International Journal of Computer Networks & Communications (IJCNC) Vol.11, No.3, May 2019 DOI: 10.5121/ijcnc.2019.11302 15 CONTEXT-AWARE ENERGY CONSERVING ROUTING ALGORITHM FOR INTERNET OF THINGS D. Kothandaraman1 , C. Chellappan2 , P. Sivasankar3 and Syed Nawaz Pasha1 1 Department of Computer Science and Engineering, S R Engineering College, Warangal, TS, India 2 Department of Computer Science and Engineering, CEG, Anna University, Chennai, TN, India 3 Departmentof Electronics Engineering, NITTTR, Chennai, TN, India ABSTRACT Internet of Things (IoT) is the fast- growing technology, mostly used in smart mobile devices such as notebooks, tablets, personal digital assistants (PDA), smartphones, etc. Due to its dynamic nature and the limited battery power of the IoT enabled smart mobile nodes, the communication links between intermediate relay nodes may fail frequently, thus affecting the routing performance of the network and also the availability of the nodes. Existing algorithm does not concentrate about communication links and battery power/energy, but these node links are a very important factor for improving the quality of routing in IoT. In this paper, Context-aware Energy Conserving Algorithm for routing (CECA) was proposed which employs QoS routing metrics like Inter-Meeting Time and residual energy and has been applied to IoT enabled smart mobile devices using different technologies with different microcontroller which resulted in an increased network lifetime, throughput and reduced control overhead and the end to end delay. Simulation results show that, with respect to the speed of the mobile nodes from 2 to 10m/s, CECA increases the network lifetime, thereby increasing the average residual energy by 11.1% and increasing throughput there by reduces the average end to end delay by 14.1% over the Energy-Efficient Probabilistic Routing (EEPR) algorithm. With respect to the number of nodes increases from 10 to 100 nodes, CECA algorithms increase the average residual energy by16.1 % reduces the average end to end delay by 15.9% and control overhead by 23.7% over the existing EEPR. KEYWORDS Energy conserving, Smart mobile devices, Routing, Residual energy, Inter-meeting time. 1. INTRODUCTION Internet of Things (IoT) is the emerging technology in day-to-day life due to their improved use in the ubiquity of smart mobile devices such as notebooks, smartphones, tablets, various personal digital assistantsetc., [1]. By using IoT enabled network things (i.e.) "connected anywhere at any time”, it could be possible to create a digital world. But here many routing problems arise due to complexity in the network and also energy conserving routing is difficult to achieve. So that context-aware energy conserving algorithm [2,3] has been applied to the IoT enabled smart mobile devices using different technology, which in turn involves mobile nodes connected with wired and wireless networks. Yet, efficient smart mobile devices or nodes detection and routing systems are a major challenge task because of its mobility and energy consumption behavior. Due to mobility, the transmission links between the systems may change/very frequently, depending on the nodes signals, thus resulting in frequent changes in links, which affects the performance of communication between mobile nodes and systems. Thus IoT enabled mobile users links are important factors in enhancing the quality of communication.
International Journal of Computer Networks & Communications (IJCNC) Vol.11, No.3, May 2019 16 The proposed Energy- Efficient Content-Based Routing (EECBR) protocol for the IoT mainly minimizes the energy consumption [4]. The main scope of the paper is to study routing protocols for publish/subscribe orders. While the main advantage of this model is it handles heterogeneity issues experienced among IoT devices and provides a common framework for communication. The IoT sensor nodes are provided with one or more integrated sensors which have characteristics like limited computing, memory and power abilities. They have also the ability to interconnect at a short-range distance. The wireless sensor networks consist of a large number of sensor nodes, which are capable of sensing, gathering, processing and transmitting data [5]. They have the tendency to collect data on the target environment and can send the data to Bases Station (BS) sensor nodes using wireless communication techniques. WSNs have been widely applied to different fields like industrial, military and civilian. The important application includes industrial plant management, motor/engine monitoring, tracking, surveillance, healthcare system, and geographic information analysis, etc. Sensor nodes are closer to the sink node. In the case of closer nodes, energy consumption was observed to be high when compared to the other nodes so that it would have a reduced Network Life Time (NLT). For this problem, a solution based on the typical election based protocol has been proposed. The decision of selecting the cluster heads by the sink node is mainly associated with additional energy, residual energy and node location at each node [6]. Design of fault-tolerant internet of things systems, mainly for the fault detection framework was introduced using a wireless sensor network [7]. In this paper, the author proposed a classification algorithm for fault detection methods which can be applied to a number of fault detection approaches for the sake of comparison of some characteristics specifically, energy effectiveness, correlation model, evaluation method and accuracy. After introduction, various researchers chose different perspective as discussed in section 1.1. 1. 1. Related Works In case of Mobile Ad-hoc Network (MANET) routing protocol in grid environment [8],the author compares and discussed about the best protocol among Ad-hoc On-demand Distance Vector (AODV), Dynamic Source Distance Vector (DSDV) and Dynamic Source Routing (DSR) routing protocols in terms of mobility, using the various performance metric such as packet delivery ratio, average end to end delay and packet loss. Internet of things based system architecture supported by reliability, scalability, fault-tolerances for healthcare monitoring applications [9] is constructed using 6LoWPAN energy efficient communication for the purpose of an increased network lifetime. In the system, fault tolerance is accomplished by backup routing between nodes and system nodes. The system for extending the number of medical sensing nodes at a single gateway is accessible. A widespread system architecture design quantity of types from bio-signal achievement such as electrocardiogram, electroencephalography, and electromyogram to the representation of the graphical waveform of these gathered bio-signals for remote real-time tracking is proposed. The Energy-Efficient Probabilistic RoutingEEPR algorithm for the internet of things includes an application of both the residual energy node and the expected transmission count value in it, to determine the routing metrics at the same time [10]. The proposed EEPR algorithm controls the number of the Route Request (RREQ) packets using the above said application and thus enables energy efficient routing setup. Simulation results of the proposed work i.e. EEPR algorithm have increased NLT, residual energy of each node and also the routing setup delay, but on the other hand, routing success probability is marginally decreased when compared with the typical Ad-hoc On-demand Distance Vector (AODV) protocol.
International Journal of Computer Networks & Communications (IJCNC) Vol.11, No.3, May 2019 17 Energy efficient node fault analysis and recovery of a Wireless Sensor Networks (WSN) [11]was discussed based on the multipath data routing system which is mainly used for shortest path to ensure energy efficient data routing while other backup paths are used as an alternative path for faulty network and to handle the overloaded traffic on the channel. Context-aware computing research efforts are used to understand how the challenges in this field have been tackled in desktop, web, mobile, sensor networks, and pervasive computing paradigms [12]. A large number of solutions exist for this facing challenge in terms of systems, middleware, applications, techniques, and models as suggested by various researchers. The Energy Efficient Delay Time Routing (EEDTR) algorithm [13] differs from the existing methods as discussed below. The neighbour node will introduce a delay in sending the RREQ packet, which is inversely proportional to its remaining energy level. Based on this protocol, RREQ packet is either sent by the maximum remaining energy node with a smaller delay, or by the minimum energy residual node with a long delay. Hence, the sink node receives the RREQ the packet forwarded by the maximum energy-remaining intermediate relay nodes. When the an RREQ packet is received by the sink node, a RREP packet will be sent back to the route initiated source node. These modifications improve the battery life of the node for more time. Introducing a delay in the network increases the end to end delay. Context-awareness based energy efficient routing algorithm that has a longer lifetime than the congeneric protocols [14, 15]. The present research work focuses on context-aware energy conserving algorithm which uses two QoS parameter such as Inter-Meeting Time (IMT) and residual energy of nodes. It was proposed to improve the throughput and network’s lifetime considerably over another available algorithm. The main reason for considering the proposed CECA algorithm is it includes both the residual energy of the nodes and transmission links between the systems for establishing the energy efficient links. 2. CONTEXT-AWARE ENERGY CONSERVING ROUTING ALGORITHM In IoT all smart mobile devices act like actors, it is important to collect the context of the environment for fast routing and it generates knowledge after examining it which is used for making routing decisions[2]. In the proposed context-aware energy conserving algorithm, nodes are assumed to be as ‘i, j, k, l, m and d’while routing mobile node is assumed to be as . Here source node sends a Route Request (RREQ) packet to its neighbor nodes, which should be present within the nodes transmission range; otherwise, the RREQ packet will be discarded. Suppose if any of the neighbor nodes receive the RREQ, then it starts to compute the IMT which represents the amount of time during which neighbor nodes become unable to transfer the packets directly with each other, after which they lose their transmission link between them. In order to forward the RREQ packet to the corresponding neighbor nodes, the IMT should be less than the other neighbor nodes and in addition, the residual energy should be greater than the threshold energy. Based on these two conditions, the packets are routed until they reach the destination node. If the distance between the neighbor nodes is only one hop, then it sends the Route Reply (RREP) packet to the source node; otherwise, the neighbor node forwards the RREQ packet to the destination node via intermediary nodes. In this way, the proposed CECA discover an efficient route (i.e. the above-said conditions) for the source to reach the destination node. In the design of this routing algorithm, computation of IMT play a vital role to identify a more robust, stable path and it is discussed below.
International Journal of Computer Networks & Communications (IJCNC) Vol.11, No.3, May 2019 18 The present algorithm is mainly designed to minimize the link failures, to reduce the end to end delay in the IoT nodes and finally to increase the throughput and NLT. This CECA can be implemented by using DSR (Dynamic Source Routing) protocol while the route discovery in the DSR protocol has been modified so as to enable the selection of the most energy conserving and stable routes by the source nodes itself [16]. The route maintenance is essentially the same as in DSR protocol. The Major part of the proposed CECA is, it concentrates on predicting the neighbor nodes Inter-Meeting Time and to calculate the route discovery using the Inter- Meeting Time and the Residual Energy of the nodes. The following subsection describes the Inter-Meeting Times of the neighbor nodes. 2.1. Inter-Meeting Time Prediction Since the ability of a multi-hop internet of things networks are used to transfer user’s activity information between a pair of nodes in a timely manner, it depends critically on the time-varying network connectivity and thus it is necessary to understand the statistical properties of Inter- Meeting Time [15]. Let be the successive meeting times between nodes and . the Inter-Meeting Time between nodes and . Transmission between nodes i and j can occur only at their meeting times and are assumed to be instantaneous. Also, it was assumed that, if transmission occurs between nodes and at some other meeting time then it would be a successful one and as a result, the node carries the packet just before the time . Possible sensor events of the nodes in the networks represent the change in either directions or positions and nodes that occur within its transmission range of each other. For those nodes that occur outside the transmission range of each other [7], it is essential to calculate the time that occurs between the change in direction of a node and the time of a possible meeting with another user before its next change in direction. To understand this, example situation is shown the figure 1. Figure1. Inter-meeting time of node and where,
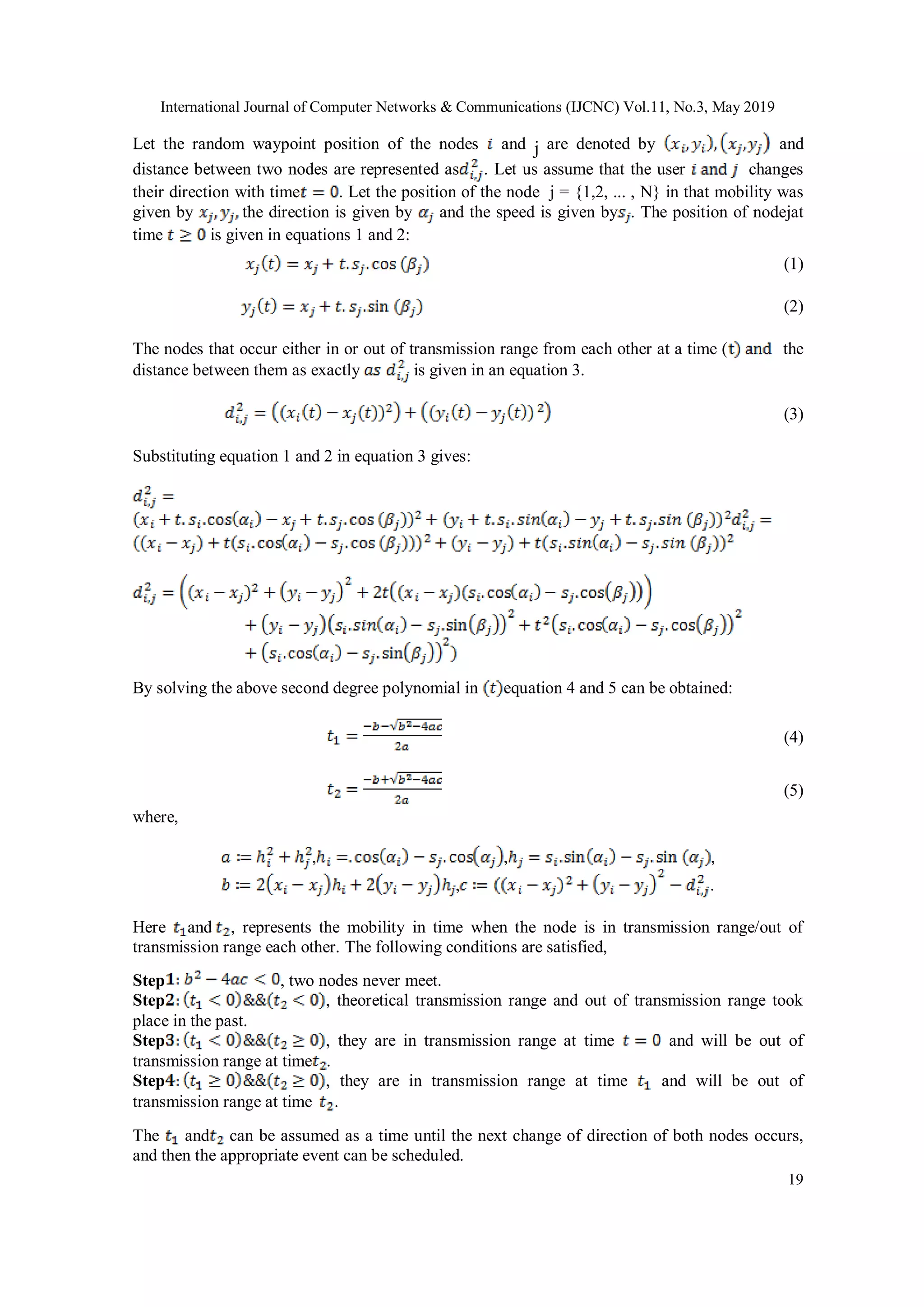
International Journal of Computer Networks & Communications (IJCNC) Vol.11, No.3, May 2019 19 Let the random waypoint position of the nodes and j are denoted by and distance between two nodes are represented as . Let us assume that the user changes their direction with time . Let the position of the node j = {1,2, ... , N} in that mobility was given by the direction is given by and the speed is given by . The position of nodejat time is given in equations 1 and 2: (1) (2) The nodes that occur either in or out of transmission range from each other at a time ( the distance between them as exactly is given in an equation 3. (3) Substituting equation 1 and 2 in equation 3 gives: By solving the above second degree polynomial in equation 4 and 5 can be obtained: (4) (5) where, , , , , . Here and , represents the mobility in time when the node is in transmission range/out of transmission range each other. The following conditions are satisfied, Step , two nodes never meet. Step , theoretical transmission range and out of transmission range took place in the past. Step , they are in transmission range at time and will be out of transmission range at time . Step , they are in transmission range at time and will be out of transmission range at time . The and can be assumed as a time until the next change of direction of both nodes occurs, and then the appropriate event can be scheduled.
International Journal of Computer Networks & Communications (IJCNC) Vol.11, No.3, May 2019 20 2.2. Calculation of Residual Energy According to this model, the energy consumed at each node due to a flow can be calculated in a simple way as follows. Depending on the condition, whether the node belongs to flow or not and in case if the flow is a node in, the total energy expenditure at a node due to another node in the network can be obtained by using equation 6[16]. (6) where, ERpck = energy spent for the reception of 2.2.1.Calculation of Energy Required For Tx and Rx of A Single Packet Sample worked out as an example for the calculation of energy requirement for a data packet is given below: If packet length = 1500 bytes, bit rate = 250kbps (48 ms/packet or 20.8 packet/sec), then Total packet size = size of (preamble + PLCP (Physical Layer Convergence Protocol) + MAC header + IP header + data) = (145 + 48 + 28 × 8 + 20× 8 + 1500 × 8) bits The preamble and PLCP header are communicated at 1Mbps while the rest of them are sent at 11Mbps. Thus, it has 145 + 48 bits sent at 1Mbps, with a transmission time for a packet = 0.19ms. With 8 × 1548 bits sent at 11Mbps, the transmission time for a single packet is Hence the total transmission time for a single packet= 1.128 + 0.19=1.318ms For acknowledgement packets: Packet length = 14bytes, bits rate =250kps Total packet size=size of (Preamble + PLCP + ACK) = (145 + 48 + 14 × 8) bits. So transmission time for single packet=0.304ms. 2.2.2.Calculation of Energy Spent In general, transmission power used was 1.3mwhr and reception power was 0.9mwhr, thus the various energy cost components were,
International Journal of Computer Networks & Communications (IJCNC) Vol.11, No.3, May 2019 21 Thus, using the energy calculation equation 6, as an example here source node can only be calculated for flow as shown below. i.e., source : Finally, the residual energy is calculated using equation 7 (7) Other two modes which are sleep and idle are not considered in our proposed work. Initially, every user has full battery capacity say 100% which represents the current energy. On each transmission or reception of a data packet, the residual energy is found to be utilized and can be calculated by using equation 7. In case, if the residual energy falls below 30 %, then that user will not act as a router to forward the packets. 3. WORKING MODEL FOR ENERGY CONSERVING ROUTING ALGORITHM In these proposed CECA, if a source node wants to deliver the data packets to the destination node, at first step it should compare the threshold energy of the next neighbor node and it’s Inter- Meeting Time. If the intermediate user satisfies the criteria of its residual energy level being greater than the threshold energy level, then it compares the Inter-Meeting Times with its pair. When the Inter-Meeting Times of the node pair is less than Inter-Meeting Time of node pair than and can be calculated which gives the mobility in time when the mobile nodes come into transmission range with one another. If ( ), nodes are in transmission range with each other and route is established between them. The same method will stay until the destination node is reached. When the RREQ packet reaches the destination node, the node acknowledges by sending the RREP packet to the source node. Flow chart for the proposed CECA algorithm is shown below in figure 2 and the algorithms are described below.
International Journal of Computer Networks & Communications (IJCNC) Vol.11, No.3, May 2019 22 Figure 2. Flow chart representations for route discovery in the CECA 3.1. Algorithm for Energy Conserving Input: Inter-Meeting Time and Residual energy Output: Energy conserving path between sender and receiver nodes Step 1: Compare the residual energy of the neighbour node with the threshold energy level Step 2: If then calculate Inter-Meeting Time of the pair of neighbor nodes like and i.e., and otherwise, go to 8. Step 3: Compare the Inter-Meeting Time of the node pair with the node pair. Step 4: If Inter-Meeting Time of node is then go to 5. Otherwise, go to 6. Step 5: Calculate and which give the mobility in time when the mobile nodes come into transmission range with one another.
International Journal of Computer Networks & Communications (IJCNC) Vol.11, No.3, May 2019 23 If { Nodes and are in transmission range with each other; Establish a route between nodes i and j } Else { Discard route between nodes and } Skip 6 and go to 7. Step 6: If , then go to 5. Otherwise, go to 7 Step 7: Compare Inter-Meeting Time of the next pair of neighbor nodes and continues the process from step 4. Step 8: Choose next neighbor node having higher residual energy with the threshold energy level and continues the process from step 2. Figure3 illustrates a pictorial representation for route establishment using CECA; while the assumed residual energy levels after a finite amount of time are represented in figure 3. Source node needs to send the packet to the destination nodes. In the system i, j, k, l and m are the intermediate nodes between . Users is the neighbor nodes to . As per the proposed CECEA, initiates route discovery process by broadcasting the RREQ packets to its neighbor users. For this, at first, it should compare the residual energy levels of the intermediate neighbour users . In the network as shown in figure 3, node represents the residual energy value to be 20mWhr which is less than the threshold energy level i.e., 30mWhr. As per the CECA, RREQ packet is not forwarded to the node . Neighbor users are satisfied, and hence, the Inter-Meeting Times of users are compared as per CECA. S i j k l m d τS,i (t)=4ms Eri=80mWhr τS,j (t) =2ms Erj=90mWhr τS,k (t) =6ms Erk=20mWhr τs,l (t)=1ms Erl=60mWhr τs,d (t)=4ms Erd=80mWhr RREQ RREQ RREQ RREP Assumed Eth=30mWhrRREQ packet will be forwarded only if the node satisfies that Er≥Eth and lowest Inter-Meeting Time compared to other smartphone users RREQ RREQ Transmission range τs,m (t)=5ms Erm=85mWhr RREQ Figure 3. Pictorial representations for route establishment using CECA Inter-Meeting Time of the neighbor nodes pair is 2ms which is less than the Inter-Meeting Time of neighbor nodes pair which is 4ms. Hence forwards RREQ packet to node j instead of node the same procedure is followed to forward the RREQ packet to reach the destination node. When the RREQ packet reaches the destination node, it replies back to the source using the RREP packet. The source node will start packet transmission using the energy efficient path available in the RREP packet.
International Journal of Computer Networks & Communications (IJCNC) Vol.11, No.3, May 2019 24 4. RESULTS AND DISCUSSION The experimental work was carried out using the Global Mobile Information System Simulator GloMoSIM-2.03 parameter as represented in Table1 [17]. Any work in general has been tested with the various Ballistic Mobility models like uniform and random waypoint mobility models [18]. However, since the uniform mobility model is simple when compared to the random way point mobility model, the present work has been evaluated only with random waypoint mobility model. So that proposed method (CECA) has a better result in comparison with existing (EEPR). Also in this work, it was assumed that the arrival of the node and Inter-Meeting Times of the nodes follow the exponential distribution. 4.1. Experimental Setup GloMoSim is a scalable simulation environment for large wireless and wired communication networks [17]. It uses a parallel discrete-event simulation capability provided by parsec GloMoSim simulates networks with up to thousand nodes linked by a heterogeneous communications capability that includes multicast, asymmetric communications using direct satellite broadcasts, multi-hop wireless communications using mobile ad-hoc networking and traditional internet protocols. This simulator is most suitable to implement the present system when compared with another simulator. In the proposed work, the speed of the nodes is varied from 2m/s to 10m/s i.e., 7.2kmph (fast walk) to 36kmph (medium speed of the vehicle/mobile nodes) and the experiments are carried out in the simulator and the results are discussed below in detail. But in general, the speed of the node is fixed at the rate of 5m/s i.e., 18kmph which is assumed to be apt for slow running condition and the experiments are carried out at this fixed node speed. Also, the density of the node has been varied within the specified dimension from 10 nodes to 100 nodes i.e., sparse and dense situations are tested by simulation. Similar to the experiments related to the speed variation, the simulation experiments are carried out by varying the mobility of the node and by varying the pause time parameter of the node [19]. If the pause time in an experiment is more than it represents that the nodes are more stable. Similarly, less pause time indicates that the nodes are highly mobile. In this present simulation scenario, the less mobility of the nodes has been considered. Hence pause time has been fixed to be around 50s. The terrain dimension, on the other hand, could also vary from 500m×500m to 2000m×2000m [20]. The nodes are placed uniformly in the dimension of 1000m×1000m. The maximum of 100 nodes can be comfortably placed within the area of 1km×1km. Hence, the proposed work uses 1000m×1000m, dimension area and this was implemented by using the random waypoint mobility model [21, 22]. In this, each node has been assigned an initial waypoint position in a given area and it was allowed to travel at a constant speed source to a destination waypoint which was chosen uniformly in this area. For this, the speed source was chosen to be uniformly in , which is independent of the initial position and destination. After receiving the destination, the node may pause for an arbitrary amount of time after which a new destination and a new speed are chosen, independent of all the previous destinations, speeds and pause times.
International Journal of Computer Networks & Communications (IJCNC) Vol.11, No.3, May 2019 25 Table 1. Simulation parameter Parameters Value Simulation Time 15m Seed 1 Node Placement Uniform Mobility Random-Waypoint Mobility WP-Min-Speed 0 Mobility Position Granularity 0.5 Propagation Limit -111.0 Propagation Pathloss Free-space Noise Figure 10.0 Radio Type Radio Accnoise Radio Initial Power Level 4000 Radio Frequency 2.4e9 Radio Bandwidth 2000000 Radio Rx Type SNR Bounded Radio Rx SNR Threshold 10 Radio Tx-Power 15 Radio-Antenna Gain 0.0 Radio Rx Sensitivity -81.0 Radio Rx Threshold -81.0 Mac Protocol 802.11 Promiscuous Mode Yes Network Protocol IP Routing Protocol DSR Network Output Queue Size Per Priority 100 The various parameters that were estimated during the simulation are as follows: Residual Energy : It is defined as the average of the residual energy levels of all the nodes in the network and is given in equation 8 (8) End to End Delay (EED): It represents the overall average delay experienced by a packet from the source to the destination, i.e. it represents the average time involved in the delivery of data packets from the source to the destination node. To compute the average end to end delay, every delay for each successful data packet delivery has been added and then divides that sum by the number of successfully received data packets as given in equation 9 [23]. (9) Control Overhead (CO): It represents the sum of the number of RREQ, RREP and Route Errors (RERR) as represented in equation 10 [24]. (10)
International Journal of Computer Networks & Communications (IJCNC) Vol.11, No.3, May 2019 26 These metrics were estimated by varying the following parameters are: 1. Speed (m/s) 2. Number of nodes 4.2. Performance Comparison with Respect to Speed The performance metrics of the proposed CECA were compared with the existing Energy- Efficient Probabilistic Routing (EEPR) algorithm [10] by varying the speed of the mobile nodes in the network. The performance metrics are estimated and compared with respect to the variation in the speed of the mobile nodes from 2 to 10m/s under the following constant parameters during the simulation. The network density is 100 nodes, the pause time of the node is 50 seconds, the number of Source and Destination Pairs (SDP) (traffic sources) are 10 and the terrain dimension is 1000m ×1000m. Table 2(a) shows the comparison results between the proposed CECA with the existing EEPR algorithm with respect to the varying speed of nodes (m/s) and the average residual energy (mWh). When the speed increased from 2 to 10m/s, the average residual energy of the nodes decreased because of the change in the frequency topology which in turn causes more overhead in the route discovery where it consumed more energy of the mobile nodes. Thus, the proposed CECA increase the network lifetime, thereby increasing the average residual energy by 11.1% over the EEPR algorithm. Table2(b) shows the comparison results between the proposed CECA with that of an existing EEPR algorithm with respect to the varying speed of the nodes (m/s) and the end to end delay (m/s). When the speed increases from 2 to 10m/s, the average end to end delay between the end nodes also increases due to frequent change in the network topology. This, in turn, increases the end to end delay to deliver the packets to the destination node. The statistics show that the CECA algorithm reduces the average end to end delay over the other existing EEPR by 14.1% respectively. Table 2. Performance comparison with respect to speed (a) Speed Vs Average residual energy S.No Algorithms Improvement in average residual energy (%) Average 2-10m/s 2-4m/s 5-8m/s 9-10m/s 1 EEPR 12.5 11.9 13.7 12.5 2 CECA 19.7 25.3 28 23.6 (b) Speed Vs End to end delay S.No Algorithms Improvement in average end to end delay (%) Average 2-10m/s 2-4m/s 5-8m/s 9-10m/s 1 EEPR 3.3 2.1 3.7 2.9 2 CECA 19.3 15.2 16 17
International Journal of Computer Networks & Communications (IJCNC) Vol.11, No.3, May 2019 27 2-4 5-8 9-10 0 5 10 15 20 25 30 Residualenergy(%) Speed(m/s) EEPR CECA Figure 4. Measurement of speed Vs Residual energy Figure 4 shows comparatively the graphical representation of data between the varying speed of nodes (m/s) and the average residual energy (%) in case of both the proposed CECA algorithm and the existing EEPR algorithm. When the speed increases from 2 to 4m/s, the residual energy was observed to be 19.7% in the case of CECA based algorithm, while the same was observed to be 12.5% in the case of EEPR based algorithm. In a similar manner, when the speed increases from 5 to 8m/s, the residual energy was observed to be 25.3% and 11.9% respectively; and in the case of 9 to 10m/s, the residual energy was observed to be 28% and 13.7% respectively. The reason for this change is the same as that already discussed in Table2(a). 2-4 5-8 9-10 0 5 10 15 20 Endtoenddelay(%) Speed(m/s) EEPR CECA Figure 5.Measurement of speed Vs End to end delay Similarly, Figure 5 shows the graphical representation of data measurement obtained by varying speed (m/s) Vs end to end delay (%) for both proposed CECA and with the existing EEPR algorithm. When the speed increases from 2 to 4, 5 to 8 and 9 to 10m/s, the end to end delay was observed to be 19.3%, 15.2% and 16% in the case of CECA based algorithm, while the same was observed to be 3.3%, 2.1% and 3.7% in the case of EEPR based algorithm, respectively for the same reason that has discussed earlier.
International Journal of Computer Networks & Communications (IJCNC) Vol.11, No.3, May 2019 28 4.3. Performance Comparison with Respect to Density of Nodes The density of the network is varied by varying the number of nodes in the network. The node density varies from 10 to 100 nodes under the following constant parameters during the simulation. The speed of the node is 5(m/s), the pause time of the node is 50 seconds and the terrain dimension is 1000m ×1000m. Table 3(a) shows the comparative results between the proposed CECA and the existing EEPR algorithm with respect to the number of nodes and the average residual energy (mWhr). When the density of the node increased from 10 to 100 nodes, the average remaining energy of the nodes was also observed to get increased depending on the availability of the numbers of intermediate nodes present there to transmit the packets in the network. Thus the proposed CECA algorithm increases the average residual energy by 16.1% over the existing EEPR algorithm. This is because the proposed CECA technique chooses the minimum Inter-Meeting Time nodes in the route selection, which will minimize the control packets considerably over the other protocols. Hence, it minimizes energy consumption and increases the average residual energy over the other existing protocols [25]. Table3(b)shows the comparative results between the proposed CECA and the existing EEPR algorithm with respect to the number of nodes Vs end to end delay in (m/s). When the density of the node increases from 10 to 100 nodes, the average End to End delay of the nodes was also observed to get increased because of the time consumed for route discovery and the cumulative number of packets in the buffer. The statistics show that the proposed CECA reduce the average End to End delay by 15.9% over the existing EEPR algorithm. This reduction is mainly due to the optimized route selection by choosing the nodes that have reduced Inter-Meeting Time. Similarly, Table 3(c) shows the comparative results between the proposed CECA and the existing EEPR algorithm with respect to the number of nodes Vs control overhead in packets. When the density of the node increases from 10 to 100 nodes, the average control overhead also increases because of the availability of the number of control packets that are used for route discovery and maintenance. Thus, the proposed CECA algorithm shows better performance in reducing the control overhead by 23.7% over the EEPR algorithm. This decrease in control overhead is accomplished by minimizing the number of retransmission and route discovery by forming a more stable energy efficient route.
International Journal of Computer Networks & Communications (IJCNC) Vol.11, No.3, May 2019 29 Table 3. Performance comparison with respect to density of nodes (a) Number of nodes Vs Average residual energy S.No Algorithms Improvement in average residual energy (%) Average 10-100 nodes (%)10-40node 41-80 node 81-100 nodes 1 EEPR 10.4 11.3 9.1 10.2 2 CECA 27.3 28.1 20.6 26.3 (b) Number of nodes Vs End to end delay S.No Algorithms Reduction end to end delay (%) Average 10-100 nodes (%) 10-40 nodes 41-80 nodes 81-100 nodes 1 EEPR 22.5 19.1 2.9 12.2 2 CECA 30.5 33.2 13.1 28.1 (c) Number of nodes Vs Control overhead S.No Algorithms Reduction in control overhead (%) Average 10-100 nodes (%) 10-40 nodes 41-80 nodes 81-100 nodes 1 EEPR 7.8 12.6 6.7 9.5 2 CECA 24.4 37.6 42.2 33.2 20-40 41-80 81-100 0 5 10 15 20 25 30 Residualenergy(%) Number of nodes EEPR CECA Figure 6. Measurement of number of nodes Vs Residual energy Figure 6 comparatively shows the graphical representation of data between the varying number of nodes and the average residual energy (%) in case of both the proposed CECA algorithm and the existing EEPR algorithm. When the number of nodes increases from 20 to 40, the average residual energy was observed to be 27.3% in the case of CECA based algorithm, while the same was observed to be 10.4% in the case of EEPR based algorithm. Whereas for 41 to 80 nodes, the observed values are 28.1% and 11.3%, and for 81 to 100 nodes it was 20.6% and 9.1% respectively. The reason for this change is the same as that already discussed in Table3.
International Journal of Computer Networks & Communications (IJCNC) Vol.11, No.3, May 2019 30 10-40 41-80 81-100 0 5 10 15 20 25 30 35 Reductionofendtoenddelay(%) Number of nodes EEPR CECA Figure7. Measurement of number of nodes Vs Reduction of end to end delays Similarly, Figure 7 shows the graphical representation of data measurement obtained by the number of nodes Vs reduction end to end delay (%) for both proposed CECA and with the existing EEPR algorithm. When the density of the nodes increases from 20 to 40, 41 to 80 and 81 to 100 nodes, the average end to end delay of the nodes was observed to be 30.5%, 33.2% and 13.1% in the case of CECA based algorithm, while the same was observed to be 22.5%, 19.1% and 2.9 % in the case of EEPR based algorithm, respectively for the same reason as discussed above. 10-40 41-80 81-100 0 5 10 15 20 25 30 35 40 45 Reductionofcontroloverhead(%) Number of Nodes EEPR CECA Figure 8. Measurement of number of nodes Vs Reduction control overhead Likewise, Figure 8 shows the graphical representation of data measurement obtained by a varying number of nodes Vs control overhead (%) for both proposed CECA and compared with the existing EEPR algorithm. When the density of the nodes increases from 20 to 40, 41 to 80 and 81 to 100, the average control overhead of the nodes was observed to be 24.4%, 37.6% and 42.2% in the case of CECA based algorithm, while the same was observed to be 7.5%, 12.6% and 6.7% in the case of EEPR based algorithm, respectively for the same reason.
International Journal of Computer Networks & Communications (IJCNC) Vol.11, No.3, May 2019 31 5. CONCLUSION Context-aware energy conserving routing algorithm is used to improve the network lifetime, to reduce the end to end delay and control overhead. The proposed algorithm thus improved the performance metrics by discovering the energy efficient route with the aid of efficient inter- meeting time and residual energy calculation. The performance metrics such as average residual energy, end to end delay and control overhead are evaluated with respect to speed, number of nodes and then it was compared with the existing EEPR algorithm. The statistical result showed that the proposed CECA can considerably improve the performances over the existing EEPR. ACKNOWLEDGEMENTS The authors thank S R Engineering College (Autonomous) management for providing the facility regarding research works. REFERENCES [1] D. Kothandaraman And C. Chellappan, (2017) “Human Activity Detection System Using Internet Of Things, International Journal On Computer Science And Engineering (Ijcse)”, Vol. 9, No.11. Pp. 657- 665. [2] Ravi Kumar Poluru And Shaik Naseera, (2017)“A Literature Review On Routing Strategy In The Internet Of Things, Journal Of Engineering Science And Technology Review”, Vol.10, No. 5, Pp. 50- 60. [3] Harilton Da Silva Araújo, Raimir Holanda Filho, Joel J. P. C. Rodrigues, Natanael De C. Sousa, José C. C. L. S. Filho And José V. V. Sobral, (2018) “A Proposal For Iot Dynamic Routes Selection Based On Contextual Information, Sensors”, Vol.18, No.2, Pp.1-16. [4] Yichao Jin, Sedat Gormus, Parag Kulkarni And Mahesh Sooriyabandara, (2016) “Content Centric Routing In Iot Networks And Its Integration In Rpl”, Computer Communications, Vol. 89, No. 90,Pp. 87-104. [5] Da Ran Chen, (2016) “An Energy Efficient Qos Routing For Wireless Sensor Networks Using Self- Stabilizing Algorithm”, Ad Hoc Networks, Vol. 37, Pp. 240-255. [6] N. R. Wankhade And D. N. Choudhari, (2016) “Novel Energy Efficient Election Based Routing Algorithm For Wireless Sensor Network”, 7th International Conference On Communication, Computing And Virtualization (Icccv) Procedia Computer Science, Vol. 79, Pp. 772-780. [7] Yue Zhang, Nicola Dragoni And Jiangtao Wang, (2015) “A Framework And Classification For Fault Detection Approaches In Wireless Sensor Networks With An Energy Efficiency Perspective”, International Journal Of Distributed Sensor Networks, Vol.15, Pp.1-11. [8] Bal Krishnasaraswat, Manish Bhardwaj And Analp Pathak, (2015) “Optimum Experimental Results Of Aodv, Dsdv & Dsr Routing Protocol In Grid Environment”, Procedia Computer Science, Vol. 57,Pp. 1359-1366. [9] Tuan Nguyen Gia, Amir Mohammad Rahmani, Tomi Westerlund, Pasi Liljeberg, Hannu Tenhunen, (2015) “Fault Tolerant And Scalable Iot-Based Architecture For Health Monitoring”, Ieee Sensors Applications Symposium (Sas), Zadar, Croatia, Pp. 1-6. [10] Sang Hyun Park, Seungryong Cho And Yung Ryun Lee, (2014) “Energy-Efficient Probabilistic Routing Algorithm For Internet Of Things”, Journal Of Applied Mathematics, Vol. 14,Pp. 1-7.
International Journal of Computer Networks & Communications (IJCNC) Vol.11, No.3, May 2019 32 [11] Onur Yilmaz, Orhan Dagdeviren And Kayhan Erciyes, (2014) “Localization-Free And Energy Efficient Hole Bypassing Techniques For Fault Tolerant Sensor Networks”, Journal Of Network And Computer Applications Archive, Vol. 40,No. 14, Pp. 164-178. [12] Charith Perera, Arkady Zaslavsky, Peter Christen And Dimitrios Georgakopoulos, (2014)“Context Aware Computing For The Internet Of Things: A Survey”, Ieee Communications Surveys And Tutorials, Vol. 16, No. 1,Pp. 414-454. [13] P. Sivasankar, C. Chellappan And S. Balaji, (2011) “Energy Efficient Routing Algorithms And Performance Comparison For Manet”, Ciit International Journal Of Wireless Communication, Vol. 3, No. 10,Pp. 755-759. [14] Zhikui Chen, Haozhe Wang,Yang Liu, Fanyu Bu And Zhe Wai, (2012) “A Context-Aware Routing Protocol On Internet Of Things Based On Sea Computing Model”, Journal Of Computers, Vol. 7, No. 1, Pp. 96-105 [15] Han Cai And Do Young Eun, (2007) “Crossing Over The Bounded Domain: From Exponential To Power-Law Inter-Meeting Time In Manet”, Mobicom '07 Proceedings Of The 13th Annual Acm International Conference On Mobile Computing And Networking, Pp. 159-170. [16] V. Mahendran And S. Sivarammurthy, (2013) “Buffer Dimensioning Of Dtn Replication Based Routing Nodes”, Ieee Communications Letters, Vol.17, No. 1.Pp. 123-126, [17] D.Kothandaraman, A. Amuthan, C. Chellappan, And N. Sreenath, (2011)“Prevention Of Vulnerabilities On Location- Based Geocasting And Forwarding Routing Protocol In Mobile Ad-Hoc Network”, International Journal Of Security And Its Applications, Vol. 5, No. 1, Pp. 65-76. [18] Federica Bogo And Enoch Peserico, (2013) “Optimal Throughput And Delay In Delay-Tolerant Networks With Ballistic Mobility”, Mobicom '13 Proceedings Of The 19th Annual International Conference On Mobile Computing & Networking, Miami, Florida, Usa, Pp. 65-76. [19] Said El Kafhali And Abdelkrim Haqiq, (2013) “Effect Of Mobility And Traffic Models On The Energy Consumption In Manet Routing Protocols”, International Journal Of Soft Computing And Engineering, Vol. 3, No. 1, Pp. 242-249. [20] Pinki Nayak, Rekha Agrawal Seema Verma, (2012) “Energy Aware Routing Scheme For Mobile Ad Hoc Network Using Variable Range Transmission”, International Journal Of Ad Hoc, Sensor & Ubiquitous Computing, Vol.3, No.4, Pp. 53-63. [21] Shivashankar, Golla Varaprasad, (2014) “Suresh Hosahalli Narayanagowda, Implementing A New Power Aware Routing Algorithm Based On Existing Dynamic Source Routing Protocol For Mobile Ad Hoc Networks Networks”, Iet Netw., Vol. 3, No. 2,Pp. 137-142. [22] Sallauddinmohmmad, Shabana, Ranganath Kanakam, (2017) “Provisioning Elasticity On Iot's Data In Shared-Nothingnodes”, International Journal Of Pure And Applied Mathematics”, Vol. 117, No. 7, Pp. 165-173 [23] Dharamvir, S.K. Agarwal, S.A. Imam, (2013)“End To End Delay Based Comparison Of Routingprotocols In Wireless Networks”, International Journal Of Advanced Research In Computer Engineering & Technology, Vol. 2, Issue No.11, Pp.2988-2993. [24] Asiyehkhoshnood, Zahra Mollabagheri, (2017) “Reduce The Control Overhead Geographic Opportunistic Routing In Mobile Ad Hoc Networks”, Ijcsns International Journal Of Computer Science And Network Security, Vol.17 No.6, Pp.212-215. [25] Hewei Yu, And Meiling Zhou, (2018) “Improved Handover Algorithm To Avoid Duplication Aaa Authentication In Proxy Mipv6”, International Journal Of Computer Networks & Communications (IJCNC) Vol.10, No.3, Pp. 75-85.

CONTEXT-AWARE ENERGY CONSERVING ROUTING ALGORITHM FOR INTERNET OF THINGS

  • 1.
    International Journal ofComputer Networks & Communications (IJCNC) Vol.11, No.3, May 2019 DOI: 10.5121/ijcnc.2019.11302 15 CONTEXT-AWARE ENERGY CONSERVING ROUTING ALGORITHM FOR INTERNET OF THINGS D. Kothandaraman1 , C. Chellappan2 , P. Sivasankar3 and Syed Nawaz Pasha1 1 Department of Computer Science and Engineering, S R Engineering College, Warangal, TS, India 2 Department of Computer Science and Engineering, CEG, Anna University, Chennai, TN, India 3 Departmentof Electronics Engineering, NITTTR, Chennai, TN, India ABSTRACT Internet of Things (IoT) is the fast- growing technology, mostly used in smart mobile devices such as notebooks, tablets, personal digital assistants (PDA), smartphones, etc. Due to its dynamic nature and the limited battery power of the IoT enabled smart mobile nodes, the communication links between intermediate relay nodes may fail frequently, thus affecting the routing performance of the network and also the availability of the nodes. Existing algorithm does not concentrate about communication links and battery power/energy, but these node links are a very important factor for improving the quality of routing in IoT. In this paper, Context-aware Energy Conserving Algorithm for routing (CECA) was proposed which employs QoS routing metrics like Inter-Meeting Time and residual energy and has been applied to IoT enabled smart mobile devices using different technologies with different microcontroller which resulted in an increased network lifetime, throughput and reduced control overhead and the end to end delay. Simulation results show that, with respect to the speed of the mobile nodes from 2 to 10m/s, CECA increases the network lifetime, thereby increasing the average residual energy by 11.1% and increasing throughput there by reduces the average end to end delay by 14.1% over the Energy-Efficient Probabilistic Routing (EEPR) algorithm. With respect to the number of nodes increases from 10 to 100 nodes, CECA algorithms increase the average residual energy by16.1 % reduces the average end to end delay by 15.9% and control overhead by 23.7% over the existing EEPR. KEYWORDS Energy conserving, Smart mobile devices, Routing, Residual energy, Inter-meeting time. 1. INTRODUCTION Internet of Things (IoT) is the emerging technology in day-to-day life due to their improved use in the ubiquity of smart mobile devices such as notebooks, smartphones, tablets, various personal digital assistantsetc., [1]. By using IoT enabled network things (i.e.) "connected anywhere at any time”, it could be possible to create a digital world. But here many routing problems arise due to complexity in the network and also energy conserving routing is difficult to achieve. So that context-aware energy conserving algorithm [2,3] has been applied to the IoT enabled smart mobile devices using different technology, which in turn involves mobile nodes connected with wired and wireless networks. Yet, efficient smart mobile devices or nodes detection and routing systems are a major challenge task because of its mobility and energy consumption behavior. Due to mobility, the transmission links between the systems may change/very frequently, depending on the nodes signals, thus resulting in frequent changes in links, which affects the performance of communication between mobile nodes and systems. Thus IoT enabled mobile users links are important factors in enhancing the quality of communication.
  • 2.
    International Journal ofComputer Networks & Communications (IJCNC) Vol.11, No.3, May 2019 16 The proposed Energy- Efficient Content-Based Routing (EECBR) protocol for the IoT mainly minimizes the energy consumption [4]. The main scope of the paper is to study routing protocols for publish/subscribe orders. While the main advantage of this model is it handles heterogeneity issues experienced among IoT devices and provides a common framework for communication. The IoT sensor nodes are provided with one or more integrated sensors which have characteristics like limited computing, memory and power abilities. They have also the ability to interconnect at a short-range distance. The wireless sensor networks consist of a large number of sensor nodes, which are capable of sensing, gathering, processing and transmitting data [5]. They have the tendency to collect data on the target environment and can send the data to Bases Station (BS) sensor nodes using wireless communication techniques. WSNs have been widely applied to different fields like industrial, military and civilian. The important application includes industrial plant management, motor/engine monitoring, tracking, surveillance, healthcare system, and geographic information analysis, etc. Sensor nodes are closer to the sink node. In the case of closer nodes, energy consumption was observed to be high when compared to the other nodes so that it would have a reduced Network Life Time (NLT). For this problem, a solution based on the typical election based protocol has been proposed. The decision of selecting the cluster heads by the sink node is mainly associated with additional energy, residual energy and node location at each node [6]. Design of fault-tolerant internet of things systems, mainly for the fault detection framework was introduced using a wireless sensor network [7]. In this paper, the author proposed a classification algorithm for fault detection methods which can be applied to a number of fault detection approaches for the sake of comparison of some characteristics specifically, energy effectiveness, correlation model, evaluation method and accuracy. After introduction, various researchers chose different perspective as discussed in section 1.1. 1. 1. Related Works In case of Mobile Ad-hoc Network (MANET) routing protocol in grid environment [8],the author compares and discussed about the best protocol among Ad-hoc On-demand Distance Vector (AODV), Dynamic Source Distance Vector (DSDV) and Dynamic Source Routing (DSR) routing protocols in terms of mobility, using the various performance metric such as packet delivery ratio, average end to end delay and packet loss. Internet of things based system architecture supported by reliability, scalability, fault-tolerances for healthcare monitoring applications [9] is constructed using 6LoWPAN energy efficient communication for the purpose of an increased network lifetime. In the system, fault tolerance is accomplished by backup routing between nodes and system nodes. The system for extending the number of medical sensing nodes at a single gateway is accessible. A widespread system architecture design quantity of types from bio-signal achievement such as electrocardiogram, electroencephalography, and electromyogram to the representation of the graphical waveform of these gathered bio-signals for remote real-time tracking is proposed. The Energy-Efficient Probabilistic RoutingEEPR algorithm for the internet of things includes an application of both the residual energy node and the expected transmission count value in it, to determine the routing metrics at the same time [10]. The proposed EEPR algorithm controls the number of the Route Request (RREQ) packets using the above said application and thus enables energy efficient routing setup. Simulation results of the proposed work i.e. EEPR algorithm have increased NLT, residual energy of each node and also the routing setup delay, but on the other hand, routing success probability is marginally decreased when compared with the typical Ad-hoc On-demand Distance Vector (AODV) protocol.
  • 3.
    International Journal ofComputer Networks & Communications (IJCNC) Vol.11, No.3, May 2019 17 Energy efficient node fault analysis and recovery of a Wireless Sensor Networks (WSN) [11]was discussed based on the multipath data routing system which is mainly used for shortest path to ensure energy efficient data routing while other backup paths are used as an alternative path for faulty network and to handle the overloaded traffic on the channel. Context-aware computing research efforts are used to understand how the challenges in this field have been tackled in desktop, web, mobile, sensor networks, and pervasive computing paradigms [12]. A large number of solutions exist for this facing challenge in terms of systems, middleware, applications, techniques, and models as suggested by various researchers. The Energy Efficient Delay Time Routing (EEDTR) algorithm [13] differs from the existing methods as discussed below. The neighbour node will introduce a delay in sending the RREQ packet, which is inversely proportional to its remaining energy level. Based on this protocol, RREQ packet is either sent by the maximum remaining energy node with a smaller delay, or by the minimum energy residual node with a long delay. Hence, the sink node receives the RREQ the packet forwarded by the maximum energy-remaining intermediate relay nodes. When the an RREQ packet is received by the sink node, a RREP packet will be sent back to the route initiated source node. These modifications improve the battery life of the node for more time. Introducing a delay in the network increases the end to end delay. Context-awareness based energy efficient routing algorithm that has a longer lifetime than the congeneric protocols [14, 15]. The present research work focuses on context-aware energy conserving algorithm which uses two QoS parameter such as Inter-Meeting Time (IMT) and residual energy of nodes. It was proposed to improve the throughput and network’s lifetime considerably over another available algorithm. The main reason for considering the proposed CECA algorithm is it includes both the residual energy of the nodes and transmission links between the systems for establishing the energy efficient links. 2. CONTEXT-AWARE ENERGY CONSERVING ROUTING ALGORITHM In IoT all smart mobile devices act like actors, it is important to collect the context of the environment for fast routing and it generates knowledge after examining it which is used for making routing decisions[2]. In the proposed context-aware energy conserving algorithm, nodes are assumed to be as ‘i, j, k, l, m and d’while routing mobile node is assumed to be as . Here source node sends a Route Request (RREQ) packet to its neighbor nodes, which should be present within the nodes transmission range; otherwise, the RREQ packet will be discarded. Suppose if any of the neighbor nodes receive the RREQ, then it starts to compute the IMT which represents the amount of time during which neighbor nodes become unable to transfer the packets directly with each other, after which they lose their transmission link between them. In order to forward the RREQ packet to the corresponding neighbor nodes, the IMT should be less than the other neighbor nodes and in addition, the residual energy should be greater than the threshold energy. Based on these two conditions, the packets are routed until they reach the destination node. If the distance between the neighbor nodes is only one hop, then it sends the Route Reply (RREP) packet to the source node; otherwise, the neighbor node forwards the RREQ packet to the destination node via intermediary nodes. In this way, the proposed CECA discover an efficient route (i.e. the above-said conditions) for the source to reach the destination node. In the design of this routing algorithm, computation of IMT play a vital role to identify a more robust, stable path and it is discussed below.
  • 4.
    International Journal ofComputer Networks & Communications (IJCNC) Vol.11, No.3, May 2019 18 The present algorithm is mainly designed to minimize the link failures, to reduce the end to end delay in the IoT nodes and finally to increase the throughput and NLT. This CECA can be implemented by using DSR (Dynamic Source Routing) protocol while the route discovery in the DSR protocol has been modified so as to enable the selection of the most energy conserving and stable routes by the source nodes itself [16]. The route maintenance is essentially the same as in DSR protocol. The Major part of the proposed CECA is, it concentrates on predicting the neighbor nodes Inter-Meeting Time and to calculate the route discovery using the Inter- Meeting Time and the Residual Energy of the nodes. The following subsection describes the Inter-Meeting Times of the neighbor nodes. 2.1. Inter-Meeting Time Prediction Since the ability of a multi-hop internet of things networks are used to transfer user’s activity information between a pair of nodes in a timely manner, it depends critically on the time-varying network connectivity and thus it is necessary to understand the statistical properties of Inter- Meeting Time [15]. Let be the successive meeting times between nodes and . the Inter-Meeting Time between nodes and . Transmission between nodes i and j can occur only at their meeting times and are assumed to be instantaneous. Also, it was assumed that, if transmission occurs between nodes and at some other meeting time then it would be a successful one and as a result, the node carries the packet just before the time . Possible sensor events of the nodes in the networks represent the change in either directions or positions and nodes that occur within its transmission range of each other. For those nodes that occur outside the transmission range of each other [7], it is essential to calculate the time that occurs between the change in direction of a node and the time of a possible meeting with another user before its next change in direction. To understand this, example situation is shown the figure 1. Figure1. Inter-meeting time of node and where,
  • 5.
    International Journal ofComputer Networks & Communications (IJCNC) Vol.11, No.3, May 2019 19 Let the random waypoint position of the nodes and j are denoted by and distance between two nodes are represented as . Let us assume that the user changes their direction with time . Let the position of the node j = {1,2, ... , N} in that mobility was given by the direction is given by and the speed is given by . The position of nodejat time is given in equations 1 and 2: (1) (2) The nodes that occur either in or out of transmission range from each other at a time ( the distance between them as exactly is given in an equation 3. (3) Substituting equation 1 and 2 in equation 3 gives: By solving the above second degree polynomial in equation 4 and 5 can be obtained: (4) (5) where, , , , , . Here and , represents the mobility in time when the node is in transmission range/out of transmission range each other. The following conditions are satisfied, Step , two nodes never meet. Step , theoretical transmission range and out of transmission range took place in the past. Step , they are in transmission range at time and will be out of transmission range at time . Step , they are in transmission range at time and will be out of transmission range at time . The and can be assumed as a time until the next change of direction of both nodes occurs, and then the appropriate event can be scheduled.
  • 6.
    International Journal ofComputer Networks & Communications (IJCNC) Vol.11, No.3, May 2019 20 2.2. Calculation of Residual Energy According to this model, the energy consumed at each node due to a flow can be calculated in a simple way as follows. Depending on the condition, whether the node belongs to flow or not and in case if the flow is a node in, the total energy expenditure at a node due to another node in the network can be obtained by using equation 6[16]. (6) where, ERpck = energy spent for the reception of 2.2.1.Calculation of Energy Required For Tx and Rx of A Single Packet Sample worked out as an example for the calculation of energy requirement for a data packet is given below: If packet length = 1500 bytes, bit rate = 250kbps (48 ms/packet or 20.8 packet/sec), then Total packet size = size of (preamble + PLCP (Physical Layer Convergence Protocol) + MAC header + IP header + data) = (145 + 48 + 28 × 8 + 20× 8 + 1500 × 8) bits The preamble and PLCP header are communicated at 1Mbps while the rest of them are sent at 11Mbps. Thus, it has 145 + 48 bits sent at 1Mbps, with a transmission time for a packet = 0.19ms. With 8 × 1548 bits sent at 11Mbps, the transmission time for a single packet is Hence the total transmission time for a single packet= 1.128 + 0.19=1.318ms For acknowledgement packets: Packet length = 14bytes, bits rate =250kps Total packet size=size of (Preamble + PLCP + ACK) = (145 + 48 + 14 × 8) bits. So transmission time for single packet=0.304ms. 2.2.2.Calculation of Energy Spent In general, transmission power used was 1.3mwhr and reception power was 0.9mwhr, thus the various energy cost components were,
  • 7.
    International Journal ofComputer Networks & Communications (IJCNC) Vol.11, No.3, May 2019 21 Thus, using the energy calculation equation 6, as an example here source node can only be calculated for flow as shown below. i.e., source : Finally, the residual energy is calculated using equation 7 (7) Other two modes which are sleep and idle are not considered in our proposed work. Initially, every user has full battery capacity say 100% which represents the current energy. On each transmission or reception of a data packet, the residual energy is found to be utilized and can be calculated by using equation 7. In case, if the residual energy falls below 30 %, then that user will not act as a router to forward the packets. 3. WORKING MODEL FOR ENERGY CONSERVING ROUTING ALGORITHM In these proposed CECA, if a source node wants to deliver the data packets to the destination node, at first step it should compare the threshold energy of the next neighbor node and it’s Inter- Meeting Time. If the intermediate user satisfies the criteria of its residual energy level being greater than the threshold energy level, then it compares the Inter-Meeting Times with its pair. When the Inter-Meeting Times of the node pair is less than Inter-Meeting Time of node pair than and can be calculated which gives the mobility in time when the mobile nodes come into transmission range with one another. If ( ), nodes are in transmission range with each other and route is established between them. The same method will stay until the destination node is reached. When the RREQ packet reaches the destination node, the node acknowledges by sending the RREP packet to the source node. Flow chart for the proposed CECA algorithm is shown below in figure 2 and the algorithms are described below.
  • 8.
    International Journal ofComputer Networks & Communications (IJCNC) Vol.11, No.3, May 2019 22 Figure 2. Flow chart representations for route discovery in the CECA 3.1. Algorithm for Energy Conserving Input: Inter-Meeting Time and Residual energy Output: Energy conserving path between sender and receiver nodes Step 1: Compare the residual energy of the neighbour node with the threshold energy level Step 2: If then calculate Inter-Meeting Time of the pair of neighbor nodes like and i.e., and otherwise, go to 8. Step 3: Compare the Inter-Meeting Time of the node pair with the node pair. Step 4: If Inter-Meeting Time of node is then go to 5. Otherwise, go to 6. Step 5: Calculate and which give the mobility in time when the mobile nodes come into transmission range with one another.
  • 9.
    International Journal ofComputer Networks & Communications (IJCNC) Vol.11, No.3, May 2019 23 If { Nodes and are in transmission range with each other; Establish a route between nodes i and j } Else { Discard route between nodes and } Skip 6 and go to 7. Step 6: If , then go to 5. Otherwise, go to 7 Step 7: Compare Inter-Meeting Time of the next pair of neighbor nodes and continues the process from step 4. Step 8: Choose next neighbor node having higher residual energy with the threshold energy level and continues the process from step 2. Figure3 illustrates a pictorial representation for route establishment using CECA; while the assumed residual energy levels after a finite amount of time are represented in figure 3. Source node needs to send the packet to the destination nodes. In the system i, j, k, l and m are the intermediate nodes between . Users is the neighbor nodes to . As per the proposed CECEA, initiates route discovery process by broadcasting the RREQ packets to its neighbor users. For this, at first, it should compare the residual energy levels of the intermediate neighbour users . In the network as shown in figure 3, node represents the residual energy value to be 20mWhr which is less than the threshold energy level i.e., 30mWhr. As per the CECA, RREQ packet is not forwarded to the node . Neighbor users are satisfied, and hence, the Inter-Meeting Times of users are compared as per CECA. S i j k l m d τS,i (t)=4ms Eri=80mWhr τS,j (t) =2ms Erj=90mWhr τS,k (t) =6ms Erk=20mWhr τs,l (t)=1ms Erl=60mWhr τs,d (t)=4ms Erd=80mWhr RREQ RREQ RREQ RREP Assumed Eth=30mWhrRREQ packet will be forwarded only if the node satisfies that Er≥Eth and lowest Inter-Meeting Time compared to other smartphone users RREQ RREQ Transmission range τs,m (t)=5ms Erm=85mWhr RREQ Figure 3. Pictorial representations for route establishment using CECA Inter-Meeting Time of the neighbor nodes pair is 2ms which is less than the Inter-Meeting Time of neighbor nodes pair which is 4ms. Hence forwards RREQ packet to node j instead of node the same procedure is followed to forward the RREQ packet to reach the destination node. When the RREQ packet reaches the destination node, it replies back to the source using the RREP packet. The source node will start packet transmission using the energy efficient path available in the RREP packet.
  • 10.
    International Journal ofComputer Networks & Communications (IJCNC) Vol.11, No.3, May 2019 24 4. RESULTS AND DISCUSSION The experimental work was carried out using the Global Mobile Information System Simulator GloMoSIM-2.03 parameter as represented in Table1 [17]. Any work in general has been tested with the various Ballistic Mobility models like uniform and random waypoint mobility models [18]. However, since the uniform mobility model is simple when compared to the random way point mobility model, the present work has been evaluated only with random waypoint mobility model. So that proposed method (CECA) has a better result in comparison with existing (EEPR). Also in this work, it was assumed that the arrival of the node and Inter-Meeting Times of the nodes follow the exponential distribution. 4.1. Experimental Setup GloMoSim is a scalable simulation environment for large wireless and wired communication networks [17]. It uses a parallel discrete-event simulation capability provided by parsec GloMoSim simulates networks with up to thousand nodes linked by a heterogeneous communications capability that includes multicast, asymmetric communications using direct satellite broadcasts, multi-hop wireless communications using mobile ad-hoc networking and traditional internet protocols. This simulator is most suitable to implement the present system when compared with another simulator. In the proposed work, the speed of the nodes is varied from 2m/s to 10m/s i.e., 7.2kmph (fast walk) to 36kmph (medium speed of the vehicle/mobile nodes) and the experiments are carried out in the simulator and the results are discussed below in detail. But in general, the speed of the node is fixed at the rate of 5m/s i.e., 18kmph which is assumed to be apt for slow running condition and the experiments are carried out at this fixed node speed. Also, the density of the node has been varied within the specified dimension from 10 nodes to 100 nodes i.e., sparse and dense situations are tested by simulation. Similar to the experiments related to the speed variation, the simulation experiments are carried out by varying the mobility of the node and by varying the pause time parameter of the node [19]. If the pause time in an experiment is more than it represents that the nodes are more stable. Similarly, less pause time indicates that the nodes are highly mobile. In this present simulation scenario, the less mobility of the nodes has been considered. Hence pause time has been fixed to be around 50s. The terrain dimension, on the other hand, could also vary from 500m×500m to 2000m×2000m [20]. The nodes are placed uniformly in the dimension of 1000m×1000m. The maximum of 100 nodes can be comfortably placed within the area of 1km×1km. Hence, the proposed work uses 1000m×1000m, dimension area and this was implemented by using the random waypoint mobility model [21, 22]. In this, each node has been assigned an initial waypoint position in a given area and it was allowed to travel at a constant speed source to a destination waypoint which was chosen uniformly in this area. For this, the speed source was chosen to be uniformly in , which is independent of the initial position and destination. After receiving the destination, the node may pause for an arbitrary amount of time after which a new destination and a new speed are chosen, independent of all the previous destinations, speeds and pause times.
  • 11.
    International Journal ofComputer Networks & Communications (IJCNC) Vol.11, No.3, May 2019 25 Table 1. Simulation parameter Parameters Value Simulation Time 15m Seed 1 Node Placement Uniform Mobility Random-Waypoint Mobility WP-Min-Speed 0 Mobility Position Granularity 0.5 Propagation Limit -111.0 Propagation Pathloss Free-space Noise Figure 10.0 Radio Type Radio Accnoise Radio Initial Power Level 4000 Radio Frequency 2.4e9 Radio Bandwidth 2000000 Radio Rx Type SNR Bounded Radio Rx SNR Threshold 10 Radio Tx-Power 15 Radio-Antenna Gain 0.0 Radio Rx Sensitivity -81.0 Radio Rx Threshold -81.0 Mac Protocol 802.11 Promiscuous Mode Yes Network Protocol IP Routing Protocol DSR Network Output Queue Size Per Priority 100 The various parameters that were estimated during the simulation are as follows: Residual Energy : It is defined as the average of the residual energy levels of all the nodes in the network and is given in equation 8 (8) End to End Delay (EED): It represents the overall average delay experienced by a packet from the source to the destination, i.e. it represents the average time involved in the delivery of data packets from the source to the destination node. To compute the average end to end delay, every delay for each successful data packet delivery has been added and then divides that sum by the number of successfully received data packets as given in equation 9 [23]. (9) Control Overhead (CO): It represents the sum of the number of RREQ, RREP and Route Errors (RERR) as represented in equation 10 [24]. (10)
  • 12.
    International Journal ofComputer Networks & Communications (IJCNC) Vol.11, No.3, May 2019 26 These metrics were estimated by varying the following parameters are: 1. Speed (m/s) 2. Number of nodes 4.2. Performance Comparison with Respect to Speed The performance metrics of the proposed CECA were compared with the existing Energy- Efficient Probabilistic Routing (EEPR) algorithm [10] by varying the speed of the mobile nodes in the network. The performance metrics are estimated and compared with respect to the variation in the speed of the mobile nodes from 2 to 10m/s under the following constant parameters during the simulation. The network density is 100 nodes, the pause time of the node is 50 seconds, the number of Source and Destination Pairs (SDP) (traffic sources) are 10 and the terrain dimension is 1000m ×1000m. Table 2(a) shows the comparison results between the proposed CECA with the existing EEPR algorithm with respect to the varying speed of nodes (m/s) and the average residual energy (mWh). When the speed increased from 2 to 10m/s, the average residual energy of the nodes decreased because of the change in the frequency topology which in turn causes more overhead in the route discovery where it consumed more energy of the mobile nodes. Thus, the proposed CECA increase the network lifetime, thereby increasing the average residual energy by 11.1% over the EEPR algorithm. Table2(b) shows the comparison results between the proposed CECA with that of an existing EEPR algorithm with respect to the varying speed of the nodes (m/s) and the end to end delay (m/s). When the speed increases from 2 to 10m/s, the average end to end delay between the end nodes also increases due to frequent change in the network topology. This, in turn, increases the end to end delay to deliver the packets to the destination node. The statistics show that the CECA algorithm reduces the average end to end delay over the other existing EEPR by 14.1% respectively. Table 2. Performance comparison with respect to speed (a) Speed Vs Average residual energy S.No Algorithms Improvement in average residual energy (%) Average 2-10m/s 2-4m/s 5-8m/s 9-10m/s 1 EEPR 12.5 11.9 13.7 12.5 2 CECA 19.7 25.3 28 23.6 (b) Speed Vs End to end delay S.No Algorithms Improvement in average end to end delay (%) Average 2-10m/s 2-4m/s 5-8m/s 9-10m/s 1 EEPR 3.3 2.1 3.7 2.9 2 CECA 19.3 15.2 16 17
  • 13.
    International Journal ofComputer Networks & Communications (IJCNC) Vol.11, No.3, May 2019 27 2-4 5-8 9-10 0 5 10 15 20 25 30 Residualenergy(%) Speed(m/s) EEPR CECA Figure 4. Measurement of speed Vs Residual energy Figure 4 shows comparatively the graphical representation of data between the varying speed of nodes (m/s) and the average residual energy (%) in case of both the proposed CECA algorithm and the existing EEPR algorithm. When the speed increases from 2 to 4m/s, the residual energy was observed to be 19.7% in the case of CECA based algorithm, while the same was observed to be 12.5% in the case of EEPR based algorithm. In a similar manner, when the speed increases from 5 to 8m/s, the residual energy was observed to be 25.3% and 11.9% respectively; and in the case of 9 to 10m/s, the residual energy was observed to be 28% and 13.7% respectively. The reason for this change is the same as that already discussed in Table2(a). 2-4 5-8 9-10 0 5 10 15 20 Endtoenddelay(%) Speed(m/s) EEPR CECA Figure 5.Measurement of speed Vs End to end delay Similarly, Figure 5 shows the graphical representation of data measurement obtained by varying speed (m/s) Vs end to end delay (%) for both proposed CECA and with the existing EEPR algorithm. When the speed increases from 2 to 4, 5 to 8 and 9 to 10m/s, the end to end delay was observed to be 19.3%, 15.2% and 16% in the case of CECA based algorithm, while the same was observed to be 3.3%, 2.1% and 3.7% in the case of EEPR based algorithm, respectively for the same reason that has discussed earlier.
  • 14.
    International Journal ofComputer Networks & Communications (IJCNC) Vol.11, No.3, May 2019 28 4.3. Performance Comparison with Respect to Density of Nodes The density of the network is varied by varying the number of nodes in the network. The node density varies from 10 to 100 nodes under the following constant parameters during the simulation. The speed of the node is 5(m/s), the pause time of the node is 50 seconds and the terrain dimension is 1000m ×1000m. Table 3(a) shows the comparative results between the proposed CECA and the existing EEPR algorithm with respect to the number of nodes and the average residual energy (mWhr). When the density of the node increased from 10 to 100 nodes, the average remaining energy of the nodes was also observed to get increased depending on the availability of the numbers of intermediate nodes present there to transmit the packets in the network. Thus the proposed CECA algorithm increases the average residual energy by 16.1% over the existing EEPR algorithm. This is because the proposed CECA technique chooses the minimum Inter-Meeting Time nodes in the route selection, which will minimize the control packets considerably over the other protocols. Hence, it minimizes energy consumption and increases the average residual energy over the other existing protocols [25]. Table3(b)shows the comparative results between the proposed CECA and the existing EEPR algorithm with respect to the number of nodes Vs end to end delay in (m/s). When the density of the node increases from 10 to 100 nodes, the average End to End delay of the nodes was also observed to get increased because of the time consumed for route discovery and the cumulative number of packets in the buffer. The statistics show that the proposed CECA reduce the average End to End delay by 15.9% over the existing EEPR algorithm. This reduction is mainly due to the optimized route selection by choosing the nodes that have reduced Inter-Meeting Time. Similarly, Table 3(c) shows the comparative results between the proposed CECA and the existing EEPR algorithm with respect to the number of nodes Vs control overhead in packets. When the density of the node increases from 10 to 100 nodes, the average control overhead also increases because of the availability of the number of control packets that are used for route discovery and maintenance. Thus, the proposed CECA algorithm shows better performance in reducing the control overhead by 23.7% over the EEPR algorithm. This decrease in control overhead is accomplished by minimizing the number of retransmission and route discovery by forming a more stable energy efficient route.
  • 15.
    International Journal ofComputer Networks & Communications (IJCNC) Vol.11, No.3, May 2019 29 Table 3. Performance comparison with respect to density of nodes (a) Number of nodes Vs Average residual energy S.No Algorithms Improvement in average residual energy (%) Average 10-100 nodes (%)10-40node 41-80 node 81-100 nodes 1 EEPR 10.4 11.3 9.1 10.2 2 CECA 27.3 28.1 20.6 26.3 (b) Number of nodes Vs End to end delay S.No Algorithms Reduction end to end delay (%) Average 10-100 nodes (%) 10-40 nodes 41-80 nodes 81-100 nodes 1 EEPR 22.5 19.1 2.9 12.2 2 CECA 30.5 33.2 13.1 28.1 (c) Number of nodes Vs Control overhead S.No Algorithms Reduction in control overhead (%) Average 10-100 nodes (%) 10-40 nodes 41-80 nodes 81-100 nodes 1 EEPR 7.8 12.6 6.7 9.5 2 CECA 24.4 37.6 42.2 33.2 20-40 41-80 81-100 0 5 10 15 20 25 30 Residualenergy(%) Number of nodes EEPR CECA Figure 6. Measurement of number of nodes Vs Residual energy Figure 6 comparatively shows the graphical representation of data between the varying number of nodes and the average residual energy (%) in case of both the proposed CECA algorithm and the existing EEPR algorithm. When the number of nodes increases from 20 to 40, the average residual energy was observed to be 27.3% in the case of CECA based algorithm, while the same was observed to be 10.4% in the case of EEPR based algorithm. Whereas for 41 to 80 nodes, the observed values are 28.1% and 11.3%, and for 81 to 100 nodes it was 20.6% and 9.1% respectively. The reason for this change is the same as that already discussed in Table3.
  • 16.
    International Journal ofComputer Networks & Communications (IJCNC) Vol.11, No.3, May 2019 30 10-40 41-80 81-100 0 5 10 15 20 25 30 35 Reductionofendtoenddelay(%) Number of nodes EEPR CECA Figure7. Measurement of number of nodes Vs Reduction of end to end delays Similarly, Figure 7 shows the graphical representation of data measurement obtained by the number of nodes Vs reduction end to end delay (%) for both proposed CECA and with the existing EEPR algorithm. When the density of the nodes increases from 20 to 40, 41 to 80 and 81 to 100 nodes, the average end to end delay of the nodes was observed to be 30.5%, 33.2% and 13.1% in the case of CECA based algorithm, while the same was observed to be 22.5%, 19.1% and 2.9 % in the case of EEPR based algorithm, respectively for the same reason as discussed above. 10-40 41-80 81-100 0 5 10 15 20 25 30 35 40 45 Reductionofcontroloverhead(%) Number of Nodes EEPR CECA Figure 8. Measurement of number of nodes Vs Reduction control overhead Likewise, Figure 8 shows the graphical representation of data measurement obtained by a varying number of nodes Vs control overhead (%) for both proposed CECA and compared with the existing EEPR algorithm. When the density of the nodes increases from 20 to 40, 41 to 80 and 81 to 100, the average control overhead of the nodes was observed to be 24.4%, 37.6% and 42.2% in the case of CECA based algorithm, while the same was observed to be 7.5%, 12.6% and 6.7% in the case of EEPR based algorithm, respectively for the same reason.
  • 17.
    International Journal ofComputer Networks & Communications (IJCNC) Vol.11, No.3, May 2019 31 5. CONCLUSION Context-aware energy conserving routing algorithm is used to improve the network lifetime, to reduce the end to end delay and control overhead. The proposed algorithm thus improved the performance metrics by discovering the energy efficient route with the aid of efficient inter- meeting time and residual energy calculation. The performance metrics such as average residual energy, end to end delay and control overhead are evaluated with respect to speed, number of nodes and then it was compared with the existing EEPR algorithm. The statistical result showed that the proposed CECA can considerably improve the performances over the existing EEPR. ACKNOWLEDGEMENTS The authors thank S R Engineering College (Autonomous) management for providing the facility regarding research works. REFERENCES [1] D. Kothandaraman And C. Chellappan, (2017) “Human Activity Detection System Using Internet Of Things, International Journal On Computer Science And Engineering (Ijcse)”, Vol. 9, No.11. Pp. 657- 665. [2] Ravi Kumar Poluru And Shaik Naseera, (2017)“A Literature Review On Routing Strategy In The Internet Of Things, Journal Of Engineering Science And Technology Review”, Vol.10, No. 5, Pp. 50- 60. [3] Harilton Da Silva Araújo, Raimir Holanda Filho, Joel J. P. C. Rodrigues, Natanael De C. Sousa, José C. C. L. S. Filho And José V. V. Sobral, (2018) “A Proposal For Iot Dynamic Routes Selection Based On Contextual Information, Sensors”, Vol.18, No.2, Pp.1-16. [4] Yichao Jin, Sedat Gormus, Parag Kulkarni And Mahesh Sooriyabandara, (2016) “Content Centric Routing In Iot Networks And Its Integration In Rpl”, Computer Communications, Vol. 89, No. 90,Pp. 87-104. [5] Da Ran Chen, (2016) “An Energy Efficient Qos Routing For Wireless Sensor Networks Using Self- Stabilizing Algorithm”, Ad Hoc Networks, Vol. 37, Pp. 240-255. [6] N. R. Wankhade And D. N. Choudhari, (2016) “Novel Energy Efficient Election Based Routing Algorithm For Wireless Sensor Network”, 7th International Conference On Communication, Computing And Virtualization (Icccv) Procedia Computer Science, Vol. 79, Pp. 772-780. [7] Yue Zhang, Nicola Dragoni And Jiangtao Wang, (2015) “A Framework And Classification For Fault Detection Approaches In Wireless Sensor Networks With An Energy Efficiency Perspective”, International Journal Of Distributed Sensor Networks, Vol.15, Pp.1-11. [8] Bal Krishnasaraswat, Manish Bhardwaj And Analp Pathak, (2015) “Optimum Experimental Results Of Aodv, Dsdv & Dsr Routing Protocol In Grid Environment”, Procedia Computer Science, Vol. 57,Pp. 1359-1366. [9] Tuan Nguyen Gia, Amir Mohammad Rahmani, Tomi Westerlund, Pasi Liljeberg, Hannu Tenhunen, (2015) “Fault Tolerant And Scalable Iot-Based Architecture For Health Monitoring”, Ieee Sensors Applications Symposium (Sas), Zadar, Croatia, Pp. 1-6. [10] Sang Hyun Park, Seungryong Cho And Yung Ryun Lee, (2014) “Energy-Efficient Probabilistic Routing Algorithm For Internet Of Things”, Journal Of Applied Mathematics, Vol. 14,Pp. 1-7.
  • 18.
    International Journal ofComputer Networks & Communications (IJCNC) Vol.11, No.3, May 2019 32 [11] Onur Yilmaz, Orhan Dagdeviren And Kayhan Erciyes, (2014) “Localization-Free And Energy Efficient Hole Bypassing Techniques For Fault Tolerant Sensor Networks”, Journal Of Network And Computer Applications Archive, Vol. 40,No. 14, Pp. 164-178. [12] Charith Perera, Arkady Zaslavsky, Peter Christen And Dimitrios Georgakopoulos, (2014)“Context Aware Computing For The Internet Of Things: A Survey”, Ieee Communications Surveys And Tutorials, Vol. 16, No. 1,Pp. 414-454. [13] P. Sivasankar, C. Chellappan And S. Balaji, (2011) “Energy Efficient Routing Algorithms And Performance Comparison For Manet”, Ciit International Journal Of Wireless Communication, Vol. 3, No. 10,Pp. 755-759. [14] Zhikui Chen, Haozhe Wang,Yang Liu, Fanyu Bu And Zhe Wai, (2012) “A Context-Aware Routing Protocol On Internet Of Things Based On Sea Computing Model”, Journal Of Computers, Vol. 7, No. 1, Pp. 96-105 [15] Han Cai And Do Young Eun, (2007) “Crossing Over The Bounded Domain: From Exponential To Power-Law Inter-Meeting Time In Manet”, Mobicom '07 Proceedings Of The 13th Annual Acm International Conference On Mobile Computing And Networking, Pp. 159-170. [16] V. Mahendran And S. Sivarammurthy, (2013) “Buffer Dimensioning Of Dtn Replication Based Routing Nodes”, Ieee Communications Letters, Vol.17, No. 1.Pp. 123-126, [17] D.Kothandaraman, A. Amuthan, C. Chellappan, And N. Sreenath, (2011)“Prevention Of Vulnerabilities On Location- Based Geocasting And Forwarding Routing Protocol In Mobile Ad-Hoc Network”, International Journal Of Security And Its Applications, Vol. 5, No. 1, Pp. 65-76. [18] Federica Bogo And Enoch Peserico, (2013) “Optimal Throughput And Delay In Delay-Tolerant Networks With Ballistic Mobility”, Mobicom '13 Proceedings Of The 19th Annual International Conference On Mobile Computing & Networking, Miami, Florida, Usa, Pp. 65-76. [19] Said El Kafhali And Abdelkrim Haqiq, (2013) “Effect Of Mobility And Traffic Models On The Energy Consumption In Manet Routing Protocols”, International Journal Of Soft Computing And Engineering, Vol. 3, No. 1, Pp. 242-249. [20] Pinki Nayak, Rekha Agrawal Seema Verma, (2012) “Energy Aware Routing Scheme For Mobile Ad Hoc Network Using Variable Range Transmission”, International Journal Of Ad Hoc, Sensor & Ubiquitous Computing, Vol.3, No.4, Pp. 53-63. [21] Shivashankar, Golla Varaprasad, (2014) “Suresh Hosahalli Narayanagowda, Implementing A New Power Aware Routing Algorithm Based On Existing Dynamic Source Routing Protocol For Mobile Ad Hoc Networks Networks”, Iet Netw., Vol. 3, No. 2,Pp. 137-142. [22] Sallauddinmohmmad, Shabana, Ranganath Kanakam, (2017) “Provisioning Elasticity On Iot's Data In Shared-Nothingnodes”, International Journal Of Pure And Applied Mathematics”, Vol. 117, No. 7, Pp. 165-173 [23] Dharamvir, S.K. Agarwal, S.A. Imam, (2013)“End To End Delay Based Comparison Of Routingprotocols In Wireless Networks”, International Journal Of Advanced Research In Computer Engineering & Technology, Vol. 2, Issue No.11, Pp.2988-2993. [24] Asiyehkhoshnood, Zahra Mollabagheri, (2017) “Reduce The Control Overhead Geographic Opportunistic Routing In Mobile Ad Hoc Networks”, Ijcsns International Journal Of Computer Science And Network Security, Vol.17 No.6, Pp.212-215. [25] Hewei Yu, And Meiling Zhou, (2018) “Improved Handover Algorithm To Avoid Duplication Aaa Authentication In Proxy Mipv6”, International Journal Of Computer Networks & Communications (IJCNC) Vol.10, No.3, Pp. 75-85.