Welcome to Subscribe On Youtube

2359. Find Closest Node to Given Two Nodes

Description

You are given a directed graph of n nodes numbered from 0 to n - 1, where each node has at most one outgoing edge.

The graph is represented with a given 0-indexed array edges of size n, indicating that there is a directed edge from node i to node edges[i]. If there is no outgoing edge from i, then edges[i] == -1.

You are also given two integers node1 and node2.

Return the index of the node that can be reached from both node1 and node2, such that the maximum between the distance from node1 to that node, and from node2 to that node is minimized. If there are multiple answers, return the node with the smallest index, and if no possible answer exists, return -1.

Note that edges may contain cycles.

 

Example 1:

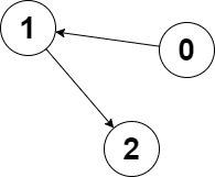
 Input: edges = [2,2,3,-1], node1 = 0, node2 = 1 Output: 2 Explanation: The distance from node 0 to node 2 is 1, and the distance from node 1 to node 2 is 1. The maximum of those two distances is 1. It can be proven that we cannot get a node with a smaller maximum distance than 1, so we return node 2. 

Example 2:

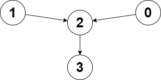
 Input: edges = [1,2,-1], node1 = 0, node2 = 2 Output: 2 Explanation: The distance from node 0 to node 2 is 2, and the distance from node 2 to itself is 0. The maximum of those two distances is 2. It can be proven that we cannot get a node with a smaller maximum distance than 2, so we return node 2. 

 

Constraints:

  • n == edges.length
  • 2 <= n <= 105
  • -1 <= edges[i] < n
  • edges[i] != i
  • 0 <= node1, node2 < n

Solutions

  • class Solution { private int n; private List<Integer>[] g; public int closestMeetingNode(int[] edges, int node1, int node2) { n = edges.length; g = new List[n]; Arrays.setAll(g, k -> new ArrayList<>()); for (int i = 0; i < n; ++i) { if (edges[i] != -1) { g[i].add(edges[i]); } } int[] d1 = dijkstra(node1); int[] d2 = dijkstra(node2); int d = 1 << 30; int ans = -1; for (int i = 0; i < n; ++i) { int t = Math.max(d1[i], d2[i]); if (t < d) { d = t; ans = i; } } return ans; } private int[] dijkstra(int i) { int[] dist = new int[n]; Arrays.fill(dist, 1 << 30); dist[i] = 0; PriorityQueue<int[]> q = new PriorityQueue<>((a, b) -> a[0] - b[0]); q.offer(new int[] {0, i}); while (!q.isEmpty()) { var p = q.poll(); i = p[1]; for (int j : g[i]) { if (dist[j] > dist[i] + 1) { dist[j] = dist[i] + 1; q.offer(new int[] {dist[j], j}); } } } return dist; } } 
  • class Solution { public: int closestMeetingNode(vector<int>& edges, int node1, int node2) { int n = edges.size(); vector<vector<int>> g(n); for (int i = 0; i < n; ++i) { if (edges[i] != -1) { g[i].push_back(edges[i]); } } const int inf = 1 << 30; using pii = pair<int, int>; auto dijkstra = [&](int i) { vector<int> dist(n, inf); dist[i] = 0; priority_queue<pii, vector<pii>, greater<pii>> q; q.emplace(0, i); while (!q.empty()) { auto p = q.top(); q.pop(); i = p.second; for (int j : g[i]) { if (dist[j] > dist[i] + 1) { dist[j] = dist[i] + 1; q.emplace(dist[j], j); } } } return dist; }; vector<int> d1 = dijkstra(node1); vector<int> d2 = dijkstra(node2); int ans = -1, d = inf; for (int i = 0; i < n; ++i) { int t = max(d1[i], d2[i]); if (t < d) { d = t; ans = i; } } return ans; } }; 
  • class Solution: def closestMeetingNode(self, edges: List[int], node1: int, node2: int) -> int: def dijkstra(i): dist = [inf] * n dist[i] = 0 q = [(0, i)] while q: i = heappop(q)[1] for j in g[i]: if dist[j] > dist[i] + 1: dist[j] = dist[i] + 1 heappush(q, (dist[j], j)) return dist g = defaultdict(list) for i, j in enumerate(edges): if j != -1: g[i].append(j) n = len(edges) d1 = dijkstra(node1) d2 = dijkstra(node2) ans, d = -1, inf for i, (a, b) in enumerate(zip(d1, d2)): if (t := max(a, b)) < d: d = t ans = i return ans 
  • func closestMeetingNode(edges []int, node1 int, node2 int) int { n := len(edges) g := make([][]int, n) for i, j := range edges { if j != -1 { g[i] = append(g[i], j) } } const inf int = 1 << 30 dijkstra := func(i int) []int { dist := make([]int, n) for j := range dist { dist[j] = inf } dist[i] = 0 q := hp{} heap.Push(&q, pair{0, i}) for len(q) > 0 { i := heap.Pop(&q).(pair).i for _, j := range g[i] { if dist[j] > dist[i]+1 { dist[j] = dist[i] + 1 heap.Push(&q, pair{dist[j], j}) } } } return dist } d1 := dijkstra(node1) d2 := dijkstra(node2) ans, d := -1, inf for i, a := range d1 { b := d2[i] t := max(a, b) if t < d { d = t ans = i } } return ans } type pair struct{ d, i int } type hp []pair func (h hp) Len() int { return len(h) } func (h hp) Less(i, j int) bool { return h[i].d < h[j].d } func (h hp) Swap(i, j int) { h[i], h[j] = h[j], h[i] } func (h *hp) Push(v any) { *h = append(*h, v.(pair)) } func (h *hp) Pop() any { a := *h; v := a[len(a)-1]; *h = a[:len(a)-1]; return v } 
  • function closestMeetingNode(edges: number[], node1: number, node2: number): number { const n = edges.length; const g = Array.from({ length: n }, () => []); for (let i = 0; i < n; ++i) { if (edges[i] != -1) { g[i].push(edges[i]); } } const inf = 1 << 30; const f = (i: number) => { const dist = new Array(n).fill(inf); dist[i] = 0; const q: number[] = [i]; while (q.length) { i = q.shift(); for (const j of g[i]) { if (dist[j] == inf) { dist[j] = dist[i] + 1; q.push(j); } } } return dist; }; const d1 = f(node1); const d2 = f(node2); let ans = -1; let d = inf; for (let i = 0; i < n; ++i) { const t = Math.max(d1[i], d2[i]); if (t < d) { d = t; ans = i; } } return ans; } 
  • use std::collections::VecDeque; impl Solution { pub fn closest_meeting_node(edges: Vec<i32>, node1: i32, node2: i32) -> i32 { let n = edges.len(); let mut g = vec![Vec::new(); n]; for i in 0..n { if edges[i] != -1 { g[i].push(edges[i] as usize); } } let inf = 1 << 30; let f = |mut i: usize| -> Vec<i32> { let mut dist = vec![inf; n]; dist[i] = 0; let mut q = VecDeque::new(); q.push_back(i); while !q.is_empty() { i = q.pop_front().unwrap(); for &j in &g[i] { if dist[j] == inf { dist[j] = dist[i] + 1; q.push_back(j); } } } dist }; let d1 = f(node1 as usize); let d2 = f(node2 as usize); let mut ans = -1; let mut d = inf; for i in 0..n { let t = std::cmp::max(d1[i], d2[i]); if t < d { d = t; ans = i as i32; } } ans } } 
  • public class Solution { public int ClosestMeetingNode(int[] edges, int node1, int node2) { int n = edges.Length; List<int>[] g = new List<int>[n]; for (int i = 0; i < n; ++i) { g[i] = new List<int>(); if (edges[i] != -1) { g[i].Add(edges[i]); } } int inf = 1 << 30; int[] f(int i) { int[] dist = new int[n]; Array.Fill(dist, inf); dist[i] = 0; Queue<int> q = new Queue<int>(); q.Enqueue(i); while (q.Count > 0) { i = q.Dequeue(); foreach (int j in g[i]) { if (dist[j] == inf) { dist[j] = dist[i] + 1; q.Enqueue(j); } } } return dist; } int[] d1 = f(node1); int[] d2 = f(node2); int ans = -1, d = inf; for (int i = 0; i < n; ++i) { int t = Math.Max(d1[i], d2[i]); if (t < d) { d = t; ans = i; } } return ans; } } 
  • class Solution { func closestMeetingNode(_ edges: [Int], _ node1: Int, _ node2: Int) -> Int { let n = edges.count var g = [[Int]](repeating: [], count: n) for i in 0..<n { if edges[i] != -1 { g[i].append(edges[i]) } } let inf = 1 << 30 func f(_ i: Int) -> [Int] { var dist = [Int](repeating: inf, count: n) dist[i] = 0 var q = [i] var idx = 0 while idx < q.count { let i = q[idx] idx += 1 for j in g[i] { if dist[j] == inf { dist[j] = dist[i] + 1 q.append(j) } } } return dist } let d1 = f(node1) let d2 = f(node2) var ans = -1, d = inf for i in 0..<n { let t = max(d1[i], d2[i]) if t < d { d = t ans = i } } return ans } } 

All Problems

All Solutions