Welcome to Subscribe On Youtube

590. N-ary Tree Postorder Traversal

Description

Given the root of an n-ary tree, return the postorder traversal of its nodes' values.

Nary-Tree input serialization is represented in their level order traversal. Each group of children is separated by the null value (See examples)

 

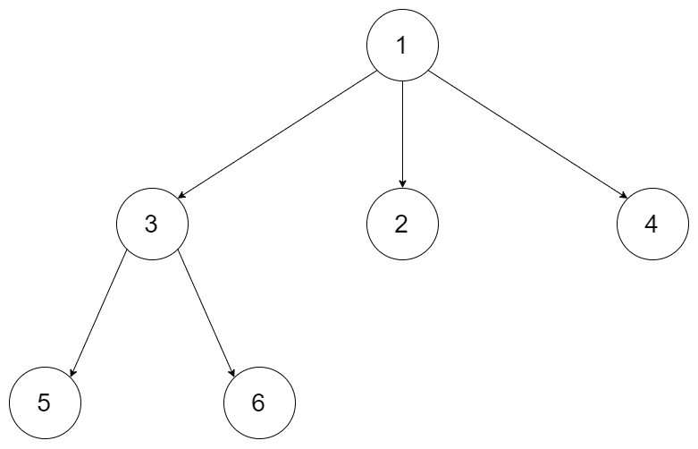
Example 1:

 Input: root = [1,null,3,2,4,null,5,6] Output: [5,6,3,2,4,1] 

Example 2:

 Input: root = [1,null,2,3,4,5,null,null,6,7,null,8,null,9,10,null,null,11,null,12,null,13,null,null,14] Output: [2,6,14,11,7,3,12,8,4,13,9,10,5,1] 

 

Constraints:

  • The number of nodes in the tree is in the range [0, 104].
  • 0 <= Node.val <= 104
  • The height of the n-ary tree is less than or equal to 1000.

 

Follow up: Recursive solution is trivial, could you do it iteratively?

Solutions

  • /* // Definition for a Node. class Node { public int val; public List<Node> children; public Node() {} public Node(int _val) { val = _val; } public Node(int _val, List<Node> _children) { val = _val; children = _children; } }; */ class Solution { public List<Integer> postorder(Node root) { LinkedList<Integer> ans = new LinkedList<>(); if (root == null) { return ans; } Deque<Node> stk = new ArrayDeque<>(); stk.offer(root); while (!stk.isEmpty()) { root = stk.pollLast(); ans.addFirst(root.val); for (Node child : root.children) { stk.offer(child); } } return ans; } } 
  • /* // Definition for a Node. class Node { public: int val; vector<Node*> children; Node() {} Node(int _val) { val = _val; } Node(int _val, vector<Node*> _children) { val = _val; children = _children; } }; */ class Solution { public: vector<int> postorder(Node* root) { vector<int> ans; if (!root) return ans; stack<Node*> stk{ {root} }; while (!stk.empty()) { root = stk.top(); ans.push_back(root->val); stk.pop(); for (Node* child : root->children) stk.push(child); } reverse(ans.begin(), ans.end()); return ans; } }; 
  • """ # Definition for a Node. class Node: def __init__(self, val=None, children=None): self.val = val self.children = children """ class Solution: def postorder(self, root: 'Node') -> List[int]: ans = [] if root is None: return ans stk = [root] while stk: node = stk.pop() ans.append(node.val) for child in node.children: stk.append(child) return ans[::-1] 
  • /** * Definition for a Node. * type Node struct { * Val int * Children []*Node * } */ func postorder(root *Node) []int { var ans []int if root == nil { return ans } stk := []*Node{root} for len(stk) > 0 { root = stk[len(stk)-1] stk = stk[:len(stk)-1] ans = append([]int{root.Val}, ans...) for _, child := range root.Children { stk = append(stk, child) } } return ans } 
  • /** * Definition for node. * class Node { * val: number * children: Node[] * constructor(val?: number) { * this.val = (val===undefined ? 0 : val) * this.children = [] * } * } */ function postorder(root: Node | null): number[] { const res = []; const dfs = (root: Node | null) => { if (root == null) { return; } for (const node of root.children) { dfs(node); } res.push(root.val); }; dfs(root); return res; } 

All Problems

All Solutions