0% found this document useful (0 votes)
215 views3 pages

Decision Trees Notes

1. The document describes using a decision tree to determine whether to insure an expensive transformer before placing it in a hazardous work environment. 2. The decision tree has decision nodes where insurance can be purchased or not, and chance nodes where the transformer may fail (60% chance) or not. 3. The expected monetary value (EMV) is calculated at each chance node by weighting the possible outcomes by their probabilities, and the decision with the highest EMV is chosen. Purchasing insurance has a higher EMV than not purchasing, so it is determined to be the optimal decision.

Uploaded by

yrastogi
Copyright
© © All Rights Reserved
We take content rights seriously. If you suspect this is your content, claim it here.
Available Formats
Download as PDF, TXT or read online on Scribd
0% found this document useful (0 votes)
215 views3 pages

Decision Trees Notes

1. The document describes using a decision tree to determine whether to insure an expensive transformer before placing it in a hazardous work environment. 2. The decision tree has decision nodes where insurance can be purchased or not, and chance nodes where the transformer may fail (60% chance) or not. 3. The expected monetary value (EMV) is calculated at each chance node by weighting the possible outcomes by their probabilities, and the decision with the highest EMV is chosen. Purchasing insurance has a higher EMV than not purchasing, so it is determined to be the optimal decision.

Uploaded by

yrastogi
Copyright
© © All Rights Reserved
We take content rights seriously. If you suspect this is your content, claim it here.
Available Formats
Download as PDF, TXT or read online on Scribd
You are on page 1/ 3

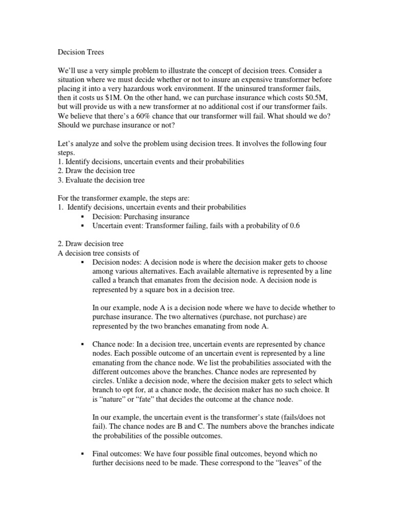
Decision Trees

Well use a very simple problem to illustrate the concept of decision trees. Consider a
situation where we must decide whether or not to insure an expensive transformer before
placing it into a very hazardous work environment. If the uninsured transformer fails,
then it costs us $1M. On the other hand, we can purchase insurance which costs $0.5M,
but will provide us with a new transformer at no additional cost if our transformer fails.
We believe that theres a 60% chance that our transformer will fail. What should we do?
Should we purchase insurance or not?
Lets analyze and solve the problem using decision trees. It involves the following four
steps.
1. Identify decisions, uncertain events and their probabilities
2. Draw the decision tree
3. Evaluate the decision tree
For the transformer example, the steps are:
1. Identify decisions, uncertain events and their probabilities
Decision: Purchasing insurance
Uncertain event: Transformer failing, fails with a probability of 0.6
2. Draw decision tree
A decision tree consists of
Decision nodes: A decision node is where the decision maker gets to choose
among various alternatives. Each available alternative is represented by a line
called a branch that emanates from the decision node. A decision node is
represented by a square box in a decision tree.
In our example, node A is a decision node where we have to decide whether to
purchase insurance. The two alternatives (purchase, not purchase) are
represented by the two branches emanating from node A.

Chance node: In a decision tree, uncertain events are represented by chance


nodes. Each possible outcome of an uncertain event is represented by a line
emanating from the chance node. We list the probabilities associated with the
different outcomes above the branches. Chance nodes are represented by
circles. Unlike a decision node, where the decision maker gets to select which
branch to opt for, at a chance node, the decision maker has no such choice. It
is nature or fate that decides the outcome at the chance node.
In our example, the uncertain event is the transformers state (fails/does not
fail). The chance nodes are B and C. The numbers above the branches indicate
the probabilities of the possible outcomes.

Final outcomes: We have four possible final outcomes, beyond which no


further decisions need to be made. These correspond to the leaves of the

decision tree. That is, the decision tree terminates at the final outcomes and
there are no branches beyond the final outcomes. We assign numerical values
to these final outcomes, which are often their monetary values.
In our example, it costs us $1M if we dont purchase insurance and the
transformer fails. It costs us nothing if we dont purchase insurance and the
transformer doesnt fail. If we purchase insurance, then it costs us $0.5M
upfront, but nothing after that. So the final outcomes in the bottom half of the
decision tree have a value of -$0.5M.
Fail
0.6
Do not
purchase
insurance

A
Purchase
insurance

Does
not fail
0.4
Fail
0.6

-$1M

$0
-$0.5M

C
Does
not fail
0.4

-$0.5M

3. Evaluate the decision tree


We evaluate the decision tree to determine the best course of action. The procedure is
often referred to as backwards induction or folding back of the decision tree.
We solve the decision tree by starting from the final branches and working backwards.
The criterion we use to evaluate an uncertain event or to choose among different
alternatives is the expected monetary value or the EMV.
The expected monetary value or EMV of an uncertain event is the weighted
average of all possible outcomes, with the probabilities of each of the possible
outcomes used as the weights.

At a chance node, we evaluate the EMV of the uncertain event.

At a decision node, we choose the alternative that gives us the highest EMV.

In our example, we first compute the EMV at the chance nodes B and C. The EMV of
node B is -$0.6M ( 0.6*-1 + 0.4*0). Similarly, the EMV of node C is -$0.5M. Now, at
decision node A, we compare the two alternatives (not purchasing insurance/ purchasing

insurance) and choose the alternative with the highest EMV. In this case, it turns out to be
that of node B (purchasing insurance).
We note that the EMV of the optimal decision strategy is taken to be the EMV computed
for the starting branch of the tree.
Exercise: Solve this decision tree using the spreadsheet DecisionTree.xls/PrecisionTree
software

You might also like