0% found this document useful (0 votes)
100 views4 pages

Trigonometric Functions

Trigo worksheet

Uploaded by

grayce52
Copyright
© © All Rights Reserved
We take content rights seriously. If you suspect this is your content, claim it here.
Available Formats
Download as PDF, TXT or read online on Scribd
0% found this document useful (0 votes)
100 views4 pages

Trigonometric Functions

Trigo worksheet

Uploaded by

grayce52
Copyright
© © All Rights Reserved
We take content rights seriously. If you suspect this is your content, claim it here.
Available Formats
Download as PDF, TXT or read online on Scribd
You are on page 1/ 4

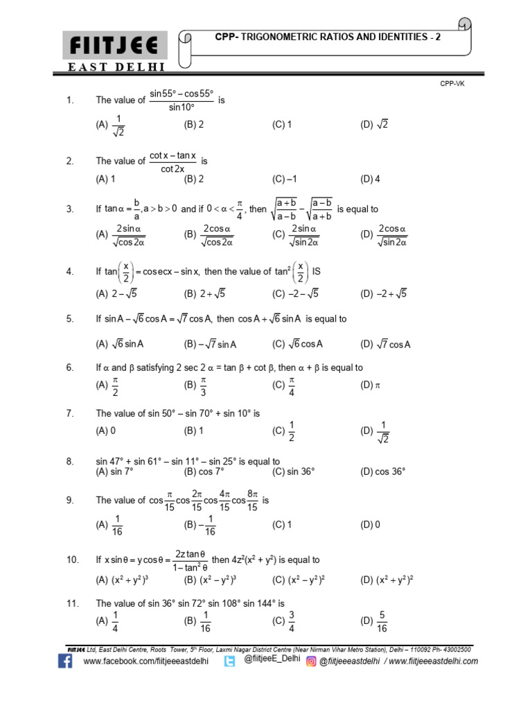
CPP- TRIGONOMETRIC RATIOS AND IDENTITIES - 2

FIITJ EE
EAST DELHI
CPP-VK
sin55  cos55
1. The value of is
sin10
1
(A) (B) 2 (C) 1 (D) 2
2

cot x  tan x
2. The value of is
cot 2x
(A) 1 (B) 2 (C) –1 (D) 4

b  ab ab
3. If tan   ,a  b  0 and if 0    , then  is equal to
a 4 ab ab
2 sin  2 cos  2 sin  2 cos 
(A) (B) (C) (D)
cos 2 cos 2 sin 2 sin 2

x x
4. If tan    cos ecx  sin x, then the value of tan2   IS
2
  2
(A) 2  5 (B) 2  5 (C) 2  5 (D) 2  5

5. If sin A  6 cos A  7 cos A, then cos A  6 sin A is equal to

(A) 6 sin A (B) – 7 sin A (C) 6 cos A (D) 7 cos A

6. If  and  satisfying 2 sec 2  = tan  + cot , then  +  is equal to


  
(A) (B) (C) (D) 
2 3 4

7. The value of sin 50° – sin 70° + sin 10° is


1 1
(A) 0 (B) 1 (C) (D)
2 2

8. sin 47° + sin 61° – sin 11° – sin 25° is equal to


(A) sin 7° (B) cos 7° (C) sin 36° (D) cos 36°

 2 4 8
9. The value of cos cos cos cos is
15 15 15 15
1 1
(A) (B) – (C) 1 (D) 0
16 16

2z tan 
10. If x sin   y cos   then 4z2(x2 + y2) is equal to
1  tan2 
(A) (x 2  y 2 )3 (B) (x 2  y 2 )3 (C) (x 2  y 2 )2 (D) (x 2  y 2 )2

11. The value of sin 36° sin 72° sin 108° sin 144° is
1 1 3 5
(A) (B) (C) (D)
4 16 4 16

FIITJEE Ltd, East Delhi Centre, Roots Tower, 5th Floor, Laxmi Nagar District Centre (Near Nirman Vihar Metro Station), Delhi – 110092 Ph- 43002500
www.facebook.com/fiitjeeeastdelhi @fiitjeeE_Delhi ][[ @fiitjeeeastdelhi / www.fiitjeeeastdelhi.com
 
12. Let    0,  and t1  (tan )tan  , t 2  (tan )cot  , t3  (cot )tan  and t 4  (cot )cot  , then
 4
(A) t1  t 2  t 3  t 4 (B) t 4  t3  t1  t 2 (C) t 3  t1  t 2  t 4 (D) t 2  t 3  t1  t 4
 3 5 7
13. The value of sin sin sin sin is
16 16 16 16
2 1 1 2
(A) (B) (C) (D)
16 8 16 32

14. The value of sin 20°(4 + sec 20°) is


(A) 0 (B) 1 (C) 2 (D) 3

10 8 3 5
15. The expression cos  cos  cos  cos is equal to
13 13 13 13
(A) –1 (B) 0 (C) 1 (D) none of these

16. sin 12° sin 48° sin 54° is equal to


1 1 1 1
(A) (B) (C) (D)
16 32 8 4

17. The expression tan 9°– tan 27° – tan 63° + tan 81° is equal to
(A) 4 (B) 3 (C) 2 (D) 1

18. The value of the series cos 12° + cos 84° + cos 132° + cos 156° is
1 1 1 1
(A) (B) (C) – (D) –
2 4 4 2

   3   5   7 
19.  1  cos   1  cos   1  cos   1  cos  is equal to
 8  8  8  8 
1  1 1
(A) (B) cos (C) (D) –
2 8 8 2


20. If a  rad, then cos a + cos 2a + …+ cos 18a is equal to
18
(A) 0 (B) –1 (C) 1 (D) 1

n 1 A B
21. If sin A  n sinB, then tan is equal to
n1 2
A B A B A B
(A) sin (B) tan (C) cot (D) none of these
2 2 2
 
22. If sin 4A – cos 2A = cos 4A – sin2A,  0  A   , then the value of tan 4A is
 4
 3 
(A) 1 (B) (C) 3 (D)
3 3 1
21 27
23. Let ,  be such that       3 . If sin   sin    and cos   cos    , then the
65 65
(   )
value of cos is
2
3 3 6 6
(A)  (B) (C) (D) –
130 130 65 65
FIITJEE Ltd, East Delhi Centre, Roots Tower, 5th Floor, Laxmi Nagar District Centre (Near Nirman Vihar Metro Station), Delhi – 110092 Ph- 43002500
www.facebook.com/fiitjeeeastdelhi @fiitjeeE_Delhi ][[ @fiitjeeeastdelhi / www.fiitjeeeastdelhi.com
24. The value of sin 10° + sin 20° + sin 30° + …+sin 360° is equal to
(A) 0 (B) 1 (C) 3 (D) 2

x x x sin x 1 x 1 x 1 x
25. If cos  cos 2  ....  cos n  , then tan  2 tan 2  ...  n tan n is
2 2 2 x 2 2 2 2 2 2
2n sin n
2
x 1  x 
(A) cot x  cot n (B) n cot  n   cot x
2 2 2 
1  x  1 1  x 
(C) n tan  n   tan x (D) cot x  n cot  n 
2 2  2 2 2 

1 t
26. Suppose 0 < t <  and sin t  cos t  . Then, tan is equal to
5 2
1
(A) 2 (B) 3 (C) (D) 5
3

27. tan  + 2 tan 2 + 4 tan 4 + 8 cot 8  is equal to


(A) tan 16  (B) 0 (C) cot  (D) none of these

28. The minimum value of 27cos2x .81sin2x is


1 1 1
(A) –5 (B) (C) (D)
5 243 27

29. The maximum value of 3 cos x + 4 sinx + 5 is


(A) 5 (B) 6 (C) 7 (D) none of these

2 sin x 1  sin x  cos x


30. If   , then equals
1  sin x  cos x 1  sin x

(A) 0 (B) – (C)  (D) 
2

31. If sin 6  32 cos5  sin   32 cos3  sin   3x, then x is equal to


(A) cos  (B) cos 2 (C) sin  (D) sin 2

 
32. The maximum value of 5 cos   3 cos      3 is
 3
(A) 5 (B) 11 (C) 10 (D) –1

33. If 5 cos x + 12 cos y = 13, then the maximum value of 5 sin x + 12 sin y is
(A) 12 (B) 120 (C) 20 (D) 13

34. The expression tan2 + cot2  is


(A)  2 (B) 2 (C)  –2 (D) none of these

A B
35. If A + B + C = 180°, then  tan 2 tan 2 is
(A) 0 (B) 1 (C) 2 (D) 3

FIITJEE Ltd, East Delhi Centre, Roots Tower, 5th Floor, Laxmi Nagar District Centre (Near Nirman Vihar Metro Station), Delhi – 110092 Ph- 43002500
www.facebook.com/fiitjeeeastdelhi @fiitjeeE_Delhi ][[ @fiitjeeeastdelhi / www.fiitjeeeastdelhi.com

36. The minimum value of f(x) = sin4x + cos4x, 0  x  is
2
1 1 1 1
(A) (B) (C) (D)
2 2 4 2 2

1
37. Minimum value of is
3 sin   4 cos   7
1 5 7 1
(A) (B) (C) (D)
12 12 12 6

 B  2C  3A   A B 
38. In a ABC, cos    cos   is equal to
 2   2 
(A) –1 (B) 0 (C) 1 (D) 2

39. If p  sin2 x  cos 4 x, then


3 3 1 1
(A)  p  1 (B) p (C) p 1 (D) none of these
4 16 4 4

A 1 B 2 C


40. Let A, B and C are the angles of a triangle and tan    , tan    . Then, tan   is
2
  3 2
  3 2
equal to

1 2 2 7
(A) (B) (C) (D)
3 3 9 9

41. If A + B + C = 270°, then cos 2A + cos 2B + cos 2C is equal to


(A) 4 sin A sin B sin C (B) 4 cos A cos B cos C
(C) 1 – 4 sin A sin B sin C (D) 1–4 cos A cos B cos C

ANSWERS
1. D 2. B 3. A 4. D
5. B 6. C 7. A 8. B
9. B 10. C 11. D 12. B
13. A 14. D 15. B 16. C
19. C 20. B 21. B 22. C
23. A 24. A 25. B 26. A
27. C 28. C 29. D 30. C
31. D 32. C 33. B 34. A
35. B 36. D 37. A 38. B
39. A 40. D 41. C

FIITJEE Ltd, East Delhi Centre, Roots Tower, 5th Floor, Laxmi Nagar District Centre (Near Nirman Vihar Metro Station), Delhi – 110092 Ph- 43002500
www.facebook.com/fiitjeeeastdelhi @fiitjeeE_Delhi ][[ @fiitjeeeastdelhi / www.fiitjeeeastdelhi.com

You might also like