................................................................................167 29. MEMORY MANAGEMENT .................................................................................................170 Allocating Memory Dynamically ...........................................................................................................170 Resizing and Releasing Memory............................................................................................................172 30. COMMAND LINE ARGUMENTS..........................................................................................174
C Programming 1 C is a general-purpose, high-level language that was originally developed by Dennis M. Ritchie to develop the UNIX operating system at Bell Labs. C was originally first implemented on the DEC PDP-11 computer in 1972. In 1978, Brian Kernighan and Dennis Ritchie produced the first publicly available description of C, now known as the K&R standard. The UNIX operating system, the C compiler, and essentially all UNIX application programs have been written in C. C has now become a widely used professional language for various reasons:  Easy to learn  Structured language  It produces efficient programs  It can handle low-level activities  It can be compiled on a variety of computer platforms FactsaboutC  C was invented to write an operating system called UNIX.  C is a successor of B language which was introduced around the early 1970s.  The language was formalized in 1988 by the American National Standard Institute (ANSI).  The UNIX OS was totally written in C.  Today C is the most widely used and popular System Programming Language.  Most of the state-of-the-art software have been implemented using C.  Today's most popular Linux OS and RDBMS MySQL have been written in C. WhyUseC? C was initially used for system development work, particularly the programs that make-up the operating system. C was adopted as a system development language because it produces code that runs nearly as fast as the code written in assembly language. Some examples of the use of C might be:  Operating Systems 1. OVERVIEW
C Programming 2  Language Compilers  Assemblers  Text Editors  Print Spoolers  Network Drivers  Modern Programs  Databases  Language Interpreters  Utilities CPrograms A C program can vary from 3 lines to millions of lines and it should be written into one or more text files with extension ".c"; for example, hello.c. You can use "vi", "vim" or any other text editor to write your C program into a file. This tutorial assumes that you know how to edit a text file and how to write source code inside a program file.
C Programming 3 TryitOptionOnline You really do not need to set up your own environment to start learning C programming language. Reason is very simple, we already have set up C Programming environment online, so that you can compile and execute all the available examples online at the same time when you are doing your theory work. This gives you confidence in what you are reading and to check the result with different options. Feel free to modify any example and execute it online. Try following example using our online compiler option available at http://www.compileonline.com/. #include <stdio.h> int main() { /* my first program in C */ printf("Hello, World! n"); return 0; } For most of the examples given in this tutorial, you will find the Try it option in our website code sections at the top right corner that will take you to the online compiler. So just make use of it and enjoy your learning. LocalEnvironmentSetup If you want to set up your environment for C programming language, you need the following two software tools available on your computer, (a) Text Editor and (b) The C Compiler. TextEditor This will be used to type your program. Examples of a few editors include Windows Notepad, OS Edit command, Brief, Epsilon, EMACS, and vim or vi. 2. ENVIORNMENT SETUP
C Programming 4 The name and version of text editors can vary on different operating systems. For example, Notepad will be used on Windows, and vim or vi can be used on Windows as well as on Linux or UNIX. The files you create with your editor are called the source files and they contain the program source codes. The source files for C programs are typically named with the extension ".c". Before starting your programming, make sure you have one text editor in place and you have enough experience to write a computer program, save it in a file, compile it and finally execute it. TheCCompiler The source code written in source file is the human readable source for your program. It needs to be "compiled" into machine language so that your CPU can actually execute the program as per the instructions given. The compiler compiles the source codes into final executable programs. The most frequently used and free available compiler is the GNU C/C++ compiler, otherwise you can have compilers either from HP or Solaris if you have the respective operating systems. The following section explains how to install GNU C/C++ compiler on various OS. m We keep mentioning C/C++ together because GNU gcc compiler works for both C and C++ programming languages. InstallationonUNIX/Linux If you are using Linux or UNIX, then check whether GCC is installed on your system by entering the following command from the command line: $ gcc -v If you have GNU compiler installed on your machine, then it should print a message as follows: Using built-in specs. Target: i386-redhat-linux Configured with: ../configure --prefix=/usr ....... Thread model: posix gcc version 4.1.2 20080704 (Red Hat 4.1.2-46) If GCC is not installed, then you will have to install it yourself using the detailed instructions available at http://gcc.gnu.org/install/. This tutorial has been written based on Linux and all the given examples have been compiled on the Cent OS flavor of the Linux system.
C Programming 5 InstallationonMacOS If you use Mac OS X, the easiest way to obtain GCC is to download the Xcode development environment from Apple's web site and follow the simple installation instructions. Once you have Xcode setup, you will be able to use GNU compiler for C/C++. Xcode is currently available at developer.apple.com/technologies/tools/. InstallationonWindows To install GCC on Windows, you need to install MinGW. To install MinGW, go to the MinGW homepage, www.mingw.org, and follow the link to the MinGW download page. Download the latest version of the MinGW installation program, which should be named MinGW-<version>.exe. While installing MinGW, at a minimum, you must install gcc-core, gcc-g++, binutils, and the MinGW runtime, but you may wish to install more. Add the bin subdirectory of your MinGW installation to your PATH environment variable, so that you can specify these tools on the command line by their simple names. After the installation is complete, you will be able to run gcc, g++, ar, ranlib, dlltool, and several other GNU tools from the Windows command line.
C Programming 6 Before we study the basic building blocks of the C programming language, let us look at a bare minimum C program structure so that we can take it as a reference in the upcoming chapters. HelloWorldExample A C program basically consists of the following parts:  Preprocessor Commands  Functions  Variables  Statements & Expressions  Comments Let us look at a simple code that would print the words "Hello World": #include <stdio.h> int main() { /* my first program in C */ printf("Hello, World! n"); return 0; } Let us take a look at the various parts of the above program: 1. The first line of the program #include <stdio.h> is a preprocessor command, which tells a C compiler to include stdio.h file before going to actual compilation. 2. The next line int main() is the main function where the program execution begins. 3. The next line /*...*/ will be ignored by the compiler and it has been put to add additional comments in the program. So such lines are called comments in the program. 3. PROGRAM STRUCTURE
C Programming 7 4. The next line printf(...) is another function available in C which causes the message "Hello, World!" to be displayed on the screen. 5. The next line return 0; terminates the main() function and returns the value 0. CompileandExecuteCProgram Let us see how to save the source code in a file, and how to compile and run it. Following are the simple steps: 1. Open a text editor and add the above-mentioned code. 2. Save the file as hello.c 3. Open a command prompt and go to the directory where you have saved the file. 4. Type gcc hello.c and press enter to compile your code. 5. If there are no errors in your code, the command prompt will take you to the next line and would generate a.out executable file. 6. Now, type a.out to execute your program. 7. You will see the output "Hello World" printed on the screen. $ gcc hello.c $ ./a.out Hello, World! Make sure the gcc compiler is in your path and that you are running it in the directory containing the source file hello.c.
C Programming 8 You have seen the basic structure of a C program, so it will be easy to understand other basic building blocks of the C programming language. TokensinC A C program consists of various tokens and a token is either a keyword, an identifier, a constant, a string literal, or a symbol. For example, the following C statement consists of five tokens: printf("Hello, World! n"); The individual tokens are: printf ( "Hello, World! n" ) ; Semicolons In a C program, the semicolon is a statement terminator. That is, each individual statement must be ended with a semicolon. It indicates the end of one logical entity. Given below are two different statements: printf("Hello, World! n"); return 0; Comments Comments are like helping text in your C program and they are ignored by the compiler. They start with /* and terminate with the characters */ as shown below: /* my first program in C */ 4. BASIC SYNTAX
C Programming 9 You cannot have comments within comments and they do not occur within a string or character literals. Identifiers A C identifier is a name used to identify a variable, function, or any other user- defined item. An identifier starts with a letter A to Z, a to z, or an underscore ‘_’ followed by zero or more letters, underscores, and digits (0 to 9). C does not allow punctuation characters such as @, $, and % within identifiers. C is a case-sensitive programming language. Thus, Manpower and manpower are two different identifiers in C. Here are some examples of acceptable identifiers: mohd zara abc move_name a_123 myname50 _temp j a23b9 retVal Keywords The following list shows the reserved words in C. These reserved words may not be used as constants or variables or any other identifier names. auto else long switch break enum register typedef case extern return union char float short unsigned const for signed void continue goto sizeof volatile default if static while do int struct _Packed double
C Programming 10 WhitespaceinC A line containing only whitespace, possibly with a comment, is known as a blank line, and a C compiler totally ignores it. Whitespace is the term used in C to describe blanks, tabs, newline characters and comments. Whitespace separates one part of a statement from another and enables the compiler to identify where one element in a statement, such as int, ends and the next element begins. Therefore, in the following statement: int age; there must be at least one whitespace character (usually a space) between int and age for the compiler to be able to distinguish them. On the other hand, in the following statement: fruit = apples + oranges; // get the total fruit no whitespace characters are necessary between fruit and =, or between = and apples, although you are free to include some if you wish to increase readability.
C Programming 11 Data types in C refer to an extensive system used for declaring variables or functions of different types. The type of a variable determines how much space it occupies in storage and how the bit pattern stored is interpreted. The types in C can be classified as follows: S.N. Types and Description 1 Basic Types: They are arithmetic types and are further classified into: (a) integer types and (b) floating-point types. 2 Enumerated types: They are again arithmetic types and they are used to define variables that can only assign certain discrete integer values throughout the program. 3 The type void: The type specifier void indicates that no value is available. 4 Derived types: They include (a) Pointer types, (b) Array types, (c) Structure types, (d) Union types, and (e) Function types. The array types and structure types are referred collectively as the aggregate types. The type of a function specifies the type of the function's return value. We will see the basic types in the following section, whereas other types will be covered in the upcoming chapters. IntegerTypes The following table provides the details of standard integer types with their storage sizes and value ranges: 5. DATA TYPES
C Programming 12 Type Storage size Value range char 1 byte -128 to 127 or 0 to 255 unsigned char 1 byte 0 to 255 signed char 1 byte -128 to 127 int 2 or 4 bytes -32,768 to 32,767 or -2,147,483,648 to 2,147,483,647 unsigned int 2 or 4 bytes 0 to 65,535 or 0 to 4,294,967,295 short 2 bytes -32,768 to 32,767 unsigned short 2 bytes 0 to 65,535 long 4 bytes -2,147,483,648 to 2,147,483,647 unsigned long 4 bytes 0 to 4,294,967,295 To get the exact size of a type or a variable on a particular platform, you can use the sizeof operator. The expressions sizeof(type) yields the storage size of the object or type in bytes. Given below is an example to get the size of int type on any machine: #include <stdio.h> #include <limits.h> int main() { printf("Storage size for int : %d n", sizeof(int));
C Programming 13 return 0; } When you compile and execute the above program, it produces the following result on Linux: Storage size for int : 4 Floating-PointTypes The following table provides the details of standard floating-point types with storage sizes and value ranges and their precision: Type Storage size Value range Precision float 4 byte 1.2E-38 to 3.4E+38 6 decimal places double 8 byte 2.3E-308 to 1.7E+308 15 decimal places long double 10 byte 3.4E-4932 to 1.1E+4932 19 decimal places The header file float.h defines macros that allow you to use these values and other details about the binary representation of real numbers in your programs. The following example prints the storage space taken by a float type and its range values: #include <stdio.h> #include <float.h> int main() { printf("Storage size for float : %d n", sizeof(float)); printf("Minimum float positive value: %En", FLT_MIN ); printf("Maximum float positive value: %En", FLT_MAX ); printf("Precision value: %dn", FLT_DIG ); return 0;
C Programming 14 } When you compile and execute the above program, it produces the following result on Linux: Storage size for float : 4 Minimum float positive value: 1.175494E-38 Maximum float positive value: 3.402823E+38 Precision value: 6 The voidType The void type specifies that no value is available. It is used in three kinds of situations: S.N. Types and Description 1 Function returns as void There are various functions in C which do not return any value or you can say they return void. A function with no return value has the return type as void. For example, void exit (int status); 2 Function arguments as void There are various functions in C which do not accept any parameter. A function with no parameter can accept a void. For example, int rand(void); 3 Pointers to void A pointer of type void * represents the address of an object, but not its type. For example, a memory allocation function void *malloc(size_t size); returns a pointer to void which can be casted to any data type.
C Programming 15 A variable is nothing but a name given to a storage area that our programs can manipulate. Each variable in C has a specific type, which determines the size and layout of the variable's memory; the range of values that can be stored within that memory; and the set of operations that can be applied to the variable. The name of a variable can be composed of letters, digits, and the underscore character. It must begin with either a letter or an underscore. Upper and lowercase letters are distinct because C is case-sensitive. Based on the basic types explained in the previous chapter, there will be the following basic variable types: Type Description char Typically a single octet (one byte). This is an integer type. int The most natural size of integer for the machine. float A single-precision floating point value. double A double-precision floating point value. void Represents the absence of type. C programming language also allows to define various other types of variables, which we will cover in subsequent chapters like Enumeration, Pointer, Array, Structure, Union, etc. For this chapter, let us study only basic variable types. VariableDefinitioninC A variable definition tells the compiler where and how much storage to create for the variable. A variable definition specifies a data type and contains a list of one or more variables of that type as follows: type variable_list; 6. VARIABLES
C Programming 16 Here, type must be a valid C data type including char, w_char, int, float, double, bool, or any user-defined object; and variable_list may consist of one or more identifier names separated by commas. Some valid declarations are shown here: int i, j, k; char c, ch; float f, salary; double d; The line int i, j, k; declares and defines the variables i, j and k; which instruct the compiler to create variables named i, j, and k of type int. Variables can be initialized (assigned an initial value) in their declaration. The initializer consists of an equal sign followed by a constant expression as follows: type variable_name = value; Some examples are: extern int d = 3, f = 5; // declaration of d and f. int d = 3, f = 5; // definition and initializing d and f. byte z = 22; // definition and initializes z. char x = 'x'; // the variable x has the value 'x'. For definition without an initializer: variables with static storage duration are implicitly initialized with NULL (all bytes have the value 0); the initial value of all other variables are undefined. VariableDeclarationinC A variable declaration provides assurance to the compiler that there exists a variable with the given type and name so that the compiler can proceed for further compilation without requiring the complete detail about the variable. A variable declaration has its meaning at the time of compilation only, the compiler needs actual variable declaration at the time of linking the program. A variable declaration is useful when you are using multiple files and you define your variable in one of the files which will be available at the time of linking the program. You will use the keyword extern to declare a variable at any place. Though you can declare a variable multiple times in your C program, it can be defined only once in a file, a function, or a block of code. Example Try the following example, where variables have been declared at the top, but they have been defined and initialized inside the main function:
C Programming 17 #include <stdio.h> // Variable declaration: extern int a, b; extern int c; extern float f; int main () { /* variable definition: */ int a, b; int c; float f; /* actual initialization */ a = 10; b = 20; c = a + b; printf("value of c : %d n", c); f = 70.0/3.0; printf("value of f : %f n", f); return 0; } When the above code is compiled and executed, it produces the following result: value of c : 30 value of f : 23.333334 The same concept applies on function declaration where you provide a function name at the time of its declaration and its actual definition can be given anywhere else. For example:
C Programming 18 // function declaration int func(); int main() { // function call int i = func(); } // function definition int func() { return 0; } LvaluesandRvaluesinC There are two kinds of expressions in C:  lvalue : Expressions that refer to a memory location are called "lvalue" expressions. An lvalue may appear as either the left-hand or right-hand side of an assignment.  rvalue : The term rvalue refers to a data value that is stored at some address in memory. An rvalue is an expression that cannot have a value assigned to it which means an rvalue may appear on the right-hand side but not on the left-hand side of an assignment. Variables are lvalues and so they may appear on the left-hand side of an assignment. Numeric literals are rvalues and so they may not be assigned and cannot appear on the left-hand side. Take a look at the following valid and invalid statements: int g = 20; // valid statement 10 = 20; // invalid statement; would generate compile-time error
C Programming 19 Constants refer to fixed values that the program may not alter during its execution. These fixed values are also called literals. Constants can be of any of the basic data types like an integer constant, a floating constant, a character constant, or a string literal. There are enumeration constants as well. Constants are treated just like regular variables except that their values cannot be modified after their definition. IntegerLiterals An integer literal can be a decimal, octal, or hexadecimal constant. A prefix specifies the base or radix: 0x or 0X for hexadecimal, 0 for octal, and nothing for decimal. An integer literal can also have a suffix that is a combination of U and L, for unsigned and long, respectively. The suffix can be uppercase or lowercase and can be in any order. Here are some examples of integer literals: 212 /* Legal */ 215u /* Legal */ 0xFeeL /* Legal */ 078 /* Illegal: 8 is not an octal digit */ 032UU /* Illegal: cannot repeat a suffix */ Following are other examples of various types of integer literals: 85 /* decimal */ 0213 /* octal */ 0x4b /* hexadecimal */ 30 /* int */ 30u /* unsigned int */ 30l /* long */ 30ul /* unsigned long */ 7. CONSTANTS AND LITERALS
C Programming 20 Floating-pointLiterals A floating-point literal has an integer part, a decimal point, a fractional part, and an exponent part. You can represent floating point literals either in decimal form or exponential form. While representing decimal form, you must include the decimal point, the exponent, or both; and while representing exponential form, you must include the integer part, the fractional part, or both. The signed exponent is introduced by e or E. Here are some examples of floating-point literals: 3.14159 /* Legal */ 314159E-5L /* Legal */ 510E /* Illegal: incomplete exponent */ 210f /* Illegal: no decimal or exponent */ .e55 /* Illegal: missing integer or fraction */ CharacterConstants Character literals are enclosed in single quotes, e.g., 'x' can be stored in a simple variable of char type. A character literal can be a plain character (e.g., 'x'), an escape sequence (e.g., 't'), or a universal character (e.g., 'u02C0'). There are certain characters in C that represent special meaning when preceded by a backslash, for example, newline (n) or tab (t). Here, you have a list of such escape sequence codes: Escape sequence Meaning character ' ' character " " character ? ? character a Alert or bell
C Programming 21 b Backspace f Form feed n Newline r Carriage return t Horizontal tab v Vertical tab ooo Octal number of one to three digits xhh . . . Hexadecimal number of one or more digits Following is the example to show a few escape sequence characters: #include <stdio.h> int main() { printf("HellotWorldnn"); return 0; } When the above code is compiled and executed, it produces the following result: Hello World StringLiterals String literals or constants are enclosed in double quotes "". A string contains characters that are similar to character literals: plain characters, escape sequences, and universal characters.
C Programming 22 You can break a long line into multiple lines using string literals and separating them using whitespaces. Here are some examples of string literals. All the three forms are identical strings. "hello, dear" "hello, dear" "hello, " "d" "ear" DefiningConstants There are two simple ways in C to define constants:  Using #define preprocessor  Using const keyword The#definePreprocessor Given below is the form to use #define preprocessor to define a constant: #define identifier value The following example explains it in detail: #include <stdio.h> #define LENGTH 10 #define WIDTH 5 #define NEWLINE 'n' int main() { int area; area = LENGTH * WIDTH;
C Programming 23 printf("value of area : %d", area); printf("%c", NEWLINE); return 0; } When the above code is compiled and executed, it produces the following result: value of area : 50 TheconstKeyword You can use const prefix to declare constants with a specific type as follows: const type variable = value; The following example explains it in detail: #include <stdio.h> int main() { const int LENGTH = 10; const int WIDTH = 5; const char NEWLINE = 'n'; int area; area = LENGTH * WIDTH; printf("value of area : %d", area); printf("%c", NEWLINE); return 0; } When the above code is compiled and executed, it produces the following result: value of area : 50 Note that it is a good programming practice to define constants in CAPITALS.
C Programming 24 A storage class defines the scope (visibility) and life-time of variables and/or functions within a C Program. They precede the type that they modify. We have four different storage classes in a C program:  auto  register  static  extern TheautoStorageClass The auto storage class is the default storage class for all local variables. { int mount; auto int month; } The example above defines two variables within the same storage class. ‘auto’ can only be used within functions, i.e., local variables. TheregisterStorageClass The register storage class is used to define local variables that should be stored in a register instead of RAM. This means that the variable has a maximum size equal to the register size (usually one word) and can't have the unary '&' operator applied to it (as it does not have a memory location). { register int miles; } The register should only be used for variables that require quick access such as counters. It should also be noted that defining 'register' does not mean that the variable will be stored in a register. It means that it MIGHT be stored in a register depending on hardware and implementation restrictions. 8. STORAGE CLASSES
C Programming 25 ThestaticStorageClass The static storage class instructs the compiler to keep a local variable in existence during the life-time of the program instead of creating and destroying it each time it comes into and goes out of scope. Therefore, making local variables static allows them to maintain their values between function calls. The static modifier may also be applied to global variables. When this is done, it causes that variable's scope to be restricted to the file in which it is declared. In C programming, when static is used on a class data member, it causes only one copy of that member to be shared by all the objects of its class. #include <stdio.h> /* function declaration */ void func(void); static int count = 5; /* global variable */ main() { while(count--) { func(); } return 0; } /* function definition */ void func( void ) { static int i = 5; /* local static variable */ i++; printf("i is %d and count is %dn", i, count); } When the above code is compiled and executed, it produces the following result: i is 6 and count is 4 i is 7 and count is 3
C Programming 26 i is 8 and count is 2 i is 9 and count is 1 i is 10 and count is 0 TheexternStorageClass The extern storage class is used to give a reference of a global variable that is visible to ALL the program files. When you use 'extern', the variable cannot be initialized, however, it points the variable name at a storage location that has been previously defined. When you have multiple files and you define a global variable or function, which will also be used in other files, then extern will be used in another file to provide the reference of defined variable or function. Just for understanding, extern is used to declare a global variable or function in another file. The extern modifier is most commonly used when there are two or more files sharing the same global variables or functions as explained below. First File: main.c #include <stdio.h> int count; extern void write_extern(); main() { count = 5; write_extern(); } Second File: support.c #include <stdio.h> extern int count; void write_extern(void) {
C Programming 27 printf("count is %dn", count); } Here, extern is being used to declare count in the second file, whereas it has its definition in the first file, main.c. Now, compile these two files as follows: $gcc main.c support.c It will produce the executable program a.out. When this program is executed, it produces the following result: 5
C Programming 28 An operator is a symbol that tells the compiler to perform specific mathematical or logical functions. C language is rich in built-in operators and provides the following types of operators:  Arithmetic Operators  Relational Operators  Logical Operators  Bitwise Operators  Assignment Operators  Misc Operators We will, in this chapter, look into the way each operator works. ArithmeticOperators The following table shows all the arithmetic operators supported by the C language. Assume variable A holds 10 and variable B holds 20, then: Operator Description Example + Adds two operands. A + B = 30 - Subtracts second operand from the first. A - B = -10 * Multiplies both operands. A * B = 200 / Divides numerator by de-numerator. B / A = 2 % Modulus Operator and remainder of after an integer division. B % A = 0 ++ Increment operator increases the integer value by one. A++ = 11 9. OPERATORS
C Programming 29 -- Decrement operator decreases the integer value by one. A-- = 9 Example Try the following example to understand all the arithmetic operators available in C: #include <stdio.h> main() { int a = 21; int b = 10; int c ; c = a + b; printf("Line 1 - Value of c is %dn", c ); c = a - b; printf("Line 2 - Value of c is %dn", c ); c = a * b; printf("Line 3 - Value of c is %dn", c ); c = a / b; printf("Line 4 - Value of c is %dn", c ); c = a % b; printf("Line 5 - Value of c is %dn", c ); c = a++; printf("Line 6 - Value of c is %dn", c ); c = a--; printf("Line 7 - Value of c is %dn", c ); } When you compile and execute the above program, it produces the following result: Line 1 - Value of c is 31
C Programming 30 Line 2 - Value of c is 11 Line 3 - Value of c is 210 Line 4 - Value of c is 2 Line 5 - Value of c is 1 Line 6 - Value of c is 21 Line 7 - Value of c is 22 RelationalOperators The following table shows all the relational operators supported by C. Assume variable A holds 10 and variable B holds 20, then: Operator Description Example == Checks if the values of two operands are equal or not. If yes, then the condition becomes true. (A == B) is not true. != Checks if the values of two operands are equal or not. If the values are not equal, then the condition becomes true. (A != B) is true. > Checks if the value of left operand is greater than the value of right operand. If yes, then the condition becomes true. (A > B) is not true. < Checks if the value of left operand is less than the value of right operand. If yes, then the condition becomes true. (A < B) is true. >= Checks if the value of left operand is greater than or equal to the value of right operand. If yes, then the condition becomes true. (A >= B) is not true. <= Checks if the value of left operand is less than or equal to the value of right operand. If yes, then the condition becomes true. (A <= B) is true.
C Programming 31 Example Try the following example to understand all the relational operators available in C: #include <stdio.h> main() { int a = 21; int b = 10; int c ; if( a == b ) { printf("Line 1 - a is equal to bn" ); } else { printf("Line 1 - a is not equal to bn" ); } if ( a < b ) { printf("Line 2 - a is less than bn" ); } else { printf("Line 2 - a is not less than bn" ); } if ( a > b ) { printf("Line 3 - a is greater than bn" ); } else
C Programming 32 { printf("Line 3 - a is not greater than bn" ); } /* Lets change value of a and b */ a = 5; b = 20; if ( a <= b ) { printf("Line 4 - a is either less than or equal to bn" ); } if ( b >= a ) { printf("Line 5 - b is either greater than or equal to bn" ); } } When you compile and execute the above program, it produces the following result: Line 1 - a is not equal to b Line 2 - a is not less than b Line 3 - a is greater than b Line 4 - a is either less than or equal to b Line 5 - b is either greater than or equal to b LogicalOperators Following table shows all the logical operators supported by C language. Assume variable A holds 1 and variable B holds 0, then: Operator Description Example && Called Logical AND operator. If both the operands are non-zero, then the condition becomes true. (A && B) is false. || Called Logical OR Operator. If any of the two (A || B) is true.
C Programming 33 operands is non-zero, then the condition becomes true. ! Called Logical NOT Operator. It is used to reverse the logical state of its operand. If a condition is true, then Logical NOT operator will make it false. !(A && B) is true. Example Try the following example to understand all the logical operators available in C: #include <stdio.h> main() { int a = 5; int b = 20; int c ; if ( a && b ) { printf("Line 1 - Condition is truen" ); } if ( a || b ) { printf("Line 2 - Condition is truen" ); } /* lets change the value of a and b */ a = 0; b = 10; if ( a && b ) { printf("Line 3 - Condition is truen" ); }
C Programming 34 else { printf("Line 3 - Condition is not truen" ); } if ( !(a && b) ) { printf("Line 4 - Condition is truen" ); } } When you compile and execute the above program, it produces the following result: Line 1 - Condition is true Line 2 - Condition is true Line 3 - Condition is not true Line 4 - Condition is true BitwiseOperators Bitwise operators work on bits and perform bit-by-bit operation. The truth table for &, |, and ^ is as follows: p q p & q p | q p ^ q 0 0 0 0 0 0 1 0 1 1 1 1 1 1 0 1 0 0 1 1 Assume A = 60 and B = 13; in binary format, they will be as follows: A = 0011 1100 B = 0000 1101
C Programming 35 ----------------- A&B = 0000 1100 A|B = 0011 1101 A^B = 0011 0001 ~A = 1100 0011 The following table lists the bitwise operators supported by C. Assume variable ‘A’ holds 60 and variable ‘B’ holds 13, then: Operator Description Example & Binary AND Operator copies a bit to the result if it exists in both operands. (A & B) = 12, i.e., 0000 1100 | Binary OR Operator copies a bit if it exists in either operand. (A | B) = 61, i.e., 0011 1101 ^ Binary XOR Operator copies the bit if it is set in one operand but not both. (A ^ B) = 49, i.e., 0011 0001 ~ Binary Ones Complement Operator is unary and has the effect of 'flipping' bits. (~A ) = -61, i.e., 1100 0011 in 2's complement form. << Binary Left Shift Operator. The left operands value is moved left by the number of bits specified by the right operand. A << 2 = 240, i.e., 1111 0000 >> Binary Right Shift Operator. The left operands value is moved right by the number of bits specified by the right operand. A >> 2 = 15, i.e., 0000 1111 Example Try the following example to understand all the bitwise operators available in C: #include <stdio.h> main()
C Programming 36 { unsigned int a = 60; /* 60 = 0011 1100 */ unsigned int b = 13; /* 13 = 0000 1101 */ int c = 0; c = a & b; /* 12 = 0000 1100 */ printf("Line 1 - Value of c is %dn", c ); c = a | b; /* 61 = 0011 1101 */ printf("Line 2 - Value of c is %dn", c ); c = a ^ b; /* 49 = 0011 0001 */ printf("Line 3 - Value of c is %dn", c ); c = ~a; /*-61 = 1100 0011 */ printf("Line 4 - Value of c is %dn", c ); c = a << 2; /* 240 = 1111 0000 */ printf("Line 5 - Value of c is %dn", c ); c = a >> 2; /* 15 = 0000 1111 */ printf("Line 6 - Value of c is %dn", c ); } When you compile and execute the above program, it produces the following result: Line 1 - Value of c is 12 Line 2 - Value of c is 61 Line 3 - Value of c is 49 Line 4 - Value of c is -61 Line 5 - Value of c is 240 Line 6 - Value of c is 15
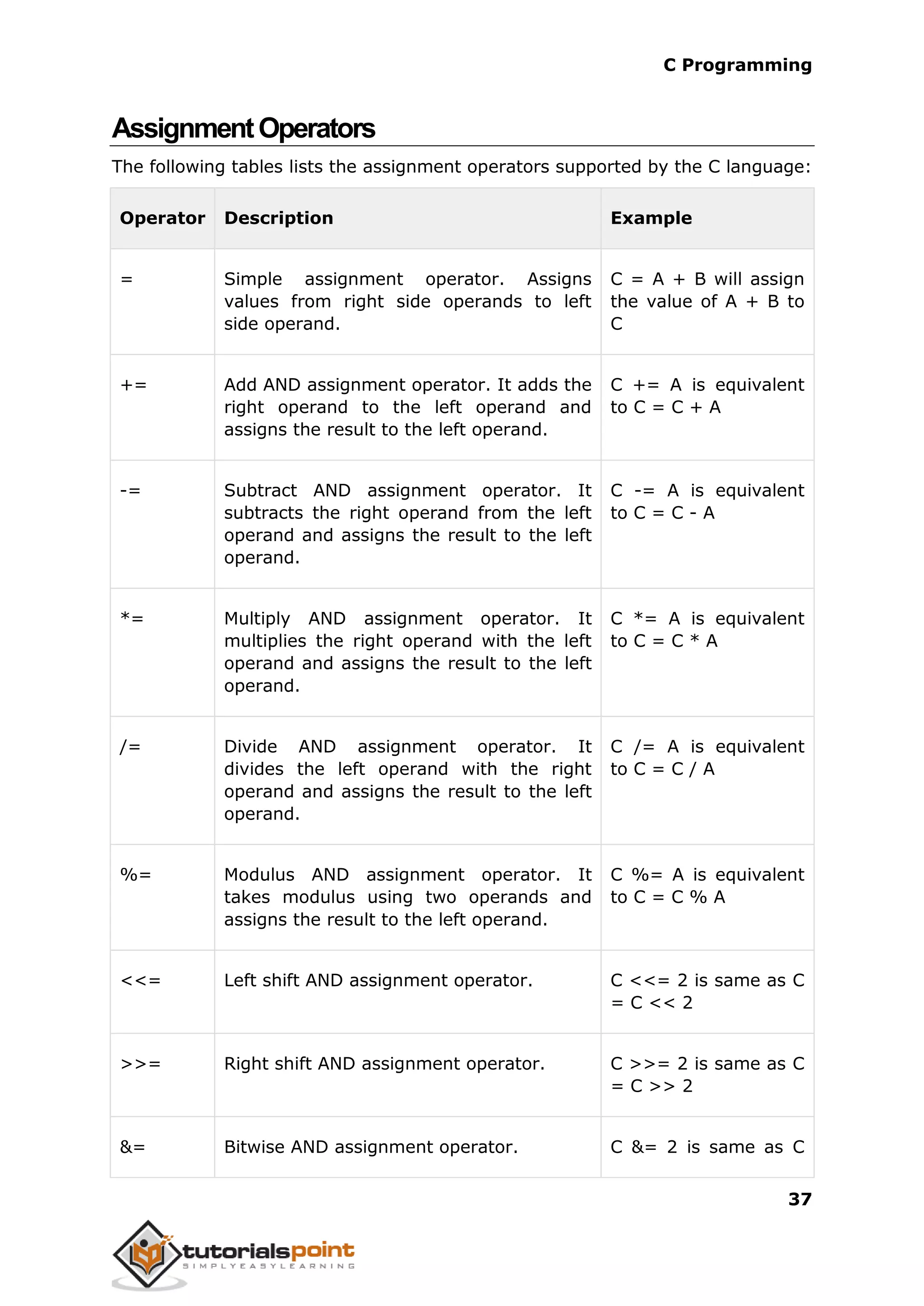
C Programming 37 AssignmentOperators The following tables lists the assignment operators supported by the C language: Operator Description Example = Simple assignment operator. Assigns values from right side operands to left side operand. C = A + B will assign the value of A + B to C += Add AND assignment operator. It adds the right operand to the left operand and assigns the result to the left operand. C += A is equivalent to C = C + A -= Subtract AND assignment operator. It subtracts the right operand from the left operand and assigns the result to the left operand. C -= A is equivalent to C = C - A *= Multiply AND assignment operator. It multiplies the right operand with the left operand and assigns the result to the left operand. C *= A is equivalent to C = C * A /= Divide AND assignment operator. It divides the left operand with the right operand and assigns the result to the left operand. C /= A is equivalent to C = C / A %= Modulus AND assignment operator. It takes modulus using two operands and assigns the result to the left operand. C %= A is equivalent to C = C % A <<= Left shift AND assignment operator. C <<= 2 is same as C = C << 2 >>= Right shift AND assignment operator. C >>= 2 is same as C = C >> 2 &= Bitwise AND assignment operator. C &= 2 is same as C
C Programming 38 = C & 2 ^= Bitwise exclusive OR and assignment operator. C ^= 2 is same as C = C ^ 2 |= Bitwise inclusive OR and assignment operator. C |= 2 is same as C = C | 2 Example Try the following example to understand all the assignment operators available in C: #include <stdio.h> main() { int a = 21; int c ; c = a; printf("Line 1 - = Operator Example, Value of c = %dn", c ); c += a; printf("Line 2 - += Operator Example, Value of c = %dn", c ); c -= a; printf("Line 3 - -= Operator Example, Value of c = %dn", c ); c *= a; printf("Line 4 - *= Operator Example, Value of c = %dn", c );
C Programming 39 c /= a; printf("Line 5 - /= Operator Example, Value of c = %dn", c ); c = 200; c %= a; printf("Line 6 - %= Operator Example, Value of c = %dn", c ); c <<= 2; printf("Line 7 - <<= Operator Example, Value of c = %dn", c ); c >>= 2; printf("Line 8 - >>= Operator Example, Value of c = %dn", c ); c &= 2; printf("Line 9 - &= Operator Example, Value of c = %dn", c ); c ^= 2; printf("Line 10 - ^= Operator Example, Value of c = %dn", c ); c |= 2; printf("Line 11 - |= Operator Example, Value of c = %dn", c ); } When you compile and execute the above program, it produces the following result: Line 1 - = Operator Example, Value of c = 21 Line 2 - += Operator Example, Value of c = 42 Line 3 - -= Operator Example, Value of c = 21 Line 4 - *= Operator Example, Value of c = 441 Line 5 - /= Operator Example, Value of c = 21 Line 6 - %= Operator Example, Value of c = 11 Line 7 - <<= Operator Example, Value of c = 44 Line 8 - >>= Operator Example, Value of c = 11
C Programming 40 Line 9 - &= Operator Example, Value of c = 2 Line 10 - ^= Operator Example, Value of c = 0 Line 11 - |= Operator Example, Value of c = 2 MiscOperators↦sizeof&ternary Besides the operators discussed above, there are a few other important operators including sizeof and ? : supported by the C Language. Operator Description Example sizeof() Returns the size of a variable. sizeof(a), where a is integer, will return 4. & Returns the address of a variable. &a; returns the actual address of the variable. * Pointer to a variable. *a; ? : Conditional Expression. If Condition is true ? then value X : otherwise value Y Example Try following example to understand all the miscellaneous operators available in C: #include <stdio.h> main() { int a = 4; short b; double c; int* ptr; /* example of sizeof operator */
C Programming 41 printf("Line 1 - Size of variable a = %dn", sizeof(a) ); printf("Line 2 - Size of variable b = %dn", sizeof(b) ); printf("Line 3 - Size of variable c= %dn", sizeof(c) ); /* example of & and * operators */ ptr = &a; /* 'ptr' now contains the address of 'a'*/ printf("value of a is %dn", a); printf("*ptr is %d.n", *ptr); /* example of ternary operator */ a = 10; b = (a == 1) ? 20: 30; printf( "Value of b is %dn", b ); b = (a == 10) ? 20: 30; printf( "Value of b is %dn", b ); } When you compile and execute the above program, it produces the following result: value of a is 4 *ptr is 4. Value of b is 30 Value of b is 20 OperatorsPrecedenceinC Operator precedence determines the grouping of terms in an expression and decides how an expression is evaluated. Certain operators have higher precedence than others; for example, the multiplication operator has a higher precedence than the addition operator. For example, x = 7 + 3 * 2; here, x is assigned 13, not 20 because operator * has a higher precedence than +, so it first gets multiplied with 3*2 and then adds into 7. Here, operators with the highest precedence appear at the top of the table, those with the lowest appear at the bottom. Within an expression, higher precedence operators will be evaluated first.
C Programming 42 Category Operator Associativity Postfix () [] -> . ++ - - Left to right Unary + - ! ~ ++ - - (type)* & sizeof Right to left Multiplicative * / % Left to right Additive + - Left to right Shift << >> Left to right Relational < <= > >= Left to right Equality == != Left to right Bitwise AND & Left to right Bitwise XOR ^ Left to right Bitwise OR | Left to right Logical AND && Left to right Logical OR || Left to right Conditional ?: Right to left Assignment = += -= *= /= %=>>= <<= &= ^= |= Right to left Comma , Left to right Example
C Programming 43 Try the following example to understand operator precedence in C: #include <stdio.h> main() { int a = 20; int b = 10; int c = 15; int d = 5; int e; e = (a + b) * c / d; // ( 30 * 15 ) / 5 printf("Value of (a + b) * c / d is : %dn", e ); e = ((a + b) * c) / d; // (30 * 15 ) / 5 printf("Value of ((a + b) * c) / d is : %dn" , e ); e = (a + b) * (c / d); // (30) * (15/5) printf("Value of (a + b) * (c / d) is : %dn", e ); e = a + (b * c) / d; // 20 + (150/5) printf("Value of a + (b * c) / d is : %dn" , e ); return 0; } When you compile and execute the above program, it produces the following result: Value of (a + b) * c / d is : 90 Value of ((a + b) * c) / d is : 90 Value of (a + b) * (c / d) is : 90 Value of a + (b * c) / d is : 50
C Programming 44
C Programming 45 Decision-making structures require that the programmer specifies one or more conditions to be evaluated or tested by the program, along with a statement or statements to be executed if the condition is determined to be true, and optionally, other statements to be executed if the condition is determined to be false. Shown below is the general form of a typical decision-making structure found in most of the programming languages: C programming language assumes any non-zero and non-null values as true, and if it is either zero or null, then it is assumed as false value. C programming language provides the following types of decision-making statements. Statement Description if statement An if statement consists of a boolean expression followed by one or more statements. if...else statement An if statement can be followed by an optional else statement, which executes when 10. DECISION MAKING
C Programming 46 the Boolean expression is false. nested if statements You can use one if or else if statement inside another if or else if statement(s). switch statement A switch statement allows a variable to be tested for equality against a list of values. nested switch statements You can use one switch statement inside another switch statement(s). ifStatement An if statement consists of a Boolean expression followed by one or more statements. Syntax The syntax of an ‘if’ statement in C programming language is: if(boolean_expression) { /* statement(s) will execute if the boolean expression is true */ } If the Boolean expression evaluates to true, then the block of code inside the ‘if’ statement will be executed. If the Boolean expression evaluates to false, then the first set of code after the end of the ‘if’ statement (after the closing curly brace) will be executed. C programming language assumes any non-zero and non-null values as true and if it is either zero or null, then it is assumed as false value. Flow Diagram
C Programming 47 Example #include <stdio.h> int main () { /* local variable definition */ int a = 10; /* check the boolean condition using if statement */ if( a < 20 ) { /* if condition is true then print the following */ printf("a is less than 20n" ); } printf("value of a is : %dn", a); return 0; } When the above code is compiled and executed, it produces the following result: a is less than 20;
C Programming 48 value of a is : 10 if…elseStatement An if statement can be followed by an optional else statement, which executes when the Boolean expression is false. Syntax The syntax of an if...else statement in C programming language is: if(boolean_expression) { /* statement(s) will execute if the boolean expression is true */ } else { /* statement(s) will execute if the boolean expression is false */ } If the Boolean expression evaluates to true, then the if block will be executed, otherwise, the else block will be executed. C programming language assumes any non-zero and non-null values as true, and if it is either zero or null, then it is assumed as false value. Flow Diagram
C Programming 49 Example #include <stdio.h> int main () { /* local variable definition */ int a = 100; /* check the boolean condition */ if( a < 20 ) { /* if condition is true then print the following */ printf("a is less than 20n" ); } else { /* if condition is false then print the following */ printf("a is not less than 20n" ); } printf("value of a is : %dn", a); return 0; } When the above code is compiled and executed, it produces the following result: a is not less than 20; value of a is : 100 if...elseif...elseStatement An if statement can be followed by an optional else if...else statement, which is very useful to test various conditions using single if...else if statement. When using if…else if…else statements, there are few points to keep in mind:  An if can have zero or one else's and it must come after any else if's.  An if can have zero to many else if's and they must come before the else.
C Programming 50  Once an else if succeeds, none of the remaining else if's or else's will be tested. Syntax The syntax of an if...else if...else statement in C programming language is: if(boolean_expression 1) { /* Executes when the boolean expression 1 is true */ } else if( boolean_expression 2) { /* Executes when the boolean expression 2 is true */ } else if( boolean_expression 3) { /* Executes when the boolean expression 3 is true */ } else { /* executes when the none of the above condition is true */ } Example #include <stdio.h> int main () { /* local variable definition */ int a = 100; /* check the boolean condition */ if( a == 10 ) { /* if condition is true then print the following */
C Programming 51 printf("Value of a is 10n" ); } else if( a == 20 ) { /* if else if condition is true */ printf("Value of a is 20n" ); } else if( a == 30 ) { /* if else if condition is true */ printf("Value of a is 30n" ); } else { /* if none of the conditions is true */ printf("None of the values is matchingn" ); } printf("Exact value of a is: %dn", a ); return 0; } When the above code is compiled and executed, it produces the following result: None of the values is matching Exact value of a is: 100 NestedifStatements It is always legal in C programming to nest if-else statements, which means you can use one if or else if statement inside another if or else if statement(s). Syntax The syntax for a nested if statement is as follows: if( boolean_expression 1) {
C Programming 52 /* Executes when the boolean expression 1 is true */ if(boolean_expression 2) { /* Executes when the boolean expression 2 is true */ } } You can nest else if...else in the similar way as you have nested if statements. Example #include <stdio.h> int main () { /* local variable definition */ int a = 100; int b = 200; /* check the boolean condition */ if( a == 100 ) { /* if condition is true then check the following */ if( b == 200 ) { /* if condition is true then print the following */ printf("Value of a is 100 and b is 200n" ); } } printf("Exact value of a is : %dn", a ); printf("Exact value of b is : %dn", b ); return 0; } When the above code is compiled and executed, it produces the following result:
C Programming 53 Value of a is 100 and b is 200 Exact value of a is : 100 Exact value of b is : 200 switchStatement A switch statement allows a variable to be tested for equality against a list of values. Each value is called a case, and the variable being switched on is checked for each switch case. Syntax The syntax for a switch statement in C programming language is as follows: switch(expression){ case constant-expression : statement(s); break; /* optional */ case constant-expression : statement(s); break; /* optional */ /* you can have any number of case statements */ default : /* Optional */ statement(s); } The following rules apply to a switch statement:  The expression used in a switch statement must have an integral or enumerated type, or be of a class type in which the class has a single conversion function to an integral or enumerated type.  You can have any number of case statements within a switch. Each case is followed by the value to be compared to and a colon.  The constant-expression for a case must be the same data type as the variable in the switch, and it must be a constant or a literal.  When the variable being switched on is equal to a case, the statements following that case will execute until a break statement is reached.  When a break statement is reached, the switch terminates, and the flow of control jumps to the next line following the switch statement.
C Programming 54  Not every case needs to contain a break. If no break appears, the flow of control will fall through to subsequent cases until a break is reached.  A switch statement can have an optional default case, which must appear at the end of the switch. The default case can be used for performing a task when none of the cases is true. No break is needed in the default case. Flow Diagram Example #include <stdio.h> int main () { /* local variable definition */ char grade = 'B'; switch(grade) { case 'A' :
C Programming 55 printf("Excellent!n" ); break; case 'B' : case 'C' : printf("Well donen" ); break; case 'D' : printf("You passedn" ); break; case 'F' : printf("Better try againn" ); break; default : printf("Invalid graden" ); } printf("Your grade is %cn", grade ); return 0; } When the above code is compiled and executed, it produces the following result: Well done Your grade is B NestedswitchStatements It is possible to have a switch as a part of the statement sequence of an outer switch. Even if the case constants of the inner and outer switch contain common values, no conflicts will arise. Syntax The syntax for a nested switch statement is as follows: switch(ch1) { case 'A': printf("This A is part of outer switch" );
C Programming 56 switch(ch2) { case 'A': printf("This A is part of inner switch" ); break; case 'B': /* case code */ } break; case 'B': /* case code */ } Example #include <stdio.h> int main () { /* local variable definition */ int a = 100; int b = 200; switch(a) { case 100: printf("This is part of outer switchn", a ); switch(b) { case 200: printf("This is part of inner switchn", a ); } } printf("Exact value of a is : %dn", a ); printf("Exact value of b is : %dn", b ); return 0; } When the above code is compiled and executed, it produces the following result:
C Programming 57 This is part of outer switch This is part of inner switch Exact value of a is : 100 Exact value of b is : 200 The?:Operator: We have covered conditional operator ? : in the previous chapter which can be used to replace if...else statements. It has the following general form: Exp1 ? Exp2 : Exp3; Where Exp1, Exp2, and Exp3 are expressions. Notice the use and placement of the colon. The value of a ? expression is determined like this: 1. Exp1 is evaluated. If it is true, then Exp2 is evaluated and becomes the value of the entire ? expression. 2. If Exp1 is false, then Exp3 is evaluated and its value becomes the value of the expression.
C Programming 58 You may encounter situations when a block of code needs to be executed several number of times. In general, statements are executed sequentially: The first statement in a function is executed first, followed by the second, and so on. Programming languages provide various control structures that allow for more complicated execution paths. A loop statement allows us to execute a statement or group of statements multiple times. Given below is the general form of a loop statement in most of the programming languages: C programming language provides the following types of loops to handle looping requirements. Loop Type Description while loop Repeats a statement or group of statements while a given condition is true. It tests the condition before executing the loop body. for loop Executes a sequence of statements multiple times and abbreviates the code that manages the loop variable. 11. LOOPS
C Programming 59 do...while loop It is more like a while statement, except that it tests the condition at the end of the loop body. nested loops You can use one or more loops inside any other while, for, or do..while loop. whileLoop A while loop in C programming repeatedly executes a target statement as long as a given condition is true. Syntax The syntax of a while loop in C programming language is: while(condition) { statement(s); } Here, statement(s) may be a single statement or a block of statements. The condition may be any expression, and true is any nonzero value. The loop iterates while the condition is true. When the condition becomes false, the program control passes to the line immediately following the loop. Flow Diagram
C Programming 60 Here, the key point to note is that a while loop might not execute at all. When the condition is tested and the result is false, the loop body will be skipped and the first statement after the while loop will be executed. Example #include <stdio.h> int main () { /* local variable definition */ int a = 10; /* while loop execution */ while( a < 20 ) { printf("value of a: %dn", a); a++; }
C Programming 61 return 0; } When the above code is compiled and executed, it produces the following result: value of a: 10 value of a: 11 value of a: 12 value of a: 13 value of a: 14 value of a: 15 value of a: 16 value of a: 17 value of a: 18 value of a: 19 forLoop A for loop is a repetition control structure that allows you to efficiently write a loop that needs to execute a specific number of times. Syntax The syntax of a for loop in C programming language is: for ( init; condition; increment ) { statement(s); } Here is the flow of control in a ‘for’ loop: 1. The init step is executed first, and only once. This step allows you to declare and initialize any loop control variables. You are not required to put a statement here, as long as a semicolon appears. 2. Next, the condition is evaluated. If it is true, the body of the loop is executed. If it is false, the body of the loop does not execute and the flow of control jumps to the next statement just after the ‘for’ loop. 3. After the body of the ‘for’ loop executes, the flow of control jumps back up to the increment statement. This statement allows you to update any loop control variables. This statement can be left blank, as long as a semicolon appears after the condition.
C Programming 62 4. The condition is now evaluated again. If it is true, the loop executes and the process repeats itself (body of loop, then increment step, and then again condition). After the condition becomes false, the ‘for’ loop terminates. Flow Diagram Example #include <stdio.h> int main () { /* for loop execution */ for( int a = 10; a < 20; a = a + 1 ) { printf("value of a: %dn", a);
C Programming 63 } return 0; } When the above code is compiled and executed, it produces the following result: value of a: 10 value of a: 11 value of a: 12 value of a: 13 value of a: 14 value of a: 15 value of a: 16 value of a: 17 value of a: 18 value of a: 19 do…whileLoop Unlike for and while loops, which test the loop condition at the top of the loop, the do...while loop in C programming checks its condition at the bottom of the loop. A do...while loop is similar to a while loop, except the fact that it is guaranteed to execute at least one time. Syntax The syntax of a do...while loop in C programming language is: do { statement(s); }while( condition ); Notice that the conditional expression appears at the end of the loop, so the statement(s) in the loop executes once before the condition is tested.
C Programming 64 If the condition is true, the flow of control jumps back up to do, and the statement(s) in the loop executes again. This process repeats until the given condition becomes false. Flow Diagram Example #include <stdio.h> int main () { /* local variable definition */ int a = 10; /* do loop execution */ do { printf("value of a: %dn", a); a = a + 1; }while( a < 20 ); return 0;
C Programming 65 } When the above code is compiled and executed, it produces the following result: value of a: 10 value of a: 11 value of a: 12 value of a: 13 value of a: 14 value of a: 15 value of a: 16 value of a: 17 value of a: 18 value of a: 19 NestedLoops C programming allows to use one loop inside another loop. The following section shows a few examples to illustrate the concept. Syntax The syntax for a nested for loop statement in C is as follows: for ( init; condition; increment ) { for ( init; condition; increment ) { statement(s); } statement(s); } The syntax for a nested while loop statement in C programming language is as follows: while(condition) { while(condition) {
C Programming 66 statement(s); } statement(s); } The syntax for a nested do...while loop statement in C programming language is as follows: do { statement(s); do { statement(s); }while( condition ); }while( condition ); A final note on loop nesting is that you can put any type of loop inside any other type of loop. For example, a ‘for’ loop can be inside a ‘while’ loop or vice versa. Example The following program uses a nested for loop to find the prime numbers from 2 to 100: #include <stdio.h> int main () { /* local variable definition */ int i, j; for(i=2; i<100; i++) { for(j=2; j <= (i/j); j++) if(!(i%j)) break; // if factor found, not prime if(j > (i/j)) printf("%d is primen", i); }
C Programming 67 return 0; } When the above code is compiled and executed, it produces the following result: 2 is prime 3 is prime 5 is prime 7 is prime 11 is prime 13 is prime 17 is prime 19 is prime 23 is prime 29 is prime 31 is prime 37 is prime 41 is prime 43 is prime 47 is prime 53 is prime 59 is prime 61 is prime 67 is prime 71 is prime 73 is prime 79 is prime 83 is prime 89 is prime 97 is prime LoopControlStatements Loop control statements change execution from its normal sequence. When execution leaves a scope, all automatic objects that were created in that scope are destroyed.
C Programming 68 C supports the following control statements. Control Statement Description break statement Terminates the loop or switch statement and transfers execution to the statement immediately following the loop or switch. continue statement Causes the loop to skip the remainder of its body and immediately retest its condition prior to reiterating. goto statement Transfers control to the labeled statement. breakStatement The break statement in C programming has the following two usages:  When a break statement is encountered inside a loop, the loop is immediately terminated and the program control resumes at the next statement following the loop.  It can be used to terminate a case in the switch statement (covered in the next chapter). If you are using nested loops, the break statement will stop the execution of the innermost loop and start executing the next line of code after the block. Syntax The syntax for a break statement in C is as follows: break; Flow Diagram
C Programming 69 Example #include <stdio.h> int main () { /* local variable definition */ int a = 10; /* while loop execution */ while( a < 20 ) { printf("value of a: %dn", a); a++; if( a > 15) { /* terminate the loop using break statement */ break; } }
C Programming 70 return 0; } When the above code is compiled and executed, it produces the following result: value of a: 10 value of a: 11 value of a: 12 value of a: 13 value of a: 14 value of a: 15 continueStatement The continue statement in C programming works somewhat like the break statement. Instead of forcing termination, it forces the next iteration of the loop to take place, skipping any code in between. For the for loop, continue statement causes the conditional test and increment portions of the loop to execute. For the while and do...while loops, continue statement causes the program control to pass to the conditional tests. Syntax The syntax for a continue statement in C is as follows: continue; Flow Diagram
C Programming 71 Example #include <stdio.h> int main () { /* local variable definition */ int a = 10; /* do loop execution */ do { if( a == 15) { /* skip the iteration */ a = a + 1; continue; } printf("value of a: %dn", a); a++;
C Programming 72 }while( a < 20 ); return 0; } When the above code is compiled and executed, it produces the following result: value of a: 10 value of a: 11 value of a: 12 value of a: 13 value of a: 14 value of a: 16 value of a: 17 value of a: 18 value of a: 19 gotoStatement A goto statement in C programming provides an unconditional jump from the ‘goto’ to a labeled statement in the same function. NOTE: Use of goto statement is highly discouraged in any programming language because it makes difficult to trace the control flow of a program, making the program hard to understand and hard to modify. Any program that uses a goto can be rewritten to avoid them. Syntax The syntax for a goto statement in C is as follows: goto label; .. . label: statement; Here label can be any plain text except C keyword and it can be set anywhere in the C program above or below to goto statement.
C Programming 73 Flow Diagram Example #include <stdio.h> int main () { /* local variable definition */ int a = 10; /* do loop execution */ LOOP:do { if( a == 15) { /* skip the iteration */ a = a + 1; goto LOOP; } printf("value of a: %dn", a); a++;
C Programming 74 }while( a < 20 ); return 0; } When the above code is compiled and executed, it produces the following result: value of a: 10 value of a: 11 value of a: 12 value of a: 13 value of a: 14 value of a: 16 value of a: 17 value of a: 18 value of a: 19 TheInfiniteLoop A loop becomes an infinite loop if a condition never becomes false. The for loop is traditionally used for this purpose. Since none of the three expressions that form the ‘for’ loop are required, you can make an endless loop by leaving the conditional expression empty. #include <stdio.h> int main () { for( ; ; ) { printf("This loop will run forever.n"); } return 0; }
C Programming 75 When the conditional expression is absent, it is assumed to be true. You may have an initialization and increment expression, but C programmers more commonly use the for(;;) construct to signify an infinite loop. NOTE: You can terminate an infinite loop by pressing Ctrl + C keys.
C Programming 76 A function is a group of statements that together perform a task. Every C program has at least one function, which is main(), and all the most trivial programs can define additional functions. You can divide up your code into separate functions. How you divide up your code among different functions is up to you, but logically the division is such that each function performs a specific task. A function declaration tells the compiler about a function's name, return type, and parameters. A function definition provides the actual body of the function. The C standard library provides numerous built-in functions that your program can call. For example, strcat() to concatenate two strings, memcpy() to copy one memory location to another location, and many more functions. A function can also be referred as a method or a sub-routine or a procedure, etc. DefiningaFunction The general form of a function definition in C programming language is as follows: return_type function_name( parameter list ) { body of the function } A function definition in C programming consists of a function header and a function body. Here are all the parts of a function:  Return Type: A function may return a value. The return_type is the data type of the value the function returns. Some functions perform the desired operations without returning a value. In this case, the return_type is the keyword void.  Function Name: This is the actual name of the function. The function name and the parameter list together constitute the function signature.  Parameters: A parameter is like a placeholder. When a function is invoked, you pass a value to the parameter. This value is referred to as actual parameter or argument. The parameter list refers to the type, order, and number of the parameters of a function. Parameters are optional; that is, a function may contain no parameters. 12. FUNCTIONS
C Programming 77  Function Body: The function body contains a collection of statements that define what the function does. Example Given below is the source code for a function called max(). This function takes two parameters num1 and num2 and returns the maximum value between the two: /* function returning the max between two numbers */ int max(int num1, int num2) { /* local variable declaration */ int result; if (num1 > num2) result = num1; else result = num2; return result; } FunctionDeclarations A function declaration tells the compiler about a function name and how to call the function. The actual body of the function can be defined separately. A function declaration has the following parts: return_type function_name( parameter list ); For the above defined function max(),the function declaration is as follows: int max(int num1, int num2); Parameter names are not important in function declaration, only their type is required, so the following is also a valid declaration: int max(int, int); Function declaration is required when you define a function in one source file and you call that function in another file. In such case, you should declare the function at the top of the file calling the function.
C Programming 78 CallingaFunction While creating a C function, you give a definition of what the function has to do. To use a function, you will have to call that function to perform the defined task. When a program calls a function, the program control is transferred to the called function. A called function performs a defined task and when its return statement is executed or when its function-ending closing brace is reached, it returns the program control back to the main program. To call a function, you simply need to pass the required parameters along with the function name, and if the function returns a value, then you can store the returned value. For example: #include <stdio.h> /* function declaration */ int max(int num1, int num2); int main () { /* local variable definition */ int a = 100; int b = 200; int ret; /* calling a function to get max value */ ret = max(a, b); printf( "Max value is : %dn", ret ); return 0; } /* function returning the max between two numbers */ int max(int num1, int num2) { /* local variable declaration */ int result;
C Programming 79 if (num1 > num2) result = num1; else result = num2; return result; } We have kept max()along with main() and compiled the source code. While running the final executable, it would produce the following result: Max value is : 200 FunctionArguments If a function is to use arguments, it must declare variables that accept the values of the arguments. These variables are called the formal parameters of the function. Formal parameters behave like other local variables inside the function and are created upon entry into the function and destroyed upon exit. While calling a function, there are two ways in which arguments can be passed to a function: Call Type Description Call by value This method copies the actual value of an argument into the formal parameter of the function. In this case, changes made to the parameter inside the function have no effect on the argument. Call by reference This method copies the address of an argument into the formal parameter. Inside the function, the address is used to access the actual argument used in the call. This means that changes made to the parameter affect the argument.
C Programming 80 CallbyValue The call by value method of passing arguments to a function copies the actual value of an argument into the formal parameter of the function. In this case, changes made to the parameter inside the function have no effect on the argument. By default, C programming uses call by value to pass arguments. In general, it means the code within a function cannot alter the arguments used to call the function. Consider the function swap() definition as follows. /* function definition to swap the values */ void swap(int x, int y) { int temp; temp = x; /* save the value of x */ x = y; /* put y into x */ y = temp; /* put temp into y */ return; } Now, let us call the function swap() by passing actual values as in the following example: #include <stdio.h> /* function declaration */ void swap(int x, int y); int main () { /* local variable definition */ int a = 100; int b = 200; printf("Before swap, value of a : %dn", a ); printf("Before swap, value of b : %dn", b );
C Programming 81 /* calling a function to swap the values */ swap(a, b); printf("After swap, value of a : %dn", a ); printf("After swap, value of b : %dn", b ); return 0; } Let us put the above code in a single C file, compile and execute it, it will produce the following result: Before swap, value of a :100 Before swap, value of b :200 After swap, value of a :100 After swap, value of b :200 It shows that there are no changes in the values, though they had been changed inside the function. CallbyReference The call by reference method of passing arguments to a function copies the address of an argument into the formal parameter. Inside the function, the address is used to access the actual argument used in the call. It means the changes made to the parameter affect the passed argument. To pass a value by reference, argument pointers are passed to the functions just like any other value. So accordingly, you need to declare the function parameters as pointer types as in the following function swap(), which exchanges the values of the two integer variables pointed to, by their arguments. /* function definition to swap the values */ void swap(int *x, int *y) { int temp; temp = *x; /* save the value at address x */ *x = *y; /* put y into x */
C Programming 82 *y = temp; /* put temp into y */ return; } Let us now call the function swap() by passing values by reference as in the following example: #include <stdio.h> /* function declaration */ void swap(int *x, int *y); int main () { /* local variable definition */ int a = 100; int b = 200; printf("Before swap, value of a : %dn", a ); printf("Before swap, value of b : %dn", b ); /* calling a function to swap the values. * &a indicates pointer to a i.e. address of variable a and * &b indicates pointer to b i.e. address of variable b. */ swap(&a, &b); printf("After swap, value of a : %dn", a ); printf("After swap, value of b : %dn", b ); return 0; } Let us put the above code in a single C file, compile and execute it, to produce the following result:
C Programming 83 Before swap, value of a :100 Before swap, value of b :200 After swap, value of a :200 After swap, value of b :100 It shows that the change has reflected outside the function as well, unlike call by value where the changes do not reflect outside the function. By default, C uses call by value to pass arguments. In general, it means the code within a function cannot alter the arguments used to call the function.
C Programming 84 A scope in any programming is a region of the program where a defined variable can have its existence and beyond that variable it cannot be accessed. There are three places where variables can be declared in C programming language:  Inside a function or a block which is called local variables,  Outside of all functions which is called global variables.  In the definition of function parameters which are called formal parameters. Let us understand what are local and global variables, and formal parameters. LocalVariables Variables that are declared inside a function or block are called local variables. They can be used only by statements that are inside that function or block of code. Local variables are not known to functions outside their own. The following example shows how local variables are used. Here all the variables a, b, and c are local to main() function. #include <stdio.h> int main () { /* local variable declaration */ int a, b; int c; /* actual initialization */ a = 10; b = 20; c = a + b; printf ("value of a = %d, b = %d and c = %dn", a, b, c); return 0; 13. SCOPE RULES
C Programming 85 } GlobalVariables Global variables are defined outside a function, usually on top of the program. Global variables hold their values throughout the lifetime of your program and they can be accessed inside any of the functions defined for the program. A global variable can be accessed by any function. That is, a global variable is available for use throughout your entire program after its declaration. The following program shows how global variables are used in a program. #include <stdio.h> /* global variable declaration */ int g; int main () { /* local variable declaration */ int a, b; /* actual initialization */ a = 10; b = 20; g = a + b; printf ("value of a = %d, b = %d and g = %dn", a, b, g); return 0; } A program can have same name for local and global variables but the value of local variable inside a function will take preference. Here is an example: #include <stdio.h> /* global variable declaration */
C Programming 86 int g = 20; int main () { /* local variable declaration */ int g = 10; printf ("value of g = %dn", g); return 0; } When the above code is compiled and executed, it produces the following result: value of g = 10 FormalParameters Formal parameters are treated as local variables with-in a function and they take precedence over global variables. Following is an example: #include <stdio.h> /* global variable declaration */ int a = 20; int main () { /* local variable declaration in main function */ int a = 10; int b = 20; int c = 0; printf ("value of a in main() = %dn", a); c = sum( a, b); printf ("value of c in main() = %dn", c);
C Programming 87 return 0; } /* function to add two integers */ int sum(int a, int b) { printf ("value of a in sum() = %dn", a); printf ("value of b in sum() = %dn", b); return a + b; } When the above code is compiled and executed, it produces the following result: value of a in main() = 10 value of a in sum() = 10 value of b in sum() = 20 value of c in main() = 30 InitializingLocalandGlobalVariables When a local variable is defined, it is not initialized by the system, you must initialize it yourself. Global variables are initialized automatically by the system when you define them, as follows: Data Type Initial Default Value int 0 char '0' float 0 double 0
C Programming 88 pointer NULL It is a good programming practice to initialize variables properly, otherwise your program may produce unexpected results, because uninitialized variables will take some garbage value already available at their memory location.
C Programming 89 Arrays a kind of data structure that can store a fixed-size sequential collection of elements of the same type. An array is used to store a collection of data, but it is often more useful to think of an array as a collection of variables of the same type. Instead of declaring individual variables, such as number0, number1, ..., and number99, you declare one array variable such as numbers and use numbers[0], numbers[1], and ..., numbers[99] to represent individual variables. A specific element in an array is accessed by an index. All arrays consist of contiguous memory locations. The lowest address corresponds to the first element and the highest address to the last element. DeclaringArrays To declare an array in C, a programmer specifies the type of the elements and the number of elements required by an array as follows: type arrayName [ arraySize ]; This is called a single-dimensional array. The arraySize must be an integer constant greater than zero and type can be any valid C data type. For example, to declare a 10-element array called balance of type double, use this statement: double balance[10]; Here, balance is a variable array which is sufficient to hold up to 10 double numbers. InitializingArrays You can initialize an array in C either one by one or using a single statement as follows: double balance[5] = {1000.0, 2.0, 3.4, 7.0, 50.0}; 14. ARRAYS
C Programming 90 The number of values between braces { } cannot be larger than the number of elements that we declare for the array between square brackets [ ]. If you omit the size of the array, an array just big enough to hold the initialization is created. Therefore, if you write: double balance[] = {1000.0, 2.0, 3.4, 7.0, 50.0}; You will create exactly the same array as you did in the previous example. Following is an example to assign a single element of the array: balance[4] = 50.0; The above statement assigns the 5th element in the array with a value of 50.0. All arrays have 0 as the index of their first element which is also called the base index and the last index of an array will be total size of the array minus 1. Shown below is the pictorial representation of the array we discussed above: AccessingArrayElements An element is accessed by indexing the array name. This is done by placing the index of the element within square brackets after the name of the array. For example: double salary = balance[9]; The above statement will take the 10th element from the array and assign the value to salary variable. The following example shows how to use all the three above-mentioned concepts viz. declaration, assignment, and accessing arrays: #include <stdio.h> int main () { int n[ 10 ]; /* n is an array of 10 integers */ int i,j; /* initialize elements of array n to 0 */ for ( i = 0; i < 10; i++ ) {
C Programming 91 n[ i ] = i + 100; /* set element at location i to i + 100 */ } /* output each array element's value */ for (j = 0; j < 10; j++ ) { printf("Element[%d] = %dn", j, n[j] ); } return 0; } When the above code is compiled and executed, it produces the following result: Element[0] = 100 Element[1] = 101 Element[2] = 102 Element[3] = 103 Element[4] = 104 Element[5] = 105 Element[6] = 106 Element[7] = 107 Element[8] = 108 Element[9] = 109 ArraysinDetail Arrays are important to C and should need a lot more attention. The following important concepts related to array should be clear to a C programmer: Concept Description Multidimensional arrays C supports multidimensional arrays. The simplest form of the multidimensional array is the two-dimensional array. Passing arrays to functions You can pass to the function a pointer to an
C Programming 92 array by specifying the array's name without an index. Return array from a function C allows a function to return an array. Pointer to an array You can generate a pointer to the first element of an array by simply specifying the array name, without any index. MultidimensionalArrays C programming language allows multidimensional arrays. Here is the general form of a multidimensional array declaration: type name[size1][size2]...[sizeN]; For example, the following declaration creates a three-dimensional integer array: int threedim[5][10][4]; Two-dimensionalArrays The simplest form of multidimensional array is the two-dimensional array. A two-dimensional array is, in essence, a list of one-dimensional arrays. To declare a two-dimensional integer array of size [x][y], you would write something as follows: type arrayName [ x ][ y ]; Where type can be any valid C data type and arrayName will be a valid C identifier. A two-dimensional array can be considered as a table which will have x number of rows and y number of columns. A two-dimensional array a, which contains three rows and four columns can be shown as follows: Thus, every element in the array a is identified by an element name of the form a[ i ][ j ], where ‘a’ is the name of the array, and ‘i' and ‘j’ are the subscripts that uniquely identify each element in ‘a’.
C Programming 93 InitializingTwo-DimensionalArrays Multidimensional arrays may be initialized by specifying bracketed values for each row. Following is an array with 3 rows and each row has 4 columns. int a[3][4] = { {0, 1, 2, 3} , /* initializers for row indexed by 0 */ {4, 5, 6, 7} , /* initializers for row indexed by 1 */ {8, 9, 10, 11} /* initializers for row indexed by 2 */ }; The nested braces, which indicate the intended row, are optional. The following initialization is equivalent to the previous example: int a[3][4] = {0,1,2,3,4,5,6,7,8,9,10,11}; AccessingTwo-DimensionalArrayElements An element in a two-dimensional array is accessed by using the subscripts, i.e., row index and column index of the array. For example: int val = a[2][3]; The above statement will take the 4th element from the 3rd row of the array. You can verify it in the above figure. Let us check the following program where we have used a nested loop to handle a two-dimensional array: #include <stdio.h> int main () { /* an array with 5 rows and 2 columns*/ int a[5][2] = { {0,0}, {1,2}, {2,4}, {3,6},{4,8}}; int i, j; /* output each array element's value */ for ( i = 0; i < 5; i++ ) { for ( j = 0; j < 2; j++ ) { printf("a[%d][%d] = %dn", i,j, a[i][j] );
C Programming 94 } } return 0; } When the above code is compiled and executed, it produces the following result: a[0][0]: 0 a[0][1]: 0 a[1][0]: 1 a[1][1]: 2 a[2][0]: 2 a[2][1]: 4 a[3][0]: 3 a[3][1]: 6 a[4][0]: 4 a[4][1]: 8 As explained above, you can have arrays with any number of dimensions, although it is likely that most of the arrays you create will be of one or two dimensions. PassingArraystoFunctions If you want to pass a single-dimension array as an argument in a function, you would have to declare a formal parameter in one of following three ways and all three declaration methods produce similar results because each tells the compiler that an integer pointer is going to be received. Similarly, you can pass multi-dimensional arrays as formal parameters. Way-1 Formal parameters as a pointer: void myFunction(int *param) { . . . }
C Programming 95 Way-2 Formal parameters as a sized array: void myFunction(int param[10]) { . . . } Way-3 Formal parameters as an unsized array: void myFunction(int param[]) { . . . } Example Now, consider the following function, which takes an array as an argument along with another argument and based on the passed arguments, it returns the average of the numbers passed through the array as follows: double getAverage(int arr[], int size) { int i; double avg; double sum; for (i = 0; i < size; ++i) { sum += arr[i]; }
C Programming 96 avg = sum / size; return avg; } Now, let us call the above function as follows: #include <stdio.h> /* function declaration */ double getAverage(int arr[], int size); int main () { /* an int array with 5 elements */ int balance[5] = {1000, 2, 3, 17, 50}; double avg; /* pass pointer to the array as an argument */ avg = getAverage( balance, 5 ) ; /* output the returned value */ printf( "Average value is: %f ", avg ); return 0; } When the above code is compiled together and executed, it produces the following result: Average value is: 214.400000 As you can see, the length of the array doesn't matter as far as the function is concerned because C performs no bounds checking for formal parameters. ReturnArrayfromaFunction C programming does not allow to return an entire array as an argument to a function. However, you can return a pointer to an array by specifying the array's name without an index.
C Programming 97 If you want to return a single-dimension array from a function, you would have to declare a function returning a pointer as in the following example: int * myFunction() { . . . } Second point to remember is that C does not advocate to return the address of a local variable to outside of the function, so you would have to define the local variable as static variable. Now, consider the following function which will generate 10 random numbers and return them using an array and call this function as follows: #include <stdio.h> /* function to generate and return random numbers */ int * getRandom( ) { static int r[10]; int i; /* set the seed */ srand( (unsigned)time( NULL ) ); for ( i = 0; i < 10; ++i) { r[i] = rand(); printf( "r[%d] = %dn", i, r[i]); } return r; } /* main function to call above defined function */
C Programming 98 int main () { /* a pointer to an int */ int *p; int i; p = getRandom(); for ( i = 0; i < 10; i++ ) { printf( "*(p + %d) : %dn", i, *(p + i)); } return 0; } When the above code is compiled together and executed, it produces the following result: r[0] = 313959809 r[1] = 1759055877 r[2] = 1113101911 r[3] = 2133832223 r[4] = 2073354073 r[5] = 167288147 r[6] = 1827471542 r[7] = 834791014 r[8] = 1901409888 r[9] = 1990469526 *(p + 0) : 313959809 *(p + 1) : 1759055877 *(p + 2) : 1113101911 *(p + 3) : 2133832223 *(p + 4) : 2073354073 *(p + 5) : 167288147 *(p + 6) : 1827471542
C Programming 99 *(p + 7) : 834791014 *(p + 8) : 1901409888 *(p + 9) : 1990469526 PointertoanArray It is most likely that you would not understand this section until you are through with the chapter ‘Pointers’. Assuming you have some understanding of pointers in C, let us start: An array name is a constant pointer to the first element of the array. Therefore, in the declaration: double balance[50]; balance is a pointer to &balance[0], which is the address of the first element of the array balance. Thus, the following program fragment assigns p as the address of the first element of balance: double *p; double balance[10]; p = balance; It is legal to use array names as constant pointers, and vice versa. Therefore, *(balance + 4) is a legitimate way of accessing the data at balance[4]. Once you store the address of the first element in ‘p’, you can access the array elements using *p, *(p+1), *(p+2), and so on. Given below is the example to show all the concepts discussed above: #include <stdio.h> int main () { /* an array with 5 elements */ double balance[5] = {1000.0, 2.0, 3.4, 17.0, 50.0}; double *p; int i; p = balance;
C Programming 100 /* output each array element's value */ printf( "Array values using pointern"); for ( i = 0; i < 5; i++ ) { printf("*(p + %d) : %fn", i, *(p + i) ); } printf( "Array values using balance as addressn"); for ( i = 0; i < 5; i++ ) { printf("*(balance + %d) : %fn", i, *(balance + i) ); } return 0; } When the above code is compiled and executed, it produces the following result: Array values using pointer *(p + 0) : 1000.000000 *(p + 1) : 2.000000 *(p + 2) : 3.400000 *(p + 3) : 17.000000 *(p + 4) : 50.000000 Array values using balance as address *(balance + 0) : 1000.000000 *(balance + 1) : 2.000000 *(balance + 2) : 3.400000 *(balance + 3) : 17.000000 *(balance + 4) : 50.000000 In the above example, p is a pointer to double, which means it can store the address of a variable of double type. Once we have the address in p, *p will give us the value available at the address stored in p, as we have shown in the above example.
C Programming 101 Pointers in C are easy and fun to learn. Some C programming tasks are performed more easily with pointers, and other tasks, such as dynamic memory allocation, cannot be performed without using pointers. So it becomes necessary to learn pointers to become a perfect C programmer. Let's start learning them in simple and easy steps. As you know, every variable is a memory location and every memory location has its address defined which can be accessed using ampersand (&) operator, which denotes an address in memory. Consider the following example, which prints the address of the variables defined: #include <stdio.h> int main () { int var1; char var2[10]; printf("Address of var1 variable: %xn", &var1 ); printf("Address of var2 variable: %xn", &var2 ); return 0; } When the above code is compiled and executed, it produces the following result: Address of var1 variable: bff5a400 Address of var2 variable: bff5a3f6 WhatarePointers? A pointer is a variable whose value is the address of another variable, i.e., direct address of the memory location. Like any variable or constant, you must declare a pointer before using it to store any variable address. The general form of a pointer variable declaration is: 15. POINTERS
C Programming 102 type *var-name; Here, type is the pointer's base type; it must be a valid C data type and var- name is the name of the pointer variable. The asterisk * used to declare a pointer is the same asterisk used for multiplication. However, in this statement, the asterisk is being used to designate a variable as a pointer. Take a look at some of the valid pointer declarations: int *ip; /* pointer to an integer */ double *dp; /* pointer to a double */ float *fp; /* pointer to a float */ char *ch /* pointer to a character */ The actual data type of the value of all pointers, whether integer, float, character, or otherwise, is the same, a long hexadecimal number that represents a memory address. The only difference between pointers of different data types is the data type of the variable or constant that the pointer points to. How toUsePointers? There are a few important operations, which we will do with the help of pointers very frequently. (a) We define a pointer variable, (b) assign the address of a variable to a pointer, and (c) finally access the value at the address available in the pointer variable. This is done by using unary operator * that returns the value of the variable located at the address specified by its operand. The following example makes use of these operations: #include <stdio.h> int main () { int var = 20; /* actual variable declaration */ int *ip; /* pointer variable declaration */ ip = &var; /* store address of var in pointer variable*/ printf("Address of var variable: %xn", &var ); /* address stored in pointer variable */ printf("Address stored in ip variable: %xn", ip );
C Programming 103 /* access the value using the pointer */ printf("Value of *ip variable: %dn", *ip ); return 0; } When the above code is compiled and executed, it produces the following result: Address of var variable: bffd8b3c Address stored in ip variable: bffd8b3c Value of *ip variable: 20 NULLPointers It is always a good practice to assign a NULL value to a pointer variable in case you do not have an exact address to be assigned. This is done at the time of variable declaration. A pointer that is assigned NULL is called a null pointer. The NULL pointer is a constant with a value of zero defined in several standard libraries. Consider the following program: #include <stdio.h> int main () { int *ptr = NULL; printf("The value of ptr is : %xn", ptr ); return 0; } When the above code is compiled and executed, it produces the following result: The value of ptr is 0 In most of the operating systems, programs are not permitted to access memory at address 0 because that memory is reserved by the operating system. However, the memory address 0 has special significance; it signals that the pointer is not intended to point to an accessible memory location. But by
C Programming 104 convention, if a pointer contains the null (zero) value, it is assumed to point to nothing. To check for a null pointer, you can use an ‘if’ statement as follows: if(ptr) /* succeeds if p is not null */ if(!ptr) /* succeeds if p is null */ PointersinDetail Pointers have many but easy concepts and they are very important to C programming. The following important pointer concepts should be clear to any C programmer: Concept Description Pointer arithmetic There are four arithmetic operators that can be used in pointers: ++, --, +, - Array of pointers You can define arrays to hold a number of pointers. Pointer to pointer C allows you to have pointer on a pointer and so on. Passing pointers to functions in C Passing an argument by reference or by address enable the passed argument to be changed in the calling function by the called function. Return pointer from functions in C C allows a function to return a pointer to the local variable, static variable, and dynamically allocated memory as well. PointerArithmetic A pointer in C is an address, which is a numeric value. Therefore, you can perform arithmetic operations on a pointer just as you can on a numeric value. There are four arithmetic operators that can be used on pointers: ++, --, +, and -
C Programming 105 To understand pointer arithmetic, let us consider that ptr is an integer pointer which points to the address 1000. Assuming 32-bit integers, let us perform the following arithmetic operation on the pointer: ptr++ After the above operation, the ptr will point to the location 1004 because each time ptr is incremented, it will point to the next integer location which is 4 bytes next to the current location. This operation will move the pointer to the next memory location without impacting the actual value at the memory location. If ptr points to a character whose address is 1000, then the above operation will point to the location 1001 because the next character will be available at 1001. IncrementingaPointer We prefer using a pointer in our program instead of an array because the variable pointer can be incremented, unlike the array name which cannot be incremented because it is a constant pointer. The following program increments the variable pointer to access each succeeding element of the array: #include <stdio.h> const int MAX = 3; int main () { int var[] = {10, 100, 200}; int i, *ptr; /* let us have array address in pointer */ ptr = var; for ( i = 0; i < MAX; i++) { printf("Address of var[%d] = %xn", i, ptr ); printf("Value of var[%d] = %dn", i, *ptr ); /* move to the next location */ ptr++; }
C Programming 106 return 0; } When the above code is compiled and executed, it produces the following result: Address of var[0] = bf882b30 Value of var[0] = 10 Address of var[1] = bf882b34 Value of var[1] = 100 Address of var[2] = bf882b38 Value of var[2] = 200 DecrementingaPointer The same considerations apply to decrementing a pointer, which decreases its value by the number of bytes of its data type as shown below: #include <stdio.h> const int MAX = 3; int main () { int var[] = {10, 100, 200}; int i, *ptr; /* let us have array address in pointer */ ptr = &var[MAX-1]; for ( i = MAX; i > 0; i--) { printf("Address of var[%d] = %xn", i, ptr ); printf("Value of var[%d] = %dn", i, *ptr ); /* move to the previous location */ ptr--;
C Programming 107 } return 0; } When the above code is compiled and executed, it produces the following result: Address of var[3] = bfedbcd8 Value of var[3] = 200 Address of var[2] = bfedbcd4 Value of var[2] = 100 Address of var[1] = bfedbcd0 Value of var[1] = 10 PointerComparisons Pointers may be compared by using relational operators, such as ==, <, and >. If p1 and p2 point to variables that are related to each other, such as elements of the same array, then p1 and p2 can be meaningfully compared. The following program modifies the previous example - one by incrementing the variable pointer so long as the address to which it points is either less than or equal to the address of the last element of the array, which is &var[MAX - 1]: #include <stdio.h> const int MAX = 3; int main () { int var[] = {10, 100, 200}; int i, *ptr; /* let us have address of the first element in pointer */ ptr = var; i = 0; while ( ptr <= &var[MAX - 1] ) {
C Programming 108 printf("Address of var[%d] = %xn", i, ptr ); printf("Value of var[%d] = %dn", i, *ptr ); /* point to the previous location */ ptr++; i++; } return 0; } When the above code is compiled and executed, it produces the following result: Address of var[0] = bfdbcb20 Value of var[0] = 10 Address of var[1] = bfdbcb24 Value of var[1] = 100 Address of var[2] = bfdbcb28 Value of var[2] = 200 ArrayofPointers Before we understand the concept of arrays of pointers, let us consider the following example, which uses an array of 3 integers: #include <stdio.h> const int MAX = 3; int main () { int var[] = {10, 100, 200}; int i; for (i = 0; i < MAX; i++) { printf("Value of var[%d] = %dn", i, var[i] );
C Programming 109 } return 0; } When the above code is compiled and executed, it produces the following result: Value of var[0] = 10 Value of var[1] = 100 Value of var[2] = 200 There may be a situation when we want to maintain an array, which can store pointers to an int or char or any other data type available. Following is the declaration of an array of pointers to an integer: int *ptr[MAX]; It declares ptr as an array of MAX integer pointers. Thus, each element in ptr holds a pointer to an int value. The following example uses three integers, which are stored in an array of pointers, as follows: #include <stdio.h> const int MAX = 3; int main () { int var[] = {10, 100, 200}; int i, *ptr[MAX]; for ( i = 0; i < MAX; i++) { ptr[i] = &var[i]; /* assign the address of integer. */ } for ( i = 0; i < MAX; i++) { printf("Value of var[%d] = %dn", i, *ptr[i] ); } return 0;
C Programming 110 } When the above code is compiled and executed, it produces the following result: Value of var[0] = 10 Value of var[1] = 100 Value of var[2] = 200 You can also use an array of pointers to character to store a list of strings as follows: #include <stdio.h> const int MAX = 4; int main () { char *names[] = { "Zara Ali", "Hina Ali", "Nuha Ali", "Sara Ali", }; int i = 0; for ( i = 0; i < MAX; i++) { printf("Value of names[%d] = %sn", i, names[i] ); } return 0; } When the above code is compiled and executed, it produces the following result: Value of names[0] = Zara Ali Value of names[1] = Hina Ali Value of names[2] = Nuha Ali Value of names[3] = Sara Ali
C Programming 111 PointertoPointer A pointer to a pointer is a form of multiple indirection, or a chain of pointers. Normally, a pointer contains the address of a variable. When we define a pointer to a pointer, the first pointer contains the address of the second pointer, which points to the location that contains the actual value as shown below. A variable that is a pointer to a pointer must be declared as such. This is done by placing an additional asterisk in front of its name. For example, the following declaration declares a pointer to a pointer of type int: int **var; When a target value is indirectly pointed to by a pointer to a pointer, accessing that value requires that the asterisk operator be applied twice, as is shown below in the example: #include <stdio.h> int main () { int var; int *ptr; int **pptr; var = 3000; /* take the address of var */ ptr = &var; /* take the address of ptr using address of operator & */ pptr = &ptr; /* take the value using pptr */ printf("Value of var = %dn", var ); printf("Value available at *ptr = %dn", *ptr ); printf("Value available at **pptr = %dn", **pptr);
C Programming 112 return 0; } When the above code is compiled and executed, it produces the following result: Value of var = 3000 Value available at *ptr = 3000 Value available at **pptr = 3000 PassingPointerstoFunctions C programming allows passing a pointer to a function. To do so, simply declare the function parameter as a pointer type. Following is a simple example where we pass an unsigned long pointer to a function and change the value inside the function which reflects back in the calling function: #include <stdio.h> #include <time.h> void getSeconds(unsigned long *par); int main () { unsigned long sec; getSeconds( &sec ); /* print the actual value */ printf("Number of seconds: %ldn", sec ); return 0; } void getSeconds(unsigned long *par)
C Programming 113 { /* get the current number of seconds */ *par = time( NULL ); return; } When the above code is compiled and executed, it produces the following result: Number of seconds :1294450468 The function, which can accept a pointer, can also accept an array as shown in the following example: #include <stdio.h> /* function declaration */ double getAverage(int *arr, int size); int main () { /* an int array with 5 elements */ int balance[5] = {1000, 2, 3, 17, 50}; double avg; /* pass pointer to the array as an argument */ avg = getAverage( balance, 5 ) ; /* output the returned value */ printf("Average value is: %fn", avg ); return 0; } double getAverage(int *arr, int size) { int i, sum = 0; double avg;
C Programming 114 for (i = 0; i < size; ++i) { sum += arr[i]; } avg = (double)sum / size; return avg; } When the above code is compiled together and executed, it produces the following result: Average value is: 214.40000 ReturnPointerfromFunctions We have seen in the last chapter how C programming allows to return an array from a function. Similarly, C also allows to return a pointer from a function. To do so, you would have to declare a function returning a pointer as in the following example: int * myFunction() { . . . } Second point to remember is that, it is not a good idea to return the address of a local variable outside the function, so you would have to define the local variable as static variable. Now, consider the following function which will generate 10 random numbers and return them using an array name which represents a pointer, i.e., address of first array element. #include <stdio.h> #include <time.h>
C Programming 115 /* function to generate and retrun random numbers. */ int * getRandom( ) { static int r[10]; int i; /* set the seed */ srand( (unsigned)time( NULL ) ); for ( i = 0; i < 10; ++i) { r[i] = rand(); printf("%dn", r[i] ); } return r; } /* main function to call above defined function */ int main () { /* a pointer to an int */ int *p; int i; p = getRandom(); for ( i = 0; i < 10; i++ ) { printf("*(p + [%d]) : %dn", i, *(p + i) ); } return 0; } When the above code is compiled together and executed, it produces the following result:
C Programming 116 1523198053 1187214107 1108300978 430494959 1421301276 930971084 123250484 106932140 1604461820 149169022 *(p + [0]) : 1523198053 *(p + [1]) : 1187214107 *(p + [2]) : 1108300978 *(p + [3]) : 430494959 *(p + [4]) : 1421301276 *(p + [5]) : 930971084 *(p + [6]) : 123250484 *(p + [7]) : 106932140 *(p + [8]) : 1604461820 *(p + [9]) : 149169022
C Programming 117 Strings are actually one-dimensional array of characters terminated by a null character '0'. Thus a null-terminated string contains the characters that comprise the string followed by a null. The following declaration and initialization create a string consisting of the word "Hello". To hold the null character at the end of the array, the size of the character array containing the string is one more than the number of characters in the word "Hello." char greeting[6] = {'H', 'e', 'l', 'l', 'o', '0'}; If you follow the rule of array initialization, then you can write the above statement as follows: char greeting[] = "Hello"; Following is the memory presentation of the above defined string in C/C++: Actually, you do not place the null character at the end of a string constant. The C compiler automatically places the '0' at the end of the string when it initializes the array. Let us try to print the above mentioned string: #include <stdio.h> int main () { char greeting[6] = {'H', 'e', 'l', 'l', 'o', '0'}; printf("Greeting message: %sn", greeting ); 16. STRINGS
C Programming 118 return 0; } When the above code is compiled and executed, it produces the following result: Greeting message: Hello C supports a wide range of functions that manipulate null-terminated strings: S.N. Function & Purpose 1 strcpy(s1, s2); Copies string s2 into string s1. 2 strcat(s1, s2); Concatenates string s2 onto the end of string s1. 3 strlen(s1); Returns the length of string s1. 4 strcmp(s1, s2); Returns 0 if s1 and s2 are the same; less than 0 if s1<s2; greater than 0 if s1>s2. 5 strchr(s1, ch); Returns a pointer to the first occurrence of character ch in string s1. 6 strstr(s1, s2); Returns a pointer to the first occurrence of string s2 in string s1. The following example uses some of the above-mentioned functions: #include <stdio.h> #include <string.h>
C Programming 119 int main () { char str1[12] = "Hello"; char str2[12] = "World"; char str3[12]; int len ; /* copy str1 into str3 */ strcpy(str3, str1); printf("strcpy( str3, str1) : %sn", str3 ); /* concatenates str1 and str2 */ strcat( str1, str2); printf("strcat( str1, str2): %sn", str1 ); /* total lenghth of str1 after concatenation */ len = strlen(str1); printf("strlen(str1) : %dn", len ); return 0; } When the above code is compiled and executed, it produces the following result: strcpy( str3, str1) : Hello strcat( str1, str2): HelloWorld strlen(str1) : 10
C Programming 120 Arrays allow to define type of variables that can hold several data items of the same kind. Similarly, structure is another user-defined data type available in C that allows to combine data items of different kinds. Structures are used to represent a record. Suppose you want to keep track of your books in a library. You might want to track the following attributes about each book:  Title  Author  Subject  Book ID DefiningaStructure To define a structure, you must use the struct statement. The struct statement defines a new data type, with more than one member. The format of the struct statement is as follows: struct [structure tag] { member definition; member definition; ... member definition; } [one or more structure variables]; The structure tag is optional and each member definition is a normal variable definition, such as int i; or float f; or any other valid variable definition. At the end of the structure's definition, before the final semicolon, you can specify one or more structure variables but it is optional. Here is the way you would declare the Book structure: struct Books { char title[50]; char author[50]; 17. STRUCTURES
C Programming 121 char subject[100]; int book_id; } book; AccessingStructureMembers To access any member of a structure, we use the member access operator (.). The member access operator is coded as a period between the structure variable name and the structure member that we wish to access. You would use the keyword struct to define variables of structure type. The following example shows how to use a structure in a program: #include <stdio.h> #include <string.h> struct Books { char title[50]; char author[50]; char subject[100]; int book_id; }; int main( ) { struct Books Book1; /* Declare Book1 of type Book */ struct Books Book2; /* Declare Book2 of type Book */ /* book 1 specification */ strcpy( Book1.title, "C Programming"); strcpy( Book1.author, "Nuha Ali"); strcpy( Book1.subject, "C Programming Tutorial"); Book1.book_id = 6495407; /* book 2 specification */ strcpy( Book2.title, "Telecom Billing");
C Programming 122 strcpy( Book2.author, "Zara Ali"); strcpy( Book2.subject, "Telecom Billing Tutorial"); Book2.book_id = 6495700; /* print Book1 info */ printf( "Book 1 title : %sn", Book1.title); printf( "Book 1 author : %sn", Book1.author); printf( "Book 1 subject : %sn", Book1.subject); printf( "Book 1 book_id : %dn", Book1.book_id); /* print Book2 info */ printf( "Book 2 title : %sn", Book2.title); printf( "Book 2 author : %sn", Book2.author); printf( "Book 2 subject : %sn", Book2.subject); printf( "Book 2 book_id : %dn", Book2.book_id); return 0; } When the above code is compiled and executed, it produces the following result: Book 1 title : C Programming Book 1 author : Nuha Ali Book 1 subject : C Programming Tutorial Book 1 book_id : 6495407 Book 2 title : Telecom Billing Book 2 author : Zara Ali Book 2 subject : Telecom Billing Tutorial Book 2 book_id : 6495700 StructuresasFunctionArguments You can pass a structure as a function argument in the same way as you pass any other variable or pointer. #include <stdio.h>
C Programming 123 #include <string.h> struct Books { char title[50]; char author[50]; char subject[100]; int book_id; }; /* function declaration */ void printBook( struct Books book ); int main( ) { struct Books Book1; /* Declare Book1 of type Book */ struct Books Book2; /* Declare Book2 of type Book */ /* book 1 specification */ strcpy( Book1.title, "C Programming"); strcpy( Book1.author, "Nuha Ali"); strcpy( Book1.subject, "C Programming Tutorial"); Book1.book_id = 6495407; /* book 2 specification */ strcpy( Book2.title, "Telecom Billing"); strcpy( Book2.author, "Zara Ali"); strcpy( Book2.subject, "Telecom Billing Tutorial"); Book2.book_id = 6495700; /* print Book1 info */ printBook( Book1 ); /* Print Book2 info */
C Programming 124 printBook( Book2 ); return 0; } void printBook( struct Books book ) { printf( "Book title : %sn", book.title); printf( "Book author : %sn", book.author); printf( "Book subject : %sn", book.subject); printf( "Book book_id : %dn", book.book_id); } When the above code is compiled and executed, it produces the following result: Book title : C Programming Book author : Nuha Ali Book subject : C Programming Tutorial Book book_id : 6495407 Book title : Telecom Billing Book author : Zara Ali Book subject : Telecom Billing Tutorial Book book_id : 6495700 PointerstoStructures You can define pointers to structures in the same way as you define pointer to any other variable: struct Books *struct_pointer; Now, you can store the address of a structure variable in the above-defined pointer variable. To find the address of a structure variable, place the ‘&’ operator before the structure's name as follows: struct_pointer = &Book1; To access the members of a structure using a pointer to that structure, you must use the -> operator as follows: struct_pointer->title;
C Programming 125 Let us rewrite the above example using structure pointer. #include <stdio.h> #include <string.h> struct Books { char title[50]; char author[50]; char subject[100]; int book_id; }; /* function declaration */ void printBook( struct Books *book ); int main( ) { struct Books Book1; /* Declare Book1 of type Book */ struct Books Book2; /* Declare Book2 of type Book */ /* book 1 specification */ strcpy( Book1.title, "C Programming"); strcpy( Book1.author, "Nuha Ali"); strcpy( Book1.subject, "C Programming Tutorial"); Book1.book_id = 6495407; /* book 2 specification */ strcpy( Book2.title, "Telecom Billing"); strcpy( Book2.author, "Zara Ali"); strcpy( Book2.subject, "Telecom Billing Tutorial"); Book2.book_id = 6495700; /* print Book1 info by passing address of Book1 */ printBook( &Book1 );
C Programming 126 /* print Book2 info by passing address of Book2 */ printBook( &Book2 ); return 0; } void printBook( struct Books *book ) { printf( "Book title : %sn", book->title); printf( "Book author : %sn", book->author); printf( "Book subject : %sn", book->subject); printf( "Book book_id : %dn", book->book_id); } When the above code is compiled and executed, it produces the following result: Book title : C Programming Book author : Nuha Ali Book subject : C Programming Tutorial Book book_id : 6495407 Book title : Telecom Billing Book author : Zara Ali Book subject : Telecom Billing Tutorial Book book_id : 6495700 BitFields Bit Fields allow the packing of data in a structure. This is especially useful when memory or data storage is at a premium. Typical examples include:  Packing several objects into a machine word, e.g. 1 bit flags can be compacted.  Reading external file formats -- non-standard file formats could be read in, e.g., 9-bit integers. C allows us to do this in a structure definition by putting :bit length after the variable. For example: struct packed_struct {
C Programming 127 unsigned int f1:1; unsigned int f2:1; unsigned int f3:1; unsigned int f4:1; unsigned int type:4; unsigned int my_int:9; } pack; Here, the packed_struct contains 6 members: Four 1 bit flags f1..f3, a 4-bit type, and a 9-bit my_int. C automatically packs the above bit fields as compactly as possible, provided that the maximum length of the field is less than or equal to the integer word length of the computer. If this is not the case, then some compilers may allow memory overlap for the fields, while others would store the next field in the next word.
C Programming 128 A union is a special data type available in C that allows to store different data types in the same memory location. You can define a union with many members, but only one member can contain a value at any given time. Unions provide an efficient way of using the same memory location for multiple purpose. DefiningaUnion To define a union, you must use the union statement in the same way as you did while defining a structure. The union statement defines a new data type with more than one member for your program. The format of the union statement is as follows: union [union tag] { member definition; member definition; ... member definition; } [one or more union variables]; The union tag is optional and each member definition is a normal variable definition, such as int i; or float f; or any other valid variable definition. At the end of the union's definition, before the final semicolon, you can specify one or more union variables, but it is optional. Here is the way you would define a union type named Data having three members i, f, and str: union Data { int i; float f; char str[20]; } data; Now, a variable of Data type can store an integer, a floating-point number, or a string of characters. It means a single variable, i.e., same memory location, can 18. UNIONS
C Programming 129 be used to store multiple types of data. You can use any built-in or user-defined data types inside a union based on your requirement. The memory occupied by a union will be large enough to hold the largest member of the union. For example, in the above example, Data type will occupy 20 bytes of memory space because this is the maximum space which can be occupied by a character string. The following example displays the total memory size occupied by the above union: #include <stdio.h> #include <string.h> union Data { int i; float f; char str[20]; }; int main( ) { union Data data; printf( "Memory size occupied by data : %dn", sizeof(data)); return 0; } When the above code is compiled and executed, it produces the following result: Memory size occupied by data : 20 AccessingUnionMembers To access any member of a union, we use the member access operator (.). The member access operator is coded as a period between the union variable name and the union member that we wish to access. You would use the keyword union to define variables of union type. The following example shows how to use unions in a program: #include <stdio.h>
C Programming 130 #include <string.h> union Data { int i; float f; char str[20]; }; int main( ) { union Data data; data.i = 10; data.f = 220.5; strcpy( data.str, "C Programming"); printf( "data.i : %dn", data.i); printf( "data.f : %fn", data.f); printf( "data.str : %sn", data.str); return 0; } When the above code is compiled and executed, it produces the following result: data.i : 1917853763 data.f : 4122360580327794860452759994368.000000 data.str : C Programming Here, we can see that the values of i and f members of union got corrupted because the final value assigned to the variable has occupied the memory location and this is the reason that the value of str member is getting printed very well. Now let's look into the same example once again where we will use one variable at a time which is the main purpose of having unions: #include <stdio.h>
C Programming 131 #include <string.h> union Data { int i; float f; char str[20]; }; int main( ) { union Data data; data.i = 10; printf( "data.i : %dn", data.i); data.f = 220.5; printf( "data.f : %fn", data.f); strcpy( data.str, "C Programming"); printf( "data.str : %sn", data.str); return 0; } When the above code is compiled and executed, it produces the following result: data.i : 10 data.f : 220.500000 data.str : C Programming Here, all the members are getting printed very well because one member is being used at a time.
C Programming 132 Suppose your C program contains a number of TRUE/FALSE variables grouped in a structure called status, as follows: struct { unsigned int widthValidated; unsigned int heightValidated; } status; This structure requires 8 bytes of memory space but in actual, we are going to store either 0 or 1 in each of the variables. The C programming language offers a better way to utilize the memory space in such situations. If you are using such variables inside a structure, then you can define the width of a variable which tells the C compiler that you are going to use only those number of bytes. For example, the above structure can be rewritten as follows: struct { unsigned int widthValidated : 1; unsigned int heightValidated : 1; } status; The above structure requires 4 bytes of memory space for status variable, but only 2 bits will be used to store the values. If you will use up to 32 variables, each one with a width of 1 bit, then also the status structure will use 4 bytes. However, as soon as you have 33 variables, it will allocate the next slot of the memory and it will start using 8 bytes. Let us check the following example to understand the concept: #include <stdio.h> #include <string.h> /* define simple structure */ struct { 19. BIT FIELDS
C Programming 133 unsigned int widthValidated; unsigned int heightValidated; } status1; /* define a structure with bit fields */ struct { unsigned int widthValidated : 1; unsigned int heightValidated : 1; } status2; int main( ) { printf( "Memory size occupied by status1 : %dn", sizeof(status1)); printf( "Memory size occupied by status2 : %dn", sizeof(status2)); return 0; } When the above code is compiled and executed, it produces the following result: Memory size occupied by status1 : 8 Memory size occupied by status2 : 4 BitFieldDeclaration The declaration of a bit-field has the following form inside a structure: struct { type [member_name] : width ; }; The following table describes the variable elements of a bit field: Elements Description
C Programming 134 type An integer type that determines how a bit-field's value is interpreted. The type may be int, signed int, or unsigned int. member_name The name of the bit-field. width The number of bits in the bit-field. The width must be less than or equal to the bit width of the specified type. The variables defined with a predefined width are called bit fields. A bit field can hold more than a single bit; for example, if you need a variable to store a value from 0 to 7, then you can define a bit-field with a width of 3 bits as follows: struct { unsigned int age : 3; } Age; The above structure definition instructs the C compiler that the age variable is going to use only 3 bits to store the value. If you try to use more than 3 bits, then it will not allow you to do so. Let us try the following example: #include <stdio.h> #include <string.h> struct { unsigned int age : 3; } Age; int main( ) { Age.age = 4; printf( "Sizeof( Age ) : %dn", sizeof(Age) ); printf( "Age.age : %dn", Age.age ); Age.age = 7; printf( "Age.age : %dn", Age.age );
C Programming 135 Age.age = 8; printf( "Age.age : %dn", Age.age ); return 0; } When the above code is compiled, it will compile with a warning and when executed, it produces the following result: Sizeof( Age ) : 4 Age.age : 4 Age.age : 7 Age.age : 0
C Programming 136 The C programming language provides a keyword called typedef, which you can use to give a type, a new name. Following is an example to define a term BYTE for one-byte numbers: typedef unsigned char BYTE; After this type definition, the identifier BYTE can be used as an abbreviation for the type unsigned char, for example: BYTE b1, b2; By convention, uppercase letters are used for these definitions to remind the user that the type name is really a symbolic abbreviation, but you can use lowercase, as follows: typedef unsigned char byte; You can use typedef to give a name to your user-defined data types as well. For example, you can use typedef with structure to define a new data type and then use that data type to define structure variables directly as follows: #include <stdio.h> #include <string.h> typedef struct Books { char title[50]; char author[50]; char subject[100]; int book_id; } Book; int main( ) { Book book; 20. TYPEDEF
C Programming 137 strcpy( book.title, "C Programming"); strcpy( book.author, "Nuha Ali"); strcpy( book.subject, "C Programming Tutorial"); book.book_id = 6495407; printf( "Book title : %sn", book.title); printf( "Book author : %sn", book.author); printf( "Book subject : %sn", book.subject); printf( "Book book_id : %dn", book.book_id); return 0; } When the above code is compiled and executed, it produces the following result: Book title : C Programming Book author : Nuha Ali Book subject : C Programming Tutorial Book book_id : 6495407 typedefvs#define #define is a C-directive which is also used to define the aliases for various data types similar to typedef but with the following differences:  typedef is limited to giving symbolic names to types only, whereas #define can be used to define alias for values as well, e.g., you can define 1 as ONE, etc.  typedef interpretation is performed by the compiler whereas #define statements are processed by the preprocessor. The following example shows how to use #define in a program: #include <stdio.h> #define TRUE 1 #define FALSE 0 int main( )
C Programming 138 { printf( "Value of TRUE : %dn", TRUE); printf( "Value of FALSE : %dn", FALSE); return 0; } When the above code is compiled and executed, it produces the following result: Value of TRUE : 1 Value of FALSE : 0
C Programming 139 When we say Input, it means to feed some data into a program. An input can be given in the form of a file or from the command line. C programming provides a set of built-in functions to read the given input and feed it to the program as per requirement. When we say Output, it means to display some data on screen, printer, or in any file. C programming provides a set of built-in functions to output the data on the computer screen as well as to save it in text or binary files. TheStandardFiles C programming treats all the devices as files. So devices such as the display are addressed in the same way as files and the following three files are automatically opened when a program executes to provide access to the keyboard and screen. Standard File File Pointer Device Standard input stdin Keyboard Standard output stdout Screen Standard error stderr Your screen The file pointers are the means to access the file for reading and writing purpose. This section explains how to read values from the screen and how to print the result on the screen. Thegetchar()andputchar()Functions The int getchar(void) function reads the next available character from the screen and returns it as an integer. This function reads only single character at a time. You can use this method in the loop in case you want to read more than one character from the screen. The int putchar(int c) function puts the passed character on the screen and returns the same character. This function puts only single character at a time. You can use this method in the loop in case you want to display more than one character on the screen. Check the following example: 21. INPUT AND OUTPUT
C Programming 140 #include <stdio.h> int main( ) { int c; printf( "Enter a value :"); c = getchar( ); printf( "nYou entered: "); putchar( c ); return 0; } When the above code is compiled and executed, it waits for you to input some text. When you enter a text and press enter, then the program proceeds and reads only a single character and displays it as follows: $./a.out Enter a value : this is test You entered: t Thegets()andputs()Functions The char *gets(char *s) function reads a line from stdin into the buffer pointed to by s until either a terminating newline or EOF (End of File). The int puts(const char *s) function writes the string ‘s’ and ‘a’ trailing newline to stdout. #include <stdio.h> int main( ) { char str[100]; printf( "Enter a value :"); gets( str );
C Programming 141 printf( "nYou entered: "); puts( str ); return 0; } When the above code is compiled and executed, it waits for you to input some text. When you enter a text and press enter, then the program proceeds and reads the complete line till end, and displays it as follows: $./a.out Enter a value : this is test You entered: This is test Thescanf()andprintf()Functions The int scanf(const char *format, ...) function reads the input from the standard input stream stdin and scans that input according to the format provided. The int printf(const char *format, ...) function writes the output to the standard output stream stdout and produces the output according to the format provided. The format can be a simple constant string, but you can specify %s, %d, %c, %f, etc., to print or read strings, integer, character, or float, respectively. There are many other formatting options available which can be used based on requirements. Let us now proceed with a simple example to understand the concepts better: #include <stdio.h> int main( ) { char str[100]; int i; printf( "Enter a value :"); scanf("%s %d", str, &i); printf( "nYou entered: %s %d ", str, i);
C Programming 142 return 0; } When the above code is compiled and executed, it waits for you to input some text. When you enter a text and press enter, then program proceeds and reads the input and displays it as follows: $./a.out Enter a value : seven 7 You entered: seven 7 Here, it should be noted that scanf() expects input in the same format as you provided %s and %d, which means you have to provide valid inputs like "string integer". If you provide "string string" or "integer integer", then it will be assumed as wrong input. Secondly, while reading a string, scanf() stops reading as soon as it encounters a space, so "this is test" are three strings for scanf().
C Programming 143 The last chapter explained the standard input and output devices handled by C programming language. This chapter covers how C programmers can create, open, close text or binary files for their data storage. A file represents a sequence of bytes, regardless of it being a text file or a binary file. C programming language provides access on high-level functions as well as low-level (OS level) calls to handle file on your storage devices. This chapter will take you through the important calls for file management. OpeningFiles You can use the fopen( ) function to create a new file or to open an existing file. This call will initialize an object of the type FILE, which contains all the information necessary to control the stream. The prototype of this function call is as follows: FILE *fopen( const char * filename, const char * mode ); Here, filename is a string literal, which you will use to name your file, and access mode can have one of the following values: Mode Description r Opens an existing text file for reading purpose. w Opens a text file for writing. If it does not exist, then a new file is created. Here your program will start writing content from the beginning of the file. a Opens a text file for writing in appending mode. If it does not exist, then a new file is created. Here your program will start appending content in the existing file content. r+ Opens a text file for both reading and writing. w+ Opens a text file for both reading and writing. It first truncates the file to zero length if it exists, otherwise creates a file if it does not exist. 22. FILE I/O
C Programming 144 a+ Opens a text file for both reading and writing. It creates the file if it does not exist. The reading will start from the beginning but writing can only be appended. If you are going to handle binary files, then you will use the following access modes instead of the above-mentioned ones: "rb", "wb", "ab", "rb+", "r+b", "wb+", "w+b", "ab+", "a+b" ClosingaFile To close a file, use the fclose( ) function. The prototype of this function is: int fclose( FILE *fp ); The fclose() function returns zero on success, or EOF if there is an error in closing the file. This function actually flushes any data still pending in the buffer to the file, closes the file, and releases any memory used for the file. The EOF is a constant defined in the header file stdio.h. There are various functions provided by C standard library to read and write a file, character by character, or in the form of a fixed length string. WritingaFile Following is the simplest function to write individual characters to a stream: int fputc( int c, FILE *fp ); The function fputc() writes the character value of the argument c to the output stream referenced by fp. It returns the written character written on success otherwise EOF if there is an error. You can use the following functions to write a null-terminated string to a stream: int fputs( const char *s, FILE *fp ); The function fputs() writes the string s to the output stream referenced by fp. It returns a non-negative value on success, otherwise EOF is returned in case of any error. You can use int fprintf(FILE *fp,const char *format, ...) function as well to write a string into a file. Try the following example. Make sure you have /tmp directory available. If it is not, then before proceeding, you must create this directory on your machine. #include <stdio.h>
C Programming 145 main() { FILE *fp; fp = fopen("/tmp/test.txt", "w+"); fprintf(fp, "This is testing for fprintf...n"); fputs("This is testing for fputs...n", fp); fclose(fp); } When the above code is compiled and executed, it creates a new file test.txt in /tmp directory and writes two lines using two different functions. Let us read this file in the next section. ReadingaFile Given below is the simplest function to read a single character from a file: int fgetc( FILE * fp ); The fgetc() function reads a character from the input file referenced by fp. The return value is the character read, or in case of any error, it returns EOF. The following function allows to read a string from a stream: char *fgets( char *buf, int n, FILE *fp ); The functions fgets() reads up to n - 1 characters from the input stream referenced by fp. It copies the read string into the buffer buf, appending a null character to terminate the string. If this function encounters a newline character 'n' or the end of the file EOF before they have read the maximum number of characters, then it returns only the characters read up to that point including the new line character. You can also use int fscanf(FILE *fp, const char *format, ...) function to read strings from a file, but it stops reading after encountering the first space character. #include <stdio.h> main() { FILE *fp; char buff[255];
C Programming 146 fp = fopen("/tmp/test.txt", "r"); fscanf(fp, "%s", buff); printf("1 : %sn", buff ); fgets(buff, 255, (FILE*)fp); printf("2: %sn", buff ); fgets(buff, 255, (FILE*)fp); printf("3: %sn", buff ); fclose(fp); } When the above code is compiled and executed, it reads the file created in the previous section and produces the following result: 1 : This 2: is testing for fprintf... 3: This is testing for fputs... Let's see a little more in detail about what happened here. First, fscanf() reads just This because after that, it encountered a space, second call is for fgets() which reads the remaining line till it encountered end of line. Finally, the last call fgets() reads the second line completely. BinaryI/OFunctions There are two functions that can be used for binary input and output: size_t fread(void *ptr, size_t size_of_elements, size_t number_of_elements, FILE *a_file); size_t fwrite(const void *ptr, size_t size_of_elements, size_t number_of_elements, FILE *a_file); Both of these functions should be used to read or write blocks of memories - usually arrays or structures.
C Programming 147 The C Preprocessor is not a part of the compiler, but is a separate step in the compilation process. In simple terms, a C Preprocessor is just a text substitution tool and it instructs the compiler to do required preprocessing before the actual compilation. We'll refer to the C Preprocessor as CPP. All preprocessor commands begin with a hash symbol (#). It must be the first nonblank character, and for readability, a preprocessor directive should begin in the first column. The following section lists down all the important preprocessor directives: Directive Description #define Substitutes a preprocessor macro. #include Inserts a particular header from another file. #undef Undefines a preprocessor macro. #ifdef Returns true if this macro is defined. #ifndef Returns true if this macro is not defined. #if Tests if a compile time condition is true. #else The alternative for #if. #elif #else and #if in one statement. #endif Ends preprocessor conditional. #error Prints error message on stderr. #pragma Issues special commands to the compiler, using a standardized 23. PREPROCESSORS
C Programming 148 method. PreprocessorsExamples Analyze the following examples to understand various directives. #define MAX_ARRAY_LENGTH 20 This directive tells the CPP to replace instances of MAX_ARRAY_LENGTH with 20. Use #define for constants to increase readability. #include <stdio.h> #include "myheader.h" These directives tell the CPP to get stdio.h from System Libraries and add the text to the current source file. The next line tells CPP to get myheader.h from the local directory and add the content to the current source file. #undef FILE_SIZE #define FILE_SIZE 42 It tells the CPP to undefine existing FILE_SIZE and define it as 42. #ifndef MESSAGE #define MESSAGE "You wish!" #endif It tells the CPP to define MESSAGE only if MESSAGE isn't already defined. #ifdef DEBUG /* Your debugging statements here */ #endif It tells the CPP to process the statements enclosed if DEBUG is defined. This is useful if you pass the -DDEBUG flag to the gcc compiler at the time of compilation. This will define DEBUG, so you can turn debugging on and off on- the-fly during compilation. PredefinedMacros ANSI C defines a number of macros. Although each one is available for use in programming, the predefined macros should not be directly modified.
C Programming 149 Macro Description __DATE__ The current date as a character literal in "MMM DD YYYY" format. __TIME__ The current time as a character literal in "HH:MM:SS" format. __FILE__ This contains the current filename as a string literal. __LINE__ This contains the current line number as a decimal constant. __STDC__ Defined as 1 when the compiler complies with the ANSI standard. Let's try the following example: #include <stdio.h> main() { printf("File :%sn", __FILE__ ); printf("Date :%sn", __DATE__ ); printf("Time :%sn", __TIME__ ); printf("Line :%dn", __LINE__ ); printf("ANSI :%dn", __STDC__ ); } When the above code in a file test.c is compiled and executed, it produces the following result: File :test.c Date :Jun 2 2012 Time :03:36:24 Line :8 ANSI :1
C Programming 150 PreprocessorOperators The C preprocessor offers the following operators to help create macros: TheMacroContinuation()Operator A macro is normally confined to a single line. The macro continuation operator () is used to continue a macro that is too long for a single line. For example: #define message_for(a, b) printf(#a " and " #b ": We love you!n") TheStringize(#)Operator The stringize or number-sign operator (#), when used within a macro definition, converts a macro parameter into a string constant. This operator may be used only in a macro having a specified argument or parameter list. For example: #include <stdio.h> #define message_for(a, b) printf(#a " and " #b ": We love you!n") int main(void) { message_for(Carole, Debra); return 0; } When the above code is compiled and executed, it produces the following result: Carole and Debra: We love you! TheTokenPasting(##)Operator The token-pasting operator (##) within a macro definition combines two arguments. It permits two separate tokens in the macro definition to be joined into a single token. For example: #include <stdio.h>
C Programming 151 #define tokenpaster(n) printf ("token" #n " = %d", token##n) int main(void) { int token34 = 40; tokenpaster(34); return 0; } When the above code is compiled and executed, it produces the following result: token34 = 40 It happened so because this example results in the following actual output from the preprocessor: printf ("token34 = %d", token34); This example shows the concatenation of token##n into token34 and here we have used both stringize and token-pasting. TheDefined()Operator The preprocessor defined operator is used in constant expressions to determine if an identifier is defined using #define. If the specified identifier is defined, the value is true (non-zero). If the symbol is not defined, the value is false (zero). The defined operator is specified as follows: #include <stdio.h> #if !defined (MESSAGE) #define MESSAGE "You wish!" #endif int main(void) { printf("Here is the message: %sn", MESSAGE); return 0; }
C Programming 152 When the above code is compiled and executed, it produces the following result: Here is the message: You wish! ParameterizedMacros One of the powerful functions of the CPP is the ability to simulate functions using parameterized macros. For example, we might have some code to square a number as follows: int square(int x) { return x * x; } We can rewrite the above code using a macro as follows: #define square(x) ((x) * (x)) Macros with arguments must be defined using the #define directive before they can be used. The argument list is enclosed in parentheses and must immediately follow the macro name. Spaces are not allowed between the macro name and open parenthesis. For example: #include <stdio.h> #define MAX(x,y) ((x) > (y) ? (x) : (y)) int main(void) { printf("Max between 20 and 10 is %dn", MAX(10, 20)); return 0; } When the above code is compiled and executed, it produces the following result: Max between 20 and 10 is 20
C Programming 153 A header file is a file with extension .h which contains C function declarations and macro definitions to be shared between several source files. There are two types of header files: the files that the programmer writes and the files that comes with your compiler. You request to use a header file in your program by including it with the C preprocessing directive #include, like you have seen inclusion of stdio.h header file, which comes along with your compiler. Including a header file is equal to copying the content of the header file but we do not do it because it will be error-prone and it is not a good idea to copy the content of a header file in the source files, especially if we have multiple source files in a program. A simple practice in C or C++ programs is that we keep all the constants, macros, system wide global variables, and function prototypes in the header files and include that header file wherever it is required. IncludeSyntax Both the user and the system header files are included using the preprocessing directive #include. It has the following two forms: #include <file> This form is used for system header files. It searches for a file named ‘file’ in a standard list of system directories. You can prepend directories to this list with the -I option while compiling your source code. #include "file" This form is used for header files of your own program. It searches for a file named ‘file’ in the directory containing the current file. You can prepend directories to this list with the -I option while compiling your source code. IncludeOperation The #include directive works by directing the C preprocessor to scan the specified file as input before continuing with the rest of the current source file. The output from the preprocessor contains the output already generated, followed by the output resulting from the included file, followed by the output that comes from the text after the #include directive. For example, if you have a header file header.h as follows: 24. HEADER FILES
C Programming 154 char *test (void); and a main program called program.c that uses the header file, like this: int x; #include "header.h" int main (void) { puts (test ()); } the compiler will see the same token stream as it would if program.c read. int x; char *test (void); int main (void) { puts (test ()); } Once-OnlyHeaders If a header file happens to be included twice, the compiler will process its contents twice and it will result in an error. The standard way to prevent this is to enclose the entire real contents of the file in a conditional, like this: #ifndef HEADER_FILE #define HEADER_FILE the entire header file file #endif This construct is commonly known as a wrapper #ifndef. When the header is included again, the conditional will be false, because HEADER_FILE is defined. The preprocessor will skip over the entire contents of the file, and the compiler will not see it twice.
C Programming 155 ComputedIncludes Sometimes it is necessary to select one of the several different header files to be included into your program. For instance, they might specify configuration parameters to be used on different sorts of operating systems. You could do this with a series of conditionals as follows: #if SYSTEM_1 # include "system_1.h" #elif SYSTEM_2 # include "system_2.h" #elif SYSTEM_3 ... #endif But as it grows, it becomes tedious, instead the preprocessor offers the ability to use a macro for the header name. This is called a computed include. Instead of writing a header name as the direct argument of #include, you simply put a macro name there: #define SYSTEM_H "system_1.h" ... #include SYSTEM_H SYSTEM_H will be expanded, and the preprocessor will look for system_1.h as if the #include had been written that way originally. SYSTEM_H could be defined by your Makefile with a -D option.
C Programming 156 Type casting is a way to convert a variable from one data type to another data type. For example, if you want to store a ‘long’ value into a simple integer, then you can type cast ‘long’ to ‘int’. You can convert the values from one type to another explicitly using the cast operator as follows: (type_name) expression Consider the following example where the cast operator causes the division of one integer variable by another to be performed as a floating-point operation: #include <stdio.h> main() { int sum = 17, count = 5; double mean; mean = (double) sum / count; printf("Value of mean : %fn", mean ); } When the above code is compiled and executed, it produces the following result: Value of mean : 3.400000 It should be noted here that the cast operator has precedence over division, so the value of sum is first converted to type double and finally it gets divided by count yielding a double value. Type conversions can be implicit which is performed by the compiler automatically, or it can be specified explicitly through the use of the cast operator. It is considered good programming practice to use the cast operator whenever type conversions are necessary. 25. TYPE CASTING
C Programming 157 IntegerPromotion Integer promotion is the process by which values of integer type "smaller" than int or unsigned int are converted either to int or unsigned int. Consider an example of adding a character with an integer: #include <stdio.h> main() { int i = 17; char c = 'c'; /* ascii value is 99 */ int sum; sum = i + c; printf("Value of sum : %dn", sum ); } When the above code is compiled and executed, it produces the following result: Value of sum : 116 Here, the value of sum is 116 because the compiler is doing integer promotion and converting the value of 'c' to ASCII before performing the actual addition operation. UsualArithmeticConversion The usual arithmetic conversions are implicitly performed to cast their values to a common type. The compiler first performs integer promotion; if the operands still have different types, then they are converted to the type that appears highest in the following hierarchy:
C Programming 158 The usual arithmetic conversions are not performed for the assignment operators, nor for the logical operators && and ||. Let us take the following example to understand the concept: #include <stdio.h> main() { int i = 17; char c = 'c'; /* ascii value is 99 */ float sum; sum = i + c; printf("Value of sum : %fn", sum ); }
C Programming 159 When the above code is compiled and executed, it produces the following result: Value of sum : 116.000000 Here, it is simple to understand that first c gets converted to integer, but as the final value is double, usual arithmetic conversion applies and the compiler converts i and c into ‘float’ and adds them yielding a ‘float’ result.
C Programming 160 As such, C programming does not provide direct support for error handling but being a sytem programming language, it provides you access at lower level in the form of return values. Most of the C or even Unix function calls return -1 or NULL in case of any error and set an error code errno. It is set as a global variable and indicates an error occurred during any function call. You can find various error codes defined in <error.h> header file. So a C programmer can check the returned values and can take appropriate action depending on the return value. It is a good practice to set errno to 0 at the time of initializing a program. A value of 0 indicates that there is no error in the program. errno,perror(),andstrerror() The C programming language provides perror() and strerror() functions which can be used to display the text message associated with errno.  The perror() function displays the string you pass to it, followed by a colon, a space, and then the textual representation of the current errno value.  The strerror() function, which returns a pointer to the textual representation of the current errno value. Let's try to simulate an error condition and try to open a file which does not exist. Here I'm using both the functions to show the usage, but you can use one or more ways of printing your errors. Second important point to note is that you should use stderr file stream to output all the errors. #include <stdio.h> #include <errno.h> #include <string.h> extern int errno ; int main () { FILE * pf; int errnum; 26. ERROR HANDLING
C Programming 161 pf = fopen ("unexist.txt", "rb"); if (pf == NULL) { errnum = errno; fprintf(stderr, "Value of errno: %dn", errno); perror("Error printed by perror"); fprintf(stderr, "Error opening file: %sn", strerror( errnum )); } else { fclose (pf); } return 0; } When the above code is compiled and executed, it produces the following result: Value of errno: 2 Error printed by perror: No such file or directory Error opening file: No such file or directory DividebyZeroErrors It is a common problem that at the time of dividing any number, programmers do not check if a divisor is zero and finally it creates a runtime error. The code below fixes this by checking if the divisor is zero before dividing: #include <stdio.h> #include <stdlib.h> main() { int dividend = 20; int divisor = 0; int quotient; if( divisor == 0){
C Programming 162 fprintf(stderr, "Division by zero! Exiting...n"); exit(-1); } quotient = dividend / divisor; fprintf(stderr, "Value of quotient : %dn", quotient ); exit(0); } When the above code is compiled and executed, it produces the following result: Division by zero! Exiting... ProgramExitStatus It is a common practice to exit with a value of EXIT_SUCCESS in case of program coming out after a successful operation. Here, EXIT_SUCCESS is a macro and it is defined as 0. If you have an error condition in your program and you are coming out then you should exit with a status EXIT_FAILURE which is defined as -1. So let's write above program as follows: #include <stdio.h> #include <stdlib.h> main() { int dividend = 20; int divisor = 5; int quotient; if( divisor == 0){ fprintf(stderr, "Division by zero! Exiting...n"); exit(EXIT_FAILURE); } quotient = dividend / divisor; fprintf(stderr, "Value of quotient : %dn", quotient );
C Programming 163 exit(EXIT_SUCCESS); } When the above code is compiled and executed, it produces the following result: Value of quotient : 4
C Programming 164 Recursion is the process of repeating items in a self-similar way. In programming languages, if a program allows you to call a function inside the same function, then it is called a recursive call of the function. void recursion() { recursion(); /* function calls itself */ } int main() { recursion(); } The C programming language supports recursion, i.e., a function to call itself. But while using recursion, programmers need to be careful to define an exit condition from the function, otherwise it will go into an infinite loop. Recursive functions are very useful to solve many mathematical problems, such as calculating the factorial of a number, generating Fibonacci series, etc. NumberFactorial The following example calculates the factorial of a given number using a recursive function: #include <stdio.h> int factorial(unsigned int i) { if(i <= 1) { return 1; } return i * factorial(i - 1); 27. RECURSION
C Programming 165 } int main() { int i = 15; printf("Factorial of %d is %dn", i, factorial(i)); return 0; } When the above code is compiled and executed, it produces the following result: Factorial of 15 is 2004310016 FibonacciSeries The following example generates the Fibonacci series for a given number using a recursive function: #include <stdio.h> int fibonaci(int i) { if(i == 0) { return 0; } if(i == 1) { return 1; } return fibonaci(i-1) + fibonaci(i-2); } int main() { int i; for (i = 0; i < 10; i++) {
C Programming 166 printf("%dt%n", fibonaci(i)); } return 0; } When the above code is compiled and executed, it produces the following result: 0 1 1 2 3 5 8 13 21 34
C Programming 167 Sometimes, you may come across a situation, when you want to have a function, which can take variable number of arguments, i.e., parameters, instead of predefined number of parameters. The C programming language provides a solution for this situation and you are allowed to define a function which can accept variable number of parameters based on your requirement. The following example shows the definition of such a function. int func(int, ... ) { . . . } int main() { func(1, 2, 3); func(1, 2, 3, 4); } It should be noted that the function func() has its last argument as ellipses, i.e., three dotes (...) and the one just before the ellipses is always an int which will represent the total number variable arguments passed. To use such functionality, you need to make use of stdarg.h header file which provides the functions and macros to implement the functionality of variable arguments and follow the given steps: 1. Define a function with its last parameter as ellipses and the one just before the ellipses is always an int which will represent the number of arguments. 2. Create a va_list type variable in the function definition. This type is defined in stdarg.h header file. 3. Use int parameter and va_start macro to initialize the va_list variable to an argument list. The macro va_start is defined in stdarg.h header file. 4. Use va_arg macro and va_list variable to access each item in argument list. 28. VARIABLE ARGUMENTS
C Programming 168 5. Use a macro va_end to clean up the memory assigned to va_list variable. Now let us follow the above steps and write down a simple function which can take the variable number of parameters and return their average: #include <stdio.h> #include <stdarg.h> double average(int num,...) { va_list valist; double sum = 0.0; int i; /* initialize valist for num number of arguments */ va_start(valist, num); /* access all the arguments assigned to valist */ for (i = 0; i < num; i++) { sum += va_arg(valist, int); } /* clean memory reserved for valist */ va_end(valist); return sum/num; } int main() { printf("Average of 2, 3, 4, 5 = %fn", average(4, 2,3,4,5)); printf("Average of 5, 10, 15 = %fn", average(3, 5,10,15)); }
C Programming 169 When the above code is compiled and executed, it produces the following result. It should be noted that the function average() has been called twice and each time the first argument represents the total number of variable arguments being passed. Only ellipses will be used to pass variable number of arguments. Average of 2, 3, 4, 5 = 3.500000 Average of 5, 10, 15 = 10.000000
C Programming 170 This chapter explains dynamic memory management in C. The C programming language provides several functions for memory allocation and management. These functions can be found in the <stdlib.h> header file. S.N. Function and Description 1 void *calloc(int num, int size); This function allocates an array of num elements each of which size in bytes will be size. 2 void free(void *address); This function releases a block of memory block specified by address. 3 void *malloc(int num); This function allocates an array of num bytes and leave them initialized. 4 void *realloc(void *address, int newsize); This function re-allocates memory extending it upto newsize. AllocatingMemoryDynamically While programming, if you are aware of the size of an array, then it is easy and you can define it as an array. For example, to store a name of any person, it can go up to a maximum of 100 characters, so you can define something as follows: char name[100]; But now let us consider a situation where you have no idea about the length of the text you need to store, for example, you want to store a detailed description about a topic. Here we need to define a pointer to character without defining how much memory is required and later, based on requirement, we can allocate memory as shown in the below example: #include <stdio.h> 29. MEMORY MANAGEMENT
C Programming 171 #include <stdlib.h> #include <string.h> int main() { char name[100]; char *description; strcpy(name, "Zara Ali"); /* allocate memory dynamically */ description = malloc( 200 * sizeof(char) ); if( description == NULL ) { fprintf(stderr, "Error - unable to allocate required memoryn"); } else { strcpy( description, "Zara ali a DPS student in class 10th"); } printf("Name = %sn", name ); printf("Description: %sn", description ); } When the above code is compiled and executed, it produces the following result. Name = Zara Ali Description: Zara ali a DPS student in class 10th Same program can be written using calloc(); only thing is you need to replace malloc with calloc as follows: calloc(200, sizeof(char)); So you have complete control and you can pass any size value while allocating memory, unlike arrays where once the size is defined, you cannot change it.
C Programming 172 ResizingandReleasingMemory When your program comes out, operating system automatically release all the memory allocated by your program but as a good practice when you are not in need of memory anymore then you should release that memory by calling the function free(). Alternatively, you can increase or decrease the size of an allocated memory block by calling the function realloc(). Let us check the above program once again and make use of realloc() and free() functions: #include <stdio.h> #include <stdlib.h> #include <string.h> int main() { char name[100]; char *description; strcpy(name, "Zara Ali"); /* allocate memory dynamically */ description = malloc( 30 * sizeof(char) ); if( description == NULL ) { fprintf(stderr, "Error - unable to allocate required memoryn"); } else { strcpy( description, "Zara ali a DPS student."); } /* suppose you want to store bigger description */ description = realloc( description, 100 * sizeof(char) ); if( description == NULL ) { fprintf(stderr, "Error - unable to allocate required memoryn"); }
C Programming 173 else { strcat( description, "She is in class 10th"); } printf("Name = %sn", name ); printf("Description: %sn", description ); /* release memory using free() function */ free(description); } When the above code is compiled and executed, it produces the following result. Name = Zara Ali Description: Zara ali a DPS student.She is in class 10th You can try the above example without re-allocating extra memory, and strcat() function will give an error due to lack of available memory in description.
C Programming 174 It is possible to pass some values from the command line to your C programs when they are executed. These values are called command line arguments and many times they are important for your program especially when you want to control your program from outside instead of hard coding those values inside the code. The command line arguments are handled using main() function arguments where argc refers to the number of arguments passed, and argv[] is a pointer array which points to each argument passed to the program. Following is a simple example which checks if there is any argument supplied from the command line and take action accordingly: #include <stdio.h> int main( int argc, char *argv[] ) { if( argc == 2 ) { printf("The argument supplied is %sn", argv[1]); } else if( argc > 2 ) { printf("Too many arguments supplied.n"); } else { printf("One argument expected.n"); } } When the above code is compiled and executed with a single argument, it produces the following result. $./a.out testing The argument supplied is testing 30. COMMAND LINE ARGUMENTS
C Programming 175 When the above code is compiled and executed with two arguments, it produces the following result. $./a.out testing1 testing2 Too many arguments supplied. When the above code is compiled and executed without passing any argument, it produces the following result. $./a.out One argument expected It should be noted that argv[0] holds the name of the program itself and argv[1] is a pointer to the first command line argument supplied, and *argv[n] is the last argument. If no arguments are supplied, argc will be one, and if you pass one argument, then argc is set at 2. You pass all the command line arguments separated by a space, but if argument itself has a space then you can pass such arguments by putting them inside double quotes "" or single quotes ''. Let us re-write above example once again where we will print program name and we also pass a command line argument by putting inside double quotes: #include <stdio.h> int main( int argc, char *argv[] ) { printf("Program name %sn", argv[0]); if( argc == 2 ) { printf("The argument supplied is %sn", argv[1]); } else if( argc > 2 ) { printf("Too many arguments supplied.n"); } else { printf("One argument expected.n"); }
C Programming 176 } When the above code is compiled and executed with a single argument separated by space but inside double quotes, it produces the following result. $./a.out "testing1 testing2" Progranm name ./a.out The argument supplied is testing1 testing2

Cprogramming tutorial

  • 2.
    i AboutTheTutorial C is ageneral-purpose, procedural, imperative computer programming language developed in 1972 by Dennis M. Ritchie at the Bell Telephone Laboratories to develop the UNIX operating system. C is the most widely used computer language. It keeps fluctuating at number one scale of popularity along with Java programming language, which is also equally popular and most widely used among modern software programmers. Audience This tutorial is designed for software programmers with a need to understand the C programming language starting from scratch. This tutorial will give you enough understanding on C programming language from where you can take yourself to higher level of expertise. Prerequisites Before proceeding with this tutorial, you should have a basic understanding of Computer Programming terminologies. A basic understanding of any of the programming languages will help you in understanding the C programming concepts and move fast on the learning track. Copyright&Disclaimer  Copyright 2014 by Tutorials Point (I) Pvt. Ltd. All the content and graphics published in this e-book are the property of Tutorials Point (I) Pvt. Ltd. The user of this e-book is prohibited to reuse, retain, copy, distribute or republish any contents or a part of contents of this e-book in any manner without written consent of the publisher. We strive to update the contents of our website and tutorials as timely and as precisely as possible, however, the contents may contain inaccuracies or errors. Tutorials Point (I) Pvt. Ltd. provides no guarantee regarding the accuracy, timeliness or completeness of our website or its contents including this tutorial. If you discover any errors on our website or in this tutorial, please notify us at contact@tutorialspoint.com
  • 3.
    ii TableofContents About The Tutorial.....................................................................................................................................i Audience....................................................................................................................................................i Prerequisites..............................................................................................................................................i Copyright& Disclaimer ..............................................................................................................................i Table of Contents......................................................................................................................................ii 1. OVERVIEW ..............................................................................................................................1 Facts about C ............................................................................................................................................1 Why Use C?...............................................................................................................................................1 C Programs................................................................................................................................................2 2. ENVIORNMENT SETUP ............................................................................................................3 Try it Option Online ..................................................................................................................................3 Local Environment Setup ..........................................................................................................................3 Text Editor................................................................................................................................................3 The C Compiler .........................................................................................................................................4 Installation on UNIX/Linux........................................................................................................................4 Installation on Mac OS..............................................................................................................................5 Installation on Windows ...........................................................................................................................5 3. PROGRAM STRUCTURE ...........................................................................................................6 Hello World Example ................................................................................................................................6 Compile and Execute C Program ...............................................................................................................7 4. BASIC SYNTAX .........................................................................................................................8 Tokens in C................................................................................................................................................8 Semicolons................................................................................................................................................8 Comments ................................................................................................................................................8 Identifiers .................................................................................................................................................9
  • 4.
    iii Keywords..................................................................................................................................................9 Whitespace in C......................................................................................................................................10 5. DATA TYPES...........................................................................................................................11 Integer Types ..........................................................................................................................................11 Floating-Point Types ...............................................................................................................................13 The void Type..........................................................................................................................................14 6. VARIABLES.............................................................................................................................15 Variable Definition in C ...........................................................................................................................15 Variable Declaration in C.........................................................................................................................16 Lvalues and Rvalues in C .........................................................................................................................18 7. CONSTANTS AND LITERALS ...................................................................................................19 Integer Literals........................................................................................................................................19 Floating-point Literals .............................................................................................................................20 Character Constants................................................................................................................................20 String Literals..........................................................................................................................................21 Defining Constants..................................................................................................................................22 The #define Preprocessor ......................................................................................................................22 The const Keyword.................................................................................................................................23 8. STORAGE CLASSES.................................................................................................................24 The auto Storage Class............................................................................................................................24 The register Storage Class .......................................................................................................................24 The static Storage Class...........................................................................................................................25 The extern Storage Class.........................................................................................................................26 9. OPERATORS...........................................................................................................................28 Arithmetic Operators..............................................................................................................................28 Relational Operators...............................................................................................................................30
  • 5.
    iv Logical Operators....................................................................................................................................32 Bitwise Operators...................................................................................................................................34 Assignment Operators ............................................................................................................................37 Misc Operators ↦ sizeof & ternary .........................................................................................................40 Operators Precedence in C......................................................................................................................41 10. DECISION MAKING ..............................................................................................................45 if Statement............................................................................................................................................46 if…else Statement...................................................................................................................................48 if...else if...else Statement ......................................................................................................................49 Nested if Statements ..............................................................................................................................51 switch Statement....................................................................................................................................53 Nested switch Statements ......................................................................................................................55 The ? : Operator:.....................................................................................................................................57 11. LOOPS.................................................................................................................................58 while Loop ..............................................................................................................................................59 for Loop ..................................................................................................................................................61 do…while Loop .......................................................................................................................................63 Nested Loops ..........................................................................................................................................65 Loop Control Statements ........................................................................................................................67 break Statement.....................................................................................................................................68 continue Statement ................................................................................................................................70 goto Statement.......................................................................................................................................72 The Infinite Loop.....................................................................................................................................74 12. FUNCTIONS.........................................................................................................................76 Defining a Function.................................................................................................................................76 Function Declarations .............................................................................................................................77
  • 6.
    v Calling a Function....................................................................................................................................78 FunctionArguments................................................................................................................................79 Call by Value ...........................................................................................................................................80 Call by Reference ....................................................................................................................................81 13. SCOPE RULES.......................................................................................................................84 Local Variables........................................................................................................................................84 Global Variables......................................................................................................................................85 Formal Parameters .................................................................................................................................86 Initializing Local and Global Variables.....................................................................................................87 14. ARRAYS ...............................................................................................................................89 Declaring Arrays......................................................................................................................................89 Initializing Arrays ....................................................................................................................................89 Accessing Array Elements .......................................................................................................................90 Arrays in Detail .......................................................................................................................................91 Multidimensional Arrays ........................................................................................................................92 Two-dimensional Arrays.........................................................................................................................92 Initializing Two-Dimensional Arrays.......................................................................................................93 Accessing Two-Dimensional Array Elements..........................................................................................93 Passing Arrays to Functions....................................................................................................................94 Return Array from a Function ................................................................................................................96 Pointer to an Array.................................................................................................................................99 15. POINTERS..........................................................................................................................101 What are Pointers? ...............................................................................................................................101 How to Use Pointers?............................................................................................................................102 NULL Pointers ......................................................................................................................................103 Pointers in Detail ..................................................................................................................................104 Pointer Arithmetic................................................................................................................................104 Incrementing a Pointer.........................................................................................................................105
  • 7.
    vi Decrementing a Pointer.......................................................................................................................106 Pointer Comparisons............................................................................................................................107 Array of Pointers ..................................................................................................................................108 Pointer to Pointer.................................................................................................................................111 Passing Pointers to Functions ..............................................................................................................112 Return Pointer from Functions ............................................................................................................114 16. STRINGS ............................................................................................................................117 17. STRUCTURES.....................................................................................................................120 Defining a Structure..............................................................................................................................120 Accessing Structure Members...............................................................................................................121 Structures as Function Arguments ........................................................................................................122 Pointers to Structures ...........................................................................................................................124 Bit Fields ...............................................................................................................................................126 18. UNIONS.............................................................................................................................128 Defining a Union ...................................................................................................................................128 Accessing Union Members....................................................................................................................129 19. BIT FIELDS .........................................................................................................................132 Bit Field Declaration..............................................................................................................................133 20. TYPEDEF............................................................................................................................136 typedef vs #define ................................................................................................................................137 21. INPUT AND OUTPUT..........................................................................................................139 The Standard Files.................................................................................................................................139 The getchar() and putchar() Functions ..................................................................................................139 The gets() and puts() Functions.............................................................................................................140 The scanf() and printf() Functions .........................................................................................................141 22. FILE I/O..............................................................................................................................143
  • 8.
    vii Opening Files ........................................................................................................................................143 Closinga File .........................................................................................................................................144 Writing a File.........................................................................................................................................144 Reading a File........................................................................................................................................145 Binary I/O Functions .............................................................................................................................146 23. PREPROCESSORS...............................................................................................................147 Preprocessors Examples........................................................................................................................148 Predefined Macros................................................................................................................................148 Preprocessor Operators........................................................................................................................150 The Macro Continuation () Operator..................................................................................................150 The Stringize (#) Operator....................................................................................................................150 The Token Pasting (##) Operator .........................................................................................................150 The Defined() Operator........................................................................................................................151 Parameterized Macros..........................................................................................................................152 24. HEADER FILES....................................................................................................................153 Include Syntax.......................................................................................................................................153 Include Operation.................................................................................................................................153 Once-Only Headers...............................................................................................................................154 Computed Includes ...............................................................................................................................155 25. TYPE CASTING ...................................................................................................................156 Integer Promotion ................................................................................................................................157 Usual Arithmetic Conversion.................................................................................................................157 26. ERROR HANDLING.............................................................................................................160 errno, perror(), and strerror() ...............................................................................................................160 Divide by Zero Errors.............................................................................................................................161 Program Exit Status...............................................................................................................................162
  • 9.
    viii 27. RECURSION .......................................................................................................................164 NumberFactorial..................................................................................................................................164 Fibonacci Series ....................................................................................................................................165 28. VARIABLE ARGUMENTS.....................................................................................................167 29. MEMORY MANAGEMENT .................................................................................................170 Allocating Memory Dynamically ...........................................................................................................170 Resizing and Releasing Memory............................................................................................................172 30. COMMAND LINE ARGUMENTS..........................................................................................174
  • 10.
    C Programming 1 C isa general-purpose, high-level language that was originally developed by Dennis M. Ritchie to develop the UNIX operating system at Bell Labs. C was originally first implemented on the DEC PDP-11 computer in 1972. In 1978, Brian Kernighan and Dennis Ritchie produced the first publicly available description of C, now known as the K&R standard. The UNIX operating system, the C compiler, and essentially all UNIX application programs have been written in C. C has now become a widely used professional language for various reasons:  Easy to learn  Structured language  It produces efficient programs  It can handle low-level activities  It can be compiled on a variety of computer platforms FactsaboutC  C was invented to write an operating system called UNIX.  C is a successor of B language which was introduced around the early 1970s.  The language was formalized in 1988 by the American National Standard Institute (ANSI).  The UNIX OS was totally written in C.  Today C is the most widely used and popular System Programming Language.  Most of the state-of-the-art software have been implemented using C.  Today's most popular Linux OS and RDBMS MySQL have been written in C. WhyUseC? C was initially used for system development work, particularly the programs that make-up the operating system. C was adopted as a system development language because it produces code that runs nearly as fast as the code written in assembly language. Some examples of the use of C might be:  Operating Systems 1. OVERVIEW
  • 11.
    C Programming 2  LanguageCompilers  Assemblers  Text Editors  Print Spoolers  Network Drivers  Modern Programs  Databases  Language Interpreters  Utilities CPrograms A C program can vary from 3 lines to millions of lines and it should be written into one or more text files with extension ".c"; for example, hello.c. You can use "vi", "vim" or any other text editor to write your C program into a file. This tutorial assumes that you know how to edit a text file and how to write source code inside a program file.
  • 12.
    C Programming 3 TryitOptionOnline You reallydo not need to set up your own environment to start learning C programming language. Reason is very simple, we already have set up C Programming environment online, so that you can compile and execute all the available examples online at the same time when you are doing your theory work. This gives you confidence in what you are reading and to check the result with different options. Feel free to modify any example and execute it online. Try following example using our online compiler option available at http://www.compileonline.com/. #include <stdio.h> int main() { /* my first program in C */ printf("Hello, World! n"); return 0; } For most of the examples given in this tutorial, you will find the Try it option in our website code sections at the top right corner that will take you to the online compiler. So just make use of it and enjoy your learning. LocalEnvironmentSetup If you want to set up your environment for C programming language, you need the following two software tools available on your computer, (a) Text Editor and (b) The C Compiler. TextEditor This will be used to type your program. Examples of a few editors include Windows Notepad, OS Edit command, Brief, Epsilon, EMACS, and vim or vi. 2. ENVIORNMENT SETUP
  • 13.
    C Programming 4 The nameand version of text editors can vary on different operating systems. For example, Notepad will be used on Windows, and vim or vi can be used on Windows as well as on Linux or UNIX. The files you create with your editor are called the source files and they contain the program source codes. The source files for C programs are typically named with the extension ".c". Before starting your programming, make sure you have one text editor in place and you have enough experience to write a computer program, save it in a file, compile it and finally execute it. TheCCompiler The source code written in source file is the human readable source for your program. It needs to be "compiled" into machine language so that your CPU can actually execute the program as per the instructions given. The compiler compiles the source codes into final executable programs. The most frequently used and free available compiler is the GNU C/C++ compiler, otherwise you can have compilers either from HP or Solaris if you have the respective operating systems. The following section explains how to install GNU C/C++ compiler on various OS. m We keep mentioning C/C++ together because GNU gcc compiler works for both C and C++ programming languages. InstallationonUNIX/Linux If you are using Linux or UNIX, then check whether GCC is installed on your system by entering the following command from the command line: $ gcc -v If you have GNU compiler installed on your machine, then it should print a message as follows: Using built-in specs. Target: i386-redhat-linux Configured with: ../configure --prefix=/usr ....... Thread model: posix gcc version 4.1.2 20080704 (Red Hat 4.1.2-46) If GCC is not installed, then you will have to install it yourself using the detailed instructions available at http://gcc.gnu.org/install/. This tutorial has been written based on Linux and all the given examples have been compiled on the Cent OS flavor of the Linux system.
  • 14.
    C Programming 5 InstallationonMacOS If youuse Mac OS X, the easiest way to obtain GCC is to download the Xcode development environment from Apple's web site and follow the simple installation instructions. Once you have Xcode setup, you will be able to use GNU compiler for C/C++. Xcode is currently available at developer.apple.com/technologies/tools/. InstallationonWindows To install GCC on Windows, you need to install MinGW. To install MinGW, go to the MinGW homepage, www.mingw.org, and follow the link to the MinGW download page. Download the latest version of the MinGW installation program, which should be named MinGW-<version>.exe. While installing MinGW, at a minimum, you must install gcc-core, gcc-g++, binutils, and the MinGW runtime, but you may wish to install more. Add the bin subdirectory of your MinGW installation to your PATH environment variable, so that you can specify these tools on the command line by their simple names. After the installation is complete, you will be able to run gcc, g++, ar, ranlib, dlltool, and several other GNU tools from the Windows command line.
  • 15.
    C Programming 6 Before westudy the basic building blocks of the C programming language, let us look at a bare minimum C program structure so that we can take it as a reference in the upcoming chapters. HelloWorldExample A C program basically consists of the following parts:  Preprocessor Commands  Functions  Variables  Statements & Expressions  Comments Let us look at a simple code that would print the words "Hello World": #include <stdio.h> int main() { /* my first program in C */ printf("Hello, World! n"); return 0; } Let us take a look at the various parts of the above program: 1. The first line of the program #include <stdio.h> is a preprocessor command, which tells a C compiler to include stdio.h file before going to actual compilation. 2. The next line int main() is the main function where the program execution begins. 3. The next line /*...*/ will be ignored by the compiler and it has been put to add additional comments in the program. So such lines are called comments in the program. 3. PROGRAM STRUCTURE
  • 16.
    C Programming 7 4. Thenext line printf(...) is another function available in C which causes the message "Hello, World!" to be displayed on the screen. 5. The next line return 0; terminates the main() function and returns the value 0. CompileandExecuteCProgram Let us see how to save the source code in a file, and how to compile and run it. Following are the simple steps: 1. Open a text editor and add the above-mentioned code. 2. Save the file as hello.c 3. Open a command prompt and go to the directory where you have saved the file. 4. Type gcc hello.c and press enter to compile your code. 5. If there are no errors in your code, the command prompt will take you to the next line and would generate a.out executable file. 6. Now, type a.out to execute your program. 7. You will see the output "Hello World" printed on the screen. $ gcc hello.c $ ./a.out Hello, World! Make sure the gcc compiler is in your path and that you are running it in the directory containing the source file hello.c.
  • 17.
    C Programming 8 You haveseen the basic structure of a C program, so it will be easy to understand other basic building blocks of the C programming language. TokensinC A C program consists of various tokens and a token is either a keyword, an identifier, a constant, a string literal, or a symbol. For example, the following C statement consists of five tokens: printf("Hello, World! n"); The individual tokens are: printf ( "Hello, World! n" ) ; Semicolons In a C program, the semicolon is a statement terminator. That is, each individual statement must be ended with a semicolon. It indicates the end of one logical entity. Given below are two different statements: printf("Hello, World! n"); return 0; Comments Comments are like helping text in your C program and they are ignored by the compiler. They start with /* and terminate with the characters */ as shown below: /* my first program in C */ 4. BASIC SYNTAX
  • 18.
    C Programming 9 You cannothave comments within comments and they do not occur within a string or character literals. Identifiers A C identifier is a name used to identify a variable, function, or any other user- defined item. An identifier starts with a letter A to Z, a to z, or an underscore ‘_’ followed by zero or more letters, underscores, and digits (0 to 9). C does not allow punctuation characters such as @, $, and % within identifiers. C is a case-sensitive programming language. Thus, Manpower and manpower are two different identifiers in C. Here are some examples of acceptable identifiers: mohd zara abc move_name a_123 myname50 _temp j a23b9 retVal Keywords The following list shows the reserved words in C. These reserved words may not be used as constants or variables or any other identifier names. auto else long switch break enum register typedef case extern return union char float short unsigned const for signed void continue goto sizeof volatile default if static while do int struct _Packed double
  • 19.
    C Programming 10 WhitespaceinC A linecontaining only whitespace, possibly with a comment, is known as a blank line, and a C compiler totally ignores it. Whitespace is the term used in C to describe blanks, tabs, newline characters and comments. Whitespace separates one part of a statement from another and enables the compiler to identify where one element in a statement, such as int, ends and the next element begins. Therefore, in the following statement: int age; there must be at least one whitespace character (usually a space) between int and age for the compiler to be able to distinguish them. On the other hand, in the following statement: fruit = apples + oranges; // get the total fruit no whitespace characters are necessary between fruit and =, or between = and apples, although you are free to include some if you wish to increase readability.
  • 20.
    C Programming 11 Data typesin C refer to an extensive system used for declaring variables or functions of different types. The type of a variable determines how much space it occupies in storage and how the bit pattern stored is interpreted. The types in C can be classified as follows: S.N. Types and Description 1 Basic Types: They are arithmetic types and are further classified into: (a) integer types and (b) floating-point types. 2 Enumerated types: They are again arithmetic types and they are used to define variables that can only assign certain discrete integer values throughout the program. 3 The type void: The type specifier void indicates that no value is available. 4 Derived types: They include (a) Pointer types, (b) Array types, (c) Structure types, (d) Union types, and (e) Function types. The array types and structure types are referred collectively as the aggregate types. The type of a function specifies the type of the function's return value. We will see the basic types in the following section, whereas other types will be covered in the upcoming chapters. IntegerTypes The following table provides the details of standard integer types with their storage sizes and value ranges: 5. DATA TYPES
  • 21.
    C Programming 12 Type Storage size Valuerange char 1 byte -128 to 127 or 0 to 255 unsigned char 1 byte 0 to 255 signed char 1 byte -128 to 127 int 2 or 4 bytes -32,768 to 32,767 or -2,147,483,648 to 2,147,483,647 unsigned int 2 or 4 bytes 0 to 65,535 or 0 to 4,294,967,295 short 2 bytes -32,768 to 32,767 unsigned short 2 bytes 0 to 65,535 long 4 bytes -2,147,483,648 to 2,147,483,647 unsigned long 4 bytes 0 to 4,294,967,295 To get the exact size of a type or a variable on a particular platform, you can use the sizeof operator. The expressions sizeof(type) yields the storage size of the object or type in bytes. Given below is an example to get the size of int type on any machine: #include <stdio.h> #include <limits.h> int main() { printf("Storage size for int : %d n", sizeof(int));
  • 22.
    C Programming 13 return 0; } Whenyou compile and execute the above program, it produces the following result on Linux: Storage size for int : 4 Floating-PointTypes The following table provides the details of standard floating-point types with storage sizes and value ranges and their precision: Type Storage size Value range Precision float 4 byte 1.2E-38 to 3.4E+38 6 decimal places double 8 byte 2.3E-308 to 1.7E+308 15 decimal places long double 10 byte 3.4E-4932 to 1.1E+4932 19 decimal places The header file float.h defines macros that allow you to use these values and other details about the binary representation of real numbers in your programs. The following example prints the storage space taken by a float type and its range values: #include <stdio.h> #include <float.h> int main() { printf("Storage size for float : %d n", sizeof(float)); printf("Minimum float positive value: %En", FLT_MIN ); printf("Maximum float positive value: %En", FLT_MAX ); printf("Precision value: %dn", FLT_DIG ); return 0;
  • 23.
    C Programming 14 } When youcompile and execute the above program, it produces the following result on Linux: Storage size for float : 4 Minimum float positive value: 1.175494E-38 Maximum float positive value: 3.402823E+38 Precision value: 6 The voidType The void type specifies that no value is available. It is used in three kinds of situations: S.N. Types and Description 1 Function returns as void There are various functions in C which do not return any value or you can say they return void. A function with no return value has the return type as void. For example, void exit (int status); 2 Function arguments as void There are various functions in C which do not accept any parameter. A function with no parameter can accept a void. For example, int rand(void); 3 Pointers to void A pointer of type void * represents the address of an object, but not its type. For example, a memory allocation function void *malloc(size_t size); returns a pointer to void which can be casted to any data type.
  • 24.
    C Programming 15 A variableis nothing but a name given to a storage area that our programs can manipulate. Each variable in C has a specific type, which determines the size and layout of the variable's memory; the range of values that can be stored within that memory; and the set of operations that can be applied to the variable. The name of a variable can be composed of letters, digits, and the underscore character. It must begin with either a letter or an underscore. Upper and lowercase letters are distinct because C is case-sensitive. Based on the basic types explained in the previous chapter, there will be the following basic variable types: Type Description char Typically a single octet (one byte). This is an integer type. int The most natural size of integer for the machine. float A single-precision floating point value. double A double-precision floating point value. void Represents the absence of type. C programming language also allows to define various other types of variables, which we will cover in subsequent chapters like Enumeration, Pointer, Array, Structure, Union, etc. For this chapter, let us study only basic variable types. VariableDefinitioninC A variable definition tells the compiler where and how much storage to create for the variable. A variable definition specifies a data type and contains a list of one or more variables of that type as follows: type variable_list; 6. VARIABLES
  • 25.
    C Programming 16 Here, typemust be a valid C data type including char, w_char, int, float, double, bool, or any user-defined object; and variable_list may consist of one or more identifier names separated by commas. Some valid declarations are shown here: int i, j, k; char c, ch; float f, salary; double d; The line int i, j, k; declares and defines the variables i, j and k; which instruct the compiler to create variables named i, j, and k of type int. Variables can be initialized (assigned an initial value) in their declaration. The initializer consists of an equal sign followed by a constant expression as follows: type variable_name = value; Some examples are: extern int d = 3, f = 5; // declaration of d and f. int d = 3, f = 5; // definition and initializing d and f. byte z = 22; // definition and initializes z. char x = 'x'; // the variable x has the value 'x'. For definition without an initializer: variables with static storage duration are implicitly initialized with NULL (all bytes have the value 0); the initial value of all other variables are undefined. VariableDeclarationinC A variable declaration provides assurance to the compiler that there exists a variable with the given type and name so that the compiler can proceed for further compilation without requiring the complete detail about the variable. A variable declaration has its meaning at the time of compilation only, the compiler needs actual variable declaration at the time of linking the program. A variable declaration is useful when you are using multiple files and you define your variable in one of the files which will be available at the time of linking the program. You will use the keyword extern to declare a variable at any place. Though you can declare a variable multiple times in your C program, it can be defined only once in a file, a function, or a block of code. Example Try the following example, where variables have been declared at the top, but they have been defined and initialized inside the main function:
  • 26.
    C Programming 17 #include <stdio.h> //Variable declaration: extern int a, b; extern int c; extern float f; int main () { /* variable definition: */ int a, b; int c; float f; /* actual initialization */ a = 10; b = 20; c = a + b; printf("value of c : %d n", c); f = 70.0/3.0; printf("value of f : %f n", f); return 0; } When the above code is compiled and executed, it produces the following result: value of c : 30 value of f : 23.333334 The same concept applies on function declaration where you provide a function name at the time of its declaration and its actual definition can be given anywhere else. For example:
  • 27.
    C Programming 18 // functiondeclaration int func(); int main() { // function call int i = func(); } // function definition int func() { return 0; } LvaluesandRvaluesinC There are two kinds of expressions in C:  lvalue : Expressions that refer to a memory location are called "lvalue" expressions. An lvalue may appear as either the left-hand or right-hand side of an assignment.  rvalue : The term rvalue refers to a data value that is stored at some address in memory. An rvalue is an expression that cannot have a value assigned to it which means an rvalue may appear on the right-hand side but not on the left-hand side of an assignment. Variables are lvalues and so they may appear on the left-hand side of an assignment. Numeric literals are rvalues and so they may not be assigned and cannot appear on the left-hand side. Take a look at the following valid and invalid statements: int g = 20; // valid statement 10 = 20; // invalid statement; would generate compile-time error
  • 28.
    C Programming 19 Constants referto fixed values that the program may not alter during its execution. These fixed values are also called literals. Constants can be of any of the basic data types like an integer constant, a floating constant, a character constant, or a string literal. There are enumeration constants as well. Constants are treated just like regular variables except that their values cannot be modified after their definition. IntegerLiterals An integer literal can be a decimal, octal, or hexadecimal constant. A prefix specifies the base or radix: 0x or 0X for hexadecimal, 0 for octal, and nothing for decimal. An integer literal can also have a suffix that is a combination of U and L, for unsigned and long, respectively. The suffix can be uppercase or lowercase and can be in any order. Here are some examples of integer literals: 212 /* Legal */ 215u /* Legal */ 0xFeeL /* Legal */ 078 /* Illegal: 8 is not an octal digit */ 032UU /* Illegal: cannot repeat a suffix */ Following are other examples of various types of integer literals: 85 /* decimal */ 0213 /* octal */ 0x4b /* hexadecimal */ 30 /* int */ 30u /* unsigned int */ 30l /* long */ 30ul /* unsigned long */ 7. CONSTANTS AND LITERALS
  • 29.
    C Programming 20 Floating-pointLiterals A floating-pointliteral has an integer part, a decimal point, a fractional part, and an exponent part. You can represent floating point literals either in decimal form or exponential form. While representing decimal form, you must include the decimal point, the exponent, or both; and while representing exponential form, you must include the integer part, the fractional part, or both. The signed exponent is introduced by e or E. Here are some examples of floating-point literals: 3.14159 /* Legal */ 314159E-5L /* Legal */ 510E /* Illegal: incomplete exponent */ 210f /* Illegal: no decimal or exponent */ .e55 /* Illegal: missing integer or fraction */ CharacterConstants Character literals are enclosed in single quotes, e.g., 'x' can be stored in a simple variable of char type. A character literal can be a plain character (e.g., 'x'), an escape sequence (e.g., 't'), or a universal character (e.g., 'u02C0'). There are certain characters in C that represent special meaning when preceded by a backslash, for example, newline (n) or tab (t). Here, you have a list of such escape sequence codes: Escape sequence Meaning character ' ' character " " character ? ? character a Alert or bell
  • 30.
    C Programming 21 b Backspace fForm feed n Newline r Carriage return t Horizontal tab v Vertical tab ooo Octal number of one to three digits xhh . . . Hexadecimal number of one or more digits Following is the example to show a few escape sequence characters: #include <stdio.h> int main() { printf("HellotWorldnn"); return 0; } When the above code is compiled and executed, it produces the following result: Hello World StringLiterals String literals or constants are enclosed in double quotes "". A string contains characters that are similar to character literals: plain characters, escape sequences, and universal characters.
  • 31.
    C Programming 22 You canbreak a long line into multiple lines using string literals and separating them using whitespaces. Here are some examples of string literals. All the three forms are identical strings. "hello, dear" "hello, dear" "hello, " "d" "ear" DefiningConstants There are two simple ways in C to define constants:  Using #define preprocessor  Using const keyword The#definePreprocessor Given below is the form to use #define preprocessor to define a constant: #define identifier value The following example explains it in detail: #include <stdio.h> #define LENGTH 10 #define WIDTH 5 #define NEWLINE 'n' int main() { int area; area = LENGTH * WIDTH;
  • 32.
    C Programming 23 printf("value ofarea : %d", area); printf("%c", NEWLINE); return 0; } When the above code is compiled and executed, it produces the following result: value of area : 50 TheconstKeyword You can use const prefix to declare constants with a specific type as follows: const type variable = value; The following example explains it in detail: #include <stdio.h> int main() { const int LENGTH = 10; const int WIDTH = 5; const char NEWLINE = 'n'; int area; area = LENGTH * WIDTH; printf("value of area : %d", area); printf("%c", NEWLINE); return 0; } When the above code is compiled and executed, it produces the following result: value of area : 50 Note that it is a good programming practice to define constants in CAPITALS.
  • 33.
    C Programming 24 A storageclass defines the scope (visibility) and life-time of variables and/or functions within a C Program. They precede the type that they modify. We have four different storage classes in a C program:  auto  register  static  extern TheautoStorageClass The auto storage class is the default storage class for all local variables. { int mount; auto int month; } The example above defines two variables within the same storage class. ‘auto’ can only be used within functions, i.e., local variables. TheregisterStorageClass The register storage class is used to define local variables that should be stored in a register instead of RAM. This means that the variable has a maximum size equal to the register size (usually one word) and can't have the unary '&' operator applied to it (as it does not have a memory location). { register int miles; } The register should only be used for variables that require quick access such as counters. It should also be noted that defining 'register' does not mean that the variable will be stored in a register. It means that it MIGHT be stored in a register depending on hardware and implementation restrictions. 8. STORAGE CLASSES
  • 34.
    C Programming 25 ThestaticStorageClass The staticstorage class instructs the compiler to keep a local variable in existence during the life-time of the program instead of creating and destroying it each time it comes into and goes out of scope. Therefore, making local variables static allows them to maintain their values between function calls. The static modifier may also be applied to global variables. When this is done, it causes that variable's scope to be restricted to the file in which it is declared. In C programming, when static is used on a class data member, it causes only one copy of that member to be shared by all the objects of its class. #include <stdio.h> /* function declaration */ void func(void); static int count = 5; /* global variable */ main() { while(count--) { func(); } return 0; } /* function definition */ void func( void ) { static int i = 5; /* local static variable */ i++; printf("i is %d and count is %dn", i, count); } When the above code is compiled and executed, it produces the following result: i is 6 and count is 4 i is 7 and count is 3
  • 35.
    C Programming 26 i is8 and count is 2 i is 9 and count is 1 i is 10 and count is 0 TheexternStorageClass The extern storage class is used to give a reference of a global variable that is visible to ALL the program files. When you use 'extern', the variable cannot be initialized, however, it points the variable name at a storage location that has been previously defined. When you have multiple files and you define a global variable or function, which will also be used in other files, then extern will be used in another file to provide the reference of defined variable or function. Just for understanding, extern is used to declare a global variable or function in another file. The extern modifier is most commonly used when there are two or more files sharing the same global variables or functions as explained below. First File: main.c #include <stdio.h> int count; extern void write_extern(); main() { count = 5; write_extern(); } Second File: support.c #include <stdio.h> extern int count; void write_extern(void) {
  • 36.
    C Programming 27 printf("count is%dn", count); } Here, extern is being used to declare count in the second file, whereas it has its definition in the first file, main.c. Now, compile these two files as follows: $gcc main.c support.c It will produce the executable program a.out. When this program is executed, it produces the following result: 5
  • 37.
    C Programming 28 An operatoris a symbol that tells the compiler to perform specific mathematical or logical functions. C language is rich in built-in operators and provides the following types of operators:  Arithmetic Operators  Relational Operators  Logical Operators  Bitwise Operators  Assignment Operators  Misc Operators We will, in this chapter, look into the way each operator works. ArithmeticOperators The following table shows all the arithmetic operators supported by the C language. Assume variable A holds 10 and variable B holds 20, then: Operator Description Example + Adds two operands. A + B = 30 - Subtracts second operand from the first. A - B = -10 * Multiplies both operands. A * B = 200 / Divides numerator by de-numerator. B / A = 2 % Modulus Operator and remainder of after an integer division. B % A = 0 ++ Increment operator increases the integer value by one. A++ = 11 9. OPERATORS
  • 38.
    C Programming 29 -- Decrementoperator decreases the integer value by one. A-- = 9 Example Try the following example to understand all the arithmetic operators available in C: #include <stdio.h> main() { int a = 21; int b = 10; int c ; c = a + b; printf("Line 1 - Value of c is %dn", c ); c = a - b; printf("Line 2 - Value of c is %dn", c ); c = a * b; printf("Line 3 - Value of c is %dn", c ); c = a / b; printf("Line 4 - Value of c is %dn", c ); c = a % b; printf("Line 5 - Value of c is %dn", c ); c = a++; printf("Line 6 - Value of c is %dn", c ); c = a--; printf("Line 7 - Value of c is %dn", c ); } When you compile and execute the above program, it produces the following result: Line 1 - Value of c is 31
  • 39.
    C Programming 30 Line 2- Value of c is 11 Line 3 - Value of c is 210 Line 4 - Value of c is 2 Line 5 - Value of c is 1 Line 6 - Value of c is 21 Line 7 - Value of c is 22 RelationalOperators The following table shows all the relational operators supported by C. Assume variable A holds 10 and variable B holds 20, then: Operator Description Example == Checks if the values of two operands are equal or not. If yes, then the condition becomes true. (A == B) is not true. != Checks if the values of two operands are equal or not. If the values are not equal, then the condition becomes true. (A != B) is true. > Checks if the value of left operand is greater than the value of right operand. If yes, then the condition becomes true. (A > B) is not true. < Checks if the value of left operand is less than the value of right operand. If yes, then the condition becomes true. (A < B) is true. >= Checks if the value of left operand is greater than or equal to the value of right operand. If yes, then the condition becomes true. (A >= B) is not true. <= Checks if the value of left operand is less than or equal to the value of right operand. If yes, then the condition becomes true. (A <= B) is true.
  • 40.
    C Programming 31 Example Try thefollowing example to understand all the relational operators available in C: #include <stdio.h> main() { int a = 21; int b = 10; int c ; if( a == b ) { printf("Line 1 - a is equal to bn" ); } else { printf("Line 1 - a is not equal to bn" ); } if ( a < b ) { printf("Line 2 - a is less than bn" ); } else { printf("Line 2 - a is not less than bn" ); } if ( a > b ) { printf("Line 3 - a is greater than bn" ); } else
  • 41.
    C Programming 32 { printf("Line 3- a is not greater than bn" ); } /* Lets change value of a and b */ a = 5; b = 20; if ( a <= b ) { printf("Line 4 - a is either less than or equal to bn" ); } if ( b >= a ) { printf("Line 5 - b is either greater than or equal to bn" ); } } When you compile and execute the above program, it produces the following result: Line 1 - a is not equal to b Line 2 - a is not less than b Line 3 - a is greater than b Line 4 - a is either less than or equal to b Line 5 - b is either greater than or equal to b LogicalOperators Following table shows all the logical operators supported by C language. Assume variable A holds 1 and variable B holds 0, then: Operator Description Example && Called Logical AND operator. If both the operands are non-zero, then the condition becomes true. (A && B) is false. || Called Logical OR Operator. If any of the two (A || B) is true.
  • 42.
    C Programming 33 operands isnon-zero, then the condition becomes true. ! Called Logical NOT Operator. It is used to reverse the logical state of its operand. If a condition is true, then Logical NOT operator will make it false. !(A && B) is true. Example Try the following example to understand all the logical operators available in C: #include <stdio.h> main() { int a = 5; int b = 20; int c ; if ( a && b ) { printf("Line 1 - Condition is truen" ); } if ( a || b ) { printf("Line 2 - Condition is truen" ); } /* lets change the value of a and b */ a = 0; b = 10; if ( a && b ) { printf("Line 3 - Condition is truen" ); }
  • 43.
    C Programming 34 else { printf("Line 3- Condition is not truen" ); } if ( !(a && b) ) { printf("Line 4 - Condition is truen" ); } } When you compile and execute the above program, it produces the following result: Line 1 - Condition is true Line 2 - Condition is true Line 3 - Condition is not true Line 4 - Condition is true BitwiseOperators Bitwise operators work on bits and perform bit-by-bit operation. The truth table for &, |, and ^ is as follows: p q p & q p | q p ^ q 0 0 0 0 0 0 1 0 1 1 1 1 1 1 0 1 0 0 1 1 Assume A = 60 and B = 13; in binary format, they will be as follows: A = 0011 1100 B = 0000 1101
  • 44.
    C Programming 35 ----------------- A&B =0000 1100 A|B = 0011 1101 A^B = 0011 0001 ~A = 1100 0011 The following table lists the bitwise operators supported by C. Assume variable ‘A’ holds 60 and variable ‘B’ holds 13, then: Operator Description Example & Binary AND Operator copies a bit to the result if it exists in both operands. (A & B) = 12, i.e., 0000 1100 | Binary OR Operator copies a bit if it exists in either operand. (A | B) = 61, i.e., 0011 1101 ^ Binary XOR Operator copies the bit if it is set in one operand but not both. (A ^ B) = 49, i.e., 0011 0001 ~ Binary Ones Complement Operator is unary and has the effect of 'flipping' bits. (~A ) = -61, i.e., 1100 0011 in 2's complement form. << Binary Left Shift Operator. The left operands value is moved left by the number of bits specified by the right operand. A << 2 = 240, i.e., 1111 0000 >> Binary Right Shift Operator. The left operands value is moved right by the number of bits specified by the right operand. A >> 2 = 15, i.e., 0000 1111 Example Try the following example to understand all the bitwise operators available in C: #include <stdio.h> main()
  • 45.
    C Programming 36 { unsigned inta = 60; /* 60 = 0011 1100 */ unsigned int b = 13; /* 13 = 0000 1101 */ int c = 0; c = a & b; /* 12 = 0000 1100 */ printf("Line 1 - Value of c is %dn", c ); c = a | b; /* 61 = 0011 1101 */ printf("Line 2 - Value of c is %dn", c ); c = a ^ b; /* 49 = 0011 0001 */ printf("Line 3 - Value of c is %dn", c ); c = ~a; /*-61 = 1100 0011 */ printf("Line 4 - Value of c is %dn", c ); c = a << 2; /* 240 = 1111 0000 */ printf("Line 5 - Value of c is %dn", c ); c = a >> 2; /* 15 = 0000 1111 */ printf("Line 6 - Value of c is %dn", c ); } When you compile and execute the above program, it produces the following result: Line 1 - Value of c is 12 Line 2 - Value of c is 61 Line 3 - Value of c is 49 Line 4 - Value of c is -61 Line 5 - Value of c is 240 Line 6 - Value of c is 15
  • 46.
    C Programming 37 AssignmentOperators The followingtables lists the assignment operators supported by the C language: Operator Description Example = Simple assignment operator. Assigns values from right side operands to left side operand. C = A + B will assign the value of A + B to C += Add AND assignment operator. It adds the right operand to the left operand and assigns the result to the left operand. C += A is equivalent to C = C + A -= Subtract AND assignment operator. It subtracts the right operand from the left operand and assigns the result to the left operand. C -= A is equivalent to C = C - A *= Multiply AND assignment operator. It multiplies the right operand with the left operand and assigns the result to the left operand. C *= A is equivalent to C = C * A /= Divide AND assignment operator. It divides the left operand with the right operand and assigns the result to the left operand. C /= A is equivalent to C = C / A %= Modulus AND assignment operator. It takes modulus using two operands and assigns the result to the left operand. C %= A is equivalent to C = C % A <<= Left shift AND assignment operator. C <<= 2 is same as C = C << 2 >>= Right shift AND assignment operator. C >>= 2 is same as C = C >> 2 &= Bitwise AND assignment operator. C &= 2 is same as C
  • 47.
    C Programming 38 = C& 2 ^= Bitwise exclusive OR and assignment operator. C ^= 2 is same as C = C ^ 2 |= Bitwise inclusive OR and assignment operator. C |= 2 is same as C = C | 2 Example Try the following example to understand all the assignment operators available in C: #include <stdio.h> main() { int a = 21; int c ; c = a; printf("Line 1 - = Operator Example, Value of c = %dn", c ); c += a; printf("Line 2 - += Operator Example, Value of c = %dn", c ); c -= a; printf("Line 3 - -= Operator Example, Value of c = %dn", c ); c *= a; printf("Line 4 - *= Operator Example, Value of c = %dn", c );
  • 48.
    C Programming 39 c /=a; printf("Line 5 - /= Operator Example, Value of c = %dn", c ); c = 200; c %= a; printf("Line 6 - %= Operator Example, Value of c = %dn", c ); c <<= 2; printf("Line 7 - <<= Operator Example, Value of c = %dn", c ); c >>= 2; printf("Line 8 - >>= Operator Example, Value of c = %dn", c ); c &= 2; printf("Line 9 - &= Operator Example, Value of c = %dn", c ); c ^= 2; printf("Line 10 - ^= Operator Example, Value of c = %dn", c ); c |= 2; printf("Line 11 - |= Operator Example, Value of c = %dn", c ); } When you compile and execute the above program, it produces the following result: Line 1 - = Operator Example, Value of c = 21 Line 2 - += Operator Example, Value of c = 42 Line 3 - -= Operator Example, Value of c = 21 Line 4 - *= Operator Example, Value of c = 441 Line 5 - /= Operator Example, Value of c = 21 Line 6 - %= Operator Example, Value of c = 11 Line 7 - <<= Operator Example, Value of c = 44 Line 8 - >>= Operator Example, Value of c = 11
  • 49.
    C Programming 40 Line 9- &= Operator Example, Value of c = 2 Line 10 - ^= Operator Example, Value of c = 0 Line 11 - |= Operator Example, Value of c = 2 MiscOperators↦sizeof&ternary Besides the operators discussed above, there are a few other important operators including sizeof and ? : supported by the C Language. Operator Description Example sizeof() Returns the size of a variable. sizeof(a), where a is integer, will return 4. & Returns the address of a variable. &a; returns the actual address of the variable. * Pointer to a variable. *a; ? : Conditional Expression. If Condition is true ? then value X : otherwise value Y Example Try following example to understand all the miscellaneous operators available in C: #include <stdio.h> main() { int a = 4; short b; double c; int* ptr; /* example of sizeof operator */
  • 50.
    C Programming 41 printf("Line 1- Size of variable a = %dn", sizeof(a) ); printf("Line 2 - Size of variable b = %dn", sizeof(b) ); printf("Line 3 - Size of variable c= %dn", sizeof(c) ); /* example of & and * operators */ ptr = &a; /* 'ptr' now contains the address of 'a'*/ printf("value of a is %dn", a); printf("*ptr is %d.n", *ptr); /* example of ternary operator */ a = 10; b = (a == 1) ? 20: 30; printf( "Value of b is %dn", b ); b = (a == 10) ? 20: 30; printf( "Value of b is %dn", b ); } When you compile and execute the above program, it produces the following result: value of a is 4 *ptr is 4. Value of b is 30 Value of b is 20 OperatorsPrecedenceinC Operator precedence determines the grouping of terms in an expression and decides how an expression is evaluated. Certain operators have higher precedence than others; for example, the multiplication operator has a higher precedence than the addition operator. For example, x = 7 + 3 * 2; here, x is assigned 13, not 20 because operator * has a higher precedence than +, so it first gets multiplied with 3*2 and then adds into 7. Here, operators with the highest precedence appear at the top of the table, those with the lowest appear at the bottom. Within an expression, higher precedence operators will be evaluated first.
  • 51.
    C Programming 42 Category OperatorAssociativity Postfix () [] -> . ++ - - Left to right Unary + - ! ~ ++ - - (type)* & sizeof Right to left Multiplicative * / % Left to right Additive + - Left to right Shift << >> Left to right Relational < <= > >= Left to right Equality == != Left to right Bitwise AND & Left to right Bitwise XOR ^ Left to right Bitwise OR | Left to right Logical AND && Left to right Logical OR || Left to right Conditional ?: Right to left Assignment = += -= *= /= %=>>= <<= &= ^= |= Right to left Comma , Left to right Example
  • 52.
    C Programming 43 Try thefollowing example to understand operator precedence in C: #include <stdio.h> main() { int a = 20; int b = 10; int c = 15; int d = 5; int e; e = (a + b) * c / d; // ( 30 * 15 ) / 5 printf("Value of (a + b) * c / d is : %dn", e ); e = ((a + b) * c) / d; // (30 * 15 ) / 5 printf("Value of ((a + b) * c) / d is : %dn" , e ); e = (a + b) * (c / d); // (30) * (15/5) printf("Value of (a + b) * (c / d) is : %dn", e ); e = a + (b * c) / d; // 20 + (150/5) printf("Value of a + (b * c) / d is : %dn" , e ); return 0; } When you compile and execute the above program, it produces the following result: Value of (a + b) * c / d is : 90 Value of ((a + b) * c) / d is : 90 Value of (a + b) * (c / d) is : 90 Value of a + (b * c) / d is : 50
  • 53.
  • 54.
    C Programming 45 Decision-making structuresrequire that the programmer specifies one or more conditions to be evaluated or tested by the program, along with a statement or statements to be executed if the condition is determined to be true, and optionally, other statements to be executed if the condition is determined to be false. Shown below is the general form of a typical decision-making structure found in most of the programming languages: C programming language assumes any non-zero and non-null values as true, and if it is either zero or null, then it is assumed as false value. C programming language provides the following types of decision-making statements. Statement Description if statement An if statement consists of a boolean expression followed by one or more statements. if...else statement An if statement can be followed by an optional else statement, which executes when 10. DECISION MAKING
  • 55.
    C Programming 46 the Booleanexpression is false. nested if statements You can use one if or else if statement inside another if or else if statement(s). switch statement A switch statement allows a variable to be tested for equality against a list of values. nested switch statements You can use one switch statement inside another switch statement(s). ifStatement An if statement consists of a Boolean expression followed by one or more statements. Syntax The syntax of an ‘if’ statement in C programming language is: if(boolean_expression) { /* statement(s) will execute if the boolean expression is true */ } If the Boolean expression evaluates to true, then the block of code inside the ‘if’ statement will be executed. If the Boolean expression evaluates to false, then the first set of code after the end of the ‘if’ statement (after the closing curly brace) will be executed. C programming language assumes any non-zero and non-null values as true and if it is either zero or null, then it is assumed as false value. Flow Diagram
  • 56.
    C Programming 47 Example #include <stdio.h> intmain () { /* local variable definition */ int a = 10; /* check the boolean condition using if statement */ if( a < 20 ) { /* if condition is true then print the following */ printf("a is less than 20n" ); } printf("value of a is : %dn", a); return 0; } When the above code is compiled and executed, it produces the following result: a is less than 20;
  • 57.
    C Programming 48 value ofa is : 10 if…elseStatement An if statement can be followed by an optional else statement, which executes when the Boolean expression is false. Syntax The syntax of an if...else statement in C programming language is: if(boolean_expression) { /* statement(s) will execute if the boolean expression is true */ } else { /* statement(s) will execute if the boolean expression is false */ } If the Boolean expression evaluates to true, then the if block will be executed, otherwise, the else block will be executed. C programming language assumes any non-zero and non-null values as true, and if it is either zero or null, then it is assumed as false value. Flow Diagram
  • 58.
    C Programming 49 Example #include <stdio.h> intmain () { /* local variable definition */ int a = 100; /* check the boolean condition */ if( a < 20 ) { /* if condition is true then print the following */ printf("a is less than 20n" ); } else { /* if condition is false then print the following */ printf("a is not less than 20n" ); } printf("value of a is : %dn", a); return 0; } When the above code is compiled and executed, it produces the following result: a is not less than 20; value of a is : 100 if...elseif...elseStatement An if statement can be followed by an optional else if...else statement, which is very useful to test various conditions using single if...else if statement. When using if…else if…else statements, there are few points to keep in mind:  An if can have zero or one else's and it must come after any else if's.  An if can have zero to many else if's and they must come before the else.
  • 59.
    C Programming 50  Oncean else if succeeds, none of the remaining else if's or else's will be tested. Syntax The syntax of an if...else if...else statement in C programming language is: if(boolean_expression 1) { /* Executes when the boolean expression 1 is true */ } else if( boolean_expression 2) { /* Executes when the boolean expression 2 is true */ } else if( boolean_expression 3) { /* Executes when the boolean expression 3 is true */ } else { /* executes when the none of the above condition is true */ } Example #include <stdio.h> int main () { /* local variable definition */ int a = 100; /* check the boolean condition */ if( a == 10 ) { /* if condition is true then print the following */
  • 60.
    C Programming 51 printf("Value ofa is 10n" ); } else if( a == 20 ) { /* if else if condition is true */ printf("Value of a is 20n" ); } else if( a == 30 ) { /* if else if condition is true */ printf("Value of a is 30n" ); } else { /* if none of the conditions is true */ printf("None of the values is matchingn" ); } printf("Exact value of a is: %dn", a ); return 0; } When the above code is compiled and executed, it produces the following result: None of the values is matching Exact value of a is: 100 NestedifStatements It is always legal in C programming to nest if-else statements, which means you can use one if or else if statement inside another if or else if statement(s). Syntax The syntax for a nested if statement is as follows: if( boolean_expression 1) {
  • 61.
    C Programming 52 /* Executeswhen the boolean expression 1 is true */ if(boolean_expression 2) { /* Executes when the boolean expression 2 is true */ } } You can nest else if...else in the similar way as you have nested if statements. Example #include <stdio.h> int main () { /* local variable definition */ int a = 100; int b = 200; /* check the boolean condition */ if( a == 100 ) { /* if condition is true then check the following */ if( b == 200 ) { /* if condition is true then print the following */ printf("Value of a is 100 and b is 200n" ); } } printf("Exact value of a is : %dn", a ); printf("Exact value of b is : %dn", b ); return 0; } When the above code is compiled and executed, it produces the following result:
  • 62.
    C Programming 53 Value ofa is 100 and b is 200 Exact value of a is : 100 Exact value of b is : 200 switchStatement A switch statement allows a variable to be tested for equality against a list of values. Each value is called a case, and the variable being switched on is checked for each switch case. Syntax The syntax for a switch statement in C programming language is as follows: switch(expression){ case constant-expression : statement(s); break; /* optional */ case constant-expression : statement(s); break; /* optional */ /* you can have any number of case statements */ default : /* Optional */ statement(s); } The following rules apply to a switch statement:  The expression used in a switch statement must have an integral or enumerated type, or be of a class type in which the class has a single conversion function to an integral or enumerated type.  You can have any number of case statements within a switch. Each case is followed by the value to be compared to and a colon.  The constant-expression for a case must be the same data type as the variable in the switch, and it must be a constant or a literal.  When the variable being switched on is equal to a case, the statements following that case will execute until a break statement is reached.  When a break statement is reached, the switch terminates, and the flow of control jumps to the next line following the switch statement.
  • 63.
    C Programming 54  Notevery case needs to contain a break. If no break appears, the flow of control will fall through to subsequent cases until a break is reached.  A switch statement can have an optional default case, which must appear at the end of the switch. The default case can be used for performing a task when none of the cases is true. No break is needed in the default case. Flow Diagram Example #include <stdio.h> int main () { /* local variable definition */ char grade = 'B'; switch(grade) { case 'A' :
  • 64.
    C Programming 55 printf("Excellent!n" ); break; case'B' : case 'C' : printf("Well donen" ); break; case 'D' : printf("You passedn" ); break; case 'F' : printf("Better try againn" ); break; default : printf("Invalid graden" ); } printf("Your grade is %cn", grade ); return 0; } When the above code is compiled and executed, it produces the following result: Well done Your grade is B NestedswitchStatements It is possible to have a switch as a part of the statement sequence of an outer switch. Even if the case constants of the inner and outer switch contain common values, no conflicts will arise. Syntax The syntax for a nested switch statement is as follows: switch(ch1) { case 'A': printf("This A is part of outer switch" );
  • 65.
    C Programming 56 switch(ch2) { case'A': printf("This A is part of inner switch" ); break; case 'B': /* case code */ } break; case 'B': /* case code */ } Example #include <stdio.h> int main () { /* local variable definition */ int a = 100; int b = 200; switch(a) { case 100: printf("This is part of outer switchn", a ); switch(b) { case 200: printf("This is part of inner switchn", a ); } } printf("Exact value of a is : %dn", a ); printf("Exact value of b is : %dn", b ); return 0; } When the above code is compiled and executed, it produces the following result:
  • 66.
    C Programming 57 This ispart of outer switch This is part of inner switch Exact value of a is : 100 Exact value of b is : 200 The?:Operator: We have covered conditional operator ? : in the previous chapter which can be used to replace if...else statements. It has the following general form: Exp1 ? Exp2 : Exp3; Where Exp1, Exp2, and Exp3 are expressions. Notice the use and placement of the colon. The value of a ? expression is determined like this: 1. Exp1 is evaluated. If it is true, then Exp2 is evaluated and becomes the value of the entire ? expression. 2. If Exp1 is false, then Exp3 is evaluated and its value becomes the value of the expression.
  • 67.
    C Programming 58 You mayencounter situations when a block of code needs to be executed several number of times. In general, statements are executed sequentially: The first statement in a function is executed first, followed by the second, and so on. Programming languages provide various control structures that allow for more complicated execution paths. A loop statement allows us to execute a statement or group of statements multiple times. Given below is the general form of a loop statement in most of the programming languages: C programming language provides the following types of loops to handle looping requirements. Loop Type Description while loop Repeats a statement or group of statements while a given condition is true. It tests the condition before executing the loop body. for loop Executes a sequence of statements multiple times and abbreviates the code that manages the loop variable. 11. LOOPS
  • 68.
    C Programming 59 do...while loopIt is more like a while statement, except that it tests the condition at the end of the loop body. nested loops You can use one or more loops inside any other while, for, or do..while loop. whileLoop A while loop in C programming repeatedly executes a target statement as long as a given condition is true. Syntax The syntax of a while loop in C programming language is: while(condition) { statement(s); } Here, statement(s) may be a single statement or a block of statements. The condition may be any expression, and true is any nonzero value. The loop iterates while the condition is true. When the condition becomes false, the program control passes to the line immediately following the loop. Flow Diagram
  • 69.
    C Programming 60 Here, thekey point to note is that a while loop might not execute at all. When the condition is tested and the result is false, the loop body will be skipped and the first statement after the while loop will be executed. Example #include <stdio.h> int main () { /* local variable definition */ int a = 10; /* while loop execution */ while( a < 20 ) { printf("value of a: %dn", a); a++; }
  • 70.
    C Programming 61 return 0; } Whenthe above code is compiled and executed, it produces the following result: value of a: 10 value of a: 11 value of a: 12 value of a: 13 value of a: 14 value of a: 15 value of a: 16 value of a: 17 value of a: 18 value of a: 19 forLoop A for loop is a repetition control structure that allows you to efficiently write a loop that needs to execute a specific number of times. Syntax The syntax of a for loop in C programming language is: for ( init; condition; increment ) { statement(s); } Here is the flow of control in a ‘for’ loop: 1. The init step is executed first, and only once. This step allows you to declare and initialize any loop control variables. You are not required to put a statement here, as long as a semicolon appears. 2. Next, the condition is evaluated. If it is true, the body of the loop is executed. If it is false, the body of the loop does not execute and the flow of control jumps to the next statement just after the ‘for’ loop. 3. After the body of the ‘for’ loop executes, the flow of control jumps back up to the increment statement. This statement allows you to update any loop control variables. This statement can be left blank, as long as a semicolon appears after the condition.
  • 71.
    C Programming 62 4. Thecondition is now evaluated again. If it is true, the loop executes and the process repeats itself (body of loop, then increment step, and then again condition). After the condition becomes false, the ‘for’ loop terminates. Flow Diagram Example #include <stdio.h> int main () { /* for loop execution */ for( int a = 10; a < 20; a = a + 1 ) { printf("value of a: %dn", a);
  • 72.
    C Programming 63 } return 0; } Whenthe above code is compiled and executed, it produces the following result: value of a: 10 value of a: 11 value of a: 12 value of a: 13 value of a: 14 value of a: 15 value of a: 16 value of a: 17 value of a: 18 value of a: 19 do…whileLoop Unlike for and while loops, which test the loop condition at the top of the loop, the do...while loop in C programming checks its condition at the bottom of the loop. A do...while loop is similar to a while loop, except the fact that it is guaranteed to execute at least one time. Syntax The syntax of a do...while loop in C programming language is: do { statement(s); }while( condition ); Notice that the conditional expression appears at the end of the loop, so the statement(s) in the loop executes once before the condition is tested.
  • 73.
    C Programming 64 If thecondition is true, the flow of control jumps back up to do, and the statement(s) in the loop executes again. This process repeats until the given condition becomes false. Flow Diagram Example #include <stdio.h> int main () { /* local variable definition */ int a = 10; /* do loop execution */ do { printf("value of a: %dn", a); a = a + 1; }while( a < 20 ); return 0;
  • 74.
    C Programming 65 } When theabove code is compiled and executed, it produces the following result: value of a: 10 value of a: 11 value of a: 12 value of a: 13 value of a: 14 value of a: 15 value of a: 16 value of a: 17 value of a: 18 value of a: 19 NestedLoops C programming allows to use one loop inside another loop. The following section shows a few examples to illustrate the concept. Syntax The syntax for a nested for loop statement in C is as follows: for ( init; condition; increment ) { for ( init; condition; increment ) { statement(s); } statement(s); } The syntax for a nested while loop statement in C programming language is as follows: while(condition) { while(condition) {
  • 75.
    C Programming 66 statement(s); } statement(s); } The syntaxfor a nested do...while loop statement in C programming language is as follows: do { statement(s); do { statement(s); }while( condition ); }while( condition ); A final note on loop nesting is that you can put any type of loop inside any other type of loop. For example, a ‘for’ loop can be inside a ‘while’ loop or vice versa. Example The following program uses a nested for loop to find the prime numbers from 2 to 100: #include <stdio.h> int main () { /* local variable definition */ int i, j; for(i=2; i<100; i++) { for(j=2; j <= (i/j); j++) if(!(i%j)) break; // if factor found, not prime if(j > (i/j)) printf("%d is primen", i); }
  • 76.
    C Programming 67 return 0; } Whenthe above code is compiled and executed, it produces the following result: 2 is prime 3 is prime 5 is prime 7 is prime 11 is prime 13 is prime 17 is prime 19 is prime 23 is prime 29 is prime 31 is prime 37 is prime 41 is prime 43 is prime 47 is prime 53 is prime 59 is prime 61 is prime 67 is prime 71 is prime 73 is prime 79 is prime 83 is prime 89 is prime 97 is prime LoopControlStatements Loop control statements change execution from its normal sequence. When execution leaves a scope, all automatic objects that were created in that scope are destroyed.
  • 77.
    C Programming 68 C supportsthe following control statements. Control Statement Description break statement Terminates the loop or switch statement and transfers execution to the statement immediately following the loop or switch. continue statement Causes the loop to skip the remainder of its body and immediately retest its condition prior to reiterating. goto statement Transfers control to the labeled statement. breakStatement The break statement in C programming has the following two usages:  When a break statement is encountered inside a loop, the loop is immediately terminated and the program control resumes at the next statement following the loop.  It can be used to terminate a case in the switch statement (covered in the next chapter). If you are using nested loops, the break statement will stop the execution of the innermost loop and start executing the next line of code after the block. Syntax The syntax for a break statement in C is as follows: break; Flow Diagram
  • 78.
    C Programming 69 Example #include <stdio.h> intmain () { /* local variable definition */ int a = 10; /* while loop execution */ while( a < 20 ) { printf("value of a: %dn", a); a++; if( a > 15) { /* terminate the loop using break statement */ break; } }
  • 79.
    C Programming 70 return 0; } Whenthe above code is compiled and executed, it produces the following result: value of a: 10 value of a: 11 value of a: 12 value of a: 13 value of a: 14 value of a: 15 continueStatement The continue statement in C programming works somewhat like the break statement. Instead of forcing termination, it forces the next iteration of the loop to take place, skipping any code in between. For the for loop, continue statement causes the conditional test and increment portions of the loop to execute. For the while and do...while loops, continue statement causes the program control to pass to the conditional tests. Syntax The syntax for a continue statement in C is as follows: continue; Flow Diagram
  • 80.
    C Programming 71 Example #include <stdio.h> intmain () { /* local variable definition */ int a = 10; /* do loop execution */ do { if( a == 15) { /* skip the iteration */ a = a + 1; continue; } printf("value of a: %dn", a); a++;
  • 81.
    C Programming 72 }while( a< 20 ); return 0; } When the above code is compiled and executed, it produces the following result: value of a: 10 value of a: 11 value of a: 12 value of a: 13 value of a: 14 value of a: 16 value of a: 17 value of a: 18 value of a: 19 gotoStatement A goto statement in C programming provides an unconditional jump from the ‘goto’ to a labeled statement in the same function. NOTE: Use of goto statement is highly discouraged in any programming language because it makes difficult to trace the control flow of a program, making the program hard to understand and hard to modify. Any program that uses a goto can be rewritten to avoid them. Syntax The syntax for a goto statement in C is as follows: goto label; .. . label: statement; Here label can be any plain text except C keyword and it can be set anywhere in the C program above or below to goto statement.
  • 82.
    C Programming 73 Flow Diagram Example #include<stdio.h> int main () { /* local variable definition */ int a = 10; /* do loop execution */ LOOP:do { if( a == 15) { /* skip the iteration */ a = a + 1; goto LOOP; } printf("value of a: %dn", a); a++;
  • 83.
    C Programming 74 }while( a< 20 ); return 0; } When the above code is compiled and executed, it produces the following result: value of a: 10 value of a: 11 value of a: 12 value of a: 13 value of a: 14 value of a: 16 value of a: 17 value of a: 18 value of a: 19 TheInfiniteLoop A loop becomes an infinite loop if a condition never becomes false. The for loop is traditionally used for this purpose. Since none of the three expressions that form the ‘for’ loop are required, you can make an endless loop by leaving the conditional expression empty. #include <stdio.h> int main () { for( ; ; ) { printf("This loop will run forever.n"); } return 0; }
  • 84.
    C Programming 75 When theconditional expression is absent, it is assumed to be true. You may have an initialization and increment expression, but C programmers more commonly use the for(;;) construct to signify an infinite loop. NOTE: You can terminate an infinite loop by pressing Ctrl + C keys.
  • 85.
    C Programming 76 A functionis a group of statements that together perform a task. Every C program has at least one function, which is main(), and all the most trivial programs can define additional functions. You can divide up your code into separate functions. How you divide up your code among different functions is up to you, but logically the division is such that each function performs a specific task. A function declaration tells the compiler about a function's name, return type, and parameters. A function definition provides the actual body of the function. The C standard library provides numerous built-in functions that your program can call. For example, strcat() to concatenate two strings, memcpy() to copy one memory location to another location, and many more functions. A function can also be referred as a method or a sub-routine or a procedure, etc. DefiningaFunction The general form of a function definition in C programming language is as follows: return_type function_name( parameter list ) { body of the function } A function definition in C programming consists of a function header and a function body. Here are all the parts of a function:  Return Type: A function may return a value. The return_type is the data type of the value the function returns. Some functions perform the desired operations without returning a value. In this case, the return_type is the keyword void.  Function Name: This is the actual name of the function. The function name and the parameter list together constitute the function signature.  Parameters: A parameter is like a placeholder. When a function is invoked, you pass a value to the parameter. This value is referred to as actual parameter or argument. The parameter list refers to the type, order, and number of the parameters of a function. Parameters are optional; that is, a function may contain no parameters. 12. FUNCTIONS
  • 86.
    C Programming 77  FunctionBody: The function body contains a collection of statements that define what the function does. Example Given below is the source code for a function called max(). This function takes two parameters num1 and num2 and returns the maximum value between the two: /* function returning the max between two numbers */ int max(int num1, int num2) { /* local variable declaration */ int result; if (num1 > num2) result = num1; else result = num2; return result; } FunctionDeclarations A function declaration tells the compiler about a function name and how to call the function. The actual body of the function can be defined separately. A function declaration has the following parts: return_type function_name( parameter list ); For the above defined function max(),the function declaration is as follows: int max(int num1, int num2); Parameter names are not important in function declaration, only their type is required, so the following is also a valid declaration: int max(int, int); Function declaration is required when you define a function in one source file and you call that function in another file. In such case, you should declare the function at the top of the file calling the function.
  • 87.
    C Programming 78 CallingaFunction While creatinga C function, you give a definition of what the function has to do. To use a function, you will have to call that function to perform the defined task. When a program calls a function, the program control is transferred to the called function. A called function performs a defined task and when its return statement is executed or when its function-ending closing brace is reached, it returns the program control back to the main program. To call a function, you simply need to pass the required parameters along with the function name, and if the function returns a value, then you can store the returned value. For example: #include <stdio.h> /* function declaration */ int max(int num1, int num2); int main () { /* local variable definition */ int a = 100; int b = 200; int ret; /* calling a function to get max value */ ret = max(a, b); printf( "Max value is : %dn", ret ); return 0; } /* function returning the max between two numbers */ int max(int num1, int num2) { /* local variable declaration */ int result;
  • 88.
    C Programming 79 if (num1> num2) result = num1; else result = num2; return result; } We have kept max()along with main() and compiled the source code. While running the final executable, it would produce the following result: Max value is : 200 FunctionArguments If a function is to use arguments, it must declare variables that accept the values of the arguments. These variables are called the formal parameters of the function. Formal parameters behave like other local variables inside the function and are created upon entry into the function and destroyed upon exit. While calling a function, there are two ways in which arguments can be passed to a function: Call Type Description Call by value This method copies the actual value of an argument into the formal parameter of the function. In this case, changes made to the parameter inside the function have no effect on the argument. Call by reference This method copies the address of an argument into the formal parameter. Inside the function, the address is used to access the actual argument used in the call. This means that changes made to the parameter affect the argument.
  • 89.
    C Programming 80 CallbyValue The callby value method of passing arguments to a function copies the actual value of an argument into the formal parameter of the function. In this case, changes made to the parameter inside the function have no effect on the argument. By default, C programming uses call by value to pass arguments. In general, it means the code within a function cannot alter the arguments used to call the function. Consider the function swap() definition as follows. /* function definition to swap the values */ void swap(int x, int y) { int temp; temp = x; /* save the value of x */ x = y; /* put y into x */ y = temp; /* put temp into y */ return; } Now, let us call the function swap() by passing actual values as in the following example: #include <stdio.h> /* function declaration */ void swap(int x, int y); int main () { /* local variable definition */ int a = 100; int b = 200; printf("Before swap, value of a : %dn", a ); printf("Before swap, value of b : %dn", b );
  • 90.
    C Programming 81 /* callinga function to swap the values */ swap(a, b); printf("After swap, value of a : %dn", a ); printf("After swap, value of b : %dn", b ); return 0; } Let us put the above code in a single C file, compile and execute it, it will produce the following result: Before swap, value of a :100 Before swap, value of b :200 After swap, value of a :100 After swap, value of b :200 It shows that there are no changes in the values, though they had been changed inside the function. CallbyReference The call by reference method of passing arguments to a function copies the address of an argument into the formal parameter. Inside the function, the address is used to access the actual argument used in the call. It means the changes made to the parameter affect the passed argument. To pass a value by reference, argument pointers are passed to the functions just like any other value. So accordingly, you need to declare the function parameters as pointer types as in the following function swap(), which exchanges the values of the two integer variables pointed to, by their arguments. /* function definition to swap the values */ void swap(int *x, int *y) { int temp; temp = *x; /* save the value at address x */ *x = *y; /* put y into x */
  • 91.
    C Programming 82 *y =temp; /* put temp into y */ return; } Let us now call the function swap() by passing values by reference as in the following example: #include <stdio.h> /* function declaration */ void swap(int *x, int *y); int main () { /* local variable definition */ int a = 100; int b = 200; printf("Before swap, value of a : %dn", a ); printf("Before swap, value of b : %dn", b ); /* calling a function to swap the values. * &a indicates pointer to a i.e. address of variable a and * &b indicates pointer to b i.e. address of variable b. */ swap(&a, &b); printf("After swap, value of a : %dn", a ); printf("After swap, value of b : %dn", b ); return 0; } Let us put the above code in a single C file, compile and execute it, to produce the following result:
  • 92.
    C Programming 83 Before swap,value of a :100 Before swap, value of b :200 After swap, value of a :200 After swap, value of b :100 It shows that the change has reflected outside the function as well, unlike call by value where the changes do not reflect outside the function. By default, C uses call by value to pass arguments. In general, it means the code within a function cannot alter the arguments used to call the function.
  • 93.
    C Programming 84 A scopein any programming is a region of the program where a defined variable can have its existence and beyond that variable it cannot be accessed. There are three places where variables can be declared in C programming language:  Inside a function or a block which is called local variables,  Outside of all functions which is called global variables.  In the definition of function parameters which are called formal parameters. Let us understand what are local and global variables, and formal parameters. LocalVariables Variables that are declared inside a function or block are called local variables. They can be used only by statements that are inside that function or block of code. Local variables are not known to functions outside their own. The following example shows how local variables are used. Here all the variables a, b, and c are local to main() function. #include <stdio.h> int main () { /* local variable declaration */ int a, b; int c; /* actual initialization */ a = 10; b = 20; c = a + b; printf ("value of a = %d, b = %d and c = %dn", a, b, c); return 0; 13. SCOPE RULES
  • 94.
    C Programming 85 } GlobalVariables Global variablesare defined outside a function, usually on top of the program. Global variables hold their values throughout the lifetime of your program and they can be accessed inside any of the functions defined for the program. A global variable can be accessed by any function. That is, a global variable is available for use throughout your entire program after its declaration. The following program shows how global variables are used in a program. #include <stdio.h> /* global variable declaration */ int g; int main () { /* local variable declaration */ int a, b; /* actual initialization */ a = 10; b = 20; g = a + b; printf ("value of a = %d, b = %d and g = %dn", a, b, g); return 0; } A program can have same name for local and global variables but the value of local variable inside a function will take preference. Here is an example: #include <stdio.h> /* global variable declaration */
  • 95.
    C Programming 86 int g= 20; int main () { /* local variable declaration */ int g = 10; printf ("value of g = %dn", g); return 0; } When the above code is compiled and executed, it produces the following result: value of g = 10 FormalParameters Formal parameters are treated as local variables with-in a function and they take precedence over global variables. Following is an example: #include <stdio.h> /* global variable declaration */ int a = 20; int main () { /* local variable declaration in main function */ int a = 10; int b = 20; int c = 0; printf ("value of a in main() = %dn", a); c = sum( a, b); printf ("value of c in main() = %dn", c);
  • 96.
    C Programming 87 return 0; } /*function to add two integers */ int sum(int a, int b) { printf ("value of a in sum() = %dn", a); printf ("value of b in sum() = %dn", b); return a + b; } When the above code is compiled and executed, it produces the following result: value of a in main() = 10 value of a in sum() = 10 value of b in sum() = 20 value of c in main() = 30 InitializingLocalandGlobalVariables When a local variable is defined, it is not initialized by the system, you must initialize it yourself. Global variables are initialized automatically by the system when you define them, as follows: Data Type Initial Default Value int 0 char '0' float 0 double 0
  • 97.
    C Programming 88 pointer NULL Itis a good programming practice to initialize variables properly, otherwise your program may produce unexpected results, because uninitialized variables will take some garbage value already available at their memory location.
  • 98.
    C Programming 89 Arrays akind of data structure that can store a fixed-size sequential collection of elements of the same type. An array is used to store a collection of data, but it is often more useful to think of an array as a collection of variables of the same type. Instead of declaring individual variables, such as number0, number1, ..., and number99, you declare one array variable such as numbers and use numbers[0], numbers[1], and ..., numbers[99] to represent individual variables. A specific element in an array is accessed by an index. All arrays consist of contiguous memory locations. The lowest address corresponds to the first element and the highest address to the last element. DeclaringArrays To declare an array in C, a programmer specifies the type of the elements and the number of elements required by an array as follows: type arrayName [ arraySize ]; This is called a single-dimensional array. The arraySize must be an integer constant greater than zero and type can be any valid C data type. For example, to declare a 10-element array called balance of type double, use this statement: double balance[10]; Here, balance is a variable array which is sufficient to hold up to 10 double numbers. InitializingArrays You can initialize an array in C either one by one or using a single statement as follows: double balance[5] = {1000.0, 2.0, 3.4, 7.0, 50.0}; 14. ARRAYS
  • 99.
    C Programming 90 The numberof values between braces { } cannot be larger than the number of elements that we declare for the array between square brackets [ ]. If you omit the size of the array, an array just big enough to hold the initialization is created. Therefore, if you write: double balance[] = {1000.0, 2.0, 3.4, 7.0, 50.0}; You will create exactly the same array as you did in the previous example. Following is an example to assign a single element of the array: balance[4] = 50.0; The above statement assigns the 5th element in the array with a value of 50.0. All arrays have 0 as the index of their first element which is also called the base index and the last index of an array will be total size of the array minus 1. Shown below is the pictorial representation of the array we discussed above: AccessingArrayElements An element is accessed by indexing the array name. This is done by placing the index of the element within square brackets after the name of the array. For example: double salary = balance[9]; The above statement will take the 10th element from the array and assign the value to salary variable. The following example shows how to use all the three above-mentioned concepts viz. declaration, assignment, and accessing arrays: #include <stdio.h> int main () { int n[ 10 ]; /* n is an array of 10 integers */ int i,j; /* initialize elements of array n to 0 */ for ( i = 0; i < 10; i++ ) {
  • 100.
    C Programming 91 n[ i] = i + 100; /* set element at location i to i + 100 */ } /* output each array element's value */ for (j = 0; j < 10; j++ ) { printf("Element[%d] = %dn", j, n[j] ); } return 0; } When the above code is compiled and executed, it produces the following result: Element[0] = 100 Element[1] = 101 Element[2] = 102 Element[3] = 103 Element[4] = 104 Element[5] = 105 Element[6] = 106 Element[7] = 107 Element[8] = 108 Element[9] = 109 ArraysinDetail Arrays are important to C and should need a lot more attention. The following important concepts related to array should be clear to a C programmer: Concept Description Multidimensional arrays C supports multidimensional arrays. The simplest form of the multidimensional array is the two-dimensional array. Passing arrays to functions You can pass to the function a pointer to an
  • 101.
    C Programming 92 array byspecifying the array's name without an index. Return array from a function C allows a function to return an array. Pointer to an array You can generate a pointer to the first element of an array by simply specifying the array name, without any index. MultidimensionalArrays C programming language allows multidimensional arrays. Here is the general form of a multidimensional array declaration: type name[size1][size2]...[sizeN]; For example, the following declaration creates a three-dimensional integer array: int threedim[5][10][4]; Two-dimensionalArrays The simplest form of multidimensional array is the two-dimensional array. A two-dimensional array is, in essence, a list of one-dimensional arrays. To declare a two-dimensional integer array of size [x][y], you would write something as follows: type arrayName [ x ][ y ]; Where type can be any valid C data type and arrayName will be a valid C identifier. A two-dimensional array can be considered as a table which will have x number of rows and y number of columns. A two-dimensional array a, which contains three rows and four columns can be shown as follows: Thus, every element in the array a is identified by an element name of the form a[ i ][ j ], where ‘a’ is the name of the array, and ‘i' and ‘j’ are the subscripts that uniquely identify each element in ‘a’.
  • 102.
    C Programming 93 InitializingTwo-DimensionalArrays Multidimensional arraysmay be initialized by specifying bracketed values for each row. Following is an array with 3 rows and each row has 4 columns. int a[3][4] = { {0, 1, 2, 3} , /* initializers for row indexed by 0 */ {4, 5, 6, 7} , /* initializers for row indexed by 1 */ {8, 9, 10, 11} /* initializers for row indexed by 2 */ }; The nested braces, which indicate the intended row, are optional. The following initialization is equivalent to the previous example: int a[3][4] = {0,1,2,3,4,5,6,7,8,9,10,11}; AccessingTwo-DimensionalArrayElements An element in a two-dimensional array is accessed by using the subscripts, i.e., row index and column index of the array. For example: int val = a[2][3]; The above statement will take the 4th element from the 3rd row of the array. You can verify it in the above figure. Let us check the following program where we have used a nested loop to handle a two-dimensional array: #include <stdio.h> int main () { /* an array with 5 rows and 2 columns*/ int a[5][2] = { {0,0}, {1,2}, {2,4}, {3,6},{4,8}}; int i, j; /* output each array element's value */ for ( i = 0; i < 5; i++ ) { for ( j = 0; j < 2; j++ ) { printf("a[%d][%d] = %dn", i,j, a[i][j] );
  • 103.
    C Programming 94 } } return 0; } Whenthe above code is compiled and executed, it produces the following result: a[0][0]: 0 a[0][1]: 0 a[1][0]: 1 a[1][1]: 2 a[2][0]: 2 a[2][1]: 4 a[3][0]: 3 a[3][1]: 6 a[4][0]: 4 a[4][1]: 8 As explained above, you can have arrays with any number of dimensions, although it is likely that most of the arrays you create will be of one or two dimensions. PassingArraystoFunctions If you want to pass a single-dimension array as an argument in a function, you would have to declare a formal parameter in one of following three ways and all three declaration methods produce similar results because each tells the compiler that an integer pointer is going to be received. Similarly, you can pass multi-dimensional arrays as formal parameters. Way-1 Formal parameters as a pointer: void myFunction(int *param) { . . . }
  • 104.
    C Programming 95 Way-2 Formal parametersas a sized array: void myFunction(int param[10]) { . . . } Way-3 Formal parameters as an unsized array: void myFunction(int param[]) { . . . } Example Now, consider the following function, which takes an array as an argument along with another argument and based on the passed arguments, it returns the average of the numbers passed through the array as follows: double getAverage(int arr[], int size) { int i; double avg; double sum; for (i = 0; i < size; ++i) { sum += arr[i]; }
  • 105.
    C Programming 96 avg =sum / size; return avg; } Now, let us call the above function as follows: #include <stdio.h> /* function declaration */ double getAverage(int arr[], int size); int main () { /* an int array with 5 elements */ int balance[5] = {1000, 2, 3, 17, 50}; double avg; /* pass pointer to the array as an argument */ avg = getAverage( balance, 5 ) ; /* output the returned value */ printf( "Average value is: %f ", avg ); return 0; } When the above code is compiled together and executed, it produces the following result: Average value is: 214.400000 As you can see, the length of the array doesn't matter as far as the function is concerned because C performs no bounds checking for formal parameters. ReturnArrayfromaFunction C programming does not allow to return an entire array as an argument to a function. However, you can return a pointer to an array by specifying the array's name without an index.
  • 106.
    C Programming 97 If youwant to return a single-dimension array from a function, you would have to declare a function returning a pointer as in the following example: int * myFunction() { . . . } Second point to remember is that C does not advocate to return the address of a local variable to outside of the function, so you would have to define the local variable as static variable. Now, consider the following function which will generate 10 random numbers and return them using an array and call this function as follows: #include <stdio.h> /* function to generate and return random numbers */ int * getRandom( ) { static int r[10]; int i; /* set the seed */ srand( (unsigned)time( NULL ) ); for ( i = 0; i < 10; ++i) { r[i] = rand(); printf( "r[%d] = %dn", i, r[i]); } return r; } /* main function to call above defined function */
  • 107.
    C Programming 98 int main() { /* a pointer to an int */ int *p; int i; p = getRandom(); for ( i = 0; i < 10; i++ ) { printf( "*(p + %d) : %dn", i, *(p + i)); } return 0; } When the above code is compiled together and executed, it produces the following result: r[0] = 313959809 r[1] = 1759055877 r[2] = 1113101911 r[3] = 2133832223 r[4] = 2073354073 r[5] = 167288147 r[6] = 1827471542 r[7] = 834791014 r[8] = 1901409888 r[9] = 1990469526 *(p + 0) : 313959809 *(p + 1) : 1759055877 *(p + 2) : 1113101911 *(p + 3) : 2133832223 *(p + 4) : 2073354073 *(p + 5) : 167288147 *(p + 6) : 1827471542
  • 108.
    C Programming 99 *(p +7) : 834791014 *(p + 8) : 1901409888 *(p + 9) : 1990469526 PointertoanArray It is most likely that you would not understand this section until you are through with the chapter ‘Pointers’. Assuming you have some understanding of pointers in C, let us start: An array name is a constant pointer to the first element of the array. Therefore, in the declaration: double balance[50]; balance is a pointer to &balance[0], which is the address of the first element of the array balance. Thus, the following program fragment assigns p as the address of the first element of balance: double *p; double balance[10]; p = balance; It is legal to use array names as constant pointers, and vice versa. Therefore, *(balance + 4) is a legitimate way of accessing the data at balance[4]. Once you store the address of the first element in ‘p’, you can access the array elements using *p, *(p+1), *(p+2), and so on. Given below is the example to show all the concepts discussed above: #include <stdio.h> int main () { /* an array with 5 elements */ double balance[5] = {1000.0, 2.0, 3.4, 17.0, 50.0}; double *p; int i; p = balance;
  • 109.
    C Programming 100 /* outputeach array element's value */ printf( "Array values using pointern"); for ( i = 0; i < 5; i++ ) { printf("*(p + %d) : %fn", i, *(p + i) ); } printf( "Array values using balance as addressn"); for ( i = 0; i < 5; i++ ) { printf("*(balance + %d) : %fn", i, *(balance + i) ); } return 0; } When the above code is compiled and executed, it produces the following result: Array values using pointer *(p + 0) : 1000.000000 *(p + 1) : 2.000000 *(p + 2) : 3.400000 *(p + 3) : 17.000000 *(p + 4) : 50.000000 Array values using balance as address *(balance + 0) : 1000.000000 *(balance + 1) : 2.000000 *(balance + 2) : 3.400000 *(balance + 3) : 17.000000 *(balance + 4) : 50.000000 In the above example, p is a pointer to double, which means it can store the address of a variable of double type. Once we have the address in p, *p will give us the value available at the address stored in p, as we have shown in the above example.
  • 110.
    C Programming 101 Pointers inC are easy and fun to learn. Some C programming tasks are performed more easily with pointers, and other tasks, such as dynamic memory allocation, cannot be performed without using pointers. So it becomes necessary to learn pointers to become a perfect C programmer. Let's start learning them in simple and easy steps. As you know, every variable is a memory location and every memory location has its address defined which can be accessed using ampersand (&) operator, which denotes an address in memory. Consider the following example, which prints the address of the variables defined: #include <stdio.h> int main () { int var1; char var2[10]; printf("Address of var1 variable: %xn", &var1 ); printf("Address of var2 variable: %xn", &var2 ); return 0; } When the above code is compiled and executed, it produces the following result: Address of var1 variable: bff5a400 Address of var2 variable: bff5a3f6 WhatarePointers? A pointer is a variable whose value is the address of another variable, i.e., direct address of the memory location. Like any variable or constant, you must declare a pointer before using it to store any variable address. The general form of a pointer variable declaration is: 15. POINTERS
  • 111.
    C Programming 102 type *var-name; Here,type is the pointer's base type; it must be a valid C data type and var- name is the name of the pointer variable. The asterisk * used to declare a pointer is the same asterisk used for multiplication. However, in this statement, the asterisk is being used to designate a variable as a pointer. Take a look at some of the valid pointer declarations: int *ip; /* pointer to an integer */ double *dp; /* pointer to a double */ float *fp; /* pointer to a float */ char *ch /* pointer to a character */ The actual data type of the value of all pointers, whether integer, float, character, or otherwise, is the same, a long hexadecimal number that represents a memory address. The only difference between pointers of different data types is the data type of the variable or constant that the pointer points to. How toUsePointers? There are a few important operations, which we will do with the help of pointers very frequently. (a) We define a pointer variable, (b) assign the address of a variable to a pointer, and (c) finally access the value at the address available in the pointer variable. This is done by using unary operator * that returns the value of the variable located at the address specified by its operand. The following example makes use of these operations: #include <stdio.h> int main () { int var = 20; /* actual variable declaration */ int *ip; /* pointer variable declaration */ ip = &var; /* store address of var in pointer variable*/ printf("Address of var variable: %xn", &var ); /* address stored in pointer variable */ printf("Address stored in ip variable: %xn", ip );
  • 112.
    C Programming 103 /* accessthe value using the pointer */ printf("Value of *ip variable: %dn", *ip ); return 0; } When the above code is compiled and executed, it produces the following result: Address of var variable: bffd8b3c Address stored in ip variable: bffd8b3c Value of *ip variable: 20 NULLPointers It is always a good practice to assign a NULL value to a pointer variable in case you do not have an exact address to be assigned. This is done at the time of variable declaration. A pointer that is assigned NULL is called a null pointer. The NULL pointer is a constant with a value of zero defined in several standard libraries. Consider the following program: #include <stdio.h> int main () { int *ptr = NULL; printf("The value of ptr is : %xn", ptr ); return 0; } When the above code is compiled and executed, it produces the following result: The value of ptr is 0 In most of the operating systems, programs are not permitted to access memory at address 0 because that memory is reserved by the operating system. However, the memory address 0 has special significance; it signals that the pointer is not intended to point to an accessible memory location. But by
  • 113.
    C Programming 104 convention, ifa pointer contains the null (zero) value, it is assumed to point to nothing. To check for a null pointer, you can use an ‘if’ statement as follows: if(ptr) /* succeeds if p is not null */ if(!ptr) /* succeeds if p is null */ PointersinDetail Pointers have many but easy concepts and they are very important to C programming. The following important pointer concepts should be clear to any C programmer: Concept Description Pointer arithmetic There are four arithmetic operators that can be used in pointers: ++, --, +, - Array of pointers You can define arrays to hold a number of pointers. Pointer to pointer C allows you to have pointer on a pointer and so on. Passing pointers to functions in C Passing an argument by reference or by address enable the passed argument to be changed in the calling function by the called function. Return pointer from functions in C C allows a function to return a pointer to the local variable, static variable, and dynamically allocated memory as well. PointerArithmetic A pointer in C is an address, which is a numeric value. Therefore, you can perform arithmetic operations on a pointer just as you can on a numeric value. There are four arithmetic operators that can be used on pointers: ++, --, +, and -
  • 114.
    C Programming 105 To understandpointer arithmetic, let us consider that ptr is an integer pointer which points to the address 1000. Assuming 32-bit integers, let us perform the following arithmetic operation on the pointer: ptr++ After the above operation, the ptr will point to the location 1004 because each time ptr is incremented, it will point to the next integer location which is 4 bytes next to the current location. This operation will move the pointer to the next memory location without impacting the actual value at the memory location. If ptr points to a character whose address is 1000, then the above operation will point to the location 1001 because the next character will be available at 1001. IncrementingaPointer We prefer using a pointer in our program instead of an array because the variable pointer can be incremented, unlike the array name which cannot be incremented because it is a constant pointer. The following program increments the variable pointer to access each succeeding element of the array: #include <stdio.h> const int MAX = 3; int main () { int var[] = {10, 100, 200}; int i, *ptr; /* let us have array address in pointer */ ptr = var; for ( i = 0; i < MAX; i++) { printf("Address of var[%d] = %xn", i, ptr ); printf("Value of var[%d] = %dn", i, *ptr ); /* move to the next location */ ptr++; }
  • 115.
    C Programming 106 return 0; } Whenthe above code is compiled and executed, it produces the following result: Address of var[0] = bf882b30 Value of var[0] = 10 Address of var[1] = bf882b34 Value of var[1] = 100 Address of var[2] = bf882b38 Value of var[2] = 200 DecrementingaPointer The same considerations apply to decrementing a pointer, which decreases its value by the number of bytes of its data type as shown below: #include <stdio.h> const int MAX = 3; int main () { int var[] = {10, 100, 200}; int i, *ptr; /* let us have array address in pointer */ ptr = &var[MAX-1]; for ( i = MAX; i > 0; i--) { printf("Address of var[%d] = %xn", i, ptr ); printf("Value of var[%d] = %dn", i, *ptr ); /* move to the previous location */ ptr--;
  • 116.
    C Programming 107 } return 0; } Whenthe above code is compiled and executed, it produces the following result: Address of var[3] = bfedbcd8 Value of var[3] = 200 Address of var[2] = bfedbcd4 Value of var[2] = 100 Address of var[1] = bfedbcd0 Value of var[1] = 10 PointerComparisons Pointers may be compared by using relational operators, such as ==, <, and >. If p1 and p2 point to variables that are related to each other, such as elements of the same array, then p1 and p2 can be meaningfully compared. The following program modifies the previous example - one by incrementing the variable pointer so long as the address to which it points is either less than or equal to the address of the last element of the array, which is &var[MAX - 1]: #include <stdio.h> const int MAX = 3; int main () { int var[] = {10, 100, 200}; int i, *ptr; /* let us have address of the first element in pointer */ ptr = var; i = 0; while ( ptr <= &var[MAX - 1] ) {
  • 117.
    C Programming 108 printf("Address ofvar[%d] = %xn", i, ptr ); printf("Value of var[%d] = %dn", i, *ptr ); /* point to the previous location */ ptr++; i++; } return 0; } When the above code is compiled and executed, it produces the following result: Address of var[0] = bfdbcb20 Value of var[0] = 10 Address of var[1] = bfdbcb24 Value of var[1] = 100 Address of var[2] = bfdbcb28 Value of var[2] = 200 ArrayofPointers Before we understand the concept of arrays of pointers, let us consider the following example, which uses an array of 3 integers: #include <stdio.h> const int MAX = 3; int main () { int var[] = {10, 100, 200}; int i; for (i = 0; i < MAX; i++) { printf("Value of var[%d] = %dn", i, var[i] );
  • 118.
    C Programming 109 } return 0; } Whenthe above code is compiled and executed, it produces the following result: Value of var[0] = 10 Value of var[1] = 100 Value of var[2] = 200 There may be a situation when we want to maintain an array, which can store pointers to an int or char or any other data type available. Following is the declaration of an array of pointers to an integer: int *ptr[MAX]; It declares ptr as an array of MAX integer pointers. Thus, each element in ptr holds a pointer to an int value. The following example uses three integers, which are stored in an array of pointers, as follows: #include <stdio.h> const int MAX = 3; int main () { int var[] = {10, 100, 200}; int i, *ptr[MAX]; for ( i = 0; i < MAX; i++) { ptr[i] = &var[i]; /* assign the address of integer. */ } for ( i = 0; i < MAX; i++) { printf("Value of var[%d] = %dn", i, *ptr[i] ); } return 0;
  • 119.
    C Programming 110 } When theabove code is compiled and executed, it produces the following result: Value of var[0] = 10 Value of var[1] = 100 Value of var[2] = 200 You can also use an array of pointers to character to store a list of strings as follows: #include <stdio.h> const int MAX = 4; int main () { char *names[] = { "Zara Ali", "Hina Ali", "Nuha Ali", "Sara Ali", }; int i = 0; for ( i = 0; i < MAX; i++) { printf("Value of names[%d] = %sn", i, names[i] ); } return 0; } When the above code is compiled and executed, it produces the following result: Value of names[0] = Zara Ali Value of names[1] = Hina Ali Value of names[2] = Nuha Ali Value of names[3] = Sara Ali
  • 120.
    C Programming 111 PointertoPointer A pointerto a pointer is a form of multiple indirection, or a chain of pointers. Normally, a pointer contains the address of a variable. When we define a pointer to a pointer, the first pointer contains the address of the second pointer, which points to the location that contains the actual value as shown below. A variable that is a pointer to a pointer must be declared as such. This is done by placing an additional asterisk in front of its name. For example, the following declaration declares a pointer to a pointer of type int: int **var; When a target value is indirectly pointed to by a pointer to a pointer, accessing that value requires that the asterisk operator be applied twice, as is shown below in the example: #include <stdio.h> int main () { int var; int *ptr; int **pptr; var = 3000; /* take the address of var */ ptr = &var; /* take the address of ptr using address of operator & */ pptr = &ptr; /* take the value using pptr */ printf("Value of var = %dn", var ); printf("Value available at *ptr = %dn", *ptr ); printf("Value available at **pptr = %dn", **pptr);
  • 121.
    C Programming 112 return 0; } Whenthe above code is compiled and executed, it produces the following result: Value of var = 3000 Value available at *ptr = 3000 Value available at **pptr = 3000 PassingPointerstoFunctions C programming allows passing a pointer to a function. To do so, simply declare the function parameter as a pointer type. Following is a simple example where we pass an unsigned long pointer to a function and change the value inside the function which reflects back in the calling function: #include <stdio.h> #include <time.h> void getSeconds(unsigned long *par); int main () { unsigned long sec; getSeconds( &sec ); /* print the actual value */ printf("Number of seconds: %ldn", sec ); return 0; } void getSeconds(unsigned long *par)
  • 122.
    C Programming 113 { /* getthe current number of seconds */ *par = time( NULL ); return; } When the above code is compiled and executed, it produces the following result: Number of seconds :1294450468 The function, which can accept a pointer, can also accept an array as shown in the following example: #include <stdio.h> /* function declaration */ double getAverage(int *arr, int size); int main () { /* an int array with 5 elements */ int balance[5] = {1000, 2, 3, 17, 50}; double avg; /* pass pointer to the array as an argument */ avg = getAverage( balance, 5 ) ; /* output the returned value */ printf("Average value is: %fn", avg ); return 0; } double getAverage(int *arr, int size) { int i, sum = 0; double avg;
  • 123.
    C Programming 114 for (i= 0; i < size; ++i) { sum += arr[i]; } avg = (double)sum / size; return avg; } When the above code is compiled together and executed, it produces the following result: Average value is: 214.40000 ReturnPointerfromFunctions We have seen in the last chapter how C programming allows to return an array from a function. Similarly, C also allows to return a pointer from a function. To do so, you would have to declare a function returning a pointer as in the following example: int * myFunction() { . . . } Second point to remember is that, it is not a good idea to return the address of a local variable outside the function, so you would have to define the local variable as static variable. Now, consider the following function which will generate 10 random numbers and return them using an array name which represents a pointer, i.e., address of first array element. #include <stdio.h> #include <time.h>
  • 124.
    C Programming 115 /* functionto generate and retrun random numbers. */ int * getRandom( ) { static int r[10]; int i; /* set the seed */ srand( (unsigned)time( NULL ) ); for ( i = 0; i < 10; ++i) { r[i] = rand(); printf("%dn", r[i] ); } return r; } /* main function to call above defined function */ int main () { /* a pointer to an int */ int *p; int i; p = getRandom(); for ( i = 0; i < 10; i++ ) { printf("*(p + [%d]) : %dn", i, *(p + i) ); } return 0; } When the above code is compiled together and executed, it produces the following result:
  • 125.
    C Programming 116 1523198053 1187214107 1108300978 430494959 1421301276 930971084 123250484 106932140 1604461820 149169022 *(p +[0]) : 1523198053 *(p + [1]) : 1187214107 *(p + [2]) : 1108300978 *(p + [3]) : 430494959 *(p + [4]) : 1421301276 *(p + [5]) : 930971084 *(p + [6]) : 123250484 *(p + [7]) : 106932140 *(p + [8]) : 1604461820 *(p + [9]) : 149169022
  • 126.
    C Programming 117 Strings areactually one-dimensional array of characters terminated by a null character '0'. Thus a null-terminated string contains the characters that comprise the string followed by a null. The following declaration and initialization create a string consisting of the word "Hello". To hold the null character at the end of the array, the size of the character array containing the string is one more than the number of characters in the word "Hello." char greeting[6] = {'H', 'e', 'l', 'l', 'o', '0'}; If you follow the rule of array initialization, then you can write the above statement as follows: char greeting[] = "Hello"; Following is the memory presentation of the above defined string in C/C++: Actually, you do not place the null character at the end of a string constant. The C compiler automatically places the '0' at the end of the string when it initializes the array. Let us try to print the above mentioned string: #include <stdio.h> int main () { char greeting[6] = {'H', 'e', 'l', 'l', 'o', '0'}; printf("Greeting message: %sn", greeting ); 16. STRINGS
  • 127.
    C Programming 118 return 0; } Whenthe above code is compiled and executed, it produces the following result: Greeting message: Hello C supports a wide range of functions that manipulate null-terminated strings: S.N. Function & Purpose 1 strcpy(s1, s2); Copies string s2 into string s1. 2 strcat(s1, s2); Concatenates string s2 onto the end of string s1. 3 strlen(s1); Returns the length of string s1. 4 strcmp(s1, s2); Returns 0 if s1 and s2 are the same; less than 0 if s1<s2; greater than 0 if s1>s2. 5 strchr(s1, ch); Returns a pointer to the first occurrence of character ch in string s1. 6 strstr(s1, s2); Returns a pointer to the first occurrence of string s2 in string s1. The following example uses some of the above-mentioned functions: #include <stdio.h> #include <string.h>
  • 128.
    C Programming 119 int main() { char str1[12] = "Hello"; char str2[12] = "World"; char str3[12]; int len ; /* copy str1 into str3 */ strcpy(str3, str1); printf("strcpy( str3, str1) : %sn", str3 ); /* concatenates str1 and str2 */ strcat( str1, str2); printf("strcat( str1, str2): %sn", str1 ); /* total lenghth of str1 after concatenation */ len = strlen(str1); printf("strlen(str1) : %dn", len ); return 0; } When the above code is compiled and executed, it produces the following result: strcpy( str3, str1) : Hello strcat( str1, str2): HelloWorld strlen(str1) : 10
  • 129.
    C Programming 120 Arrays allowto define type of variables that can hold several data items of the same kind. Similarly, structure is another user-defined data type available in C that allows to combine data items of different kinds. Structures are used to represent a record. Suppose you want to keep track of your books in a library. You might want to track the following attributes about each book:  Title  Author  Subject  Book ID DefiningaStructure To define a structure, you must use the struct statement. The struct statement defines a new data type, with more than one member. The format of the struct statement is as follows: struct [structure tag] { member definition; member definition; ... member definition; } [one or more structure variables]; The structure tag is optional and each member definition is a normal variable definition, such as int i; or float f; or any other valid variable definition. At the end of the structure's definition, before the final semicolon, you can specify one or more structure variables but it is optional. Here is the way you would declare the Book structure: struct Books { char title[50]; char author[50]; 17. STRUCTURES
  • 130.
    C Programming 121 char subject[100]; intbook_id; } book; AccessingStructureMembers To access any member of a structure, we use the member access operator (.). The member access operator is coded as a period between the structure variable name and the structure member that we wish to access. You would use the keyword struct to define variables of structure type. The following example shows how to use a structure in a program: #include <stdio.h> #include <string.h> struct Books { char title[50]; char author[50]; char subject[100]; int book_id; }; int main( ) { struct Books Book1; /* Declare Book1 of type Book */ struct Books Book2; /* Declare Book2 of type Book */ /* book 1 specification */ strcpy( Book1.title, "C Programming"); strcpy( Book1.author, "Nuha Ali"); strcpy( Book1.subject, "C Programming Tutorial"); Book1.book_id = 6495407; /* book 2 specification */ strcpy( Book2.title, "Telecom Billing");
  • 131.
    C Programming 122 strcpy( Book2.author,"Zara Ali"); strcpy( Book2.subject, "Telecom Billing Tutorial"); Book2.book_id = 6495700; /* print Book1 info */ printf( "Book 1 title : %sn", Book1.title); printf( "Book 1 author : %sn", Book1.author); printf( "Book 1 subject : %sn", Book1.subject); printf( "Book 1 book_id : %dn", Book1.book_id); /* print Book2 info */ printf( "Book 2 title : %sn", Book2.title); printf( "Book 2 author : %sn", Book2.author); printf( "Book 2 subject : %sn", Book2.subject); printf( "Book 2 book_id : %dn", Book2.book_id); return 0; } When the above code is compiled and executed, it produces the following result: Book 1 title : C Programming Book 1 author : Nuha Ali Book 1 subject : C Programming Tutorial Book 1 book_id : 6495407 Book 2 title : Telecom Billing Book 2 author : Zara Ali Book 2 subject : Telecom Billing Tutorial Book 2 book_id : 6495700 StructuresasFunctionArguments You can pass a structure as a function argument in the same way as you pass any other variable or pointer. #include <stdio.h>
  • 132.
    C Programming 123 #include <string.h> structBooks { char title[50]; char author[50]; char subject[100]; int book_id; }; /* function declaration */ void printBook( struct Books book ); int main( ) { struct Books Book1; /* Declare Book1 of type Book */ struct Books Book2; /* Declare Book2 of type Book */ /* book 1 specification */ strcpy( Book1.title, "C Programming"); strcpy( Book1.author, "Nuha Ali"); strcpy( Book1.subject, "C Programming Tutorial"); Book1.book_id = 6495407; /* book 2 specification */ strcpy( Book2.title, "Telecom Billing"); strcpy( Book2.author, "Zara Ali"); strcpy( Book2.subject, "Telecom Billing Tutorial"); Book2.book_id = 6495700; /* print Book1 info */ printBook( Book1 ); /* Print Book2 info */
  • 133.
    C Programming 124 printBook( Book2); return 0; } void printBook( struct Books book ) { printf( "Book title : %sn", book.title); printf( "Book author : %sn", book.author); printf( "Book subject : %sn", book.subject); printf( "Book book_id : %dn", book.book_id); } When the above code is compiled and executed, it produces the following result: Book title : C Programming Book author : Nuha Ali Book subject : C Programming Tutorial Book book_id : 6495407 Book title : Telecom Billing Book author : Zara Ali Book subject : Telecom Billing Tutorial Book book_id : 6495700 PointerstoStructures You can define pointers to structures in the same way as you define pointer to any other variable: struct Books *struct_pointer; Now, you can store the address of a structure variable in the above-defined pointer variable. To find the address of a structure variable, place the ‘&’ operator before the structure's name as follows: struct_pointer = &Book1; To access the members of a structure using a pointer to that structure, you must use the -> operator as follows: struct_pointer->title;
  • 134.
    C Programming 125 Let usrewrite the above example using structure pointer. #include <stdio.h> #include <string.h> struct Books { char title[50]; char author[50]; char subject[100]; int book_id; }; /* function declaration */ void printBook( struct Books *book ); int main( ) { struct Books Book1; /* Declare Book1 of type Book */ struct Books Book2; /* Declare Book2 of type Book */ /* book 1 specification */ strcpy( Book1.title, "C Programming"); strcpy( Book1.author, "Nuha Ali"); strcpy( Book1.subject, "C Programming Tutorial"); Book1.book_id = 6495407; /* book 2 specification */ strcpy( Book2.title, "Telecom Billing"); strcpy( Book2.author, "Zara Ali"); strcpy( Book2.subject, "Telecom Billing Tutorial"); Book2.book_id = 6495700; /* print Book1 info by passing address of Book1 */ printBook( &Book1 );
  • 135.
    C Programming 126 /* printBook2 info by passing address of Book2 */ printBook( &Book2 ); return 0; } void printBook( struct Books *book ) { printf( "Book title : %sn", book->title); printf( "Book author : %sn", book->author); printf( "Book subject : %sn", book->subject); printf( "Book book_id : %dn", book->book_id); } When the above code is compiled and executed, it produces the following result: Book title : C Programming Book author : Nuha Ali Book subject : C Programming Tutorial Book book_id : 6495407 Book title : Telecom Billing Book author : Zara Ali Book subject : Telecom Billing Tutorial Book book_id : 6495700 BitFields Bit Fields allow the packing of data in a structure. This is especially useful when memory or data storage is at a premium. Typical examples include:  Packing several objects into a machine word, e.g. 1 bit flags can be compacted.  Reading external file formats -- non-standard file formats could be read in, e.g., 9-bit integers. C allows us to do this in a structure definition by putting :bit length after the variable. For example: struct packed_struct {
  • 136.
    C Programming 127 unsigned intf1:1; unsigned int f2:1; unsigned int f3:1; unsigned int f4:1; unsigned int type:4; unsigned int my_int:9; } pack; Here, the packed_struct contains 6 members: Four 1 bit flags f1..f3, a 4-bit type, and a 9-bit my_int. C automatically packs the above bit fields as compactly as possible, provided that the maximum length of the field is less than or equal to the integer word length of the computer. If this is not the case, then some compilers may allow memory overlap for the fields, while others would store the next field in the next word.
  • 137.
    C Programming 128 A unionis a special data type available in C that allows to store different data types in the same memory location. You can define a union with many members, but only one member can contain a value at any given time. Unions provide an efficient way of using the same memory location for multiple purpose. DefiningaUnion To define a union, you must use the union statement in the same way as you did while defining a structure. The union statement defines a new data type with more than one member for your program. The format of the union statement is as follows: union [union tag] { member definition; member definition; ... member definition; } [one or more union variables]; The union tag is optional and each member definition is a normal variable definition, such as int i; or float f; or any other valid variable definition. At the end of the union's definition, before the final semicolon, you can specify one or more union variables, but it is optional. Here is the way you would define a union type named Data having three members i, f, and str: union Data { int i; float f; char str[20]; } data; Now, a variable of Data type can store an integer, a floating-point number, or a string of characters. It means a single variable, i.e., same memory location, can 18. UNIONS
  • 138.
    C Programming 129 be usedto store multiple types of data. You can use any built-in or user-defined data types inside a union based on your requirement. The memory occupied by a union will be large enough to hold the largest member of the union. For example, in the above example, Data type will occupy 20 bytes of memory space because this is the maximum space which can be occupied by a character string. The following example displays the total memory size occupied by the above union: #include <stdio.h> #include <string.h> union Data { int i; float f; char str[20]; }; int main( ) { union Data data; printf( "Memory size occupied by data : %dn", sizeof(data)); return 0; } When the above code is compiled and executed, it produces the following result: Memory size occupied by data : 20 AccessingUnionMembers To access any member of a union, we use the member access operator (.). The member access operator is coded as a period between the union variable name and the union member that we wish to access. You would use the keyword union to define variables of union type. The following example shows how to use unions in a program: #include <stdio.h>
  • 139.
    C Programming 130 #include <string.h> unionData { int i; float f; char str[20]; }; int main( ) { union Data data; data.i = 10; data.f = 220.5; strcpy( data.str, "C Programming"); printf( "data.i : %dn", data.i); printf( "data.f : %fn", data.f); printf( "data.str : %sn", data.str); return 0; } When the above code is compiled and executed, it produces the following result: data.i : 1917853763 data.f : 4122360580327794860452759994368.000000 data.str : C Programming Here, we can see that the values of i and f members of union got corrupted because the final value assigned to the variable has occupied the memory location and this is the reason that the value of str member is getting printed very well. Now let's look into the same example once again where we will use one variable at a time which is the main purpose of having unions: #include <stdio.h>
  • 140.
    C Programming 131 #include <string.h> unionData { int i; float f; char str[20]; }; int main( ) { union Data data; data.i = 10; printf( "data.i : %dn", data.i); data.f = 220.5; printf( "data.f : %fn", data.f); strcpy( data.str, "C Programming"); printf( "data.str : %sn", data.str); return 0; } When the above code is compiled and executed, it produces the following result: data.i : 10 data.f : 220.500000 data.str : C Programming Here, all the members are getting printed very well because one member is being used at a time.
  • 141.
    C Programming 132 Suppose yourC program contains a number of TRUE/FALSE variables grouped in a structure called status, as follows: struct { unsigned int widthValidated; unsigned int heightValidated; } status; This structure requires 8 bytes of memory space but in actual, we are going to store either 0 or 1 in each of the variables. The C programming language offers a better way to utilize the memory space in such situations. If you are using such variables inside a structure, then you can define the width of a variable which tells the C compiler that you are going to use only those number of bytes. For example, the above structure can be rewritten as follows: struct { unsigned int widthValidated : 1; unsigned int heightValidated : 1; } status; The above structure requires 4 bytes of memory space for status variable, but only 2 bits will be used to store the values. If you will use up to 32 variables, each one with a width of 1 bit, then also the status structure will use 4 bytes. However, as soon as you have 33 variables, it will allocate the next slot of the memory and it will start using 8 bytes. Let us check the following example to understand the concept: #include <stdio.h> #include <string.h> /* define simple structure */ struct { 19. BIT FIELDS
  • 142.
    C Programming 133 unsigned intwidthValidated; unsigned int heightValidated; } status1; /* define a structure with bit fields */ struct { unsigned int widthValidated : 1; unsigned int heightValidated : 1; } status2; int main( ) { printf( "Memory size occupied by status1 : %dn", sizeof(status1)); printf( "Memory size occupied by status2 : %dn", sizeof(status2)); return 0; } When the above code is compiled and executed, it produces the following result: Memory size occupied by status1 : 8 Memory size occupied by status2 : 4 BitFieldDeclaration The declaration of a bit-field has the following form inside a structure: struct { type [member_name] : width ; }; The following table describes the variable elements of a bit field: Elements Description
  • 143.
    C Programming 134 type Aninteger type that determines how a bit-field's value is interpreted. The type may be int, signed int, or unsigned int. member_name The name of the bit-field. width The number of bits in the bit-field. The width must be less than or equal to the bit width of the specified type. The variables defined with a predefined width are called bit fields. A bit field can hold more than a single bit; for example, if you need a variable to store a value from 0 to 7, then you can define a bit-field with a width of 3 bits as follows: struct { unsigned int age : 3; } Age; The above structure definition instructs the C compiler that the age variable is going to use only 3 bits to store the value. If you try to use more than 3 bits, then it will not allow you to do so. Let us try the following example: #include <stdio.h> #include <string.h> struct { unsigned int age : 3; } Age; int main( ) { Age.age = 4; printf( "Sizeof( Age ) : %dn", sizeof(Age) ); printf( "Age.age : %dn", Age.age ); Age.age = 7; printf( "Age.age : %dn", Age.age );
  • 144.
    C Programming 135 Age.age =8; printf( "Age.age : %dn", Age.age ); return 0; } When the above code is compiled, it will compile with a warning and when executed, it produces the following result: Sizeof( Age ) : 4 Age.age : 4 Age.age : 7 Age.age : 0
  • 145.
    C Programming 136 The Cprogramming language provides a keyword called typedef, which you can use to give a type, a new name. Following is an example to define a term BYTE for one-byte numbers: typedef unsigned char BYTE; After this type definition, the identifier BYTE can be used as an abbreviation for the type unsigned char, for example: BYTE b1, b2; By convention, uppercase letters are used for these definitions to remind the user that the type name is really a symbolic abbreviation, but you can use lowercase, as follows: typedef unsigned char byte; You can use typedef to give a name to your user-defined data types as well. For example, you can use typedef with structure to define a new data type and then use that data type to define structure variables directly as follows: #include <stdio.h> #include <string.h> typedef struct Books { char title[50]; char author[50]; char subject[100]; int book_id; } Book; int main( ) { Book book; 20. TYPEDEF
  • 146.
    C Programming 137 strcpy( book.title,"C Programming"); strcpy( book.author, "Nuha Ali"); strcpy( book.subject, "C Programming Tutorial"); book.book_id = 6495407; printf( "Book title : %sn", book.title); printf( "Book author : %sn", book.author); printf( "Book subject : %sn", book.subject); printf( "Book book_id : %dn", book.book_id); return 0; } When the above code is compiled and executed, it produces the following result: Book title : C Programming Book author : Nuha Ali Book subject : C Programming Tutorial Book book_id : 6495407 typedefvs#define #define is a C-directive which is also used to define the aliases for various data types similar to typedef but with the following differences:  typedef is limited to giving symbolic names to types only, whereas #define can be used to define alias for values as well, e.g., you can define 1 as ONE, etc.  typedef interpretation is performed by the compiler whereas #define statements are processed by the preprocessor. The following example shows how to use #define in a program: #include <stdio.h> #define TRUE 1 #define FALSE 0 int main( )
  • 147.
    C Programming 138 { printf( "Valueof TRUE : %dn", TRUE); printf( "Value of FALSE : %dn", FALSE); return 0; } When the above code is compiled and executed, it produces the following result: Value of TRUE : 1 Value of FALSE : 0
  • 148.
    C Programming 139 When wesay Input, it means to feed some data into a program. An input can be given in the form of a file or from the command line. C programming provides a set of built-in functions to read the given input and feed it to the program as per requirement. When we say Output, it means to display some data on screen, printer, or in any file. C programming provides a set of built-in functions to output the data on the computer screen as well as to save it in text or binary files. TheStandardFiles C programming treats all the devices as files. So devices such as the display are addressed in the same way as files and the following three files are automatically opened when a program executes to provide access to the keyboard and screen. Standard File File Pointer Device Standard input stdin Keyboard Standard output stdout Screen Standard error stderr Your screen The file pointers are the means to access the file for reading and writing purpose. This section explains how to read values from the screen and how to print the result on the screen. Thegetchar()andputchar()Functions The int getchar(void) function reads the next available character from the screen and returns it as an integer. This function reads only single character at a time. You can use this method in the loop in case you want to read more than one character from the screen. The int putchar(int c) function puts the passed character on the screen and returns the same character. This function puts only single character at a time. You can use this method in the loop in case you want to display more than one character on the screen. Check the following example: 21. INPUT AND OUTPUT
  • 149.
    C Programming 140 #include <stdio.h> intmain( ) { int c; printf( "Enter a value :"); c = getchar( ); printf( "nYou entered: "); putchar( c ); return 0; } When the above code is compiled and executed, it waits for you to input some text. When you enter a text and press enter, then the program proceeds and reads only a single character and displays it as follows: $./a.out Enter a value : this is test You entered: t Thegets()andputs()Functions The char *gets(char *s) function reads a line from stdin into the buffer pointed to by s until either a terminating newline or EOF (End of File). The int puts(const char *s) function writes the string ‘s’ and ‘a’ trailing newline to stdout. #include <stdio.h> int main( ) { char str[100]; printf( "Enter a value :"); gets( str );
  • 150.
    C Programming 141 printf( "nYouentered: "); puts( str ); return 0; } When the above code is compiled and executed, it waits for you to input some text. When you enter a text and press enter, then the program proceeds and reads the complete line till end, and displays it as follows: $./a.out Enter a value : this is test You entered: This is test Thescanf()andprintf()Functions The int scanf(const char *format, ...) function reads the input from the standard input stream stdin and scans that input according to the format provided. The int printf(const char *format, ...) function writes the output to the standard output stream stdout and produces the output according to the format provided. The format can be a simple constant string, but you can specify %s, %d, %c, %f, etc., to print or read strings, integer, character, or float, respectively. There are many other formatting options available which can be used based on requirements. Let us now proceed with a simple example to understand the concepts better: #include <stdio.h> int main( ) { char str[100]; int i; printf( "Enter a value :"); scanf("%s %d", str, &i); printf( "nYou entered: %s %d ", str, i);
  • 151.
    C Programming 142 return 0; } Whenthe above code is compiled and executed, it waits for you to input some text. When you enter a text and press enter, then program proceeds and reads the input and displays it as follows: $./a.out Enter a value : seven 7 You entered: seven 7 Here, it should be noted that scanf() expects input in the same format as you provided %s and %d, which means you have to provide valid inputs like "string integer". If you provide "string string" or "integer integer", then it will be assumed as wrong input. Secondly, while reading a string, scanf() stops reading as soon as it encounters a space, so "this is test" are three strings for scanf().
  • 152.
    C Programming 143 The lastchapter explained the standard input and output devices handled by C programming language. This chapter covers how C programmers can create, open, close text or binary files for their data storage. A file represents a sequence of bytes, regardless of it being a text file or a binary file. C programming language provides access on high-level functions as well as low-level (OS level) calls to handle file on your storage devices. This chapter will take you through the important calls for file management. OpeningFiles You can use the fopen( ) function to create a new file or to open an existing file. This call will initialize an object of the type FILE, which contains all the information necessary to control the stream. The prototype of this function call is as follows: FILE *fopen( const char * filename, const char * mode ); Here, filename is a string literal, which you will use to name your file, and access mode can have one of the following values: Mode Description r Opens an existing text file for reading purpose. w Opens a text file for writing. If it does not exist, then a new file is created. Here your program will start writing content from the beginning of the file. a Opens a text file for writing in appending mode. If it does not exist, then a new file is created. Here your program will start appending content in the existing file content. r+ Opens a text file for both reading and writing. w+ Opens a text file for both reading and writing. It first truncates the file to zero length if it exists, otherwise creates a file if it does not exist. 22. FILE I/O
  • 153.
    C Programming 144 a+ Opensa text file for both reading and writing. It creates the file if it does not exist. The reading will start from the beginning but writing can only be appended. If you are going to handle binary files, then you will use the following access modes instead of the above-mentioned ones: "rb", "wb", "ab", "rb+", "r+b", "wb+", "w+b", "ab+", "a+b" ClosingaFile To close a file, use the fclose( ) function. The prototype of this function is: int fclose( FILE *fp ); The fclose() function returns zero on success, or EOF if there is an error in closing the file. This function actually flushes any data still pending in the buffer to the file, closes the file, and releases any memory used for the file. The EOF is a constant defined in the header file stdio.h. There are various functions provided by C standard library to read and write a file, character by character, or in the form of a fixed length string. WritingaFile Following is the simplest function to write individual characters to a stream: int fputc( int c, FILE *fp ); The function fputc() writes the character value of the argument c to the output stream referenced by fp. It returns the written character written on success otherwise EOF if there is an error. You can use the following functions to write a null-terminated string to a stream: int fputs( const char *s, FILE *fp ); The function fputs() writes the string s to the output stream referenced by fp. It returns a non-negative value on success, otherwise EOF is returned in case of any error. You can use int fprintf(FILE *fp,const char *format, ...) function as well to write a string into a file. Try the following example. Make sure you have /tmp directory available. If it is not, then before proceeding, you must create this directory on your machine. #include <stdio.h>
  • 154.
    C Programming 145 main() { FILE *fp; fp= fopen("/tmp/test.txt", "w+"); fprintf(fp, "This is testing for fprintf...n"); fputs("This is testing for fputs...n", fp); fclose(fp); } When the above code is compiled and executed, it creates a new file test.txt in /tmp directory and writes two lines using two different functions. Let us read this file in the next section. ReadingaFile Given below is the simplest function to read a single character from a file: int fgetc( FILE * fp ); The fgetc() function reads a character from the input file referenced by fp. The return value is the character read, or in case of any error, it returns EOF. The following function allows to read a string from a stream: char *fgets( char *buf, int n, FILE *fp ); The functions fgets() reads up to n - 1 characters from the input stream referenced by fp. It copies the read string into the buffer buf, appending a null character to terminate the string. If this function encounters a newline character 'n' or the end of the file EOF before they have read the maximum number of characters, then it returns only the characters read up to that point including the new line character. You can also use int fscanf(FILE *fp, const char *format, ...) function to read strings from a file, but it stops reading after encountering the first space character. #include <stdio.h> main() { FILE *fp; char buff[255];
  • 155.
    C Programming 146 fp =fopen("/tmp/test.txt", "r"); fscanf(fp, "%s", buff); printf("1 : %sn", buff ); fgets(buff, 255, (FILE*)fp); printf("2: %sn", buff ); fgets(buff, 255, (FILE*)fp); printf("3: %sn", buff ); fclose(fp); } When the above code is compiled and executed, it reads the file created in the previous section and produces the following result: 1 : This 2: is testing for fprintf... 3: This is testing for fputs... Let's see a little more in detail about what happened here. First, fscanf() reads just This because after that, it encountered a space, second call is for fgets() which reads the remaining line till it encountered end of line. Finally, the last call fgets() reads the second line completely. BinaryI/OFunctions There are two functions that can be used for binary input and output: size_t fread(void *ptr, size_t size_of_elements, size_t number_of_elements, FILE *a_file); size_t fwrite(const void *ptr, size_t size_of_elements, size_t number_of_elements, FILE *a_file); Both of these functions should be used to read or write blocks of memories - usually arrays or structures.
  • 156.
    C Programming 147 The CPreprocessor is not a part of the compiler, but is a separate step in the compilation process. In simple terms, a C Preprocessor is just a text substitution tool and it instructs the compiler to do required preprocessing before the actual compilation. We'll refer to the C Preprocessor as CPP. All preprocessor commands begin with a hash symbol (#). It must be the first nonblank character, and for readability, a preprocessor directive should begin in the first column. The following section lists down all the important preprocessor directives: Directive Description #define Substitutes a preprocessor macro. #include Inserts a particular header from another file. #undef Undefines a preprocessor macro. #ifdef Returns true if this macro is defined. #ifndef Returns true if this macro is not defined. #if Tests if a compile time condition is true. #else The alternative for #if. #elif #else and #if in one statement. #endif Ends preprocessor conditional. #error Prints error message on stderr. #pragma Issues special commands to the compiler, using a standardized 23. PREPROCESSORS
  • 157.
    C Programming 148 method. PreprocessorsExamples Analyze thefollowing examples to understand various directives. #define MAX_ARRAY_LENGTH 20 This directive tells the CPP to replace instances of MAX_ARRAY_LENGTH with 20. Use #define for constants to increase readability. #include <stdio.h> #include "myheader.h" These directives tell the CPP to get stdio.h from System Libraries and add the text to the current source file. The next line tells CPP to get myheader.h from the local directory and add the content to the current source file. #undef FILE_SIZE #define FILE_SIZE 42 It tells the CPP to undefine existing FILE_SIZE and define it as 42. #ifndef MESSAGE #define MESSAGE "You wish!" #endif It tells the CPP to define MESSAGE only if MESSAGE isn't already defined. #ifdef DEBUG /* Your debugging statements here */ #endif It tells the CPP to process the statements enclosed if DEBUG is defined. This is useful if you pass the -DDEBUG flag to the gcc compiler at the time of compilation. This will define DEBUG, so you can turn debugging on and off on- the-fly during compilation. PredefinedMacros ANSI C defines a number of macros. Although each one is available for use in programming, the predefined macros should not be directly modified.
  • 158.
    C Programming 149 Macro Description __DATE__The current date as a character literal in "MMM DD YYYY" format. __TIME__ The current time as a character literal in "HH:MM:SS" format. __FILE__ This contains the current filename as a string literal. __LINE__ This contains the current line number as a decimal constant. __STDC__ Defined as 1 when the compiler complies with the ANSI standard. Let's try the following example: #include <stdio.h> main() { printf("File :%sn", __FILE__ ); printf("Date :%sn", __DATE__ ); printf("Time :%sn", __TIME__ ); printf("Line :%dn", __LINE__ ); printf("ANSI :%dn", __STDC__ ); } When the above code in a file test.c is compiled and executed, it produces the following result: File :test.c Date :Jun 2 2012 Time :03:36:24 Line :8 ANSI :1
  • 159.
    C Programming 150 PreprocessorOperators The Cpreprocessor offers the following operators to help create macros: TheMacroContinuation()Operator A macro is normally confined to a single line. The macro continuation operator () is used to continue a macro that is too long for a single line. For example: #define message_for(a, b) printf(#a " and " #b ": We love you!n") TheStringize(#)Operator The stringize or number-sign operator (#), when used within a macro definition, converts a macro parameter into a string constant. This operator may be used only in a macro having a specified argument or parameter list. For example: #include <stdio.h> #define message_for(a, b) printf(#a " and " #b ": We love you!n") int main(void) { message_for(Carole, Debra); return 0; } When the above code is compiled and executed, it produces the following result: Carole and Debra: We love you! TheTokenPasting(##)Operator The token-pasting operator (##) within a macro definition combines two arguments. It permits two separate tokens in the macro definition to be joined into a single token. For example: #include <stdio.h>
  • 160.
    C Programming 151 #define tokenpaster(n)printf ("token" #n " = %d", token##n) int main(void) { int token34 = 40; tokenpaster(34); return 0; } When the above code is compiled and executed, it produces the following result: token34 = 40 It happened so because this example results in the following actual output from the preprocessor: printf ("token34 = %d", token34); This example shows the concatenation of token##n into token34 and here we have used both stringize and token-pasting. TheDefined()Operator The preprocessor defined operator is used in constant expressions to determine if an identifier is defined using #define. If the specified identifier is defined, the value is true (non-zero). If the symbol is not defined, the value is false (zero). The defined operator is specified as follows: #include <stdio.h> #if !defined (MESSAGE) #define MESSAGE "You wish!" #endif int main(void) { printf("Here is the message: %sn", MESSAGE); return 0; }
  • 161.
    C Programming 152 When theabove code is compiled and executed, it produces the following result: Here is the message: You wish! ParameterizedMacros One of the powerful functions of the CPP is the ability to simulate functions using parameterized macros. For example, we might have some code to square a number as follows: int square(int x) { return x * x; } We can rewrite the above code using a macro as follows: #define square(x) ((x) * (x)) Macros with arguments must be defined using the #define directive before they can be used. The argument list is enclosed in parentheses and must immediately follow the macro name. Spaces are not allowed between the macro name and open parenthesis. For example: #include <stdio.h> #define MAX(x,y) ((x) > (y) ? (x) : (y)) int main(void) { printf("Max between 20 and 10 is %dn", MAX(10, 20)); return 0; } When the above code is compiled and executed, it produces the following result: Max between 20 and 10 is 20
  • 162.
    C Programming 153 A headerfile is a file with extension .h which contains C function declarations and macro definitions to be shared between several source files. There are two types of header files: the files that the programmer writes and the files that comes with your compiler. You request to use a header file in your program by including it with the C preprocessing directive #include, like you have seen inclusion of stdio.h header file, which comes along with your compiler. Including a header file is equal to copying the content of the header file but we do not do it because it will be error-prone and it is not a good idea to copy the content of a header file in the source files, especially if we have multiple source files in a program. A simple practice in C or C++ programs is that we keep all the constants, macros, system wide global variables, and function prototypes in the header files and include that header file wherever it is required. IncludeSyntax Both the user and the system header files are included using the preprocessing directive #include. It has the following two forms: #include <file> This form is used for system header files. It searches for a file named ‘file’ in a standard list of system directories. You can prepend directories to this list with the -I option while compiling your source code. #include "file" This form is used for header files of your own program. It searches for a file named ‘file’ in the directory containing the current file. You can prepend directories to this list with the -I option while compiling your source code. IncludeOperation The #include directive works by directing the C preprocessor to scan the specified file as input before continuing with the rest of the current source file. The output from the preprocessor contains the output already generated, followed by the output resulting from the included file, followed by the output that comes from the text after the #include directive. For example, if you have a header file header.h as follows: 24. HEADER FILES
  • 163.
    C Programming 154 char *test(void); and a main program called program.c that uses the header file, like this: int x; #include "header.h" int main (void) { puts (test ()); } the compiler will see the same token stream as it would if program.c read. int x; char *test (void); int main (void) { puts (test ()); } Once-OnlyHeaders If a header file happens to be included twice, the compiler will process its contents twice and it will result in an error. The standard way to prevent this is to enclose the entire real contents of the file in a conditional, like this: #ifndef HEADER_FILE #define HEADER_FILE the entire header file file #endif This construct is commonly known as a wrapper #ifndef. When the header is included again, the conditional will be false, because HEADER_FILE is defined. The preprocessor will skip over the entire contents of the file, and the compiler will not see it twice.
  • 164.
    C Programming 155 ComputedIncludes Sometimes itis necessary to select one of the several different header files to be included into your program. For instance, they might specify configuration parameters to be used on different sorts of operating systems. You could do this with a series of conditionals as follows: #if SYSTEM_1 # include "system_1.h" #elif SYSTEM_2 # include "system_2.h" #elif SYSTEM_3 ... #endif But as it grows, it becomes tedious, instead the preprocessor offers the ability to use a macro for the header name. This is called a computed include. Instead of writing a header name as the direct argument of #include, you simply put a macro name there: #define SYSTEM_H "system_1.h" ... #include SYSTEM_H SYSTEM_H will be expanded, and the preprocessor will look for system_1.h as if the #include had been written that way originally. SYSTEM_H could be defined by your Makefile with a -D option.
  • 165.
    C Programming 156 Type castingis a way to convert a variable from one data type to another data type. For example, if you want to store a ‘long’ value into a simple integer, then you can type cast ‘long’ to ‘int’. You can convert the values from one type to another explicitly using the cast operator as follows: (type_name) expression Consider the following example where the cast operator causes the division of one integer variable by another to be performed as a floating-point operation: #include <stdio.h> main() { int sum = 17, count = 5; double mean; mean = (double) sum / count; printf("Value of mean : %fn", mean ); } When the above code is compiled and executed, it produces the following result: Value of mean : 3.400000 It should be noted here that the cast operator has precedence over division, so the value of sum is first converted to type double and finally it gets divided by count yielding a double value. Type conversions can be implicit which is performed by the compiler automatically, or it can be specified explicitly through the use of the cast operator. It is considered good programming practice to use the cast operator whenever type conversions are necessary. 25. TYPE CASTING
  • 166.
    C Programming 157 IntegerPromotion Integer promotionis the process by which values of integer type "smaller" than int or unsigned int are converted either to int or unsigned int. Consider an example of adding a character with an integer: #include <stdio.h> main() { int i = 17; char c = 'c'; /* ascii value is 99 */ int sum; sum = i + c; printf("Value of sum : %dn", sum ); } When the above code is compiled and executed, it produces the following result: Value of sum : 116 Here, the value of sum is 116 because the compiler is doing integer promotion and converting the value of 'c' to ASCII before performing the actual addition operation. UsualArithmeticConversion The usual arithmetic conversions are implicitly performed to cast their values to a common type. The compiler first performs integer promotion; if the operands still have different types, then they are converted to the type that appears highest in the following hierarchy:
  • 167.
    C Programming 158 The usualarithmetic conversions are not performed for the assignment operators, nor for the logical operators && and ||. Let us take the following example to understand the concept: #include <stdio.h> main() { int i = 17; char c = 'c'; /* ascii value is 99 */ float sum; sum = i + c; printf("Value of sum : %fn", sum ); }
  • 168.
    C Programming 159 When theabove code is compiled and executed, it produces the following result: Value of sum : 116.000000 Here, it is simple to understand that first c gets converted to integer, but as the final value is double, usual arithmetic conversion applies and the compiler converts i and c into ‘float’ and adds them yielding a ‘float’ result.
  • 169.
    C Programming 160 As such,C programming does not provide direct support for error handling but being a sytem programming language, it provides you access at lower level in the form of return values. Most of the C or even Unix function calls return -1 or NULL in case of any error and set an error code errno. It is set as a global variable and indicates an error occurred during any function call. You can find various error codes defined in <error.h> header file. So a C programmer can check the returned values and can take appropriate action depending on the return value. It is a good practice to set errno to 0 at the time of initializing a program. A value of 0 indicates that there is no error in the program. errno,perror(),andstrerror() The C programming language provides perror() and strerror() functions which can be used to display the text message associated with errno.  The perror() function displays the string you pass to it, followed by a colon, a space, and then the textual representation of the current errno value.  The strerror() function, which returns a pointer to the textual representation of the current errno value. Let's try to simulate an error condition and try to open a file which does not exist. Here I'm using both the functions to show the usage, but you can use one or more ways of printing your errors. Second important point to note is that you should use stderr file stream to output all the errors. #include <stdio.h> #include <errno.h> #include <string.h> extern int errno ; int main () { FILE * pf; int errnum; 26. ERROR HANDLING
  • 170.
    C Programming 161 pf =fopen ("unexist.txt", "rb"); if (pf == NULL) { errnum = errno; fprintf(stderr, "Value of errno: %dn", errno); perror("Error printed by perror"); fprintf(stderr, "Error opening file: %sn", strerror( errnum )); } else { fclose (pf); } return 0; } When the above code is compiled and executed, it produces the following result: Value of errno: 2 Error printed by perror: No such file or directory Error opening file: No such file or directory DividebyZeroErrors It is a common problem that at the time of dividing any number, programmers do not check if a divisor is zero and finally it creates a runtime error. The code below fixes this by checking if the divisor is zero before dividing: #include <stdio.h> #include <stdlib.h> main() { int dividend = 20; int divisor = 0; int quotient; if( divisor == 0){
  • 171.
    C Programming 162 fprintf(stderr, "Divisionby zero! Exiting...n"); exit(-1); } quotient = dividend / divisor; fprintf(stderr, "Value of quotient : %dn", quotient ); exit(0); } When the above code is compiled and executed, it produces the following result: Division by zero! Exiting... ProgramExitStatus It is a common practice to exit with a value of EXIT_SUCCESS in case of program coming out after a successful operation. Here, EXIT_SUCCESS is a macro and it is defined as 0. If you have an error condition in your program and you are coming out then you should exit with a status EXIT_FAILURE which is defined as -1. So let's write above program as follows: #include <stdio.h> #include <stdlib.h> main() { int dividend = 20; int divisor = 5; int quotient; if( divisor == 0){ fprintf(stderr, "Division by zero! Exiting...n"); exit(EXIT_FAILURE); } quotient = dividend / divisor; fprintf(stderr, "Value of quotient : %dn", quotient );
  • 172.
    C Programming 163 exit(EXIT_SUCCESS); } When theabove code is compiled and executed, it produces the following result: Value of quotient : 4
  • 173.
    C Programming 164 Recursion isthe process of repeating items in a self-similar way. In programming languages, if a program allows you to call a function inside the same function, then it is called a recursive call of the function. void recursion() { recursion(); /* function calls itself */ } int main() { recursion(); } The C programming language supports recursion, i.e., a function to call itself. But while using recursion, programmers need to be careful to define an exit condition from the function, otherwise it will go into an infinite loop. Recursive functions are very useful to solve many mathematical problems, such as calculating the factorial of a number, generating Fibonacci series, etc. NumberFactorial The following example calculates the factorial of a given number using a recursive function: #include <stdio.h> int factorial(unsigned int i) { if(i <= 1) { return 1; } return i * factorial(i - 1); 27. RECURSION
  • 174.
    C Programming 165 } int main() { inti = 15; printf("Factorial of %d is %dn", i, factorial(i)); return 0; } When the above code is compiled and executed, it produces the following result: Factorial of 15 is 2004310016 FibonacciSeries The following example generates the Fibonacci series for a given number using a recursive function: #include <stdio.h> int fibonaci(int i) { if(i == 0) { return 0; } if(i == 1) { return 1; } return fibonaci(i-1) + fibonaci(i-2); } int main() { int i; for (i = 0; i < 10; i++) {
  • 175.
    C Programming 166 printf("%dt%n", fibonaci(i)); } return0; } When the above code is compiled and executed, it produces the following result: 0 1 1 2 3 5 8 13 21 34
  • 176.
    C Programming 167 Sometimes, youmay come across a situation, when you want to have a function, which can take variable number of arguments, i.e., parameters, instead of predefined number of parameters. The C programming language provides a solution for this situation and you are allowed to define a function which can accept variable number of parameters based on your requirement. The following example shows the definition of such a function. int func(int, ... ) { . . . } int main() { func(1, 2, 3); func(1, 2, 3, 4); } It should be noted that the function func() has its last argument as ellipses, i.e., three dotes (...) and the one just before the ellipses is always an int which will represent the total number variable arguments passed. To use such functionality, you need to make use of stdarg.h header file which provides the functions and macros to implement the functionality of variable arguments and follow the given steps: 1. Define a function with its last parameter as ellipses and the one just before the ellipses is always an int which will represent the number of arguments. 2. Create a va_list type variable in the function definition. This type is defined in stdarg.h header file. 3. Use int parameter and va_start macro to initialize the va_list variable to an argument list. The macro va_start is defined in stdarg.h header file. 4. Use va_arg macro and va_list variable to access each item in argument list. 28. VARIABLE ARGUMENTS
  • 177.
    C Programming 168 5. Usea macro va_end to clean up the memory assigned to va_list variable. Now let us follow the above steps and write down a simple function which can take the variable number of parameters and return their average: #include <stdio.h> #include <stdarg.h> double average(int num,...) { va_list valist; double sum = 0.0; int i; /* initialize valist for num number of arguments */ va_start(valist, num); /* access all the arguments assigned to valist */ for (i = 0; i < num; i++) { sum += va_arg(valist, int); } /* clean memory reserved for valist */ va_end(valist); return sum/num; } int main() { printf("Average of 2, 3, 4, 5 = %fn", average(4, 2,3,4,5)); printf("Average of 5, 10, 15 = %fn", average(3, 5,10,15)); }
  • 178.
    C Programming 169 When theabove code is compiled and executed, it produces the following result. It should be noted that the function average() has been called twice and each time the first argument represents the total number of variable arguments being passed. Only ellipses will be used to pass variable number of arguments. Average of 2, 3, 4, 5 = 3.500000 Average of 5, 10, 15 = 10.000000
  • 179.
    C Programming 170 This chapterexplains dynamic memory management in C. The C programming language provides several functions for memory allocation and management. These functions can be found in the <stdlib.h> header file. S.N. Function and Description 1 void *calloc(int num, int size); This function allocates an array of num elements each of which size in bytes will be size. 2 void free(void *address); This function releases a block of memory block specified by address. 3 void *malloc(int num); This function allocates an array of num bytes and leave them initialized. 4 void *realloc(void *address, int newsize); This function re-allocates memory extending it upto newsize. AllocatingMemoryDynamically While programming, if you are aware of the size of an array, then it is easy and you can define it as an array. For example, to store a name of any person, it can go up to a maximum of 100 characters, so you can define something as follows: char name[100]; But now let us consider a situation where you have no idea about the length of the text you need to store, for example, you want to store a detailed description about a topic. Here we need to define a pointer to character without defining how much memory is required and later, based on requirement, we can allocate memory as shown in the below example: #include <stdio.h> 29. MEMORY MANAGEMENT
  • 180.
    C Programming 171 #include <stdlib.h> #include<string.h> int main() { char name[100]; char *description; strcpy(name, "Zara Ali"); /* allocate memory dynamically */ description = malloc( 200 * sizeof(char) ); if( description == NULL ) { fprintf(stderr, "Error - unable to allocate required memoryn"); } else { strcpy( description, "Zara ali a DPS student in class 10th"); } printf("Name = %sn", name ); printf("Description: %sn", description ); } When the above code is compiled and executed, it produces the following result. Name = Zara Ali Description: Zara ali a DPS student in class 10th Same program can be written using calloc(); only thing is you need to replace malloc with calloc as follows: calloc(200, sizeof(char)); So you have complete control and you can pass any size value while allocating memory, unlike arrays where once the size is defined, you cannot change it.
  • 181.
    C Programming 172 ResizingandReleasingMemory When yourprogram comes out, operating system automatically release all the memory allocated by your program but as a good practice when you are not in need of memory anymore then you should release that memory by calling the function free(). Alternatively, you can increase or decrease the size of an allocated memory block by calling the function realloc(). Let us check the above program once again and make use of realloc() and free() functions: #include <stdio.h> #include <stdlib.h> #include <string.h> int main() { char name[100]; char *description; strcpy(name, "Zara Ali"); /* allocate memory dynamically */ description = malloc( 30 * sizeof(char) ); if( description == NULL ) { fprintf(stderr, "Error - unable to allocate required memoryn"); } else { strcpy( description, "Zara ali a DPS student."); } /* suppose you want to store bigger description */ description = realloc( description, 100 * sizeof(char) ); if( description == NULL ) { fprintf(stderr, "Error - unable to allocate required memoryn"); }
  • 182.
    C Programming 173 else { strcat( description,"She is in class 10th"); } printf("Name = %sn", name ); printf("Description: %sn", description ); /* release memory using free() function */ free(description); } When the above code is compiled and executed, it produces the following result. Name = Zara Ali Description: Zara ali a DPS student.She is in class 10th You can try the above example without re-allocating extra memory, and strcat() function will give an error due to lack of available memory in description.
  • 183.
    C Programming 174 It ispossible to pass some values from the command line to your C programs when they are executed. These values are called command line arguments and many times they are important for your program especially when you want to control your program from outside instead of hard coding those values inside the code. The command line arguments are handled using main() function arguments where argc refers to the number of arguments passed, and argv[] is a pointer array which points to each argument passed to the program. Following is a simple example which checks if there is any argument supplied from the command line and take action accordingly: #include <stdio.h> int main( int argc, char *argv[] ) { if( argc == 2 ) { printf("The argument supplied is %sn", argv[1]); } else if( argc > 2 ) { printf("Too many arguments supplied.n"); } else { printf("One argument expected.n"); } } When the above code is compiled and executed with a single argument, it produces the following result. $./a.out testing The argument supplied is testing 30. COMMAND LINE ARGUMENTS
  • 184.
    C Programming 175 When theabove code is compiled and executed with two arguments, it produces the following result. $./a.out testing1 testing2 Too many arguments supplied. When the above code is compiled and executed without passing any argument, it produces the following result. $./a.out One argument expected It should be noted that argv[0] holds the name of the program itself and argv[1] is a pointer to the first command line argument supplied, and *argv[n] is the last argument. If no arguments are supplied, argc will be one, and if you pass one argument, then argc is set at 2. You pass all the command line arguments separated by a space, but if argument itself has a space then you can pass such arguments by putting them inside double quotes "" or single quotes ''. Let us re-write above example once again where we will print program name and we also pass a command line argument by putting inside double quotes: #include <stdio.h> int main( int argc, char *argv[] ) { printf("Program name %sn", argv[0]); if( argc == 2 ) { printf("The argument supplied is %sn", argv[1]); } else if( argc > 2 ) { printf("Too many arguments supplied.n"); } else { printf("One argument expected.n"); }
  • 185.
    C Programming 176 } When theabove code is compiled and executed with a single argument separated by space but inside double quotes, it produces the following result. $./a.out "testing1 testing2" Progranm name ./a.out The argument supplied is testing1 testing2