0% found this document useful (0 votes)
54 views1 page

Comptency Based Questions

Fuck

Uploaded by

Keshav Namdeo
Copyright
© © All Rights Reserved
We take content rights seriously. If you suspect this is your content, claim it here.
Available Formats
Download as PDF, TXT or read online on Scribd
0% found this document useful (0 votes)
54 views1 page

Comptency Based Questions

Fuck

Uploaded by

Keshav Namdeo
Copyright
© © All Rights Reserved
We take content rights seriously. If you suspect this is your content, claim it here.
Available Formats
Download as PDF, TXT or read online on Scribd
You are on page 1/ 1

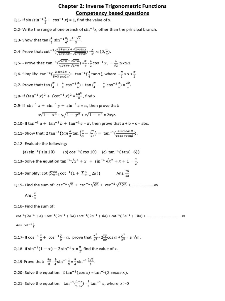
Chapter 2: Inverse Trigonometric Functions

Competency based questions


1
Q.1- If sin (sin−1 2 + cos −1 𝑥) = 1, find the value of x.

Q.2- Write the range of one branch of sin−1 x, other than the principal branch.
1 3 4− √7
Q.3- Show that tan (2 sin−1 4) = .
3

√1+𝑠𝑖𝑛𝑥 + √1−𝑠𝑖𝑛𝑥 𝑥 𝜋
Q.4- Prove that: cot −1 ( ) =2, x𝜖(0, 4 ).
√1+𝑠𝑖𝑛𝑥− √1−𝑠𝑖𝑛𝑥

√1+𝑥 − √1−𝑥 𝜋 1 1
Q.5- - Prove that: tan−1 ( ) =4 - 2 cos −1 𝑥, − ≤x≤1.
√1+𝑥+ √1−𝑥 √2
3 𝑠𝑖𝑛2𝛼 1 𝜋 𝜋
Q.6- Simplify: tan−1 (5+3 𝑐𝑜𝑠2𝛼)+ tan−1 ( 4 tanα ), where - 2 < x < 2 .
𝜋 1 𝑎 𝜋 1 𝑎 2𝑏
Q.7- Prove that: tan (4 + cos −1 𝑏) + tan (4 − cos −1 𝑏 ) = .
2 2 𝑎

5𝜋2
Q.8- If (tan−1 𝑥)2 + (cot −1 𝑥)2 = , find x.
8

Q.9- If sin−1 𝑥 + sin−1 𝑦 + sin−1 𝑧 = 𝜋, then prove that:

x√1 − 𝑥 2 + y√1 − 𝑦 2 + z√1 − 𝑧 2 = 2xyz.

Q.10- If tan−1 𝑎 + tan−1 𝑏 + tan−1 𝑐 = 𝜋, then prove that a + b + c = abc.


𝛼 𝜋 𝛽 𝑠𝑖𝑛𝛼.𝑐𝑜𝑠𝛽
Q.11- Show that: 2 tan−1 {𝑡𝑎𝑛 tan ( − )} = tan−1 ( ).
2 4 2 cosα +𝑠𝑖𝑛𝛽

Q.12- Evaluate the following:


(a) sin−1 ( sin 10) (b) cos −1 ( cos 10) (c) tan−1 ( tan(−6))
𝜋
Q.13- Solve the equation tan−1 √𝑥 2 + 𝑥 + sin−1 √𝑥 2 + 𝑥 + 1 = 2 .

25
Q.14- Simplify: cot (∑23 −1 𝑛
𝑛=1 cot (1 + ∑𝑘=1 2𝑘 )) Ans. 23

Q.15- Find the sum of: csc −1 √5 + csc −1 √65 + csc −1 √325 + …………………∞
𝜋
Ans. 4

Q.16- Find the sum of:

cot −1 ( 2𝑎−1 + 𝑎) + cot −1 ( 2𝑎−1 + 3𝑎) +cot −1 ( 2𝑎−1 + 6𝑎) + cot −1 ( 2𝑎−1 + 10𝑎) +……………………………………∞

𝑎
Ans. cot −1 2

𝑥 𝑦 𝑥2 𝑥𝑦 𝑦2
Q.17- If cos −1 𝑎 + cos −1 𝑏 = 𝛼, prove that - 2𝑎𝑏cos 𝛼 + 𝑏2 = sin2𝛼 .
𝑎2

𝜋
Q.18- If sin−1 (1 − 𝑥) − 2 sin−1 𝑥 = 2 , find the value of x.

9𝜋 9 1 9 2√2
Q.19-Prove that: 8
- 4 sin−1 3 = 4 sin−1 3
.

Q.20- Solve the equation: 2 tan−1 (cos 𝑥) = tan−1 (2 𝑐𝑜𝑠𝑒𝑐 𝑥).


1−𝑥 1
Q.21- Solve the equation: tan−1 (1+𝑥) =2 tan−1 𝑥, where x > 0

You might also like