Microprocessor Based Systems Spring 2013 Department of Electrical Engineering University of Gujrat
2
IBM CHARACTER DISPLAY TITLE IBM CHARACTER DISPLAY .MODEL SMALL .STACK 100H .CODE MAIN PROC MOVAH, 2 ; display char function MOVCX, 256 ; no. of chars to display MOVDL, 0 ; DL has ASCII code of null char PRINT_LOOP: INT 21h ; display a char INC DL ; increment ASCII code DEC CX ; decrement counter JNZ PRINT_LOOP ; keep going if CX not 0 ; DOS exit MOVAH, 4CH INT 21H MAIN ENDP END MAIN 3 Label
4
5
IBM Character Display • IBM.ASM 6
Conditional Jumps • Jxxx destination_label • In IBM.ASM, the CPU executes JNZ PRINT_LOOP by inspecting ZF. • If ZF = 0, control transfers to PRINT_LOOP • If ZF = 1, it goes on to execute MOV AH, 4CH • Jump instructions themselves do not affect the flags. 7
Range of a conditional jump • destination_label must precede the jump instruction by no more than 126 bytes, or follow it by no more than 127 bytes. 8
jumps Conditional jumps Signed Jumps Unsigned Jumps Single Flag Jumps Unconditional jumps 9
The CMP (compare) Instruction • CMP destination, source • CMP is just like SUB, except that destination is not changed. • CMP AX, BX ; AX = 7FFFh, BX = 0001h JG BELOW ; AX – BX = 7FFEh • The jump condition for JG is satisfied because ZF = SF = OF = 0, so control transfers to label BELOW. 10
Interpreting the Conditional Jumps • CMP AX, BX JG BELOW • If AX is greater than BX (in a signed sense), then JG (jump if greater than) transfers to BELOW. • DEC AX JL THERE • If the contents of AX, in a signed sense, is less than 0, control transfers to THERE. 11
12 Jumps Based on Specific Flags
13 Jumps Based on Unsigned Comparisons
14 Jumps Based on Signed Comparisons
Signed Versus Unsigned Jumps • CMP AX, BX ; AX = 7FFFh, BX = 8000h JA BELOW • 7FFFh > 8000h in a signed sense, the program does not jump to BELOW. • 7FFFh < 8000h in an unsigned sense, and we are using the unsigned jump JA. 15
Suppose AX and BX contain signed numbers. Write some code to put the biggest one in CX. MOV CX, AX ; put AX in CX CMP BX, CX ; is BX bigger? JLE NEXT ; no, go on MOV CX, BX ; yes, put BX in CX NEXT: 16
The JMP Instruction • JMP destination • JMP can be used to get around the range restriction of a conditional jump. 17
Unconditional Jump TOP: ; body of the loop DEC CX ; decrement counter JNZ TOP ; keep looping if CX > 0 MOV AX, BX ; the loop body contains so many instructions that label TOP is out of range for JNZ (more than 126 bytes before JMP TOP) 18
Unconditional Jump TOP: ; body of the loop DEC CX ; decrement counter JNZ BOTTOM ; keep looping if CX > 0 JMP EXIT BOTTOM: JMP TOP EXIT: MOV AX, BX 19
High level language constructs 20
IF-THEN IF condition is true THEN execute true-branch statements END_IF 21
Replace the number in AX by its absolute value. IF AX < 0 THEN replace AX by –AX END_IF 22
Replace the number in AX by its absolute value. ; if AX < 0 CMP AX, 0 ; AX < 0 ? JNL END_IF ; no, exit ; then NEG AX ; yes, change sign END IF: 23
IF-THEN-ELSE IF condition is true THEN execute true-branch statements ELSE execute false-branch statements END_IF 24
Suppose AL and BL contain extended ASCII characters. Display the one that comes first in the character sequence. IF AL <= BL THEN display the character in AL ELSE display the character in BL END_IF 25
Suppose AL and BL contain extended ASCII characters. Display the one that comes first in the character sequence. MOV AH, 2 ; prepare to display ; if AL <= BL CMP AL, BL ; AL <= BL? JNBE ELSE_ ; no, display char in BL ; then ; AL <= BL MOV DL, AL ; move char to be displayed JMP DISPLAY ; go to display ELSE_: ; BL < AL MOV DL, BL DISPLAY: INT 21h ; display it END_IF 26 ELSE is a reserved word Needed to skip false branch (not needed in high level language)
CASE CASE expression value 1 : statements_1 value 2 : statements_2 . . . value n : statements_n END_CASE 27
If AX contains a negative number, put –1 in BX; if AX contains 0, put 0 in BX, if AX contains a positive number , put 1 in BX. CASE AX <0 : put –1 in BX =0 : put 0 in BX >0 : put 1 in BX END_CASE 28
If AX contains a negative number, put –1 in BX; if AX contains 0, put 0 in BX, if AX contains a positive number , put 1 in BX. ; case AX CMP AX, 0 ; test AX JL NEGATIVE ; AX < 0 JE ZERO ; AX = 0 JG POSITIVE ; AX > 0 NEGATIVE: MOV BX, -1 ; put -1 in BX JMP END_CASE ; and exit ZERO: MOV BX, 0 ; put -0in BX JMP END_CASE ; and exit POSITIVE: MOV BX, 1 ; put 1 in BX END_CASE: 29 Only one cmp is needed as jump instructions don’t affect the flags
If AL contains 1 or 3, display “o”; If AL contains 2 or 4, display “e”. CASE AL 1, 3 : display “o” 2, 4 : display “e” END_CASE 30
If AL contains 1 or 3, display “o”; If AL contains 2 or 4, display “e”. ; case AL ; 1,3 : CMP AL, 1 ; AL = 1? JE ODD ; yes, display ‘o’ CMP AL ,3 ; AL = 3? JE ODD ; yes, display ‘o’ ; 2,4 : CMP AL, 2 ; AL = 2? JE EVEN ; yes, display ‘e’ CMP AL, 4 ; AL = 4? JE EVEN ; yes, display ‘e’ JMP END_CASE ; not 1..4 31
If AL contains 1 or 3, display “o”; If AL contains 2 or 4, display “e”. ODD: ; display ‘o’ MOV DL, ‘o’ ; get ‘o’ JMP DISPLAY ; go to display EVEN: ; display ‘e’ MOV DL, ‘e’ ; get ‘e’ DISPLAY: MOV AH, 2 INT 21H ; display char END_CASE: 32
Branches with Compound Conditions • Some times the branching in an IF or CASE takes from; • condition_1 AND condition_2 or condition_1 OR condition_2 33
AND Conditions • condition_1 AND condition_2 • An AND condition is true if and only if condition_1 and condition_2 are both true. • If either condition is false, then the whole thing is false. 34
Read a character, and if it’s an uppercase letter, display it. Read a character (into AL) IF (‘A’ <= character) and (character <= ‘Z’) THEN display character END_IF 35
Read a character, and if it’s an uppercase letter, display it. ; read a character MOV AH, 1 ; prepare to read INT 21H ; char in AL ; if (‘A’ <= char) and (char >= ‘Z’) CMP AL, ‘A’ ; char >= ‘A’? JNGE END_IF ; no, exit CMP AL, ‘Z’ ; char <= ‘Z’? JNLE END_IF ; no, exit ; then display char MOV DL, AL ; get char MOV AH, 2 ; prepare to display INT 21H ; display char END_IF: 36
OR Conditions • condition_1 OR condition_2 • condition_1 OR condition_2 is true if at least one of the conditions is true. • It is only false when both conditions are false. 37
Read a character, and if it is “y” or “Y”, display it; otherwise, terminate the program. Read a character (into AL) IF (character = ‘y’) or (character = ‘Y’) THEN display it ELSE terminate the program END_IF 38
Read a character, and if it is “y” or “Y”, display it; otherwise, terminate the program. ; read a character MOV AH, 1 ; prepare to read INT 21H ; char in AL ; if (character = ‘y’) or (character = ‘Y’) CMP AL, ‘y’ ; char = ‘y’? JE THEN ; yes, go to display it CMP AL, ‘Y’ ; char = ‘Y’? JE THEN ; yes, go to display it JMP ELSE_ ; no, terminate 39
Read a character, and if it is “y” or “Y”, display it; otherwise, terminate the program. THEN: MOV AH, 2 ; prepare to display MOV DL, AL ; get char INT 21H ; display it JMP END_IF ; end exit ELSE_: MOV AH, 4CH INT 21H ; DOS exit END_IF: 40
Looping Structures • A loop is a sequence of instructions that is repeated . • The number of times to repeat may be known in advance or • Depend on some condition 41
FOR LOOP Loop statements are repeated a known number of times; FOR loop_count times DO statements END_FOR 42
The LOOP instruction • LOOP destination_label ; initialize CX to loop_count TOP: ; body of the loop LOOP TOP 43
The LOOP instruction • The counter for the loop is the register CX which is initialized to loop_count. • Execution of the LOOP instruction causes CX to be decremented automatically. • If CX is not 0, control transfers to destination_label. • If CX = 0, the next instruction after LOOP is done. • destination_label must precede the LOOP instruction by no more than 126 bytes. 44
Write a count-controlled loop to display a row of 80 stars. FOR 80 times DO display ‘*’ END_FOR 45
Write a count-controlled loop to display a row of 80 stars. MOV CX, 80 ; number of stars to display MOV AH, 2 ; display character function MOV DL, ‘*’ ; character to display TOP: INT 21h ; display a star LOOP TOP ; repeat 80 times 46
The instruction JCXZ (jump if CX is zero) • JCXZ destination_label JCXZ SKIP TOP: ; body of the loop LOOP TOP SKIP: 47
The instruction JCXZ (jump if CX is zero) • If CX contains 0 when the loop is entered, the LOOP instruction causes CX to be decremented to FFFFh, and the loop is then executed FFFFh = 65535 more times! 48
WHILE condition DO statements END_WHILE _______________________________________ REPEAT statements UNTIL condition WHILE LOOP and REPEAT LOOP 49 Statements Condition Statements Condition
Write some code to count the number of characters in an input line. Initialize count to 0 read a character WHILE character <> carriage_return DO count = count + 1 read a character END_WHILE 50
Write some code to count the number of characters in an input line. MOV DX, 0 ; DX counts characters MOV AH, 1 ; prepare to read INT 21H ; character in AL WHILE_: CMP AL, 0DH ; CR? JE END_WHILE ; yes, exit INC DX ; not CR, increment count INT 21H ; read a character JMP WHILE_ ; loop back END_WHILE_: 51
Write some code to read characters until a blank is read. REPEAT read a character UNTIL character is a blank ______________________________________________ MOV AH, 1 ; prepare to read REPEAT: INT 21H ; char in AL ; until CMP AL, ‘ ‘ ; a blank? JNE REPEAT ; no, keep reading 52
Programming with High-Level Structures • CAP.ASM Type a line of text: THE QUICK BROWN FOX JUMPED. First capital = B Last capital = X 53 If no capital letter entered, display “No capital letter entered”
Read and process a line of text Read a character WHILE character is not a carriage return DO IF character is a capital letter (‘A’ <= character AND character <= ‘Z’) THEN IF character precedes first capital THEN first capital = character END IF IF character follows last capital THEN last capital = character END IF END IF Read a character END_WHILE 54
Display the results IF no capitals were typed, THEN display “No capitals” ELSE display first capital and last capital END_IF 55
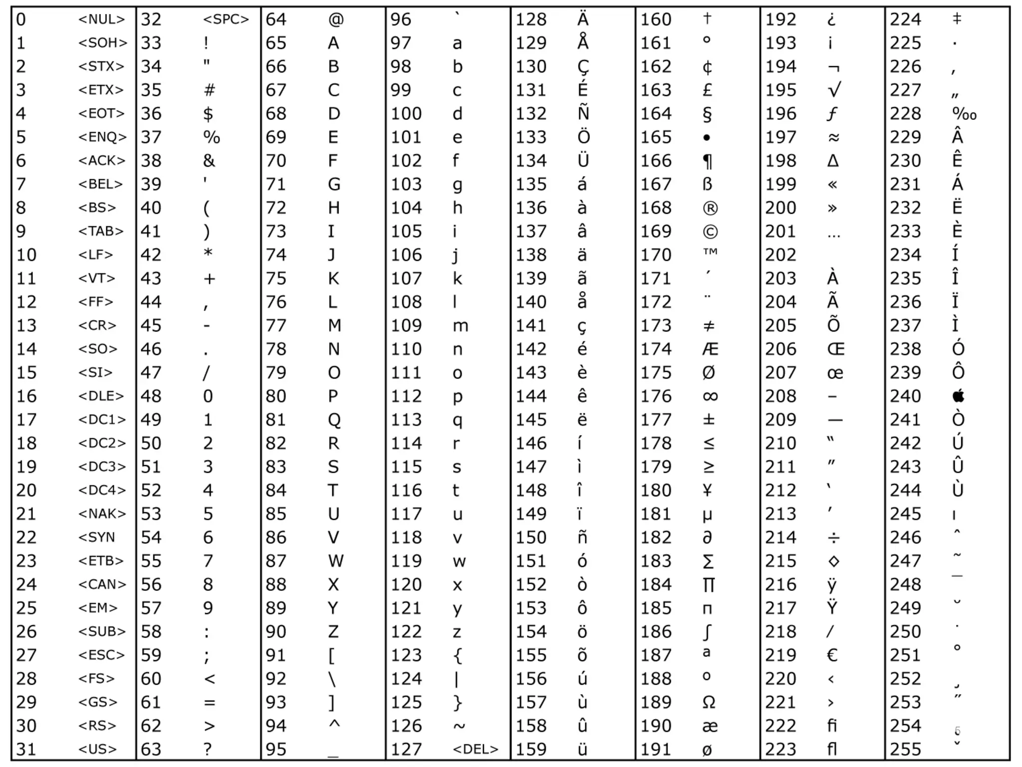
ASCII Character Table FIRST LAST
CAP.ASM 1(4) TITLE FIRST AND LAST CAPITALS .MODEL SMALL .STACK 100H .DATA PROMPT DB 'Type a line of text', 0DH, 0AH, '$' NOCAP_MSG DB 0DH, 0AH, 'No capitals $' CAP_MSG DB 0DH, 0AH, 'First capital = ' FIRST DB '[' DB ' Last capital = ' LAST DB '@ $' .CODE MAIN PROC ; initialize DS MOV AX, @DATA MOV DS, AX
; display opening message MOV AH, 9 ; display string function LEA DX, PROMPT ; get opening message INT 21H ; display it ; read and process a line of text MOV AH, 1 ; read char function INT 21H ; char in AL WHILE_: ; while character is not a carriage return do CMP AL, 0DH ; CR? JE END_WHILE ; yes, exit ; if character is a capital letter CMP AL, 'A' ; char >= 'A'? JNGE END_IF ; not a capital letter CMP AL, 'Z' ; chat <= 'Z'? JNLE END_IF ; not a capital letter ; then CAP.ASM 2(4)
CAP.ASM 3(4) ; if character precedes first capital CMP AL, FIRST ; char < first capital? JNL CHECK_LAST ; no, >= ; then first capital = character MOV FIRST, AL ; FIRST = char ; end_if CHECK_LAST: ; if character follows last capital CMP AL, LAST ; char > last capital? JNG END_IF ; no, <= ; then last capital = character MOV LAST, AL ; LAST = char ; end_if END_IF: ; read a character INT 21H ; char in AL JMP WHILE_ ; repeat loop END_WHILE:
; display results MOVAH, 9 ; display string function ; if no capitals were typed CMPFIRST, '['; first = '[' JNECAPS ; no, display results ; then LEADX, NOCAP_MSG ; no capitals JMPDISPLAY CAPS: LEADX, CAP_MSG ; capitals DISPLAY: INT21H ; display message ; end_if ; dos exit MOVAH, 4CH INT21H MAIN ENDP END MAIN CAP.ASM 4(4)

Assembly Language Programming By Ytha Yu, Charles Marut Chap 6 (Flow Control Instructions,)

  • 1.
    Microprocessor Based Systems Spring2013 Department of Electrical Engineering University of Gujrat
  • 2.
  • 3.
    IBM CHARACTER DISPLAY TITLE IBM CHARACTERDISPLAY .MODEL SMALL .STACK 100H .CODE MAIN PROC MOVAH, 2 ; display char function MOVCX, 256 ; no. of chars to display MOVDL, 0 ; DL has ASCII code of null char PRINT_LOOP: INT 21h ; display a char INC DL ; increment ASCII code DEC CX ; decrement counter JNZ PRINT_LOOP ; keep going if CX not 0 ; DOS exit MOVAH, 4CH INT 21H MAIN ENDP END MAIN 3 Label
  • 4.
  • 5.
  • 6.
  • 7.
    Conditional Jumps • Jxxxdestination_label • In IBM.ASM, the CPU executes JNZ PRINT_LOOP by inspecting ZF. • If ZF = 0, control transfers to PRINT_LOOP • If ZF = 1, it goes on to execute MOV AH, 4CH • Jump instructions themselves do not affect the flags. 7
  • 8.
    Range of aconditional jump • destination_label must precede the jump instruction by no more than 126 bytes, or follow it by no more than 127 bytes. 8
  • 9.
  • 10.
    The CMP (compare)Instruction • CMP destination, source • CMP is just like SUB, except that destination is not changed. • CMP AX, BX ; AX = 7FFFh, BX = 0001h JG BELOW ; AX – BX = 7FFEh • The jump condition for JG is satisfied because ZF = SF = OF = 0, so control transfers to label BELOW. 10
  • 11.
    Interpreting the ConditionalJumps • CMP AX, BX JG BELOW • If AX is greater than BX (in a signed sense), then JG (jump if greater than) transfers to BELOW. • DEC AX JL THERE • If the contents of AX, in a signed sense, is less than 0, control transfers to THERE. 11
  • 12.
    12 Jumps Based onSpecific Flags
  • 13.
    13 Jumps Based onUnsigned Comparisons
  • 14.
    14 Jumps Based onSigned Comparisons
  • 15.
    Signed Versus UnsignedJumps • CMP AX, BX ; AX = 7FFFh, BX = 8000h JA BELOW • 7FFFh > 8000h in a signed sense, the program does not jump to BELOW. • 7FFFh < 8000h in an unsigned sense, and we are using the unsigned jump JA. 15
  • 16.
    Suppose AX andBX contain signed numbers. Write some code to put the biggest one in CX. MOV CX, AX ; put AX in CX CMP BX, CX ; is BX bigger? JLE NEXT ; no, go on MOV CX, BX ; yes, put BX in CX NEXT: 16
  • 17.
    The JMP Instruction •JMP destination • JMP can be used to get around the range restriction of a conditional jump. 17
  • 18.
    Unconditional Jump TOP: ; bodyof the loop DEC CX ; decrement counter JNZ TOP ; keep looping if CX > 0 MOV AX, BX ; the loop body contains so many instructions that label TOP is out of range for JNZ (more than 126 bytes before JMP TOP) 18
  • 19.
    Unconditional Jump TOP: ; bodyof the loop DEC CX ; decrement counter JNZ BOTTOM ; keep looping if CX > 0 JMP EXIT BOTTOM: JMP TOP EXIT: MOV AX, BX 19
  • 20.
    High level languageconstructs 20
  • 21.
    IF-THEN IF condition istrue THEN execute true-branch statements END_IF 21
  • 22.
    Replace the numberin AX by its absolute value. IF AX < 0 THEN replace AX by –AX END_IF 22
  • 23.
    Replace the numberin AX by its absolute value. ; if AX < 0 CMP AX, 0 ; AX < 0 ? JNL END_IF ; no, exit ; then NEG AX ; yes, change sign END IF: 23
  • 24.
    IF-THEN-ELSE IF condition istrue THEN execute true-branch statements ELSE execute false-branch statements END_IF 24
  • 25.
    Suppose AL andBL contain extended ASCII characters. Display the one that comes first in the character sequence. IF AL <= BL THEN display the character in AL ELSE display the character in BL END_IF 25
  • 26.
    Suppose AL andBL contain extended ASCII characters. Display the one that comes first in the character sequence. MOV AH, 2 ; prepare to display ; if AL <= BL CMP AL, BL ; AL <= BL? JNBE ELSE_ ; no, display char in BL ; then ; AL <= BL MOV DL, AL ; move char to be displayed JMP DISPLAY ; go to display ELSE_: ; BL < AL MOV DL, BL DISPLAY: INT 21h ; display it END_IF 26 ELSE is a reserved word Needed to skip false branch (not needed in high level language)
  • 27.
    CASE CASE expression value 1: statements_1 value 2 : statements_2 . . . value n : statements_n END_CASE 27
  • 28.
    If AX containsa negative number, put –1 in BX; if AX contains 0, put 0 in BX, if AX contains a positive number , put 1 in BX. CASE AX <0 : put –1 in BX =0 : put 0 in BX >0 : put 1 in BX END_CASE 28
  • 29.
    If AX containsa negative number, put –1 in BX; if AX contains 0, put 0 in BX, if AX contains a positive number , put 1 in BX. ; case AX CMP AX, 0 ; test AX JL NEGATIVE ; AX < 0 JE ZERO ; AX = 0 JG POSITIVE ; AX > 0 NEGATIVE: MOV BX, -1 ; put -1 in BX JMP END_CASE ; and exit ZERO: MOV BX, 0 ; put -0in BX JMP END_CASE ; and exit POSITIVE: MOV BX, 1 ; put 1 in BX END_CASE: 29 Only one cmp is needed as jump instructions don’t affect the flags
  • 30.
    If AL contains1 or 3, display “o”; If AL contains 2 or 4, display “e”. CASE AL 1, 3 : display “o” 2, 4 : display “e” END_CASE 30
  • 31.
    If AL contains1 or 3, display “o”; If AL contains 2 or 4, display “e”. ; case AL ; 1,3 : CMP AL, 1 ; AL = 1? JE ODD ; yes, display ‘o’ CMP AL ,3 ; AL = 3? JE ODD ; yes, display ‘o’ ; 2,4 : CMP AL, 2 ; AL = 2? JE EVEN ; yes, display ‘e’ CMP AL, 4 ; AL = 4? JE EVEN ; yes, display ‘e’ JMP END_CASE ; not 1..4 31
  • 32.
    If AL contains1 or 3, display “o”; If AL contains 2 or 4, display “e”. ODD: ; display ‘o’ MOV DL, ‘o’ ; get ‘o’ JMP DISPLAY ; go to display EVEN: ; display ‘e’ MOV DL, ‘e’ ; get ‘e’ DISPLAY: MOV AH, 2 INT 21H ; display char END_CASE: 32
  • 33.
    Branches with CompoundConditions • Some times the branching in an IF or CASE takes from; • condition_1 AND condition_2 or condition_1 OR condition_2 33
  • 34.
    AND Conditions • condition_1AND condition_2 • An AND condition is true if and only if condition_1 and condition_2 are both true. • If either condition is false, then the whole thing is false. 34
  • 35.
    Read a character,and if it’s an uppercase letter, display it. Read a character (into AL) IF (‘A’ <= character) and (character <= ‘Z’) THEN display character END_IF 35
  • 36.
    Read a character,and if it’s an uppercase letter, display it. ; read a character MOV AH, 1 ; prepare to read INT 21H ; char in AL ; if (‘A’ <= char) and (char >= ‘Z’) CMP AL, ‘A’ ; char >= ‘A’? JNGE END_IF ; no, exit CMP AL, ‘Z’ ; char <= ‘Z’? JNLE END_IF ; no, exit ; then display char MOV DL, AL ; get char MOV AH, 2 ; prepare to display INT 21H ; display char END_IF: 36
  • 37.
    OR Conditions • condition_1OR condition_2 • condition_1 OR condition_2 is true if at least one of the conditions is true. • It is only false when both conditions are false. 37
  • 38.
    Read a character,and if it is “y” or “Y”, display it; otherwise, terminate the program. Read a character (into AL) IF (character = ‘y’) or (character = ‘Y’) THEN display it ELSE terminate the program END_IF 38
  • 39.
    Read a character,and if it is “y” or “Y”, display it; otherwise, terminate the program. ; read a character MOV AH, 1 ; prepare to read INT 21H ; char in AL ; if (character = ‘y’) or (character = ‘Y’) CMP AL, ‘y’ ; char = ‘y’? JE THEN ; yes, go to display it CMP AL, ‘Y’ ; char = ‘Y’? JE THEN ; yes, go to display it JMP ELSE_ ; no, terminate 39
  • 40.
    Read a character,and if it is “y” or “Y”, display it; otherwise, terminate the program. THEN: MOV AH, 2 ; prepare to display MOV DL, AL ; get char INT 21H ; display it JMP END_IF ; end exit ELSE_: MOV AH, 4CH INT 21H ; DOS exit END_IF: 40
  • 41.
    Looping Structures • Aloop is a sequence of instructions that is repeated . • The number of times to repeat may be known in advance or • Depend on some condition 41
  • 42.
    FOR LOOP Loop statementsare repeated a known number of times; FOR loop_count times DO statements END_FOR 42
  • 43.
    The LOOP instruction •LOOP destination_label ; initialize CX to loop_count TOP: ; body of the loop LOOP TOP 43
  • 44.
    The LOOP instruction •The counter for the loop is the register CX which is initialized to loop_count. • Execution of the LOOP instruction causes CX to be decremented automatically. • If CX is not 0, control transfers to destination_label. • If CX = 0, the next instruction after LOOP is done. • destination_label must precede the LOOP instruction by no more than 126 bytes. 44
  • 45.
    Write a count-controlledloop to display a row of 80 stars. FOR 80 times DO display ‘*’ END_FOR 45
  • 46.
    Write a count-controlledloop to display a row of 80 stars. MOV CX, 80 ; number of stars to display MOV AH, 2 ; display character function MOV DL, ‘*’ ; character to display TOP: INT 21h ; display a star LOOP TOP ; repeat 80 times 46
  • 47.
    The instruction JCXZ(jump if CX is zero) • JCXZ destination_label JCXZ SKIP TOP: ; body of the loop LOOP TOP SKIP: 47
  • 48.
    The instruction JCXZ(jump if CX is zero) • If CX contains 0 when the loop is entered, the LOOP instruction causes CX to be decremented to FFFFh, and the loop is then executed FFFFh = 65535 more times! 48
  • 49.
    WHILE condition DO statements END_WHILE _______________________________________ REPEAT statements UNTILcondition WHILE LOOP and REPEAT LOOP 49 Statements Condition Statements Condition
  • 50.
    Write some codeto count the number of characters in an input line. Initialize count to 0 read a character WHILE character <> carriage_return DO count = count + 1 read a character END_WHILE 50
  • 51.
    Write some codeto count the number of characters in an input line. MOV DX, 0 ; DX counts characters MOV AH, 1 ; prepare to read INT 21H ; character in AL WHILE_: CMP AL, 0DH ; CR? JE END_WHILE ; yes, exit INC DX ; not CR, increment count INT 21H ; read a character JMP WHILE_ ; loop back END_WHILE_: 51
  • 52.
    Write some codeto read characters until a blank is read. REPEAT read a character UNTIL character is a blank ______________________________________________ MOV AH, 1 ; prepare to read REPEAT: INT 21H ; char in AL ; until CMP AL, ‘ ‘ ; a blank? JNE REPEAT ; no, keep reading 52
  • 53.
    Programming with High-LevelStructures • CAP.ASM Type a line of text: THE QUICK BROWN FOX JUMPED. First capital = B Last capital = X 53 If no capital letter entered, display “No capital letter entered”
  • 54.
    Read and processa line of text Read a character WHILE character is not a carriage return DO IF character is a capital letter (‘A’ <= character AND character <= ‘Z’) THEN IF character precedes first capital THEN first capital = character END IF IF character follows last capital THEN last capital = character END IF END IF Read a character END_WHILE 54
  • 55.
    Display the results IFno capitals were typed, THEN display “No capitals” ELSE display first capital and last capital END_IF 55
  • 56.
  • 57.
    CAP.ASM 1(4) TITLE FIRST ANDLAST CAPITALS .MODEL SMALL .STACK 100H .DATA PROMPT DB 'Type a line of text', 0DH, 0AH, '$' NOCAP_MSG DB 0DH, 0AH, 'No capitals $' CAP_MSG DB 0DH, 0AH, 'First capital = ' FIRST DB '[' DB ' Last capital = ' LAST DB '@ $' .CODE MAIN PROC ; initialize DS MOV AX, @DATA MOV DS, AX
  • 58.
    ; display openingmessage MOV AH, 9 ; display string function LEA DX, PROMPT ; get opening message INT 21H ; display it ; read and process a line of text MOV AH, 1 ; read char function INT 21H ; char in AL WHILE_: ; while character is not a carriage return do CMP AL, 0DH ; CR? JE END_WHILE ; yes, exit ; if character is a capital letter CMP AL, 'A' ; char >= 'A'? JNGE END_IF ; not a capital letter CMP AL, 'Z' ; chat <= 'Z'? JNLE END_IF ; not a capital letter ; then CAP.ASM 2(4)
  • 59.
    CAP.ASM 3(4) ; if characterprecedes first capital CMP AL, FIRST ; char < first capital? JNL CHECK_LAST ; no, >= ; then first capital = character MOV FIRST, AL ; FIRST = char ; end_if CHECK_LAST: ; if character follows last capital CMP AL, LAST ; char > last capital? JNG END_IF ; no, <= ; then last capital = character MOV LAST, AL ; LAST = char ; end_if END_IF: ; read a character INT 21H ; char in AL JMP WHILE_ ; repeat loop END_WHILE:
  • 60.
    ; display results MOVAH,9 ; display string function ; if no capitals were typed CMPFIRST, '['; first = '[' JNECAPS ; no, display results ; then LEADX, NOCAP_MSG ; no capitals JMPDISPLAY CAPS: LEADX, CAP_MSG ; capitals DISPLAY: INT21H ; display message ; end_if ; dos exit MOVAH, 4CH INT21H MAIN ENDP END MAIN CAP.ASM 4(4)